含参二次函数中绝对值问题
- 格式:docx
- 大小:103.34 KB
- 文档页数:5
二次函数专题——含参二次函数完整版题型汇总含参的二次函数在高中阶段考试中经常出现,因为参数的存在使得函数形成一种动态,随着参数的变化,函数也会不同。
这就使得本来简单的二次函数变得复杂起来。
例如,考虑求解$f(x)=x-2ax$在$[2,4]$上的最大值和最小值。
由于参数的存在,这个函数是动态的。
为了解决这个问题,我们需要考虑动轴定区间问题,即对称轴随着参数的变化而变化,但是在给定区间上问最大值和最小值。
对于这个问题,需要分类讨论。
在$[2,4]$这个区间上,可能出现对称轴不在这个区间里面的情况,对称轴就在区间里面的情况,或者对称轴在区间右侧的情况。
因此,我们需要分别考虑这些情况。
具体来说,我们需要找到在整个函数的区间上,哪个数离对称轴最远。
这个分界线就应该在$2$和$4$中间的位置上,即$3$。
当对称轴在$x=3$这条线左边的时候,对称轴离$2$就比较近,离$4$就比较远;对称轴在右边的时候,离$2$就比较近,离$4$就比较远。
因此,这个函数的最大值可以表示为:f_{\max}(x)=\begin{cases}f(4)=16-8a& (a\leq 3)\\f(2)=4-4a&(a>3)\end{cases}$$当$a=3$时,放在哪边都可以。
代入上面的式子,得到$f_{\max}(x)=-8$。
因此,最大值为$-8$。
接下来,我们来讨论含参的二次函数的最大值和最小值问题。
这类问题的重点在于能否清晰地做分类讨论,得到一个分段函数的解析式。
我们可以按照对称轴的位置进行分类讨论。
首先,对于对称轴在区间左侧,且$a\leq 2$的情况,函数在$x=2$处取得最小值,即$f_{min}(x)=f(2)=4-4a$。
其次,对于对称轴在区间中间,即$24$的情况,函数在$x=4$处取得最小值,即$f_{min}(x)=f(4)=16-8a$。
另外,还有一类问题叫做定轴动区间的问题。
对于这类问题,我们同样需要进行分类讨论,只不过区间在变化。
二次函数中绝对值问题的求解策略二次函数是高中函数知识中一颗璀璨的“明珠”,而它与绝对值知识的综合,往往能够演绎出一曲优美的“交响乐”,故成为高考“新宠”。
二次函数和绝对值所构成的综合题,由于知识的综合性、题型的新颖性、解题方法的灵活性、思维方式的抽象性,学习解题时往往不得要领,现从求解策略出发,对近年来各类考试中的部分相关考题,进行分类剖析,归纳出一般解题思考方法。
一、适时用分类,讨论破定势分类讨论是中学数学中的重要思想。
它往往能把问题化整为零,各个击破,使复杂问题简单化,收到化难为易,化繁为简的功效。
例1 已知f(x)=x 2+bx+c (b,c ∈R),(1)当b<-2时,求证:f(x)在(-1,1)单调递减。
(2)当b<-2时,求证:在(-1,1)至少存在一个x0,使得|f(x0)|≥21. 分析 (1)当b<-2时,f(x)的对称轴在(-1,1)的右侧,那么f(x)在(-1,1)单调递减。
(2)这是一个存在性命题,怎么理解“至少存在一个x 0”呢?其实质是能找到一个这样的x 0,问题就解决了,不妨用最特殊的值去试一试。
当x=0时,|f(0)|=|c|,|c|与21的大小关系如何呢?对|c|进行讨论: (i )若|c|≥21,即|f(0)|≥21,命题成立。
(ii )若|c|<21,取x 0=-21,则21432145|||2141||2141||)21(|>=->--≥+-=-c b c b f .故不论|c|≥21还是|c|<21,总存在x 0=0或x 0=-21使得|f(x 0)|≥21成立。
本题除了取x=-21外,x 还可取那些值呢?留给读者思考。
二、合理用公式,灵活换视角公式|a|-|b|≤|a±b|≤|a|+|b|在处理含绝对值问题时的作用有时是不可替代的,常用于不等式放缩、求最值等,思路简洁、明快,解法自然、迅捷。
例2 已知f(x)=x 2+ax+b 的图象与x 轴两交点的横坐标为x 1,x 2若|a|+|b|<1,求证:|x 1|<1且|x 2|<1.解 由韦达定理,得⎩⎨⎧=-=+b x x a x x 2121 ⎩⎨⎧==+∴.|||||,|||2121b x x a x x 代入|a|+|b|<1,得|x 1+x 2|+|x 1x 2|<1,又|x 1|-|x 2|≤|x 1+x 2|.1||||||||||21212121<++≤+-∴x x x x x x x x即|x 1|(1+|x 2|)<1+|x 2|。
常见绝对值类问题汇总——辽宁数学小丸子编辑【题1】已知32()(0)f x ax bx cx d a =+++≠,当1x ≤时,'()f x M ≤恒成立,求a 的最大值【题2】设1()42(,)x x f x a b a b R +=+⋅+∈,若对于1[0,1],()2x f x ∀∈≤都成立,求b 【题3】2()f x x bx c =++在定区间[,]m n 上的最大值为M ,则M 有一个最小值2()8m n -,当且仅【题4】设,,a b c R ∈,对任意满足1x ≤的实数x ,都有21ax bx c ++≤,则a b c ++的最大可能值为___【题5】设函数(),,f x x ax b a b R =--∈,若对任意实数,a b ,总存在实数0[0,4]x ∈使得不等式0()f x m ≥成立,求实数m 的取值范围【题6】设2()(0)f x ax bx c a =++≠,当1x ≤时,总有()1f x ≤,求证:当2x ≤时,()7f x ≤【推广】设2()(0)f x ax bx c a =++≠,当1x ≤时,总有()f x k ≤,求证:当x n ≤时,2()(21)f x n k≤-【题7】已知二次函数22(),(),(1)1,(0)1,(1)1f x ax bx c g x cx bx a f f f =++=++-≤≤≤求证:当11x -≤≤时,(1)5()4f x ≤(2)()2g x ≤【题8】设函数2()f x ax bx c =++对一切[1,1]x ∈-都有()1f x ≤,求证对一切[1,1]x ∈-都有24ax b +≤【推广】设函数2()f x ax bx c =++对一切[1,1]x ∈-都有()1f x ≤,求证对一切[1,1]x ∈-都有2(*)nax b n n N +≤∈【题9】设,,a b c R ∈,对任意满足01x ≤≤的实数x ,都有21ax bx c ++≤,则a b c ++的最大可能值为___【题10】设函数1()(1,)f x x c b c R x b=++<-∈-,函数()()g x f x =在区间[1,1]-上的最大值为M ,若M k ≥对任意的,b c 成立,求k 最大。
教学夯实基础-解题水到渠成——例谈含绝对值的二次函数综合题解题策略含有绝对值的二次函数是高中数学中一个重要的知识点,对于学生来说,掌握解题的策略和方法是解题成功的关键。
下面我将以1200字以上为您详细解答含有绝对值的二次函数综合题的解题策略。
首先,对于含有绝对值的二次函数,我们需要根据绝对值的特点来进行分类讨论。
绝对值函数的图像是以原点对称的V字形,因此可以将含有绝对值的二次函数分为以下几种情况:情况一:当绝对值中的表达式为非负数时,即,f(x),=f(x)。
此时,我们只需要求解函数f(x)即可。
情况二:当绝对值中的表达式为负数时,即,f(x),=-f(x)。
此时,我们需要将函数f(x)取相反数,并且根据取绝对值的性质,将绝对值符号去掉,再求解。
解题策略一:对于情况一的题目,我们可以先求解函数f(x),然后判断函数f(x)的取值范围,并将其与绝对值中的表达式进行比较。
根据比较的结果,我们可以得到解的条件。
例如,求解方程,2x-1,+4=0,首先我们求解2x-1=0,得到x=1/2,然后可以发现在这个取值范围内,绝对值为非负数,因此方程的解为x=1/2解题策略二:对于情况二的题目,我们可以先求解函数f(x),然后取其相反数,并求解相反数函数的解。
最后根据解的范围,将解取相反数。
例如,求解方程,2x-1,-4=0,首先我们求解2x-1=0,得到x=1/2,然后取相反数-1/2,并在这个取值范围内进行判断,发现绝对值为负数,则解为x=-1/2解题策略三:在一些复杂的题目中,我们需要对绝对值中的表达式进行分段讨论。
即先设定绝对值中的表达式为正,然后求解,再设定绝对值中的表达式为负,再次求解。
最后根据解的范围,得到最终的解。
例如,求解方程,2x-1,+,x+3,=0,我们可以设定2x-1为正,x+3为正的情况,然后分别求解。
再设定2x-1为负,x+3为正的情况,求解。
最后根据解的范围,得到最终的解。
综上所述,解题含有绝对值的二次函数综合题,首先需要根据绝对值的特点,对题目进行分类讨论。
[高考专用]二次含参绝对值函数16个题及参考答案诸暨里浦中学蔡军挺整理1、设函数f(x)=x|x﹣a|+b.(1)求证:f(x)为奇函数的充要条件是a2+b2=0.(2)设常数b<﹣1,且对任意x∈[0,1],f(x)<0恒成立,求实数a的取值范围.(1)证明:充分性:若a2+b2=0,则a=b=0,∴f(x)=x|x|对任意的x∈R都有f(﹣x)+f(x)=0∴f(x)为奇函数,故充分性成立必要性:若f(x)为奇函数,则对任意的x∈R都有f(﹣x)+f(x)=0恒成立,∴f(0)=0,解得b=0,∴f(x)=x|x﹣a|,由f(1)+f(﹣1)=0,即|1﹣a|﹣|a+1|=0,|1﹣a|=|1+a|得:a=0.∴a2+b2=0.故f(x)为奇函数的充要条件是a2+b2=0(2)解:由b<﹣1<0,当x=0时a取任意实数不等式恒成立当0<x≤1时f(x)<0恒成立,也即x+<a<x﹣恒成立令g(x)=x+在0<x≤1上单调递增,∴a>g(x)max=g(1)=1+b令h(x)=x﹣,则h(x)在(0,]上单调递减,[,+∞)单调递增,当b<﹣1时h(x)=x﹣在0<x≤1上单调递减,∴a<h(x)min=h(1)=1﹣b.∴1+b<a<1﹣b2、已知函数f(x)=∣x-a∣-9/x+a,x∈【1,6】,a∈R。
(1).a=1,试判断并证明函数f(x)的单调性;(2).当a∈(1,6)时,求函数f(x)的最大值的表达式M(a).(1)∵函数f(x)=|x-a|-9/x+a, x∈[1,6],a∈R.令a=1,f(x)=|x-1|-9/x+1当x>=1时,f(x)=x-9/xF’(x)=1+9/x^2>0∴函数f(x)单调递增3、已知函数f(x)=x²+|x-a|+1(x∈R) a是实数,(1)判断f(x)的奇偶性(2)求f(x)最小值。
解:(1)首先看函数定义域,函数定义域为R,因此根据函数奇偶性的定义,只要判断f(-x)与f(x)的关系即可:f(x)=x^2+|x-a|+1f(-x)=x^2+|x+a|+1显然,当a=0时,f(x)=f(-x),函数为偶函数;当a不等于0时,f(x)不等于f(-x)也不等于-f(-x),函数既不是奇函数,也不是偶函数综上:当a=0时,函数为偶函数;当a不等于0时,函数既不是奇函数也不是偶函数。
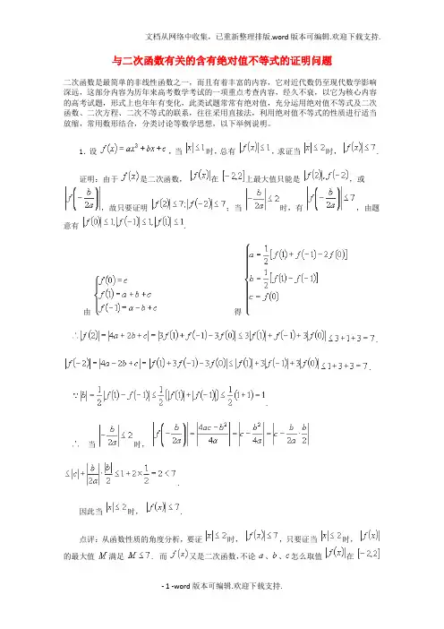
与二次函数有关的含有绝对值不等式的证明问题二次函数是最简单的非线性函数之一,而且有着丰富的内容,它对近代数仍至现代数学影响深远,这部分内容为历年来高考数学考试的一项重点考查内容,经久不衰,以它为核心内容的高考试题,形式上也年年有变化,此类试题常常有绝对值,充分运用绝对值不等式及二次函数、二次方程、二次不等式的联系,往往采用直接法,利用绝对值不等式的性质进行适当放缩,常用数形结合,分类讨论等数学思想,以下举例说明。
1.设,当时,总有,求证当时,.证明:由于是二次函数,在上最大值只能是,或,故只要证明;当时,有,由题意有.由得...当时,.因此当时,.点评:从函数性质的角度分析,要证时,,只要证当时,的最大值满足. 而又是二次函数,不论、、怎么取值在上的最大值只能是,或,因而只要证明,,这里需要特别指出的是要将与建立联系,将二次函数中的系数用、、表示:,然后用含有绝对值不等式的性质,进行适当放缩。
2.已知是实数,函数,当时,,(1)证明:;(2)证明:当时,;(3)设,当时,的最大值为2,求. (1996年全国高考题)证明:(1)依题设得,而所以.(2)证法:当时,在上是增函数。
则时,有,又,,,因此得.当时,在上是减函数,则当时,. 又,,,因此得.当时,,综上可知,当 时,都有.(3)依题意 ,故 在上是增函数,又在上的最大值为2,故 ;,.。
当 时,,即函数在区间的内点上取得最小值为 ,所以,是二次函数且它的图像是对称轴是直线,由此得,即 .,故.点评:本题运用了赋值法,函数的单调性、二次函数的最小值,含有绝对值不等式的性质等,问题(1)的设置意在降低难度,容易上手,抓住这2分,问题(3)的意义是证明问题(2)中的结论不能改进,从而是精确的,这样(2)、(3)合在一起构成问题的完整解答。
本题的设计背景是:对于二次函数 和一次函数,给定条件“当时,”,则有结论“当时,”. 更一般地,对于多项式函数和,给定件“当时, ”,则有结论“当时,”.3、已知二次函数f (x )=ax 2+bx +c 和一次函数g (x )=-bx ,其中a 、b 、c 满足a >b >c ,a +b +c =0,(a ,b ,c ∈R )(1)求证两函数的图象交于不同的两点A 、B ;(2)求线段AB 在x 轴上的射影A 1B 1的长的取值范围(1)证明由⎩⎨⎧-=++=bxy c bx ax y 2消去y 得ax 2+2bx +c =0Δ=4b 2-4ac =4(-a -c )2-4ac =4(a 2+ac +c 2)=4[(a +43)22+c c 2]∵a +b +c =0,a >b >c ,∴a >0,c <0 ∴43c 2>0,∴Δ>0,即两函数的图象交于不同的两点 (2)解设方程ax 2+bx +c =0的两根为x 1和x 2,则x 1+x 2=-a b 2,x 1x 2=ac|A 1B 1|2=(x 1-x 2)2=(x 1+x 2)2-4x 1x 22222224444()4()b c b ac a c ac a a a a ----=--==22134[()1]4[()]24c c c a a a =++=++∵a >b >c ,a +b +c =0,a >0,c <0∴a >-a -c >c ,解得a c ∈(-2,-21) ∵]1)[(4)(2++=a c a c a c f 的对称轴方程是21-=a ca c ∈(-2,-21)时,为减函数 ∴|A 1B 1|2∈(3,12),故|A 1B 1|∈(32,3)4、二次函数f (x )的二次项系数为正,且对任意实数x 恒有f (2+x )=f (2-x ),若f (1-2x 2)<f (1+2x -x 2),则x 的取值范围是_________解析由f (2+x )=f (2-x )知x =2为对称轴,由于距对称轴较近的点的纵坐标较小,∴|1-2x 2-2|<|1+2x -x 2-2|,∴-2<x <0 答案-2<x <05、设f(x)=ax 2+bx+c.若f(1)=27,问是否存在a,b,c ∈R,使得不等式x 2+21≤f(x)≤2x 2+2x+23对一切实数x都成立?证明你的结论解:令)(x h =x 2+21,)(x g =2x 2+2x+23则)(x h =x 2+21与)(x g =2x 2+2x+23必相切于点23)因为x 2+21≤f(x)≤2x 2+2x+23所以f(x)=ax 2+bx+c 必过点A(-1, 23),再由已知⎪⎩⎪⎨⎧=+-=++2327c b a c b a ⇒⎪⎩⎪⎨⎧==+125b c a 从而有f(x)=ax 2+x+a -25再因为x 2+21≤f(x)≤2x 2+2x+23对一切实数x都成立,即⎪⎩⎪⎨⎧++≤-++-++≤+23222525212222x x a x ax a x ax x 对一切实数x都成立 即 ⎩⎨⎧≤-+--≥-++-01)2(02)1(22a x x a a x x a 对一切实数x都成立 ⇔⎩⎨⎧≤---=∆<-≤---=∆>-0)1)(2(41020)2)(1(410121a a a a a a 且且 23=⇒a ,c=1 所以存在a=23,b=1,c=1,即存在f(x)=23x 2+x+1使得不等式x 2+21≤f(x)≤2x 2+2x+23对一切实数x都成立 6、设二次函数ƒ(x)=ax 2+bx+c(a>0),方程ƒ(x)-x=0的两个根x 1,x 2满足0<x 1<x 2<。
初中含参二次函数的最值问题二次函数在数学中是一种比较常见的函数形式,也是我们初中阶段需要掌握的重要知识点之一。
其中,最值问题是二次函数题目中比较典型和常见的一类问题。
在这篇文章中,我将通过一些例题和解题思路的介绍,来帮助大家更好地理解含参二次函数的最值问题。
1. 带参数二次函数的最值问题下面是一个含参数的二次函数的例子:$y=ax^2+bx+c(a>0)$ 。
我们来考虑这个函数的最值问题。
(1)当$a>0$时,这个二次函数的值域为$[q,\infty)$。
其中$q$为$a,b,c$的函数,满足$a>0$时,有如下的公式:$$q=f(\frac{-b}{2a})=\frac{4ac-b^2}{4a}$$那么,这个二次函数的最小值就是$q$,也就是当$x=\frac{-b}{2a}$时,函数取得最小值。
(2)当$a<0$时,这个二次函数的值域为$(-\infty,q]$。
其最大值也是$q$,即当$x=\frac{-b}{2a}$时,函数取得最大值。
可以通过公式来求解含参二次函数的最值问题。
具体来说,找到函数的最小值或最大值所在的$x$坐标,然后代入函数中求出对应的函数值即可。
下面让我们通过一个例题来进一步了解含参二次函数的最值问题。
2. 例题分析【例题】已知函数$y=ax^2+bx+c(a>0)$,并满足:$|x-2|+|x-4|+|x-6|=k(k>0)$求函数$y$的最小值和最大值并确定此时$x$的值。
【解题思路】该题要求我们求解带有约束条件的含参二次函数的最值问题。
实际上,约束条件中的绝对值形式会让我们比较难受,不过我们可以将其转化为分段描述,从而更好地理解这个问题。
具体来说,考虑以下的情况:(1)当$x\leq 2$时,有$|x-2|=2-x$。
(2)当$2<x\leq4$时,有$|x-2|=x-2$、$|x-4|=4-x$。
(3)当$4<x\leq 6$时,有$|x-4|=x-4$、$|x-6|=6-x$。
[高考专用]二次含参绝对值函数16个题及参考答案诸暨里浦中学蔡军挺整理1、设函数f(x)=x|x﹣a|+b.(1)求证:f(x)为奇函数的充要条件是a2+b2=0.(2)设常数b<﹣1,且对任意x∈[0,1],f(x)<0恒成立,求实数a的取值范围.(1)证明:充分性:若a2+b2=0,则a=b=0,∴f(x)=x|x|对任意的x∈R都有f(﹣x)+f(x)=0∴f(x)为奇函数,故充分性成立必要性:若f(x)为奇函数,则对任意的x∈R都有f(﹣x)+f(x)=0恒成立,∴f(0)=0,解得b=0,∴f(x)=x|x﹣a|,由f(1)+f(﹣1)=0,即|1﹣a|﹣|a+1|=0,|1﹣a|=|1+a|得:a=0.∴a2+b2=0.故f(x)为奇函数的充要条件是a2+b2=0(2)解:由b<﹣1<0,当x=0时a取任意实数不等式恒成立当0<x≤1时f(x)<0恒成立,也即x+<a<x﹣恒成立令g(x)=x+在0<x≤1上单调递增,∴a>g(x)max=g(1)=1+b令h(x)=x﹣,则h(x)在(0,]上单调递减,[,+∞)单调递增,当b<﹣1时h(x)=x﹣在0<x≤1上单调递减,∴a<h(x)min=h(1)=1﹣b.∴1+b<a<1﹣b2、已知函数f(x)=∣x-a∣-9/x+a,x∈【1,6】,a∈R。
(1).a=1,试判断并证明函数f(x)的单调性;(2).当a∈(1,6)时,求函数f(x)的最大值的表达式M(a).(1)∵函数f(x)=|x-a|-9/x+a, x∈[1,6],a∈R.令a=1,f(x)=|x-1|-9/x+1当x>=1时,f(x)=x-9/xF’(x)=1+9/x^2>0∴函数f(x)单调递增3、已知函数f(x)=x²+|x-a|+1(x∈R) a是实数,(1)判断f(x)的奇偶性(2)求f(x)最小值。
解:(1)首先看函数定义域,函数定义域为R,因此根据函数奇偶性的定义,只要判断f(-x)与f(x)的关系即可:f(x)=x^2+|x-a|+1f(-x)=x^2+|x+a|+1显然,当a=0时,f(x)=f(-x),函数为偶函数;当a不等于0时,f(x)不等于f(-x)也不等于-f(-x),函数既不是奇函数,也不是偶函数综上:当a=0时,函数为偶函数;当a不等于0时,函数既不是奇函数也不是偶函数。
二次函数的“拦路虎”——绝对值
蔡明
【期刊名称】《数理化解题研究:高中版》
【年(卷),期】2016(000)006
【摘要】近几年个别省将导数内容被列为Ⅰ类学生的选修模块,这对于高考中的重要知识板块——函数的命题而言又有可能重新回到二次函数,而二次函数本身的考查又显得很常规,感觉新意不足,因此现在命题者在二次函数的命题上都不约而同地设置一个拦路虎——绝对值,既增加题目的神秘感,又存在一定的创新.笔者查看了2015年多地模拟卷、及2015年高考卷,无独有偶均有二次函数中添设绝对值来进行命题.本文利用去掉绝对值的常用方法进行分类解析.
【总页数】2页(P47-47,75)
【作者】蔡明
【作者单位】浙江省诸暨市浬浦中学,311824
【正文语种】中文
【中图分类】G632
【相关文献】
1.二次函数的“拦路虎”——绝对值 [J], 蔡明;
2.例谈含绝对值的二次函数相关题型再探讨 [J], 岳建卿
3.轻松攻克中考拦路虎之二次函数 [J], 涂登熬
4.基于直观想象培养的高中教学案例的设计和实践——以“一次函数、二次函数
‘遇到’绝对值”为例 [J], 张春杰
5.绝对值二次函数的性质及应用 [J], 吕兴金
因版权原因,仅展示原文概要,查看原文内容请购买。
二次函数中绝对值问题的求解策略二次函数中绝对值问题的求解策略二次函数是高中函数知识中一颗璀璨的“明珠”,而它与绝对值知识的综合,往往能够演绎出一曲优美的“交响乐”,故成为高考“新宠”。
二次函数和绝对值所构成的综合题,由于知识的综合性、题型的新颖性、解题方法的灵活性、思维方式的抽象性,学习解题时往往不得要领,现从求解策略出发,对近年来各类考试中的部分相关考题,进行分类剖析,归纳出一般解题思考方法。
一、适时用分类,讨论破定势分类讨论是中学数学中的重要思想。
它往往能把问题化整为零,各个击破,使复杂问题简单化,收到化难为易,化繁为简的功效。
例1 已知f(x)=x 2+bx+c (b,c ∈R),(1)当b<-2时,求证:f(x)在(-1,1)内单调递减。
(2)当b<-2时,求证:在(-1,1)内至少存在一个x0,使得|f(x0)|≥21. 分析 (1)当b<-2时,f(x)的对称轴在(-1,1)的右侧,那么f(x)在(-1,1)内单调递减。
(2)这是一个存在性命题,怎么理解“至少存在一个x 0”呢?其实质是能找到一个这样的x 0,问题就解决了,不妨用最特殊的值去试一试。
当x=0时,|f(0)|=|c|,|c|与21的大小关系如何呢?对|c|进行讨论: (i )若|c|≥21,即|f(0)|≥21,命题成立。
(ii )若|c|<21,取x 0=-21,则21432145|||2141||2141||)21(|>=->--≥+-=-c b c b f .故不论|c|≥21还是|c|<21,总存在x 0=0或x 0=-21使得|f(x 0)|≥21成立。
本题除了取x=-21外,x 还可取那些值呢?留给读者思考。
二、合理用公式,灵活换视角公式|a|-|b|≤|a±b|≤|a|+|b|在处理含绝对值问题时的作用有时是不可替代的,常用于不等式放缩、求最值等,思路简洁、明快,解法自然、迅捷。
一般地,含参的二次函数有三种情形,其一是函数式中含参,其二是定义区间含参;这两种情形的基本做法都是将函数的对称轴与定义区间的位置关系进行讨论;其三是涉及含参的二次方程的根的分布问题,一般可结合图像研究。
一.含参二次函数最值问题。
例1. 函数2()44f x x x =--在闭区间[t ,t +1](t ∈R )上的最小值记为g (t )。
(I )试写出g (t )的函数表达式;(II )求出g (t )的最小值。
变式训练1:讨论函数2()44f x x tx =--在定义域[0,1]上的最小值。
变式训练2:20443p p x px x p x ≤≤+>+-对于满足的所有实数,是不等式都成立,求的取值范围。
二.二次函数根的区间分布归纳。
例2、已知方程()2210x m x m -++=有两个不等正实根,求实数m 的取值范围。
变式训练1:已知二次方程()()221210m x mx m +-+-=有一正根和一负根,求实数m 的取值范围。
变式训练2:已知二次函数()()()222433y m x m x m =+-+++与x 轴有两个交点,其横坐标一个大于1,一个小于1,求实数m 的取值范围。
例3. 已知函数2()(3)1f x mx m x =+-+的图像与x 轴的交点至少有一个在原点的右侧,求实数m 的取值范围。
变式训练1:已知关于x 的方程012)1(22=-+-mx x m 的根在区间[0,1]内,求实数m 的取值范围。
变式训练2 (2007年广东卷)已知a 是实数,函数2()223f x ax x a =+--,如果函数()y f x =在区间[-1,1]上有零点,求a 的取值范围。
(资料素材和资料部分来自网络,供参考。
可复制、编制,期待你的好评与关注)。
例谈含绝对值的二次函数相关题型再探讨
含绝对值的二次函数是高等教育中一项重要的数学概念,它最为人们所熟悉,也经常被用在诸多理工类学科中。
含绝对值的二次函数是一种把绝对值表达式和一个二次函数表达式结合起来的函数,用简洁的符号表示,例如y=|x^2|-1。
它
的特点是将一些复杂的问题拆分成更加简单的方程组,只有将它们结合起来才能求得最终解决方案,无论问题的复杂程度有多高,都可综合解决。
使用含绝对值的二次函数主要有以下几类应用。
首先,它可以用作高校对
学生的考核标准。
高校从定义中可以指定一系列绝对值函数,从而根据学生的实际能力来划分学生的分数。
其次,含绝对值的二次函数可以用作高校组织教学时的任务分配标准。
学校可以按照相同的函数模式安排和分配老师的任务,从而保证教学水平的统一。
届时,学生就可以更加密切地联系到老师,并得到学习上的更大帮助。
最后,含绝对值的二次函数可以用来学校管理活动计划。
学校可以划定一
定的绝对值函数,根据CGPA或其他标准,来指导学生和家长安排相应的课外活动,从而实现学校流动轨迹的可控性和有序性。
从以上可以看出,含绝对值的二次函数是高校和高等教育中一项重要的数
学概念,它能够广泛用于考核标准、任务分配标准、活动计划等教学管理中,有效地提高学校管理的效率与秩序,实现教育质量的可持续性提升。
培优专题01 二次函数含参数最值问题【题型目录】题型一:定轴动区间问题题型二:定区间动轴问题题型三:含绝对值二次函数问题题型四:定义域为[]n m ,,值域为[]kn km ,求参数问题题型五:二次函数值域包含性问题【典型例题】题型一:定轴动区间问题【例1】已知二次函数满足2()(0)f x ax bx c a =++≠,满足(1)()21f x f x x +-=-,且(0)0f =.(1)求()f x 的解析式;(2)当[]()2R x t t t ∈+∈,时,求函数()f x 的最小值()g t (用t 表示). 【答案】(1)()22f x x x =-(2)()222,11,112,1t t t g t t t t t ⎧-≥⎪=--<<⎨⎪+≤-⎩【分析】(1)由题意可得0c ,再代入(1)()21f x f x x +-=-到2()(0)f x ax bx a =+≠,化简可求出,a b ,从而可求出()f x 的解析式.(2)求出抛物线的对称轴,然后分1,21t t ≥+≤和11t t <<+三种情况求解函数的最小值.【详解】(1)因为二次函数2()(0)f x ax bx c a =++≠,且满足(0)0f =,(1)()21f x f x x +-=-,所以0c ,()()221121221a x b x ax bx x ax a b x +++--=-⇒++=-,所以221a a b =⎧⎨+=-⎩ ,得12a b =⎧⎨=-⎩. 所以()22f x x x =-.(2)()22f x x x =-是图象的对称轴为直线1x =,且开口向上的二次函数.当1t ≥时,()22f x x x =-在[]()2R x t t t ∈+∈,上单调递增,则()()2min 2f x f t t t ==-;当21t +≤即1t ≤-时,()22f x x x =-在[]()2R x t t t ∈+∈,上单调递减,则()()()()22min 22222f x f t t t t t =+=+-+=+;当11t t <<+,即11t -<<时,()()()2min 11211f x f ==-=-;综上所述()222,11,112,1t t t g t t t t t ⎧-≥⎪=--<<⎨⎪+≤-⎩. 【例2】已知定义在R 上的函数()f x ,满足()226f x x x -=--.(1)求()f x 的解析式.(2)若()f x 在区间[]0,m 上的值域为25,44⎡⎤--⎢⎥⎣⎦,写出实数m 的取值范围(不必写过程). (3)若()f x 在区间[],2t t +上的最小值为6,求实数t 的值. 【答案】(1)()234f x x x =--;(2)332m ≤≤;(3)4t =-或5t =. 【分析】(1)利用换元法即得;(2)由题可得()232524f x x ⎛⎫=-- ⎪⎝⎭,可得函数的最小值()254f x =-,结合条件进而即得; (3)分类讨论结合二次函数的性质即得.(1)∵()226f x x x -=--,令2u x =-,则2x u =-,∵()()()222226442634f u u u u u u u u =----=-+-+-=--,所以()234f x x x =--; (2)∵()2299325344424f x x x x ⎛⎫=-+--=-- ⎪⎝⎭, ∵当32x =时,32524f ⎛⎫=- ⎪⎝⎭, 当()4f x =-时,2434x x -=--,解得:0x =或3x =,∵()f x 在区间[]0,m 上的值域为25,44⎡⎤--⎢⎥⎣⎦, ∵332m ≤≤;(3)∵()234f x x x =--,对称轴为32x =, 当322t +<时,则21t <-,函数在[],2t t +上单调递减, 当2x t =+时,函数的最小值()()()2223246f t t t +=+-+-=,解得4t =-或3t =(舍);当322t t ≤≤+时,则1322t -≤≤, 则此时,当32x =时,函数的最小值()2564f x =-≠,不符合题意; 当32t >时,函数在[],2t t +上单调递增, 当x t =时,()2346f t t t =--=,解得:2t =-或5t =,∵32t >, ∵2t =-(舍),故5t =;综上:4t =-或5t =.【例3】对于函数()f x ,若存在0R x ∈,使得00f x x =成立,则称0x 为()f x 的不动点,已知函数2()(2)4f x ax b x =+++的两个不动点分别是-2和1.(1)求,a b 的值及()f x 的表达式;(2)当函数()f x 的定义域是[,1]t t +时,求函数()f x 的最大值()g t .【答案】(1)23a b =-⎧⎨=-⎩,()224f x x x =--+ (2)()225251,43351,844124,4t t t g t t t t t ⎧--+≤-⎪⎪⎪=-<≤-⎨⎪⎪--+>-⎪⎩【分析】(1)根据不动点可列方程求解,a b ,(2)分类讨论定义域与对称轴的位置关系,结合二次函数的单调性即可求解.(1)依题意得()()2211f f -=-⎧⎪⎨=⎪⎩,即()42242241a b a b ⎧-++=-⎨+++=⎩ , 解得23a b =-⎧⎨=-⎩. ()224f x x x ∴=--+.(2)∵当区间[],1t t +在对称轴14x =-左侧时,即114t +≤-,也即54t ≤-时,()f x 在[],1t t +单调递增,则最大值为()21251f t t t +=--+;∵当对称轴14x =-在[],1t t +内时,即114t t <-<+也即5144t -<<-时,()f x 的最大值为13348f ⎛⎫-= ⎪⎝⎭. ∵当[],1t t +在14x =-右侧时,即14t ≥-时,()f x 在[],1t t +单调递减,则最大值为()224f t t t =--+. 所以()225251,43351,844124,4t t t g t t t t t ⎧--+≤-⎪⎪⎪=-<≤-⎨⎪⎪--+>-⎪⎩. 【例4】已知函数()f x 为二次函数,不等式()0f x >的解集是1,5,且()f x 在区间[1,4]-上的最小值为12-.(1)求()f x 的解析式;(2)设函数()f x 在[,1]t t +上的最大值为()g t ,求()g t 的表达式.【答案】(1)()265f x x x =-+-(2)()224,24,2365,3t t t g t t t t t ⎧-+≤⎪=<<⎨⎪-+-≥⎩【分析】(1)根据题意,设()()1(5)f x a x x =--,可得函数的对称轴3x =,再根据函数在[]1,4-上的最小值,求出a ,可得函数()f x 数的表达式;(2)分13t +时、3t 时和23t <<时三种情况,分别讨论函数的单调性,可得相应情况下函数的最大值,最后综合可得()g t 的表达式.(1)解:因为不等式()0f x >的解集是()1,5,所以()0f x =的两根为1和5,且函数开口向下,故可设()()()15f x a x x =--()0a <,所以函数的对称轴为1532x +==,所以当[]1,4x ∈-时,()()min 11212f x f a =-==-,解得1a =-,故()()()15f x x x =---,即()265f x x x =-+-(2)解:因为()()226534f x x x x =-+-=--+,当13t +≤时,即2t ≤时,()f x 在[],1t t +上单调递增,所以 ()()214g t f t t t =+=-+,当31t t <<+时,即23t <<时,()f x 在[],3t 上单调递增,在(]3,1t +上单调递减,所以()()34g t f ==;当3t ≥时,()f x 在[],1t t +上单调递减,所以()()265g t f t t t ==-+-;综合以上得()224,24,2365,3t t t g t t t t t ⎧-+≤⎪=<<⎨⎪-+-≥⎩【例1】已知函数2()f x x mx m =-+-.(1)若函数()f x 在[]1,0-上单调递减,求实数m 的取值范围;(2)若当1x >时,()4f x <恒成立,求实数m 的取值范围;(3)是否存在实数m ,使得()f x 在[]2,3上的值域恰好是[]2,3?若存在,求出实数m 的值;若不存在,说明理由.【答案】(1)2m ≤-;(2)()225-∞+,;(3)存在,6m =. 【分析】(1)根据对称轴和区间端点的相对位置即可求得m 的取值范围.(2)分类讨论当1x >时函数的最大值小于4恒成立即可求得m 的取值范围.(3)分类讨论得函数的值域结合已知条件求得m 的值.【详解】(1)函数()f x 图象开口向下且对称轴是2m x =,要使()f x 在[1,0]-上单调递减,应满足12-≤m ,解得2-≤m .(2)函数()f x 图象的对称轴是2m x =. 当12m ≤时,()4f x <恒成立,故()114f =-<,所以2m ≤; 当12m >时,()4f x <恒成立,故22244160242m m m f m m m ⎛⎫=-+-<⇒--< ⎪⎝⎭; 所以2225m <<+综上所述:m 的取值范围()225-∞+, (3)当22≤m ,即4≤m 时,()f x 在[2,3]上递减, 若存在实数m ,使()f x 在[2,3]上的值域是[2,3],则(2)3,(3)2,f f =⎧⎨=⎩即423,932,m m m m -+-=⎧⎨-+-=⎩,此时m 无解. 当32≥m ,即6≥m 时,()f x 在[2,3]上递增,则(2)2,(3)3,f f =⎧⎨=⎩即422,933,m m m m -+-=⎧⎨-+-=⎩解得6m =. 当232m <<,即46m <<时,()f x 在[2,3]上先递增,再递减,所以()f x 在2m x =处取得最大值,则23222m m m f m m ⎛⎫⎛⎫=-+⋅-= ⎪ ⎪⎝⎭⎝⎭,解得2m =-或6,舍去. 综上可得,存在实数6m =,使得()f x 在[2,3]上的值域恰好是[2,3].【例2】已知二次函数()2f x ax bx c =++的图象过点()0,3,且不等式20ax bx c ++≤的解集为{}13x x ≤≤.(1)求()f x 的解析式:(2)若()()()24g x f x t x =--在区间[]1,2-上有最小值2,求实数t 的值.【答案】(1)()243f x x x =-+;(2)1±【分析】(1)根据题意得()30f c ==,又由一元二次不等式的解可知,1和3是方程230ax bx ++=的两根,利用根与系数的关系即可求参数,写出解析式;(2)由二次函数的开口及对称轴,结合其在闭区间上的最小值,讨论t ≤−1、−1<t <2、t ≥2三种情况下求符合条件的t 值即可.(1)由题意可得:()30f c ==∵不等式230ax bx ++≤的解集为{}13x x ≤≤,则230ax bx ++=的两根为1,3,且0a >∵=43=3b a a -⎧⎪⎪⎨⎪⎪⎩,解得=1=4a b -⎧⎨⎩故()243f x x x =-+(2)由(1)可得()()()22423g x f x t x x tx =--=-+的对称轴为=x t当1t ≤-时,则()g x 在[]1,2-上单调递增∵()()1242g x g t ≥-=+=,则1t =-当12t -<<时,则()g x 在[]1,t -上单调递减,在(],2t 上单调递增∵()()232g x g t t ≥=-=,则=1t 或1t =-(舍去)当2t ≥时,则()g x 在[]1,2-上单调递减∵()()2742g x g t ≥=-=,则54t =(舍去)综上所述:实数t 的值为1±.【例3】已知函数2()f x x ax b =++.(1)若函数()f x 在(1,)+∞上是增函数,求实数a 的取值范围;(2)若不等式()0f x ≤的解集为{|02}x x ≤≤,求,a b 的值;(3)若1b =时,求[0,3]x ∈时()f x 的最小值()g a . 【答案】(1)[2,)-+∞;(2)2a =-,0b =;(3)21,0()1,604103,6a a g a a a a ≥⎧⎪⎪=--<<⎨⎪+≤-⎪⎩ 【分析】(1)根据函数()f x 的对称轴为2a x =-,且在(1,)+∞上是增函数,可得12a -≤,由此求得a 的范围; (2)由题意得0,2是方程的两个实数根,利用一元二次方程根与系数的关系,求出,ab 的值; (3)根据()f x 的对称轴和区间的关系分类讨论,根据函数的单调性求得()g a .(1)∵函数2()f x x ax b =++的对称轴为2a x =-,且()f x 在(1,)+∞上是增函数, ∵12a -≤,解得2a ≥-, ∵实数a 的取值范围是[2,)-+∞.(2)若不等式()0f x ≤的解集为{|02}x x ≤≤,则0,2是方程20x ax b ++=的两个实数根,∵0202a b +=-⎧⎨⨯=⎩,∵20a b =-⎧⎨=⎩. (3)若1b =,则2()1=++f x x ax ,对称轴为2a x =-, 当02a -≤,即0a ≥时,函数()f x 在到[0,3]单调递增, 则()()min 01f x f ==,当032a <-<,即60a -<<时, 函数()f x 在0,2a ⎛⎫- ⎪⎝⎭单调递减,在,32a ⎛⎫- ⎪⎝⎭单调递增, 则()222min112424a a a a f x f ⎛⎫=-=-+=- ⎪⎝⎭, 当32a -≥,即6a ≤-时,函数()f x 在[0,3]单调递减, 则()()min 3103f x f a ==+,综上,21,0()1,604103,6a a g a a a a ≥⎧⎪⎪=--<<⎨⎪+≤-⎪⎩. 【例4】已知函数()223f x x bx =-+,Rb ∈.(1)若函数()f x 的图象经过点()4,3,求实数b 的值;(2)在(1)条件下,求不等式()0f x <的解集;(3)当[]1,2x ∈-时,函数()y f x =的最小值为1,求当[]1,2x ∈-时,函数()y f x =的最大值.【答案】(1)2b =;(2){}13x x <<;(3)当1b ≤-时,()f x 的最大值为13,当12b -<<时,()f x 最大值为422+.【分析】(1)由题可得()43f =,进而即得;(2)利用二次不等式的解法即得;(3)对()f x 的对称轴与区间[]1,2-的关系进行分情况讨论,判断()f x 的单调性,利用单调性解出b ,再求出最大值.(1)由题可得()244833f b =-+=,∵2b =;(2)由()2430f x x x =-+<,解得13x <<,所以不等式()0f x <的解集为{}13x x <<;(3)因为2()23f x x bx =-+是开口向上,对称轴为x b =的二次函数,∵若1b ≤-,则()f x 在[]1,2-上是增函数,∵min ()(1)421f x f b =-=+=,解得32b =-, ∵max ()(2)7413f x f b ==-=;∵若2b ≥,则()f x 在[]1,2-上是减函数,∵min ()(2)741f x f b ==-=,解得32b =(舍); ∵若12b -<<,则()f x 在[]1,b -上是减函数,在(],2b 上是增函数;∵2min ()()31f x f b b ==-=,解得2b =或2b =-(舍).∵max ()(1)42422f x f b =-=+=+;综上,当1b ≤-时,()f x 的最大值为13,当12b -<<时,()f x 最大值为422+.【例5】在∵[]2,2x ∀∈-,∵[]1,3x ∃∈这两个条件中任选一个,补充到下面问题的横线中,并求解该问题.已知函数()24f x x ax =++.(1)当2a =-时,求函数()f x 在区间[]22-,上的值域; (2)若______,()0f x ≥,求实数a 的取值范围.【答案】(1)[]3,12(2)答案见解析【分析】(1)利用二次函数的性质直接求解其值域,(2)若选条件∵,求出抛物线的对称轴,分22a -≤-,222a -<-<和22a -≥三种情况求出函数的最小值,使最小值大于等于零,即可求出a 的取值范围,若选条件∵,则()max 0f x ≥,由抛物线的性质可得()10f ≥或()30f ≥,从而可求出a 的取值范围.(1)当2a =-时,()()222413f x x x x =-+=-+,∵()f x 在[]2,1-上单调递减,在[]1,2上单调递增,∵()()min 13f x f ==,()()max 212f x f =-=,∵函数()f x 在区间[]22-,上的值域为[]3,12. (2)方案一:选条件∵.由题意,得()22424a a f x x ⎛⎫=++- ⎪⎝⎭. 若22a -≤-,即4a ≥,则函数()f x 在区间[]22-,上单调递增, ∵()()min 2820f x f a =-=-≥,解得4a ≤,又4a ≥,∵a =4.若222a -<-<,即44a -<<,则函数()f x 在区间2,2a ⎡⎤--⎢⎥⎣⎦上单调递减,在区间,22a ⎡⎤-⎢⎥⎣⎦上单调递增, ∵()2min 4024a a f x f ⎛⎫=-=-≥ ⎪⎝⎭, 解得44a -≤≤,∵44a -<<.若22a -≥,即4a ≤-,则函数()f x 在区间[]22-,上单调递减, ∵()()min 2820f x f a ==+≥,解得4a ≥-,又4a ≤-,∵a =-4.综上所述,实数a 的取值范围为[]4,4-. 方案二:选条件∵. ∵[]1,3x ∃∈,()0f x ≥, ∵()max 0f x ≥,∵函数()f x 的图象是开口向上的抛物线,最大值只可能在区间端点处取得. ∵()10f ≥或()30f ≥,解得5a ≥-或133a ≥-, ∵5a ≥-.故实数a 的取值范围为[)5,-+∞. 【例1】已知二次函数()()20,,,f x ax bx c a a b c =++>∈R ,()11f -=,对任意x ∈R ,()()2f x f x +=-,且()0f x x +≥恒成立. (1)求二次函数()f x 的解析式;(2)若函数()()42g x f x x x λ=++-的最小值为5,求实数λ的值. 【答案】(1)()2111424f x x x =-+,(2)174λ=± 【分析】(1)根据()()2f x f x +=-得到420a b +=,根据()0f x x +≥恒成立得到a c =,结合()11f a b c -=-+=,求出11,42a b ==-,14c =,求出二次函数解析式;(2)结合第一问,将()()42g x f x x x λ=++-写出分段函数,分12λ<-,1122λ-≤≤与12λ>三种情况,结合函数单调性,最小值为5,列出方程,求出实数λ的值. 【详解】(1)由题意得:()11f a b c -=-+=,且0a ≠,()()210f x x ax b x c +=+++≥恒成立,故()2Δ140a b ac >⎧⎪⎨=+-≤⎪⎩, 将1b a c +=+代入()2140b ac +-≤中,()20a c -≤, 故a c =,从而21a b c a b -+=-=,由()()2f x f x +=-得:()()()22222f x a x b x c ax bx c +=++++=-+,整理得()42420a b x a b +++=,故420a b +=, 联立21a b -=与420a b +=,解得:11,42a b ==-,故14c a ==, 二次函数解析式为()2111424f x x x =-+; (2)函数()()2421g x f x x x x x λλ=++-=++-的最小值为5,()2222131,24131,24x x x x g x x x x x λλλλλλ⎧⎛⎫+-+=+-+≥⎪ ⎪⎪⎝⎭=⎨⎛⎫⎪-++=-++< ⎪⎪⎝⎭⎩, 且()21g λλ=+,即在端点处分段函数的函数值相等,当12λ<-时,()g x 在12x <-上单调递减,在21x ≥-上单调递增,故()g x 在12x =-处取得最小值,即354λ-+=,解得:17142λ=-<-,符合要求;当1122λ-≤≤时,()g x 在x λ<上单调递减,在x λ≥上单调递增, 故()g x 在x λ=处取得最小值,即215λ+=,解得:2λ=±,不合题意,舍去; 当12λ>时,()g x 在12x <上单调递减,在12x ≥上单调递增,故()g x 在12x =处取得最小值,即354λ+=,解得:17142λ=>,符合要求;综上:174λ=±. 【例2】已知函数()R a a x x x f ∈-+=,22. (1)若()x f 为偶函数,求a 的值;(2)若函数()()2+=x af x g 的最小值为8,求a 的值. 【答案】(1)0,(2)2【分析】(1)利用偶函数的定义,列出关系式,即可求出a 的值; (2)化简函数为分段函数,通过讨论a 的范围,列出关系式求解即可.【详解】(1)因为f (x )是偶函数,所以f (-x )=f (x ), 故x 2+2|-x -a |=x 2+2|x -a |,所以|x +a |=|x -a |,即x 2+2ax +a 2=x 2-2ax +a 2,化简得4ax =0, 因为x ∵R ,所以a =0.(2)22222(1)22,()()222(1)22,a x a a x ag x af x ax a x a a x a a x a ⎧+--+=+=+-+=⎨-+-+<⎩∵若a =0,则g (x )=2,不合题意; ∵若a <0,则g (x )无最小值,不合题意; ∵若0<a ≤1,当x ≥a 时,g (x )在[a ,+∞)上单调递增,g (x )≥g (a ); 当x <a 时,g (x )在(-∞,a )上单调递减,g (x )>g (a ).所以,g (x )的最小值为g (a )=a 3+2=8,所以a =36>1,舍去; ∵若a >1,当x ≥a 时,g (x )在[a ,+∞)上单调递增,g (x )≥g (a );当x <a 时,g (x )在(-∞,1]上单调递减,在(1,a )内单调递增,所以g (x )≥g (1), 因为g (1)<g (a ),所以g (x )的最小值为g (1)=2a 2-a +2=8,所以a =32-(舍去)或a =2,综上所述,a =2.【例3】已知函数()||1()f x x x a x =--+∈R .(1)当2a =时,试写出函数()()g x f x x =-的单调递增区间; (2)若函数()f x 在[1,4]上的最小值是3-,求a 的值 【答案】(1)单调递增区间为3,22⎛⎫⎪⎝⎭;(2)3或4【分析】(1)当2a =时,求出()()()2231(2)12x x x g x f x x x x x ⎧-+<⎪=-=⎨-++≥⎪⎩,利用二次函数的性质确定函数的单调区间;(2)分1a <,12a ≤<,24a ≤<,48a ≤<和8a ≥五种情况进行讨论,结合函数的图象得到对应的最小值,即可得到答案 (1)当2a =时,()()2221(2)21212x x x f x x x x x x ⎧-+<⎪=--+=⎨-++≥⎪⎩, 所以()()()2231(2)12x x x g x f x x x x x ⎧-+<⎪=-=⎨-++≥⎪⎩, 当2x <时,231y x x =-+,其图象开口向上,对称轴方程为32x =, 所以()g x 在3,2⎛⎤-∞ ⎥⎝⎦上单调递减,在3,22⎛⎫⎪⎝⎭上单调递增;当2x ≥时,21y x x =-++,其图象开口向下,对称轴方程为12x =, 所以()g x 在[2,)+∞上单调递减,综上可知,()g x 的单调递增区间为3,22⎛⎫⎪⎝⎭;(2)当1a <时,()224()124a a f x x x a x +⎛⎫=--+=--+ ⎪⎝⎭,因为122a <,所以()min ()44153f x f a ==-=-,解得3a =,故舍去; 当12a ≤<时,()22224,4244,124a a x a x f x a a x x a ⎧+⎛⎫--+≤≤⎪ ⎪⎪⎝⎭=⎨-⎛⎫⎪-+≤< ⎪⎪⎝⎭⎩, 因为1122a≤<,所以()f x 在[]1a ,递增,在[],4a 递减, 所以()f x 的最小值在()1f 或()4f 中取,且()22411224a a f a -⎛⎫=-+=- ⎪⎝⎭,()2244441524a a f a +⎛⎫=--+=- ⎪⎝⎭,若()f x 的最小值为()123f a =-=-,解得5a =,故舍去; 若()f x 的最小值为()44153f a =-=-,解得3a =,故舍去;当24a ≤<时,()22224,4244,124a a x a x f x a a x x a ⎧+⎛⎫--+≤≤⎪ ⎪⎪⎝⎭=⎨-⎛⎫⎪-+≤< ⎪⎪⎝⎭⎩,因为122a ≤<,所以()f x 在12a ⎡⎤⎢⎥⎣⎦,递减,在,2a a ⎡⎤⎢⎥⎣⎦递增,在[],4a 递减, 所以()f x 的最小值在2a f ⎛⎫⎪⎝⎭或()4f 中取,若()f x 的最小值为24324a af -⎛⎫==- ⎪⎝⎭,解得4a =±,故舍去; 若()f x 的最小值为()44153f a =-=-,解得3a =, 检验:353224a f f ⎛⎫⎛⎫==->- ⎪ ⎪⎝⎭⎝⎭,故满足;当48a ≤<时,()224()124a a f x x a x x -⎛⎫=--+=-+ ⎪⎝⎭,因为242a ≤<,所以2min 4()324a af x f -⎛⎫===- ⎪⎝⎭,因为48a ≤<,解得4a =; 当8a ≥时,()224()124a a f x x a x x -⎛⎫=--+=-+ ⎪⎝⎭,因为42a≥,所以()min ()41743f x f a ==-=-,解得5a =,故舍去; 综上所述,a 的值为3或4【点睛】关键点睛:这道题的关键在于比较对称轴2a和a 与区间[]1,4的关系,分成了5种情况,数形结合,利用二次函数的图象与性质得到对应的最小值 【例4】已知函数() 2.f x x x a =-+ (1)当2a =时,求()f x 的单调增区间;(2)若12,[0,2]x x ∃∈,使()()122f x f x ->,求实数a 的取值范围. 【答案】(1)单调递增区间为(),1-∞和()2,+∞ (2)(,1)(22,)-∞⋃+∞【分析】(1)根据已知及分段函数,函数的单调性与单调区间的计算,求出()f x 的单调增区间;(2)根据已知及二次函数的性质求最值,结合不等式和绝对值不等式的计算求出实数a 的取值范围. (1)当2a =时,()2222,22222,2x x x f x x x x x x ⎧-+=-+=⎨-++<⎩,2≥x 时,()f x 单调递增,2x <时,()f x 在(),1-∞上单调递增,在()1,2上单调递减,所以()f x 的单调递增区间为(),1-∞和()2,+∞, (2)12,[0,2]x x ∃∈,使()()122f x f x ->所以()()12max 2f x f x ->, 即()()max min 2f x f x ->,∵当2≤a 时,()22f x x ax =-++,对称轴2a x =, (i)当221≤≤a 即42≤≤a 时,()2max224a a f x f ⎛⎫==+ ⎪⎝⎭, ()()min 02f x f ==,所以()20224a a f f ⎛⎫-=> ⎪⎝⎭, 所以22a >或22a <-, 因为42≤≤a ,所以224a < , (ii)当22a>即4a >时,()()max 222f x f a ==-, ()()min 02f x f ==,所以()()20242f f a -=->,3a >,因为4a >,所以4a >,∵当0a 时,()22f x x ax =-+,对称轴02ax =<, 所以()()max 262f x f a ==-,()()min 02f x f ==,所以()()20422f f a -=->,1a <,所以0a ,∵当02a <<时,()222,02,2x ax x af x x ax a x ⎧-++<<=⎨-+<<⎩,因为()()()min 022f x f f ===,因为()220124a a f f ⎛⎫-=< ⎪⎝⎭, 所以2a f ⎛⎫⎪⎝⎭不可能是函数的最大值,所以()()max 262f x f a ==-, 所以()()20422f f a -=->, 所以01a <<,综上所述:a 的取值范围是(,1)(22,)-∞⋃+∞ .【点睛】关键点点睛:本题主要考查了分段函数,函数的单调性与单调区间,函数的最值,不等式和绝对值不等式的应用,属于较难题,解题的关键是将12,[0,2]x x ∃∈,使()()122f x f x ->,转化为()()max min 2f x f x ->,然后分类利用二次函数的性质求出其最值即可,考查了分类思想和计算能力【例5】已知函数()f x x m =-.(1)若函数()f x 在[]1,2上单调递增,求实数m 的取值范围;(2)若函数()()2g x xf x m =+在[]1,2的最小值为7,求实数m 的值.【答案】(1)(],1-∞ (2)2m =-或231m =-【分析】(1)化为分段函数,结合单调性得到实数m 的取值范围;(2)化为分段函数,对m 分类讨论,结合最小值为7,求出实数m 的值,注意舍去不合要求的值. (1)(),,x m x m f x x m m x x m -≥⎧=-=⎨-<⎩,即()f x 在()m -∞,上单调递减,在[),m +∞上单调递增,若函数()f x 在[]1,2上单调递增,则1m ,所以实数m 的取值范围是(],1-∞;(2)()()222222,,x mx m x mg x xf x m x x m m x mx m x m ⎧-+≥=+=-+=⎨-++<⎩, ∵当1m 时,()g x 在[]1,2上单调递增,故()()2min 117g x g m m ==-+=,解得:2m =-或3(舍去);∵当12m <≤时,()()2min 7g x g m m ===,解得:7m =±(舍去);∵当23m <≤时,()g x 在1,2m ⎛⎫⎪⎝⎭上单调递增,在,22m ⎛⎫ ⎪⎝⎭上单调递减,且2m x =更靠近1,所以()()2min 2247g x g m m ==+-=,解得:231m =-或231--(舍去);∵当34m <≤时,()g x 在1,2m ⎛⎫⎪⎝⎭上单调递增,在,22m ⎛⎫ ⎪⎝⎭上单调递减,且2m x =更靠近2,所以()()2min 117g x g m m ==-+=,解得:2m =-(舍去)或3(舍去);∵当4m >时,()g x 在[]1,2上单调递增,故()()2min 117g x g m m ==-+=,解得:2m =-(舍去)或3(舍去);综上:2m =-或231m =-.【例1】已知a ,b 是常数,0a ≠,()2f x ax bx =+,()20f =,且方程()f x x =有两个相等的实数根.(1)求a ,b 的值;(2)是否存在实数m ,n ()m n <,使得()f x 的定义域和值域分别为[],m n 和[]2,2m n ?若存在,求出实数m ,n 的值;若不存在,请说明理由. 【答案】(1)12a =-,1b =(2)存在,2,0m n =-=【分析】(1)由()20f =、()210ax b x +-=有两个相等的实数根可得答案;(2)假设存在符合条件的m ,n .21122f x x x ,得14n ≤,由一元二次函数图象的特征结合定义域和值域可得答案. (1)由()2f x ax bx =+,()20f =,得420a b +=,又方程()f x x =,即()210ax b x +-=有两个相等的实数根,所以()2140--=b a ,解得1b =,12a =-;(2)假设存在符合条件的,m n , 由(1)知22111112222f xx x x ,则有122n ≤,即14n ≤,由一元二次函数图象的特征,得14()2()2m n f m m f n n ⎧<≤⎪⎪=⎨⎪=⎪⎩,即2214122122m n m m m n n n⎧<≤⎪⎪⎪-+=⎨⎪⎪-+=⎪⎩,解得20m n =-⎧⎨=⎩,所以存在2m =-,0n =,使得函数()f x 在[]2,0-上的值域为[]4,0-. 【例2】已知函数()11,111,01x xf x x x⎧-≥⎪⎪=⎨⎪-<<⎪⎩. (1)当0a b <<,且()()f a f b =时,求11a b+的值; (2)若存在实数,(1)a b a b <<,使得函数()y f x =的定义域为[],a b 时,其值域为[],ma mb ,求实数m 的取值范围.【答案】(1)2; (2)104m <<.【分析】(1)根据函数()f x 的单调性可知,()()f a f b =可等价于1111a b -=-,即可解得11a b+的值; (2)根据函数()y f x =在[,]a b 上的单调性,即可确定()y f x =在[,]a b 上的值域,从而根据根的分布建立方程组,即可解出m 的取值范围. (1)由题意得()y f x =在()0,1上为减函数,在()1,+∞上为增函数, 由0a b <<,且0a b <<,可得01a b <<<且1111a b-=-因此112a b+=.(2)当[),1,a b ∞∈+时,则()y f x =在[)1,+∞上为增函数 故1111ma amb b⎧-=⎪⎪⎨⎪-=⎪⎩ 即a b 、是方程210mx x -+=的两个根即关于x 的方程210mx x -+=在[)1,+∞上有两个不等的实数根. 设()21g x mx x =-+,则()Δ0101120g m m >⎧⎪>⎪⎪⎨>⎪⎪>⎪⎩ 解得104m <<. 【例3】已知函数()2112f x a a x=+-,实数a R ∈且0a ≠. (1)设0m n <<,判断函数()f x 在[],m n 上的单调性,并说明理由;(2)设0m n <<且0a >时,()f x 的定义域和值域都是[],m n ,求n m -的最大值. 【答案】(1)()f x 在[],m n 上单调递增,理由见解析 (2)433【分析】(1)由定义法直接证明可得; (2)由题知,m n 是方程2112x a a x+-=的不相等的两个正数根,然后整理成一元二次方程,由判别式和韦达定理列不等式组求解可得a 的范围,再用韦达定理表示出所求,然后可解. (1)设120<m x x n ≤<≤,则()()1212222121211x x f x f x a x a x a x x --=-+=, 120<m x x n ≤<≤,12120,0x x x x ∴>-<,()()12f x f x ∴<,故()f x 在[],m n 上单调递增;(2)由(1)可得0m n <<时,()f x 在[],m n 上单调递增,()f x 的定义域和值域都是[],m n ,(),()f m m f n n ∴==,则,m n 是方程2112x a a x+-=的不相等的两个正数根, 即()222210a x a a x -++=有两个不相等的正数根,则222222Δ2402010a a a a a m n a mn a ⎧=+->⎪⎪+⎪+=>⎨⎪⎪=>⎪⎩(),解得12a >,222222241216()4333a a n m n m mn a aa ⎛⎫+⎛⎫∴-=+-=-=--+ ⎪ ⎪⎝⎭⎝⎭, 1,2a ∞⎛⎫∈+ ⎪⎝⎭,32a ∴=时,n m -最大值为433;【例4】已知二次函数2()(,,)f x ax bx c a b c =++∈R 的图像经过原点O ,满足对任意实数x 都有(3)(1)f x f x -=-,且关于x 的方程()2f x x =有两个相等的实数根.(1)求函数()f x 的解析式:(2)是否存在实数m 、()n m n <,使得()f x 的定义域为[,]m n ,值域为22,m n ⎡⎤⎣⎦?若存在,求出m ,n 的值;若不存在,请说明理由. 【答案】(1)2()2f x x x =-+ (2)存在,0,1m n ==【分析】(1)由题意列方程求解,,a b c(2)根据定义域与对称轴关系,讨论()f x 值域后求解 (1)()f x 经过原点,故0c,()2f x x =,即2(2)0ax b x +-=有两个相等的实数根,由Δ0=知2b =,(3)(1)f x f x -=-,故()f x 的对称轴为1x =,即12ba-=,1a =-, 函数()f x 的解析式为2()2f x x x =-+.(2)2()(1)11f x x =--+≤,故11n -≤≤,故()f x 在[,]m n 上单调递增,由题意得222222m m m n n n ⎧-+=⎨-+=⎩又m n <,解得01m n =⎧⎨=⎩ 存在0,1m n ==满足题意【例5】已知函数()f x =x 2-2x +b 的自变量的取值区间为A ,若其值域区间也为A ,则称A 为()f x 的保值区间.(1)若b =0,求函数f (x )形如[,)()t t R ∞+∈的保值区间;(2)若函数f (x )的保值区间为[m ,n ]()m n <,且f (x )在[m ,n ]上单调,求实数b 的取值范围. 【答案】(1)[1,)-+∞和[3,)+∞ (2)591,2,44⎡⎫⎡⎫⋃⎪⎪⎢⎢⎣⎭⎣⎭【分析】(1)根据对称轴为标准分类讨论,使其满足定义即可求解;(2)以对称轴为界分类讨论,依据单调性建立等式,再将问题转化为二次函数或一元二次方程问题求解. (1)当0b =时,2()2f x x x =-,其对称轴为1x =.当1t ≤时,()[1,)f x ∈-+∞,此时,要满足函数f (x )是形如[,)()t t R ∞+∈的保值区间,则1t =-,区间为[1,)-+∞; 当1t >时,2()[2,)f x t t ∈-+∞,定义域为[,)t +∞,此时,要满足函数f (x )是形如[,)()t t R ∞+∈的保值区间,则22t t t -=,解得3t =或0=t (舍),因此,此时区间为[3,)+∞.综上可知,函数f (x )形如[,)()t t R ∞+∈的保值区间为[1,)-+∞和[3,)+∞; (2)因为函数f (x )的定义域、值域都为[m ,n ],且f (x )在[m ,n ]上单调, 当m ≥1时,函数f (x )在[m ,n ]上单调递增,此时()()f m m f n n =⎧⎨=⎩即222,2,m m b m n n b n ⎧-+=⎨-+=⎩等价于方程x 2-3x +b =0在[1,+∞)上有两个不等实根,令g (x )=x 2-3x +b ,则有Δ940,(1)20,31,2b g b ⎧⎪=->⎪=-+≥⎨⎪⎪>⎩解得924b ≤<;当n ≤1时,函数f (x )在[m ,n ]上单调递减,此时()()f m n f n m =⎧⎨=⎩即2222m m b n n n b m ⎧-+=⎨-+=⎩两式相减得:(m -n )(m +n -1)=0,即m =n (舍)或m +n -1=0,也即m =1-n ,由m <n 可得112n <≤, 将m =1-n 代入n 2-2n +b =m 可得方程n 2-n +b -1=0在1(,1]2上有解,即为函数b =-n 2+n +1在1(,1]2上的值域问题,因为22151()24b n n n =-++=--+在1(,1]2上单调递减,所以b 5[1,)4∈.综上所述,b 的取值范围是59[1,)[2,)44⋃.【例6】已知函数()221x f x x-=.(1)求函数()y f x =的值域;(2)若不等式()231x f x x kx +≥+在[]1,2x ∈时恒成立,求实数k 的最大值;(3)设()()1g x t f x =⋅+(11,x m n ⎡⎤∈⎢⎥⎣⎦,0m n >>,0t >),若函数()y g x =的值域为[]23,23m n --,求实数t 的取值范围. 【答案】(1)(,1)-∞ (2)2- (3)(0,1)【分析】(1)化简函数得21()1(0)f x x x=-≠,由20x >,可求出2111x -<,从而可求得函数的值域, (2)等式()231x f x x kx +≥+在[]1,2x ∈时恒成立,转化为2k x x ≤-+在[]1,2x ∈时恒成立,令2211()24h x x x x ⎛⎫=-+=--+ ⎪⎝⎭,可得()h x 在[]1,2上单调递减,从而可求出其最小值,进而可求得实数k 的最大值,(3)由题意得min max 11()23,()23g x g m g x g n m n ⎛⎫⎛⎫==-==- ⎪ ⎪⎝⎭⎝⎭,从而可得,m n 是方程2310(0)tx x t t -+-=>的两个不相等的正根,令2()310(0)x tx x t t ϕ=-+-=>,则有Δ94(1)0302(0)10t t t t ϕ=-->⎧⎪⎪>⎨⎪=->⎪⎩,从而可求出实数t 的取值范围 (1)由题意得21()1(0)f x x x =-≠, 因为20x >,所以210x >,则2111x -<, 所以函数()f x 的值域为(,1)-∞ (2)因为[]1,2x ∈,所以不等式可化为2311kx x x ≤-+-, 所以2k x x ≤-+,令2211()24h x x x x ⎛⎫=-+=--+ ⎪⎝⎭,则()h x 在[]1,2上单调递减,所以min ()(2)422h x h ==-+=-,所以2k ≤-, 所以实数k 的取值范围为(,2]-∞-, 所以实数k 的最大值为2- (3)由题意得2()1tg x t x =-++, 因为0t >,所以()g x 在11,(0,0)m n m n ⎡⎤>>⎢⎥⎣⎦上单调递增,所以min max 11()23,()23g x g m g x g n m n ⎛⎫⎛⎫==-==- ⎪ ⎪⎝⎭⎝⎭,即()()221123,1123t m m t n n -+=--+=-,所以,m n 是方程()21123t x x -+=-,即2310(0)tx x t t -+-=>的两个不相等的正根,令2()310(0)x tx x t t ϕ=-+-=>,其图象开口向上,对称轴为直线32x t=,且有两个不相等的正零点, 所以Δ94(1)0302(0)10t t t t ϕ=-->⎧⎪⎪>⎨⎪=->⎪⎩,即01t R t t ∈⎧⎪>⎨⎪<⎩,解得01t <<所以实数t 的取值范围为(0,1)【例7】已知()f x 是定义在R 上的函数,且()()0f x f x +-=,当0x >时,()22f x x x =-,(1)求函数()f x 的解析式;(2)当[)1,x ∞∈+时,()()g x f x =,当(),1x ∞∈-时()223g x x mx m =-+-,()g x 在R 上单调递减,求m 的取值范围;(3)是否存在正实数a b ,,当[],x a b ∈时,()()h x f x =且()h x 的值域为11,b a ⎡⎤⎢⎥⎣⎦,若存在,求出a b ,,若不存在,说明理由.【答案】(1)()222020x x x f x x x x ⎧-≥=⎨+<⎩,,; (2)[)3,∞+; (3)存在,151,2a b +==.【分析】(1)根据函数是奇函数以及大于零时()f x 的解析式,即可容易求得结果; (2)根据(1)中所求,结合()f x 的单调性,列出不等关系,即可求得参数范围; (3)根据()h x 的单调性,结合,a b 是方程32210x x -+=的两个正根,求解即可. (1)由题意,任取0x <,则0x ->,故有()22f x x x -=--,因为()f x 是定义在R 上的函数,且()()0f x f x +-=,即函数()y f x =是定义在R 上的奇函数,0x ∴<时,()()22f x f x x x =--=+,又0x =时,()()000f f +=,即()00f =,所以()222020x x x f x x x x ⎧-≥=⎨+<⎩,,. (2)当[)1,x ∞∈+时,()()2(1)1g x f x x ==--+,在[)1,+∞单调递减,又当(),1x ∞∈-时,()223g x x mx m =-+-,且()g x 在R 上单调递减,所以121231m m m ⎧≥⎪⎨⎪-+-≥⎩,解得3m ≥, 即m 的取值范围为[)3,∞+. (3)当0x >时,()2(1)11f x x =--+≤,若存在这样的正数a ,b ,则当[]()max 1,[]1x a b f x a∈=≤时,,故1a ≥, ()f x ∴在[],a b 内单调递减,()()221212f b b b bf a a a a⎧==-+⎪⎪∴⎨⎪==-+⎪⎩,所以,a b 是方程32210x x -+=的两个正根, ()()32221110x x x x x -+=---=, 12151,2x x +∴==, 故存在正数1512a b +==,满足题意. 【例1】已知函数()1f x x x=+,()21g x x ax a =-+-. (1)若()g x 的值域为[)0,∞+,求a 的值.(2)证明:对任意[]11,2x ∈,总存在[]21,3x ∈-,使得()()12f x g x =成立. 【答案】(1)2 (2)证明见解析【分析】(1)由题意,可得Δ0=,从而即可求解;(2)利用对勾函数单调性求出()f x 在[1,2]上的值域,再分三种情况讨论二次函数()g x 在闭区间[]1,3-上的值域,然后证明()f x 的值域是()g x 值域的子集恒成立即可得证. (1)解:因为()g x 的值域为[)0,∞+,所以()()222414420a a a a a ∆=--=-+=-=,解得2a =.(2)证明:由题意,根据对勾函数的单调性可得()1111f x x x =+在[]1,2上单调递增,所以()152,2f x ⎡⎤∈⎢⎥⎣⎦. 设()21g x x ax a =-+-在[]1,3-上的值域为M ,当12a≤-,即2a -时,()g x 在[1,3]-上单调递增,因为max ()(3)8212g x g a =-=,min ()(1)24g x g a -==-,所以2,52M ⎡⎤⊆⎢⎥⎣⎦;当32a,即6a 时,()g x 在[1,3]-上单调递减,因为max ()(1)212g x g a -==,min ()(3) 824g x g a =--=,所以2,52M ⎡⎤⊆⎢⎥⎣⎦;当132a -<<,即26a -<<时,22min 11()1(2)(4,0]244a g x g a a a ⎛⎫==-+-=--∈- ⎪⎝⎭,max ()max{2, 82}[4,12)g x a a =-∈,所以52,2M ⎡⎤⊆⎢⎥⎣⎦;综上,52,2M ⎡⎤⊆⎢⎥⎣⎦恒成立,即()f x 在[1,2]上的值域是()g x 在[1,3]-上值域的子集恒成立,所以对任意1[1,2]x ∈总存在2[1,3]x ∈-,使得()()12f x g x =成立.【例2】函数()y f x =的图象关于坐标原点成中心对称图形的充要条件是函数()y f x =为奇函数,可以将其推广为:函数()y f x =的图象关于点(),P a b 成中心对称图形的充要条件是函数()y f x a b =+-为奇函数,给定函数()261+-=+x x f x x . (1)求()f x 的对称中心;(2)已知函数()g x 同时满足:∵()11+-g x 是奇函数;∵当[]0,1x ∈时,()2g x x mx m =-+.若对任意的[]10,2x ∈,总存在[]21,5x ∈,使得()()12g x f x =,求实数m 的取值范围. 【答案】(1)()1,1-- (2)[]2,4-【分析】(1)设()f x 的对称中心为(),a b ,根据对称性得到关于,a b 的方程,解得即可得解;(2)易求得()f x 的值域为[]2,4-,设函数()g x 的值域为集合A ,则问题可转化为[]2,4A ⊆-,分0m ≤,2m ≥和02m <<三种情况讨论,从而可得出答案.【详解】(1)解:()()()2211666111x x x x f x x x x x +-+-+-===-+++, 设()f x 的对称中心为(),a b ,由题意,得函数()y f x a b =+-为奇函数, 则()()f x a b f x a b -+-=-++, 即()()20f x a f x a b ++-+-=, 即()()662011x a x a b x a x a +-+-+--=++-++,整理得()()()()221610a b x a b a a ⎡⎤---+-+=⎣⎦, 所以()()()21610a b a b a a -=-+-+=,解得1,1a b =-=-, 所以函数()f x 的对称中心为()1,1--;(2)解:因为对任意的[]10,2x ∈,总存在[]21,5x ∈,使得()()12g x f x =, 所以函数()g x 的值域是函数()f x 的值域的子集, 因为函数6,1y x y x ==-+在[]1,5上都是增函数, 所以函数()61f x x x =-+在[]1,5上是增函数, 所以()f x 的值域为[]2,4-, 设函数()g x 的值域为集合A , 则原问题转化为[]2,4A ⊆-,因为函数()11+-g x 是奇函数,所以函数()g x 关于()1,1对称, 又因为()11g =,所以函数()g x 恒过点()1,1, 当02m≤,即0m ≤时,()g x 在[]0,1上递增,则函数()g x 在(]1,2上也是增函数, 所以函数()g x 在[]0,2上递增, 又()()()0,2202g m g g m ==-=-,所以()g x 的值域为[],2m m -,即[],2A m m =-, 又[][],22,4A m m =-⊆-, 所以2240m m m ≥-⎧⎪-≤⎨⎪≤⎩,解得20m -≤≤,当12m≥即2m ≥时,()g x 在[]0,1上递减,则函数()g x 在(]1,2上也是减函数, 所以函数()g x 在[]0,2上递减, 则[]2,A m m =-, 又[][]2,2,4A m m =-⊆-, 所以2224m m m ≥⎧⎪-≥-⎨⎪≤⎩,解得24m ≤≤,当012m<<即02m <<时, ()g x 在0,2m ⎛⎫ ⎪⎝⎭上递减,在,12m ⎛⎫⎪⎝⎭上递增, 又因函数()g x 过对称中心()1,1,所以函数()g x 在1,22m ⎛⎫- ⎪⎝⎭上递增,在2,22m ⎛⎫- ⎪⎝⎭上递减,故此时()()min min 2,2m g x g g ⎧⎫⎛⎫=⎨⎬ ⎪⎝⎭⎩⎭,()()max max 0,22m g x g g ⎧⎫⎛⎫=-⎨⎬ ⎪⎝⎭⎩⎭,要使[]2,4A ⊆-,只需要()()()222202222404222422402g g m m m g m g m m m m g g m m ⎧=-=-≥-⎪⎛⎫⎪=-+≥- ⎪⎪⎝⎭⎪=≤⎨⎪⎛⎫⎛⎫⎪-=-=-+≤ ⎪ ⎪⎪⎝⎭⎝⎭⎪<<⎩,解得02m <<,综上所述实数m 的取值范围为[]2,4-.【点睛】本题考查了函数的对称性单调性及函数的值域问题,考查了转化思想及分类讨论思想,解决本题第二问的关键在于把问题转化为函数()g x 的值域是函数()f x 的值域的子集,有一定的难度. 【例3】已知函数2()3,()221()f x x g x x ax a a =-+=-+-∈R . (1)若函数()g x 的值域为[0,)+∞,求a 的取值集合;(2)若对于任意的1[2,2]x ∈-,总存在2[2,2]x ∈-,使得()()12f x g x =成立,求实数a 的取值范围. 【答案】(1)1a = (2)1(,1],3⎡⎫-∞-⋃+∞⎪⎢⎣⎭【分析】(1)利用二次函数的图像与性质,得到Δ0=,求解即可.(2)将问题转化为()()()()min minmax max f x g x f x g x ⎧≥⎪⎨≤⎪⎩,然后利用二次函数的性质以及一次函数的性质,求解两个函数的最值,求解不等式组,即可得出答案. (1)∵函数2()221g x x ax a =-+-的值域为[0,)+∞,∵2(2)4(21)0a a ∆=--=, 解得1a =; (2)由题意可知()()()()min minmax max f x g x f x g x ⎧≥⎪⎨≤⎪⎩对于函数()3f x x =-+在[2,2]-上是减函数,∵min max ()(2)1,()(2)5f x f f x f ===-=, 函数2()221g x xax a =-+-图象开口向上,对称轴为直线x a =.∵当2a ≤-时,函数()g x 在[2,2]-上为增函数,min max?()(2)63,()(2)23g x g a g x g a =-=+==-+,∵163,523,a a ≥+⎧⎨≤-+⎩此时2a ≤-; ∵当20a -<≤时,函数()g x 在区间[2,]a -上为减函数,在[],2a 上为增函数,2min max ()()21,()(2)23g x g a a a g x g a ==-+-==-+,∵2121,523,a a a ⎧≥-+-⎨≤-+⎩此时21a -<≤-;∵当02a <<时,函数()g x 在区间[2,]a -上为减函数,在[],2a 上为增函数,2min max ()()21,()(2)63g x g a a a g x g a ==-+-=-=+, ∵2121,563,a a a ⎧≥-+-⎨≤+⎩此时123a ≤<; ∵当2a ≥时,函数()g x 在[2,2]-上是减函数,∵max min ()(2)63,()(2)23g x g a g x g a =-=+==-+, ∵123,563,a a ≥-+⎧⎨≤+⎩此时2a ≥; 综上所述,实数a 的取值范围是1(,1],3⎡⎫-∞-⋃+∞⎪⎢⎣⎭.。
与二次函数有关的含有绝对值不等式的证明问题二次函数是最简单的非线性函数之一,而且有着丰富的内容,它对近代数仍至现代数学影响深远,这部分内容为历年来高考数学考试的一项重点考查内容,经久不衰,以它为核心内容的高考试题,形式上也年年有变化,此类试题常常有绝对值,充分运用绝对值不等式及二次函数、二次方程、二次不等式的联系,往往采用直接法,利用绝对值不等式的性质进行适当放缩,常用数形结合,分类讨论等数学思想,以下举例说明。
1.设()c bx ax x f ++=2,当1≤x 时,总有()1≤x f ,求证当2≤x 时,()7≤x f . 证明:由于()x f 是二次函数,()x f 在[]2,2-上最大值只能是()()2,2-f f ,或⎪⎭⎫ ⎝⎛-a b f 2,故只要证明()()72;72≤-≤f f ;当22≤-a b 时,有72≤⎪⎭⎫ ⎝⎛-a b f ,由题意有()()()11,11,10≤≤-≤f f f .由()()()⎪⎩⎪⎨⎧+-=-++==c b a f c b a f c f 110 得()()()[]()()[]()⎪⎪⎪⎩⎪⎪⎪⎨⎧=--=--+=01121021121f c f f b f f f a()()()()()()()0311303113242f f f f f f c b a f +-+≤--+=++=∴7313=++≤.()()()()()()()0313103131242f f f f f f c b a f +-+≤--+=+-=-7331=++≤.()()()()()()1112111211121=+≤-+≤--=f f f f b . ∴ 当22≤-a b 时,22444222b a b c a b c a b ac a b f ⋅-=-=-=⎪⎭⎫ ⎝⎛- 72212122<=⨯+≤⋅+≤b a b c . 因此当2≤x 时,()7≤x f . 点评:从函数性质的角度分析,要证2≤x 时,()7≤x f ,只要证当2≤x 时,()x f 的最大值M 满足7≤M . 而()x f 又是二次函数,不论a 、b 、c 怎么取值()x f 在[]2,2-上的最大值只能是()()2,2f f -,或⎪⎭⎫ ⎝⎛-a b f 2,因而只要证明()()72,72≤-≤f f ,72≤⎪⎭⎫ ⎝⎛-a b f ,这里需要特别指出的是要将()()2,2-f f 与()()()1,1,0-f f f 建立联系,将二次函数中的系数b a ,c ,用()1f 、()1-f 、()0f 表示:()()(),20211f f f a --+=()()()0,211f c f f b =--=,然后用含有绝对值不等式的性质,进行适当放缩。
培优专题01二次函数含参数最值问题【题型目录】题型一:定轴动区间问题题型二:定区间动轴问题题型三:含绝对值二次函数问题题型四:定义域为[]n m ,,值域为[]kn km ,求参数问题题型五:二次函数值域包含性问题【典型例题】题型一:定轴动区间问题【例1】已知二次函数满足2()(0)f x ax bx c a =++≠,满足(1)()21f x f x x +-=-,且(0)0f =.(1)求()f x 的解析式;(2)当[]()2R x t t t ∈+∈,时,求函数()f x 的最小值()g t (用t 表示).【答案】(1)()22f x x x =-(2)()222,11,112,1t t t g t t t t t ⎧-≥⎪=--<<⎨⎪+≤-⎩【详解】(1)因为二次函数2()(0)f x ax bx c a =++≠,且满足(0)0f =,(1)()21f x f x x +-=-,所以0c =,()()221121221a x b x ax bx x ax a b x +++--=-⇒++=-,所以221a ab =⎧⎨+=-⎩,得12a b =⎧⎨=-⎩.所以()22f x x x =-.(2)()22f x x x =-是图象的对称轴为直线1x =,且开口向上的二次函数.当1t ≥时,()22f x x x =-在[]()2R x t t t ∈+∈,上单调递增,则()()2min 2f x f t t t ==-;当21t +≤即1t ≤-时,()22f x x x =-在[]()2R x t t t ∈+∈,上单调递减,则()()()()22min 22222f x f t t t t t =+=+-+=+;当11t t <<+,即11t -<<时,()()()2min 11211f x f ==-=-;综上所述()222,11,112,1t t t g t t t t t ⎧-≥⎪=--<<⎨⎪+≤-⎩.【例2】已知定义在R 上的函数)f x ,满足()226f x x x -=--.(1)求()f x 的解析式.(2)若()f x 在区间[]0,m 上的值域为25,44⎡⎤--⎢⎥⎣⎦,写出实数m 的取值范围(不必写过程).f x 在区间[],2t t +上的最小值为6,求实数t 的值.【例3】对于函数()f x ,若存在0R x ∈,使得()00f x x =成立,则称0x 为()f x 的不动点,已知函数2()(2)4f x ax b x =+++的两个不动点分别是-2和1.(1)求,a b 的值及()f x 的表达式;[,1]t t +【例4】已知函数为二次函数,不等式的解集是,且在区间上的最小值为12-.(1)求()f x 的解析式;上的最大值为【例1】已知函数2()f x x mx m =-+-.(1)若函数()f x 在[]1,0-上单调递减,求实数m 的取值范围;(2)若当1x >时,()4f x <恒成立,求实数m 的取值范围;(3)是否存在实数m ,使得()f x 在[]2,3上的值域恰好是[]2,3?若存在,求出实数m 的值;若不存在,说明上单调递减,应满足【例2】已知二次函数的图象过点,且不等式20ax bx c ++≤1(1)求()f x 的解析式:24g x f x t x =--在区间[]1,2-上有最小值2,求实数t 的值.(1)若函数()f x 在(1,)+∞上是增函数,求实数a 的取值范围;(2)若不等式()0f x ≤的解集为{|02}x x ≤≤,求,a b 的值;时,函数【例4】已知函数,R b ∈.(1)若函数()f x 的图象经过点()4,3,求实数b 的值;(2)在(1)条件下,求不等式()0f x <的解集;1,2x ∈-时,函数()y f x =的最小值为1,求当[]1,2x ∈-时,函数()y f x =的最大值.【例5】在①2,2x ∀∈-,②1,3x ∃∈这两个条件中任选一个,补充到下面问题的横线中,并求解该问题.已知函数()24f x x ax =++.(1)当2a =-时,求函数()f x 在区间]22-,上的值域;【例1】已知二次函数()()20,,,f x ax bx c a a b c =++>∈R ,()11f -=,对任意x ∈R ,()()2f x f x +=-,且()0f x x +≥恒成立.(1)求二次函数()f x 的解析式;(1)若x f 为偶函数,求a 的值;(1)当2a =时,试写出函数()()g x f x x =-的单调递增区间;)x(1)当2a =时,求f x 的单调增区间;,所以(1)若函数f x 在[]1,2上单调递增,求实数m 的取值范围;2g x xf x m =+在[]1,2的最小值为7,求实数m 的值.【例1】已知a ,b 是常数,0a ≠,()2f x ax bx =+,()20f =,且方程()f x x =有两个相等的实数根.(1)求a ,b 的值;(2)是否存在实数m ,n ()m n <,使得()f x 的定义域和值域分别为[],m n 和[]2,2m n ?若存在,求出实数m ,=【例2】已知函数()1,111,01x xf x x x⎧-≥⎪⎪=⎨⎪-<<⎪⎩.(1)当0a b <<,且()()f a f b =时,求11a b+的值;(2)若存在实数,(1)a b a b <<,使得函数()y f x =的定义域为[],a b 时,其值域为[],ma mb ,求实数m 的取值【例3】已知函数()22f x a a x=+-,实数a R ∈且0a ≠.(1)设0m n <<,判断函数()f x 在[],m n 上的单调性,并说明理由;f x 的定义域和值域都是[],m n ,求n m -的最大值.【例4】已知二次函数,满足对任意实数(3)(1)f x f x -=-,且关于x 的方程()2f x x =有两个相等的实数根.(1)求函数()f x 的解析式:(2)是否存在实数m 、()n m n <,使得()f x 的定义域为[,]m n ,值域为22,m n ⎡⎤⎣⎦?若存在,求出m ,n 的值;【例5】已知函数-2x +b 的自变量的取值区间为A ,若其值域区间也为A ,则称A 为的保值区间.(1)若b =0,求函数f (x )形如[,)()t t R ∞+∈的保值区间;m n <【例6】已知函数()2f x x-=.(1)求函数()y f x =的值域;(2)若不等式()231x f x x kx +≥+在[]1,2x ∈时恒成立,求实数k 的最大值;(3)设()()1g x t f x =⋅+(11,x m n ⎡⎤∈⎢⎥⎣⎦,0m n >>,0t >),若函数()y g x =的值域为[]23,23m n --,求实数【例7】已知是定义在R 上的函数,且0f x f x +-=,当0x >时,(1)求函数()f x 的解析式;(2)当[)1,x ∞∈+时,()()g x f x =,当(),1x ∞∈-时()223g x x mx m =-+-,()g x 在R 上单调递减,求m 的取值范围;(3)是否存在正实数a b ,,当[],x a b ∈时,()()h x f x =且()h x 的值域为11,b a ⎡⎤⎢⎥⎣⎦,若存在,求出a b ,,若不【例1】已知函数()1f x x x=+,()21g x x ax a =-+-.(1)若()g x 的值域为[)0,∞+,求a 的值.证明:对任意1,2x ∈,总存在1,3x ∈-,使得f x g x =成立.【例2】函数y f x =的图象关于坐标原点成中心对称图形的充要条件是函数y f x =为奇函数,可以将其推广为:函数()y f x =的图象关于点(),P a b 成中心对称图形的充要条件是函数()y f x a b =+-为奇函数,给定函数()261+-=+x x f x x .(1)求()f x 的对称中心;(2)已知函数()g x 同时满足:①()11+-g x 是奇函数;②当[]0,1x ∈时,()2g x x mx m =-+.若对任意的0,2x ∈1,5x ∈,使得()()g x f x =所以【例3】已知函数(1)若函数()g x 的值域为[0,)+∞,求a 的取值集合;[2,2]x ∈-[2,2]x ∈-f x g x =。
精选全文完整版(可编辑修改)二次函数含参最值问题题型一、动轴定范围例1.当20≤≤x 时,函数()3142-++=x a ax y 在2=x 时,取得最大值,求实数a 的取值范围随堂练习练习1.已知2223t tx x y --=,当31-≤≤x 时,有0≤y 恒成立,求实数t 的取值范围。
练习2.已知t x x y ++-=232,当11≤≤-x 时,有0≥y 恒成立,求实数t 的取值范围。
练习3.已知2234a ax x y -+-=,当21≤≤x 时,有0≥y 恒成立,求实数a 的取值范围。
练习4.已知b bx x y +-=23,当12≤≤-x 时,有0≥y 恒成立,求实数b 的取值范围。
练习5.(1) 求2y x 2ax 1=++在12x -≤≤的最大值。
(2) 求函数)(a x x y --=在11x -≤≤上的最大值。
题型二、定轴动范围例1.已知函数322+-=x x y ,在m x ≤≤0时有最大值3,最小值2,求实数m 的取值范围。
随堂练习练习1.如果函数2(1)1y x =-+定义在区间1t x t ≤≤+上,求y 的最小值。
练习2.已知223y x x =-+,当1t x t ≤≤+时,求y 的最大值.练习3.求函数223y x x =-+在x ∈[a,a+2]上的最值。
题型三、动轴动范围例1.已知函数6106922--+-=a a ax x y 在b x ≤≤31-上恒大于或等于0,其中实数a ≤3,求实数b 的范围.随堂练习练习1.已知抛物线c bx x y ++-=2交x 轴于点A(-1,0)、B (3,0),当43-≤≤x 时,求y最大值.练习2.对某一个函数给出如下定义:若存在实数M>0,对于任意的函数值y ,都满足-M ≤y ≤M ,则称这个函数是有界函数.在所有满足条件的M 中,其最小值称为这个函数的边界值.例如,下图中的函数是有界函数,其边界值是1.(1)分别判断函数y=x1(x > 0)和y= x + 1(-4 < x ≤ 2)是不是有界函数?若是有界函数,求边界值;(2)若函数y=-x+1(a ≤ x ≤ b ,b > a )的边界值是2,且这个函数的最大值也是2,求b 的取值范围;(3)将函数2(1,0)y x x m m =-≤≤≥的图象向下平移m 个单位,得到的函数的边界值是t ,当m 在什么范围时,满足143≤≤t练习3.在平面直角坐标系xoy 中,二次函数12)1(2++-=x x a y 的图像与x 轴有交点,a 为正整数.(1)求a 的值.(2)将二次函数12)1(2++-=x x a y 的图像先向右平移m 个单位长度,再向下平移m2+1个单位长度,当-2≤x ≤1时,二次函数有最小值-3,求实数m 的值.练习4.已知关于x 的一元二次方程)0(02)1(22>a a x a ax =-+--.(1)求证:方程有两个不等的实数根.(2)设方程的两个实数根分别为21,x x (其中21x x >).若y 是关于a 的函数,且12x ax y +=,求这个函数的表达式.(3)在(2)的条件下,若使13-2+≤a y ,则自变量a 的取值范围为?在这一学年中,不仅在业务能力上,还是在教育教学上都有了一定的提高。
2016浙江高考数学含参二次函数中绝对值问题1设函数R b a b a x x x f ,,)(.(1)当0a 时,讨论函数)(x f 的零点个数;(2)若对于给定的实数)01(a a ,存在实数b ,使不等式21)(21x x f x 对于任意的12,12a a x 恒成立试将最大实数b 表示为关于a 的函数)(a m ,并求)(a m 的取值范围。
2已知函数.)(2b x x axx f (1)当1b 时,若不等式12)(x x f 恒成立,求实数a 的最小值;(2)若0a ,且对任意]2,1[b ,总存在实数m ,使得方程41)(mx f 在]3,3[上有6个互不相同的解,求实数a 的取值范围。
3已知函数)(,2)(2R a a x x x f (1)若方程x x f 2)(恰有三个不同的实数根,求实数a 的值;(2)当0a 时,若对任意的],0[x ,不等式)(2)1(x f x f 恒成立,求实数a 的取值范围. 4已知0a ,函数a a x x x f 25)(2.(1)若函数)(x f 在]3,0[上单调,求实数a 的取值范围;(2)若存在实数2,1x x ,满足)()(0))((2121x f x f a x a x 且,求当a 变化时21x x 的取值范围.5已知函数)(,2)(2R x bx x x f (1)若函数)]([)(x f f x F 与)(x f 在R x 时有相同值域,求实数b 的取值范围;(2)若方程21)(2x x f 在)2,0(上有两个不同实数根2,1x x ,①求实数b 的取值范围;②求证:41121x x6已知函数),()(2R b R a b ax x x f .(1)若,2,2b a 且函数)(x f 的定义域,值域均为],1[b ,求b 的值;(2)若函数)(x f 的图像与直线1y 在)2,0(x 上有2个不同的交点,试求a b的范围.7已知函数1)(x a x mx x f .(1)若0,1a m ,讨论函数)(x f 的单调性;(2)若1a ,试讨论函数)(x f 的零点的个数.8已知函数)(4)(2R x a x x x f (1)存在实数]1,1[,21x x 使得)()(21x f x f 成立,求实数a 的取值范围.(2)对任意的]1,1[,21x x ,都有k x f x f )()(21成立,求实数k 的最小值.9已知函数.,,)(R b a b a x x x f (1)当0,21b a 时,求函数)(x f 在)410](1,[m m m x 上的值域;(2)当]1,0[x 时,0)(x f 恒成立,求b 的取值范围(用a 表示).10已知函数R b a b x ax x f ,0,2)(2.(1)若1b 时函数)(x f 在],0[上单调递增,求实数a 的最小值;(2)若对任意的实数]1,21[b ,总存在实数a ,使得函数)(x f 在]2,[m上有4个不同的零点,求实数m的取值范围.。
2016浙江高考数学含参二次函数中绝对值问题 1设函数R b a b a x x x f ∈+-=,,)(.
(1)当0>a 时,讨论函数)(x f 的零点个数;
(2)若对于给定的实数)01(<<-a a ,存在实数b ,使不等式2
1)(21+≤≤-x x f x 对于任意的[]12,12+-∈a a x 恒成立试将最大实数b 表示为关于a 的函数)(a m ,并求)(a m 的取值范围。
2已知函数.)(2b x x ax x f -+=
(1)当1-=b 时,若不等式12)(--≥x x f 恒成立,求实数a 的最小值;
(2)若0<a ,且对任意]2,1[∈b ,总存在实数m ,使得方程4
1)(=-m x f 在]3,3[-上有6个互不相同的解,求实数a 的取值范围。
(1)若方程x x f 2)(=恰有三个不同的实数根,求实数a 的值;
(2)当0>a 时,若对任意的],0[+∞∈x ,不等式)(2)1(x f x f ≤-恒成立,求实数a 的取值范围.
4已知0≥a ,函数a a x x x f 25)(2+--=.
(1)若函数)(x f 在]3,0[上单调,求实数a 的取值范围;
(2)若存在实数2,1x x ,满足)()(0))((2121x f x f a x a x =<--且,求当a 变化时
21x x +的取值范围.
(1)若函数)]([)(x f f x F =与)(x f 在R x ∈时有相同值域,求实数b 的取值范围;
(2)若方程21)(2=-+x x f 在)2,0(上有两个不同实数根2,1x x , ①求实数b 的取值范围; ②求证:
41121<+x x
6已知函数),()(2R b R a b ax x x f ∈∈--=+.
(1) 若,2,2≥=b a 且函数)(x f 的定义域,值域均为],1[b ,求b 的值;
(2) 若函数)(x f 的图像与直线1=y 在)2,0(∈x 上有2个不同的交点,试求a
b 的范围.
(1)若0,1==a m ,讨论函数)(x f 的单调性; (2)若1=a ,试讨论函数)(x f 的零点的个数.
8已知函数)(4)(2R x a x x x f ∈-+= (1)存在实数]1,1[,21-∈x x 使得)()(21x f x f =成立,求实数a 的取值范围.
(2)对任意的]1,1[,21-∈x x ,都有k x f x f ≤-)()(21成立,求实数k 的最小值.
(1)当0,21==b a 时,求函数)(x f 在)4
10](1,[<<+∈m m m x 上的值域; (2)当]1,0[∈x 时,0)(<x f 恒成立,求b 的取值范围(用a 表示).
10已知函数R b a b x ax x f ∈>--=,0,2)(2. (1)若1=b 时函数)(x f 在],0[+∞上单调递增,求实数a 的最小值; (2)若对任意的实数]1,21[∈b ,总存在实数a ,使得函数)(x f 在]2,[m 上有4个不同的零点,求实数m 的取值范围.。