历年数学二试卷(1999-2017年)
- 格式:docx
- 大小:2.95 MB
- 文档页数:78
2017 年一般高等学校招生全国一致考试(Ⅱ卷)逐题分析理科数学一、选择题:本题共 12 小题,每题 5 分,共 60 分。
在每题给出的四个选项中,只有一项为哪一项切合题目要求的。
二、【题目 1】 (2017 ·新课标全国Ⅱ卷理 1)1.3i( )1 iA . 1 2iB . 1 2iC . 2i D . 2i【命题企图 】本题主要考察复数的四则运算及共轭复数的观点,意在考察学生的运算能力 .【分析 】解法一:惯例解法 解法二:对十法3 i能够拆成两组分式数3 1,运算的结果应为 a bi 形式, a 3 1 1 12 (分子十字相乘,1 i 1112 121 1 3 11 (分子对位之积差,分母为基层数字平方和).分母为基层数字平方和) , b 1212解法三:分别常数法 解法四:参数法3 i a bi3 i abi 1i3i a ba b ia b 3 a 21 i a b,解得b11故3i 2i1 i【知识拓展 】复数属于新课标必考点,考复数的四则运算的年份许多,复数考点有五: 1.复数的几何意义( 2016 年); 2.复数的四则运算; 3.复数的相等的充要条件; 4.复数的分类及共轭复数;5.复数的模【题目 2】(2017· 新课标全国Ⅱ卷理 2)2.设会合 1,2,4 ,x x 2 4x m 0.若 I1 ,则( )A . 1, 3B . 1,0C . 1,3D . 1,5【命题企图 】本题主要考察一元二次方程的解法及会合的基本运算,以考察考生的运算能力为目 的 .【分析 】解法一:惯例解法∵A IB 1 ∴ 1 是方程 x 24x m 0 的一个根,即m 3 ,∴ B x x 24 x 3 0故 B 1,3解法二:韦达定理法∵AIB 1 ∴ 1 是方程x2 4x m 0 的一个根,∴利用伟大定理可知:x1 1 4 ,解得:x1 3,故 B 1,3解法三:清除法∵会合 B 中的元素必是方程方程x24x m 0 的根,∴x1x2 4 ,从四个选项A﹑ B﹑ C﹑D看只有 C 选项知足题意.【知识拓展】会合属于新课标必考点,属于函数范围,常与解方程﹑求定义域和值域﹑数集意义相联合,会合考点有二: 1.会合间的基本关系; 2.会合的基本运算 .【题目 3】(2017·新课标全国Ⅱ卷理3)3.我国古代数学名着《算法统宗》中有以下问题:“眺望巍巍塔七层,红光点点倍加增,共灯三百八十一,请问尖头几盏灯?”意思是:一座7 层塔共挂了381 盏灯,且相邻两层中的下一层灯数是上一层灯数的 2 倍,则塔的顶层共有灯()A.1 盏B.3 盏C.5 盏D.9 盏【命题企图】本题主要考察等比数列通向公式a n及其前 n 项和 S n,以考察考生的运算能力为主目的 .【分析】解法一:惯例解法一座 7 层塔共挂了 381 盏灯,即 S7 381 ;相邻两层中的下一层灯数是上一层灯数的 2 倍,即qa1 1 q n a1 1 2n381,解得2 ,塔的顶层为a1;由等比前n项和S n1q 1 可知: S72q 1a1 3 .解法二:界限效应等比数列为递加数列,则有a n 1 S n,∴ a8 S7 381,解得 a1 2.9 ,∴ a1 3 .【知识拓展】数列属于高考必考考点,一般占10 分或 12 分,即两道小题或一道大题,此中必有一道小题属于基础题,一道中档偏上题或压轴题,大题在17 题出现,属于基础题型,高考所占分值较大,在高中教课中列为重点解说内容,也是大多数学生的难点,主假如平常教课题型难度严重偏离高考考试难度,以及研究题型偏离命题方向,希望能惹起注意;考试主线特别清楚,1.等差数列通向公式a n及其前n 项和S n;2. 等比数列通向公式a n及其前n 项和S n .【题目 4】 (2017·新课标全国Ⅱ卷理4)4.如图,网格纸上小正方形的边长为1,学某几何体的三视图,该几何体由一平面将一圆柱截去一部分所得,则该几何体的体积为(科 & 网粗实线画出的是)A.90 B.63 C.42 D.36 【命题企图】本题主要考察简单几何体三视图及体积,以考察考生的空间想象能力为主目的. 【分析】解法一:惯例解法从三视图可知:一个圆柱被一截面截取一部分而节余的部分,详细图像以下:切割前圆柱切割中切割后几何体从上图能够清楚的可出节余几何体形状,该几何体的体积分红两部分,部分图以下:从左图可知:剩下的体积分上下两部分暗影的体积,下边暗影的体积为 V Sh, r 3, h 4 ,∴V136;上边暗影的体积V2是上面部分体积 V3的一半,即 V2 1的比为高的比(同底),V3, V3与 V12即V3 3 327 ,故整体积 V0 V2V163. V1,V2 V12 4第二种体积求法:V3 Sh 54 ,其他同上,故整体积V0 V2 V1 63.【知识拓展】三视图属于高考必考点,几乎年年考三视图,题型一般有五方面, 1.求体积; 2.求面积(表面积,侧面积等); 3.求棱长; 4.视图实质考察(推测视图,睁开图,空间直角坐标系视图); 5.视图与球体综合联立,此中前三个方面考的许多.2x 3y 30【题目 5】(2017·新课标全国Ⅱ卷理5)5.设x,y知足拘束条件2x 3y 3 0 ,则 z 2x y 的最小值y 30是()A.15B.9C.1D.9【命题企图】本题主要考察线性规划问题,以考察考生数形联合的数学思想方法运用为目的,属于过渡中档题.【分析】解法一:惯例解法2 x 3y 30依据拘束条件 2 x 3y 3 0 画出可行域(图中暗影部分),作直线l : 2x y 0 ,平移直线 l ,y 30将直线平移到点 A 处 Z 最小,点 A 的坐标为6, 3 ,将点A的坐标代到目标函数Z 2x y ,可得 Z15 ,即Z min15 .yl解法二:直接求法关于关闭的可行域,我2x+3y们可-以3=0直接求三条C直线的交点,代入目标函数中,三个数种选其最小的2x-3y+3=0为最小值即可,点 A 的坐标为6, 3 ,点B的坐标为6, 3 ,点C的坐标为0,1 ,所求值分O x别为15 ﹑ 9 ﹑ 1,故Z min15 , Z max9 .Ay = -3 B解法三:隔板法第一看拘束条件方程的斜率拘束条件方程的斜率分别为 2 ﹑2﹑0;3 3其次排序依照坐标系地点排序 2 ﹑ 0 ﹑2 ;3 3再次看目标函数的斜率和y 前的系数看目标函数的斜率和y 前的系数分别为2﹑1;最后画初始地点,跳格,找到最小值点目标函数的斜率在2之间,即为初始地点,y 前的系数为正,则按逆时针旋转,第一格为,03最大值点,即 2 ,2 ,第二个格为最小值点,即0, 2 ,只要解斜率为0 和2 这两条线的交点3 3 3 3即可,其实就是点 A ,点 A 的坐标为6, 3 ,将点A的坐标代到目标函数Z 2x y ,可得 Z 15 ,即Z min 15 .【知识拓展】线性规划属于不等式范围,是高考必考考点,常考察数学的数形联合能力,一般变化只在两个方向变化, 1.拘束条件的变化; 2.目标函数的变化;拘束条件变化从关闭程度方面变化,目标函数则从方程的几何意义上变化,但本题型属于高考热门题型(已知关闭的拘束条件,求已知的二元一次方程目标函数),本题型属于过渡中档题,只要多累积各题型解决的方法即可 .【题目 6】(2017 ·新课标全国Ⅱ卷理6)6.安排 3 名志愿者达成 4 项工作,每人起码达成 1 项,每项工作由1 人达成,则不一样的安排方式共有()A.12 种B. 18 种C. 24 种D.36 种【命题企图】本题主要考察基本计数原理的应用,以考察考生的逻辑剖析能力和运算求解能力为主 .【分析】解法一:分组分派之分人第一分组将三人分红两组,一组为三个人,有A33 6 种可能,此外一组从三人在选调一人,有C31 3 种可能;其次排序两组前后在排序,在对位找工作即可,有A22 2 种可能;合计有36 种可能 .解法二:分组分派之分工作26 种可能,在把三组工作分给36 可能,合计有 36 种可能 .工作分红三份有 C4 3 个人有 A3解法三:分组分派之人与工作互动先让先个人个达成一项工作,有A43 24 种可能,剩下的一项工作在有 3 人中一人达成有 C31 3 种可能,但由两项工作人数相同,所以要除以A22 2 ,合计有36 种可能 .解法四:占位法此中必有一个达成两项工作,选出这人,让其先占位,即有C31 C42 18 中可能;剩下的两项工作由剩下的两个人去达成,即有A22 2 种可能,按分步计数原理求得结果为36 种可能 .解法五:隔板法和环桌摆列第一让其环桌摆列,在插两个隔板,有26 种可能,在分派给3C4 3 人工作有 A3 6 种可能,按分步计数原理求得结果为36 种可能 .【知识拓展】计数原理属于必考考点,常考题型有 1.摆列组合; 2.二项式定理,几乎两者是隔一年或隔两年交互出题,摆列组合这类排序问题常考,已经属于高考常态,利用二项式定理求某一项的系数或求奇偶项和也已经属于高考常态,特别是利用二项式定理求某一项的系数更加突出.【题目 7】 (2017·新课标全国Ⅱ卷理7)7.甲、乙、丙、丁四位同学一同去处老师咨询成语比赛的成绩.老师说:你们四人中有 2 位优异, 2 位优异,我此刻给甲看乙、丙的成绩,给乙看丙的成绩,学科 &网给丁看甲的成绩.看后甲对大家说:我仍是不知道我的成绩.依据以上信息,则()A.乙能够知道四人的成绩B.丁能够知道四人的成绩C.乙、丁能够知道对方的成绩D.乙、丁能够知道自己的成绩【命题企图】本题考察推理与证明的有关知识,考察考生推理论证能力.【分析】解法一:假定法甲看乙﹑丙成绩,甲不知道自己的成绩,那么乙﹑丙成绩中有一人为优,一人为良;乙已经知道自己的成绩要么良,要么优,丙相同也是,当乙看到丙的成绩,必定知道自己的成绩,可是丙一定不知道自己的成绩;而丁同学也知道自己的成绩要么良,要么优,只有看到甲的成绩,才能判断自己的成绩,丁同学也必定知道自己的成绩,故只有乙﹑丁两位同学知道自己的成绩.解法二:选项代入法当我们不知道怎样下手, 则从选项下手,一一假定成立,来考证我们的假定能否成立,略【知识拓展】推理与证明近两年属于热门考题,2016 年的第 15 题(理)﹑第16 题(文),今年的理( 7)﹑文( 9),属于创新题,突出新奇,但题的难度不大,需要考生沉着的思虑,抓住主要知识重点,从而能够迅速做题,属于中档题.【题目 8】(2017·新课标全国Ⅱ卷理8)8.履行右边的程序框图,假如输入的A.2B.3C. 4【命题企图】本题考察程序框图的知识,意在考察考生对循环构造的理解与应用a 1 ,则输出的D. 5.S ()【分析 】解法一:惯例解法∵ S 0 0,K 0 1 , a 01 , S S a K , aa ,∴ 履行第一次循环: S 1 1﹑ a 1 1﹑ K 12 ;履行第二次循环: S 2 1 ﹑ a 21﹑ K 23 ;履行第三次循环:S 32 ﹑a 3 1 ﹑K 34 ;履行第四次循环: S 42 ﹑ a 41﹑ K 4 5 ;履行第五次循环:S 53 ﹑a 5 1 ﹑K 5 6 ;履行第五次循环: S 6 3 ﹑ a 6 1﹑ K 6 7;当 K 6 7 6 时,停止循环,输出S 6 3,故输出值为 3. 解法二:数列法nniS nSn 1n , K n n 1 ,裂项相消可得 S nS 1i ;履行第一次循环:11i 2S 1 1﹑a 1 1﹑ K 1 2 ,当 K n 6 时, n 6 即可停止, S 61 2 3 4 5 6 4 ,即 S 6 3 ,故输出值为 3.【题目 9 】 (2017· 新课标全国Ⅱ卷理9)9.若双曲线 C:x 2y 2 1 ( a 0 , b 0 )的一条渐近线被圆a 2b 2x 224 所截得的弦长为 2,则 C 的离心率为(y 2 ).2. 3 .2. 2 3 ABCD 3【命题企图 】主要考察双曲线的性质及直线与圆的地点关系,意在考察考生的转变与化归思想 .【分析 】解法一:惯例解法依据双曲线的标准方程可求得渐近线方程为ybx ,依据直线与圆的地点关系可求得圆心到ab2b2a渐进线的距离为3 ,∴ 圆心到渐近线的距离为a ,即3,解得 e 2.b 221 b1aa解法二:待定系数法设渐进线的方程为 y kx ,依据直线与圆的地点关系可求得圆心到渐进线的距离为3 ,∴ 圆心到渐近线的距离为2k ,即 2k 3 ,解得 k 23;因为渐近线的斜率与离心率1k 2 1 k 2关系为 k 2e 2 1 ,解得 e 2.解法三:几何法从题意可知: OAOO 1 O 1 A 2, OO 1A 为等边三角形,所以一条渐近线的倾斜较为,3因为 k tan ,可得 k 3 ,渐近线的斜率与离心率关系为 k 2 e 2 1 ,解得 e 2 .解法四:坐标系转变法依据圆的直角坐标系方程: x 222 4 ,可得极坐标方程 4cos ,由 4cos2 可得极y 角,从上图可知:渐近线的倾斜角与圆的极坐标方程中的极角相等,所以 k3,3渐近线的斜率与离心率关系为 k 2 e 2 1 ,解得 e 2 .解法五:参数法之直线参数方程如上图,依据双曲线的标准方程可求得渐近线方程为b ,能够表示点 A 的坐标为 2cos ,2sin ,∵yxacosa, sinb ∴ 点 A 的坐标为 2 a ,2b,代入圆方程中,ccc c解得 e 2 .【知识拓展 】双曲线已成为高考必考的圆锥曲线内容(理科) ,一般与三角形﹑直线与圆﹑向量相联合,属于中档偏上的题,但跟着二卷回归基础的趋向,圆锥曲线小题固然处于中档题偏上地点,但难度逐年降落 .【题目 10】(2017· 新课标全国Ⅱ卷理 10)10.已知直三棱柱C1 1C 1 中,C 120o ,2 ,C CC 1 1,则异面直线1与C 1 所成角的余弦值为( )3B .15 10 3A .C .5D .253【命题企图 】本题考察立体几何中的异面直线角度的求解,意在考察考生的空间想象能力【分析 】解法一:惯例解法在边 BB 1 ﹑ B 1C 1 ﹑ A 1 B 1 ﹑ AB 上分别取中点 E ﹑F ﹑G﹑ H,并互相连结.由三角形中位线定理和平行线平移功能,异面直线 AB1和 BC1所成的夹角为FEG 或其补角,经过几何关系求得 EF 2,FG 5 ,2 2FH11 ,利用余弦定理可求得异面直线2AB1和 BC1所成的夹角余弦值为10. 5解法二:补形经过补形以后可知:BC1 D 或其补角为异面直线 AB1和 BC1所成的角,经过几何关系可知:BC1 2 , C1D 5 , BD 3 ,由勾股定理或余弦定理可得异面直线AB1和 BC1所成的10夹角余弦值为.5解法三:建系成立如左图的空间直角坐标系, A 0,2,1 ,B1 0,0,0 , B 0,0,1 , C13 1 , ,0 2 2uuuur 3 1 uuur0,2,1 ∴ BC1 , , 1 ,B1A2 2uuur uuuur∴ cos B1 A BC1 2 10 uuur uuuur5 2 5 B1 A BC1解法四:投影平移- 三垂线定理设异面直线 AB1和 BC1所成的夹角为 3利用三垂线定理可知:异面直线 AB1和 BC1 所成的夹角余弦值为10. 5【知识拓展】立体几何地点关系中角度问题向来是理科的热门问题,也是高频考点,证明的方法大概有两个方向: 1.几何法; 2.建系;几何法步骤简短,但不易想到;建系简单想到,但计算量偏大,平常复习应注意各方法优势和不足,做到胸中有数,方能事半功倍.【题目 11】(2017·新课标全国Ⅱ卷理11)11.若x 2 是函数 f ( x) ( x2 ax 1)e x 1`的极值点,则 f ( x) 的极小值为()A. 1B. 2e3C.5e3【命题企图】本题主要考察导数的极值观点及其极大值与极小值判断条件,意在考察考生的运算求解能力 .【分析】解法一:惯例解法∵ f x2axx 1∴ 导函数2 x 1 x 1 e f xx a 2 x a 1 e∵ f 2 0 ∴ a 1∴导函数 f x x2 x 2 e x 1令 f x 0 ,∴ x1 2 , x1 1当 x 变化时, f x , f x 随变化状况以下表:+0-0+极大值极小值从上表可知:极小值为 f 1 1.【知识拓展】导数是高考重点考察的对象,极值点的问题是特别重要考点之一,大题﹑小题都会考察,属于压轴题,但难度在逐年降低.【题目 12】(2017·新课标全国Ⅱ卷理12)12.已知ABC 是边长为2 的等边三角形, P 为平面 ABC内一点,uuur uuur uuur则 PA (PB PC ) 的最小值是()A. 23 4D. 1B. C.2 3【命题企图】本题主要考察等边三角形的性质及平面向量的线性运算﹑数目积,意在考察考生转变与化归思想和运算求解能力【分析】解法一:建系法uuur0, uuur1,0uuur1,0 .连结 OP,OA 3 ,OB , OCuuur uuur uuur uuur uuurx, y x, 3 y PC PB 2PO ,∴ PO PAuuur uuur 2y2 3 y x2 y 3 3∴ PO PA x22 4uuur uuur3 uuur uuur uuur uuur uuur3∴PO PA ,∴ PA PC PB 2PO PA4 2∴最小值为32解法二:均值法uuur uuur uuur uuur uuur uuur uuur uuur∵ PC PB 2PO ,∴ PA PC PB 2PO PAuuur uuur uuur uuur 2 uuur 2 uuur uuur由上图可知: OA PA PO ;两边平方可得 3 PA PO 2PA POuuur 2 uuur 2 uuur uuur uuur uuur 3∵ PA PO 2PA PO ,∴ 2PO PA2uuur uuur uuur uuur uuur 3,∴最小值为 3∴PA PC PB 2PO PA2 2解法三:配凑法uuur uuur uuur∵ PC PB 2POuuur uuur 2 uuur uuur 2 uuur uuur 2 uuur 2uuur uuur uuur uuur uuur PO PA PO PA PO PA AO 3∴ PA PC PB 2PO PA2 2 2∴最小值为32【知识拓展】三角形与向量联合的题属于高考经典题,一般在压轴题出现,解决此类问题的通法就是建系法,比较直接,易想,但有时计算量偏大.二、填空题:本题共 4 小题,每题 5 分,共20 分。
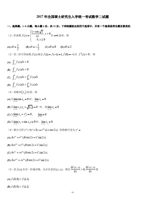
1a =a S =S +a ∙K 是否输入a S =0,K =1K ≤6开始2017年普通高等学校招生全国统一考试理科数学 2卷一、选择题:本题共12小题,每小题5分,共60分.在每小题给出的四个选项中,只有一项是符合题目要求的。
1.=++ii13( ) A.i 21+ B.i 21- C 。
i +2 D 。
i -22.设集合{}{}04,4,212=+-==m x x B A ,,若{}1=B A ,则B=( ) A.{}31-, B 。
{}01, C.{}31, D 。
{}51, 3.我国古代数学名著《算法统宗》中有如下问题:“远望巍巍塔七层,红光点点倍加增,共灯三百八十一,请问尖头几盏灯?”意思是:一座7层塔共挂了381盏灯,且相邻两层中的下一层灯数是上一层灯数的2倍,则塔的顶层共有灯( )A .1盏B .3盏C .5盏D .9盏 4.如图,网格纸上小正方形的边长为1,粗实线画出的是某几何体的三视图,该几何体由一平面将一圆柱截去一部分后所得,则该几何体的体积为( )A .90πB .63πC .42πD .36π5。
设x ,y 满足约束条件2330233030x y x y y +-≤⎧⎪-+≥⎨⎪+≥⎩,则2z x y =+的最小值是( )A .15-B .9-C .1D .9 6。
安排3名志愿者完成4项工作,每人至少完成1项,每项2工作由1人完成,则不同的安排方式共有( )A .12种B .18种C .24种D .36种7。
甲、乙、丙、丁四位同学一起去向老师询问成语竞赛的成绩.老师说:你们四人中有2位优秀,2位良好,我现在给甲看乙、丙的成绩,给乙看丙的成绩,给丁看甲的成绩.看后甲对大家说:我还是不知道我的成绩.根据以上信息,则( )A .乙可以知道四人的成绩B .丁可以知道四人的成绩C .乙、丁可以知道对方的成绩D .乙、丁可以知道自己的成绩8。
执行右面的程序框图,如果输入的1a =-,则输出的S =( )A .2B .3C .4D .59。
历年数学二试卷(1999-2017年)2017年全国硕士研究生入学统一考试数学二试题一、选择题:1~8小题,每小题4分,共32分,下列每小题给出的四个选项中,只有一项符合题目要求的,请将所选项前的字母填在答题纸...指定位置上. (1)若函数1,0(),0x f x axb x ?->?=??≤?在0x =处连续,则() (A)12ab =(B)12ab =-(C)0ab =(D)2ab =(2)设二阶可导函数()f x 满足(1)(1)1,(0)1f f f =-==-且''()0f x >,则()()()1111011110()()0()0()()()()()A f x dx B f x dx C f x dx f x dxD f x dx f x dx----><><(3)设数列{}n x 收敛,则()()A 当lim sin 0n n x →∞=时,lim 0n n x →∞= ()B当lim(0n n x →∞=时,lim 0n n x →∞=()C 当2lim()0n n n x x →∞+=时,lim 0n n x →∞= ()D 当lim(sin )0n n n x x →∞+=时,lim 0n n x →∞=(4)微分方程的特解可设为(A )22(cos2sin 2)xx Ae e B x C x ++ (B )22(cos2sin 2)x x Axe e B x C x ++ (C )22(cos2sin 2)xx Aexe B x C x ++ (D )22(cos2sin 2)x x Axe e B x C x ++(5)设(,)f x y 具有一阶偏导数,且对任意的(,)x y ,都有(,)(,)0,0f x y f x y x y>>??,则(A )(0,0)(1,1)f f > (B )(0,0)(1,1)f f < (C )(0,1)(1,0)f f > (D )(0,1)(1,0)f f <(6)甲乙两人赛跑,计时开始时,甲在乙前方10(单位:m )处,图中实线表示甲的速度曲线1()v v t =(单位:/m s ),虚线表示乙的速度曲线2()v v t =,三块阴影部分面积的数值依次为10,20,3,计时开始后乙追上甲的时刻记为0t (单位:s ),则()(A )010t = (B )01520t <<(C )025t =(D )025t >()s(7)设A 为三阶矩阵,123(,,)P ααα=为可逆矩阵,使得1012P AP -?? ?= ?,则123(,,)A ααα=()(A )12αα+ (B )232αα+ (C )23αα+ (D )122αα+(8)设矩阵200210100021,020,020*********A B C===,则()(A ),A C B C 与相似与相似(B ),A C B C 与相似与不相似(C ),A C B C 与不相似与相似(D ),A C B C 与不相似与不相似二、填空题:9-14小题,每小题4分,共24分,请将答案写在答题纸...指定位置上. (9) 曲线21arcsiny x x ??=+的斜渐近线方程为_______ (10) 设函数()y y x =由参数方程sin t x t e y t ?=+?=?确定,则220t d ydx ==______(11)2ln(1)(1)x dx x +∞+=+?_______ (12) 设函数(,)f x y 具有一阶连续偏导数,且(,)(1)y ydf x y ye dx x y e dy =++,(0,0)0f =,则(,)______f x y =(13)11tan ______y xdy dx x=?(14)设矩阵41212311A a -=??-??的一个特征向量为112??,则_____a =三、解答题:15—23小题,共94分.请将解答写在答题纸...指定位置上.解答应写出文字说明、证明过程或演算步骤.(15)(本题满分10分)求极限0lim t x dt +→(16)(本题满分10分)设函数(,)f u v 具有2阶连续偏导数,(,cos )xy f e x =,求x dydx22x d y dx =(17)(本题满分10分)求21lim ln 1nn k k k nn →∞=??+ ∑(18)(本题满分10分)已知函数()y x 由方程333320x y x y +-+-=确定,求()y x 的极值(19)(本题满分10分)设函数()f x 在区间[0,1]上具有2阶导数,且0()(1)0,lim 0x f x f x+→><,证明:()I 方程()0f x =在区间(0,1)内至少存在一个实根;()∏方程2''()()(())0f x f x f x +=在区间(0,1)内至少存在两个不同实根。
1999年全国硕士研究生入学统一考试数学二试题答案与解析一、填空题(本题5小题,每小题3分,满分15分。
把答案填在题中横线上。
) (1)曲线sin 2,cos x e t y e t'=⎧⎨'=⎩在点()0,1处的法线方程为___________。
【思路点拔】本题的考点是曲线的法线方程。
欲求曲线的法线方程,需先求曲线法线斜率,即与曲线方程的一阶导数值乘积为-1的数,然后由直线的点斜式即可求曲线的法线方程。
【解题分析】cos sin sin 22cos 2x y t t ty x t t t'-'=='+。
()(),0,1x y =对应0t =,012xt y ='=,所求法线方程为12y x -=-。
即21x y +=。
(2)设函数()y y x =由方程()23ln sin x y x y x +=+确定,则x dy dx==_________。
【思路点拔】本题的考点是隐函数求导。
隐函数求导有两种方法:解法一,直接求导法;解法二,利和我函数的求导公式求解。
【解题分析】解法一:方程两边对x 求导得32223cos x y x y x y x x y'+'=+++。
以0x =代入原方程得ln 0y =,1y =;以0x =,1y =代入32223cos x y x y x y x x y'+'=+++。
得01x y ='=。
解法二:令()()23ln sin F x y x y x y x ⋅=+--22123sin Fx x x y x x y=⋅--+ 321Fy x x y=-+ dy Fxdx Fy=()()()2223223cos 1x x y x y x x y x x y -+-+=--+由题意:0x =时,1y =∴1x dy dx==。
(3)25613x dx x x +=-+⎰______________。
2017年高考全国Ⅱ理科数学试题及答案(word解析版)2017年普通高等学校招生全国统一考试(全国II )数学(理科)一、选择题:本大题共12小题,每小题5分,在每小题给出的四个选项中,只有一项是符合题目要求的.(1)【2017年全国Ⅱ,理1,5分】31ii +=+( ) (A )12i + (B )12i - (C )2i + (D )2i - 【答案】D【解析】()()()()3i 1i 3i 42i2i 1i 1i 1i 2+-+-===-++-,故选D . (2)【2017年全国Ⅱ,理2,5分】设集合{}1,2,4A =,{}240B x x x m =-+=.若{1}A B =I ,则B =( )(A ){}1,3- (B ){}1,0 (C ){}1,3 (D ){}1,5 【答案】C【解析】集合{}1,2,4A =,24{|}0B x x x m -=+=.若{}1A B =I ,则1A ∈且1B ∈,可得140m -+=-,解得3m =,即有243013{|}{,}B x x x =+==-,故选C .(3)【2017年全国Ⅱ,理3,5分】我国古代数学名著《算法统宗》中有如下问题:“远望巍巍塔七层,红光点点倍加增,共灯三百八十一,请问尖头几盏灯?”意思是:一座7层塔共挂了381盏灯,且相邻两层中的下一层灯数是上一层灯数的2倍,则塔的顶层共有灯( )(A )1盏 (B )3盏 (C )5盏 (D )9盏 【答案】B【解析】设这个塔顶层有a 盏灯,∵宝塔一共有七层,每层悬挂的红灯数是上一层的2倍,∴从塔顶层依次向下每层灯数是以2为公比、a 为首项的等比数列,又总共有灯381盏,∴()71238112712a a -==-,解得3a =,则这个塔顶层有3盏灯,故选B .(4)【2017年全国Ⅱ,理4,5分】如图,网格纸上小正方形的边长为1,粗实线画出的是某几何体的三视图,该几何体由一平面将一圆柱截去一部分后所得,则该几何体的体积为( )(A )90π (B )63π (C )42π (D )36π 【答案】B【解析】由三视图可得,直观图为一个完整的圆柱减去一个高为6的圆柱的一半,22131036632V πππ=⋅⨯-⋅⋅⨯=,故选B . (5)【2017年全国Ⅱ,理5,5分】设x ,y 满足约束条件2330233030x y x y y +-≤⎧⎪-+≥⎨⎪+≥⎩,则2z x y =+的最小值是( )(A )15- (B )9- (C )1 (D )9 【答案】A【解析】x 、y 满足约束条件2330233030x y x y y +-≤⎧⎪-+≥⎨⎪+≥⎩的可行域如图:2z x y =+经过可行域的A时,目标函数取得最小值,由32330y x y =-⎧⎨-+=⎩解得()6,3A --,则2z x y =+的最小值是:15-,故选A .(6)【2017年全国Ⅱ,理6,5分】安排3名志愿者完成4项工作,每人至少完成1项,每项工作由1人完成,则不同的安排方式共有( )(A )12种 (B )18种 (C )24种 (D )36种 【答案】D【解析】4项工作分成3组,可得:24C 6=,安排3名志愿者完成4项工作,每人至少完成1项,每项工作由1人完成,可得:336A 36⨯=种,故选D .(7)【2017年全国Ⅱ,理7,5分】甲、乙、丙、丁四位同学一起去向老师询问成语竞赛的成绩.老师说:你们四人中有2位优秀,2位良好,我现在给甲看乙、丙的成绩,给乙看丙的成绩,给丁看甲的成绩.看后甲对大家说:我还是不知道我的成绩.根据以上信息,则( ) (A )乙可以知道四人的成绩 (B )丁可以知道四人的成绩(C )乙、丁可以知道对方的成绩 (D )乙、丁可以知道自己的成绩 【答案】D【解析】四人所知只有自己看到,老师所说及最后甲说话,甲不知自己的成绩→乙丙必有一优一良,(若为两优,甲会知道自己的成绩;若是两良,甲也会知道自己的成绩)→乙看到了丙的成绩,知自己的成绩→丁看到甲、丁中也为一优一良,丁知自己的成绩,故选D .(8)【2017年全国Ⅱ,理8,5分】执行右面的程序框图,如果输入的1a =-,则输出的S = ( )(A )2 (B )3 (C )4 (D )5 【答案】B【解析】执行程序框图,有0S =,1k =,1a =-,代入循环,第一次满足循环,1S =-,1a =,2k =;满足条件,第二次满足循环,1S =,1a =-,3k =;满足条件,第三次满足循环,2S =-,1a =,4k =;满足条件,第四次满足循环,2S =,1a =-,5k =;满足条件,第五次满足循环,3S =-,1a =,6k =;满足条件,第六次满足循环,3S =,1a =-,7k =;76≤不成立,退出循环输出,3S =,故选B .(9)【2017年全国Ⅱ,理9,5分】若双曲线()2222:10,0x yC a b a b-=>>的一条渐近线被圆()2224x y -+=所截得的弦长为2,则C 的离心率为( )(A )2 (B 3 (C 2 (D 23【答案】A【解析】双曲线()2222:10,0xy C a b a b-=>>的一条渐近线不妨为:0bx ay +=,圆()2242x y +=-的圆心()2,0,半径为:2,双曲线()2222:10,0xy C a b ab-=>>的一条渐近线被圆()2242x y +=-所截得的弦长为2,可得圆心到直线的距离为:22222213b a b-==+,得:222443c a c -=,可得2e4=,即e 2=,故选A .(10)【2017年全国Ⅱ,理10,5分】已知直三棱柱111ABC A B C-中,120ABC ∠=o,2AB =,11BC CC ==,则异面直线1AB 与1BC 所成角的余弦值为( )(A )3 (B ) 15(C )10(D )3【答案】C【解析】如图所示,设M 、N 、P 分别为AB ,1BB 和11B C 的中点,则1AB 、1BC 夹角为MN和NP 夹角或其补角(因异面直线所成角为0,2π⎛⎤ ⎥⎝⎦,可知1152MN AB ==, 11222NP BC ==;作BC 中点Q ,则PQM ∆为直角三角形;∵1PQ =,12MQ AC =, ABC∆中,由余弦定理得2222AC AB BC AB BC cos ABC =+-⋅⋅∠141221172⎛⎫=+-⨯⨯⨯-= ⎪⎝⎭,∴7AC =,∴7MQ =;在MQP ∆中,2211MP MQ PQ =+=;在 PMN∆中,由余弦定理得222222521110cos 2522MN NP PM MNP MH NP ⎛⎫⎛⎫⎛⎫+- ⎪ ⎪ ⎪ ⎪ ⎪ ⎪+-⎝⎭⎝⎭⎝⎭∠===-⋅⋅⨯⨯;又异面直线所成角的范围是0,2π⎛⎤⎥⎝⎦,∴1AB 与1BC 所成角的余弦值为10,故选C .(11)【2017年全国Ⅱ,理11,5分】若2x =-是函数21`()(1)x f x x ax e -=+-的极值点,则()f x 的极小值为( )(A )1- (B )32e -- (C )35e - (D )1 【答案】A【解析】函数()()121x f x x ax e -=+-,得()()()11221x x e f x x a x ax e --'=+++-,2x =-是21`()(1)x f x x ax e -=+-的极值点,得:()4320a a -++-=.得1a =-.可得()()()()211212211x x x e e x x e f x x x x ---'=-+--=+-,函数的极值点为:2x =-,1x =,当2x <-或1x >时,()0f x '>函数是增函数,()2,1x ∈-时,函数是减函数,1x =时,函数取得极小值:()()21111111f e -=--=-,故选A .(12)【2017年全国Ⅱ,理12,5分】已知ABC ∆是边长为2的等边三角形,P 为平面ABC 内一点,则()PA PB PC ⋅+u u u r u u u r u u u r的最小值是( ) (A )2- (B )32- (C )43- (D )1- 【答案】B【解析】建立如图所示的坐标系,以BC 中点为坐标原点,则()0,3A ,()1,0B -,()1,0C ,设(),P x y ,则(),3PA x y =--u u u r,()1,PB x y =---u u u r ,()1,PC x y =--u u u r ,则()PA PB PC ⋅+u u u r u u u r u u u r222233223224x y y x y ⎡⎤⎛⎫⎢⎥=-+=+-- ⎪ ⎪⎢⎥⎝⎭⎣⎦∴当0x =,3y =时,取得最小值33242⎛⎫⨯-=- ⎪⎝⎭,故选B . 二、填空题:本题共4小题,每小题5分,共20分. (13)【2017年全国Ⅱ,理13,5分】一批产品的二等品率为0.02,从这批产品中每次随机取一件,有放回地抽取100次,X 表示抽到的二等品件数,则DX =______.【答案】1.96【解析】由题意可知,该事件满足独立重复试验,是一个二项分布模型,其中,0.02p =,100n =,则()11000.020.98 1.96DX npq np p ==-=⨯⨯=.(14)【2017年全国Ⅱ,理14,5分】函数()23sin 30,42f x x x x π⎛⎫⎡⎤=+-∈ ⎪⎢⎥⎣⎦⎝⎭的最大值是______.【答案】1【解析】()2233sin 3cos 1cos3cos 44f x x x x x =-=--,令cos x t =且[]0,1t ∈,则()2213314f t t t t ⎛=-+=-+ ⎝⎭,当3t =时,()max1f t =,即()f x 的最大值为1.(15)【2017年全国Ⅱ,理15,5分】等差数列{}na 的前n 项和为n S ,33a =,410S =,则11nk kS ==∑______.【答案】21n n +【解析】等差数列{}na 的前n 项和为nS ,33a =,410S =,()423210S a a =+=,可得22a =,数列的首项为1,公差为1,()12nn n S -=,()1211211n S n n n n ⎛⎫==- ⎪++⎝⎭,则11111111121223341nk k Sn n =⎡⎤=-+-+-++-⎢⎥+⎣⎦∑L122111n n n ⎛⎫=-=⎪++⎝⎭.(16)【2017年全国Ⅱ,理16,5分】已知F 是抛物线C :28y x=的焦点,M 是C 上一点,FM 的延长线交y 轴于点N .若M 为FN 的中点,则FN =_______.【答案】6【解析】抛物线C :28y x =的焦点()2,0F ,M 是C 上一点,FM 的延长线交y 轴于点N .若M 为FN 的中点,可知M 的横坐标为:1,则M 的纵坐标为:22±,()()2222122206FN FM ==-+±-=.三、解答题:共70分。
2004年全国硕士研究生入学统一考试数学二试题一. 填空题(本题共6小题,每小题4分,满分24分. 把答案填在题中横线上. )(1)设2(1)()lim1n n xf x nx →∞-=+, 则()f x 的间断点为x = .(2)设函数()y x 由参数方程 333131x t t y t t ⎧=++⎪⎨=-+⎪⎩ 确定, 则曲线()y y x =向上凸的x 取值范围为____..(3)1+∞=⎰_____..(4)设函数(,)z z x y =由方程232x zz ey -=+确定, 则3z zx y∂∂+=∂∂______. (5)微分方程3()20y x dx xdy +-=满足165x y ==的特解为_______.(6)设矩阵210120001A ⎛⎫ ⎪= ⎪ ⎪⎝⎭, 矩阵B 满足2ABA BA E **=+, 其中A*为A 的伴随矩阵, E 是单位矩阵, 则B =______-.二. 选择题(本题共8小题,每小题4分,满分32分. 每小题给出的四个选项中,只有一项符合题目要求, 把所选项前的字母填在题后的括号内. ) (7)把0x +→时的无穷小量20cos xtdt α=⎰, 20x β=⎰,30t dt γ=⎰排列起来, 使排在后面的是前一个的高阶无穷小, 则正确的排列次序是[](A ),,.αβγ (B ),,.αγβ(C ),,.βαγ (D ),,.βγα (8)设()(1)f x x x =-, 则[](A )0x =是()f x 的极值点, 但(0,0)不是曲线()y f x =的拐点. (B )0x =不是()f x 的极值点, 但(0,0)是曲线()y f x =的拐点. (C )0x =是()f x 的极值点, 且(0,0)是曲线()y f x =的拐点. (D )0x =不是()f x 的极值点, (0,0)也不是曲线()y f x =的拐点.(9)22lim (1)n nn→∞+等于[](A )221ln xdx ⎰. (B ) 212ln xdx ⎰.(C ) 212ln(1)x dx +⎰. (D ) 221ln(1)x dx +⎰(10)设函数()f x 连续, 且(0)0f '>, 则存在0δ>, 使得 [](A )()f x 在(0,)δ内单调增加. (B )()f x 在(,0)δ-内单调减小. (C )对任意的(0,)x δ∈有()(0)f x f >. (D )对任意的(,0)x δ∈-有()(0)f x f >.(11)微分方程21sin y y x x ''+=++的特解形式可设为 [](A )2(sin cos )y ax bx c x A x B x *=++++. (B )2(sin cos )y x ax bx c A x B x *=++++. (C )2sin y ax bx c A x *=+++.(D )2cos y ax bx c A x *=+++(12)设函数()f u 连续, 区域{}22(,)2D x y x y y =+≤, 则()Df xy dxdy ⎰⎰等于[](A)11()dx f xy dy -⎰⎰.(B)2002()dy f xy dx ⎰⎰.(C )2sin 200(sin cos )d f r dr πθθθθ⎰⎰. (D )2sin 200(sin cos )d f r rdr πθθθθ⎰⎰(13)设A 是3阶方阵, 将A 的第1列与第2列交换得B , 再把B 的第2列加到第3列得C , 则满足AQ C =的可逆矩阵Q 为[](A )010100101⎛⎫ ⎪ ⎪ ⎪⎝⎭. (B )010101001⎛⎫⎪ ⎪ ⎪⎝⎭.(C )010100011⎛⎫ ⎪ ⎪ ⎪⎝⎭. (D )011100001⎛⎫ ⎪⎪ ⎪⎝⎭.(14)设A ,B 为满足0AB =的任意两个非零矩阵, 则必有[](A )A 的列向量组线性相关,B 的行向量组线性相关. (B )A 的列向量组线性相关,B 的列向量组线性相关. (C )A 的行向量组线性相关,B 的行向量组线性相关.(D )A 的行向量组线性相关,B 的列向量组线性相关.三. 解答题(本题共9小题,满分94分. 解答应写出文字说明、证明过程或演算步骤. )(15)(本题满分10分)求极限3012cos lim 13x x x x→⎡⎤+⎛⎫-⎢⎥ ⎪⎝⎭⎢⎥⎣⎦.(16)(本题满分10分)设函数()f x 在(,-∞+∞)上有定义, 在区间[0,2]上,2()(4)f x x x =-, 若对任意的x 都满足()(2)f x k f x =+, 其中k 为常数.(Ⅰ)写出()f x 在[2,0]-上的表达式; (Ⅱ)问k 为何值时, ()f x 在0x =处可导.(17)(本题满分11分) 设2()sin x xf x t dt π+=⎰,(Ⅰ)证明()f x 是以π为周期的周期函数;(Ⅱ)求()f x 的值域.(18)(本题满分12分)曲线2x xe e y -+=与直线0,(0)x x t t ==>及0y =围成一曲边梯形.该曲边梯形绕x 轴旋转一周得一旋转体, 其体积为()V t , 侧面积为()S t , 在x t =处的底面积为()F t .(Ⅰ)求()()S t V t 的值; (Ⅱ)计算极限()lim ()t S t F t →+∞(19)(本题满分12分)设2e a b e <<<, 证明2224ln ln ()b a b a e->-. (20)(本题满分11分)某种飞机在机场降落时,为了减小滑行距离,在触地的瞬间,飞机尾部张开减速伞,以增大阻力,使飞机迅速减速并停下来.现有一质量为9000kg 的飞机,着陆时的水平速度为700/km h .经测试,减速伞打开后,飞机所受的总阻力与飞机的速度成正比(比例系数为66.010k =⨯).问从着陆点算起,飞机滑行的最长距离是多少?注 kg 表示千克,/km h 表示千米/小时.(21)(本题满分10分)设22(,)xyz f x y e =-,其中f 具有连续二阶偏导数,求2,,z z zx y x y∂∂∂∂∂∂∂. (22)(本题满分9分) 设有齐次线性方程组1234123412341234(1)0,2(2)220,33(3)30,444(4)0,a x x x x x a x x x x x a x x x x x a x ++++=⎧⎪++++=⎪⎨++++=⎪⎪++++=⎩ 试问a 取何值时, 该方程组有非零解, 并求出其通解.(23)(本题满分9分)设矩阵12314315a -⎛⎫⎪-- ⎪ ⎪⎝⎭的特征方程有一个二重根, 求a 的值, 并讨论A是否可相似对角化.2003年全国硕士研究生入学统一考试数学二试题一. 填空题(本题共6小题,每小题4分,满分24分. 把答案填在题中横线上)(1) 若0→x 时,1)1(412--ax 与x x sin 是等价无穷小,则a= .(2) 设函数y=f(x)由方程4ln 2y x xy =+所确定,则曲线y=f(x)在点(1,1)处的切线方程是 .(3) xy 2=的麦克劳林公式中nx 项的系数是__________.(4) 设曲线的极坐标方程为)0(>=a e a θρ ,则该曲线上相应于θ从0变到π2的一段弧与极轴所围成的图形的面积为__________.(5) 设α为3维列向量,T α是α的转置. 若⎥⎥⎥⎦⎤⎢⎢⎢⎣⎡----=111111111T αα,则ααT = .(6) 设三阶方阵A,B 满足E B A B A =--2,其中E 为三阶单位矩阵,若⎥⎥⎥⎦⎤⎢⎢⎢⎣⎡-=102020101A ,则B =________. 二、选择题(本题共6小题,每小题4分,满分24分. 每小题给出的四个选项中,只有一项符合题目要求,把所选项前的字母填在题后的括号内)(1)设}{},{},{n n n c b a 均为非负数列,且0lim =∞→n n a ,1lim =∞→n n b ,∞=∞→n n c lim ,则必有[ ](A) n n b a <对任意n 成立. (B) n n c b <对任意n 成立. (C) 极限n n n c a ∞→lim 不存在. (D) 极限n n n c b ∞→lim 不存在.(2)设dx x xa n n nn n +=⎰+-123101, 则极限n n na ∞→lim 等于 (A) 1)1(23++e . (B) 1)1(231-+-e .(C) 1)1(231++-e . (D) 1)1(23-+e .[ ](3)已知xxy ln =是微分方程)(y x x y y ϕ+='的解,则)(y x ϕ的表达式为 [ ](A ) .22xy - (B) .22x y(C) .22yx - (D) .22y x(4)设函数f(x)在),(+∞-∞内连续,其导函数的图形如图所示,则f(x)有[ ](A) 一个极小值点和两个极大值点. (B) 两个极小值点和一个极大值点. (C) 两个极小值点和两个极大值点. (D) 三个极小值点和一个极大值点.(5)01xdx x 02tan , 则 [ ](A) .121>>I I (B) .121I I >>(C) .112>>I I (D) .112I I >>(6)设向量组I :r ααα,,,21 可由向量组II :s βββ,,,21 线性表示,则[ ](A) 当s r <时,向量组II 必线性相关. (B) 当s r >时,向量组II 必线性相关.(C) 当s r <时,向量组I 必线性相关. (D) 当s r >时,向量组I 必线性相关.三 、(本题满分10分)设函数 ,0,0,0,4sin1,6,arcsin )1ln()(23>=<⎪⎪⎪⎩⎪⎪⎪⎨⎧--+-+=x x x xx ax x e x x ax x f ax问a 为何值时,f(x)在x=0处连续;a 为何值时,x=0是f(x)的可去间断点? 四 、(本题满分9分)设函数y=y(x)由参数方程)1(,21ln 2112>⎪⎩⎪⎨⎧=+=⎰+t du u e y t x t u所确定,求.922=x dx y d 五 、(本题满分9分)计算不定积分 .)1(232arctan dx x xex⎰+六 、(本题满分12分)设函数y=y(x)在),(+∞-∞内具有二阶导数,且)(,0y x x y =≠'是y=y(x)的反函数.(1) 试将x=x(y)所满足的微分方程0))(sin (322=++dy dx x y dyx d 变换为y=y(x)满足的微分方程;(2) 求变换后的微分方程满足初始条件23)0(,0)0(='=y y 的解. 七 、(本题满分12分)讨论曲线k x y +=ln 4与x x y 4ln 4+=的交点个数. 八 、(本题满分12分)设位于第一象限的曲线y=f(x)过点)21,22(,其上任一点P(x,y)处的法线与y 轴的交点为Q ,且线段PQ 被x 轴平分.(1) 求曲线 y=f(x)的方程;(2) 已知曲线y=sinx 在],0[π上的弧长为l ,试用l 表示曲线y=f(x)的弧长s. 九 、(本题满分10分)有一平底容器,其内侧壁是由曲线)0)((≥=y y x ϕ绕y 轴旋转而成的旋转曲面(如图),容器的底面圆的半径为2 m.根据设计要求,当以min/33m 的速率向容器内注入液体时,液面的面积将以min /2m π的速率均匀扩大(假设注入液体前,容器内无液体).(1) 根据t 时刻液面的面积,写出t 与)(y ϕ之间的关系式; (2) 求曲线)(y x ϕ=的方程.(注:m 表示长度单位米,min 表示时间单位分.)十 、(本题满分10分)设函数f(x)在闭区间[a,b]上连续,在开区间(a,b)内可导,且.0)(>'x f 若极限ax a x f ax --+→)2(lim 存在,证明:(1) 在(a,b)内f(x)>0; (2)在(a,b)内存在点ξ,使)(2)(22ξξf dxx f a b ba=-⎰; (3) 在(a,b) 内存在与(2)中ξ相异的点η,使⎰-=-'badx x f a a b f .)(2))((22ξξη十 一、(本题满分10分)若矩阵⎥⎥⎥⎦⎤⎢⎢⎢⎣⎡=60028022a A 相似于对角阵Λ,试确定常数a 的值;并求可逆矩阵P 使.1Λ=-AP P十二 、(本题满分8分)已知平面上三条不同直线的方程分别为:1l 032=++c by ax , :2l 032=++a cy bx , :3l032=++b ay cx .试证这三条直线交于一点的充分必要条件为.0=++c b a2002年全国硕士研究生入学统一考试数学(二)试题一、填空题(本题共5小题,每小题3分,满分15分)1.设函数0)(2arcsin 12tan ≤<⎪⎩⎪⎨⎧=-x x aex f xe xx在0=x 处连续,则=a ( ). 2.位于曲线xxe y -=(+∞<≤x 0)下方,x 轴上方的无界图形的面积为( ).3.02='+''y y y 满足初始条件21)0(,1)0(='=y y 的特解是( ). 4.1lim 1cos n n →∞++=( ).5.矩阵⎪⎪⎪⎭⎫⎝⎛-----222222220的非零特征值是( ).二、单项选择题(本题共5小题,每小题3分,满分15分.)1.函数)(u f 可导,)(2x f y =当自变量x 在1-=x 处取得增量1.0-=∆x 时,相应的函数增量y ∆的线性主部为0.1,则)1(f '= (A)-1; (B)0.1;(C)1; (D)0.5.2.函数)(x f 连续,则下列函数中,必为偶函数的是 (A)⎰x dt t f 02)(; (B)⎰x dt t f 02)(;(C)⎰--x dt t f t f t 0)]()([; (D)⎰-+xdt t f t f t 0)]()([.3.设)(x f y =是二阶常系数微分方程xe qy y p y 3=+'+''满足初始条件0)0()0(='=y y 的特解,则极限)()1ln(lim 20x y x x +→(A)不存在; (B)等于1; (C)等于2; (D) 等于3. 4.设函数)(x f 在+R 上有界且可导,则(A)当0)(lim =+∞→x f x 时,必有0)(lim ='+∞→x f x ;(B)当)(lim x f x '+∞→存在时,必有0)(lim ='+∞→x f x ;(C) 当0)(lim 0=+→x f x 时,必有0)(lim 0='+→x f x ;(D) 当)(lim 0x f x '+→存在时,必有0)(lim 0='+→x f x .5.设向量组321,,ααα线性无关,向量1β可由321,,ααα线性表示,而向量2β不能由321,,ααα线性表示,则对于任意常数k 必有(A)21321,,,ββααα+k 线性无关;(B) 21321,,,ββααα+k 线性相关; (C)21321,,,ββαααk +线性无关; (D) 21321,,,ββαααk +线性相关.三、(本题满分6分)已知曲线的极坐标方程为θcos 1-=r ,求该曲线对应于6πθ=处的切线与法线的直角坐标方程.四、(本题满分7分)设函数10012)(2)1(223≤≤<≤-⎪⎩⎪⎨⎧+==+x x xx x f y x x e xe ,求函数⎰-=x dt t f x F 1)()(的表达式.五、(本题满分7分)已知函数)(x f 在+R 上可导,0)(>x f ,1)(lim =+∞→x f x ,且满足x he xf hx x f h 11))()((lim 0=+→,求)(x f . 六、(本题满分7分)求微分方程0)2(=-+dx y x xdy 的一个解)(x y y =,使得由曲线)(x y y =与直线2,1==x x 以及x 轴所围成的平面图形绕x 轴旋转一周的旋转体的体积最小. 七、(本题满分7分)某闸门的形状与大小如图所示,其中直线l 为对称轴,闸门的上部为矩形ABCD,下部由二次曲线与线段 AB所围成.当水面与闸门的上断相平时,欲使闸门矩形部分与 承受的水压与闸门下部承受的水压之比为5:4,闸门矩形部分 的高h 应为多少? 八、(本题满分8分)设30<<n x ,)3(1n n n x x x -=+(n =1,2,3,…). 证明:数列{n x }的极限存在,并求此极限.九、(本题满分8分)设0>>a b ,证明不等式aba b a b b a a 1ln ln 222<--<+.十、(本题满分8分)设函数)(x f 在x =0的某邻域具有二阶连续导数,且0)0()0()0(≠'''f f f .证明:存在惟一的一组实数c b a ,,,使得当0→h 时,)()0()3()2()(2h o f h cf h bf h af =-++.十一、(本题满分6分)已知A,B为三阶方阵,且满足E B B A 421-=-.⑴证明:矩阵E A 2-可逆;⑵若⎪⎪⎪⎭⎫⎝⎛-=200021021B ,求矩阵A. 十二、(本题满分6分)已知四阶方阵),,,(4321αααα=A , 4321,,,αααα均为四维列向量,其中432,,ααα线性无关,3212ααα-=.若4321ααααβ+++=,求线性方程组β=Ax 的通解.2001年全国硕士研究生入学统一考试数学(二)试题一、填空题(本题共5小题,每小题3分,满分15分) 1、213lim21-++--→x x xx x =( ).2、曲线1)cos(2-=-+e xy eyx 在点(0,1)处 的切线方程为 :( ). 3、xdx x x 223cos )sin (22⎰-+ππ=( ). 4、微分方程11arcsin 2=-+'x y x y 满足)(21y =0的特解为:( ).5、方程组⎪⎪⎪⎭⎫⎝⎛-=⎪⎪⎪⎭⎫ ⎝⎛⎪⎪⎪⎭⎫ ⎝⎛211111111321x x x a a a 有无穷多解,则a =( ).二、单项选择题(本题共5小题,每小题3分,满分15分.) 1、1101)(>≤⎩⎨⎧=x x x f 则)]}([{x f f f =( A ) 0;(B )1;(C )1101>≤⎩⎨⎧x x ; (D )111>≤⎩⎨⎧x x .2、0→x 时,)1ln()cos 1(2x x +-是比n x x sin 高阶的无穷小,而nx x sin 是比12-x e 高阶的无穷小,则正整数n 等于( A )1;(B )2;(C )3;(D )4. 3、曲线22)3()1(--=x x y 的拐点的个数为 ( A )0;(B )1;(C )2;(D )3.4、函数)(x f 在区间(1-δ,1+δ)内二阶可导,)(x f ' 严格单调减小,且)1(f =)1(f '=1,则(A )在(1-δ,1)和(1,1+δ)内均有)(x f x <; (B )在(1-δ,1)和(1,1+δ)内均有)(x f x >;(C )在(1-δ,1)内有)(x f x <,在(1,1+δ)内有)(x f x >; (D )在(1-δ,1)内有)(x f x >,在(1,1+δ)内有)(x f x <. 5、设函数)(x f 在定义域内可导,)(x f y =的图形如右图所示: 则)(x f y '=的图形为 ( )三、(本题满分6分)求⎰++221)12(xxdx.四、(本题满分7分)求函数)(x f =sin sin sin lim()sin xt x t x t x-→的表达式,并指出函数)(x f 的间断点及其类型.五、(本题满分7分)设)(x ρρ=是抛物线x y =上任意一点M (y x ,)(1≥x )处的曲率半径,)(x s s =是该抛物线上介于点A (1,1)与M 之间的弧长,计算222)(3ds d ds d ρρρ-的值(曲率K =23)1(2y y '+''). 六、(本题满分7分))(x f 在[0,+∞)可导,)0(f =0,且其反函数为)(x g . 若x x f e x dt t g 2)(0)(=⎰,求)(x f .七、(本题满分7分)设函数)(x f ,)(x g 满足)(x f '=)(x g , )(x g '=2xe -)(x f且)0(f =0,(0)g =2,求dx x x f x x g ⎰+-+π2])1()(1)([八、(本题满分9分)设L 为一平面曲线,其上任意点P (y x ,)(0>x )到原点的距离,恒等于该点处 的切线在y 轴上的截距,且L 过点(0.5,0).1、 求L 的方程2、 求L 的位于第一象限部分的一条切线,使该切线与L 以及两坐标轴所围成的图形的面积最小.九、(本题满分7分)一个半球型的雪堆,其体积的融化的速率与半球面积S 成正比比例系数K>0.假设在融化过程中雪堆始终保持半球形状,已知半径为 r 0 的雪堆在开始融化的3小时内,融化了其体积的7/8,问雪堆全部融化需要多少时间?十、(本题满分8分))(x f 在[-a ,a]上具有二阶连续导数,且)0(f =01、 写出)(x f 的带拉格朗日余项的一阶麦克劳林公式;2、 证明在[-a ,a]上至少存在一点η,使⎰-=''a adx x f f a )(3)(3η十一、(本题满分6分)已知⎪⎪⎪⎭⎫⎝⎛=⎪⎪⎪⎭⎫ ⎝⎛=011101110,111011001B A 且满足AXA+BXB=AXB+BXA+E ,求X .十二、(本题满分6分)设4321,,,αααα为线性方程组AX=O 的一个基础解系, 144433322211,,,ααβααβααβααβt t t t +=+=+=+=,其中t 为实常数试问t 满足什么条件时4321,,,ββββ也为AX=O 的一个基础解系.2000 年全国硕士研究生入学统一考试一、 填空题1.2.3.4.5.二、选择题6. 7.8.9.10.三、解答题11.12.13.14.15.16. 17.18.19.20.21.1999 年全国硕士研究生入学统一考试(数学二)1998 年全国硕士研究生入学统一考试(数学二)1997 年全国硕士研究生入学统一考试(数学二)1996 年全国硕士研究生入学统一考试(数学二)1995 年全国硕士研究生入学统一考试(数学二)1994 年全国硕士研究生入学统一考试(数学二)1993 年全国硕士研究生入学统一考试(数学二)1992 年全国硕士研究生入学统一考试(数学二)1991 年全国硕士研究生入学统一考试(数学二)1990 年全国硕士研究生入学统一考试(数学二)。
2017年普通高等学校招生全国统一考试(全国II )数学(理科)一、选择题:本大题共12小题,每小题5分,在每小题给出的四个选项中,只有一项是符合题目要求的.(1)【2017年全国Ⅱ,理1,5分】31ii+=+( )(A )12i + (B )12i - (C )2i + (D )2i - 【答案】D【解析】()()()()3i 1i 3i 42i2i 1i 1i 1i 2+-+-===-++-,故选D . (2)【2017年全国Ⅱ,理2,5分】设集合{}1,2,4A =,{}240B x x x m =-+=.若{1}A B =I ,则B =( )(A ){}1,3- (B ){}1,0 (C ){}1,3 (D ){}1,5【答案】C【解析】集合{}1,2,4A =,24{|}0B x x x m -=+=.若{}1A B =I ,则1A ∈且1B ∈,可得140m -+=-,解得3m =, 即有243013{|}{,}B x x x =+==-,故选C .(3)【2017年全国Ⅱ,理3,5分】我国古代数学名著《算法统宗》中有如下问题:“远望巍巍塔七层,红光点点倍加增,共灯三百八十一,请问尖头几盏灯?”意思是:一座7层塔共挂了381盏灯,且相邻两层中的下一层灯数是上一层灯数的2倍,则塔的顶层共有灯( )(A )1盏 (B )3盏 (C )5盏 (D )9盏 【答案】B【解析】设这个塔顶层有a 盏灯,∵宝塔一共有七层,每层悬挂的红灯数是上一层的2倍,∴从塔顶层依次向下每层灯数是以2为公比、a 为首项的等比数列,又总共有灯381盏,∴()71238112712a a -==-,解得3a =,则这个塔顶层有3盏灯,故选B .(4)【2017年全国Ⅱ,理4,5分】如图,网格纸上小正方形的边长为1,粗实线画出的是某几何体的三视图,该几何体由一平面将一圆柱截去一部分后所得,则该几何体的体积为( ) (A )90π (B )63π (C )42π (D )36π 【答案】B【解析】由三视图可得,直观图为一个完整的圆柱减去一个高为6的圆柱的一半,22131036632V πππ=⋅⨯-⋅⋅⨯=,故选B .(5)【2017年全国Ⅱ,理5,5分】设x ,y 满足约束条件2330233030x y x y y +-≤⎧⎪-+≥⎨⎪+≥⎩,则2z x y =+的最小值是( )(A )15- (B )9- (C )1 (D )9 【答案】A【解析】x 、y 满足约束条件2330233030x y x y y +-≤⎧⎪-+≥⎨⎪+≥⎩的可行域如图:2z x y =+经过可行域的A时,目标函数取得最小值,由32330y x y =-⎧⎨-+=⎩解得()6,3A --,则2z x y =+的最小值是:15-,故选A .(6)【2017年全国Ⅱ,理6,5分】安排3名志愿者完成4项工作,每人至少完成1项,每项工作由1人完成,则不同的安排方式共有( )(A )12种 (B )18种 (C )24种 (D )36种 【答案】D【解析】4项工作分成3组,可得:24C 6=,安排3名志愿者完成4项工作,每人至少完成1项,每项工作由1人完成,可得:336A 36⨯=种,故选D . (7)【2017年全国Ⅱ,理7,5分】甲、乙、丙、丁四位同学一起去向老师询问成语竞赛的成绩.老师说:你们四人中有2位优秀,2位良好,我现在给甲看乙、丙的成绩,给乙看丙的成绩,给丁看甲的成绩.看后甲对大家说:我还是不知道我的成绩.根据以上信息,则( )(A )乙可以知道四人的成绩 (B )丁可以知道四人的成绩 (C )乙、丁可以知道对方的成绩 (D )乙、丁可以知道自己的成绩 【答案】D 【解析】四人所知只有自己看到,老师所说及最后甲说话,甲不知自己的成绩→乙丙必有一优一良,(若为两优,甲会知道自己的成绩;若是两良,甲也会知道自己的成绩)→乙看到了丙的成绩,知自己的成绩→丁看到甲、丁中也为一优一良,丁知自己的成绩,故选D .(8)【2017年全国Ⅱ,理8,5分】执行右面的程序框图,如果输入的1a =-,则输出的S = ( )(A )2 (B )3 (C )4 (D )5 【答案】B 【解析】执行程序框图,有0S =,1k =,1a =-,代入循环,第一次满足循环,1S =-,1a =,2k =;满足条件,第二次满足循环,1S =,1a =-,3k =;满足条件,第三次满足循环,2S =-, 1a =,4k =;满足条件,第四次满足循环,2S =,1a =-,5k =;满足条件,第五次满足 循环,3S =-,1a =,6k =;满足条件,第六次满足循环,3S =,1a =-,7k =;76≤不 成立,退出循环输出,3S =,故选B .(9)【2017年全国Ⅱ,理9,5分】若双曲线()2222:10,0x y C a b a b-=>>的一条渐近线被圆()2224x y -+=所截得的弦长为2,则C 的离心率为( )(A )2 (B )3 (C )2 (D )23【答案】A【解析】双曲线()2222:10,0x y C a b a b-=>>的一条渐近线不妨为:0bx ay +=,圆()2242x y +=-的圆心()2,0,半径为:2,双曲线()2222:10,0x y C a b a b-=>>的一条渐近线被圆()2242x y +=-所截得的弦长为2,可得圆心到直线的距离为:22222213b a b -==+,得:222443c a c -=,可得2e 4=,即e 2=,故选A . (10)【2017年全国Ⅱ,理10,5分】已知直三棱柱111ABC A B C -中,120ABC ∠=o ,2AB =,11BC CC ==,则异面直线1AB 与1BC 所成角的余弦值为( ) (A )3(B ) 15(C ) 10 (D )3【答案】C【解析】如图所示,设M 、N 、P 分别为AB ,1BB 和11B C 的中点,则1AB 、1BC 夹角为MN和NP 夹角或其补角(因异面直线所成角为0,2π⎛⎤⎥⎝⎦,可知1152MN AB ==,1122NP BC ==;作BC 中点Q ,则PQM ∆为直角三角形;∵1PQ =,12MQ AC =,ABC ∆中,由余弦定理得2222AC AB BC AB BC cos ABC =+-⋅⋅∠141221172⎛⎫=+-⨯⨯⨯-= ⎪⎝⎭,∴7AC =,∴7MQ =;在MQP ∆中,2211MP MQ PQ =+=;在PMN ∆中,由余弦定理得222222521110cos 2522MN NP PM MNP MH NP ⎛⎫⎛⎫⎛⎫+- ⎪ ⎪ ⎪ ⎪ ⎪ ⎪+-⎝⎭⎝⎭⎝⎭∠===-⋅⋅⨯⨯;又异面直线所成角的范围是0,2π⎛⎤⎥⎝⎦,∴1AB 与1BC 所成角的余弦值为10,故选C .(11)【2017年全国Ⅱ,理11,5分】若2x =-是函数21`()(1)x f x x ax e -=+-的极值点,则()f x 的极小值为( )(A )1- (B )32e -- (C )35e - (D )1 【答案】A【解析】函数()()121x f x x ax e -=+-,得()()()11221x x e f x x a x ax e --'=+++-,2x =-是21`()(1)x f x x ax e -=+-的极值点,得:()4320a a -++-=.得1a =-.可得()()()()211212211x x x e e x x e f x x x x ---'=-+--=+-,函数的极值点为:2x =-,1x =,当2x <-或1x >时,()0f x '>函数是增函数,()2,1x ∈-时,函数是减函数,1x =时,函数取得极小值:()()21111111f e -=--=-,故选A .(12)【2017年全国Ⅱ,理12,5分】已知ABC ∆是边长为2的等边三角形,P 为平面ABC 内一点,则()PA PB PC ⋅+u u u r u u u r u u u r的最小值是( )(A )2- (B )32- (C )43- (D )1-【答案】B【解析】建立如图所示的坐标系,以BC 中点为坐标原点,则()0,3A ,()1,0B -,()1,0C ,设(),P x y ,则(),3PA x y =--u u u r,()1,PB x y =---u u u r ,()1,PC x y =--u u u r ,则()PA PB PC ⋅+u u u r u u u r u u u r222233223224x y y x y ⎡⎤⎛⎫⎢⎥=-+=+-- ⎪ ⎪⎢⎥⎝⎭⎣⎦∴当0x =,3y =时,取得最小值33242⎛⎫⨯-=- ⎪⎝⎭,故选B . 二、填空题:本题共4小题,每小题5分,共20分. (13)【2017年全国Ⅱ,理13,5分】一批产品的二等品率为0.02,从这批产品中每次随机取一件,有放回地抽取100次,X 表示抽到的二等品件数,则DX =______. 【答案】1.96【解析】由题意可知,该事件满足独立重复试验,是一个二项分布模型,其中,0.02p =,100n =,则()11000.020.98 1.96DX npq np p ==-=⨯⨯=.(14)【2017年全国Ⅱ,理14,5分】函数()23sin 3cos 0,42f x x x x π⎛⎫⎡⎤=+-∈ ⎪⎢⎥⎣⎦⎝⎭的最大值是______.【答案】1【解析】()2233sin 3cos 1cos 3cos 44f x x x x x =+-=-+-,令cos x t =且[]0,1t ∈,则()2213314f t t t t ⎛⎫=-++=--+ ⎪ ⎪⎝⎭,当3t =时,()max 1f t =,即()f x 的最大值为1. (15)【2017年全国Ⅱ,理15,5分】等差数列{}n a 的前n 项和为n S ,33a =,410S =,则11nk kS ==∑______. 【答案】21nn + 【解析】等差数列{}n a 的前n 项和为n S ,33a =,410S =,()423210S a a =+=,可得22a =,数列的首项为1,公差为1,()12n n n S -=,()1211211n S n n n n ⎛⎫==- ⎪++⎝⎭,则11111111121223341nk kS n n =⎡⎤=-+-+-++-⎢⎥+⎣⎦∑L 122111n n n ⎛⎫=-=⎪++⎝⎭. (16)【2017年全国Ⅱ,理16,5分】已知F 是抛物线C :28y x =的焦点,M 是C 上一点,FM 的延长线交y轴于点N .若M 为FN 的中点,则FN =_______.【答案】6【解析】抛物线C :28y x =的焦点()2,0F ,M 是C 上一点,FM 的延长线交y 轴于点N .若M 为FN 的中点,可知M 的横坐标为:1,则M 的纵坐标为:22±,()()2222122206FN FM ==-+±-=.三、解答题:共70分。
2017年全国硕士研究生入学统一考试数学二试题一、选择题:1~8小题,每小题4分,共32分。
下列每题给出的四个选项中,只有一个选项是符合题目要求的.(1)若函数1cos ,0(),0xx f x axb x ⎧->⎪=⎨⎪≤⎩在x=0连续,则 (A)12ab =(B)12ab =- (C)0ab = (D)2ab = (2)设二阶可到函数()f x 满足(1)(1)1,(0)1f f f =-==-且 ()0f x ''>,则 (A) 11()0f x dx ->⎰ (B) 12()0f x dx -<⎰(C) 0110()()f x dx f x dx ->⎰⎰(D)111()()f x dx f x dx -<⎰⎰(3)设数列{}n x 收敛,则(A)当limsin 0n n x →∞=时,lim 0n n x →∞=(B)当lim ()0n n n n x x x →∞+= 时,则lim 0n n x →∞=(C)当2lim()0n n n x x →∞+=,lim 0n →∞=(D)当lim(sin )0n n n x x →∞+=时,lim 0n n x →∞=(4)微分方程248(1cos 2)xy y y e x '''-+=+ 的特解可设为ky =(A)22(cos 2sin 2)xx Aee B x C x ++ (B)22(cos 2sin 2)xx Axe e B x C x ++(C)22(cos 2sin 2)xx Aexe B x C x ++ (D)22(cos 2sin 2)xx Axexe B x C x ++(5)设()f x 具有一阶偏导数,且在任意的(,)x y ,都有(,)(,)0,f x y f x y x y∂∂>∂∂则 (A)(0,0)(1,1)f f > (B)(0,0)(1,1)f f <(C)(0,1)(1,0)f f > (D)(0,1)(1,0)f f <(6)甲乙两人赛跑,计时开始时,甲在乙前方10(单位:m )处,图中,实线表示甲的速度曲线()1v v t = (单位:m/s )虚线表示乙的速度曲线()2v v t =,三块阴影部分面积的数值依次为10,20,3,计时开始后乙追上甲的时刻记为0t (单位:s ),则(A)010t = (B)01520t << (C)025t = (D)025t >0510********()t s (/)v m s 1020(7)设A 为三阶矩阵,123(,,)P ααα=为可逆矩阵,使得 1000010002P AP -⎡⎤⎢⎥=⎢⎥⎢⎥⎣⎦,则123(,,)A ααα=(A)12αα+ (B)232αα+ (C)23αα+ (D)122αα+(8)已知矩阵200021001A ⎡⎤⎢⎥=⎢⎥⎢⎥⎣⎦,210020001B ⎡⎤⎢⎥=⎢⎥⎢⎥⎣⎦,100020000C ⎡⎤⎢⎥=⎢⎥⎢⎥⎣⎦,则 (A) A 与C 相似,B 与C 相似(B) A 与C 相似,B 与C 不相似 (C) A 与C 不相似,B 与C 相似 (D) A 与C 不相似,B 与C 不相似二、填空题:9~14题,每小题4分,共24分.(9)曲线()21arcsin y x x =+的斜渐近线方程为(10)设函数()y y x =由参数方程sin t x t e y t⎧=+⎨=⎩确定,则202t d ydx =(11)()2ln(1)1x dx x +∞++⎰=(12)设函数(),f x y 具有一阶连续偏导数,且()()(),1,0,00y y df x yye dx x y e dy f =++=,则(),f x y =(13)11tan yxdy dx x=⎰⎰(14)设矩阵41212311A a ⎛⎫- ⎪= ⎪ ⎪-⎝⎭的一个特征向量为112⎛⎫⎪⎪ ⎪⎝⎭,则a =三、解答题:15~23小题,共94分。
2017年全国硕士研究生入学统一考试数学二试题解析一、选择题:1~8小题,每小题4分,共32分,下列每小题给出的四个选项中,只有一项符合题目要求的,请将所选项前的字母填在答题纸...指定位置上.(1))若函数1cos ,0(),0x f x axb x ⎧->⎪=⎨⎪≤⎩在0x =处连续,则()(A)12ab =(B)12ab =-(C)0ab =(D)2ab =【答案】A【解析】001112lim lim ()2x x xf x ax ax a ++→→-== 在0x =处连续11.22b ab a ∴=⇒=选A.(2)设二阶可导函数()f x 满足(1)(1)1,(0)1f f f =-==-且''()0f x >,则()()()1111011110()()0()0()()()()()A f x dx B f x dx C f x dx f x dxD f x dx f x dx----><><⎰⎰⎰⎰⎰⎰【答案】B 【解析】()f x 为偶函数时满足题设条件,此时011()()f x dx f x dx -=⎰⎰,排除C,D.取2()21f x x =-满足条件,则()112112()2103f x dx xdx --=-=-<⎰⎰,选B.(3)设数列{}n x 收敛,则()()A 当lim sin 0n n x →∞=时,lim 0n n x →∞=()B当lim(0n n x →∞+=时,lim 0n n x →∞=()C 当2lim()0n n n x x →∞+=时,lim 0n n x →∞=()D 当lim(sin )0n n n x x →∞+=时,lim 0n n x →∞=【答案】D【解析】特值法:(A )取n x π=,有lim sin 0,lim n n n n x x π→∞→∞==,A 错;取1n x =-,排除B,C.所以选D.(4)微分方程的特解可设为(A )22(cos 2sin 2)xx Ae e B x C x ++(B )22(cos 2sin 2)xx Axee B x C x ++(C )22(cos 2sin 2)xx Aexe B x C x ++(D )22(cos 2sin 2)xx Axee B x C x ++【答案】A【解析】特征方程为:21,248022iλλλ-+=⇒=±222*2*212()(1cos 2)cos 2,(cos 2sin 2),x x x x xf x e x e e x y Ae y xe B x C x =+=+∴==+ 故特解为:***2212(cos 2sin 2),xx y y y Aexe B x C x =+=++选C.(5)设(,)f x y 具有一阶偏导数,且对任意的(,)x y ,都有(,)(,)0,0f x y f x y x y∂∂>>∂∂,则(A )(0,0)(1,1)f f >(B )(0,0)(1,1)f f <(C )(0,1)(1,0)f f >(D )(0,1)(1,0)f f <【答案】C 【解析】(,)(,)0,0,(,)f x y f x y f x y x y∂∂><⇒∂∂是关于x 的单调递增函数,是关于y 的单调递减函数,所以有(0,1)(1,1)(1,0)f f f <<,故答案选D.(6)甲乙两人赛跑,计时开始时,甲在乙前方10(单位:m )处,图中实线表示甲的速度曲线1()v v t =(单位:/m s ),虚线表示乙的速度曲线2()v v t =,三块阴影部分面积的数值依次为10,20,3,计时开始后乙追上甲的时刻记为0t (单位:s ),则()(A )010t =(B )01520t <<(C )025t =(D )025t >【答案】B【解析】从0到0t 这段时间内甲乙的位移分别为120(t),(t),t t v dt v dt ⎰⎰则乙要追上甲,则210(t)v (t)10t v dt -=⎰,当025t =时满足,故选C.(7)设A 为三阶矩阵,123(,,)P ααα=为可逆矩阵,使得1012P AP -⎛⎫ ⎪= ⎪ ⎪⎝⎭,则123(,,)A ααα=()(A )12αα+(B )232αα+(C )23αα+(D )122αα+【答案】B【解析】11231232300011(,,)(,,)12222P AP AP P A αααααααα-⎛⎫⎛⎫⎛⎫ ⎪ ⎪ ⎪=⇒=⇒==+ ⎪ ⎪ ⎪ ⎪ ⎪ ⎪⎝⎭⎝⎭⎝⎭,因此B 正确。
2017年全国统一高考新课标版Ⅱ卷全国2卷文科数学试卷及参考答案与解析一、选择题:本题共12小题,每小题5分,共60分.在每小题给出的四个选项中,只有一项是符合题目要求的.1.(5分)设集合A={1,2,3},B={2,3,4},则A∪B=( )A.{1,2,3,4}B.{1,2,3}C.{2,3,4}D.{1,3,4}2.(5分)(1+i)(2+i)=( )A.1-iB.1+3iC.3+iD.3+3i3.(5分)函数f(x)=sin(2x+)的最小正周期为( )A.4πB.2πC.πD.4.(5分)设非零向量,满足|+|=|-|则( )A.⊥B.||=||C.∥D.||>||5.(5分)若a>1,则双曲线-y2=1的离心率的取值范围是( )A.(,+∞)B.(,2)C.(1,)D.(1,2)6.(5分)如图,网格纸上小正方形的边长为1,粗实线画出的是某几何体的三视图,该几何体由一平面将一圆柱截去一部分后所得,则该几何体的体积为( )A.90πB.63πC.42πD.36π7.(5分)设x,y满足约束条件,则z=2x+y的最小值是( )A.-15B.-9C.1D.98.(5分)函数f(x)=ln(x2-2x-8)的单调递增区间是( )A.(-∞,-2)B.(-∞,-1)C.(1,+∞)D.(4,+∞)9.(5分)甲、乙、丙、丁四位同学一起去问老师询问成语竞赛的成绩.老师说:你们四人中有2位优秀,2位良好,我现在给甲看乙、丙的成绩,给乙看丙的成绩,给丁看甲的成绩.看后甲对大家说:我还是不知道我的成绩.根据以上信息,则( )A.乙可以知道四人的成绩B.丁可以知道四人的成绩C.乙、丁可以知道对方的成绩D.乙、丁可以知道自己的成绩10.(5分)执行如图的程序框图,如果输入的a=-1,则输出的S=( )A.2B.3C.4D.511.(5分)从分别写有1,2,3,4,5的5张卡片中随机抽取1张,放回后再随机抽取1张,则抽得的第一张卡片上的数大于第二张卡片上的数的概率为( )A. B. C. D.12.(5分)过抛物线C:y2=4x的焦点F,且斜率为的直线交C于点M(M在x轴上方),l为C 的准线,点N在l上,且MN⊥l,则M到直线NF的距离为( )A. B.2 C.2 D.3二、填空题,本题共4小题,每小题5分,共20分13.(5分)函数f(x)=2cosx+sinx的最大值为.14.(5分)已知函数f(x)是定义在R上的奇函数,当x∈(-∞,0)时,f(x)=2x3+x2,则f(2)=.15.(5分)长方体的长、宽、高分别为3,2,1,其顶点都在球O的球面上,则球O的表面积为.16.(5分)△ABC的内角A,B,C的对边分别为a,b,c,若2bcosB=acosC+ccosA,则B=.三、解答题:共70分.解答应写出文字说明,证明过程或演算步骤,第17至21题为必考题,每个试题考生都必须作答.第22、23题为选考题,考生根据要求作答.(一)必考题:共60分.17.(12分)已知等差数列{an }的前n项和为Sn,等比数列{bn}的前n项和为Tn,a1=-1,b1=1,a2+b2=2.(1)若a3+b3=5,求{bn}的通项公式;(2)若T3=21,求S3.18.(12分)如图,四棱锥P-ABCD中,侧面PAD为等边三角形且垂直于底面ABCD,AB=BC=AD,∠BAD=∠ABC=90°.(1)证明:直线BC∥平面PAD;(2)若△PCD面积为2,求四棱锥P-ABCD的体积.19.(12分)海水养殖场进行某水产品的新、旧网箱养殖方法的产量对比,收获时各随机抽取了100个网箱,测量各箱水产品的产量(单位:kg),其频率分布直方图如下:(1)记A表示事件“旧养殖法的箱产量低于50kg”,估计A的概率;.K2=.20.(12分)设O为坐标原点,动点M在椭圆C:+y2=1上,过M作x轴的垂线,垂足为N,点P满足=.(1)求点P的轨迹方程;(2)设点Q在直线x=-3上,且•=1.证明:过点P且垂直于OQ的直线l过C的左焦点F.21.(12分)设函数f(x)=(1-x2)e x.(1)讨论f(x)的单调性;(2)当x≥0时,f(x)≤ax+1,求a的取值范围.选考题:共10分。
NBF 辅导,真正为考研人着想的辅导! 1999 年考研数学二试题分析(NBF 真题计划:公共课最准,专业课最全!)一、填空题(1)曲线⎧⎪⎪⎨⎪⎪⎩x y= =et etsin 2t cos t,在点(0,1)处的法线方程为.答 应填 y + 2x −1= 0.分析 本题通过求曲线的法线方程,考查由参数方程所确定的函数在一点的导 数dy dx=etet cos sin 2tt −et + 2etsin t cos 2t,而 当 x = 0时,t = 0,故dy dxx=0=1 2,从而在点(0,1) 处法线的斜率为-2,法线方程为y −1= −2x.(2)设函数 y = y(x)由方程, ln(x2 + y) = x3 y + sin x确定,则 dy dxx=0 =.答 应填 1分析 两边同时对 x 求导,并将 x = 0代入求出y' x=0 的值 即可2x + x2 +y' y=3x2 y+x3 y'+ cosx由原方程知 x = 0时,y = 1, 将x = 0, y = 1代入上式,得y' =1(3) ∫x2x+5 −6x +13dx=.答 应填 1 ln(x2 −6x +13)+ 4 arctan x −3 + C (C为任意常数)22分析 求被积函数为有理函数的不定积分时,通常利用凑微分法.NBF 考研辅导,全程包过,不过退款! QQ 客服:296312040NBF 辅导,真正为考研人着想的辅导! ∫x2x+5 −6x +13dx=1 2∫d(x2 −6x +13)x2 − 6x +13+∫8dx x2 − 6x +13= 1 ln(x2 −6x +13)+ 4 arctan x −3 + C22(4)函数 y =x2 1− x2在区间⎛⎜⎜⎜⎜⎝1 2,3 2⎞⎠⎟⎟⎟⎟ 上的平均值为.答 应填3 +1 π. 12分析 函数 y = f (x)在区间[a,b]上的平均值是指1 b−a∫b af( x) dx.∫ 故所求的平均值为2 3 −13 2 1 2x2 dx, 1− x2令 x = sin θ, 则上式等于∫ 23 −1π3 πsin2θdθ=632−1 ⎜⎜⎜⎝⎛ 12θ−1 4sin2θ⎞⎠⎟⎟⎟π 3 π 6= 3 +1 π. 12(5)微分方程 y'' − 4 y = e2x 的通解为.答 应填y=C1e−2x+⎜⎜⎝⎛⎜C2+1 4x⎠⎞⎟⎟⎟ e2 x(C1,C2为任意常数)分析 特征方程为: r2 − 4 = 0,解得r1 = 2, r2 = −2,故y'' − 4 y = 0的通解y1 = C1e−2x + C2e2x , 由于非齐次方程右端的非齐次项为 e2x ,指数上的 2 为特征方程的单根,故原方程特解可设为 yi = Axe2x , 代入原方程化简得 A = 1 ,故所求的通解 4y=y1+yi=C1e−2 x+ C2e2x+1 4xe2 x .二、选择题(1)设f(x)=⎧⎪⎪⎪⎨⎪⎪⎪⎪⎩1x−2 gcox( sx)x,,x>0 x≤0,其中g(x)是有界函数,则f(x)在x=0处NBF 考研辅导,全程包过,不过退款! QQ 客服:296312040NBF 辅导,真正为考研人着想的辅导! (A)极限不存在. (C)连续,但不可导. 答 应选 D(B)极限存在,但不连续. (D)可导.分析 根据一元函数性质,若能首先判定 f (x)在x = 0处可导,则 (A)(B)(C)均被排除。
一、选择题(每小题4分,共32分)(1)若函数21cos ,0(),0xx f x axb x ⎧->⎪=⎨⎪≤⎩在0x =处连续,则( )。
A. 12ab = B. 12ab =-C. 0ab =D. 2ab = 【答案】A【解析】由连续的定义可知:-0lim ()lim ()(0),x x f x f x f +→→==其中-0(0)lim ()x f f x b →==,2000112lim ()lim lim 2x x x f x ax a+++→→→===,从而12b a =,也即12ab =,故选A. 【试题点评】本题考查函数的连续性。
此知识点在冲刺阶段的数学冲刺串讲班中第一部分高等数学有重点讲解,在强化阶段数学强化班高等数学第一章函数、极限、连续和强化阶段数学重点题型精讲班也均有涉及。
(2)设二阶可导函数()f x 满足(1)(1)1,(0)1f f f =-==-,且''()0f x >,则( )。
A. 11()0f x dx ->⎰ B. 12()0f x dx -<⎰ C. 0110()()f x dx f x dx ->⎰⎰D.11()()f x dx f x dx -<⎰⎰【答案】B【解析】由于'()0f x <,可知其中()f x 的图像在其任意两点连线的曲线下方,也即()(0)[(1)(0)]21f x f f f x x ≤+-=-,(0,1)x ∈,因此11()(21)=0f x dx f x dx -⎰⎰<,同理()(0)[(0)(1)]21(1,0)f x f f f x x x ≤+--=--∈-,,因此 0111()(21)=0f x dx f x dx ----⎰⎰<,从而11()0f x dx -⎰<,故选B.【试题点评】本题考查二阶导数与拐点的关系。
此知识点在冲刺阶段的数学冲刺串讲班中第一部分高等数学有重点讲解,在强化阶段数学强化班高等数学第二章导数与微分和强化阶段数学重点题型精讲班也均有涉及。
2017年全国统一高考数学试卷(文科)(新课标Ⅱ)一、选择题:本题共12小题,每小题5分,共60分.在每小题给出的四个选项中,只有一项是符合题目要求的.1.(5分)设集合A={1,2,3},B={2,3,4},则A∪B=()A.{1,2,3,4}B.{1,2,3}C.{2,3,4}D.{1,3,4}2.(5分)(1+i)(2+i)=()A.1﹣i B.1+3i C.3+i D.3+3i3.(5分)函数f(x)=sin(2x +)的最小正周期为()A.4πB.2πC.πD .4.(5分)设非零向量,满足|+|=|﹣|则()A .⊥B.||=||C .∥D.||>||5.(5分)若a>1,则双曲线﹣y2=1的离心率的取值范围是()A.(,+∞)B.(,2)C.(1,)D.(1,2)6.(5分)如图,网格纸上小正方形的边长为1,粗实线画出的是某几何体的三视图,该几何体由一平面将一圆柱截去一部分后所得,则该几何体的体积为()A.90πB.63πC.42πD.36π7.(5分)设x,y 满足约束条件,则z=2x+y的最小值是()A.﹣15B.﹣9C.1D.98.(5分)函数f(x)=ln(x2﹣2x﹣8)的单调递增区间是()A.(﹣∞,﹣2)B.(﹣∞,﹣1)C.(1,+∞)D.(4,+∞)9.(5分)甲、乙、丙、丁四位同学一起去问老师询问成语竞赛的成绩.老师说:你们四人中有2位优秀,2位良好,我现在给甲看乙、丙的成绩,给乙看丙的成绩,给丁看甲的成绩.看后甲对大家说:我还是不知道我的成绩.根据以上信息,则()A.乙可以知道四人的成绩B.丁可以知道四人的成绩C.乙、丁可以知道对方的成绩D.乙、丁可以知道自己的成绩10.(5分)执行如图的程序框图,如果输入的a=﹣1,则输出的S=()A.2B.3C.4D.511.(5分)从分别写有1,2,3,4,5的5张卡片中随机抽取1张,放回后再随机抽取1张,则抽得的第一张卡片上的数大于第二张卡片上的数的概率为()A .B .C .D .12.(5分)过抛物线C:y2=4x的焦点F ,且斜率为的直线交C于点M(M在x轴上方),l为C 的准线,点N在l上,且MN⊥l,则M到直线NF的距离为()A .B.2C.2D.3二、填空题,本题共4小题,每小题5分,共20分13.(5分)函数f(x)=2cosx+sinx的最大值为.14.(5分)已知函数f(x)是定义在R上的奇函数,当x∈(﹣∞,0)时,f(x )=2x3+x2,则f (2)=.15.(5分)长方体的长、宽、高分别为3,2,1,其顶点都在球O的球面上,则球O的表面积为.16.(5分)△ABC的内角A,B,C的对边分别为a,b,c,若2bcosB=acosC+ccosA,则B=.三、解答题:共70分.解答应写出文字说明,证明过程或演算步骤,第17至21题为必考题,每个试题考生都必须作答.第22、23题为选考题,考生根据要求作答.(一)必考题:共60分.17.(12分)已知等差数列{a n}的前n项和为S n,等比数列{b n}的前n项和为T n,a1=﹣1,b1=1,a2+b2=2.(1)若a3+b3=5,求{b n}的通项公式;(2)若T3=21,求S3.18.(12分)如图,四棱锥P﹣ABCD中,侧面PAD为等边三角形且垂直于底面ABCD,AB=BC=AD,∠BAD=∠ABC=90°.(1)证明:直线BC∥平面PAD;(2)若△PCD面积为2,求四棱锥P﹣ABCD的体积.19.(12分)海水养殖场进行某水产品的新、旧网箱养殖方法的产量对比,收获时各随机抽取了100个网箱,测量各箱水产品的产量(单位:kg),其频率分布直方图如下:(1)记A表示事件“旧养殖法的箱产量低于50kg”,估计A的概率;(2)填写下面列联表,并根据列联表判断是否有99%的把握认为箱产量与养殖方法有关:箱产量<50kg箱产量≥50kg旧养殖法新养殖法(3)根据箱产量的频率分布直方图,对两种养殖方法的优劣进行比较.附:P(K2≥K)0.0500.0100.001K 3.841 6.63510.828K2=.20.(12分)设O为坐标原点,动点M在椭圆C :+y2=1上,过M作x轴的垂线,垂足为N,点P 满足=.(1)求点P的轨迹方程;(2)设点Q在直线x=﹣3上,且•=1.证明:过点P且垂直于OQ的直线l过C的左焦点F.21.(12分)设函数f(x)=(1﹣x2)e x.(1)讨论f(x)的单调性;(2)当x≥0时,f(x)≤ax+1,求a的取值范围.选考题:共10分。
1999 年全国硕士研究生入学统一考试数二试题一、填空题(本题共5小题,每小题3分,满分15分。
把答案填在题中横线上。
)(1) 曲线sin 2cos ttx e ty e t⎧=⎪⎨=⎪⎩,在点()0,1 处的法线方程为 (2) 设函数()y y x =由方程()23ln sin x y x y x +=+确定,则0x dydx == (3)25613x dx x x +=-+⎰(4)函数2y =1,22⎡⎢⎣⎦上的平均值为(5) 微分方程24xy y e ''-=的通解为二、选择题(本题共5小题,每小题3分,满分15分。
每小题给出得四个选项中,只有一个是符合题目要求的,把所选项前的字母填在提后的括号内。
)(1)设()20(),0x f x x g x x >= ≤⎩,其中()g x 是有界函数,则()f x 在0x =处 ( ) (A) 极限不存在. (B) 极限存在,但不连续. (C) 连续,但不可导. (D) 可导. (2) 设()()()15sin 00sin ,1xx t tx dt x t dt tαβ==+⎰⎰,则当0x →时()x α是()x β的 ( )(A)高阶无穷小 (B)低阶无穷小 (C)同阶但不等价的无穷小 (D)等价无穷小 (3) 设()f x 是连续函数,()F x 是()f x 的原函数,则 ( )(A) 当()f x 是奇函数时,()F x 必是偶函数. (B) 当()f x 是偶函数时,()F x 必是奇函数. (C) 当()f x 是周期函数时,()F x 必是周期函数.(D) 当()f x 是单调增函数时,()F x 必是单调增函数.(4) “对任意给定的()0,1ε∈ ,总存在正整数N ,当n N ≥时,恒有2n x a ε-≤”是数列{}n x 收敛于a 的 ( )(A)充分条件但非必要条件. (B)必要条件但非充分条件. (C)充分必要条件. (D)既非充分条件又非必要条件.(5)记行列式212322212223333245354435743x x x x x x x x x x x x xx x x ---------------为()f x ,则方程()0f x =的根的个数为( )(A) 1. (B) 2. (C) 3. (D) 4. 三、(本题满分5分)求()2l i ml n 1x x x x→+-. 四、(本题满分6分)计算21a r c t a nx dx x +∞⎰. 五、(本题满分7分)求初值问题(10(0)0x y dx xdy x y =⎧+-=>⎪⎨⎪=⎩的解.六、(本题满分7分)为清除井底的污泥,用缆绳将抓斗放入井底,抓起污泥后提出井口 见图,已知井深30m 30m,抓斗自重400N , 缆绳每米重50N ,抓斗抓 起的污泥重2000N ,提升速度为3/m s ,在提升过程中,污泥以20/N s 的速度从抓斗缝隙中漏掉,现将抓起污泥的抓斗提升至井口,问克服重 力需作多少焦耳的功?(说明:①111;N m J ⨯=其中,,,m N s J 分别表示 米,牛顿,秒,焦耳;②抓斗的高度及位于井口上方的缆绳长度忽略不 计.)七、(本题满分8分)已知函数()321x y x =-,求(1)函数的增减区间及极值; (2)函数图形的凹凸区间及拐点 (3)函数图形的渐近线. 八、(本题满分8分)设函数()f x 在闭区间[]1,1-上具有三阶连续导数,且()10f -=,()11f =,()00f '=,证明:在开区间()1,1-内至少存在一点ξ,使()3f ξ'''=. 九、(本题满分9分)设函数()()0y x x ≥二阶可导,且()0y x '>,()01y =.过曲线()y y x =上任意一点(),P x y 作该曲线的切线及x 轴的垂线,上述两直线与x 轴所围成的三角形的面积记为1S ,区间[]0,x 上以()y y x =为曲边的曲边梯形面积记为2S ,并设122S S -恒为1,求此曲线()y y x =的方程. 十、(本题满分6分)设()f x 是区间[)0, +∞上单调减少且非负的连续函数,()()11nn n i a f k f x dx ==-∑⎰()1,2,n =,证明数列{}n a 的极限存在.十一、(本题满分8分)设矩阵111111111A -⎛⎫⎪=- ⎪ ⎪-⎝⎭,矩阵X 满足*12A X A X -=+,其中*A 是A 的伴随矩阵,求矩阵X . 十二、(本题满分5分)设向量组()11,1,1,3Tα=,()21,3,5,1Tα=--,()33,2,1,2Tp α=-+,()42,6,10,Tp α=--(1)p 为何值时,该向量组线性无关?并在此时将向量()4,1,6,10Tα=用124,,,αααα3 线性表出;(2)p 为何值时,该向量组线性相关?并此时求出它的秩和一个极大线性无关组.1999 年全国硕士研究生入学统一考试数二试题解析一、填空题(1)【答案】210y x +-=【详解】点()0,1 对应0t =,则曲线在点()0,1 的切线斜率为cos sin cos sin sin 22cos 2sin 22cos 2t t t tdydy e t e t t tdt dx dx e t e t t t dt --===++, 把0t =代入得12dy dx =,所以改点处法线斜率为2-,故所求法线方程为210y x +-=.(2)【答案】1【详解】()y x 是有方程()23ln sin x y x y x +=+所确定,所以当0x =时,1y =.对方程()23ln sin x y x y x +=+两边非别对x 求导,得23223cos x y x y x y x x y'+'=+++, 把0x =和1y =代入得0(0)1x dy y dx='==(3)【答案】213ln(613)4arctan 22x x x C --+++ 【详解】通过变换,将积分转化为常见积分,即 (4)【答案】112π 【详解】按照平均值的定义有21222y =⎰, 作变换令sin x t =,则cos dx tdt =,所以 (5)【答案】22121,4xx y C eC x e -⎛⎫=++ ⎪⎝⎭其中12,C C 为任意常数.【分析】先求出对应齐次方程的通解,再求出原方程的一个特解.【详解】原方程对应齐次方程"40y y -=的特征方程为:240,λ-=解得122,2λλ==-,故"40y y -=的通解为22112,x xy C e C e -=+由于非齐次项为2(),x f x e =因此原方程的特解可设为*2,xy Axe =代入原方程可求得14A =,故所求通解为*2211214x x y y y C e C x e -⎛⎫=+=++ ⎪⎝⎭二、选择题 (1)【答案】( D )【详解】由于可导必连续,连续则极限必存在,可以从函数可导性入手.因为20001()(0)(0)lim lim lim 0,0x x x xf x f f x ++++→→→-'====- 从而,(0)f '存在,且(0)0f '=,故正确选项为(D). (2)【答案】( C ) 【详解】当0x →有,所以当0x →时()x α是()x β同阶但不等价的无穷小. (3)【答案】( A )【详解】应用函数定义判定函数的奇偶性、周期性和单调性.()f x 的原函数()F x 可以表示为0()(),xF x f t dt C =+⎰于是()0()()().u txxF x f t dt C f u d u C =---=+=--+⎰⎰当()f x 为奇函数时,()()f u f u -=-,从而有 即 F (x )为偶函数. 故(A)为正确选项.(B)、(C)、(D)可分别举反例如下:2()f x x =是偶函数,但其原函数31()13F x x =+不是奇函数,可排除(B);2()cos f x x =是周期函数,但其原函数11()sin 224F x x x =+不是周期函数,可排除(C);()f x x =在区间(,)-∞+∞内是单调增函数,但其原函数21()2F x x =在区间(,)-∞+∞内非单调增函数,可排除(D). (4)【答案】( C )【详解】【方法1】“必要性”:数列极限的定义 “对于任意给定的10ε>,存在10N >,使得当1n N >时恒有1||n x a ε-<”. 由该定义可以直接推出题中所述,即必要性;“充分性”:对于任意给定的10ε>,取11min ,33εε⎧⎫=⎨⎬⎩⎭,这时(0,1)ε∈,由已知,对于此ε存在0N >,使得当n N ≥时,恒有||2n x a ε-<,现取11N N =-,于是有当1n N N ≥>时,恒有112||3n x a εε-≤<. 这证明了数列{}n x 收敛于a . 故(C)是正确的.【方法2】数列极限的精确定义是:对于任意给定的0ε>,总存在0N >,使得当n N >时||n x a ε-<,则称数列{}n x 收敛于a . 这里要抓住的关键是ε要能够任意小,才能使||n x a -任意小.将本题的说法改成:对任意12(0,2)0εε=∈>,总存在10N >,使得当1n N N ≥>时,有1||2n x a εε-<=,则称数列{}n x 收敛于a .由于1(0,2)ε∈可以任意小,所以||n x a -能够任意小. 故两个说法是等价的.(5)【答案】(B)【详解】利用行列式性质,计算出行列式是几次多项式,即可作出判别.212122176x x x x ---=⋅---(若,,A B C 均为n 阶方阵,则A BA C O C=⋅)故 ()(55)0f x x x =⋅-=有两个根120,1x x ==,故应选(B). 三【详解】进行等价变化,然后应用洛必达法则,【方法1】()20limln 1x x x x →+-x →=【方法2】()2limln 1x x x x →+-()0tan sin lim (ln 1)2x x x x x x →-=+- 四【详解】采用分部积分法五【详解】将原方程化简 dy y dx x ==+令y u x =,则dy du u x dx dx =+,代入上式,得 duu x u dx+=+化简并移项,得d x x=,由积分公式得 ln(ln()u Cx =,其中C 是常数,因为0,x >所以0C >,去掉根号,得 u Cx =,即y Cx x +=, 把10x y ==代入并化简,得 211,022y x x =-> 六【详解】建立坐标轴如图所示,解法1:将抓起污泥的抓斗提升至井口需做功123W W W W =++,其中1W 是克服抓斗自重所作的功;2W 是克服缆绳重力作的功;3W 为提出污泥所作的功. 由题意知 将抓斗由x 处提升到x dx +处,克服缆绳重力所作的功为2dW = 缆绳每米重×缆绳长×提升高度从而 302050(30)22500.W x dx J =-=⎰在时间间隔[,]t t dt +内提升污泥需做功为 将污泥从井底提升至井口共需时间3010,3/ms m s= 所以 10303(200020)57000.W t dt J =-=⎰因此,共需做功解法2:将抓起污泥的抓斗提升至井口需做功记为W ,当抓斗运动到x 处时,作用力()f x 包括抓斗的自重400N ,缆绳的重力50(30)x N -, 污泥的重力(200020),3xN -⋅ 即 20170()40050(30)20003900,33f x x x x =+-+-=-于是 302301708539003900117000245009150033W x dx x x J ⎛⎫=-=-=-= ⎪⎝⎭⎰七【详解】函数的定义域为(,1)(1,)-∞+∞,对函数求导,得23(3)(1)x x y x -'=-,46(1)xy x ''=- 令0y '=得驻点0,3x x ==;令0y ''=得0x =. 因此,需以0,1,3为分界点来讨论,列表讨论如下:由此可知,(1)函数的单调增区间为(,1)(3,)-∞+∞,单调减区间为(1,3),极小值为3274x y ==. (2)函数图形在区间(,0)-∞内是向上凸的,在区间(0,1),(1,)+∞内是向上凹的,拐点为(0,0)点.(3)由321lim(1)x x x →=+∞-,可知1x =是函数图形的铅直渐近线. 又因为 32l i m l i m 1(1)x x y x x x x →∞→∞==- 故2y x =+是函数的斜渐近线. 八、(本题满分8分)设函数()f x 在闭区间[]1,1-上具有三阶连续导数,且()10f -=,()11f =,()00f '=,证明:在开区间()1,1-内至少存在一点ξ,使()3f ξ'''=. 【详解】解法1:由麦克劳林公式得2311()(0)(0)(0)()2!3!f x f f x f x f x η''''''=+++,其中η介于0与x 之间,[1,1]x ∈- 分别令1,1x x =-=并结合已知条件得 两式相减,得由()f x '''的连续性,知()f x '''在区间12[,]ηη上有最大值和最小值,设它们分别为M 和m ,则有 再由连续函数的介值定理知,至少存在一点12[,](1,1)ξηη∈⊂-,使解法2:构造函数()x ϕ,使得[1,1]x ∈-时()x ϕ'有三个0点,()x ϕ''有两个0点,从而使用罗尔定理证明ξ必然存在.设具有三阶连续导数32()()x f x ax bx cx d ϕ=++++令 (1)(1)0(0)(0)0(1)(1)0(0)(0)0f a b c d f d f a b c d f c ϕϕϕϕ-=--+-+=⎧⎪=+=⎪⎨=++++=⎪⎪''=+=⎩,将()()()101100f f f -=⎧⎪=⎨⎪'=⎩代入得121(0)20(0)a b f c d f ⎧=-⎪⎪⎪=-⎨⎪=⎪⎪=-⎩代入()x ϕ得 3211()()((0))(0)22x f x x f x f ϕ=-+-- 由罗尔定理可知,存在12(1,0),(0,1)ηη∈-∈,使12()0,()0ϕηϕη''==又因为(0)0ϕ'=,再由罗尔定理可知,存在1122(,0),(0,)ξηξη∈∈,使得12()0,()0ϕξϕξ''''== 再由罗尔定理知,存在1212(,)(,)(1,1)ξξξηη∈⊂⊂-,使 ()()30f ϕξξ''''''=-= 即 ()3f ξ'''=.九【详解】如图,曲线()y y x =上点(,)P x y 处的切线方程为()()()Y y x y x X x '-=- 所以切线与x 轴的交点为,0'y x y ⎛⎫-⎪⎝⎭由于'()0,(0)1,y x y >= 因此()10y x >>(0)x >于是 211.2'2'y y S y x x y y ⎛⎫=--= ⎪⎝⎭又 20()xS y t dt =⎰根据题设1221,S S -= 得22()1,2'x y y t dt y ⋅-=⎰ 两边对x 求导并化简得()2"'yy y =这是可降阶的二阶常微分方程,令,p y '= 则dp dp dy dp y p dx dy dx dy''==⋅=, 上述方程化为2,dp ypp dy =分离变量得dp dy p y =,解得1p C y =,即1,dyC y dx= 从而有 12xy C e C =+,根据(0)1,'(0)1,y y ==可得121,0,C C ==故所求曲线得方程为 xy e =.十【详解】利用单调有界必有极限的准则来证明.先将n a 形式化简,因为123111211()()()()()n nnk n kk f x dx f x dx f x dx f x dx f x dx -+-==+++=∑⎰⎰⎰⎰⎰所以 ()11111()()n n k n ki k a f k f n f x dx --+===+-∑∑⎰()111[()]()n k kk f k f x dx f n -+==-+∑⎰又因为()f x 单调减少且非负,1k x k ≤≤+,所以有()111[()]0()0n k k k f k f x dx f n -+=⎧-≥⎪⎨⎪≥⎩∑⎰,故0n a ≥;又因为 ()()()()1111111[][]n nn nn n i i a a f k f x dx f k f x dx +++==-=---∑∑⎰⎰所以{}n a 单调减少,因为单调有界必有极限,所以lim n n a →∞存在.十一【详解】题设条件 *12A X A X -=+ 上式两端左乘A ,得 *12AA X AA AX -=+因为*1,AA A E AA E -==,所以 2(2)A X E A X A E A X E=+⇒-= 根据可逆矩阵的定义:对于矩阵n A ,如果存在矩阵n B ,使得AB BA E ==,则称A 为可逆矩阵,并称B 是A 的逆矩阵,故(2),A E A X -均是可逆矩阵,且又 111111111A -=--111210203120-+行行行+行011113020220--⨯行行 因为常数k 与矩阵A 相乘,A 的每个元素都要乘以k ,故4004040004A E E ⎡⎤⎢⎥==⎢⎥⎢⎥⎣⎦,2222222222A -⎡⎤⎢⎥=-⎢⎥⎢⎥-⎣⎦所以2A E A -2(2)E A =-222222222-⎡⎤⎢⎥=-⎢⎥⎢⎥-⎣⎦1112111111-⎡⎤⎢⎥=-⎢⎥⎢⎥-⎣⎦(对应元素相减)1111111111(2)21111112111111X A E A ---⎛-⎫-⎡⎤⎡⎤ ⎪⎢⎥⎢⎥=-=-=- ⎪⎢⎥⎢⎥ ⎪⎢⎥⎢⎥--⎣⎦⎣⎦⎝⎭(111()kA k A ---=)用初等行变换求逆,当用初等行变换将矩阵A 化为单位矩阵时,经过相同的初等行变换,单位矩阵E 化成了1A -,即()()1A E E A -→初等行变换故 1/21/201101101/21/2011241/201/2101X ⎡⎤⎡⎤⎢⎥⎢⎥==⎢⎥⎢⎥⎢⎥⎢⎥⎣⎦⎣⎦十二【概念】向量组1234,,,αααα线性无关⇔以,1,2,3,4i i α=为列向量组成的线性齐次方程组[]112233441234,,,0x x x x X αααααααα+++==只有零解向量α能否由向量组1234,,,αααα线性表出⇔以,1,2,3,4i i α=为列向量组成的线性非齐次方程组11223344x x x x ααααα+++=是否有解【详解】作方程组11223344x x x x ααααα+++=,并对增广矩阵作初等行变换,(1) 当2p ≠时,12341234(,,,)(,,,,)4r r ααααααααα==,方程组有唯一解的充要条件是系数矩阵的秩等于增广矩阵的秩,且等于未知量的个数,故1234,,,αααα线性无关,且方程组1234(,,,)X ααααα=有唯一解,其同解方程组为1234234343242431(2)1x x x x x x x x p x p-+-=⎧⎪ ++=⎪⎨ =⎪⎪ -=-⎩,解得12343412,,1,22p p x x x x p p --====-- 代入11223344x x x x ααααα+++=中,即α可由1234,,,αααα线性表出,且表出式为(2) 向量组1234,,,αααα线性相关⇔以,1,2,3,4i i α=为列向量组成的线性齐次方程组[]112233441234,,,0x x x x X αααααααα+++==有非零解当2p =时,初等变换不改变向量组的秩,1234(,,,)3r αααα=,系数矩阵的秩小于未知量的个数,有非零解,故向量组1234,,,αααα线性相关,列向量组经过初等行变换,其对应的部分列向量组具有相同的线性相关性. 在11324021430010100001--⎡⎤⎢⎥----⎢⎥⎢⎥⎢⎥-⎣⎦中,由11302120001---=-≠或132********---=≠知,123,,ααα(或134,,ααα)线性无关,是其极大线性无关组.。
2017年全国硕士研究生入学统一考试数学二试题一、选择题:1~8小题,每小题4分,共32分,下列每小题给出的四个选项中,只有一项符合题目要求的,请将所选项前的字母填在答题纸...指定位置上. (1)若函数1,0(),0x f x axb x ⎧->⎪=⎨⎪≤⎩在0x =处连续,则( ) (A)12ab =(B)12ab =-(C)0ab =(D)2ab =(2)设二阶可导函数()f x 满足(1)(1)1,(0)1f f f =-==-且''()0f x >,则( )()()1111011110()()0()0()()()()()A f x dx B f x dx C f x dx f x dxD f x dx f x dx----><><⎰⎰⎰⎰⎰⎰(3)设数列{}n x 收敛,则( )()A 当lim sin 0n n x →∞=时,lim 0n n x →∞= ()B当lim(0n n x →∞=时,lim 0n n x →∞=()C 当2lim()0n n n x x →∞+=时,lim 0n n x →∞= ()D 当lim(sin )0n n n x x →∞+=时,lim 0n n x →∞=(4)微分方程的特解可设为 (A )22(cos2sin 2)xx Ae e B x C x ++ (B )22(cos2sin 2)x x Axe e B x C x ++ (C )22(cos2sin 2)xx Aexe B x C x ++ (D )22(cos2sin 2)x x Axe e B x C x ++(5)设(,)f x y 具有一阶偏导数,且对任意的(,)x y ,都有(,)(,)0,0f x y f x y x y∂∂>>∂∂,则 (A )(0,0)(1,1)f f > (B )(0,0)(1,1)f f < (C )(0,1)(1,0)f f > (D )(0,1)(1,0)f f <(6)甲乙两人赛跑,计时开始时,甲在乙前方10(单位:m )处,图中实线表示甲的速度曲线1()v v t =(单位:/m s ),虚线表示乙的速度曲线2()v v t =,三块阴影部分面积的数值依次为10,20,3,计时开始后乙追上甲的时刻记为0t (单位:s ),则( ) (A )010t = (B )01520t <<(C )025t =(D )025t >()s(7)设A 为三阶矩阵,123(,,)P ααα=为可逆矩阵,使得1012P AP -⎛⎫ ⎪= ⎪ ⎪⎝⎭,则123(,,)A ααα=( )(A )12αα+ (B )232αα+ (C )23αα+ (D )122αα+(8)设矩阵200210100021,020,020*********A B C ⎡⎤⎡⎤⎡⎤⎢⎥⎢⎥⎢⎥===⎢⎥⎢⎥⎢⎥⎢⎥⎢⎥⎢⎥⎣⎦⎣⎦⎣⎦,则( ) (A ),A C B C 与相似与相似(B ),A C B C 与相似与不相似 (C ),A C B C 与不相似与相似(D ),A C B C 与不相似与不相似二、填空题:9-14小题,每小题4分,共24分,请将答案写在答题纸...指定位置上. (9) 曲线21arcsiny x x ⎛⎫=+ ⎪⎝⎭的斜渐近线方程为_______ (10) 设函数()y y x =由参数方程sin t x t e y t ⎧=+⎨=⎩确定,则220t d ydx ==______(11)2ln(1)(1)x dx x +∞+=+⎰_______ (12) 设函数(,)f x y 具有一阶连续偏导数,且(,)(1)y ydf x y ye dx x y e dy =++,(0,0)0f =,则(,)______f x y =(13)11tan ______y xdy dx x=⎰⎰(14)设矩阵41212311A a -⎡⎤⎢⎥=⎢⎥⎢⎥-⎣⎦的一个特征向量为112⎛⎫⎪ ⎪ ⎪⎝⎭,则_____a =三、解答题:15—23小题,共94分.请将解答写在答题纸...指定位置上.解答应写出文字说明、证明过程或演算步骤.(15)(本题满分10分)求极限0lim t x dt +→(16)(本题满分10分)设函数(,)f u v 具有2阶连续偏导数,(,cos )xy f e x =,求x dydx=,22x d y dx =(17)(本题满分10分)求21lim ln 1nn k k k nn →∞=⎛⎫+ ⎪⎝⎭∑(18)(本题满分10分)已知函数()y x 由方程333320x y x y +-+-=确定,求()y x 的极值(19)(本题满分10分)设函数()f x 在区间[0,1]上具有2阶导数,且0()(1)0,lim 0x f x f x+→><,证明:()I 方程()0f x =在区间(0,1)内至少存在一个实根;()∏方程2''()()(())0f x f x f x +=在区间(0,1)内至少存在两个不同实根。
(20)(本题满分11分)已知平面区域(){}22,|2,D x y xy y =+≤计算二重积分()21Dx dxdy +⎰⎰。
(21)(本题满分11分)设()y x 是区间30,2⎛⎫ ⎪⎝⎭内的可导函数,且(1)0y =,点P 是曲线L:()y y x =上任意一点,L 在点P 处的切线与y 轴相交于点()0,p Y ,法线与x 轴相交于点(),0pX ,若pp XY =,求L 上点的坐标(),x y 满足的方程。
(22)(本题满分11分)设3阶矩阵()123,,A ααα=有3个不同的特征值,且3122ααα=+。
()I 证明:()2r A =()∏若123βααα=++,求方程组Ax β=的通解。
(23)(本题满分11分)设二次型222123123121323(,,)2282f x x x x x ax x x x x x x =-++-+在正交变换X QY =下的标准型221122y y λλ+,求a 的值及一个正交矩阵Q .2016年全国硕士研究生入学统一考试数学二试题一、选择:1~8小题,每小题4分,共32分.下列每题给出的四个选项中,只有一个选项是符合要求的.(1)设1(cos 1)a x =,2a ,31a =.当0x +→时,以上3个无穷小量按照从低阶到高阶拓排序是(A )123,,a a a . (B )231,,a a a . (C )213,,a a a . (D )321,,a a a .(2)已知函数2(1),1,()ln ,1,x x f x x x -<⎧=⎨≥⎩则()f x 的一个原函数是(A )2(1), 1.()(ln 1), 1.x x F x x x x ⎧-<=⎨-≥⎩ (B )2(1), 1.()(ln 1)1, 1.x x F x x x x ⎧-<=⎨+-≥⎩(C )2(1), 1.()(ln 1)1, 1.x x F x x x x ⎧-<=⎨++≥⎩ (D )2(1), 1.()(ln 1)1, 1.x x F x x x x ⎧-<=⎨-+≥⎩(3)反常积分121x e dx x -∞⎰①,1+201x e dx x∞⎰②的敛散性为 (A )①收敛,②收敛. (B )①收敛,②发散. (C )①收敛,②收敛. (D )①收敛,②发散.(4)设函数()f x 在(,)-∞+∞内连续,求导函数的图形如图所示,则(A )函数()f x 有2个极值点,曲线()y f x =有2个拐点. (B )函数()f x 有2个极值点,曲线()y f x =有3个拐点. (C )函数()f x 有3个极值点,曲线()y f x =有1个拐点. (D )函数()f x 有3个极值点,曲线()y f x =有2个拐点.(5)设函数()(1,2)i f x i =具有二阶连续导数,且0()0(1,2)i f x i <=,若两条曲线 ()(1,2)i y f x i ==在点00(,)x y 处具有公切线()y g x =,且在该点处曲线1()y f x =的曲率大于曲线2()y f x =的曲率,则在0x 的某个领域内,有 (A )12()()()f x f xg x ≤≤(B )21()()()f x f x g x ≤≤(C )12()()()f xg x f x ≤≤(D )21()()()f x g x f x ≤≤(6)已知函数(,)xe f x y x y=-,则(A )''0x y f f -= (B )''0x y f f += (C )''x y f f f-=(D )''x y f f f +=(7)设A ,B 是可逆矩阵,且A 与B 相似,则下列结论错误的是 (A )TA 与TB 相似 (B )1A -与1B -相似 (C )TA A +与TB B +相似 (D )1A A -+与1B B -+相似(8)设二次型222123123122313(,,)()222f x x x a x x x x x x x x x =+++++的正、负惯性指数分别为1,2,则(A )1a > (B )2a <-(C )21a -<< (D )1a =与2a =- 二、填空题:9~14小题,每小题4分,共24分。
(9)曲线322arctan(1)1x y x x=+++的斜渐近线方程为____________.(10)极限2112lim (sin 2sin sin )n nn n n n n→∞+++=____________.(11)以2xy x e =-和2y x =为特解的一阶非齐次线性微分方程为____________.(12)已知函数()f x 在(,)-∞+∞上连续,且2()(1)2()d xf x x f t t =++⎰,则当2n ≥时,()(0)n f =____________.(13)已知动点P 在曲线3y x =上运动,记坐标原点与点P 间的距离为l .若点P 的横坐标时间的变化率为常数0v ,则当点P 运动到点(1,1)时,l 对时间的变化率是_______.(14)设矩阵111111a a a --⎡⎤⎢⎥--⎢⎥⎢⎥--⎣⎦与110011101⎡⎤⎢⎥-⎢⎥⎢⎥⎣⎦等价,则_________.a = 三.解答题:15~23小题,共94分.解答应写出文字说明、证明过程或演算步骤.(15)(本题满分10分)求极限)ln())((limxx dt t e t x tx 1112112+--⎰+∞→.(16)(本题满分10分)设函数1220()(0)f x t x dt x =->⎰,求'()f x 并求()f x 的最小值.(17)(本题满分10分)已知函数(,)z z x y =由方程22()ln 2(1)0x y z z x y +++++=确定,求(,)z z x y =的极值.(18)(本题满分10分)设D 是由直线1y =,y x =,y x =-围成的有界区域,计算二重积分2222.Dx xy y dxdy x y --+⎰⎰(19)(本题满分10分)已知1()x y x e =,2()()x y x u x e =是二阶微分方程(21)(21)'20n x y x y y --++=的解,若(1)u e -=,(0)1u =-,求()u x ,并写出该微分方程的通解。