2017年考研数学一真题及答案(全)
- 格式:doc
- 大小:673.50 KB
- 文档页数:10
2017年考研数学一真题及答案解析一、选择题:1~8小题,每小题4分,共32分,下列每小题给出的四个选项中,只有一项符合题目要求的,请将所选项前的字母填在答题纸...指定位置上. (1)若函数0(),0x f x b x >=⎪≤⎩在0x =处连续,则( ) ()()11()22()02A abB abC abD ab ==-==【答案】A【解析】00112lim lim ,()2x x xf x ax a++→→==在0x =处连续11.22b ab a ∴=⇒=选A.(2)设函数()f x 可导,且'()()0f x f x >,则( )()()()(1)(1)(1)(1)()(1)(1)(1)(1)A f fB f fC f fD f f >-<->-<-【答案】C【解析】'()0()()0,(1)'()0f x f x f x f x >⎧>∴⎨>⎩或()0(2)'()0f x f x <⎧⎨<⎩,只有C 选项满足(1)且满足(2),所以选C 。
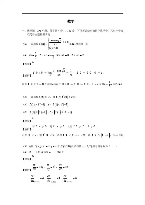
(3)函数22(,,)f x y z x y z =+在点(1,2,0)处沿向量()1,2,2u =的方向导数为( )()12()6()4()2A B C D【答案】D 【解析】2(1,2,0)122{2,,2},{4,1,0}{4,1,0}{,,} 2.|u |333f u gradf xy x z gradfgradf u ∂=⇒=⇒=⋅=⋅=∂ 选D.(4)甲乙两人赛跑,计时开始时,甲在乙前方10(单位:m )处,图中实线表示甲的速度曲线1()v v t =(单位:/m s ),虚线表示乙的速度曲线2()v v t =,三块阴影部分面积的数值依次为10,20,3,计时开始后乙追上甲的时刻记为0t (单位:s ),则( )()s0000()10()1520()25()25A t B t C t D t =<<=>【答案】B【解析】从0到0t 这段时间内甲乙的位移分别为120(t),(t),t t v dt v dt ⎰⎰则乙要追上甲,则210(t)v (t)10t v dt -=⎰,当025t =时满足,故选C.(5)设α是n 维单位列向量,E 为n 阶单位矩阵,则( )()()()()22T T TT A E B E C E D E αααααααα-++-不可逆不可逆不可逆不可逆【答案】A【解析】选项A,由()0ααααα-=-=T E 得()0αα-=TE x 有非零解,故0αα-=T E 。
2017年全国硕士研究生入学统一考试数学(一)试题一、选择题:1~8小题,每小题4分,共32分.下列每题给出的四个选项中,只有一个选项是符合题目要求的.请将所选项前的字母填在答题纸...指定位置上. (1)若函数0(),0x f x b x >=⎪≤⎩在x 连续,则 (A) 12ab =. (B) 12ab =-. (C) 0ab =. (D) 2ab =.【答案】A【详解】由011lim 2x b ax a +→-==,得12ab =.(2)设函数()f x 可导,且()'()0f x f x >则(A) ()()11f f >- . (B) ()()11f f <-.(C) ()()11f f >-. (D) ()()11f f <-.【答案】C【详解】2()()()[]02f x f x f x ''=>,从而2()f x 单调递增,22(1)(1)f f >-. (3)函数22(,,)f x y z x y z =+在点(1,2,0)处沿着向量(1,2,2)n =的方向导数为 (A) 12. (B) 6.(C) 4.(D)2 .【答案】D【详解】方向余弦12cos ,cos cos 33===αβγ,偏导数22,,2x y z f xy f x f z '''===,代入cos cos cos x y z f f f '''++αβγ即可.(4)甲乙两人赛跑,计时开始时,甲在乙前方10(单位:m)处.图中,实线表示甲的速度曲线1()v v t =(单位:m/s),虚线表示乙的速度曲线2()v v t =(单位:m/s),三块阴影部分面积的数值一次为10,20,3,计时开始后乙追上甲的时刻记为(单位:s),则(A) 010t =. (B) 01520t <<. (C) 025t =. (D) 025t >.【答案】C【详解】在025t =时,乙比甲多跑10m,而最开始的时候甲在乙前方10m 处. (5)设α为n 维单位列向量,E 为n 阶单位矩阵,则 (A) TE -αα不可逆. (B) TE +αα不可逆.(C) T 2E +αα不可逆. (D) T2E -αα不可逆.【答案】A【详解】可设T α=(1,0,,0),则T αα的特征值为1,0,,0,从而T αα-E 的特征值为011,,,,因此T αα-E 不可逆.(6)设有矩阵200021001A ⎛⎫ ⎪= ⎪ ⎪⎝⎭,210020001B ⎛⎫ ⎪= ⎪ ⎪⎝⎭,122C ⎛⎫ ⎪= ⎪ ⎪⎝⎭(A)A 与C 相似,B 与C 相似. (B) A 与C 相似,B 与C 不相似.(C) A 与C 不相似,B 与C 相似. (D) A 与C 不相似,B 与C 不相似. 【答案】B【详解】,A B 的特征值为221,,,但A 有三个线性无关的特征向量,而B 只有两个,所以A 可对角化,B 则不行.(7)设,A B 为随机事件,若0()1P A <<,0()1P B <<,则(|)(|)P A B P B A >的充分必要条件(A) (|)(|)P B A P B A >. (B) (|)(|)P B A P B A <. (C) (|)(|)P B A P B A >. (D) (|)(|)P B A P B A <.【答案】A【详解】由(|)(|)P A B P A B >得()()()()()()1()P AB P AB P A P AB P B P B P B ->=-,即()>()()P AB P A P B ;由(|)(|)P B A P B A >也可得()>()()P AB P A P B . (8)设12,,,(2)n X X X n 为来自总体(,1)N μ的简单随机样本,记11ni i X X n ==∑,则下列结论不正确的是 (A)21()ni i Xμ=-∑服从2χ分布 . (B) 212()n X X -服从2χ分布.(C)21()nii XX =-∑服从2χ分布. (D) 2()n X -μ服从2χ分布.【答案】B【详解】222211~(0,1)()~(),()~(1)1n ni i i i i X N X n X X n ==----∑∑μμχχ; 221~(,),()~(1);X N n X n-μμχ2211()~(0,2),~(1)2n n X X X X N --χ.二、填空题:9~14小题,每小题4分,共24分.请将答案写在答题纸...指定位置上. (9)已知函数21(),1f x x=+(3)(0)f = . 【答案】0 【详解】2421()1(11)1f x x x x x==-++-<<+,没有三次项.(10)微分方程032=+'+''y y y 的通解为 .【答案】12e ()xy C C -=+【详解】特征方程2230r r ++=得1r =-,因此12e ()x y C C -=+.(11)若曲线积分⎰-+-L y x aydy xdx 122在区域{}1),(22<+=y x y x D 内与路径无关,则=a.【答案】1-【详解】有题意可得Q Px x∂∂=∂∂,解得1a =-. (12)幂级数111)1(-∞=-∑-n n n nx 在(-1,1)内的和函数()S x = .【答案】21(1)x + 【详解】112111(1)[()](1)n n n n n nxx x ∞∞--=='-=--=+∑∑.(13)⎪⎪⎪⎭⎫ ⎝⎛=110211101A ,321ααα,,是3维线性无关的列向量,则()321,,αααA A A 的秩为 .【答案】2【详解】123(,,)()2r r ααα==A A A A(14)设随即变量X 的分布函数4()0.5()0.5()2x F x x -=Φ+Φ,其中)(x Φ为标准正态分布函数,则EX = . 【答案】2 【详解】00.54()d [0,5()()]d 222x EX xf x x x x x +∞+∞-∞-==+=⎰⎰ϕϕ. 三、解答题:15~23小题,共94分.解答应写出文字说明、证明过程或演算步骤.请将答案写在答题纸...指定位置上. (15)(本题满分10分).设函数(,)f u v 具有2阶连续偏导数,(e ,cos ),xy f x =求2200,x x dyd y dxdx==.【答案】(e ,cos )x y f x =()''12'12''''''''''111212122222''''11122sin ,0(1,1)sin (sin )sin cos 0(1,1)(1,1)(1,1)x x x x x dyf e f x dx dy x f dx d y f e f x e f e f e f x x f x dx d y x f f f dx ∴=-∴===-+---==+- (16)(本题满分10分).求2limln(1)n k k n n→∞+.【答案】212221120012202lim ln(1)1122lim ln(1)ln(1)...ln(1)11122lim ln(1)ln(1)...ln(1)1ln(1)ln(1)21111ln(1)02211111ln 2221n k n n k k nn n n n n n n n n n n n n n n n n n x x dx x d x x x x dxx x ∞→∞=→∞→∞+⎛⎫=++++++ ⎪⎝⎭⎛⎫=++++++ ⎪⎝⎭=+=+=+-+-+=-∑⎰⎰⎰1011002111ln 2[(1)]22111111ln 2[()ln(1)]002221111ln 2(1ln 2)2224dxxx dx dx xx x x +=--++=--++=--+=⎰⎰⎰(17)(本题满分10分).已知函数)(x y 由方程333320x y x y +-+-=确定,求)(x y 的极值. 【答案】333320x y x y +-+-=①,方程①两边对x 求导得:22''33330x y y y +-+=②,令'0y =,得233,1x x ==±.当1x =时1y =,当1x =-时0y =.方程②两边再对x 求导:'22''''66()330x y y y y y +++=,令'0y =,2''6(31)0x y y ++=,当1x =,1y =时''32y =-,当1x =-,0y =时''6y =. 所以当1x =时函数有极大值,极大值为1,当1x =-时函数有极小值,极小值为0.(18)(本题满分10分).设函数()f x 在区间[0,1]上具有2阶导数,且(1)0f >,0()lim 0x f x x+→<.证明: (I )方程()0f x =在区间(0,1)内至少存在一个实根;(II )方程2()''()['()]0f x f x f x +=在区间(0,1)内至少存在两个不同实根. 【答案】 (1)()lim 0x f x x+→<,由极限的局部保号性,(0,),()0c f c δ∃∈<使得,又(1)0,f >由零点存在定理知,(c,1)ξ∃∈,使得,()0f ξ=.(2)构造()()'()F x f x f x =,(0)(0)'(0)0F f f ==,()()'()0F f f ξξξ==,0()lim 0,'(0)0,x f x f x+→<∴<由拉格朗日中值定理知(1)(0)(0,1),'()010f f f ηη-∃∈=>-,'(0)'()0,f f η<所以由零点定理知1(0,)(0,1)ξη∃∈⊂,使得1'()0f ξ=,111()()'()0,F f f ξξξ∴== 所以原方程至少有两个不同实根。
...(1)若函数f(x)=⎨⎩1-cos x1【解析】lim=lim=,Q f(x)在x=0处连续∴x→0+ax【解析】Q f(x)f'(x)>0,∴⎨⎧f(x)>0={4,1,0}⇒∂f2017考研数学一真题及答案一、选择题:1~8小题,每小题4分,共32分,下列每小题给出的四个选项中,只有一项符合题目要求的,请将所选项前的字母填在答题纸指定位置上.⎧1-cos x ⎪ax ⎪b,x≤0,x>0在x=0处连续,则()(A)ab=12(B)ab=-12(C)ab=0【答案】A(D)ab=21x2x→0+ax2a(2)设函数f(x)可导,且f(x)f'(x)>0,则()11=b⇒ab=.选A. 2a2(A)f(1)>f(-1) (C)f(1)>f(-1)(B)f(1)<f(-1) (D)f(1)<f(-1)【答案】C⎧f(x)<0(1)或⎨(2),只有C选项满足(1)且满足⎩f'(x)>0⎩f'(x)<0(2),所以选C。
(3)函数f(x,y,z)=x2y+z2在点(1,2,0)处沿向量u=(1,2,2)的方向导数为()(A)12【答案】D【解析】(B)6(C)4(D)2gradf={2xy,x2,2z},⇒gradf(1,2,0)u122 =gradf⋅={4,1,0}⋅{,,}=2.∂u|u|333(6)设矩阵 A = ⎢0 2 1⎥⎥ , B = ⎢⎢0 2 0⎥⎥ , C = ⎢⎢0 2 0⎥⎥ ,则( )T ⎣ ⎣ ⎣选 D.(4)甲乙两人赛跑,计时开始时,甲在乙前方 10(单位:m )处,图中实线表示甲的速度曲线 v = v (t ) (单位:m / s ),虚线表示乙的速度曲线 v = v (t ) ,三块阴影部分面积的数值12依次为 10,20,3,计时开始后乙追上甲的时刻记为t (单位:s ),则()v(m / s)1020( A )t = 10【答案】B0 5 10 15 20 25 30 t(s)( B )15 < t < 20 (C )t = 25 ( D )t > 250 0 0【解析】从 0 到 t 这段时间内甲乙的位移分别为⎰t 0v (t)dt , ⎰ t 0v (t)dt , 则乙要追上甲,则1 2⎰ t 0v2(t) - v (t)dt = 10 ,当 t = 25 时满足,故选 C.1 0(5)设 α 是 n 维单位列向量, E 为 n 阶单位矩阵,则()( A) E - αα T 不可逆(C ) E + 2αα T 不可逆(B )E + αα T 不可逆 (D )E - 2αα T 不可逆【答案】A【解析】选项 A,由 ( E - αα T )α = α - α = 0 得 ( E - αα T ) x = 0 有非零解,故 E - αα T = 0 。
2017年考研数学一真题及答案解析跨考教育 数学教研室一、选择题:1~8小题,每小题4分,共32分,下列每小题给出的四个选项中,只有一项符合题目要求的,请将所选项前的字母填在答题纸...指定位置上. (1)若函数1,0(),0x f x axb x ⎧->⎪=⎨⎪≤⎩在0x =处连续,则( ) ()()11()22()02A abB abC abD ab ==-==【答案】A【解析】001112lim lim ,()2x x xf x ax ax a++→→-==Q 在0x =处连续11.22b ab a ∴=⇒=选A.(2)设函数()f x 可导,且'()()0f x f x >,则( )()()()(1)(1)(1)(1)()(1)(1)(1)(1)A f fB f fC f fD f f >-<->-<-【答案】C【解析】'()0()()0,(1)'()0f x f x f x f x >⎧>∴⎨>⎩Q 或()0(2)'()0f x f x <⎧⎨<⎩,只有C 选项满足(1)且满足(2),所以选C 。
(3)函数22(,,)f x y z x y z =+在点(1,2,0)处沿向量()1,2,2u =的方向导数为( )()12()6()4()2A B C D【答案】D 【解析】2(1,2,0)122{2,,2},{4,1,0}{4,1,0}{,,} 2.|u |333f u gradf xy x z gradfgradf u ∂=⇒=⇒=⋅=⋅=∂ 选D.(4)甲乙两人赛跑,计时开始时,甲在乙前方10(单位:m )处,图中实线表示甲的速度曲线1()v v t =(单位:/m s ),虚线表示乙的速度曲线2()v v t =,三块阴影部分面积的数值依次为10,20,3,计时开始后乙追上甲的时刻记为0t (单位:s ),则( )()s0000()10()1520()25()25A t B t C t D t =<<=>【答案】B【解析】从0到0t 这段时间内甲乙的位移分别为120(t),(t),t t v dt v dt ⎰⎰则乙要追上甲,则210(t)v (t)10t v dt -=⎰,当025t =时满足,故选C.(5)设α是n 维单位列向量,E 为n 阶单位矩阵,则( )()()()()22T T TT A E B E C E D E αααααααα-++-不可逆不可逆不可逆不可逆【答案】A【解析】选项A,由()0ααααα-=-=T E 得()0αα-=TE x 有非零解,故0αα-=TE 。
2017 年考研数学一真题一、选择题1— 8 小题.每题4 分,共 32 分.1.若函数 f (x)1 cos x, x 0在 x 0 处连续,则 axb, x 0( A ) ab1( B ) ab1( C ) ab0 ( D ) ab 222lim1cos x1 x1【详解 】 limf (x)lim2, lim f (x)bf (0) ,要使函数在 x0 处连续,x 0x 0axx 0ax2ax 0一定知足1bab 1 .因此应当选( A )2a22.设函数 f (x) 是可导函数,且知足f ( x) f ( x) 0 ,则( A ) f (1)f ( 1) (B ) f (1) f ( 1)( C ) f (1)f ( 1)( D ) f (1) f ( 1)【详解 】设 g (x)( f (x))2 ,则 g ( x)2 f ( x) f (x) 0 ,也就是2是单一增添函数.也就获得f ( x) 2f ( 1)2f (1)f ( 1) ,因此应当选( C )f (1)3.函数 f (x, y, z)x 2 y z 2 在点 (1,2,0) 处沿向量 n(1,2,2) 的方导游数为( A ) 12 (B ) 6(C ) 4( D ) 2【 详 解 】f2xy, fx 2 , f2z , 所 以 函 数 在 点 (1,2,0) 处 的 梯 度 为 gradf 4,1,0 , 所 以xyzf (x, y, z)x 2 y z 2 在点 (1,2,0) 处沿向量 n(1,2,2) 的方导游数为fr gradfuur1(1,2, 2) 2n4,1,0应当选( D )n34.甲、乙两人赛跑, 计时开始时, 甲在乙前面 10(单位:米)处,如图中,实线表示甲的速度曲线 v v 1 (t )(单位:米 /秒),虚线表示乙的速度曲线 v v 2 (t ) (单位:米 /秒),三块暗影部分的面积分别为10,20,3 ,计时开始后乙追上甲的时辰为t 0 ,则()( A ) t 0 10( B ) 15 t 0 20( C ) t 025( D ) t 025【详解 】由定积分的物理意义:当曲线表示变速直线S(t)T2S1 ,S2 , S3分别运动的速度函数时,v(t )dt 表示时辰 T1 ,T2内所走的行程.此题中的暗影面积T1表示在时间段0,10, 10,25 , 25,30内甲、乙两人所走行程之差,明显应当在t25时乙追上甲,应当选( C).E5为 n 阶单位矩阵,则.设为 n 单位列向量,( A)E T 不行逆( B)E T 不行逆( C)E2T 不行逆( D )E 2T 不行逆【详解】矩阵T的特点值为 1和 n 1个 0 ,进而E T , E T , E2T , E2T 的特点值分别为 0,1,1,L1; 2,1,1,L,1 ;1,1,1,L,1 ; 3,1,1,L,1 .明显只有 E T 存在零特点值,因此不行逆,应当选( A ).2002101006.已知矩阵A021, B020, C020,则001001002( A)A,C相像,B,C相像( B)A,C相像,B,C不相像( C)A,C不相像,B,C相像( D)A,C不相像,B, C不相像【详解】矩阵 A, B 的特点值都是122,31.能否可对解化,只要要关怀 2 的状况.000关于矩阵 A ,2E A00 1 ,秩等于1,也就是矩阵 A 属于特点值2存在两个线性没关的特001征向量,也就是能够对角化,也就是 A ~ C .010关于矩阵 B ,2E B000,秩等于 2,也就是矩阵 A 属于特点值2只有一个线性没关的特001征向量,也就是不能够对角化,自然B,C不相像应选择(B).7A, B是两个随机事件,若0P( A)1,0 P( B)1,则 P( A / B)P( A / B) 的充足必需条件是.设( A)P(B / A) P( B / A)( B)P( B / A) P(B / A)( C)P(B / A)P( B / A)( D)P(B / A) P( B / A)【详解】由乘法公式:P( AB) P( B) P(A / B), P( AB )P(B)( P( A / B) 可得下边结论:P( A / B)P( A / B)P( AB)P( AB) P( A)P( AB)P( AB) P( A)P( B) P( B)P(B)1P( B)近似,由 P( AB ) P( A) P(B / A), P( AB) P( A)P( B / A) 可得P(B / A)P(B / A)P( AB)P( AB) P( B)P( AB)P( AB)P( A)P( B) P( A)P( A)1P( A)因此可知选择( A ).8.设X1, X2,L , X n(n 2)为来自正态整体N (,1) 的简单随机样本,若1 nX i,则以下结论中不Xn i 1正确的是()n) 2听从 2 散布(B )2 X n 22 散布( X i( A)X1听从i 1nX ) 2听从 2 散布)2听从 2 散布( C)( X i( D)n( Xi1)2 ~2 (1),i n解:( 1)明显( X i) ~ N (0,1)( X i1,2,L n 且互相独立,因此( X i)2听从i 12( n) 散布,也就是(A)结论是正确的;n22(n1)S 22( 2)( X i X )(n1)S~( n1),因此( C)结论也是正确的;2i1( 3)注意X ~ N (, 1)n ( X) ~ N (0,1)n( X) 2 ~2 (1) ,因此(D)结论也是正确的;n( 4)关于选项( B ):( X n X1 ) ~ N (0, 2)X n X1~ N (0,1)1( X n X1) 2 ~2 (1) ,因此(B)结22论是错误的,应当选择(B)二、填空题(此题共 6 小题,每题 4 分,满分24 分 . 把答案填在题中横线上)9.已知函数 f ( x)1,则 f (3) (0).1 x2解:由函数的马克劳林级数公式: f (x) f( n) (0) x n,知f( n)(0)n! a n,此中 a n为睁开式中 x n的系n0n!数.因为f ( x)11x2x4L( 1)n x2 n L, x1,1 ,因此 f (3) (0)0 .1 x210.微分方程y 2 y3y0的通解为.【详解】这是一个二阶常系数线性齐次微分方程,特征方程 r 22r 30 有一对共共轭的根r12i ,因此通解为y e x (C1 cos2x C2 sin2x)11.若曲线积分xdxaydy在地区 D( x, y) | x 2 y 21 内与路径没关,则 a .Lx 2y 2 1【详解 】设P( x, y)x,Q( x, y)ay ,明显 P( x, y), Q (x, y) 在地区内拥有连续的偏 x 2 y 2x 2y 21 1导数,因为与路径没关,因此有Q Pa1xy12.幂级数( 1)n 1 nx n 1 在区间 ( 1,1)内的和函数为n 1【详解 】( 1)n 1 nx n 1( 1)n 1( x n )( 1)n 1 x nx 1 n 1n 1n 11 x(1 x)2因此 s(x)12 , x( 1,1)(1 x)1 0 113 . 设 矩 阵 A1 12 , 1,2 ,3 为 线 性 无 关 的 三 维 列 向 量 , 则 向量 组 A 1, A 2 , A 3 的 秩0 1 1为.1 0 1 1 0 1 1 0 1【详解 】对矩阵进行初等变换 A1 12 0 1 1 0 1 1 ,知矩阵 A的秩为 2,因为0 1 11 10 01, 2 , 3 为线性没关,因此向量组 A 1, A 2 , A 3 的秩为 2.14.设随机变量X 的散布函数F (x)( x)x4 ,此中( x) 为标准正态散布函数,则2EX.【详解 】随机变量 X 的概率密度为f ( x) F (x)(x)(x4) ,因此2E(X ) xf ( x)dxx ( x)dxx x 4)dx(2x (x42(2t 4) (t) dt22(t) dt2三、解答题15.(此题满分 10 分)设函数 f (u, v) 拥有二阶连续偏导数,yf ( x,cos )dy, d 2 y.ex ,求|x 0dx 2 |x 0dx【详解 】dyxxx, dy;f 1 (e ,cos x)ef 2 ( e ,cos x)( sin x)|x 0dxf 1 (1,1)dxd 2 ye xf 1 x,cos x) xxxsin xf 12xx,cos x)dx 2(ee (f 11 (e ,cos x)e(e ,cos x))cos xf 2 (esin xe x f 21 (e x ,cos x) sin 2 xf 22 (e x ,cos x)d 2 2y|x 0 f 1 (1,1) f 11(1,1)f 2 (1,1).dx16.(此题满分 10 分)求 limn k2 ln 1k nk 1nn【详解 】由定积分的定义nk 2k lim1nklnk1lim ln 11 x ln(1 x)dxn1 nnnn k 1 nn 0k1 1 x)dx 212 ln(1 417.(此题满分 10 分)已知函数 y( x) 是由方程 x 3 y 33x 3y 20 .【详解 】在方程两边同时对x 求导,得3x 2 3 y 2 y 3 3 y 0( 1)在( 1)两边同时对 x 求导,得2x 2 y( y ) 2 y 2 yy也就是 y2( x y( y ) 2 )1 y2令 y 0 ,得 x1 .当 x 11时, y 1 1 ;当 x 21时, y 2 0 当 x 1 1 时, y 0 , y 1 0 ,函数 y y( x) 取极大值 y 11 ;当 x 21时, y 0 , y1 0 函数 yy( x) 取极小值 y 2 0 .18.(此题满分 10 分)设函数 f ( x) 在区间 0,1 上拥有二阶导数,且f (1) 0f (x), lim0 ,证明:x 0x( 1)方程 f (x)0 在区间 0,1 起码存在一个实根;( 2)方程 f (x) f (x)( f ( x))20 在区间 0,1 内起码存在两个不一样实根.证明:( 1)依据的局部保号性的结论,由条件limf ( x)1,及 x 1(0, ) ,使得0 可知,存在x 0 xf (x 1) 0 ,因为 f ( x) 在 x 1,1 上连续,且 f ( x 1 ) f (1) 0,由零点定理,存在 ( x 1 ,1) (0,1) ,使得f ( )0 ,也就是方程 f (x)0 在区间 0,1 起码存在一个实根;( 2)由条件 limf (x)0 可知 f (0)0 ,由( 1)可知 f ( )0 ,由洛尔定理,存在(0, ) ,使得xxf ( )0 ;设 F ( x) f (x) f (x) ,由条件可知 F ( x) 在区间 0,1 上可导, 且 F (0)0, F ( ) 0, F ( ) 0 ,分别在区间 0,, , 上 对 函 数 F (x) 使 用 尔 定 理 , 则 存 在 1(0, )(0,1), 2 ( , ) (0,1), 使 得12 , F ( 1 )F ( 2 )0 ,也就是方程 f (x) f ( x) ( f ( x))20 在区间 0,1 内起码存在两个不一样实根.19.(此题满分 10 分)设 薄 片 型 S 是 圆 锥 面 zx 2 y 2 被 柱 面 z 2 2 x 所 割 下 的 有 限 部 分 , 其 上 任 一 点 的 密 度 为9 x 2 y 2 z 2 ,记圆锥面与柱面的交线为 C .( 1)求 C 在 xOy 布上的投影曲线的方程;( 2)求 S 的质量 M .【详解 】( 1)交线 C 的方程为z x 2 y 2 ,消去变量 z ,获得 x 2 y 22x .z 2 2x因此 C 在 xOy 布上的投影曲线的方程为x 2 y 22xz 0.( 2)利用第一类曲面积分,得M(x, y, z)dS9 x 2 y 2 z 2 dSSS9 x 2 y 2 x 2y 21x 2 y 2 y 2 dxdy x 2y 22xx 2 y 2x 218x 2y 2 dxdy 64x 2y 22x20.(此题满分 11 分)设三阶矩阵 A 1, 2 , 3 有三个不一样的特点值,且312 2 .( 1)证明: r ( A)2 ;( 2)若12 ,3 ,求方程组 Ax的通解.【详解 】( 1)证明:因为矩阵有三个不一样的特点值,因此A 是非零矩阵,也就是 r ( A) 1.假 若 r ( A) 1 时 , 则 r0 是 矩 阵 的 二 重 特 征 值 , 与 条 件 不 符 合 , 所 以 有 r ( A) 2 , 又 因 为312 20,也就是1 ,2 ,3 线性有关, r ( A) 3 ,也就只有 r ( A) 2 .( 2)因为 r ( A)2 ,因此 Ax 0 的基础解系中只有一个线性没关的解向量.因为312 2 0 ,所1 以基础解系为 x2 ;11 又由12,3 ,得非齐次方程组Ax的特解可取为 1 ;11 1方程组 Ax的通解为 xk 21 ,此中 k 为随意常数.1121.(此题满分 11 分)设 二 次 型 f (x 1, x 2 , x 3 ) 2x 12 x 22 ax 32 2x 1x 28x 1 x 3 2x 2 x 3 在 正 交 变 换 x Qy 下 的 标 准 形 为1 y 122 y 22,求 a 的值及一个正交矩阵Q .2 1 4 【详解 】二次型矩阵 A11 14 1a因为二次型的标准形为1 y 12 2 y 22 .也就说明矩阵A 有零特点值,因此A 0 ,故 a 2.1 1 4E A1 11(3)(6)412令E A 0 得矩阵的特点值为13,26,30 .1 1经过分别解方程组( i EA) x 0 得矩阵的属于特点值13 的特点向量 11 ,属于特点值特311 112 6 的特点向量, 30 的特点向量1征值 2232,1611 1 13 2 6因此 Q1 ,2 ,31 02为所求正交矩阵.3 611 132622.(此题满分 11 分)设 随 机 变 量 X ,Y 相 互 独 立 , 且 X 的 概 率 分 布 为 P X 0 P{ X 2}1 , Y 的 概 率 密 度 为22 y,0 y1f ( y)0,其余.( 1)求概率 P ( Y EY ); ( 2)求 ZX Y 的概率密度.12 . 【详解 】( 1) EYyf Y ( y)dy2 y 2 dy0 32 24.因此 P YEYP Y32ydy39( 2) ZX Y 的散布函数为F Z (z) P Z z P X Y z P X Y z, X 0 P X Y z, X 2P X0,Y z P X2,Y z 21P{ Yz}1P Yz2221F Y( z) F Y( z 2)2故 Z X Y 的概率密度为f Z ( z) F Z ( z)1 f (z)f ( z 2)2z, 0 z 1 z 2,2 z 30,其余23.(此题满分 11 分)n 次丈量,该物体的质量某工程师为认识一台天平的精度,用该天平对一物体的质量做了是已知的,设n 次丈量结果 X 1, X 2 ,L , X n 互相独立且均听从正态散布N ( ,2). 该工程师记录的是 n 次丈量的绝对误差Z i X i,( i 1,2, L , ) ,利用 Z 1 , Z 2 ,L , Z n 预计参数.n( 1)求 Z i 的概率密度; ( 2)利用一阶矩求的矩预计量;( 3)求参数最大似然预计量.【详解】( 1)先求Z i的散布函数为F Z ( z) P Z i z P X iX i z z P当 z0时,明显 F Z (z)0 ;当 z0时, F ( z) P Z z P X X i z2z1;i i z PZ2因此 Z i的概率密度为 f Z (z) F Z ( z)e20,z222,z 0 .z 02z22( 2)数学希望EZ i zf (z) dz ze 22dz,0022令 EZ Z 1 n Z i,解得的矩预计量2Z2n Z i.n i 122n i 1( 3)设Z1, Z2,L, Z n的观察值为 z1, z2,L , z n.当 z i0, i1,2,L n 时1nn2n z i2似然函数为 L( ) f ( z i ,))n e22 i 1,i 1(2nln(21n取对数得: ln L ()n ln 2)n ln2z i222i 1令d ln L( )n1n20 ,得参数最大似然预计量为1 n2.d3z in i 1z ii 1。
2017年全国硕士研究生入学统一考试数学(一)试题一、选择题:1~8小题,每小题4分,共32分.下列每题给出的四个选项中,只有一个选项是符合题目要求的.请将所选项前的字母填在答题纸...指定位置上. (1)若函数0(),0x f x b x >=⎪≤⎩在x 连续,则 (A) 12ab =. (B) 12ab =-. (C) 0ab =. (D) 2ab =.【答案】A【详解】由011lim 2x b ax a +→-==,得12ab =.(2)设函数()f x 可导,且()'()0f x f x >则(A) ()()11f f >- . (B) ()()11f f <-. (C) ()()11f f >-. (D) ()()11f f <-.【答案】C【详解】2()()()[]02f x f x f x ''=>,从而2()f x 单调递增,22(1)(1)f f >-. (3)函数22(,,)f x y z x y z =+在点(1,2,0)处沿着向量(1,2,2)n =的方向导数为 (A) 12. (B) 6.(C) 4.(D)2 .【答案】D【详解】方向余弦12cos ,cos cos 33===αβγ,偏导数22,,2x y z f xy f xf z '''===,代入cos cos cos x y z f f f '''++αβγ即可.(4)甲乙两人赛跑,计时开始时,甲在乙前方10(单位:m)处.图中,实线表示甲的速度曲线1()v v t =(单位:m/s),虚线表示乙的速度曲线2()v v t =(单位:m/s),三块阴影部分面积的数值一次为10,20,3,计时开始后乙追上甲的时刻记为(单位:s),则(A) 010t =. (B) 01520t <<. (C) 025t =. (D) 025t >.【答案】C【详解】在025t =时,乙比甲多跑10m,而最开始的时候甲在乙前方10m 处. (5)设α为n 维单位列向量,E 为n 阶单位矩阵,则 (A) TE -αα不可逆. (B) TE +αα不可逆. (C) T 2E +αα不可逆. (D) T2E -αα不可逆.【答案】A【详解】可设T α=(1,0,,0),则T αα的特征值为1,0,,0,从而T αα-E 的特征值为011,,,,因此T αα-E 不可逆.(6)设有矩阵200021001A ⎛⎫ ⎪= ⎪ ⎪⎝⎭,210020001B ⎛⎫ ⎪= ⎪ ⎪⎝⎭,122C ⎛⎫ ⎪= ⎪ ⎪⎝⎭(A)A 与C 相似,B 与C 相似. (B) A 与C 相似,B 与C 不相似.(C) A 与C 不相似,B 与C 相似. (D) A 与C 不相似,B 与C 不相似. 【答案】B【详解】,A B 的特征值为221,,,但A 有三个线性无关的特征向量,而B 只有两个,所以A 可对角化,B 则不行.(7)设,A B 为随机事件,若0()1P A <<,0()1P B <<,则(|)(|)P A B P B A >的充分必要条件(A) (|)(|)P B A P B A >. (B) (|)(|)P B A P B A <. (C) (|)(|)P B A P B A >. (D) (|)(|)P B A P B A <.【答案】A【详解】由(|)(|)P A B P A B >得()()()()()()1()P AB P AB P A P AB P B P B P B ->=-,即()>()()P AB P A P B ;由(|)(|)P B A P B A >也可得()>()()P AB P A P B . (8)设12,,,(2)n X X X n …为来自总体(,1)N μ的简单随机样本,记11ni i X X n ==∑,则下列结论不正确的是 (A)21()ni i X μ=-∑服从2χ分布 . (B) 212()n X X -服从2χ分布.(C)21()nii XX =-∑服从2χ分布. (D) 2()n X -μ服从2χ分布.【答案】B【详解】222211~(0,1)()~(),()~(1)1n ni i i i i X N X n X X n ==----∑∑μμχχ;221~(,),()~(1);X N n X n-μμχ2211()~(0,2),~(1)2n n X X X X N --χ.二、填空题:9~14小题,每小题4分,共24分.请将答案写在答题纸...指定位置上. (9)已知函数21(),1f x x=+(3)(0)f = . 【答案】0 【详解】2421()1(11)1f x x x x x==-++-<<+,没有三次项.(10)微分方程032=+'+''y y y 的通解为 .【答案】12e ()xy C C -=+【详解】特征方程2230r r ++=得1r =-,因此12e ()x y C C -=+.(11)若曲线积分⎰-+-L y x aydy xdx 122在区域{}1),(22<+=y x y x D 内与路径无关,则=a. 【答案】1-【详解】有题意可得Q Px x∂∂=∂∂,解得1a =-. (12)幂级数111)1(-∞=-∑-n n n nx 在(-1,1)内的和函数()S x = .【答案】21(1)x + 【详解】112111(1)[()](1)n n n n n nxx x ∞∞--=='-=--=+∑∑.(13)⎪⎪⎪⎭⎫ ⎝⎛=110211101A ,321ααα,,是3维线性无关的列向量,则()321,,αααA A A 的秩为 .【答案】2【详解】123(,,)()2r r ααα==A A A A(14)设随即变量X 的分布函数4()0.5()0.5()2x F x x -=Φ+Φ,其中)(x Φ为标准正态分布函数,则EX = . 【答案】2 【详解】00.54()d [0,5()()]d 222x EX xf x x x x x +∞+∞-∞-==+=⎰⎰ϕϕ. 三、解答题:15~23小题,共94分.解答应写出文字说明、证明过程或演算步骤.请将答案写在答题纸...指定位置上. (15)(本题满分10分).设函数(,)f u v 具有2阶连续偏导数,(e ,cos ),xy f x =求2200,x x dyd y dxdx==.【答案】(e ,cos )x y f x =()''12'12''''''''''111212122222''''11122sin ,0(1,1)sin (sin )sin cos 0(1,1)(1,1)(1,1)x x x x x dyf e f x dx dy x f dx d y f e f x e f e f e f x x f x dx d y x f f f dx ∴=-∴===-+---==+- (16)(本题满分10分).求2limln(1)n k kn n→∞+.【答案】212221120012202lim ln(1)1122lim ln(1)ln(1)...ln(1)11122lim ln(1)ln(1)...ln(1)1ln(1)ln(1)21111ln(1)02211111ln 2221n k n n k k nn n n n n n n n n n n n n n n n n n x x dx x d x x x x dxx x ∞→∞=→∞→∞+⎛⎫=++++++ ⎪⎝⎭⎛⎫=++++++ ⎪⎝⎭=+=+=+-+-+=-∑⎰⎰⎰1011002111ln 2[(1)]22111111ln 2[()ln(1)]002221111ln 2(1ln 2)2224dxxx dx dx x x x x +=--++=--++=--+=⎰⎰⎰(17)(本题满分10分).已知函数)(x y 由方程333320x y x y +-+-=确定,求)(x y 的极值. 【答案】333320x y x y +-+-=①,方程①两边对x 求导得:22''33330x y y y +-+=②, 令'0y =,得233,1x x ==±. 当1x =时1y =,当1x =-时0y =.方程②两边再对x 求导:'22''''66()330x y y y y y +++=, 令'0y =,2''6(31)0x y y ++=,当1x =,1y =时''32y =-,当1x =-,0y =时''6y =. 所以当1x =时函数有极大值,极大值为1,当1x =-时函数有极小值,极小值为0.(18)(本题满分10分).设函数()f x 在区间[0,1]上具有2阶导数,且(1)0f >,0()lim 0x f x x+→<.证明: (I )方程()0f x =在区间(0,1)内至少存在一个实根;(II )方程2()''()['()]0f x f x f x +=在区间(0,1)内至少存在两个不同实根. 【答案】 (1)()lim 0x f x x+→<,由极限的局部保号性,(0,),()0c f c δ∃∈<使得,又(1)0,f >由零点存在定理知,(c,1)ξ∃∈,使得,()0f ξ=. (2)构造()()'F x f x f x =,(0)(0)'(0)0F f f ==,()()'()0F f f ξξξ==,()lim 0,'(0)0,x f x f x +→<∴<由拉格朗日中值定理知(1)(0)(0,1),'()010f f f ηη-∃∈=>-,'(0)'()0,f f η<所以由零点定理知1(0,)(0,1)ξη∃∈⊂,使得1'()0f ξ=,111()()'()0,F f f ξξξ∴== 所以原方程至少有两个不同实根。
2017年考研数学一真题及答案解析一、选择题:1~8 小题,每小题 4 分,共 32 分,下列每小题给出的四个选项中,只有一项符合题目要求的,请将所选项前的字母填在 .答题纸..指定位置上. (1)若函数1,0(),0x f x axb x ì->ï=íï£î在0x =处连续,则( )()()11()22()02A abB abC abD ab ==-==【答案】A【解析】001112lim lim ,()2x x x f x ax ax a++®®-==!在0x =处连续11.22b ab a \=Þ=选A. (2)设函数()f x 可导,且'()()0f x f x >,则( )()()()(1)(1)(1)(1)()(1)(1)(1)(1)A f fB f fC f fD f f >-<->-<-【答案】C【解析】'()0()()0,(1)'()0f x f x f x f x >ì>\í>î!或()0(2)'()0f x f x <ìí<î,只有C 选项满足(1)且满足(2),所以选C 。
(3)函数22(,,)f x y z x y z =+在点(1,2,0)处沿向量()1,2,2u =的方向导数为( )()12()6()4()2A B C D 【答案】D【解析】2(1,2,0)122{2,,2},{4,1,0}{4,1,0}{,,} 2.|u |333f u gradf xy x z gradf gradf u ¶=Þ=Þ=×=×=¶选D.(4)甲乙两人赛跑,计时开始时,甲在乙前方10(单位:m )处,图中实线表示甲的速度曲线1()v v t =(单位:/m s ),虚线表示乙的速度曲线2()v v t =,三块阴影部分面积的数值依次为10,20,3,计时开始后乙追上甲的时刻记为0t (单位:s ),则( )()s 0000()10()1520()25()25A tB tC tD t =<<=>【答案】B【解析】从0到0t 这段时间内甲乙的位移分别为120(t),(t),t t v dt v dt òò则乙要追上甲,则210(t)v (t)10t v dt -=ò,当025t =时满足,故选C.(5)设a 是n 维单位列向量,E 为n 阶单位矩阵,则( )()()()()22T T T T A E B E C E D E aa aa aa aa -++-不可逆不可逆不可逆不可逆【答案】A【解析】选项A,由()0aa a a a -=-=T E 得()0aa -=T E x 有非零解,故0aa -=T E 。
2017年考研数学一真题及答案解析一、选择题:1~8小题,每小题4分,共32分,下列每小题给出的四个选项中,只有一项符合题目要求的,请将所选项前的字母填在答题纸...指定位置上. (1)若函数0(),0x f x b x >=⎪≤⎩在0x =处连续,则( ) ()()11()22()02A abB abC abD ab ==-==【答案】A【解析】00112lim lim ,()2x x xf x ax a++→→== 在0x =处连续11.22b ab a ∴=⇒=选A. (2)设函数()f x 可导,且'()()0f x f x >,则( )()()()(1)(1)(1)(1)()(1)(1)(1)(1)A f fB f fC f fD f f >-<->-<-【答案】C【解析】'()0()()0,(1)'()0f x f x f x f x >⎧>∴⎨>⎩ 或()0(2)'()0f x f x <⎧⎨<⎩,只有C 选项满足(1)且满足(2),所以选C 。
(3)函数22(,,)f x y z x y z =+在点(1,2,0)处沿向量()1,2,2u =的方向导数为( )()12()6()4()2A B C D【答案】D 【解析】2(1,2,0)122{2,,2},{4,1,0}{4,1,0}{,,} 2.|u |333f u gradf xy x z gradfgradf u ∂=⇒=⇒=⋅=⋅=∂ 选D.(4)甲乙两人赛跑,计时开始时,甲在乙前方10(单位:m )处,图中实线表示甲的速度曲线1()v v t =(单位:/m s ),虚线表示乙的速度曲线2()v v t =,三块阴影部分面积的数值依次为10,20,3,计时开始后乙追上甲的时刻记为0t (单位:s ),则( )()10()15A t B =【答案】B【解析】从0到0t 这段时间内甲乙的位移分别为120(t),(t),t t v dt v dt ⎰⎰则乙要追上甲,则()s210(t)v (t)10t v dt -=⎰,当025t =时满足,故选C.(5)设α是n 维单位列向量,E 为n 阶单位矩阵,则( )()()()()22T T TT A E B E C E D E αααααααα-++-不可逆不可逆不可逆不可逆【答案】A【解析】选项A,由()0ααααα-=-=T E 得()0αα-=T E x 有非零解,故0αα-=T E 。
2017年全国硕士研究生入学统一考试数学(一)试题一、选择题:1~8小题,每小题4分,共32分.下列每题给出的四个选项中,只有一个选项是符合题目要求的.请将所选项前的字母填在答题纸...指定位置上. (1)若函数0(),0x f x b x >=⎪≤⎩在x 连续,则 (A) 12ab =. (B) 12ab =-. (C) 0ab =. (D) 2ab =.【答案】A【详解】由011lim 2x b ax a +→-==,得12ab =.(2)设函数()f x 可导,且()'()0f x f x >则(A) ()()11f f >- . (B) ()()11f f <-. (C) ()()11f f >-. (D) ()()11f f <-.【答案】C【详解】2()()()[]02f x f x f x ''=>,从而2()f x 单调递增,22(1)(1)f f >-. (3)函数22(,,)f x y z x y z =+在点(1,2,0)处沿着向量(1,2,2)n =的方向导数为 (A) 12. (B) 6.(C) 4.(D)2 .【答案】D【详解】方向余弦12cos ,cos cos 33===αβγ,偏导数22,,2x y z f xy f x f z '''===,代入cos cos cos x y z f f f '''++αβγ即可.(4)甲乙两人赛跑,计时开始时,甲在乙前方10(单位:m)处.图中,实线表示甲的速度曲线1()v v t =(单位:m/s),虚线表示乙的速度曲线2()v v t =(单位:m/s),三块阴影部分面积的数值一次为10,20,3,计时开始后乙追上甲的时刻记为(单位:s),则(A) 010t =. (B) 01520t <<. (C) 025t =. (D) 025t >.【答案】C【详解】在025t =时,乙比甲多跑10m,而最开始的时候甲在乙前方10m 处. (5)设α为n 维单位列向量,E 为n 阶单位矩阵,则 (A) TE -αα不可逆. (B) TE +αα不可逆. (C) T 2E +αα不可逆. (D) T2E -αα不可逆.【答案】A【详解】可设T α=(1,0,,0),则T αα的特征值为1,0,,0,从而T αα-E 的特征值为011,,,,因此T αα-E 不可逆.(6)设有矩阵200021001A ⎛⎫ ⎪= ⎪ ⎪⎝⎭,210020001B ⎛⎫ ⎪= ⎪ ⎪⎝⎭,122C ⎛⎫ ⎪= ⎪ ⎪⎝⎭(A)A 与C 相似,B 与C 相似. (B) A 与C 相似,B 与C 不相似.(C) A 与C 不相似,B 与C 相似. (D) A 与C 不相似,B 与C 不相似. 【答案】B【详解】,A B 的特征值为221,,,但A 有三个线性无关的特征向量,而B 只有两个,所以A 可对角化,B 则不行.(7)设,A B 为随机事件,若0()1P A <<,0()1P B <<,则(|)(|)P A B P B A >的充分必要条件(A) (|)(|)P B A P B A >. (B) (|)(|)P B A P B A <. (C) (|)(|)P B A P B A >. (D) (|)(|)P B A P B A <.【答案】A【详解】由(|)(|)P A B P A B >得()()()()()()1()P AB P AB P A P AB P B P B P B ->=-,即()>()()P AB P A P B ;由(|)(|)P B A P B A >也可得()>()()P AB P A P B . (8)设12,,,(2)n X X X n 为来自总体(,1)N μ的简单随机样本,记11ni i X X n ==∑,则下列结论不正确的是 (A)21()nii X μ=-∑服从2χ分布 . (B) 212()n X X -服从2χ分布.(C)21()nii XX =-∑服从2χ分布. (D) 2()n X -μ服从2χ分布.【答案】B【详解】222211~(0,1)()~(),()~(1)1n ni i i i i X N X n X X n ==----∑∑μμχχ; 221~(,),()~(1);X N n X n-μμχ2211()~(0,2),~(1)2n n X X X X N --χ.二、填空题:9~14小题,每小题4分,共24分.请将答案写在答题纸...指定位置上. (9)已知函数21(),1f x x=+(3)(0)f = . 【答案】0 【详解】2421()1(11)1f x x x x x==-++-<<+,没有三次项.(10)微分方程032=+'+''y y y 的通解为 .【答案】12e ()xy C C -=+【详解】特征方程2230r r ++=得1r =-,因此12e ()x y C C -=+.(11)若曲线积分⎰-+-L y x aydy xdx 122在区域{}1),(22<+=y x y x D 内与路径无关,则=a. 【答案】1-【详解】有题意可得Q Px x∂∂=∂∂,解得1a =-. (12)幂级数111)1(-∞=-∑-n n n nx 在(-1,1)内的和函数()S x = .【答案】21(1)x + 【详解】112111(1)[()](1)n n n n n nxx x ∞∞--=='-=--=+∑∑.(13)⎪⎪⎪⎭⎫ ⎝⎛=110211101A ,321ααα,,是3维线性无关的列向量,则()321,,αααA A A 的秩为 .【答案】2【详解】123(,,)()2r r ααα==A A A A(14)设随即变量X 的分布函数4()0.5()0.5()2x F x x -=Φ+Φ,其中)(x Φ为标准正态分布函数,则EX = . 【答案】2 【详解】00.54()d [0,5()()]d 222x EX xf x x x x x +∞+∞-∞-==+=⎰⎰ϕϕ. 三、解答题:15~23小题,共94分.解答应写出文字说明、证明过程或演算步骤.请将答案写在答题纸...指定位置上. (15)(本题满分10分).设函数(,)f u v 具有2阶连续偏导数,(e ,cos ),xy f x =求2200,x x dyd y dxdx==.【答案】(e ,cos )x y f x =()''12'12''''''''''111212122222''''11122sin ,0(1,1)sin (sin )sin cos 0(1,1)(1,1)(1,1)x x x x x dyf e f x dx dy x f dx d y f e f x e f e f e f x x f x dx d y x f f f dx ∴=-∴===-+---==+- (16)(本题满分10分).求2limln(1)n k kn n→∞+.【答案】212221120012202lim ln(1)1122lim ln(1)ln(1)...ln(1)11122lim ln(1)ln(1)...ln(1)1ln(1)ln(1)21111ln(1)02211111ln 2221n k n n k k nn n n n n n n n n n n n n n n n n n x x dx x d x x x x dxx x ∞→∞=→∞→∞+⎛⎫=++++++ ⎪⎝⎭⎛⎫=++++++ ⎪⎝⎭=+=+=+-+-+=-∑⎰⎰⎰1011002111ln 2[(1)]22111111ln 2[()ln(1)]002221111ln 2(1ln 2)2224dxxx dx dx xx x x +=--++=--++=--+=⎰⎰⎰(17)(本题满分10分).已知函数)(x y 由方程333320x y x y +-+-=确定,求)(x y 的极值. 【答案】333320x y x y +-+-=①,方程①两边对x 求导得:22''33330x y y y +-+=②,令'0y =,得233,1x x ==±.当1x =时1y =,当1x =-时0y =.方程②两边再对x 求导:'22''''66()330x y y y y y +++=,令'0y =,2''6(31)0x y y ++=,当1x =,1y =时''32y =-,当1x =-,0y =时''6y =. 所以当1x =时函数有极大值,极大值为1,当1x =-时函数有极小值,极小值为0.(18)(本题满分10分).设函数()f x 在区间[0,1]上具有2阶导数,且(1)0f >,0()lim 0x f x x+→<.证明: (I )方程()0f x =在区间(0,1)内至少存在一个实根;(II )方程2()''()['()]0f x f x f x +=在区间(0,1)内至少存在两个不同实根. 【答案】 (1)()lim 0x f x x+→<,由极限的局部保号性,(0,),()0c f c δ∃∈<使得,又(1)0,f >由零点存在定理知,(c,1)ξ∃∈,使得,()0f ξ=.(2)构造()()'()F x f x f x =,(0)(0)'(0)0F f f ==,()()'()0F f f ξξξ==,()lim 0,'(0)0,x f x f x +→<∴<由拉格朗日中值定理知(1)(0)(0,1),'()010f f f ηη-∃∈=>-,'(0)'()0,f f η<所以由零点定理知1(0,)(0,1)ξη∃∈⊂,使得1'()0f ξ=,111()()'()0,F f f ξξξ∴== 所以原方程至少有两个不同实根。
(19)(本题满分10分).设薄片型物体S 是圆锥面22y x z +=被x z 22=割下的有限部分,其上任意一点处的密度为2229),,(z y x z y x ++=μ,记圆锥面与柱面的交线为C ; (I )求C 在xOy 平面上的投影曲线的方程;(II )求S 的质量M 。