2014年清华大学828信号与系统考研真题
- 格式:pdf
- 大小:2.64 MB
- 文档页数:16
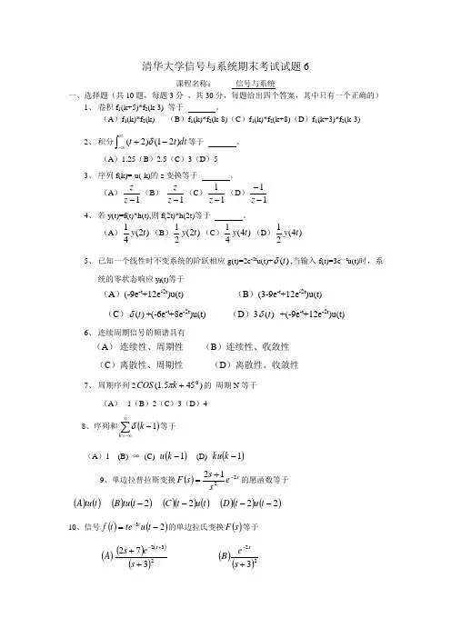
清华大学信号与系统期末考试试题6课程名称: 信号与系统一、选择题(共10题,每题3分 ,共30分,每题给出四个答案,其中只有一个正确的)1、 卷积f 1(k+5)*f 2(k-3) 等于 。
(A )f 1(k)*f 2(k) (B )f 1(k)*f 2(k-8)(C )f 1(k)*f 2(k+8)(D )f 1(k+3)*f 2(k-3)2、 积分dt t t ⎰∞∞--+)21()2(δ等于 。
(A )1.25(B )2.5(C )3(D )5 3、 序列f(k)=-u(-k)的z 变换等于 。
(A )1-z z (B )-1-z z(C )11-z (D )11--z4、 若y(t)=f(t)*h(t),则f(2t)*h(2t)等于 。
(A ))2(41t y (B ))2(21t y (C ))4(41t y (D ))4(21t y 5、 已知一个线性时不变系统的阶跃相应g(t)=2e -2t u(t)+)(t δ,当输入f(t)=3e —t u(t)时,系统的零状态响应y f (t)等于(A )(-9e -t +12e -2t )u(t) (B )(3-9e -t +12e -2t )u(t)(C ))(t δ+(-6e -t +8e -2t )u(t) (D )3)(t δ +(-9e -t +12e -2t )u(t)6、 连续周期信号的频谱具有(A ) 连续性、周期性 (B )连续性、收敛性 (C )离散性、周期性 (D )离散性、收敛性7、 周期序列2)455.1(0+k COS π的 周期N 等于(A ) 1(B )2(C )3(D )4 8、序列和()∑∞-∞=-k k 1δ等于(A )1 (B) ∞ (C) ()1-k u (D) ()1-k ku9、单边拉普拉斯变换()se s s s F 2212-+=的愿函数等于 ()()t tu A ()()2-t tu B ()()()t u t C 2- ()()()22--t u t D 10、信号()()23-=-t u tet f t的单边拉氏变换()s F 等于()A ()()()232372+++-s e s s ()()223+-s e B s()()()2323++-s se C s ()()332++-s s e D s二、填空题(共9小题,每空3分,共30分)1、卷积和[(0.5)k+1u(k+1)]*)1(k -δ=________________________2、单边z 变换F(z)=12-z z的原序列f(k)=______________________ 3、已知函数f(t)的单边拉普拉斯变换F(s)=1+s s,则函数y(t)=3e -2t ·f(3t)的单边拉普拉斯变换Y(s)=_________________________4、频谱函数F(j ω)=2u(1-ω)的傅里叶逆变换f(t)=__________________5、单边拉普拉斯变换ss s s s F +++=2213)(的原函数f(t)=__________________________ 6、已知某离散系统的差分方程为)1(2)()2()1()(2-+=----k f k f k y k y k y ,则系统的单位序列响应h(k)=_______________________7、已知信号f(t)的单边拉氏变换是F(s),则信号⎰-=2)()(t dx x f t y 的单边拉氏变换Y(s)=______________________________8、描述某连续系统方程为()()()()()t f t f t y t y t y +=++''''52该系统的冲激响应h(t)=9、写出拉氏变换的结果()=t u 66 ,=k t 22三、(8分)已知信号()()()⎪⎩⎪⎨⎧><==↔./1,0,/1,1s rad s rad jw F j F t f ωωω设有函数()(),dt t df t s =求⎪⎭⎫⎝⎛2ωs 的傅里叶逆变换。
2012年清华大学828信号与系统试题一、问答题,每小题6 分1 、假设h(t) 下所围面积为Ah, f(t) 下所围面积为Af,g(t)=h(t)*f(t) ( 两者卷积) ,g(t) 下所围面积为Ag, 试证Ag=Ah*Af(两者之积)。
2、若t 趋于无穷时,对于任意输入,其零状态响应均不为0,试问该系统是BIBO 稳定系统吗?3、不记得了,比较基础的题,不做也罢。
4、已知F{x(n)} = X(exp(jw)),Y(exp(jw))=∫X(exp(jw))dw (积分限是从(w - pi/2)到(w + pi/2), 试用x(n)来表示y(n).5、已知F{x(t)} = X(jw),试求∫x(t-y)*exp(-(y^2)/2)dy 的傅式变换。
(y 的积分是从负无穷到正无穷)(提示F{exp(-pi*(t^2))} =exp(-a*(f^2)),大概这样,记不清了)6、已知x1(n)和x2(n)分别为长为N1、N2 的序列,试用DFT 和IDFT 表示两者的卷积。
7、x(k)=Σx(i)(求和限是从n 到正无穷),已知Z{x(n)} = X(z),求Z{x(k)}。
8、请问X(exp(j0))和∫x(t)dt (积分线从负无穷到正无穷),请问两者的物理意义分别是什么。
二、(12 分)已知冲击响应h(t,y)(y 表示另一常数,书上用的tao 表示,我表示不来,嘻嘻),拉式的系统函数H(S),傅式的系统函数H(jw),均可用来表示输入x(t)和输出y(t),但输入以及冲击响应或系统函数均要满足一定的关系,是分别阐明。
三、(20 分)已知x1(t) = u((t) = u((t) = u((t) = u((t) = u(– u(t u(t u(t - 2) , x2(t) = u(, x2(t) = u(, x2(t) = u(, x2(t) = u(, x2(t) = u(, x2(t) = u(, x2(t) = u(– 2u(t 2u(t 2u(t 2u(t - 1) + u(t 1) + u(t 1) + u(t 1) + u(t - 2)1、试分别画出x1(t)x1(t)x1(t)x1(t) 和x2(t)x2(t)x2(t) x2(t)的可实现匹配滤波器。
清华信号与系统考研资料2014年清华大学信号与系统(828)真题解析班一、已知如下图所示,周期为,则(1)如果,请求出在[0, ]上的傅里叶级数;(2)若为以为周期的周期延拓,求其傅里叶变换;(3)请解释说明、、之间的频域关系。
)(t f 4τ3τ)]3()()[()(τ--=t u t u t f t g )(t g )(t g e )(t g )(ωe G )(t f )(t g )(t g e 1-1()f t t3ττ4τ3τ二、证明:系统BIBO 因果稳定的充要条件是:(1)(2))()()(tuthth=⎰+∞∞-∞<dtth)(三、已知系统如下框图,当输入信号为时,请分别计算并画出的频谱。
其中,,且输入和系统、的频域特性分别为:15X ~X ×+×1H 2H 1常数cos(40)t g()t 0X 1X 2X 3X 4X 5X ∑+∞-∞=-=n nT t t g )()(δ/50π=T 0X :1H :2H :40-40ω1060-6020ω160-16010ω140-1400X 1H 2H 0X四、输入信号为,分别通过下面五个系统,请从以下6图中选择出各系统所对应输出的幅频响应。
(1)(2)(3)(4)(5))3()()(--=n u n u n x )(z H i |()|j i Y e ω5.01)(331--=z z z H 5.0)(332-=z zz H 5.0)(3233-+-=z z z z z H 1)(234-+-=z z z z H zz H +=1)(5-1-0.500.51012345678ω / π-1-0.500.51012345678ω / π-1-0.500.51012345678ω / π-1-0.500.51012345678ω / π-1-0.500.51012345678ω / π-1-0.500.51012345678ω / π图1 图2图3图4图5图6五、下图分别为和的频谱图和。
2014清华大学信号与系统考研资料心得1、清华大学2000-2012年信号与系统考研真题和部分年份真题答案(真题的作用不言而喻,是必备的第一手资料。
题答案是试卷题目答案,答案清晰,这份答案是市面上最全的版本;2、已录取的清华大学信号在复习中整理的笔记(几十页最新更新!3、内部讲义一份——由于是内部讲义,我不方便在此发布照片,有意向的同学可以联系我,到时候可以传照片以供鉴定。
这份讲义我当年动用了各种人际关系,花了N多钱,才买到,市场上直接买不到,希望引起各位学弟学妹的重视。
4、清华大学《信号与系统》郑君里版考研精华笔记(独家发布!!,共46页,此笔记是2012年的学长总结的笔记,对信号的理解和类型题总结,对清华《信号与系统》的精髓进行了总结。
重点非常明确,极具系统性,概括性强,逻辑清晰,笔记清晰,有利于把握课本重点,节约宝贵的复习,提高复习效率。
笔记按照章节对郑君里《信号与系统》清华院指定教材进行了总结和归纳,后面再分证明专题,专题演讲,一些结论,专业课冲刺必备公式,重点课后习题详解,进行了系统的讲解;是一份非常系统,全面的复习笔记;5、清华大学《信号与系统》郑君里版考研精华笔记(独家发布!!,共73页,由今年考取清华的研究生整理,自己比较小,内容很多,概括性很强,有系统,有条理,是市面上目前出售的过时的,不清晰的笔记所不能相提并论的;价值性,非常高;6、清华大学《信号与系统》6套全真考研模拟题及答案,此六套模拟题是严格按照清华、中科院、中科大这类的名校信号的难度编写而成(独家发布,难度较大,且配有答案,是清华大学信号与系统考研复习中,不可多得的材料,可用于复习巩固、测试检测对知识的掌握程度,提高拔高使用;7、清华大学《信号与系统》期中期末考试试题;8、清华大学《信号与系统》内部复习题集(独家发布!!,本资料覆盖大纲要求掌握的每个知识点,内容与考试大纲完全一致,分章节都有要点总结,习题都有详细解答,题型结构与真题一致,历年真题大量出自此资料中的原题,实难弄到!其价值远远大于历年真题。
清华信号与系统历年考题00后4个班的限选课⼀、⼩题集合1.卷积;——图解法,30秒搞定2.LT;3.LT;4.FT;——积分特性⼆、给⽅框图,求系统函数等(书后原题4-43)。
三、求系统函数。
具体的忘了,系统中有个延时单元,输⼊是全波整流,输出是半波整流。
⽤LT作,主要考周期冲激信号的LT。
四、⼀LTI系统,h(t)=(Sa)^2,两周期⽅波信号分别通过,求时域响应。
解法:Sa函数的平⽅ <==> 理想低通的卷积,得到三⾓低通;周期⽅波 <==> 冲激序列。
算得上是最难的题了五、e(t)=1+cos(wt)经冲激抽样(不符合抽样定量),再理想低通滤波,求时域响应。
解法:FT,频域求解。
本⼈是5班课代表.刚从⼭⽼师那⾥回来,带来⼀些信息,供⼤家参考.⾸先声明,仅供参考,如有误导,概不负责.1.考试以⼭⽼师的笔记为主,课本上没有的笔记上有的可能要考,课本有的笔记上没有的基本不考.~~~~2.考试以基本概念为主.注意,有⼀道20分的问答题,分作五个⼩题.(⽼师说,这是他第⼀次出问答题.)没有填空之类,即,⼤部分是计算题(我猜测),⽽且⽼师说有结合计算的证明题. 忘了问计算题与留的习题的关系.希望以后去答疑的同学问⼀下.3.⽼师强调,概念第⼀,计算第⼆,技巧第三.估计,计算难度低,只要你思路正确,也就是1+1 的⽔平.忘了问复数计算问题(留数),请哪位去答疑的同学问⼀下.4.⽼师举例:a.现实的信号,可能不是带限的,在处理中如何保证信号的尽量不失真.(思路,从dft的加窗和抽样来考虑)b.带限信号和时限信号不能同时成⽴,问怎样理解.(思路,笔记上有详细的说明,说明笔记的重要性)5.关于滤波器.⽼师强调设计的重要性.列如:a.冲击相应不变法与双线性变换发(iir)的设计.(注意不考实现,但是⽼师说可能有综合题.)b.⽼师强调了双线性变换(iir)和fir.c.⽼师强调了fir中的加窗,说开卷考试问题就好办了.估计,可能要考五种窗函数.6.问及⽼师,上下册那⼀个重要.⽼师说,以他上课时说的重点为主.他说,fourier,z,和离散为重点.(其他也有可能是重点,望各位补充)7.问,课本量太⼤,不知怎么准备.答,要学会控制,抓住重点.8.问,试卷的容量.答,够你答的,但是两⼩时能够答完.9.强调,有确切数值解的题⽬不多,题⽬有弹性,也就是说,你看的可能容易,但是可能是个陷阱.10.书上的⽐较繁琐的公式⼤概不会考.~~~~~呵呵,就这么多,⽼师停和蔼的,有问必答,不过有时答⾮所问.(注意,如果想答疑,前往10-408,时间为今天下午和明天.因为⽼师后⼏天有会,可能没有时间.)机遇呀,希望⼤家把握.6.2001.6.16<<信号与系统>>B卷(⼭⽼师)以下版权属eehps所有,如有问题概不负责,仅供参考1:f(t)=f2(t)-j*f1(t),f2与f1成hilbert变换对已知F[f(2)]=F1(w),求F[f(t)]//笔记上有时域hilbert变换的系统函数H(w)=-jsgn(w)2:f(t)=e^-a|t|,(a>0) 先时域抽样后频域抽样A:证明等效时宽T与等效带宽B乘积为常数,若T单位为s带宽B单位Hz,求B*T=?//证明书上有,当B单位取Hz,B*T=1B:求原信号,时域抽样后的信号,频域抽样后的信号及他们的频谱C:问从频域抽样后的信号能否恢复原信号//看图就知道leD:应该加什么措施才能够恢复原信号//从加窗截断考虑3:x(n),0<=n<=N-1A:求X[k]=DFT{x(n)}//书上的定义B:将x(n)补零扩展N变成N1=k*N(k为⾃然数,k>1),记做x1(n),求DFT{x1(n)}与DFT{x(n)}的关系//在区间[0,N-1]上easy,其它没做,好像⽐较繁C:问这样扩展后能否提⾼频率分辨率4: x(t)=sin(t),y(t)=cos(t) (t在整个时域上)A:求x(t)关于y(t)的相关系数//书上有的,注意x(t),y(t)均是频率有限信号B:求x(t)和y(t)的互相关函数//注意x(t),y(t)均是频率有限信号就⾏了5:就是把上册书231页图4-42中的零极点对调了,要求画出幅频,相频图//⾃⼰看书le,⽐较简单6:电路图就是上策书221的图4-26(R=1欧,C=1F),要求⽤双线性变换法设计数字滤波器 A:问步长T怎么选取//看书B:求H(Z)C:双线性变换的主要问题?//书上有,主要是它是⼀个⾮线性变换,会引起失真D:给出⼀个⽅块图描述该系统E:⼤略画出幅频特性图7:问答题A:傅⽴叶变换中出现负频率1:为什么会出现负频率//上册书93⾃⼰找2:为什么只研究正频率//对称性了B:线性系统响应=零输⼊响应+零状态响应,为什么?//线性系统满⾜叠加定理C:怎样理解傅⽴叶变换在线性定常系统中的重要性D:DFT有快速算法FFT,本质原因?//书上⼀章的绪⾔有,变换矩阵的多余性E:傅⽴叶变换满⾜范数不变性,是任何范数还是特定的,并给出解释//笔记有leF:弱极限的定义//看笔记A卷1.计算sinx,cosx的相关系数和相关函数还有24分的问答题,怀疑送分?有:1。
浙江农林大学天目学院 2013 - 2014 学年第 二 学期考试卷(A 卷)答案 课程名称: 信号与系统 课程类别: 必修 考试方式: 闭卷 适用专业: 电子信息工程注意事项:1、本试卷满分100分。
2、考试时间 120分钟。
一、 单项选择题(在每小题的四个备选答案中,选出一个正确答案,并将正确答案的选项填在题后的括号内。
每小题2分,共20分)D 、A 、D 、A 、C 、A 、C 、A 、B 、C二、简答题(10分)系统微分方程的算子形式为)()()(H ),()()(p D p N p t e p H t r ==其中为转移算子,设其特征方程无重根,且N(p)的幂次低于D(p)幂次,归纳该线性系统的时域分析法。
系(部): 专业班级: 姓名: 学号: 装 订 线 内 不 要 答 题三、计算题(70分)1、(15分)求以下两个信号的卷积。
⎩⎨⎧<<=值其余t t t x 0101)( ⎩⎨⎧<<=值其余t t tt h 020)(答:03t 3t 2t -5.03t 21-t 25.0210.5t 1t 000t 22=≥++=<≤=<≤=<≤=<时,卷积当)(时,卷积当)(时,卷积当时,卷积当;时,卷积当t2、有一幅度为1,脉冲宽度为2ms 的周期矩形脉冲,其周期为8ms ,如图所示,求频谱并画出频谱图。
(10分)解:Fn 为实数,可直接画成一个频谱图。
3、(共15分)已知)()(ωj F t f ⇔,求下列信号的傅里叶变换。
(1)f(1-t) (2))2(t tf (3)dtt df t)( (1) ωωj e j F t f --⇔-)()1( (2)ωωd j dF j t tf )2/(2)2(⇔(3) ωωωωd j dF j F dt t df t )()()(--⇔4、(10分)一线性系统的频响曲线如下图所示,求信号t t t e 2cos 2cos 22)(++=作用下的零状态响应.解:(1).o m om om E E E 02,02,2.2.1.∠=∠==(2).00)2(,21)1(,02)0(∠=-∠=∠=j H jj H H π(3).)2cos(24)(π-+=t t r5、(10分)已知信号()()()⎪⎩⎪⎨⎧><==↔./1,0,/1,1s rad s rad j F j F t f ωωωω设有函数()(),dt t df t s =求⎪⎭⎫⎝⎛2ωs 的傅里叶逆变换。
2014年清华大学828信号与系统考研真题回忆版今年的信号相比以往真题,风格又大变,一改往年贴近郑君里教材出题的形式,今年转向奥本海姆,尤其是离散部分,据说是三位老师一起出的题,难度可想而知,反正楼主是翻了一下试卷就知道今年没戏了!今年一共10道大题,由于部分题目过长,说说大概。
1.(10分)3问,考察的是求周期矩形波截其中3/4周期后的傅氏级数,然后求周期延拓后的傅氏变换,以及求这2个周期信号的关系(真题是这么问的,感觉题目描述有错)2.(10分)证明系统为因果稳定系统的充要条件是其冲激响应绝对可积,这个是课本上的3.(15分)信号反馈做差后的等式,求拉氏变换后取极限,此题应该是整张试卷最简单的一题4.(15分)给出一个离散输入和五个很难看出零极点的离散系统函数,分别在六个输出图选出各系统函数对应的响应,遗憾的是考试太紧张,一个没选出来。
5.(15分)3问,给了一个IIR滤波器图,1问求该滤波器的状态方程,2问求1问中推出来的系统方程,3问:若一个系统列写的状态方程不一样,最后的系统方程是否一样。
6.(15分)3问,画了两个波形图,1问求波形1和波形2相互表示,2问求,波形1表示波形2的系统,然后问该系统是否可实现,3问求,波形2表示波形1的系统,然后问该系统是否可实现。
7.(15分)一个信号处理流程(4步处理),3问,1问画图,2-3都问是否存在一个低通滤波器使系统为LTI系统,难8.(15分)针对零阶抽样保持,分别证明两个等式,个人认为很难9.(20分)给定离散,求信号离散匹配滤波器的h(n),画出输入,系统函数,输出的图,求信号过系统的最小乘(加)法次数,离散匹配滤波器概念比较生疏10.(20分)给出一个信号处理流程图(5步处理)然后求处理的各个问题,相当复杂,共三问,每问大概求两个东西有不对的地方,大家可以回复以便完善。
2015年考研的同学一定要重视奥本海姆两本书,郑君里党会吃大亏的!。
四川大学期末考试试题(A卷)(2013——2014 学年第二学期)课程号:303123040课序号:课程名称:信号与系统任课教师:任小梅邓丽华余勤王忠罗伟钟俊蒲明刘亚梅成绩:注:1试题字迹务必清晰,书写工整。
本题5 页,本页为第 1 页2 题间不留空,一般应题卷分开教务处试题编号:学号: 姓名6、 一个周期为N 的离散时间信号,其傅里叶级数表示式是一个N +1项的有限级数。
( F )7、 一个非因果稳定的离散信号,其z 变换收敛域包含z =∞。
( F )8、 一个因果的连续时间系统的系统函数X (s ),若其极点都在虚轴以左,那么该系统一定稳定。
( T )9、 一个稳定的连续系统,其系统函数为2()(1)(2)s e H s s s =++,收敛域为Re{}1s >-,那么该系统是因果的。
( F )10、 单位冲激响应为6()th t e-=的系统是非因果稳定的。
( T )二、单项选择题:(共10小题,每题1.5分,共15分)1、 三个连续时间系统S 1、S 2和S 3,它们对于输入jt e 的响应分别是:312(1), , sin()S S S jt jt jt j t jt e te e e e t -−−→−−→−−→以下说法正确的是:( C )A .都是非线性系统B .S 1是非线性系统C .S 1、S 2是线性系统D .S 2和S 3是非线性系统 2、 已知x (t ) ,为求x (3-2t ) 则下列运算正确的是( D )A .x (-2t ) 左移3B .x (-2t ) 右移3C .x (-2t ) 左移3/2D .x (-2t ) 右移3/2 3、 已知信号1()x t 和2()x t 分别如右图所示,且12()()()y t x t x t =*,则(1)y =( C )。
A .1B .2C .4D .0 4、 下列各式正确的是( B )。
A.1(2)()2δδt t -=-B.1(2)()2δδt t -=C .(2)()δδt t -=-D. (2)()δδt t -=5、 系统的幅频特性|H (j ω)|和相频特性如右图所示,则下列信号通过该系统时,不产生失真的是( B ) 。
华北电力大学2013~2014学年第 二 学期考试试卷(A )班级: 姓名: 学号:一.填空题(共20分) 1.0j j 0e [()()]d 1e t t t t t t ωωδδ∞---∞--=-⎰(1分)2. 判断如下所示系统是否具有线性、时不变性、因果性:()sin[()]()y t f t t ε= 非线性 , 时变 , 因果 。
(3分) 3. 连续周期信号傅里叶级数的两种形式011cos()n n n A A n t ωϕ∞=++∑,1j 1e n t n n F ω∞=∑(如果写指数形式和三角形式,也算对吧)。
(2分)4. 调制的实质是 频谱搬移 ,频分复用的关键是将信号与不同频率的 载波信号(三角信号) 相乘。
(2分)5. 序列0.5()[(2)(6)]t f t e t t εε-=---拉普拉斯变换的收敛域 整个s 平面 。
(2分)6. 连续因果系统的系统函数H (s )的零、极点分布图如图1-1所示,且H (∞)=1,则系统的冲激响应h (t ) = ()2()t t δε+。
(2分)图1-1 图1-27. 判断序列()sin(0.4)2cos(0.5)x k k k =π+是否具有周期性 否 ,若具有周期性则周期为 无 (若不具有周期性则写“无”)。
(2分)8. 图1-2所示的信号是功率信号还是能量信号 能量 ,其功率或能量为 0.5 。
(2分)9. 已知序列x (k )的Z 变换为2()(1)(2)z X z z z =--,则x (0)与x (1)为 1,3 。
(2分)10. 序列(2)(1)kk ε--+的单边Z 变换1212z z z---=。
(2分) 二.作图与简答(共30分)1. (6分)已知信号f (t )的波形如图2-1所示,画出(12)(1)f t t ε--的波形图。
2. (6分)f 1(t )与f 2(t )的波形如图2-2所示,作出f 1(t )*f 2(t )的波形。
第一章信号与系统、单项选择题X1.1 (北京航空航天大学 2000年考研题) 试确疋下列信号的周期:(1) x(t) 3 cos 4t3;(A ) 2( B ) (C )-- (D)22(2)x(k) 2 cos —k sin —k 2cos —k —48 2 6(A ) 8 ( B )16 (C )2 (D )4X1.2 (东南大学2000 年考研题)下列信号•中属于功率信- 号的是 。
(A )cost (t)( B )e t(t)(C ) te t(t)ti(D ) e 11X1.3 (北京航空航天大学 2000年考研题) 设f (t )=0 , t<3,试确定下列信号为 0的t 值:(1)f (1-t)+ f(2-t);(A ) t >-2 或 t>-1(B )t=1 和 t=2(C ) t>-1(D ) t>-2(2)f (1-t) f(2-t))(A ) t >-2 或 t>-1 (B )t=1 和 t=2(C ) t>-1(D ) t>-2(3)t f3(A ) t >3 ( B )t=0 (C ) t<9 ( D )t=3X1.4 (浙江大学2002年考研题: )卜列表达式屮正确的是o(A ) (2t)(t)(B ) 1 (2t) 1 (t)(C ) (2t) 2 (t)(D ) 12⑴(2t)X1.5(哈尔滨工业大学2002年考研题) 某连续时间系统的输入f (t )和输出y (t )满足y(t) f(t) f(t 1),则该系统为 _______________(B )非因果、时不变、非线性 (D )因果、时不变、非线性(A )因果、时变、非线性 (C )非因果、时变、线性X1.6 (东南大学2001年考研题)微分方程y (t) 3y(t) 2y(t) f(t 10)所描述的系统为 __________ 。
(A )时不变因果系统 (B )时不变非因果系统 (C )时变因果系统(D )时变非因果系统X1.7 (浙江大学2003年考研题)y(k) f( k 1)所描述的系统不是 _______________________ 。
1.臧春华等,现代电子技术基础(数字部分),北京:北京航空航天大学出版社,2005;2.管致中夏恭恪编,《信号与线性系统》,高等教育出版社,2004年1月第四版;3.郑君里等,《信号与系统》,高等教育出版社,2000年5月第二版;4.A.V. Oppenheim,《信号与系统》-影印版,清华大学出版社,1999年1月。
数字电路部分一、数制与编码1. 十进制数、二进制数、八进制数和十六进制数及其相互转换2. 二进制数的算术运算3. 二进制原码、补码和反码4. 带符号数的表示方法5. 用反码和补码进行加/减运算6. 二―十进制码、格雷码、ASCⅡ码及其特性二、逻辑函数及其化简1. 布尔代数常用的基本公式及运算规则2. 逻辑函数及其表示方法(逻辑表达式与真值表及卡诺图相互关系、积之和表达式与最小项表达式、和之积表达式与最大项表达式)3. 逻辑函数的公式法化简4. 逻辑函数的卡诺图法化简5. 未完全规定的逻辑函数的化简三、组合逻辑电路1. 集成逻辑电路的电气特性及主要电气指标2. 逻辑电路的输出结构3. 逻辑符号与正、负逻辑极性4. 常用组合逻辑模块及其应用(加法器、数值比较器、译码器、数据选择器)5. 组合电路的设计方法(用SSI和MSI进行设计)6. 险象与竞争(逻辑险象和功能险象的判别与消除方法)四、时序电路分析1. 集成触发器及其应用(R-S触发器、D触发器、J-K触发器、T与触发器、异步计数器)2. 同步时序电路分析(同步时序电路的结构和代数法描述、米里型电路的状态表(图)、莫尔型电路的状态表(图)、自启动性)3. 集成计数器及其应用(74163和74192)4. 集成移位寄存器及其应用(74194)5. 随机访问存储器(RAM的组成与原理、RAM扩展与地址译码)五、同步时序电路设计1. 原始状态表的建立2. 用D触发器或JK触发器设计同步时序电路3. 以多D触发器为核心设计同步时序电路六、可编程逻辑器件及其应用1. PLD的基本原理(PLD的基本组成、编程技术、阵列结构、PLD中阵列的表示方法)2. 简单可编程逻辑器件SPLD原理与应用(只读存储器PROM、可编程逻辑阵列PLA)七、集成数/模和模/数转换器1. 常用D/A转换技术(T形及倒T形电阻网络DAC、电流激励形DAC)2. 集成DAC的组成3. DAC的主要技术参数4. A/D转换的一般过程5. 常用A/D转换技术(并行式ADC、串-并行ADC、逐次比较型ADC、双积分型ADC)6. 集成ADC的组成7. ADC的主要技术参数主要参考书目:臧春华等,现代电子技术基础(数字部分),北京:北京航空航天大学出版社,2005信号与线性系统一、绪论1. 信号的概念及分类2. 线性非时变系统的概念3. 线性非时变系统的一般分析方法。
【温馨提示】现在很多小机构虚假宣传,育明教育咨询部建议考生一定要实地考察,并一定要查看其营业执照,或者登录工商局网站查看企业信息。
目前,众多小机构经常会非常不负责任的给考生推荐北大、清华、北外等名校,希望广大考生在选择院校和专业的时候,一定要慎重、最好是咨询有丰富经验的考研咨询师.2014年清华大学828信号与系统考研真题今年一共10道大题,由于部分题目过长,说说题目的大概。
1.(10分)3问,考察的是求周期矩形波截其中3/4周期后的傅氏级数,然后求周期延拓后的傅氏变换,以及求这2个周期信号的关系2.(10分)证明系统为因果稳定系统的充要条件是其冲激响应绝对可积,这个是课本上的3.(15分)信号反馈做差后的等式,求拉氏变换后取极限,此题应该是整张试卷最简单的一题4.(15分)给出一个离散输入和五个很难看出零极点的离散系统函数,分别在六个输出图选出各系统函数对应的响应。
5.(15分)3问,给了一个IIR滤波器图,1问求该滤波器的状态方程,2问求1问中推出来的系统方程,3问:若一个系统列写的状态方程不一样,最后的系统方程是否一样。
6.(15分)3问,画了两个波形图,1问求波形1和波形2相互表示,2问求,波形1表示波形2的系统,然后问该系统是否可实现,3问求,波形2表示波形1的系统,然后问该系统是否可实现。
7.(15分)一个信号处理流程(4步处理),3问,1问画图,2-3都问是否存在一个低通滤波器使系统为LTI系统8.(15分)针对零阶抽样保持,分别证明两个等式9.(20分)给定离散,求信号离散匹配滤波器的h(n),画出输入,系统函数,输出的图,求信号过系统的最小乘(加)法次数,离散匹配滤波器概念比较生疏10.(20分)给出一个信号处理流程图(5步处理)然后求处理的各个问题,相当复杂,共三问,每问大概求两个东西专业课的复习和应考有着与公共课不同的策略和技巧,虽然每个考生的专业不同,但是在总体上都有一个既定的规律可以探寻。
以下就是针对考研专业课的一些十分重要的复习方法和技巧。
一、专业课考试的方法论对于报考本专业的考生来说,由于已经有了本科阶段的专业基础和知识储备,相对会比较容易进入状态。
但是,这类考生最容易产生轻敌的心理,因此也需要对该学科能有一个清楚的认识,做到知己知彼。
跨专业考研或者对考研所考科目较为陌生的同学,则应该快速建立起对这一学科的认知构架,第一轮下来能够把握该学科的宏观层面与整体构成,这对接下来具体而丰富地掌握各个部分、各个层面的知识具有全局和方向性的意义。
做到这一点的好处是节约时间,尽快进入一个陌生领域并找到状态。
很多初入陌生学科的同学会经常把注意力放在细枝末节上,往往是浪费了很多时间还未找到该学科的核心,同时缺乏对该学科的整体认识。
其实考研不一定要天天都埋头苦干或者从早到晚一直看书,关键的是复习效率。
要在持之以恒的基础上有张有弛。
具体复习时间则因人而异。
一般来说,考生应该做到平均一周有一天的放松时间。
四门课中,专业课(数学也属于专业课)占了300分,是考生考入名校的关键,这300分最能拉开层次。
例如,专业课考试中,分值最低的一道名词解释一般也有4分或者更多,而其他专业课大题更是动辄十几分,甚至几十分,所以在时间分配上自然也应该适当地向专业课倾斜。
根据我们的经验,专业课的复习应该以四轮复习为最佳,所以考生在备考的时候有必要结合下面的内容合理地安排自己的时间:第一轮复习:每年的2月—8月底这段时间是整个专业复习的黄金时间,因为在复习过程遇到不懂的难题可以尽早地寻求帮助得到解决。
这半年的时间相对来说也是整个专业复习压力最小、最清闲的时段。
考生不必要在这个时期就开始紧张。
很多考生认为这个时间开始复习有些过早,但是只有早准备才能在最后时刻不会因为时间不够而手忙脚乱。
对于跨专业的考生来说,时间安排上更是应当尽早。
完全可以超越这里提到的复习时间,例如从上一年的10月份就开始。
一般来说,第一轮复习的重点就是熟悉专业课的基本理论知识,多看看教材和历年试题。
只有自己有了阅读体验,才能真正有自己的想法,才能有那种很踏实的感觉。
暑假期间,在准备公共课或者上辅导班的同时,继续学习专业课教材,扩大知识量。
复习的尺度上,主要是将专业课教材精读两遍以上,这里精读的速度不宜太快,否则会有遗漏,一般每天弄懂两到三个问题为宜。
由于这段时间较长,考生完全可以把专业问题都吃透。
事实上,一本专业课的书,并非所有的东西都能够作为考试内容,但是重要的内容则会不厌其烦地在不同年份的考卷中变换着面孔出现。
所以,考生在第一遍精读的时候就需要把这些能够成为考题的东西挖掘出来,整理成问答的形式。
第二轮复习:每年的9月—12月中旬这个时段属于专业课的加固阶段。
第一轮复习后总会有许多问题沉淀下来,这时最好能够一一解决,以防后患。
对于考生来说,这4个月是专业知识急剧累积的阶段,也是最为繁忙劳累的时候。
在专业课复习上,这段时间应该主要看近年的学术期刊以及一些重要的学术专著,边看书边做读书笔记,并整理以前的听课笔记。
一项这是十分重要的工作,因为复习的重点会往公共课上倾斜,专业课复习所占的时间也会缩短。
此时需要注意本年度涉及所考专业的热点问题。
在复习的尺度上,应该逐渐抛开书本,将书本中的知识点用自己的语言写出来,整理成精练的笔记。
然后看自己的笔记并形成自己的东西,因为考试是需要用笔来表达的。
所以,把第一次精读过后的那些重点问题用答卷的方式写一遍,效果是十分突出的。
再根据本专业的情况,翻查其他的参考用书,将新的知识点补上。
一般来说,专业课不可能只涉及一两本书,不排除出现一些超越范围的考题。
因此,可以根据考过的同学的建议去精读其他的参考书,把重要的内容补充上去。
第三轮复习:12月中旬—考前一周这个时候的专业课复习主要是认真看第一轮和第二轮复习时积累下来的读书笔记和听课笔记,不断加深印象,试着自己给自己出题并且结合本年度的热点问题试图去猜一下专业考题,并想想该怎么答,训练一下解题思路和技巧。
复习的尺度方面,则是查阅本年度该专业最新的热点问题以及报考导师目前研究的主要课题等,把这些补充上去,整个的复习笔记就比较完整了。
在补充和扩展的过程中,查询网站、期刊等都是很好的手段。
另外,因为考试临近,考生应该注意调节自己的专业兴奋程度,积极地和考研盟友针对某些问题进行辩论,汲取对方的复习心得。
然后,有针对性地进行查缺补漏和深化理解。
第四轮复习:考前一周—考前一天如果这个时候还有很多问题依然得不到解决,那么就不要再费心血去搜集答案了。
这是一个博弈的阶段,把自己熟悉的问题尽量把握好才是关键。
这里突出强调的就是要学会调整心态,准备应考,让自己找到考试的感觉。
这段时间,主要是默默地体会所有的知识要点和热点问题,把心态和作息时间调整到最佳,保证考场中的理想发挥。
最主要的策略——历年试题、笔记、热点问题考研不同于其他的考试,它有着独特的考试形式和内容,因此复习也应该有相应的方法和节奏。
认真研究历年试题,分析出题方向和特点,这是专业课备考的关键。
这里强调两点:一是分析试题这项工作要提早,因为这对你看各种考研书籍和资料有重要的指导意义;另外不仅要思考,还要动笔,要认认真真把每一道考研题落实到字面上,你会发现很多原来没有想到过的东西。
同时,这种训练可以避免真正考试时因时间仓促和心理压力带来的表达上的不成熟。
有些学校的部分专业没有指定的参考书目,这样真题就更为重要了。
真题不是拿来做完了事的,要从命题人的角度、命题者的思路去推测出题偏好,推测这个院系的教学风格。
考生复习时,每复习一遍或每过一段时间,就应该拿出真题研究一下,结合年内的行业热点(无论是文科还是理科,其核心期刊总会反映年度热点问题)和近期理论界的研究争论焦点进行分析。
事实证明,考生对专业真题的钻研确实可以让考生猜到那么几十分的题目。
专业课的真题,要训练对分析题的解答,把自己的答案切切实实写在纸上,不要打腹稿(这样有时候感觉自己给分点都答到了,实际上却相差很远),再反复对照自己和参考答案(如果有的话)的差别,分析答题角度,揣摩命题人意图,并用同一道题在相隔一定时间后反复训练,慢慢完善自己此类题型的解答方法。
历年题是专业课的关键,而融会贯通则是关键中的关键。
考研的专业课考题大体有两种类型,一种是认知性质的考题,另一种是理解与应用型的,而且以后一种居多。
因此,同学们在复习时绝不能死记硬背条条框框,而应该看清条条框框背后所包含的东西,并且加以灵活运用。
在复习时,首先要把基本概念、基本理论弄懂,然后要把它们串起来,多角度、多层次地进行思维和理解。
由于专业的各门功课之间有着内在的相关性,如果能够做到融会贯通,无论对于理解还是记忆,都有事半功倍的效果。
考生完全可以根据历年的考题,在专业课本中划出历年涉及的重点,有针对性、有侧重点地进行复习。
针对笔记、真题以及热点问题,下面的提纲可能会比较快速地让考生朋友掌握以上的内容:1专业课笔记一般来说,大部分高校的专业课都是不开设专业课辅导班的,这一点在05年的招生简章中再次明确。
因此对于外校考生,尤其是外地区考生,也就是那些几乎不可能来某高校听课的考生,专业课笔记尤为重要。
可以说,笔记是对指定参考书最好的补充。
如果条件允许,这个法宝一定要志在必得。
在具体操作上,应先复习书本,后复习笔记,再结合笔记来充实参考书。
笔记的搜集方法,一般来说,有的专业比较热门,可以在市面上买到它的出版物;有的专业笔记在网上也可能搜集到,这需要考生多花一些时间;还有的专业由于相对冷门,那么考生就需要和该专业的同学建立联系,想办法把笔记弄到手。
2专业课历年真题真题是以前的考试题,是专业课的第一手资料,它更是法宝中的法宝。
对于真题,不能只满足于看上去会做,而是应该去整体分析,分析其中的出题规律和出题范围。
万事万物,必有规律可循,试题也不例外。
因此要尽量去弄到更多的试题,最好能够搜集全最近五年的实考题。
经过严密地分析和研究,以下规律浮出水面:1.五年之内,论述题一般不会重复,这是出题人出题的主体思路;2.简答题三年之内不会重复,三年之外很有可能重复,毕竟专业考试的出题范围有限,考生可以结合前面讨论的复习方法来比较和分析;3.名词解释题三年之外必有重复,有些更是经常考到,成为常考点,多多留意;4.密切关注常考点和不考点(五年之内没有考过的点),这两个点都极可能是下次考试的重点,这也是前面所提及的。
3热点问题和热点论文试题一般由专业课的导师出,至少有部分由导师出(其他可能由题库抽取)。
一般来说,某专业课的学术领导人,在出题的时候往往会把自己目前正在研究的课题放到考试中去,这已经成为一个非常公开的秘密。
如果事先未读过相关的论文,其后果可想而知。
因此对于导师的论文,特别是该专业的学术带头人的文章,一定要在复习专业课的基础上细心研读。