2017年考研数学二真题解析
- 格式:doc
- 大小:1010.50 KB
- 文档页数:11
2017年全国硕士研究生入学统一考试数学二试题解析一、选择题:1~8小题,每小题4分,共32分,下列每小题给出的四个选项中,只有一项符合题目要求的,请将所选项前的字母填在答题纸...指定位置上. (1))若函数0(),0x f x b x >=⎪≤⎩在0x =处连续,则( ) (A)12ab =(B)12ab =-(C)0ab =(D)2ab =【答案】A【解析】00112lim lim ,()2x x xf x ax a++→→==在0x =处连续11.22b ab a ∴=⇒=选A. (2)设二阶可导函数()f x 满足(1)(1)1,(0)1f f f =-==-且''()0f x >,则( )()()1111011110()()0()0()()()()()A f x dx B f x dx C f x dx f x dxD f x dx f x dx----><><⎰⎰⎰⎰⎰⎰【答案】B 【解析】()f x 为偶函数时满足题设条件,此时011()()f x dx f x dx -=⎰⎰,排除C,D.取2()21f x x =-满足条件,则()112112()2103f x dx xdx --=-=-<⎰⎰,选B.(3)设数列{}n x 收敛,则( )()A 当limsin 0n n x →∞=时,lim 0n n x →∞= ()B当lim(0n n x →∞+=时,lim 0n n x →∞=()C 当2lim()0n n n x x →∞+=时,lim 0n n x →∞= ()D 当lim(sin )0n n n x x →∞+=时,lim 0n n x →∞=【答案】D【解析】特值法:(A )取n x π=,有limsin 0,lim n n n n x x π→∞→∞==,A 错;取1n x =-,排除B,C.所以选D.(4)微分方程的特解可设为(A )22(cos 2sin 2)xx Ae e B x C x ++ (B )22(cos 2sin 2)x x Axe e B x C x ++ (C )22(cos 2sin 2)xx Aexe B x C x ++ (D )22(cos 2sin 2)x x Axe e B x C x ++【答案】A【解析】特征方程为:21,248022i λλλ-+=⇒=±222*2*212()(1cos 2)cos 2,(cos 2sin 2),x x x x x f x e x e e x y Ae y xe B x C x =+=+∴==+ 故特解为:***2212(cos 2sin 2),x xy y y Ae xe B x C x =+=++选C.(5)设(,)f x y 具有一阶偏导数,且对任意的(,)x y ,都有(,)(,)0,0f x y f x y x y∂∂>>∂∂,则 (A )(0,0)(1,1)f f > (B )(0,0)(1,1)f f < (C )(0,1)(1,0)f f > (D )(0,1)(1,0)f f < 【答案】C 【解析】(,)(,)0,0,(,)f x y f x y f x y x y∂∂><⇒∂∂是关于x 的单调递增函数,是关于y 的单调递减函数, 所以有(0,1)(1,1)(1,0)f f f <<,故答案选D.(6)甲乙两人赛跑,计时开始时,甲在乙前方10(单位:m )处,图中实线表示甲的速度曲线1()v v t =(单位:/m s ),虚线表示乙的速度曲线2()v v t =,三块阴影部分面积的数值依次为10,20,3,计时开始后乙追上甲的时刻记为0t (单位:s ),则( )()s(A )010t =(B )01520t <<(C )025t =(D )025t >【答案】B【解析】从0到0t 这段时间内甲乙的位移分别为120(t),(t),t t v dt v dt ⎰⎰则乙要追上甲,则210(t)v (t)10t v dt -=⎰,当025t =时满足,故选C.(7)设A 为三阶矩阵,123(,,)P ααα=为可逆矩阵,使得1012P AP -⎛⎫ ⎪= ⎪ ⎪⎝⎭,则123(,,)A ααα=( ) (A )12αα+ (B )232αα+ (C )23αα+ (D )122αα+【答案】 B 【解析】11231232300011(,,)(,,)12222P AP AP P A αααααααα-⎛⎫⎛⎫⎛⎫ ⎪ ⎪ ⎪=⇒=⇒==+ ⎪ ⎪ ⎪ ⎪ ⎪ ⎪⎝⎭⎝⎭⎝⎭,因此B 正确。
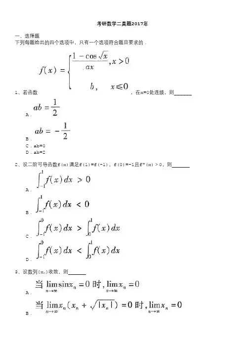
一、选择题(每小题4分,共32分)(1)若函数21cos ,0(),0xx f x axb x ⎧->⎪=⎨⎪≤⎩在0x =处连续,则( )。
A. 12ab = B. 12ab =-C. 0ab =D. 2ab = 【答案】A【解析】由连续的定义可知:-0lim ()lim ()(0),x x f x f x f +→→==其中-0(0)lim ()x f f x b →==,2000112lim ()lim lim 2x x x f x ax a+++→→→===,从而12b a =,也即12ab =,故选A. 【试题点评】本题考查函数的连续性。
此知识点在冲刺阶段的数学冲刺串讲班中第一部分高等数学有重点讲解,在强化阶段数学强化班高等数学第一章函数、极限、连续和强化阶段数学重点题型精讲班也均有涉及。
(2)设二阶可导函数()f x 满足(1)(1)1,(0)1f f f =-==-,且''()0f x >,则( )。
A. 11()0f x dx ->⎰ B. 12()0f x dx -<⎰ C. 0110()()f x dx f x dx ->⎰⎰D.11()()f x dx f x dx -<⎰⎰【答案】B【解析】由于'()0f x <,可知其中()f x 的图像在其任意两点连线的曲线下方,也即()(0)[(1)(0)]21f x f f f x x ≤+-=-,(0,1)x ∈,因此11()(21)=0f x dx f x dx -⎰⎰<,同理()(0)[(0)(1)]21(1,0)f x f f f x x x ≤+--=--∈-,,因此 0111()(21)=0f x dx f x dx ----⎰⎰<,从而11()0f x dx -⎰<,故选B.【试题点评】本题考查二阶导数与拐点的关系。
此知识点在冲刺阶段的数学冲刺串讲班中第一部分高等数学有重点讲解,在强化阶段数学强化班高等数学第二章导数与微分和强化阶段数学重点题型精讲班也均有涉及。
考研数学二真题2017年一、选择题下列每题给出的四个选项中,只有一个选项符合题目要求的.1、若函数,在x=0处连续,则______ A.B.C.ab=0D.ab=22、设二阶可导函数f(x)满足f(1)=f(-1),f(0)=-1且f"(x)>0,则______ A.B.C.D.3、设数列{x n}收敛,则______A.B.C.D.4、微分方程y"-4y'+8y=e2x(1+cos2x)的特解可设为y k=______A.Ae2x+e2x(Bcos2x+Csin2x) B.Axe2x+e2x(Bcos2x+Csin2x)C.Ae2x+xe2x(Bcos2x+Csin2x) D.Axe2x+xe2x(Bcos2x+Csin2x)5、设f(x,y)具有一阶偏导数,且对任意的(x,y),都有,则______A.f(0,0)>f(1,1)B.f(0,0)<f(1,1)C.f(0,1)>f(1,0)D.f(0,1)<f(1,0)6、甲、乙两人赛跑,计时开始时,甲在乙前方10(单位:m)处,图中实线表示甲的速度曲线v=v1(t)(单位:m/s),虚线表示乙的速度曲线v=v2(t),三块阴影部分面积的数值依次为10,20,3计时开始后乙追上甲的时刻记为t0(单位:s),则______A.t0=10B.15<t0<20C.t0=25D.t0>257、设A为三阶矩阵,P=(α1,α2,α3)为可逆矩阵,使得,则A(α1,α2,α3)=______A.α1+α2 B.α2+2α3C.α2+α3 D.α1+2α28、已知矩阵,则______A.A与C相似,B与C相似 B.A与C相似,B与C不相似C.A与C不相似,B与C相似 D.A与C不相似,B与C不相似二、填空题9、曲线的斜渐近线方程为______.10、设函数y=y(x)由参数方程确定,则______.11、12、设函数f(x,y)具有一阶连续偏导数,且df(x,y)=ye y dx+x(1+y)e y dy,f(0,0)=0,则f(x,y)=______.13、14、设矩阵的一个特征向量为,则a=______.三、解答题共94分.解答应写出文字说明、证明过程或演算步骤.15、求16、设函数f(u,v)具有2阶连续性偏导数,y=f(e x,cosx),求17、求18、已知函数y(x)有方程x3+y3-3x+3y-2=0确定,求y(x)的极值.19、设函数f(x)在区间[0,1]上具有2阶导数,且f(1)>0,,证明:(Ⅰ)方程f(x)=0在区间(0,1)内至少存在一个实根;(Ⅱ)方程f(x)f"(x)+(f'(x))2=0在区间(0,1)内至少存在两个不同实根.20、已知平面区域D={(x,y)|x2+y2≤2y},计算二重积分.21、设y(x)是区间内的可导函数,且y(1)=0,点P是曲线L:y=y(x)上的任意一点,L在点P处的切线与Y轴相交于点(0,Y P),法线与x轴相交于点(X p,0),若X p=Y p,求L上点的坐标(x,y)满足的方程.设3阶矩阵A=(α1,α2,α3)有3个不同的特征值,且α3=α1+2α2.22、证明:rA.=2;23、若β=α1+α2+α3,求方程组Ax=β的通解.24、设二次型在正交变换X=QY下的标准形为,求a的值及一个正交矩阵Q.答案:一、选择题1、A[解析] ,∵f(x)在x=0处连续,∴,选A.2、B[解析] f(x)为偶函数时满足题设条件,此时,排除C,D.取f(x)=2x2-1满足条件,则,选B.3、D[解析] 特值法:A.取x n=π,有,A错;取x n=-1,排除B,C.所以选D.4、C[解析] 特征方程为:∵f(x)=e2x(1+cos2x)=e2x+e2x cos2x,∴故特解为:,选C.5、D[解析] 是关于y的单调递减函数,所以有f(0,1)<f(1,1)<f(1,0),故答案选D.6、C[解析] 从0到t0这段时间内甲乙的位移分别为,则乙要追上甲,则,当t0=25时满足,故选C.7、B[解析] ,因此B正确.8、B[解析] 由|λE-A|=0可知A的特征值为2,2,1,因为3-r(2E-A)=2,∴A可相似对角化,即由|λE-B|=0可知B特征值为2,2,1.因为3-r(2E-B)=1,∴B不可相似对角化,显然C可相似对角化,∴A~C,但B不相似于C.二、填空题9、y=x+2[解析] ∵∴y=x+210、[解析]11、[解析]12、xye y[解析] f'x=ye y,f'y=x(1+y)e y,,故f'y=xe y+xye y+c'(y)=xe y+xye y,故c'(y)=0,即c(y)=c,由f(0,0)=0,即f(x,y)=xye y.13、-lncos1[解析]14、-1[解析] 设,由题设知Aα=λα,故故a=-1.三、解答题15、解:,令x-t=u,则有16、解:17、解:18、解:两边求导得:3x2+3y2y'-3+3y'=0 (1)令y'=0得x=±1对(1)式两边关于x求导得6x+6y(y')2+3y2y"+3y"=0 (2)将x=±1代入原题给的等式中,得将x=1,y=1代入(2)得y"(1)=-1<0将x=-1,y=0代入(2)得y"(-1)=2>0故x=1为极大值点y(1)=1;x=-1为极小值点,y(-1)=0 19、证明:(Ⅰ)由于,根据极限的保号性得,即f(x)<0进而有f(x0)<0又由于f(x)在[δ,1]上连续,由f(x0)<0,f(1)>0根据零点定理得:至少存在一点ξ∈(x0,1),使f(ξ)=0,即得证(Ⅱ)令F(x)=f(x)f'(x),则F'(x)=f(x)f"(x)+[f'(x)]2又由存在,且分母趋于零,则,又f(ξ)=0,由罗尔定理知,使f'(η)=0,则F(0)=f(0)f'(0)=0,F(η)=f(η)f'(η)=0,F(ξ)=f(ξ)f'(ξ)=0由罗尔定理知存在η1∈(0,η),使F'(η1)=0,存在η2∈(η,ξ)使F'(η2)=0,即η1和η2是方程f(x)f"(x)+[f'(x)]2=0的两个不同的实根,原题得证. 20、解:21、解:设p(x,y(x))的切线Y-y(x)=y'(x)(X-x),令X=0得Y P=y(x)-y'(x)x,法线令Y=0得X p=x+y(x)y'(x)。
绝密★启用前2017年全国硕士研究生入学统一考试数学(二)(科目代码302)考生注意事项1.答题前,考生必须在试题册指定位置上填写考生姓名和考生编号;在答题卡指定位置上填写报考单位、考生姓名和考生编号,并涂写考生编号信息点。
2.考生须把试题册上的试卷条形码粘贴条取下,粘贴在答题卡“试卷条形码粘贴位置”框中。
不按规定粘贴条形码而影响评卷结果的,责任由考生自负。
3.选择题的答案必须涂写在答题卡相应题号的选项上,非选择题的答案必须书写在答题卡指定位置的边框区域内。
超出答题区域书写的答案无效;在草稿纸、试题册上答题无效。
4.填(书)写部分必须使用黑色字迹签字笔或者钢笔书写,字迹工整、笔迹清楚;涂写部分必须使用2B铅笔填涂。
5.考试结束后,将答题卡和试题册按规定一并交回,不可带出考场。
考生姓名:考生编号:2017年全国硕士研究生入学统一考试数学二试题一、选择题:1~8小题,每小题4分,共32分,下列每小题给出的四个选项中,只有一项符合题目要求的,请将所选项前的字母填在答题纸...指定位置上. (1)若函数0(),0x f x b x >=⎪≤⎩在0x =处连续,则( ) (A)12ab =(B)12ab =-(C)0ab =(D)2ab =(2)设二阶可导函数()f x 满足(1)(1)1,(0)1f f f =-==-且''()0f x >,则( )()()1111011110()()0()0()()()()()A f x dx B f x dx C f x dx f x dxD f x dx f x dx----><><⎰⎰⎰⎰⎰⎰(3)设数列{}n x 收敛,则( )()A 当limsin 0n n x →∞=时,lim 0n n x →∞= ()B当lim(0n n x →∞=时,lim 0n n x →∞=()C 当2lim()0n n n x x →∞+=时,lim 0n n x →∞= ()D 当lim(sin )0n n n x x →∞+=时,lim 0n n x →∞=(4)微分方程的特解可设为 (A )22(cos 2sin 2)xx Ae e B x C x ++ (B )22(cos 2sin 2)x x Axe e B x C x ++ (C )22(cos 2sin 2)xx Aexe B x C x ++ (D )22(cos 2sin 2)x x Axe e B x C x ++(5)设(,)f x y 具有一阶偏导数,且对任意的(,)x y ,都有(,)(,)0,0f x y f x y x y∂∂>>∂∂,则 (A )(0,0)(1,1)f f > (B )(0,0)(1,1)f f < (C )(0,1)(1,0)f f > (D )(0,1)(1,0)f f <(6)甲乙两人赛跑,计时开始时,甲在乙前方10(单位:m )处,图中实线表示甲的速度曲线1()v v t =(单位:/m s ),虚线表示乙的速度曲线2()v v t =,三块阴影部分面积的数值依次为10,20,3,计时开始后乙追上甲的时刻记为0t (单位:s ),则( ) (A )010t =(B )01520t <<(C )025t =(D )025t >0510********()t s (/)v m s 1020(7)设A 为三阶矩阵,123(,,)P ααα=为可逆矩阵,使得1012P AP -⎛⎫ ⎪= ⎪ ⎪⎝⎭,则123(,,)A ααα=( ) (A )12αα+ (B )232αα+ (C )23αα+ (D )122αα+(8)设矩阵200210100021,020,020*********A B C ⎡⎤⎡⎤⎡⎤⎢⎥⎢⎥⎢⎥===⎢⎥⎢⎥⎢⎥⎢⎥⎢⎥⎢⎥⎣⎦⎣⎦⎣⎦,则( ) (A ),A C B C 与相似与相似(B ),A C B C 与相似与不相似 (C ),A C B C 与不相似与相似(D ),A C B C 与不相似与不相似二、填空题:914小题,每小题4分,共24分,请将答案写在答题纸...指定位置上. (9) 曲线21arcsiny x x ⎛⎫=+ ⎪⎝⎭的斜渐近线方程为_______ (10) 设函数()y y x =由参数方程sin t x t e y t⎧=+⎨=⎩确定,则220t d ydx ==______ (11)2ln(1)(1)x dx x +∞+=+⎰_______ (12) 设函数(,)f x y 具有一阶连续偏导数,且(,)(1)yydf x y ye dx x y e dy =++,(0,0)0f =,则(,)______f x y =(13)11tan ______y xdy dx x=⎰⎰(14)设矩阵41212311A a -⎡⎤⎢⎥=⎢⎥⎢⎥-⎣⎦的一个特征向量为112⎛⎫⎪ ⎪ ⎪⎝⎭,则_____a =三、解答题:15—23小题,共94分.请将解答写在答题纸...指定位置上.解答应写出文字说明、证明过程或演算步骤.(15)(本题满分10分)求极限0limt x dt +→(16)(本题满分10分)设函数(,)f u v 具有2阶连续偏导数,(,cos )xy f e x =,求x dy dx=,22x d y dx =(17)(本题满分10分)求21lim ln 1nn k kk nn →∞=⎛⎫+ ⎪⎝⎭∑(18)(本题满分10分)已知函数()y x 由方程333320x y x y +-+-=确定,求()y x 的极值(19)(本题满分10分)设函数()f x 在区间[0,1]上具有2阶导数,且0()(1)0,lim 0x f x f x+→><,证明: ()I 方程()0f x =在区间(0,1)内至少存在一个实根;()∏方程2''()()(())0f x f x f x +=在区间(0,1)内至少存在两个不同实根。
2017年全国硕士研究生入学统一考试数学二试题解析一、选择题:1~8小题,每小题4分,共32分,下列每小题给出的四个选项中,只有一项符合题目要求的,请将所选项前的字母填在答题纸...指定位置上. (1))若函数0(),0x f x b x >=⎪≤⎩在0x =处连续,则() (A)12ab =(B)12ab =-(C)0ab = (D)2ab =【答案】A【解析】001112lim lim ,()2x x xf x ax ax a++→→-==在0x =处连续11.22b ab a ∴=⇒=选A. (2)设二阶可导函数()f x 满足(1)(1)1,(0)1f f f =-==-且''()0f x >,则() 【答案】B【解析】()f x 为偶函数时满足题设条件,此时011()()f x dx f x dx -=⎰⎰,排除C,D.取2()21f x x =-满足条件,则()112112()2103f x dx x dx --=-=-<⎰⎰,选B. (3)设数列{}n x 收敛,则()()A 当limsin 0n n x →∞=时,lim 0n n x →∞=()B当lim(0n n x →∞=时,lim 0n n x →∞=()C 当2lim()0n n n x x →∞+=时,lim 0n n x →∞=()D 当lim(sin )0n n n x x →∞+=时,lim 0n n x →∞=【答案】D【解析】特值法:(A )取n x π=,有limsin 0,lim n n n n x x π→∞→∞==,A 错;取1n x =-,排除B,C.所以选D. (4)微分方程的特解可设为(A )22(cos 2sin 2)x x Ae e B x C x ++(B )22(cos 2sin 2)x x Axe e B x C x ++ (C )22(cos 2sin 2)x x Ae xe B x C x ++(D )22(cos 2sin 2)x x Axe e B x C x ++ 【答案】A【解析】特征方程为:21,248022i λλλ-+=⇒=±故特解为:***2212(cos 2sin 2),x x y y y Ae xe B x C x =+=++选C. (5)设(,)f x y 具有一阶偏导数,且对任意的(,)x y ,都有(,)(,)0,0f x y f x y x y∂∂>>∂∂,则(A )(0,0)(1,1)f f >(B )(0,0)(1,1)f f <(C )(0,1)(1,0)f f >(D )(0,1)(1,0)f f < 【答案】C 【解析】(,)(,)0,0,(,)f x y f x y f x y x y∂∂><⇒∂∂是关于x 的单调递增函数,是关于y 的单调递减函数,所以有(0,1)(1,1)(1,0)f f f <<,故答案选D.(6)甲乙两人赛跑,计时开始时,甲在乙前方10(单位:m )处,图中实线表示甲的速度曲线1()v v t =(单位:/m s ),虚线表示乙的速度曲线2()v v t =,三块阴影部分面积的数值依次为10,20,3,计时开始后乙追上甲的时刻记为0t (单位:s ),则() (A )010t =(B )01520t <<(C )025t =(D )025t >【答案】B【解析】从0到0t 这段时间内甲乙的位移分别为0120(t),(t),t t v dt v dt ⎰⎰则乙要追上甲,则210(t)v (t)10t v dt -=⎰,当025t =时满足,故选C.(7)设A 为三阶矩阵,123(,,)P ααα=为可逆矩阵,使得1012P AP -⎛⎫⎪= ⎪ ⎪⎝⎭,则123(,,)A ααα=()(A )12αα+(B )232αα+(C )23αα+(D )122αα+ 【答案】B【解析】11231232300011(,,)(,,)12222P AP AP P A αααααααα-⎛⎫⎛⎫⎛⎫ ⎪ ⎪ ⎪=⇒=⇒==+ ⎪ ⎪ ⎪ ⎪ ⎪ ⎪⎝⎭⎝⎭⎝⎭,因此B 正确。
2017考研数学⼆真题及答案解析:15题
2017年考研已结束!店铺考研⽹在考后第⼀时间为⼤家提供2017考研数学⼆真题及答案解析:15题,更多考研资讯请关注我们⽹站的更新!
2017考研数学⼆真题及答案解析:15题
求极限的题⽬喜欢喝变限积分结合起来考,并且往年都考过真题,所以这道题⼤部分同学应该都有思路,⾸先被积函数含有积分上限,需要换元。
最后答案算错了的话,有步骤也会有分数。
换元之后⽤洛必达法则,在分成两部分极限去运算,如果没有拆开,还是接着⽤洛必达法则去求的话,会很复杂。
2017年考研数学二真题一、选择题 1—8小题.每小题4分,共32分.1.若函数0(),0x f x b x >=⎪≤⎩在0x =处连续,则 (A )12ab =(B )12ab =- (C )0ab = (D )2ab = 【详解】0001112lim ()lim lim 2x x x xf x ax ax a +++→→→-===,0lim ()(0)x f x b f -→==,要使函数在0x =处连续,必须满足1122b ab a =⇒=.所以应该选(A )2.设二阶可导函数()f x 满足(1)(1)1f f =-=,(0)1f =-,且()0f x ''>,则( ) (A )11()0f x dx ->⎰(B )11()0f x dx -<⎰(C )11()()f x dx f x dx ->⎰⎰ (D )011()()f x dx f x dx -<⎰⎰【详解】注意到条件()0f x ''>,则知道曲线()f x 在[][]1,0,0,1-上都是凹的,根据凹凸性的定义,显然当[]1,0x ∈-时,()21f x x ≤--,当[]0,1x ∈时,()21f x x ≤-,而且两个式子的等号不是处处成立,否则不满足二阶可导.所以10111()(21)(21)0f x dx x dx x dx --<--+-=⎰⎰⎰.所以选择(B ).当然,如果在考场上,不用这么详细考虑,可以考虑代一个特殊函数2()21f x x =-,此时11011(),()33f x dx f x dx -=-=-⎰⎰,可判断出选项(A ),(C ),(D )都是错误的,当然选择(B ).希望同学们在复习基础知识的同时,掌握这种做选择题的技巧. 3.设数列{}n x 收敛,则(A )当limsin 0n n x →∞=时,lim 0n n x →∞= (B)当lim(0n n x →∞+=时,lim 0n n x →∞=(C )当2lim()0n n n x x →∞+=时,lim 0n n x →∞= (D )当lim(sin )0n n n x x →∞+=时,lim 0n n x →∞=【详解】此题考核的是复合函数的极限运算法则,只有(D )是正确的. 其实此题注意,设lim n n x A →∞=,则22limsin sin ,lim(),lim(sin )sin n n n n n n n n n n x A x A x x A A x x A A →∞→∞→∞→∞==+=++=+分别解方程2sin 0,0,0,sin 0A A A A A A ==+=+=时,发现只有第四个方程sin 0A A +=有唯一解0A =,也就是得到lim 0n n x →∞=.4.微分方程2489(1cos 2)xy y e x '''-+=+的特解可设为*y =( ) (A )22(cos 2sin 2)xx Ae e B x C x ++ (B )22(cos 2sin 2)x x Axe xe B x C x ++ (C )22(cos 2sin 2)xx Aexe B x C x ++ (D )22(cos 2sin 2)x x Axe xe B x C x ++【详解】微分方程的特征方程为2480r r -+=,有一对共轭的复数根22r i =±.所以12λ=不是特征方程的根,所以对应方程2489xy y e '''-+=的特解应该设为21*x y Ae =;而222i λ=+是方程的单根,所以对应方程2489cos 2xy y e x '''-+=的特解应该设为22*(cos 2sin 2)x y xe B x C x =+;从而微分方程2489(1cos 2)x y y e x '''-+=+的特解可设为2212***(cos 2sin 2)x x y y y Ae xe B x C x =+=++,应该选(C ).5.设(,)f x y 具有一阶偏导数,且对任意的(,)x y 都有(,)(,)0,0f x y f x y x y∂∂><∂∂,则( ) (A )(0,0)(1,0)f f > (B )(0,0)(1,1)f f < (C )(0,1)(1,0)f f > (D )(0,1)(1,0)f f <【详解】由条件对任意的(,)x y 都有(,)(,)0,0f x y f x y x y∂∂><∂∂可知(,)f x y 对于x 是单调增加的,对y 就单调减少的.所以(1,1)(1,0)(0,0),(1,1)(0,1)(0,0),(0,1)(0,0)(1,0)f f f f f f f f f <>><<<,只有第三个不等式可得正确结论(D ),应该选(D ).6.甲、乙两人赛跑,计时开始时,甲在乙前方10(单位:米)处,如图中,实线表示甲的速度曲线1()v v t =(单位:米/秒),虚线表示乙的速度曲线2()v v t =(单位:米/秒),三块阴影部分的面积分别为10,20,3,计时开始后乙追上甲的时刻为0t ,则( ) (A )010t = (B )01520t << (C )025t = (D )025t >【详解】由定积分的物理意义:当曲线表示变速直线运动的速度函数时,21()()T T S t v t dt =⎰表示时刻[]12,T T 内所走的路程.本题中的阴影面积123,,S S S -分别表示在时间段[][][]0,10,10,25,25,30内甲、乙两人所走路程之差,显然应该在25t =时乙追上甲,应该选(C ).7.设A 为三阶矩阵,()123,,P ααα=为可逆矩阵,使得1000010002P AP -⎛⎫ ⎪= ⎪ ⎪⎝⎭,则123()A ααα++=( )(A )12αα+ (B )232αα+ (C )23αα+ (D )132αα+ 【详解】显然这是矩阵相似对角化的题目.可知()()12312323000000(,,)010,,0100,,2002002A AP P αααααααα⎛⎫⎛⎫⎪ ⎪==== ⎪ ⎪ ⎪ ⎪⎝⎭⎝⎭所以12312323()2A A A A αααααααα++=++=+,所以可知选择(B ).8.已知矩阵200021001A ⎛⎫ ⎪= ⎪ ⎪⎝⎭,210020001B ⎛⎫ ⎪= ⎪ ⎪⎝⎭,100020002C ⎛⎫⎪= ⎪ ⎪⎝⎭,则(A ),A C 相似,,B C 相似 (B ),A C 相似,,B C 不相似 (C ),A C 不相似,,B C 相似 (D ),A C 不相似,,B C 不相似【详解】矩阵,A B 的特征值都是1232,1λλλ===.是否可对解化,只需要关心2λ=的情况.对于矩阵A ,0002001001E A ⎛⎫⎪-=- ⎪ ⎪⎝⎭,秩等于1 ,也就是矩阵A 属于特征值2λ=存在两个线性无关的特征向量,也就是可以对角化,也就是~A C .对于矩阵B ,010*******E B -⎛⎫ ⎪-= ⎪ ⎪⎝⎭,秩等于2 ,也就是矩阵A 属于特征值2λ=只有一个线性无关的特征向量,也就是不可以对角化,当然,B C 不相似故选择(B ).二、填空题(本题共6小题,每小题4分,满分24分. 把答案填在题中横线上) 9.曲线2(1arcsin )y x x=+的斜渐近线为 .解:2(1arcsin )lim lim1x x x y x x x→∞→∞+==,2lim()lim arcsin 2x x y x x x →∞→∞-==,所以斜渐近线为2y x =+. 10.设函数()y y x =由参数方程sin t x t e y t ⎧=+⎨=⎩确定,则202|t d ydx == .【详解】223cos 1cos (1)sin cos ,1(1)t t t t t t d e dy t d y e t e t dt dx dx e dx e dt⎛⎫ ⎪+⎝⎭++===-++,所以2021|8t d y dx ==-. 112ln(1)(1)x dx x +∞++⎰.【详解】022000ln(1)1ln(1)1ln(1)|1(1)11(1)x x dx x d dx x x x x +∞+∞+∞+∞++=-+=-+=++++⎰⎰⎰ 12.设函数(,)f x y 具有一阶连续的偏导数,且已知(,)(1)y ydf x y ye dx x y e dy =++,(0,0)0f =,则(,)f x y =【详解】(,)(1)()yyydf x y ye dx x y e dy d xye =++=,所以(,)yf x y xye C =+,由(0,0)0f =,得0C =,所以(,)yf x y xye =. 13.11tan y xdy dx x=⎰⎰. 【详解】交换二重积分的积分次序得:1111100000tan tan tan ln cos ln cos1.x y x x dy dx dx dy xdx x x x ===-=-⎰⎰⎰⎰⎰14.设矩阵41212311A a -⎛⎫ ⎪= ⎪ ⎪-⎝⎭的一个特征向量为112⎛⎫ ⎪⎪ ⎪⎝⎭,则a = .【详解】根据特征向量的定义,有412111121132311222A a a αλ-⎛⎫⎛⎫⎛⎫⎛⎫⎪⎪ ⎪ ⎪===+ ⎪⎪ ⎪ ⎪ ⎪⎪ ⎪ ⎪-⎝⎭⎝⎭⎝⎭⎝⎭,解得1a =-.三、解答题 15.(本题满分10分)求极限0lim t x dt +→【详解】令x t u -=,则,t x u dt du =-=-,t x u dt du -=⎰⎰00002limlim limlim 33t x u u x x x x x dt e du du ++++---→→→→==== 16.(本题满分10分)设函数(,)f u v 具有二阶连续偏导数,(,cos )xy f e x =,求0|x dydx=,202|x d y dx =.【详解】12(,cos )(,cos )(sin )x x x dy f e x e f e x x dx ''=+-,01|(1,1)x dyf dx='=; 2111122222122(,cos )((,cos )sin (,cos ))cos (,cos )sin (,cos )sin (,cos )x x x x x x x x x x d y e f e x e f e x e xf e x xf e x dx xe f e x xf e x ''''''=+--''''-+2011122|(1,1)(1,1)(1,1)x d yf f f dx=''''=+-.17.(本题满分10分) 求21limln 1nn k k k n n →∞=⎛⎫+ ⎪⎝⎭∑ 【详解】由定积分的定义120111201lim ln 1lim ln 1ln(1)11ln(1)24nn n n k k k k k k x x dx n n n n n x dx →∞→∞==⎛⎫⎛⎫+=+=+ ⎪ ⎪⎝⎭⎝⎭=+=∑∑⎰⎰18.(本题满分10分)已知函数()y x 是由方程333320x y x y +-+-=. 【详解】在方程两边同时对x 求导,得2233330x y y y ''+-+= (1)在(1)两边同时对x 求导,得2222()0x y y y y y '''''+++=也就是222(())1x y y y y '+''=-+令0y '=,得1x =±.当11x =时,11y =;当21x =-时,20y = 当11x =时,0y '=,10y ''=-<,函数()y y x =取极大值11y =; 当21x =-时,0y '=,10y ''=>函数()y y x =取极小值20y =. 19.(本题满分10分)设函数()f x 在区间[]0,1上具有二阶导数,且(1)0f >,0()lim 0x f x x-→<,证明:(1)方程()0f x =在区间()0,1至少存在一个实根;(2)方程2()()(())0f x f x f x '''+=在区间()0,1内至少存在两个不同实根.证明:(1)根据的局部保号性的结论,由条件0()lim 0x f x x-→<可知,存在01δ<<,及1(0,)x δ∈,使得1()0f x <,由于()f x 在[]1,1x 上连续,且1()(1)0f x f ⋅<,由零点定理,存在1(,1)(0,1)x ξ∈⊂,使得()0f ξ=,也就是方程()0f x =在区间()0,1至少存在一个实根;(2)由条件0()lim 0x f x x-→<可知(0)0f =,由(1)可知()0f ξ=,由洛尔定理,存在(0,)ηξ∈,使得()0f η'=;设()()()F x f x f x '=,由条件可知()F x 在区间[]0,1上可导,且(0)0,()0,()0F F F ξη===,分别在区间[][]0,,,ηηξ上对函数()F x 使用尔定理,则存在12(0,)(0,1),(,)(0,1),ξηξηξ∈⊂∈⊂使得1212,()()0F F ξξξξ''≠==,也就是方程2()()(())0f x f x f x '''+=在区间()0,1内至少存在两个不同实根.20.(本题满分11分)已知平面区域{}22(,)|2D x y x y y =+≤,计算二重积分2(1)Dx d σ+⎰⎰ 【详解】由于积分区域关于y 轴左右对称,所以由二重积分对称性可知20Dxd σ=⎰⎰.所以2sin 2222044224620(1)(1)(cos 1)2sin cos 2sin 4(4sin 4sin 2sin )54DDx d x d d r rdrd d πθππσσθθθθθθθθθθπ+=+=+⎛⎫=+ ⎪⎝⎭=-+=⎰⎰⎰⎰⎰⎰⎰⎰其中利用瓦列斯公式,知24600013135315sin ,sin ,sin 2242864216d d d ππππππθθπθθπθθπ⨯⨯⨯=⨯==⨯==⨯=⨯⨯⨯⎰⎰⎰21.(本题满分11分)设()y x 是区间30,2⎛⎫ ⎪⎝⎭上的可导函数,且(1)0y =.点P 是曲线:()L y y x =上的任意一点,L 在点P 处的切线与y 轴相交于点()0,P Y ,法线与X 轴相交于点(),0P X .若P p X Y =,求L 上的点的坐标(,)x y 满足的方程.【详解】曲线过点(,)P x y 的切线方程为()()()Y y x y x X x '-=-,令0X =,得()()p Y y x xy x '=-; 曲线过点(,)P x y 的法线方程为1()()()Y y x X x y x -=--',令0Y =,得()p X x yy x '=+. 由条件P p X Y =,可得微分方程y xy x yy ''-=+标准形为11ydy x y xy y dx x y x--+'===++,是个一阶齐次型微分方程. 设y u x =,方程化为11du u u x dx u -+=+,整理,得211du u x dx u +=-+ 分离变量,两边积分,得1arctan ln ln ln 2u u x C +=-+ 由初始条件(1)0y =,得1,0,0x y u ===,确定常数1C = 所以曲线的方程为1arctan ln ln 2y yx x x+=-. 22.(本题满分11分)设三阶矩阵()123,,A ααα=有三个不同的特征值,且3122.ααα=+ (1)证明:()2r A =;(2)若123,βααα=+,求方程组Ax β=的通解.【详解】(1)证明:因为矩阵有三个不同的特征值,所以A 是非零矩阵,也就是()1r A ≥.假若()1r A =时,则0r =是矩阵的二重特征值,与条件不符合,所以有()2r A ≥,又因为31220ααα-+=,也就是123,,ααα线性相关,()3r A <,也就只有()2r A =.(2)因为()2r A =,所以0Ax =的基础解系中只有一个线性无关的解向量.由于31220ααα-+=,所以基础解系为121x ⎛⎫ ⎪= ⎪ ⎪-⎝⎭;又由123,βααα=+,得非齐次方程组Ax β=的特解可取为111⎛⎫ ⎪⎪ ⎪⎝⎭;方程组Ax β=的通解为112111x k ⎛⎫⎛⎫ ⎪ ⎪=+ ⎪ ⎪ ⎪ ⎪-⎝⎭⎝⎭,其中k 为任意常数.23.(本题满分11分)设二次型222123123121323(,,)2282f x x x x x ax x x x x x x =-++-+在正交变换x Qy =下的标准形为221122y y λλ+,求a 的值及一个正交矩阵Q .【详解】二次型矩阵21411141A a -⎛⎫⎪=- ⎪ ⎪-⎝⎭因为二次型的标准形为221122y y λλ+.也就说明矩阵A 有零特征值,所以0A =,故 2.a =114111(3)(6)412E A λλλλλλλ---=+=+---令0E A λ-=得矩阵的特征值为1233,6,0λλλ=-==.通过分别解方程组()0i E A x λ-=得矩阵的属于特征值13λ=-的特征向量1111ξ⎛⎫⎪=-⎪⎪⎭,属于特征值特征值26λ=的特征向量2101ξ-⎛⎫⎪=⎪⎪⎭,30λ=的特征向量3121ξ⎛⎫⎪=⎪⎪⎭. 所以()123,,0Q ξξξ⎛ == ⎝为所求正交矩阵.(注:专业文档是经验性极强的领域,无法思考和涵盖全面,素材和资料部分来自网络,供参考。
2017年全国硕士研究生入学统一考试数学二试题解析一、选择题:1~8小题,每小题4分,共32分,下列每小题给出的四个选项中,只有一项符合题目要求的,请将所选项前的字母填在答题纸...指定位置上. (1))若函数0(),0x f x b x >=⎪≤⎩在0x =处连续,则() (A)12ab =(B)12ab =-(C)0ab = (D)2ab =【答案】A【解析】001112lim lim ,()2x x xf x ax ax a ++→→-==Q 在0x =处连续11.22b ab a ∴=⇒=选A. (2)设二阶可导函数()f x 满足(1)(1)1,(0)1f f f =-==-且''()0f x >,则() 【答案】B【解析】()f x 为偶函数时满足题设条件,此时011()()f x dx f x dx -=⎰⎰,排除C,D.取2()21f x x =-满足条件,则()112112()2103f x dx x dx --=-=-<⎰⎰,选B. (3)设数列{}n x 收敛,则()()A 当limsin 0n n x →∞=时,lim 0n n x →∞=()B当lim(0n n x →∞=时,lim 0n n x →∞=()C 当2lim()0n n n x x →∞+=时,lim 0n n x →∞=()D 当lim(sin )0n n n x x →∞+=时,lim 0n n x →∞=【答案】D【解析】特值法:(A )取n x π=,有limsin 0,lim n n n n x x π→∞→∞==,A 错;取1n x =-,排除B,C.所以选D. (4)微分方程的特解可设为(A )22(cos 2sin 2)x x Ae e B x C x ++(B )22(cos 2sin 2)x x Axe e B x C x ++ (C )22(cos 2sin 2)x x Ae xe B x C x ++(D )22(cos 2sin 2)x x Axe e B x C x ++ 【答案】A【解析】特征方程为:21,248022i λλλ-+=⇒=±故特解为:***2212(cos 2sin 2),x x y y y Ae xe B x C x =+=++选C. (5)设(,)f x y 具有一阶偏导数,且对任意的(,)x y ,都有(,)(,)0,0f x y f x y x y∂∂>>∂∂,则(A )(0,0)(1,1)f f >(B )(0,0)(1,1)f f <(C )(0,1)(1,0)f f >(D )(0,1)(1,0)f f < 【答案】C 【解析】(,)(,)0,0,(,)f x y f x y f x y x y∂∂><⇒∂∂是关于x 的单调递增函数,是关于y 的单调递减函数,所以有(0,1)(1,1)(1,0)f f f <<,故答案选D.(6)甲乙两人赛跑,计时开始时,甲在乙前方10(单位:m )处,图中实线表示甲的速度曲线1()v v t =(单位:/m s ),虚线表示乙的速度曲线2()v v t =,三块阴影部分面积的数值依次为10,20,3,计时开始后乙追上甲的时刻记为0t (单位:s ),则() (A )010t =(B )01520t <<(C )025t =(D )025t >【答案】B【解析】从0到0t 这段时间内甲乙的位移分别为0120(t),(t),t t v dt v dt ⎰⎰则乙要追上甲,则210(t)v (t)10t v dt -=⎰,当025t =时满足,故选C.(7)设A 为三阶矩阵,123(,,)P ααα=为可逆矩阵,使得1012P AP -⎛⎫⎪= ⎪ ⎪⎝⎭,则123(,,)A ααα=()(A )12αα+(B )232αα+(C )23αα+(D )122αα+ 【答案】B【解析】11231232300011(,,)(,,)12222P AP AP P A αααααααα-⎛⎫⎛⎫⎛⎫ ⎪ ⎪ ⎪=⇒=⇒==+ ⎪ ⎪ ⎪ ⎪ ⎪ ⎪⎝⎭⎝⎭⎝⎭,因此B 正确。
2017年全国硕士研究生入学统一考试数学二试题解析一、选择题:1~8小题,每小题4分,共32分,下列每小题给出的四个选项中,只有一项符合题目要求的,请将所选项前的字母填在答题纸...指定位置上. (1))若函数0(),0x f x b x >=⎪≤⎩在0x =处连续,则( ) (A)12ab =(B)12ab =-(C)0ab =(D)2ab =【答案】A【解析】00112lim lim ,()2x x xf x ax a++→→==在0x =处连续11.22b ab a ∴=⇒=选A. (2)设二阶可导函数()f x 满足(1)(1)1,(0)1f f f =-==-且''()0f x >,则( )()()1111011110()()0()0()()()()()A f x dx B f x dx C f x dx f x dxD f x dx f x dx----><><⎰⎰⎰⎰⎰⎰【答案】B 【解析】()f x 为偶函数时满足题设条件,此时011()()f x dx f x dx -=⎰⎰,排除C,D.取2()21f x x =-满足条件,则()112112()2103f x dx xdx --=-=-<⎰⎰,选B.(3)设数列{}n x 收敛,则( )()A 当limsin 0n n x →∞=时,lim 0n n x →∞= ()B当lim(0n n x →∞+=时,lim 0n n x →∞=()C 当2lim()0n n n x x →∞+=时,lim 0n n x →∞= ()D 当lim(sin )0n n n x x →∞+=时,lim 0n n x →∞=【答案】D【解析】特值法:(A )取n x π=,有limsin 0,lim n n n n x x π→∞→∞==,A 错;取1n x =-,排除B,C.所以选D.(4)微分方程的特解可设为(A )22(cos 2sin 2)xx Ae e B x C x ++ (B )22(cos 2sin 2)x x Axe e B x C x ++ (C )22(cos 2sin 2)xx Aexe B x C x ++ (D )22(cos 2sin 2)x x Axe e B x C x ++【答案】A【解析】特征方程为:21,248022i λλλ-+=⇒=±222*2*212()(1cos 2)cos 2,(cos 2sin 2),x x x x x f x e x e e x y Ae y xe B x C x =+=+∴==+ 故特解为:***2212(cos 2sin 2),x xy y y Ae xe B x C x =+=++选C.(5)设(,)f x y 具有一阶偏导数,且对任意的(,)x y ,都有(,)(,)0,0f x y f x y x y∂∂>>∂∂,则 (A )(0,0)(1,1)f f > (B )(0,0)(1,1)f f < (C )(0,1)(1,0)f f > (D )(0,1)(1,0)f f < 【答案】C 【解析】(,)(,)0,0,(,)f x y f x y f x y x y∂∂><⇒∂∂是关于x 的单调递增函数,是关于y 的单调递减函数, 所以有(0,1)(1,1)(1,0)f f f <<,故答案选D.(6)甲乙两人赛跑,计时开始时,甲在乙前方10(单位:m )处,图中实线表示甲的速度曲线1()v v t =(单位:/m s ),虚线表示乙的速度曲线2()v v t =,三块阴影部分面积的数值依次为10,20,3,计时开始后乙追上甲的时刻记为0t (单位:s ),则( )()s(A )010t =(B )01520t <<(C )025t =(D )025t >【答案】B【解析】从0到0t 这段时间内甲乙的位移分别为120(t),(t),t t v dt v dt ⎰⎰则乙要追上甲,则210(t)v (t)10t v dt -=⎰,当025t =时满足,故选C.(7)设A 为三阶矩阵,123(,,)P ααα=为可逆矩阵,使得1012P AP -⎛⎫ ⎪= ⎪ ⎪⎝⎭,则123(,,)A ααα=( ) (A )12αα+ (B )232αα+ (C )23αα+ (D )122αα+【答案】 B 【解析】11231232300011(,,)(,,)12222P AP AP P A αααααααα-⎛⎫⎛⎫⎛⎫ ⎪ ⎪ ⎪=⇒=⇒==+ ⎪ ⎪ ⎪ ⎪ ⎪ ⎪⎝⎭⎝⎭⎝⎭,因此B 正确。
2017年数学2考研真题2017年数学2考研真题解析2017年数学2考研真题是考研数学中的一道难题,涉及到多个数学分支的知识点,包括线性代数、概率统计、微积分等。
本文将对这道题进行详细解析,帮助考生更好地理解和掌握相关知识。
题目要求考生证明对于任意的矩阵A,存在一个非奇异矩阵B,使得AB和BA 都是对角矩阵。
首先,我们需要明确什么是非奇异矩阵。
非奇异矩阵即行列式不为零的矩阵,也就是说,存在逆矩阵。
而对角矩阵则是主对角线以外的元素都为零的矩阵。
我们可以采用反证法来证明这个命题。
假设对于任意的矩阵A,不存在一个非奇异矩阵B,使得AB和BA都是对角矩阵。
那么我们需要找到一个反例来证明这个假设是错误的。
考虑一个2x2的矩阵A,即A = [a b; c d]。
我们假设不存在一个非奇异矩阵B,使得AB和BA都是对角矩阵。
那么我们可以得到以下结论:1. AB不是对角矩阵。
由于B是非奇异矩阵,所以AB是非零矩阵。
因此,AB 至少存在一个非零元素,即AB的某个元素不在主对角线上。
2. BA不是对角矩阵。
同样地,由于B是非奇异矩阵,所以BA是非零矩阵。
因此,BA至少存在一个非零元素,即BA的某个元素不在主对角线上。
根据以上结论,我们可以得出结论:对于任意的矩阵A,存在一个非奇异矩阵B,使得AB和BA都是对角矩阵。
因此,原命题成立。
接下来,我们来证明这个结论。
我们可以构造一个非奇异矩阵B,使得AB和BA都是对角矩阵。
考虑矩阵A的特征值分解,即A = PDP^(-1),其中D是对角矩阵,P是可逆矩阵。
我们可以令B = PDP^(-1),即B = PDP^(-1)。
这样,我们可以得到:AB = APDP^(-1) = PDP^(-1)PDP^(-1) = PDDP^(-1) = PDD^(-1)P^(-1) =PIP^(-1) = IBA = PDP^(-1)PDP^(-1) = PDIP^(-1) = PDP^(-1) = A由于D是对角矩阵,所以AB和BA都是对角矩阵。
2017年全国硕士研究生入学统一考试数学二试题解析一、选择题:1~8小题,每小题4分,共32分,下列每小题给出的四个选项中,只有一项符合题目要求的,请将所选项前的字母填在答题纸...指定位置上.(1))若函数0(),0x f x b x >=⎪≤⎩在0x =处连续,则( )(A)12ab =(B)12ab =-(C)0ab =(D)2ab =【答案】A【解析】001112lim lim ,()2x x xf x ax ax a++→→-==在0x =处连续11.22b ab a ∴=⇒=选A.(2)设二阶可导函数()f x 满足(1)(1)1,(0)1f f f =-==-且''()0f x >,则()()()1111011110()()0()0()()()()()A f x dx B f x dx C f x dx f x dxD f x dx f x dx----><><⎰⎰⎰⎰⎰⎰【答案】B【解析】()f x 为偶函数时满足题设条件,此时011()()f x dx f x dx -=⎰⎰,排除C,D.取2()21f x x =-满足条件,则()112112()2103f x dx xdx --=-=-<⎰⎰,选B. (3)设数列{}n x 收敛,则( )()A 当limsin 0n n x →∞=时,lim 0n n x →∞=()B当lim(0n n x →∞+=时,lim 0n n x →∞=()C 当2lim()0n n n x x →∞+=时,lim 0n n x →∞=()D 当lim(sin )0n n n x x →∞+=时,lim 0n n x →∞=【答案】D【解析】特值法:(A )取n x π=,有limsin 0,lim n n n n x x π→∞→∞==,A 错;取1n x =-,排除B,C.所以选D.(4)微分方程的特解可设为(A )22(cos 2sin 2)xx Ae e B x C x ++(B )22(cos 2sin 2)xx Axee B x C x ++(C )22(cos 2sin 2)xx Aexe B x C x ++(D )22(cos 2sin 2)xx Axee B x C x ++【答案】A【解析】特征方程为:21,248022iλλλ-+=⇒=±222*2*212()(1cos 2)cos 2,(cos 2sin 2),x x x x x f x e x e e x y Ae y xe B x C x =+=+∴==+故特解为:***2212(cos 2sin 2),xx y y y Aexe B x C x =+=++选C.(5)设(,)f x y 具有一阶偏导数,且对任意的(,)x y ,都有(,)(,)0,0f x y f x y x y∂∂>>∂∂,则 (A )(0,0)(1,1)f f >(B )(0,0)(1,1)f f <(C )(0,1)(1,0)f f >(D )(0,1)(1,0)f f <【答案】C 【解析】(,)(,)0,0,(,)f x y f x y f x y x y∂∂><⇒∂∂是关于x 的单调递增函数,是关于y 的单调递减函数, 所以有(0,1)(1,1)(1,0)f f f <<,故答案选D.(6)甲乙两人赛跑,计时开始时,甲在乙前方10(单位:m )处,图中实线表示甲的速度曲线1()v v t =(单位:/m s ),虚线表示乙的速度曲线2()v v t =,三块阴影部分面积的数值依次为10,20,3,计时开始后乙追上甲的时刻记为0t (单位:s ),则()()s (A )010t =(B )01520t <<(C )025t =(D )025t >【答案】B【解析】从0到0t 这段时间内甲乙的位移分别为120(t),(t),t t v dt v dt ⎰⎰则乙要追上甲,则210(t)v (t)10t v dt -=⎰,当025t =时满足,故选C.(7)设A 为三阶矩阵,123(,,)P ααα=为可逆矩阵,使得1012P AP -⎛⎫ ⎪= ⎪ ⎪⎝⎭,则123(,,)A ααα=()(A )12αα+(B )232αα+(C )23αα+(D )122αα+【答案】 B【解析】11231232300011(,,)(,,)12222P AP AP P A αααααααα-⎛⎫⎛⎫⎛⎫⎪ ⎪ ⎪=⇒=⇒==+ ⎪ ⎪ ⎪ ⎪ ⎪ ⎪⎝⎭⎝⎭⎝⎭,因此B 正确。
2017考研数学二真题与答案解析2017年考研数学二真题与答案解析一、选择题部分1.设函数f(x) = ∫(1, x) [(3t^2 - 1) e^t] dt,则f(x)的导函数为()。
A. 3x^2 e^x - 1 B. 3x^2 e^x C. 3x^2 e^x + 1 D. 3x e^x - 1 答案:A 解析:根据牛顿-莱布尼兹公式,f(x) = ∫(1, x) [(3t^2 - 1) e^t] dt = [(3t^2 - 1) e^t] |(1, x) = (3x^2 - 1) e^x - (3 - 1) e = 3x^2 e^x - e^x - 3e^x + e。
所以f'(x) = 3x^2 e^x - e^x - 3e^x + e = 3x^2 e^x - (3e- 1) e^x - 3e^x = (3x^2 - 3e + 1) e^x - 3e^x = (3x^2 - 3e - 2) e^x。
2.设函数f(x) = x^3 + 3x^2 + 3x + 1,下列哪个不是f(x)的零点? A. 0 B.-1 C. 1 D. -2答案:D 解析:将选项代入函数f(x)中,只有选项D不满足f(x) = 0,所以选项D不是f(x)的零点。
3.设正方形ABCD的边长为a,点P、Q分别位于BC、CD上,且BP = 2DQ,则△APQ的面积为()。
A. a^2/12 B. a^2/6 C. a^2/3 D. a^2/2 答案:A 解析:设△APQ的面积为S,△ABP的面积为S1,△ADQ的面积为S2,则S = S1 + S2。
根据△ABP和△ADQ的面积公式,S1 = (1/2) × a × BP = a × DQ = 2S2。
所以S = S1 + S2 = 2S2 + S2 = 3S2。
而正方形ABCD的面积为a^2,△ABD的面积为(1/2) × a × a = a^2/2,所以S2 = a^2/12。
2017考研数学二真题及答案解析一、选择题(本题共8小题,每小题4分,满分32分)(1)若函数⎪⎩⎪⎨⎧≤>-=0,,0,cos 1)(x b x axxx f 在0=x 处连续,则( ) )(A 21=ab 。
)(B 21-=ab 。
)(C 0=ab 。
D (2=ab 。
【答案】)(A【解】aax x f x 21cos 1lim)00(0=-=++→,b f f =-=)00()0(, 因为)(x f 在0=x 处连续,所以)00()0()00(-==+f f f ,从而21=ab ,应选)(A 。
(2)设二阶可导函数)(x f 满足1)1()1(=-=f f ,1)0(-=f ,且0)(>''x f ,则( ))(A ⎰->110)(x f 。
)(B ⎰-<110)(x f 。
)(C ⎰⎰->101)()(dx x f x f 。
)(D ⎰⎰-<1001)()(dx x f x f 。
【答案】)(B【解】取12)(2-=x x f ,显然⎰-<110)(x f ,应选)(B 。
(3)设数列}{n x 收敛,则 ( ))(A 当0sin lim =∞→n n x 时,0lim =∞→n n x 。
)(B 当0)||(lim =+∞→n n n x x 时,0lim =∞→n n x 。
)(C 当0)(lim 2=+∞→nn n x x 时,0lim =∞→n n x 。
)(D 当0)sin (lim =+∞→n n n x x 时,0lim =∞→n n x 。
【答案】)(D【解】令A x n n =∞→lim ,由0sin )sin (lim =+=+∞→A A x x n n n 得0=A 。
(4)微分方程)2cos 1(842x e y y y x +=+'-''的特解可设为=*y ( ))(A )2sin 2cos (22x C x B e Ae x x ++。
2017考研数学二真题及答案解析一、选择题(本题共8小题,每小题4分,满分32分)(1)若函数⎪⎩⎪⎨⎧≤>-=0,,0,cos 1)(x b x axxx f 在0=x 处连续,则( ) )(A 21=ab 。
)(B 21-=ab 。
)(C 0=ab 。
D (2=ab 。
【答案】)(A【解】aax x f x 21cos 1lim)00(0=-=++→,b f f =-=)00()0(,因为)(x f 在0=x 处连续,所以)00()0()00(-==+f f f ,从而21=ab ,应选)(A 。
(2)设二阶可导函数)(x f 满足1)1()1(=-=f f ,1)0(-=f ,且0)(>''x f ,则( ))(A ⎰->110)(x f 。
)(B ⎰-<110)(x f 。
)(C ⎰⎰->101)()(dx x f x f 。
)(D ⎰⎰-<11)()(dx x f x f 。
【答案】)(B【解】取12)(2-=x x f ,显然⎰-<110)(x f ,应选)(B 。
(3)设数列}{n x 收敛,则 ( ))(A 当0sin lim =∞→n n x 时,0lim =∞→n n x 。
)(B 当0)||(lim =+∞→n n n x x 时,0lim =∞→n n x 。
)(C 当0)(lim 2=+∞→nn n x x 时,0lim =∞→n n x 。
)(D 当0)sin (lim =+∞→n n n x x 时,0lim =∞→n n x 。
【答案】)(D【解】令A x n n =∞→lim ,由0sin )sin (lim =+=+∞→A A x x n n n 得0=A 。
(4)微分方程)2cos 1(842x e y y y x +=+'-''的特解可设为=*y ( ))(A )2sin 2cos (22x C x B e Ae x x ++。