1.4三角函数的图像与性质测试题
- 格式:doc
- 大小:43.50 KB
- 文档页数:4
1y三角函数图像与性质练习题(一)一.选择题 〔每题5分,共100分〕1.将函数sin (0)y x ωω=>的图象按向量,06a π⎛⎫=-⎪⎝⎭平移,平移后的图象如下图,那么平移后的图象所对应函数的解析式是( ) A.sin()6y x π=+B.sin()6y x π=-C.sin(2)3y x π=+D.sin(2)3y x π=- 2. 为了得到函数R x x y ∈+=),63sin(2π的图像,只需把函数R x x y ∈=,sin 2的图像上所有的点( )A.向左平移6π个单位长度,再把所得各点的横坐标缩短到原来的31倍〔纵坐标不变〕B.向右平移6π个单位长度,再把所得各点的横坐标缩短到原来的31倍〔纵坐标不变〕C.向左平移6π个单位长度,再把所得各点的横坐标伸长到原来的3倍〔纵坐标不变〕 D.向右平移6π个单位长度,再把所得各点的横坐标伸长到原来的3倍〔纵坐标不变〕3. 函数()2sin (0)f x x ωω=>在区间,34ππ⎡⎤-⎢⎥⎣⎦上的最小值是2-,那么ω的最小值等于( )A.23B.32C.2D.3 4.函数y =sin(2x +3π)的图象可由函数y =sin2x 的图象经过平移而得到,这一平移过程可以是( ) A.向左平移6πB.向右平移6πC.向左平移12π D.向右平移12π 5. 要得到函数y =sin (2x -)6π的图像,只需将函数y =cos 2x 的图像( )A.向右平移6π个单位 B.向右平移3π个单位 C. 向左平移6π个单位 D. 向左平移3π个单位 6. 为了得到函数y =sin (2x-4π)+1的图象,只需将函数y =sin 2x 的图象〔〕平移得到A.按向量a=(-8π,1)B. 按向量a=(8π,1)C.按向量a=(-4π,1)D. 按向量a=(4π,1) 7.假设函数()sin ()f x x ωϕ=+的图象如图,那么ωϕ和的取值是( )A.1ω=,3πϕ= B.1ω=,3πϕ=-C.12ω=,6πϕ= D.12ω=,6πϕ=- 8. 函数πsin 23y x ⎛⎫=-⎪⎝⎭在区间ππ2⎡⎤-⎢⎥⎣⎦,的简图是( )9. 函数sin(2)cos(2)63y x x ππ=+++的最小正周期和最大值分别为( ) A.,1π B.,2π C.2,1π D. 2,2π 10. 函数()sin()(0)3f x x πϖϖ=+>的最小正周期为π,那么该函数的图象( )A.关于点(,0)3π对称 B.关于直线4x π=对称 C.关于点(,0)4π对称 D.关于直线3x π=对称11.函数)20,0,)(sin(πϕωϕω<≤>∈+=R x x y 的局部图象如图,那么( ) A.4,2πϕπω==B.6,3πϕπω==C.4,4πϕπω== D.45,4πϕπω==12. 要得到函数sin y x =的图象,只需将函数cos y x π⎛⎫=-⎪3⎝⎭的图象( ) yx11-2π- 3π- O6ππyx11- 2π- 3π- O 6ππ yx1 1-2π-3πO 6π-πy xπ2π- 6π-1O 1-3π A.B. C. D.A.向右平移π6个单位 B.向右平移π3个单位 C.向左平移π3个单位 D.向左平移π6个单位 13. 设函数()x f ()φω+=x sin ⎪⎭⎫ ⎝⎛<<>20,0πφω.假设将()x f 的图象沿x 轴向右平移61个单位长度,得到的图象经过坐标原点;假设将()x f 的图象上所有的点的横坐标缩短到原来的21倍〔纵坐标不变〕, 得到的图象经过点⎪⎭⎫⎝⎛1,61. 那么( ) A.6,πφπω== B.3,2πφπω== C.8,43πφπω== D. 适合条件的φω,不存在 14. 设函数)()0(1)6sin()(x f x x f '>-+=的导数ωπω的最大值为3,那么f (x )的图象的一条对称轴的方程是( ) A.9π=x B.6π=x C.3π=x D.2π=x三角函数图像与性质练习题答案三角函数的图象和性质练习题(二)一、选择题1.函数sin(2)(0)y x ϕϕπ=+≤≤是R 上的偶函数,那么ϕ的值是〔 〕A.0B.4πC.2πD.π2. 将函数x y 4sin =的图象向左平移12π个单位,得到)4sin(ϕ+=x y 的图象,那么ϕ等于A .12π-B .3π-C .3πD .12π 3.假设,24παπ<<那么〔 〕 (45<a<90)A .αααtan cos sin >>B .αααsin tan cos >>C .αααcos tan sin >>D .αααcos sin tan >>1 2 3 4 5 6 7 8 9 10 C C B A B B C A A A 11 12 13 14 CAAA4.函数23cos()56y x π=-的最小正周期是〔 〕A .52πB .25π C .π2 D .π5 5.在函数x y sin =、x y sin =、2sin(2)3y x π=+、2cos(2)3y x π=+中, 最小正周期为π的函数的个数为〔〕. A .1个B .2个 C .3个 D .4个6.x x x f 32cos 32sin)(+=的图象中相邻的两条对称轴间距离为 〔 〕 A .3π B .π34 C .π23 D .π677. 函数)252sin(π+=x y 的一条对称轴方程〔 〕A .2π-=xB .4π-=xC .8π=xD .=x π458. 使x y ωsin =〔ω>0〕在区间[0,1]至少出现2次最大值,那么ω的最小值为〔 〕 A .π25B .π45C .πD .π23二、填空题1.关于x 的函数()cos()f x x α=+有以下命题: ①对任意α,()f x 都是非奇非偶函数; ②不存在α,使()f x 既是奇函数,又是偶函数;③存在α,使()f x 是偶函数;④对任意α,()f x 都不是奇函数.其中一个假命题的序号是,因为当α=时,该命题的结论不成立.2.函数xxy cos 2cos 2-+=的最大值为________.3.假设函数()2sin(2)3f x kx π=+的最小正周期T 满足12T <<,那么自然数k 的值为______. 4.满足23sin =x 的x 的集合为_________________________________. 5.假设)10(sin 2)(<<=ϖϖx x f 在区间[0,]3π上的最大值是2,那么ϖ=________.三、解答题1.比拟大小〔1〕00150sin ,110sin ;〔2〕00200tan ,220tan 2. (1) 求函数1sin 1log 2-=xy 的定义域. 〔2〕设()sin(cos ),(0)f x x x π=≤≤,求()f x 的最大值与最小值. 3.)33sin(32)(πω+=x x f 〔ω>0〕〔1〕假设f (x +θ)是周期为2π的偶函数,求ω及θ值; ω= 1/3 ,θ= . 〔2〕f (x )在〔0,3π〕上是增函数,求ω最大值 "三角函数的图象和性质练习题二"参考答案一、选择题 1.C [解析]:当2πϕ=时,sin(2)cos 22y x x π=+=,而cos 2y x =是偶函数2.C [解析]:函数x y 4sin =的图象向左平移12π个单位,得到)12(4sin π+=x y 的图象,故3πϕ=3.D [解析]:tan 1,cos sin 1,ααα><<αααcos sin tan >>4.D [解析]:2525T ππ== 5.C [解析]:由x y sin =的图象知,它是非周期函数6.C [解析]: ∵x x x f 32cos 32sin)(+==)432sin(2π+x∴图象的对称轴为πππk x +=+2432,即)(2383Z k k x ∈+=ππ故相邻的两条对称轴间距离为π237.A [解析]:当2π-=x 时 )252sin(π+=x y 取得最小值-1,应选A8.A [解析]:要使x y ωsin =〔ω>0〕在区间[0,1]至少出现2次最大值 只需要最小正周期⋅45ωπ2≤1,故πω25≥ 二、填空题1、①0[解析]:此时()cos f x x =为偶函数2、3[解析]:2cos 4cos 2412cos 2cos 2cos x x y x x x++-===----3、2,3或[解析]:,12,,2,32T k k N k kkππππ=<<<<∈⇒=而或4、|2,2,33x x k k k Z ππππ⎧⎫=++∈⎨⎬⎩⎭或 5、34[解析]:[0,],0,0,3333x x x ππωππω∈≤≤≤≤< 三、解答题1.解:〔1〕0sin110sin 70,sin150sin 30,sin 70sin 30,sin110sin150==>∴>而 〔2〕0tan 220tan 40,tan 200tan 20,tan 40tan 20,tan 220tan 200==>∴>而 2.解:〔1〕221111log 10,log 1,2,0sin sin sin sin 2x x x x -≥≥≥<≤ 22,6k x k πππ<≤+或522,6k x k k Z ππππ+≤<+∈5(2,2][2,2),()66k k k k k Z ππππππ++∈为所求.〔2〕0,1cos 1x x π≤≤-≤≤当时,而[11]-,是()sin f t t =的递增区间 当cos 1x =-时,min ()sin(1)sin1f x =-=-; 当cos 1x =时,max ()sin1f x =. 4.解:(1) 因为f (x +θ)=)333sin(32πθω++x又f (x +θ)是周期为2π的偶函数, 故∈+==k k 6,31ππθω Z(2) 因为f (x )在〔0,3π〕上是增函数,故ω最大值为61三角函数的图象专项练习一.选择题1.为了得到函数)62sin(π-=x y 的图象,可以将函数y=cos2x 的图象 ( )A .向右平移6π个单位长度B. 向右平移3π个单位长度 C. 向左平移6π个单位长度 D. 向左平移3π个单位长度2.以下函数中振幅为2,周期为π,初相为6π的函数为 ()A .y=2sin(2x+3π) B. y=2sin(2x+6π) C .y=2sin(21x+3π) D. y=2sin(21x+6π) 3.三角方程2sin(2π-x)=1的解集为 ( ) A .{x│x=2kπ+3π,k∈Z}B .{x│x=2kπ+35π,k∈Z}.C .{x│x=2kπ±3π,k∈Z}D .{x│x=kπ+(-1)K ,k∈Z}.4.假设函数f(x)=sin(ωx+ϕ)的图象〔局部〕如下图,那么ω,ϕ的取值是 ( )A .3,1πϕω==B.3,1πϕω-==C .6,21πϕω==D.6,21πϕω-==5.函数y=tan(2x+φ)的图象过点(0,12π),那么φ的值可以是 ( ) A. -6π B. 6π C.12π- D.12π6.设函数y=2sin(2x+Φ)的图象为C ,那么以下判断不正确的选项是〔 〕A .过点(,2)3π的C 唯一 B.过点(,0)6π-的C 不唯一C .C 在长度为2π的闭区间上至多有2个最高点D .C 在长度为π的闭区间上一定有一个最高点,一个最低点 7.方程)4cos(lg π-=x x 的解的个数为〔 〕A .0B .无数个C .不超过3D .大于38.假设函数y=f(x)的图像上每点的纵坐标保持不变,横坐标伸长到原2倍,然后再将整个图像沿x 轴向左平移2π个单位,沿y 轴向下平移1个单位,得到函数1sin 2y x =的图像,那么y=f(x)是 ( )A .1sin(2)122y x π=++B.1sin(2)122y x π=-+ C .1sin(2)124y x π=-+ D.11sin()1224y x π=++9.()sin()2f x x π=+,()cos()2g x x π=-,那么f(x)的图像 ( )A .与g(x)的图像一样 B.与g(x)的图像关于y 轴对称C .向左平移2π个单位,得g(x)的图像 D.向右平移2π个单位,得g(x)的图像 10.函数f(x)=sin(2x+2π)图像中一条对称轴方程不可能为( )A.x=4πB. x=2πC. x=πD. x=23π11.函数y=2与y=2sinx ,x ∈3[,]22ππ-所围成的图形的面积为 ( ) A .πB.2πC.3πD.4π12.设y=f(t)是某港口水的深度y 〔米〕关于时间t 〔时〕的函数,其中240≤≤t .下表是该港口某一天从0时至24时记录的时间t 与水深y 的关系:经长期观察,函数y=f(t)的图象可以近似地看成函数y=k+Asina(ωt+ϕ)的图象.下面的函数中,最能近似表示表中数据间对应关系的函数是( )A.]24,0[,6sin312∈+=t t y πB.]24,0[),6sin(312∈++=t t y ππC.]24,0[,12sin 312∈+=t t y πD.]24,0[),212sin(312t t y ππ++=二.填空题 13.函数y=5sin(3x −2π)的频率是______________。
三角函数图像与性质练习题及答案(总9页)--本页仅作为文档封面,使用时请直接删除即可----内页可以根据需求调整合适字体及大小--三角函数的图像与性质练习题一 选择题1.把函数=sin y x 的图像上所有点的横坐标都缩小到原来的一半,纵坐标保持不变,再把图像向左平移4π个单位,这时对应于这个图像的解析式是( )A .cos 2y x =B .sin 2y x =-C .sin(2)4y x π=-D .sin(2)4y x π=+2.函数cos(4)3y x π=+图象的两条相邻对称轴间的距离为( )A .π8B .π4C .π2D .π3.函数21cos ()xf x -=( )A .在ππ(,)22-上递增B .在π(,0]2-上递增,在π(0,)2上递减C .在ππ(,)22-上递减D .在π(,0]2-上递减,在π(0,)2上递增4.下列四个函数中,最小正周期为π,且图象关于直线12x π=对称的是( )A .sin()23xy π=+B .sin()23x y π=- C .sin(2)3y x π=+D .sin(2)3y x π=-5.函数231sin 232y x x =+的最小正周期等于( )A .πB .2πC .4πD .4π6.“φ=π”是“曲线y=sin(2x +φ)过坐标原点的”( )A .充分而不必要条件B .必要而不充分条件C .充分必要条件D .既不充分也不必要条件xy O π2π 1-1 7.函数2sin()y x ωϕ=+在一个周期内的图象如图所示,则此函数的解析式可能是( )A .2sin(2)4y x π=-B .2sin(2)4y x π=+C .32sin()8y x π=+D .72sin()216x y π=+ 8.(北京市东城区普通校2013届高三3月联考数学(理)试题 )已知函数sin()y A x ωϕ=+的图象如图所示,则该函数的解析式可能..是 ( ) 第6题图( )A .41sin(2)55y x =+B .31sin(2)25y x =+C .441sin()555y x =-D .441sin()555y x =+9.(2013·湖北)将函数y =3cos x +sin x (x ∈R ) 的图象向左平移m (m >0)个单位长度后,所得到的图象关于y 轴对称,则m 的最小值是( )10.函数y =sin 2x +sin x -1的值域为 ( ) A .[-1,1]B .[-54,-1]C .[-54,1]D .[-1,54]11.已知函数f (x )=2cos(ωx +φ)+b 对任意实数x 有f (x +π4)=f (-x )成立,且f (π8)=1,则实数b 的值为( ) A .-1B .3C .-1或3D .-3二 填空题12.函数y =lg sin 2x +9-x 2的定义域为________________.13.已知函数π()sin(2)6f x x =+,其中π[,]6x a ∈-.当3a π=时,()f x 的值域是______;若()f x 的值域是1[,1]2-,则a 的取值范围是______.14.定义一种运算,令,且,则函数的最大值是______15.(北京北师特学校203届高三第二次月考理科数学)把函数x y 2sin =的图象沿 x 轴向左平移6π个单位,纵坐标伸长到原来的2倍(横坐标不变)后得到函数)(x f y =图象,对于函数)(x f y =有以下四个判断: ①该函数的解析式为)6sin(2x 2y π+=; ②该函数图象关于点)0,3(π对称; ③该函数在]6,0[π上是增函数;④函数a x f y +=)(在]2,0[π上的最小值为3,则32=a .其中,正确判断的序号是________________________16.设函数f (x )=3sin(π2x +π4),若存在这样的实数x 1,x 2,对任意的x ∈R ,都有f (x 1)≤f (x )≤f (x 2)成立,则|x 1-x 2|的最小值为________. 三 解答题17. 已知函数2()cos cos f x x x x a =++.(Ⅰ)求()f x 的最小正周期及单调递减区间;(Ⅱ)若()f x 在区间[,]63ππ-上的最大值与最小值的和为32,求a 的值.18. 已知函数()()0,,sin 2162cos 62cos 2>∈-+⎪⎭⎫ ⎝⎛+-⎪⎭⎫ ⎝⎛-=ωωπωπωR x x x x x f 的最小正周期为π. (I)求ω的值;(II)求函数()x f 在区间⎥⎦⎤⎢⎣⎡-3,4ππ上的最大值和最小值.19. 已知函数,2cos 26sin 6sin )(2x x x x f ωπωπω-⎪⎭⎫ ⎝⎛-+⎪⎭⎫ ⎝⎛+= 其中 R x ∈,0>ω.(1)求函数)(x f 的值域;(2)若函数)(x f 的图象与直线1-=y 的两个相邻交点间的距离为2π,求函数)(x f 的单调增区间. 20. 已知函数()()21cos 22sin sin cos 3+-=x x x x x f .(I)求⎪⎭⎫⎝⎛3πf 的值; (II)求函数()x f 的最小正周期及单调递减区间. 21. 已知向量()()3cos ,0,0,sin a x b x ==,记函数()()23sin 2f x a b x =++.求:(I)函数()f x 的最小值及取得小值时x 的集合; (II)函数()f x 的单调递增区间.22. 函数()sin()(0,0,||)2f x A x A ωϕωϕπ=+>><部分图象如图所示.(Ⅰ)求函数()f x 的解析式,并写出其单调递增区间;(Ⅱ)设函数()()2cos 2g x f x x =+,求函数()g x 在区间[,]64ππ-上的最大值和最小值. 答案1. A 【解析】把函数=sin y x 的图像上所有点的横坐标都缩小到原来的一半,纵坐标保持不变,得到=sin 2y x 的图象,再把图像向左平移4π个单位,得到=sin 2()sin(2)cos 242y x x x ππ+=+=,所以选A.4 C32π6πo2x2-y5. A【解析】11cos 2=sin 2222x y x +-1=sin 2cos 2sin(2)223x x x π+=+,所以函数的周期222T πππω===,选A. 6. A ϕπ=时,sin(2)sin 2y x x π=+=-,过原点,便是函数过原点的时候ϕ可以取其他值,故选A 答案.7. 【答案】B解:由图象可知52882T πππ=-=,所以函数的周期T π=,又2T ππω==,所以2ω=。
1.4 三角函数的图像与性质1.周期函数定义:对于函数()f x ,如果存在一个不为零的常数T ,使得当x 取定义域内的每一个值时,()()+=f x T f x 都成立,那么就把函数()f x 叫做周期函数,不为零的常数T 叫做这个函数的周期。
(并非所有函数都有最小正周期) ①xy sin =与x y cos =的周期是π.②)sin(ϕω+=x y 或)cos(ϕω+=x y (0≠ω)的周期ωπ2=T③ωπϕω=+=T x A y 的周期为)tan(2tanx y =的周期为2π(πωπ2=⇒=T T ,如图)2.三种常用三角函数的主要性质课堂训练 一、选择题:1.满足tan α≥cot α的角的一个取值区间是( )A.(0, π4 )B. [0,π4 ]C. [π4 ,π2 ]D. [π4 ,π2 ]2.函数的定义域是( )A.{x|x≠π4 , x∈R}B. {x|x≠3π4 ,x∈R}C. {x|x≠k π +π4 ,x∈R}D. {x|x≠k π +3π4 ,x∈R}3.下列函数中周期为的奇函数是( )A.y=cos(2x+3π2 )B.y=tan x 2C.y=sin(2x+π2 )D.y= - |cotx π2 |4.若sin α>tan α>cot α(-π2 <x<π2 ),则α的取值范围是( )A.(- π2 ,π4 )B. (-π4 ,0)C.(0, π4 )D.( π4 ,π2 )二、填空题5.比较大小:tan222°_________tan223°.6.函数y=tan(2x+π4)的单调递增区间是__________.7.函数 y=sinx 与 y=tanx 的图象在区间[0,2π]上交点的个数是________.8.函数 y=f(x) 的图象右移π4 ,横坐标缩小到原来的一半,得到y=tan2x 的图象,则y=f(x)解析式是_______________.9.函数y=lg tanx+1tanx-1 的奇偶性是__________.10.函数的y=|tan(2x-π3 )|周期是___________.三、解答题11.作函数y =cot x sin x 的图象.12.作出函数y =|tan x |的图象,并根据图象求其单调区间13. 求函数y =)6πtan(1tan +-x x 的定义域.14. 求下列函数的值域:(1)y =2cos 2x +2cos x -1; (2)y =1cos 21cos 2-+x x .15.求函数y =3tan (6π-4x)的周期和单调区间. 同步提升 一、选择题1.若cos x =0,则角x 等于( ) A .k π(k ∈Z )B .2π+k π(k ∈Z ) C .2π+2k π(k ∈Z )D .-2π+2k π(k ∈Z ) 2.使cos x =mm-+11有意义的m 的值为( ) A .m ≥0B .m ≤0C .-1<m <1D .m <-1或m >13.函数y =3cos (52x -6π)的最小正周期是( ) A .5π2B .2π5 C .2π D .5π4.函数y =xxcos 2cos 2-+(x ∈R )的最大值是( )A .35B .25C .3D .55.函数y =2sin 2x +2cos x -3的最大值是( )A .-1B .21C .-21 D .-56.函数y =tan ax的最小正周期是( ) A .a πB .|a |πC .aπD .||a π 7.函数y =tan (4π-x )的定义域是( ) A .{x |x ≠4π,x ∈R}B .{x |x ≠-4π,x ∈R} C .{x |x ≠k π+4π,k ∈Z ,x ∈R}D .{x |x ≠k π+4π3,k ∈Z ,x ∈R} 8.函数y =tan x (-4π≤x ≤4π且x ≠0)的值域是( ) A .[-1,1]B .[-1,0)∪(0,1]C .(-∞,1]D .[-1,+∞)9.下列函数中,同时满足①在(0,2π)上是增函数,②为奇函数,③以π为最小正周期的函数是( ) A .y =tan xB .y =cos xC .y =tan 2x D .y =|sin x |10.函数y =2tan (3x -4π)的一个对称中心是( ) A .(3π,0)B .(6π,0) C .(-4π,0) D .(-2π,0) 二、解答题11.比较下列各数大小:(1)tan2与tan9; (2)tan1与cot4.12.已知α、β∈(2π,π),且tan α<cot β,求证:α+β<2π3.13.求函数y =tan 2x +tan x +1(x ∈R 且x ≠2π+k π,k ∈Z )的值域.14.求函数y =-2tan (3x +3π)的定义域、值域,并指出它的周期、奇偶性和单调性.15求函数y =1cos 3cos 22-+-x x +lg (36-x 2)的定义域.1.4 三角函数的图像与性质参考答案课堂训练一、选择题: 1.C 2.D 3.C 4.B 二 、填空题:5.< 6.( 12 k π+3π8 , 12 k π+π8 ) (k∈Z) 7. 58. y=tan(x+π4 ) 9. 奇函数 10. π4三、解答题11.分析:首先将函数的解析式变形,化为最简形式,然后作函数的图象.解:当sin x ≠0,即x ≠k π(k ∈Z )时,有y =cot x sin x =cos x ,即y =cos x (x ≠k π,k ∈Z ).其图象如下图.12.解:由于y =|tan x |=⎪⎪⎩⎪⎪⎨⎧-∈-+∈)π2ππ(πtan )2πππ[tan k k x k k x x ,,,,,(k ∈Z),所以其图象如图所示,单调增区间为[k π,k π+2π](k ∈Z );单调减区间为(k π-2π,k π)(k ∈Z ).13.解:根据自变量x 满足的条件列出不等式组,解之即可. 由题意得⎪⎪⎪⎩⎪⎪⎪⎨⎧+≠-≠+<≤+⇒⎪⎪⎪⎩⎪⎪⎪⎨⎧+≠≠++<≤+⇒⎪⎪⎪⎩⎪⎪⎪⎨⎧+≠+≠+≥,,,3ππ6ππ2ππ4ππ3ππ6π2ππ4ππ2ππ6π0)6πtan(1tan k x k x k x k kx x k x k x k k x x x 所以定义域为[k π+4π,k π+3π)∪(k π+3π,k π+2π)(k ∈Z ). 14.解:(1)y =2(cos x +21)2-23.将其看作关于cos x 的二次函数,注意到-1≤cos x ≤1, ∴当cos x =-21时,y min =-23; 当cos x =1时,y max =3. ∴y ∈[-23,3]. 本题结合了二次函数求最值这一知识,但应注意cos x 的取值范围. (2)由原式得cos x =)1(21-+y y .∵-1≤cos x ≤1,∴-1≤)1(21-+y y ≤1.∴y ≥3或y ≤31.∴值域为{y |y ≥3或y ≤31}. 15.解:y =3tan (6π-4x )=-3tan (4x -6π), ∴T =41ππ=ω=4π. 由k π-2π<4x -6π<k π+2π(k ∈Z )得 4k π-3π4<x <4k π+3π8(k ∈Z ). ∵3tan(4x -6π)在(4k π-3π4,4k π+3π8)(k ∈Z )内单调递增, ∴y =-3tan (4x -6π)在(4k π-3π4,4k π+3π8)(k ∈Z )内单调递减. 故原函数的周期为4π,递减区间为(4k π-3π4,4k π+3π8)(k ∈Z ). 同步提升答案一、选择题1.B 2. B 3.D 4. C 5. C 6.B 7. D 8.B 9.A 10. C 二、解答题11.分析:同名函数比较大小时,应化为同一单调区间上两个角的函数值后,应用函数的单调性解决;而对于不同名函数,则应先化为同名函数再按上面方法求解.解:(1)tan9=tan (-2π+9), 因为2π<2<-2π+9<π, 而y =tan x 在(2π,π)内是增函数, 所以tan2<tan (-2π+9),即tan2<tan9. (2)cot4=tan (2π-4)=tan (2π3-4),0<2π3-4<1<2π, 而y =tan x 在(0,2π)内是增函数, 所以tan (2π3-4)<tan1, 即cot4<tan1.点评:比较两个三角函数值的大小,应先将函数名称统一,再利用诱导公式将角转化到同一个单调区间内,通过函数的单调性处理.12.证明:∵tan α<cot β, ∴tan α<tan (2π3-β). 又∵2π<α<π,2π<2π3-β<π, ∴α与2π3-β落在同一单调区间. ∴α<2π3-β,即α+β<2π3. 13.解:设t =tan x ,由正切函数的值域可得t ∈R , 则y =t 2+t +1=(t +21)2+43≥43.∴原函数的值域是[43,+∞). 点评:由于正切函数的值域为R ,所以才能在R 上求二次函数的值域. 14.解:由3x +3π≠k π+2π,得x ≠18π3π+k (k ∈Z ), ∴所求的函数定义域为{x |x ≠18π3π+k (k ∈Z )},值域为R ,周期为3π, 它既不是奇函数,也不是偶函数.k π-2π≤3x +3π≤k π+2π(k ∈Z ), ∴18π53π-k ≤x ≤18π3π+k (k ∈Z ). 在区间[18π53π-k ,18π3π+k ](k ∈Z )上是单调减函数. 15.解:欲求函数定义域,则由⎪⎩⎪⎨⎧>-≥-+-,,03601cos 3cos 222x x x即⎩⎨⎧<<-≤--,,660)1)(cos 1cos 2(x x x也即⎪⎩⎪⎨⎧<<-≤≤,,661cos 21x x解得⎪⎩⎪⎨⎧<<-∈+≤≤+-.66)(π23ππ23πx k k x k ,Z 取k =-1、0、1,可分别得到x ∈(-6,-3π5)或x ∈[-3π,3π]或x ∈[3π5,6), 即所求的定义域为(-6,-3π5)∪[-3π,3π]∪[3π5,6)。
1.4三角函数的图像与性质(真题)一、选择题(本大题共29小题,共145。
0分)1.已知sin(75°+α)=,则cos(15°—α)的值为()A. -B.C. —D。
2.若α是第三象限角,则y=+的值为()A. 0B. 2 C。
-2 D。
2或-23.角α是第一象限角,且sinα=,那么cosα()A。
B. —C。
D. -4.已知角α的终边经过点P(0,3),则α是()A。
第一象限角B。
终边在x轴的非负半轴上的角C。
第四象限角 D. 终边在y轴的非负半轴上的角5.已知,且,则tanφ=()A. B. C。
D。
6.将函数y=2sin(2x+)的图象向右平移个周期后,所得图象对应的函数为( )A。
y=2sin(2x+) B。
y=2sin(2x+)C。
y=2sin(2x—)D。
y=2sin(2x-)7.已知函数f(x)=sin(ωx+φ)(ω>0,|φ|≤),x=-为f(x)的零点,x=为y=f(x)图象的对称轴,且f(x)在(,)上单调,则ω的最大值为()A. 11B. 9C. 7 D。
58.函数y=A sin(ωx+φ)的部分图象如图所示,则()A。
y=2sin(2x-)B。
y=2sin(2x—)C。
y=2sin(x+)D。
y=2sin(x+)9.若将函数y=2sin2x的图象向左平移个单位长度,则平移后的图象的对称轴为()A。
x=—(k∈Z) B。
x=+(k∈Z)C. x=-(k∈Z)D。
x=+(k∈Z)10.函数f(x)=cos2x+6cos(—x)的最大值为( )A。
4 B. 5 C. 6 D. 711.已知曲线C1:y=cos x,C2:y=sin(2x+),则下面结论正确的是( )A. 把C1上各点的横坐标伸长到原来的2倍,纵坐标不变,再把得到的曲线向右平移个单位长度,得到曲线C2B. 把C1上各点的横坐标伸长到原来的2倍,纵坐标不变,再把得到的曲线向左平移个单位长度,得到曲线C2C. 把C1上各点的横坐标缩短到原来的倍,纵坐标不变,再把得到的曲线向右平移个单位长度,得到曲线C2D. 把C1上各点的横坐标缩短到原来的倍,纵坐标不变,再把得到的曲线向左平移个单位长度,得到曲线C212.设函数f(x)=cos(x+),则下列结论错误的是()A。
三角函数的图像与性质专项训练一、单选题1.(23-24高一上·浙江宁波·期末)为了得到πsin 53y x ⎛⎫=+ ⎪⎝⎭的图象,只要将函数sin 5y x =的图象()A .向左平移π15个单位长度B .向右平移π15个单位长度C .向右平移π3个单位长度D .向左平移π3个单位长度2.(23-24高一上·浙江丽水·期末)已知函数()()2sin f x x ωϕ=+的图象向左平移π6个单位长度后得到函数π2sin 23y x ⎛⎫=+ ⎪⎝⎭的图象,则ϕ的一个可能值是()A .0B .π12C .π6D .π33.(23-24高一下·浙江杭州·期末)为了得到函数()sin2f x x =的图象,可以把()cos2g x x =的图象()A .向左平移π2个单位长度B .向右平移π2个单位长度C .向左平移π4个单位长度D .向右平移π4个单位长度4.(23-24高一上·浙江宁波·期末)已知函数()()sin 0,π2f x x ϕωϕω⎛⎫=+>< ⎪⎝⎭.若π8f x ⎛⎫- ⎪⎝⎭为奇函数,π8f x ⎛⎫+ ⎪⎝⎭为偶函数,且()f x 在π0,6⎛⎫⎪⎝⎭上没有最小值,则ω的最大值是()A .2B .6C .10D .145.(23-24高一上·浙江湖州·期末)我们知道,每一个音都是由纯音合成的,纯音的数学模型是sin y A x ω=.已知某音是由3个不同的纯音合成,其函数为()11sin sin 2sin 323f x x x x =++,则()A .π3f ⎛⎫=⎪⎝⎭B .()f x 的最大值为116C .()f x 的最小正周期为2π3D .()f x 在π0,6⎛⎫⎪上是增函数6.(23-24高一上·浙江杭州·期末)已知函数()*2sin 6f x x ωω⎛⎫=+∈ ⎪⎝⎭N 有一条对称轴为23x =,当ω取最小值时,关于x 的方程()f x a =在区间,63ππ⎡⎤-⎢⎥⎣⎦上恰有两个不相等的实根,则实数a 的取值范围是()A .(2,1)--B .[1,1)-6⎣7.(23-24高一下·浙江丽水·期末)已知函数1()2sin(32f x x x π=ω-ω>∈,R),若()f x 的图象的任意一条对称轴与x 轴交点的横坐标均不属于区间(3π,4π),则ω的取值范围是()A .1287(,[]2396B .1171729(,][,]2241824C .52811[,][,]93912D .11171723[,][]182418248.(23-24高一下·浙江杭州·期末)已知函数()()sin ,0f x x ωω=>,将()f x 图象上所有点向左平移π6个单位长度得到函数()y g x =的图象,若函数()g x 在区间π0,6⎡⎤⎢⎥⎣⎦上单调递增,则ω的取值范围为()A .(]0,4B .(]0,2C .30,2⎛⎤⎥⎝⎦D .(]0,1【答案】C【详解】因为函数()()sin ,0f x x ωω=>,二、多选题9.(23-24高一上·浙江台州·期末)已知函数()ππsin cos sin cos 44f x x x x x ⎛⎫⎛⎫=+++ ⎪ ⎝⎭⎝⎭,则()A .函数()f x 的最小正周期为2πB .点π,08⎛⎫- ⎪⎝⎭是函数()f x 图象的一个对称中心C .函数()f x 在区间π5π,88⎡⎤⎢⎥上单调递减D .函数()f x 的最大值为110.(23-24高一上·浙江湖州·期末)筒车是我国古代发明的一种水利灌溉工具,因其经济又环保,至今还在农业生产中得到使用,现有一个筒车按逆时针方向匀速转动.每分钟转动5圈,如图,将该筒车抽象为圆O ,筒车上的盛水桶抽象为圆O 上的点P ,已知圆O 的半径为4m ,圆心O 距离水面2m ,且当圆O 上点P 从水中浮现时(图中点0P )开始计算时间,点P 的高度()h t 随时间t (单位秒)变化时满足函数模型()()sin h t A t b ωϕ=++,则下列说法正确的是()A .函数()h t 的初相为π6B .1秒时,函数()h t 的相位为0故选:BC .11.(23-24高一上·浙江丽水·期末)已知函数π()tan(2)6f x x =-,则()A .()f x 的最小正周期是π2B .()f x 的定义域是π{|π,Z}3x x k k ≠+∈C .()f x 的图象关于点π(,0)12对称D .()f x 在ππ(,)32上单调递增三、填空题12.(23-24高一上·浙江金华·期末)函数()π2π200cos 30063f n n ⎛⎫=++ ⎪⎝⎭({}1,2,3,,12n ∈⋅⋅⋅为月份),近似表示某地每年各个月份从事旅游服务工作的人数,游客流量越大所需服务工作的人数越多,则可以推断,当n =时,游客流量最大.13.(23-24高一上·浙江湖州·期末)已知()3sin 4f x x ϕ⎛⎫=+ ⎪⎝⎭,其中0,2ϕ⎛⎫∈ ⎪⎝⎭,且ππ62f f ⎛⎫⎛⎫= ⎪ ⎪⎝⎭⎝⎭,若函数()f x 在区间2π,3θ⎛⎫⎪上有且只有三个零点,则θ的范围为.14.(23-24高一上·浙江温州·期末)已知函数()π2sin (0)6f x x ωω⎛⎫=+> ⎪⎝⎭,对x ∀∈R 都有()π3f x f ⎛⎫⎪⎝⎭≤,且在,163⎛⎫ ⎪⎝⎭上单调,则ω的取值集合为四、解答题15.(23-24高一下·浙江丽水·期末)已知函数22()sin2f x x x x =.(1)求函数()f x 的最小正周期及单调递减区间;(2)将函数()f x 的图象上每个点的纵坐标缩短到原来的12,横坐标也缩短到原来的12,得到函数()g x 的图象,若函数()y g x m =-在区间π0,4⎡⎤⎢⎥内有两个零点,求实数m 的取值范围.16.(23-24高一下·浙江衢州·期末)已知函数()cos2f x x x =+.(1)求函数()f x 的最小正周期和对称中心;(2)求函数()f x 在π0,2⎡⎤⎢⎥上的值域.17.(23-24高一上·浙江杭州·期末)已知函数22()sin 2sin cos 3cos ,R f x x x x x x =++∈.求:(1)函数()f x 的最小值及取得最小值的自变量x 的集合;(2)函数()f x 的单调增区间.18.(23-24高一下·浙江杭州·期末)已知实数0a <,设函数22()cos sin2f x x a x a =+-,且()64f =-.(1)求实数a ,并写出()f x 的单调递减区间;(2)若0x 为函数()f x 的一个零点,求0cos2x .19.(23-24高一上·浙江嘉兴·期末)已知函数()24cos 2f x x x a x =--.(1)若1a =-,求函数()f x 在[]0,2上的值域;(2)若关于x 的方程()4f x a =-恰有三个不等实根123,,x x x ,且123x x x <<,求()()131278f x f x x --的最大值,并求出此时实数a 的值.,。
三角函数的图像与性质题目及答案-CAL-FENGHAI-(2020YEAR-YICAI)_JINGBIAN高三理科数学周测十六(三角函数的图像与性质)1.函数f (x )=sin ⎝ ⎛⎭⎪⎫2x +π3图象的对称轴方程可以为 ( D ) A .x =5π12 B .x =π3 C .x =π6 D .x =π122.函数y =sin ⎝ ⎛⎭⎪⎫x +π3cos ⎝ ⎛⎭⎪⎫π6-x 的最大值及最小正周期分别为 ( A ) A .1,π B.12,π C .1,π2D .1,2π 3.函数y =2sin ⎝ ⎛⎭⎪⎫x -π4cos ⎝ ⎛⎭⎪⎫π4-x 是( C ) A .周期为2π的奇函数 B .周期为π的奇函数C .周期为π的偶函数D .周期为π的非奇非偶函数4.函数y =sin2x +sinx -1的值域为(C )A .[-1,1]B .[-54,-1]C .[-54,1]D .[-1,54] 5.对于函数f(x)=2sinxcosx ,下列选项中正确的是( B )A .f(x)在(π4,π2)上是递增的 B .f(x)的图像关于原点对称 C .f(x)的最小正周期为2π D .f(x)的最大值为26.函数f(x)=3cos(3x -θ)-sin(3x -θ)是奇函数,则θ等于( D )A .k π (k ∈Z)B .k π+π6 (k ∈Z)C .k π+π3(k ∈Z)D .k π-π3(k ∈Z) 7. 若f (sin x )=3-cos2x ,则f (cos x )=( C )A 、3-cos2xB 、3-sin2xC 、3+cos2xD 、3+sin2x 8.函数)25sin()(π-=x x x f 是( B ) A.偶函数 B.奇函数 C.非奇非偶函数 D.既奇又偶函数9. 在(,)ππ-内是增函数, 且是奇函数的是( A ) . A. sin 2x y = B. cos 2x y = C. sin 4x y =- D. sin 2y x = 1.函数1sin 2-=x y 的定义域是_______)](652,62[z k k k ∈++ππππ__________________.2.函数)0(sin >+=b x b a y 的最大值是23,最小值是21-,则a =_____21, __,b =__1_____.3.函数)22cos(π-=x y 的单调递减区间是___________________. 4. 下列函数中,①x x y cos 2+=,②x x y sin 1cos +=,③2tan x y =,④x x y sin 2=.不是偶函数的是____②④________.11.(本小题满分12分)已知函数f (x )=-3sin 2x +sin x cos x .(1)求函数f (x )的最小正周期;(2)求函数f (x )在⎣⎢⎡⎦⎥⎤0,π2上的值域. 解:f (x )=-3sin 2x +sin x cos x =-3×1-cos 2x 2+12sin 2x =12sin 2x +32cos 2x -32= sin ⎝ ⎛⎭⎪⎫2x +π3-32. (1)函数f (x )的最小正周期是T =2π2=π. (2)∵0≤x ≤π2,∴π3≤2x +π3≤4π3, ∴-32≤sin ⎝ ⎛⎭⎪⎫2x +π3≤1, ∴f (x )在⎣⎢⎡⎦⎥⎤0,π2上的值域为⎣⎢⎡⎦⎥⎤-3,2-32. 2.已知函数()4cos sin()16f x x x π=+-.(1)求()f x 的最小正周期; (2)求()f x 在区间[,]64ππ-上的最大值和最小值。
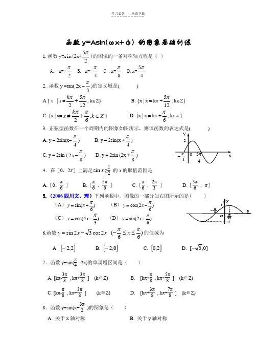
函数y=Asin(ωx+φ) 的图象基础训练1.函数y=sin(2x+25π)的图像的一条对称轴方程是( ) A . x=-2π B. x=-4π C .x=8π D.x=45π 2. 函数y =tan( 2x -3π)的定义域是( ) A {x |x ≠1252ππ+k , k ∈Z} B. {x | x ≠ k π +125π, k ∈Z} C. {x | x ≠,26k x k Z ππ≠+∈} D. {x | x ≠ k π +6π, k ∈π } 3. 正弦型函数在一个周期内的图象如图所示,则该函数的表达式是( ) A. y = 2sin(x -4π) B. y = 2sin(x +4π) C. y = 2sin (2x -8π) D. y = 2sin (2x +8π) 4.在[0,2π]上满足sin x ≥12的x 的取值范围是 A.[0,π6 ] B.[π6 ,5π6 ] C.[π6 ,2π3 ] D.[5π6,π] 5.(2006四川文、理)下列函数中,图像的一部分如右图所示的是( )(A )sin()6y x π=+ (B )cos(2)6y x π=- (C )cos(4)3y x π=- (D )sin(2)6y x π=- 6.函数x x y 2cos 32sin -= )66(ππ≤≤-x 的值域为A. []2,2- B. []0,2- C. []2,0 D. ]0,3[-7.函数y=sin(π4-2x)的单调增区间是( ) A. [kπ-3π8 , kπ+3π8 ] (k ∈Z) B. [kπ+π8 , kπ+5π8] (k ∈Z) C. [kπ-π8 , kπ+3π8 ] (k ∈Z) D. [kπ+3π8 , kπ+7π8] (k ∈Z) 8.函数y=sin(x+3π2)的图象是( ) A. 关于x 轴对称 B. 关于y 轴对称C. 关于原点对称D. 关于x=-32π对称 9.要得到函数y=cos(42π-x )的图象,只需将y=sin 2x 的图象( ) A .向左平移2π个单位 B.同右平移2π个单位 C .向左平移4π个单位 D.向右平移4π个单位 10.函数f(θ ) = sin θ -1cos θ -2的最大值和最小值分别是 ( ) (A) 最大值 43 和最小值0 (B) 最大值不存在和最小值 34(C) 最大值 -43和最小值0 (D) 最大值不存在和最小值-34 11.把函数y=cos(x+34π)的图象向右平移φ个单位,所得的图象正好关于y 轴对称,则φ的最小正值为12.方程2cos()14x π-=在区间(0,)π内的解是 .13. 已知x ∈[ 0, 6π], 且sin x = 2m + 1, 则m 的取值范围是 14.关于函数f(x)=4sin(2x+π3) (x ∈R),有下列命题: (1)y=f(x )的表达式可改写为y=4cos(2x-π6);(2)y=f(x )是以2π为最小正周期的周期函数;(3)y=f(x ) 的图象关于点(-π6,0)对称;(4)y=f(x ) 的图象关于直线x=-π6对称; 其中正确的命题序号是___________.15.已知曲线上最高点为(2,2),由此最高点到相邻的最低点间x 轴交于一点(6,0),求函数解析式,并求函数取最小值x 的值及单调区间。
三角函数的图像与性质练习题一、选择题1. 在三角函数sin(x)的定义域内,函数值的范围是:A. (-∞, ∞)B. [-1, 1]C. [0, 1]D. [0, 2π]2. 函数y = cos(x)的一个周期是:A. πB. 2πC. π/2D. 4π3. 函数y = tan(x)的导数是:A. sec^2(x)B. cos^2(x)C. sin^2(x)D. csc^2(x)4. 在函数y = sin(x)的图像中,当x = π/2时,函数值等于:B. 1C. -1D. 不存在5. 函数y = cos(x)的对称轴是:A. y轴B. x轴C. 原点D. 平行于x轴且距离x轴1个单位的直线6. 函数y = tan(x)在定义域内的奇点是:A. x = 0B. x = π/2C. x = πD. x = 2π7. 函数y = sin^2(x) + cos^2(x)等于:A. 1B. 0C. 28. 函数y = sin(x) + cos(x)的一个周期是:A. 2πB. 4πC. π/2D. π/4二、填空题1. 函数y = sin(x)在区间[0, π]内的最小值是____,最大值是____。
2. 函数y = cos(2x)的周期是____。
3. 函数y = cos(x)在区间[-π/2, π/2]内的最小值是____,最大值是____。
4. 函数y = tan(x)的定义域是____。
5. 函数y = sin(2x)的一个周期是____。
6. 函数y = cos(x)的对称中心是____。
7. 函数y = tan(x)在区间[0, π]内的最小值是____,最大值是____。
8. 函数y = sin^2(x)的对称轴是____。
三、解答题1. 画出函数y = sin(x)在区间[0, 2π]上的图像。
2. 画出函数y = cos(2x)的图像,并求出它在区间[0, 2π]上的最小值和最大值。
3. 画出函数y = tan(x)在区间[-π/2, π/2]上的图像,并指出它的所有零点。
三角函数的图象与性质函数y =A sin(ωx +φ)的图象(时间:80分钟 满分:100分)一、选择题(每小题5分,共40分) 1.函数y =sin ⎝ ⎛⎭⎪⎫4x +32π的周期是( ). A .2π B .π C.π2 D .π4 解析 T =2π4=π2. 答案 C2.函数y =cos ⎝ ⎛⎭⎪⎫x +π2(x ∈R )是( ).A .奇函数B .偶函数C .非奇非偶函数D .无法确定 解析 ∵y =cos ⎝ ⎛⎭⎪⎫x +π2=-sin x ,∴此函数为奇函数.答案 A3.函数y =cos x 图象上各点的纵坐标不变,把横坐标变为原来的2倍,得到图象的解析式为y =cos ωx ,则ω的值为( ).A .2B .12C .4D .14解析 由已知y =cos x 的图象经变换后得到y =cos 12x 的图象,所以ω=12. 答案 B4.函数y =-x sin x 的部分图象是( ).解析 考虑函数的奇偶性并取特殊值.函数y =-x sin x 是偶函数,当x ∈⎝ ⎛⎭⎪⎫0,π2时,y <0. 答案 C5.在下列区间上函数y =sin ⎝ ⎛⎭⎪⎫x +π4为增函数的是( ).A.⎣⎢⎡⎦⎥⎤-π2,π2 B .⎣⎢⎡⎦⎥⎤-3π4,π4 C .[-π,0] D .⎣⎢⎡⎦⎥⎤-π4,3π4 解析 由2k π-π2≤x +π4≤2k π+π2(k ∈Z )得2k π-3π4≤x ≤2k π+π4(k ∈Z ),当k =0时,-3π4≤x ≤π4,故选B. 答案 B6.已知简谐运动f (x )=2sin ⎝ ⎛⎭⎪⎫π3x +φ⎝ ⎛⎭⎪⎫|φ|<π2的图象经过点(0,1),则该简谐运动的最小正周期T 和初相φ分别为( ).A .T =6,φ=π6B .T =6,φ=π3C .T =6π,φ=π6D .T =6π,φ=π3 解析 将(0,1)点代入f (x )可得sin φ=12. ∵|φ|<π2,∴φ=π6,T =2ππ 3=6.答案 A7.已知函数y =A sin(ωx +φ)+B 的一部分图象如图所示,如果A >0,ω>0,|φ|<π2,则( ).A .A =4B .ω=1C .φ=π6 D .B =4 解析 由图象可知,A =2,14T =5π12-π6=π4,T =π, ω=2.∵2×π6+φ=π2,∴φ=π6,故选C. 答案 C8.若函数f (x )=3sin(ωx +φ)对任意的x 都有f ⎝ ⎛⎭⎪⎫π3+x =f ⎝ ⎛⎭⎪⎫π3-x ,则f ⎝ ⎛⎭⎪⎫π3等于( ).A .3或0B .-3或0C .0D .-3或3 解析 ∵f ⎝ ⎛⎭⎪⎫π3+x =f ⎝ ⎛⎭⎪⎫π3-x ,∴f (x )关于直线x =π3对称, ∴f ⎝ ⎛⎭⎪⎫π3应取得最大值或最小值. 答案 D二、填空题(每小题5分,共20分)9.函数y =cos x 在区间[-π,a ]上为增函数,则a 的取值范围是________. 解析 ∵y =cos x 在[-π,0]上为增函数,又在[-π,a ]上递增,∴[-π,a ]⊆[-π,0],∴a ≤0. 又∵a >-π,∴-π<a ≤0. 答案 (-π,0]10.函数y =tan x ,x ∈⎣⎢⎡⎦⎥⎤0,π4的值域是________.解析 ∵y =tan x 在⎣⎢⎡⎦⎥⎤0,π4上单调递增,∴0≤tan x ≤1,即y ∈[0,1]. 答案 [0,1]11.已知函数y =2sin(ωx +φ)(ω>0)在一个周期内当x =π12时,有最大值2,当x =7π12时有最小值-2,则ω=________.解析 由题意知T =2×⎝ ⎛⎭⎪⎫7π12-π12=π.∴ω=2πT =2.答案 212.函数y =6sin ⎝ ⎛⎭⎪⎫14x -π6的初相是________,图象最高点的坐标是________.解析 初相为-π6,当14x -π6=π2+2k π,即x =8π3+8k π(k ∈Z )时,函数取得最大值6. 答案 -π6⎝ ⎛⎭⎪⎫8π3+8k π,6(k ∈Z ) 三、解答题(每小题10分,共40分)13.用“五点法”作出函数y =2sin ⎝ ⎛⎭⎪⎫x -π3+3的图象,并指出它的周期、频率、相位、初相、最值及单调区间. 解 (1)列表:x -π3 0 π2 π 3π2 2π x π3 5π6 4π3 11π6 7π3 y35313(2)描点、作图(如图所示).将函数在一个周期内的图象向左、向右两边扩展,得y =2sin ⎝ ⎛⎭⎪⎫x -π3+3的图象.由图象知,周期T =2π,频率f =1T =12π,相位为x -π3,初相为-π3,最大值为5,最小值为1,函数的单调递减区间为⎣⎢⎡⎦⎥⎤5π6+2k π,11π6+2k π,k ∈Z ,单调递增区间为⎣⎢⎡⎦⎥⎤-π6+2k π,5π6+2k π,k ∈Z . 14.求函数y =-2tan ⎝ ⎛⎭⎪⎫3x +π3的定义域、值域,并指出它的周期、奇偶性和单调性.解 由3x +π3≠π2+k π,得x ≠π18+k π3(k ∈Z ),∴函数y =-2tan ⎝ ⎛⎭⎪⎫3x +π3的定义域为⎩⎨⎧x ⎪⎪⎪⎭⎬⎫x ≠π18+k π3(k ∈Z ).它的值域为R ,周期为T =π3,它既不是奇函数,也不是偶函数.由-π2+k π<3x +π3<π2+k π(k ∈Z ),得-5π18+k π3<x <π18+k π3(k ∈Z ),所以函数y =-2tan ⎝ ⎛⎭⎪⎫3x +π3在区间⎝ ⎛⎭⎪⎫-5π18+k π3,π18+k π3(k ∈Z )上单调递减. 15.设函数f (x )=sin ⎝ ⎛⎭⎪⎫12x +φ⎝ ⎛⎭⎪⎫0<φ<π2,y =f (x )图象的一条对称轴是直线x =π4.(1)求φ;(2)求函数y =f (x )的单调增区间.解 (1)∵x =π4是y =f (x )的图象的一条对称轴, ∴sin ⎝ ⎛⎭⎪⎫12×π4+φ=±1,∴π8+φ=k π±π2,k ∈Z ,∵0<φ<π2,∴φ=3π8.(2)由(1)知φ=3π8,因此y =sin ⎝ ⎛⎭⎪⎫12x +3π8.由题意得:2k π-π2≤12x +38π≤2k π+π2,k ∈Z , 即4k π-74π≤x ≤4k π+π4,k ∈Z ,∴函数的单调增区间为⎣⎢⎡⎦⎥⎤4k π-74π,4k π+π4,k ∈Z .16.已知函数f (x )=A sin(ωx +φ)⎝ ⎛⎭⎪⎫A >0,ω>0,|φ|<π2的图象在y 轴上的截距为1,它在y 轴右侧的第一个最大值点和最小值点分别为(x 0,2)和(x 0+3π,-2). (1)求f (x )的解析式;(2)将y =f (x )图象上所有点的横坐标缩短到原来的13,然后再将所得到的图象向x 轴正方向平移π3个单位长度,得到函数y =g (x )的图象,写出g (x )的解析式,并作出在长度为一个周期上的图象.解 (1)由已知,易得A =2,T 2=(x 0+3π)-x 0=3π,解得T =6π,∴ω=13. 把(0,1)代入解析式y =2sin ⎝ ⎛⎭⎪⎫x 3+φ,得2sin φ=1.又|φ|<π2,解得φ=π6. ∴y =2sin ⎝ ⎛⎭⎪⎫x 3+π6.(2)压缩后的函数解析式为y =2sin ⎝ ⎛⎭⎪⎫x +π6,再平移得g (x )=2sin ⎣⎢⎡⎦⎥⎤⎝⎛⎭⎪⎫x -π3+π6=2sin ⎝ ⎛⎭⎪⎫x -π6.列表:x π6 2π3 7π6 5π3 13π6 x -π6 0 π2 π 3π2 2π 2sin ⎝ ⎛⎭⎪⎫x -π62-2图象如图:。
三角函数的图像与性质一、选择题1.已知函数f(x)=2sin ϖx(ϖ>0)在区间[3π-,4π]上的最小值是-2,则ϖ的最小值等于( )A.32B.23C.2D.32.若函数cos(3y x πω=+(0)ω>的图象相邻两条对称轴间距离为2π,则ω等于.A .12B .12C .2D .43.将函数sin()6y x x R π=+∈的图象上所有的点向左平行移动4π个单位长度,再把图象上各点的横坐标扩大到原来的2倍(纵坐标不变),则所得到的图象的解析式为A .5sin(2)()12y x x R π=+∈ B .5sin()()212x y x R π=+∈C .sin()212x y x R π=-∈ D .5sin()224x y x R π=+∈4.函数262cos(-+=πx y 的图像F 按向量a 平移到F /,F /的解析式y=f(x),当y=f(x)为奇函数时,向量a 可以等于A.)2,6(-πB.)2,6(πC.)2,6(--πD.)2,6(π-5.将函数sin yx =的图象向左平移(02)ϕϕπ≤≤个单位后,得到函数sin(6y x π=-的图象,则ϕ等于()A .6πB .76πC .116πD .56π 6.函数x x y 2cos 32sin -= 66(ππ≤≤-x 的值域为A. []2,2-B. []0,2-C. []2,0 D. ]0,3[-7.将函数的图象上所有点的横坐标伸长到原来的倍(纵坐标不变),再将所得的图象向左平移个单位,得到的图象对应的解析式是 ( )A .B . C. D.8.函数f(θ ) = 的最大值和最小值分别是( )sin θ -1cos θ -2 (A) 最大值 和最小值0(B) 最大值不存在和最小值 4334(C) 最大值 -和最小值0 (D) 最大值不存在和最小值-43349.ααcos sin +=t 且αα33cos sin+<0,则t 的取值范围是( )A. [)0,2-B. []2,2-C. ()(]2,10,1 -D. ()()+∞-,30,3 10.把函数)(x f y =的图象沿着直线0=+y x 的方向向右下方平移22个单位,得到函数x y 3sin =的图象,则A 、2)23sin(--=x yB 、2)63sin(--=x yC 、2)23sin(++=x yD 、2)63sin(++=x y 二、填空题11.设函数).0)(3cos()(πϕϕ<<+=x x f 若)()(x f x f '+是奇函数,则ϕ=.12.方程2cos()14x π-=在区间(0,)π内的解是.13.函数]),0[)(26sin(2ππ∈-=x x y 为增函数的区间14.已知x R ∈,则函数()max sin ,cos f x x x ⎧=⎨⎩的最大值与最小值的和等于 。
三角函数的图象与性质练习题一、选择题1.函数f (x )=sin x cos x 的最小值是( ) A .-1B .-12C.12D .12.如果函数y =3cos(2x +φ)的图象关于点⎝⎛⎭⎫4π3,0中心对称,那么|φ|的最小值为 ( ) A.π6B.π4C.π3D.π23.已知函数y =sin πx3在区间[0,t ]上至少取得2次最大值,则正整数t 的最小值是 ( ) A .6B .7C .8D .94.已知在函数f (x )=3sin πxR 图象上,相邻的一个最大值点与一个最小值点恰好在x 2+y 2=R 2上,则f (x )的最小正周期为 ( ) A .1B .2C .3D .45.已知a 是实数,则函数f (x )=1+a sin ax 的图象不可能是 `( D )6.给出下列命题:①函数y =cos ⎝⎛⎭⎫23x +π2是奇函数; ②存在实数α,使得sin α+cos α=32; ③若α、β是第一象限角且α<β,则tan α<tan β; ④x =π8是函数y =sin ⎝⎛⎭⎫2x +5π4的一条对称轴方程; ⑤函数y =sin ⎝⎛⎭⎫2x +π3的图象关于点⎝⎛⎭⎫π12,0成中心对称图形. 其中正确的序号为( )A .①③B .②④C .①④D .④⑤7.将函数y =sin 2x 的图象向左平移π4个单位,再向上平移1个单位,所得图象的函数解析式是 ( )A .y=2cos 2xB .y =2sin 2xC .y =1+sin(2x +π4) D .y =cos 2x8.将函数y =sin ⎝⎛⎭⎫2x +π4的图象上各点的纵坐标不变,横坐标伸长到原来的2倍,再向右平移π4个单位,所得到的图象解析式是 ( )A .f (x )=sin xB .f (x )=cos xC .f (x )=sin 4xD .f (x )=cos 4x9.若函数y =A sin(ωx +φ)+m 的最大值为4,最小值为0,最小正周期为π2,直线x =π3是其图象的一条对称轴,则它的解析式是 ( ) A .y =4sin ⎝⎛⎭⎫4x +π6B .y =2sin ⎝⎛⎭⎫2x +π3+2 C .y =2sin ⎝⎛⎭⎫4x +π3+2D .y =2sin ⎝⎛⎭⎫4x +π6+2 10.若将函数y =tan ⎝⎛⎭⎫ωx +π4(ω>0)的图象向右平移π6个单位长度后,与函数y =tan ⎝⎛⎭⎫ωx +π6的图象重合,则ω的最小值为 ( ) A.16B.14C.13D.1211.电流强度I (安)随时间t (秒)变化的函数 I =A sin(ωt +φ)(A >0,ω>0,0<φ<2π)的图象如右图所示, 则当t =1001秒时,电流强度是( )A .-5安B .5安C .53安D .10安12.已知函数f (x )=sin(ωx +π4)(x ∈R ,ω>0)的最小正周期为π,为了得到函数g (x )=cos ωx 的图象,只要将y =f (x )的图象( )A .向左平移π8个单位长度B .向右平移π8个单位长度C .向左平移π4个单位长度D .向右平移π4个单位长度二、填空题(每小题6分,共18分)13.函数y =12sin ⎝⎛⎭⎫π4-23x 的单调递增区间为______________. 14.已知f (x )=sin ⎝⎛⎭⎫ωx +π3 (ω>0),f ⎝⎛⎭⎫π6=f ⎝⎛⎭⎫π3,且f (x )在区间⎝⎛⎭⎫π6,π3上有最小值,无最大值,则ω=________. 15.关于函数f (x )=4sin ⎝⎛⎭⎫2x +π3(x ∈R ),有下列命题: ①由f (x 1)=f (x 2)=0可得x 1-x 2必是π的整数倍; ②y =f (x )的表达式可改写为y =4cos ⎝⎛⎭⎫2x -π6; ③y =f (x )的图象关于点⎝⎛⎭⎫-π6,0对称; ④y =f (x )的图象关于直线x =-π6对称.其中正确的命题的序号是________.(把你认为正确的命题序号都填上)16.若动直线x =a 与函数f (x )=sin x 和g (x )=cos x 的图象分别交于M 、N 两点,则|MN |的最大值为________. 三、解答题(共40分)17.设函数f (x )=sin ()2x +φ (-π<φ<0),y =f (x )图象的一条对称轴是直线x =π8.(1)求φ; (2)求函数y =f (x )的单调增区间.18.已知函数f (x )=2cos 2ωx +2sin ωx cos ωx +1 (x ∈R ,ω>0)的最小正周期是π2.(1)求ω的值; (2)求函数f (x )的最大值,并且求使f (x )取得最大值的x 的集合.19.设函数f (x )=cos ωx (3sin ωx +cos ωx ),其中0<ω<2. (1)若f (x )的周期为π,求当-π6≤x ≤π3时f (x )的值域;(2)若函数f (x )的图象的一条对称轴为x =π3,求ω的值.20.已知函数f (x )=A sin(ωx +φ)+ b (ω>0,|φ|<2π)的图象的一部分如图所示: (1)求f (x )的表达式; (2)试写出f (x )的对称轴方程.21.函数y =A sin(ωx +φ) (A >0,ω>0,|φ|<π2)的一段图象如图所示.(1)求函数y =f (x )的解析式;(2)将函数y =f (x )的图象向右平移π4个单位,得到y =g (x )的图象,求直线y =6与函数y =f (x )+g (x )的图象在(0,π)内所有交点的坐标.22.已知函数f (x )=A sin(ωx +φ) (A >0,ω>0,|φ|<π2,x ∈R )的图象的一部分如图所示.(1)求函数f (x )的解析式;(2)当x ∈⎣⎡⎦⎤-6,-23时,求函数y =f (x )+f (x +2)的最大值与最小值及相应的x 的值.三角函数的图象与性质练习题及答案一、选择题1.函数f (x )=sin x cos x 的最小值是( B ) A .-1B .-12C.12D .12.如果函数y =3cos(2x +φ)的图象关于点⎝⎛⎭⎫4π3,0中心对称,那么|φ|的最小值为 ( A ) A.π6B.π4C.π3D.π23.已知函数y =sin πx3在区间[0,t ]上至少取得2次最大值,则正整数t 的最小值是 ( C ) A .6B .7C .8D .94.已知在函数f (x )=3sin πxR 图象上,相邻的一个最大值点与一个最小值点恰好在x 2+y 2=R 2上,则f (x )的最小正周期为 ( D ) A .1B .2C .3D .45.已知a 是实数,则函数f (x )=1+a sin ax 的图象不可能是 `( D )6.给出下列命题:①函数y =cos ⎝⎛⎭⎫23x +π2是奇函数; ②存在实数α,使得sin α+cos α=32; ③若α、β是第一象限角且α<β,则tan α<tan β; ④x =π8是函数y =sin ⎝⎛⎭⎫2x +5π4的一条对称轴方程; ⑤函数y =sin ⎝⎛⎭⎫2x +π3的图象关于点⎝⎛⎭⎫π12,0成中心对称图形. 其中正确的序号为( C )A .①③B .②④C .①④D .④⑤7.将函数y =sin 2x 的图象向左平移π4个单位,再向上平移1个单位,所得图象的函数解析式是 ( A )A .y =2cos 2xB .y =2sin 2xC .y =1+sin(2x +π4) D .y =cos 2x8.将函数y =sin ⎝⎛⎭⎫2x +π4的图象上各点的纵坐标不变,横坐标伸长到原来的2倍,再向右平移π4个单位,所得到的图象解析式是 ( A )A .f (x )=sin xB .f (x )=cos xC .f (x )=sin 4xD .f (x )=cos 4x9.若函数y =A sin(ωx +φ)+m 的最大值为4,最小值为0,最小正周期为π2,直线x =π3是其图象的一条对称轴,则它的解析式是 ( D ) A .y =4sin ⎝⎛⎭⎫4x +π6B .y =2sin ⎝⎛⎭⎫2x +π3+2 C .y =2sin ⎝⎛⎭⎫4x +π3+2D .y =2sin ⎝⎛⎭⎫4x +π6+2 10.若将函数y =tan ⎝⎛⎭⎫ωx +π4(ω>0)的图象向右平移π6个单位长度后,与函数y =tan ⎝⎛⎭⎫ωx +π6的图象重合,则ω的最小值为 ( D ) A.16B.14C.13D.1211.电流强度I (安)随时间t (秒)变化的函数 I =A sin(ωt +φ)(A >0,ω>0,0<φ<2π)的图象如右图所示, 则当t =1001秒时,电流强度是( A )A .-5安B .5安C .53安D .10安12.已知函数f (x )=sin(ωx +π4)(x ∈R ,ω>0)的最小正周期为π,为了得到函数g (x )=cos ωx 的图象,只要将y =f (x )的图象( A )A .向左平移π8个单位长度B .向右平移π8个单位长度C .向左平移π4个单位长度D .向右平移π4个单位长度二、填空题(每小题6分,共18分)13.函数y =12sin ⎝⎛⎭⎫π4-23x 的单调递增区间为______________.⎣⎡⎦⎤98π+3k π,21π8+3k π (k ∈Z ) 14.已知f (x )=sin ⎝⎛⎭⎫ωx +π3 (ω>0),f ⎝⎛⎭⎫π6=f ⎝⎛⎭⎫π3,且f (x )在区间⎝⎛⎭⎫π6,π3上有最小值,无最大值,则ω=________. 31415.关于函数f (x )=4sin ⎝⎛⎭⎫2x +π3(x ∈R ),有下列命题: ①由f (x 1)=f (x 2)=0可得x 1-x 2必是π的整数倍; ②y =f (x )的表达式可改写为y =4cos ⎝⎛⎭⎫2x -π6; ③y =f (x )的图象关于点⎝⎛⎭⎫-π6,0对称; ④y =f (x )的图象关于直线x =-π6对称.其中正确的命题的序号是________.(把你认为正确的命题序号都填上) ②③16.若动直线x =a 与函数f (x )=sin x 和g (x )=cos x 的图象分别交于M 、N 两点,则|MN |的最大值为________. 2 三、解答题(共40分)17.设函数f (x )=sin ()2x +φ (-π<φ<0),y =f (x )图象的一条对称轴是直线x =π8.(1)求φ; (2)求函数y =f (x )的单调增区间. 解 (1)令2×π8+φ=k π+π2,k ∈Z ,∴φ=k π+π4,又-π<φ<0,则-54<k <-14,∴k =-1, 则φ=-3π4.(2)由(1)得:f (x )=sin ⎝⎛⎭⎫2x -3π4, 令-π2+2k π≤2x -3π4≤π2+2k π, 可解得π8+k π≤x ≤5π8+k π,k ∈Z ,因此y =f (x )的单调增区间为⎣⎡⎦⎤π8+k π,5π8+k π,k ∈Z . 18.已知函数f (x )=2cos 2ωx +2sin ωx cos ωx +1 (x ∈R ,ω>0)的最小正周期是π2.(1)求ω的值; (2)求函数f (x )的最大值,并且求使f (x )取得最大值的x 的集合. 解 (1)f (x )=21+cos 2ωx2+sin 2ωx +1=sin 2ωx +cos 2ωx +2=2⎝⎛⎭⎫sin 2ωx cos π4+cos 2ωx sin π4+2 =2sin ⎝⎛⎭⎫2ωx +π4+2. 由题设,函数f (x )的最小正周期是π2,可得2π2ω=π2, 所以ω=2.(2)由(1)知,f (x )=2sin ⎝⎛⎭⎫4x +π4+2. 当4x +π4=π2+2k π,即x =π16+k π2(k ∈Z )时,sin ⎝⎛⎭⎫4x +π4取得最大值1,所以函数f (x )的最大值是2+2, 此时x 的集合为⎩⎨⎧⎭⎬⎫x |x =π16+k π2,k ∈Z .19.设函数f (x )=cos ωx (3sin ωx +cos ωx ),其中0<ω<2. (1)若f (x )的周期为π,求当-π6≤x ≤π3时f (x )的值域;(2)若函数f (x )的图象的一条对称轴为x =π3,求ω的值.解 f (x )=32sin 2ωx +12cos 2ωx +12=sin ⎝⎛⎭⎫2ωx +π6+12. (1)因为T =π,所以ω=1. ∴f (x )=sin ⎝⎛⎭⎫2x +π6+12, 当-π6≤x ≤π3时,2x +π6∈⎣⎡⎦⎤-π6,5π6, 所以f (x )的值域为⎣⎡⎦⎤0,32. (2)因为f (x )的图象的一条对称轴为x =π3,所以2ω⎝⎛⎭⎫π3+π6=k π+π2(k ∈Z ), ω=32k +12 (k ∈Z ), 又0<ω<2,所以-13<k <1,又k ∈Z ,所以k =0,ω=12.20.已知函数f (x )=A sin(ωx +φ)+ b (ω>0,|φ|<2π)的图象的一部分如图所示: (1)求f (x )的表达式; (2)试写出f (x )的对称轴方程. 解 (1)由图象可知,函数的最大值M =3,最小值m =-1, 则A =,1213,22)1(3=-==--b , 又π)6π32(2=-=πT ,∴2ππ2π2===T ω,∴f (x )=2sin(2x +φ)+1, 将x =6π,y =3代入上式,得1)3π(=+ϕ ∴π22π3πk +=+ϕ,k ∈Z , 即φ=6π+2k π,k ∈Z ,∴φ=6π, ∴f (x )=2sin )6π2(+x +1. (2)由2x +6π=2π+k π,得x =6π+21k π,k ∈Z , ∴f (x )=2sin )6π2(+x +1的对称轴方程为 216π+=x k π,k ∈Z. 21.函数y =A sin(ωx +φ) (A >0,ω>0,|φ|<π2)的一段图象如图所示.(1)求函数y =f (x )的解析式;(2)将函数y =f (x )的图象向右平移π4个单位,得到y =g (x )的图象,求直线y =6与函数y =f (x )+g (x )的图象在(0,π)内所有交点的坐标.解 (1)由题图知A =2,T =π,于是ω=2πT=2,将y =2sin 2x 的图象向左平移π12个单位长度,得y =2sin(2x +φ)的图象.于是φ=2×π12=π6, ∴f (x )=2sin ⎝⎛⎭⎫2x +π6. (2)依题意得g (x )=2sin ⎣⎡⎦⎤2⎝⎛⎭⎫x -π4+π6=-2cos ⎝⎛⎭⎫2x +π6. 故y =f (x )+g (x )=2sin ⎝⎛⎭⎫2x +π6-2cos ⎝⎛⎭⎫2x +π6 =22sin ⎝⎛⎭⎫2x -π12. 由22sin ⎝⎛⎭⎫2x -π12=6,得sin ⎝⎛⎭⎫2x -π12=32. ∵0<x <π,∴-π12<2x -π12<2π-π12. ∴2x -π12=π3或2x -π12=2π3,∴x =524π或x =38π, ∴所求交点坐标为⎝⎛⎭⎫5π24,6或⎝⎛⎭⎫3π8,6. 22.已知函数f (x )=A sin(ωx +φ) (A >0,ω>0,|φ|<π2,x ∈R )的图象的一部分如图所示.(1)求函数f (x )的解析式;(2)当x ∈⎣⎡⎦⎤-6,-23时,求函数y =f (x )+f (x +2)的最大值与最小值及相应的x 的值. 解 (1)由图象知A =2,T =8, ∵T =2πω=8,∴ω=π4.又图象过点(-1,0),∴2sin ⎝⎛⎭⎫-π4+φ=0. ∵|φ|<π2,∴φ=π4. ∴f (x )=2sin ⎝⎛⎭⎫π4x +π4.(2)y =f (x )+f (x +2)=2sin ⎝⎛⎭⎫π4x +π4+2sin ⎝⎛⎭⎫π4x +π2+π4=22sin ⎝⎛⎭⎫π4x +π2=22cos π4x . ∵x ∈⎣⎡⎦⎤-6,-23,∴-3π2≤π4x ≤-π6. ∴当π4x =-π6,即x =-23时,y =f (x )+f (x +2)取得最大值6;π4x=-π,即x=-4时,y=f(x)+f(x+2)取得最小值-2 2.当。
三角函数的图像与性质1.4-1.6一:知识点2:()k x A y ++=ϕωsin 图像的变化类型 ⑴:平移变换(1):左右平移 x y sin =-------------------------------------------------()ϕ+=x y sin (2):上下平移 x y sin =-------------------------------------------------k x y +=sin ⑵:伸缩变化(1):左右伸缩 x y sin =--------------------------------------------------x y ωsin = (2):上下伸缩 x y sin =--------------------------------------------------x A y sin = 3.()k x A y ++=ϕωsin 图像的一般变化顺序x y sin = 左右平移 )sin(ϕ+=x y 左右伸缩 ()ϕω+=x y sin 上下伸缩 ()ϕω+=x A y sin 上下平移 ()k x A y ++=ϕωsin二:例题讲解1.函数()sin(2)3πf x x =+的最小正周期为( )A .2πB .πC .2πD .4π 【答案】.B 【解析】试题分析:由三角函数sin()y A x ωϕ=+的最小正周期2||T πω=得22T ππ==.解决这类问题,须将函数化为sin()A x B ωϕ++形式,在代2||T πω=时,必须注意取ω的绝对值,因为是求最小正周期. 考点:三角函数的周期计算 2.函数sin 22y x π⎛⎫=-⎪⎝⎭,x R ∈是( )A.最小正周期为π的奇函数B.最小正周期为2π的奇函数 C.最小正周期为π的偶函数 D.最小正周期为2π的偶函数【答案】C 【解析】试题分析:函数sin 22y x π⎛=-⎝π=.故选C .考点:1.三角函数的周期性;2.函数的奇偶性.3.要得到函数y =cos(2x +1)的图像,只要将函数y =cos 2x 的图像( ) A .向左平移1个单位 B .向右平移1个单位 C .向左平移12个单位 D .向右平移12个单位 【答案】C【解析】把函数y =cos 2x 的图像向左平移12个单位,得y =cos 212x ⎛⎫+ ⎪⎝⎭的图像,即y =cos(2x +1)的图像,因此选C.4. 将函数sin y x =的图像上所有的点向右平行移动π3个单位长度,再把所得各点的横坐标伸长到原来的2倍(纵坐标不变)得到函数f(x)的图象,则f(-π)等于( ) A.23 B.23- C.21 D.-21 【答案】D 【解析】试题分析:因为将函数sin y x =的图像上所有的点向右平行移动π3个单位长度,得到的函数解析式为sin()3y x π=-.再把函数sin()3y x π=-各点的横坐标伸长到原来的2倍(纵坐标不变)得到1()sin()23f x x π=-.所以151()sin(())sin()2362f ππππ-=--=-=-.考点:1.三角函数的左右平移.2.三角函数的伸缩变换. 5.要得到函数()cos 23f x x π⎛⎫=+⎪⎝⎭的图象,只需将函数()sin 23g x x π⎛⎫=+⎪⎝⎭的图象( ) A.向左平移2π个单位长度 B.向右平移2π个单位长度 C.向左平移4π个单位长度 D.向右平移4π个单位长度 【答案】C.【解析】试题分析:因为函数()cos 23f x x π⎛⎫=+⎪⎝⎭)]125(2sin[]2)32sin[(πππ+=++=x x ,所以将函数()sin 23g x x π⎛⎫=+⎪⎝⎭的图象向左平移4π个单位长度, 即可得到函数)652sin(]3)4(2sin[πππ+=++=x x y 的图像.故应选C. 考点:函数)sin(φω+=x A y 的图像变换.6.如图所示是函数()sin()(0,||)f x x ϖϕϖϕπ=+><的部分图像,则()f x 的解析式为.【答案】()sin(2)3f x x π=+【解析】由图像得函数周期4()126T πππ=+=又2T πϖ=,所以2ϖ=,即()sin(2)f x x ϕ=+由图像知()112f π=,所以2()62k k Z ππϕπ+=+∈,解得2()3k k Z πϕπ=+∈又||ϕπ<,所以3πϕ=故答案为()sin(2)3f x x π=+【考点】三角函数的性质;三角函数的解析式. 7.函数()sin()f x A x ωϕ=+(0,0,)2A πωϕ>><的部分图象如图所示,为了得到sin 2y x =的图象,只需将()f x 的图象( )A .向右平移3π个单位B .向右平移6π个单位 C .向左平移3π个单位 D .向左平移6π个单位【答案】B【解析】试题分析:观察图象可知,1A =,T π=,∴2ω=,()sin(2)f x x ϕ=+. 将(,0)6π-代入上式得sin()03πϕ-+=,由已知得3πϕ=,故()sin(2)3f x x π=+.由()sin 2()6f x x π=+知,为了得到sin 2y x =的图象,只需将()f x 的图象向右平移6π个单位. 故选B .考点:正弦型函数,函数图象像的平移.8.已知函数()sin()f x A x b ωϕ=++(0,0A ωϕπ><<、,b 为常数)一段图像如图所示. (1)求函数()f x 的解析式; (2)将函数()y f x =的图像向左平移12π个单位,再将所得图像上各点的横xy O6π-3π1坐标扩大为原来的4倍,得到函数()y g x =的图像,求函数()g x 的单调递增区间. 【答案】(1)π()3sin(2)26f x x =++;(2)5ππ[4π4π]33k k -+,,k ∈Z 【解析】解析:(1)由已知,5(1)32A --==,5(1)22b +-==,因为5ππ()4π126T =-⨯=,所以2ω= 由“五点法”作图,ππ262ϕ⨯+=,解得π6ϕ=所以函数()f x 的解析式为π()3sin(2)26f x x =++ 6分(2)将函数()y f x =的图像向左平移π12个单位后得到的函数解析式为ππ3sin[2()]2126y x =+++,即π3sin(2)23y x =++,再将图像上各点的横坐标扩大为原来的4倍,得1π()3sin()223g x x =++由π1ππ2π2π+2232k x k -≤+≤,得5ππ4π4π33k x k -≤≤+故()g x 的单调递增区间为5ππ[4π4π]33k k -+,,k ∈Z 10分.考点:1.三角函数的图像与性质;2.三角函数的图像变换.9.已知函数()sin (0)f x x x ωωω=->的图象与x 轴的两个相邻交点的距离等于2π,若将函数()y f x =的图象向左平移6π个单位得到函数()y g x =的图象,则()y g x =是减函数的区间为( ) A .(,0)3π- B .(,)44ππ- C .(0,)3πD .(,)43ππ【答案】D【解析】试题分析:因为()sin 2sin()3f x x x x πωωω==-,所以2.T πω=由题意得,22T π=所以 2.ω=因此()2sin(2())2sin 2,63g x x x ππ=+-=其减区间满足:3222,(),22k x k k Z ππππ+≤≤+∈即3,(),44k x k k Z ππππ+≤≤+∈只有3(,)[,]4344ππππ⊂,所以选D. 考点:三角函数图像变换10.若将函数y =2sin (x +4π)的图像上各点的横坐标缩短为原来的12倍(纵坐标不变),再向右平移4π个单位,则所得图像的一条对称轴的方程为:( )A .x =-8πB .x =-4πC .x =8πD .x =4π【答案】A 【解析】试题分析:函数2sin 4y x π⎛⎫=+ ⎪⎝⎭的图像上各点的横坐标缩短为原来的12倍(纵坐标不变),得到函数2sin 24y x π⎛⎫=+ ⎪⎝⎭,所的函数再向右平移4π个单位,得到函数2sin 22sin 2444y x x πππ⎛⎫⎛⎫⎛⎫=-+=- ⎪ ⎪ ⎪⎝⎭⎝⎭⎝⎭,8x π=-代入得2y =-,故8x π=-是所得函数图像的一条对称轴的方程.考点:三角函数图像与性质,三角函数图像变化. 11.已知函数()cos(2)2sin()sin()344f x x x x πππ=-+-+. (1)求函数()f x 的最小正周期和图像的对称轴方程; (2)求函数()f x 在区间[,]122ππ-上的值域.【答案】(1)2ππ2T ==,ππ()23k x k =+∈Z ;(2)[1]2-, 【解析】试题分析:(1)先利用两角和与差的三角函数将式子展开合并,再利用二倍角公式、辅助角公式化简得到π()sin(2)6f x x =-,再结合正弦函数的性质,由2T πω=、2,62x k k Z πππ-=+∈可得函数()f x 的最小正周期与对称轴的方程;(2)将26x π-当成整体,由52122366x x πππππ-≤≤⇒-≤-≤,利用正弦函数的单调性可得sin(2)16x π≤-≤,即()f x 的值域. 试题解析:(1)πππ()cos(2)2sin()sin()344f x x x x =-+-+1cos 22(sin cos )(sin cos )2x x x x x x =++-+221cos 22sin cos 2x x x x =++-1cos 22cos 222x x x =+-πsin(2)6x =- 所以函数()f x 的周期2ππ2T == 由ππ2π()62x k k -=+∈Z ,得ππ()23k x k =+∈Z 所以函数()f x 图像的对称轴方程为ππ()23k x k =+∈Z 6分 (2)因为ππ[]122x ∈-,,所以ππ5π2[]636x -∈-,因为π()sin(2)6f x x =-在区间ππ[]123-,上单调递增,在区间ππ[]32,上单调递减所以当π3x =时,()f x 取最大值1又因为ππ1()()12222f f -=-<=,当12x π=-时,()f x 取最小值2-所以函数()f x 在区间ππ[]122-,上的值域为[1] 10分. 考点:1.三角函数的图像与性质;2.三角恒等变换. 12.设函数()R x ,x sin x f ∈⎪⎭⎫ ⎝⎛-=422π。
《1.4 三角函数的图象与性质(1)》测试题
一、选择题
1.用“五点法”作函数的图象时,首先应描出的五个点的横坐标可以是( ).
A. B.
C. D.
考查目的:考查正弦函数图象的五点作图法及正弦函数的周期性.
答案:B.
解析:由分别取得,答案应选B.
2.要得到的图像,只需将的图像( ).
A.向右平移个单位
B.向左平移个单位
C.向右平移个单位
D.向左平移个单位
考查目的:考查正弦函数、余弦函数图象的关系与函数图象的平移变换.
答案:C.
解析:∵,∴将的图象向右平移即得函数的图象.
3.方程的实根个数是( ).
A.无数个
B.3个
C.2个
D.1个
考查目的:考查余弦函数、指数函数的图象和性质,及数形结合思想.
答案:D.
解析:分别作出函数的图象,由图象得,是原方程唯一的实根.
二、填空题
4.函数的定义域是.
考查目的:考查正弦函数的取值范围与周期性.
答案:.
解析:由题意得,根据图象可得.
5.函数的图像关于轴对称,则 .
考查目的:考查正弦函数的图象和性质.
答案:.
解析:依题意,当时,函数取得最大(或小)值,此时,,∴.
6.函数的定义域是 .
考查目的:考查正弦函数的图象和性质,以及对数函数的定义域.
答案:.
解析:由题意得,∴.
三、解答题
7.根据正弦曲线,求满足的的取值范围.
考查目的:考查余弦函数的图象与取值范围.
答案:
解析:由图象易得:.
8.求函数的定义域.
考查目的:考查正弦函数的图象、定义域及集合的运算.
答案:
解析:由题意得,解得,∴的取值范围是.。
1.4 三角函数的图像与性质
A 卷 基础训练
一、选择题
1、以下对正弦函数y =sin x 的图象描述不正确的是( )
A .在x ∈[2k π,2k π+2π](k ∈Z )上的图象形状相同,只是位置不同
B .介于直线y =1与直线y =-1之间
C .关于x 轴对称
D .与y 轴仅有一个交点
解析:选C.由正弦函数y =sin x 的图象可知,它不关于x 轴对称.
2、函数y =3cos(25x -π6
)的最小正周期是( ) A.2π5 B.5π2
C .2π
D .5π
解析:选D.∵3cos[25(x +5π)-π6]=3cos(25x -π6+2π)=3cos(25x -π6
), ∴y =3cos(25x -π6
)的最小正周期为5π. 3、下列命题中正确的是( )
A .y =-sin x 为奇函数
B .y =|sin x |既不是奇函数也不是偶函数
C . y =3sin x +1为偶函数
D .y =sin x -1为奇函数
解析:选A.y =|sin x |是偶函数,y =3sin x +1与y =sin x -1都是非奇非偶函数.
4.若函数y =sin(x +φ)(0≤φ≤π)是R 上的偶函数,则φ等于( )
A .0 B.π4
C.π2
D .π 解析:选C.由于y =sin(x +π2)=cos x ,而y =cos x 是R 上的偶函数,所以φ=π2
. 5、函数y =-sin x ,x ∈⎣⎡⎦
⎤-π2,3π2的简图是( ) 解析:选D.用特殊点来验证.x =0时,y =-sin 0=0,排除选项A 、C ;又x =-π2
时,y =-sin ⎝⎛⎭
⎫-π2=1,排除选项B. 6、函数y =1+sin x ,x ∈[0,2π]的图象与直线y =32
的交点个数为( ) A .1 B .2
C .3
D .0
解析:选B.作出两个函数的图象如下图所示,可知交点的个数为2.
7、若函数y =cos 2x 与函数y =sin(x +φ)在区间[0,π2
]上的单调性相同,则φ的一个值是( ) A.π6 B.π4
C.π3
D.π2
解析:选D.由函数y =cos 2x 在区间[0,π2
]上单调递减,将φ代入函数y =sin(x +φ)验证可得φ=π2
. 8.函数y =2sin(π6
-2x )(x ∈[0,π])为增函数的区间是( ) A .[0,π3] B .[π12,7π12
] C .[π3,5π6] D .[5π6
,π] 解析:选C.∵函数y =2sin(π6-2x )=-2sin(2x -π6
), ∴函数y =2sin(π6-2x )的增区间为y =2sin(2x -π6)的减区间,由π2+2k π≤2x -π6≤3π2
+2k π,k ∈Z 解得π3+k π≤x ≤5π6+k π,k ∈Z .当k =0时,得x ∈[π3,5π6]. 二、填空题
1、已知sin x =m -1且x ∈R ,则m 的取值范围是________.
解析:由y =sin x ,x ∈R 的图象知,-1≤sin x ≤1,即-1≤m -1≤1,所以0≤m ≤2. 答案:[0,2]
2、用“五点法”画y =1-cos x ,x ∈[0,2π]的图象时,五个关键点的坐标是________.
答案:(0,0),⎝⎛⎭⎫π2,1,(π,2),⎝⎛⎭
⎫3π2,1,(2π,0) 3、函数f (x )=sin x -1的定义域为________.
解析:要使f (x )=
sin x -1有意义,则sin x -1≥0,即sin x ≥1,
而sin x ≤1,∴sin x =1,即x =2k π+π2
,k ∈Z . ∴函数f (x )=sin x -1的定义域为{x |x =2k π+π2
,k ∈Z }. 答案:{x |x =2k π+π2
,k ∈Z } 4、已知函数f (x )=2sin(x +π3),x ∈[0,π3
],则f (x )的值域是________. 解析:x ∈[0,π3],x +π3∈[π3,23
π]. sin(x +π3)∈[32,1],则2sin(x +π3
)∈[3,2]. 答案:[3,2] 三、解答题 1.求函数y =-2sin 23x ,x ∈(-π4
,π)的单调区间. 解:由x ∈(-π4,π)知,23x ∈(-π6,2π3
). 当23x ∈(-π6,π2],即x ∈(-π4,34
π]时, 函数y =-2sin 23
x 为减函数. 当23x ∈[π2,23π),即x ∈[3π4
,π)时,
函数y =-2sin 23
x 为增函数. ∴递减区间为(-π4,34π],递增区间为[3π4
,π). 2.若函数y =a -b sin x (b >0)的最大值为32,最小值为-12
,求函数y =-4a sin bx 的最值和最小正周期.
解:∵y =a -b sin x (b >0),
∴函数的最大值为a +b =32
,① 函数的最小值为a -b =-12
,② 由①②可解得a =12
,b =1. ∴函数y =-4a sin bx =-2sin x .
其最大值为2,最小值为-2,最小正周期T =2π.
B 卷 能力提高
1.下列函数中,周期为π2
的是( ) A .y =sin x 2
B .y =sin 2x
C .y =cos x 4
D .y =cos 4x 解析:选D.A 中函数的周期为T =4π,B 中函数的周期为T =π,C 中函数的周期为T =8π,故选D.
1、 函数y =3sin(ax +π6
)的最小正周期是π,则a =________. 解析:∵y =3sin(ax +π6
)的最小正周期是π, ∴必有3sin[a (x +π)+π6]=3sin[(ax +π6
)+a π] =3sin(ax +π6
), ∴|a π|=2π,
∴a =±2.
答案:±2
2、 函数f (x )=sin(32
π+x )的奇偶性是________ 解析:∵f (x )=sin(32
π+x )=-cos x , 又g (x )=-cos x 是偶函数,
∴f (x )=sin(32
π+x )是偶函数. 答案:偶函数
3、将cos 150°,sin 470°,cos 760°按从小到大排列为________.
解析:cos 150°<0,sin 470°=sin 110°=cos 20°>0,cos 760°=cos 40°>0且cos 20°>cos 40°,所以cos 150°<cos 760°<sin 470°.
答案:cos 150°<cos 760°<sin 470°
4.函数y =cos x 在[-π,a ]上为增函数,则a 的取值范围是________.
解析:y=cos x在[-π,0]上为增函数,在[0,π]上为减函数,所以a∈(-π,0].答案:(-π,0]。