三角形单元测试题及答案
- 格式:docx
- 大小:36.96 KB
- 文档页数:3
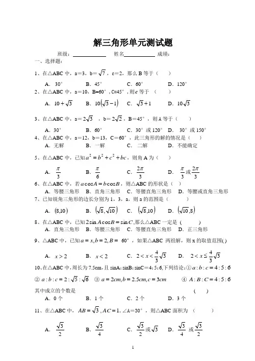
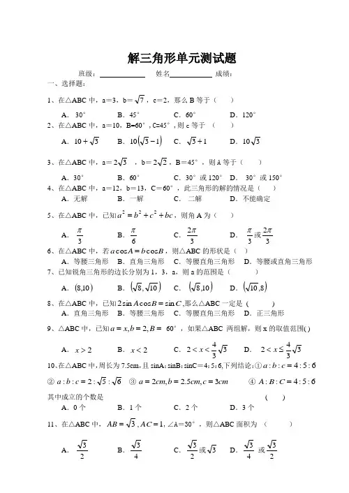
1 解三角形单元测试题
班级: ____ 姓名 成绩:______________
一、选择题:
1、在△ABC中,a=3,b=7,c=2,那么B等于( )
A. 30° B.45° C.60° D.120°
2、在△ABC中,a=10,B=60°,C=45°,则c等于 ( )
A.310 B.1310 C.13 D.310
3、在△ABC中,a=32,b=22,B=45°,则A等于( )
A.30° B.60° C.30°或120° D. 30°或150°
4、在△ABC中,a=12,b=13,C=60°,此三角形的解的情况是( )
A.无解 B.一解 C. 二解 D.不能确定
5、在△ABC中,已知bccba222,则角A为( )
A. 3 B.6 C.32 D. 3或32
6、在△ABC中,若BbAacoscos,则△ABC的形状是( )
A.等腰三角形 B.直角三角形 C.等腰直角三角形 D.等腰或直角三角形
7、已知锐角三角形的边长分别为1,3,a,则a的范围是( )
A.10,8 B.10,8 C. 10,8 D.8,10
8、在△ABC中,已知CBAsincossin2,那么△ABC一定是 ( )
A.直角三角形 B.等腰三角形 C.等腰直角三角形 D.正三角形
9、△ABC中,已知Bbxa,2, 60°,如果△ABC 两组解,则x的取值范围( )
A.2x B.2x C.3342x D. 3342x
10、在△ABC中,周长为7.5cm,且sinA:sinB:sinC=4:5:6,下列结论:①6:5:4::cba
②6:5:2::cba ③cmccmbcma3,5.2,2 ④6:5:4::CBA
解三角形单元测试题
班级: ____ 姓名 成绩:_____________
一、选择题:
1、在△ABC中,a=3,b=7,c=2,那么B等于( )
A. 30° B.45° C.60° D.120°
2、在△ABC中,a=10,B=60°,C=45°,则c等于 ( )
A.310 B.1310 C.13 D.310
3、在△ABC中,a=32,b=22,B=45°,则A等于( )
A.30° B.60° C.30°或120° D. 30°或150°
4、在△ABC中,a=12,b=13,C=60°,此三角形的解的情况是( )
A.无解 B.一解 C. 二解 D.不能确定
5、在△ABC中,已知bccba222,则角A为( )
A. 3 B.6 C.32 D. 3或32
6、在△ABC中,若BbAacoscos,则△ABC的形状是( )
A.等腰三角形 B.直角三角形 C.等腰直角三角形 D.等腰或直角三角形
7、已知锐角三角形的边长分别为1,3,a,则a的范围是( )
A.10,8 B.10,8 C. 10,8 D.8,10
8、在△ABC中,已知CBAsincossin2,那么△ABC一定是 ( )
A.直角三角形 B.等腰三角形 C.等腰直角三角形 D.正三角形
9、△ABC中,已知Bbxa,2, 60°,如果△ABC 两组解,则x的取值范围( )
A.2x B.2x C.3342x D. 3342x
10、在△ABC中,周长为7.5cm,且sinA:sinB:sinC=4:5:6,下列结论:①6:5:4::cba
②6:5:2::cba ③cmccmbcma3,5.2,2 ④6:5:4::CBA 其中成立的个数是 ( )
- 1 - 全等三角形单元测试题
一、填空题(每小题4分,共32分).
1.已知:///ABCABC≌,/AA,/BB,70C,15ABcm,则/C_________,//AB__________.
2.如图1,在ABC中,AB=AC,AD⊥BC于D点,E、F分别为DB、DC的中点,则图中共有全等三角形_______对.
图1 图2 图3
3. 已知△ABC≌△A′B′C′,若△ABC的面积为10 cm2,则△A′B′C′的面积为______ cm2,若△A′B′C′的周长为16 cm,则△ABC的周长为________cm.
4. 如图2所示,∠1=∠2,要使△ABD≌△ACD,需添加的一个条件是________________(只添一个条件即可).
5.如图3所示,点F、C在线段BE 上,且∠1=∠2,BC=EF,若要使△ABC≌△DEF,则还需补充一个条件________,依据是________________.
6.三角形两外角平分线和第三个角的内角平分线_____一点,且该点在三角形______部.
7.如图4,两平面镜α、β的夹角 θ,入射光线AO平行于β,入射到α上,经两 次反射后的出射光线CB平行于α,则角θ等于________.
图4 图5 图6
8.如图5,直线AE∥BD,点C在BD上,若AE=4,BD=8,△ABD的面积为16,则ACE△ 的面积为______.
二、选择题(每小题4分,共24分)
9.如图6,AE=AF,AB=AC,EC与BF交于点O,∠A=600,∠B=250,则∠EOB的度数为( )
A、600 B、700 C、750 D、850 - 2 - 图11 10.△ABC≌△DEF,且△ABC的周长为100 cm,A、B分别与D、E对应,且AB=35 cm,DF=30 cm,则EF的长为( )
WORD格式
专业分享 第一章 解三角形
正弦定理:
1.正弦定理: 在一个三角形中, 各边和它所对角的正弦的比相等, 并且都等于外接圆的直径,
即 a b c
2R
s i nA (其中 R 是三角形外接圆的半径)
s i nB s i nC
a b c a b c
2.变形: 1) sin sin sin C sin sin sin C .
2)化边为角: a : b: c sin A :sin B : sin C ;
a
b sin
sin A
B ; b
c sin
sin B
C ; a
c sin
sin A
C ;
3)化边为角: a 2R sin A, b 2R sin B, c 2R sin C
4)化角为边: sin
sin A
B a
b ; s i nB
s i nC b
c ; s i nA
s i nC a
c ;
a b c
sin A , sin B , sin C
5)化角为边: R
2R 2R 2
二.三角形面积
1. 1 1 1 S ABC ab sin C bc sin A ac sin 2 2 2 B
三.余弦定理
1.余弦定理: 三角形中任何一边的平方等于其他两边平方的和减去这两边与它们夹角的余弦
的积的 2 倍,即
2 2 2
a b c 2bc cos A
2 2 2
b a c 2ac cos B
2 2 2
c a b 2ab cos C
2 2
b c
cos A
2.变形: bc
2 a 2
2 2
a c
cos B
2ac 2
b
2 2 2
a b c
cos C
2ab WORD格式
专业分享 1WORD格式
专业分享 1
2 c2 b2 ac B a cos
注意整体代入,如: 2
利用余弦定理判断三角形形状:
设 a、b 、c是 C 的角 、 、 C 的对边,则:
解三角形单元测试题
班级: ____ 姓名 成绩:______________
一、选择题:
1、在△ABC中,a=3,b=7,c=2,那么B等于( )
A. 30° B.45° C.60° D.120°
2、在△ABC中,a=10,B=60°,C=45°,则c等于 ( )
A.310 B.1310 C.13 D.310
3、在△ABC中,a=32,b=22,B=45°,则A等于( )
A.30° B.60° C.30°或120° D. 30°或150°
4、在△ABC中,a=12,b=13,C=60°,此三角形的解的情况是( )
A.无解 B.一解 C. 二解 D.不能确定
5、在△ABC中,已知bccba222,则角A为( )
A. 3 B.6 C.32 D. 3或32
6、在△ABC中,若BbAacoscos,则△ABC的形状是( )
A.等腰三角形 B.直角三角形 C.等腰直角三角形 D.等腰或直角三角形
7、已知锐角三角形的边长分别为1,3,a,则a的范围是( )
A.10,8 B.10,8 C. 10,8 D.8,10
8、在△ABC中,已知CBAsincossin2,那么△ABC一定是 ( )
A.直角三角形 B.等腰三角形 C.等腰直角三角形 D.正三角形
9、△ABC中,已知Bbxa,2, 60°,如果△ABC 两组解,则x的取值范围( )
A.2x B.2x C.3342x D. 3342x
10、在△ABC中,周长为7.5cm,且sinA:sinB:sinC=4:5:6,下列结论:①6:5:4::cba
②6:5:2::cba ③cmccmbcma3,5.2,2 ④6:5:4::CBA
文档收集于互联网,已重新整理排版.word版本可编辑.欢迎下载支持.
1文档来源为:从网络收集整理.word版本可编辑. 《相似三角形》单元测试题
一、精心选一选(每小题4分,共32分)
1. 下列各组图形有可能不相似的是( ).
(A)各有一个角是50°的两个等腰三角形
(B)各有一个角是100°的两个等腰三角形
(C)各有一个角是50°的两个直角三角形
(D)两个等腰直角三角形
2. 如图,D是⊿ABC的边AB上一点,在条件(1)△ACD=∠B,(2)AC2=AD·AB,(3)
AC:AB=CD:BC(A)1 (B)2 (C)3 (D)4
3.如图,∠ABD=∠ACD,图中相似三角形的对数是( )
(A)2 (B)3 (C)4 (D)5
11.在平面直角坐标系中,已知点E(﹣4,2),F(﹣2,﹣2),以原点O为位似中心,相似比为,把△EFO缩小,则点E的对应点E′的坐标是( )
A. (﹣2,1) B. (﹣8,4) C. (﹣8,4)或(8,﹣4) D. (﹣2,1)或(2,﹣1)
5.如果两个相似多边形的面积比为9:4,那么这两个相似多边形的相似比为( )
A.9:4 B.2:3 C.3:2 D.81:16
6. 下列两个三角形不一定相似的是( )。
A. 两个等边三角形 B. 两个全等三角形
C. 两个直角三角形 D. 两个等腰直角三角形
7. 若⊿ABC∽⊿CBA,∠A=40°, ∠B=110°,则∠C=( )
A. 40° B110° C70° D30°
8.如图,在ΔABC中,AB=30,BC=24,CA=27, AE=EF=FB,EG∥FD∥BC,FM∥EN∥AC,则图中阴影部分的三个三角形的周长之和为( )
金戈铁骑整理制作
金戈铁骑整理制作
小学数学学习材料
金戈铁骑整理制作
《三角形》测试题
卷面(3分),我能做到书写端正,卷面整洁(时间:40分钟满分:100分)
知识技能(60分)
一、填空题。(每空2分,共34分)
1.三角形有( )条边,( )个角,( )个顶点。三角形的内角和是( )。
2.等边三角形的每一个内角都是( )度。
3.一个等腰三角形的顶角是70°,它的一个底角是( )。
4.按照三角形中角的不同可以把三角形分为( )三角形,( )三角形和( )三角形。
5.一个三角形中至少有( )个锐角。
6.等腰三角形的一个角是40°,它的顶角是( )。
7.一个直角三角形的一个锐角是50°,则另一个锐角是( )度。
8.在一个三角形中,∠1=42°,∠2=29°,∠3=( ),这是一个( )三角形。
9.在一个三角形的三个角中,一个是50°,一个是80°,这个三角形既是( )三角形,又是( )三角形。
10.用长度分别是5厘米、7厘米和( )厘米的三根小棒一定能摆出一个三角形。
二、用心选一选。(10分)
1.一个三角形有( )条高。
A.1 B.3 C.无数
2.按下面的方法画图,和下图形状、大小完全相同的三角形是( )。 金戈铁骑整理制作
金戈铁骑整理制作
A.周长为24cm的三角形
B.三边的长为6cm、8cm和10cm
C.两边的边长分别为10cm和6cm,其夹角为90°的三角形 第2题图
3.自行车的三角架运用了三角形的( )的特征。
A.稳定性
B.有三条边
C.易变形
4.所有的等边三角形都是( )三角形。
全等三角形单元测试题
一、填空题(每小题4分,共32分).
1.已知:///ABCABC≌,/AA,/BB,70C,15ABcm,则/C_________,//AB__________.
2.如图1,在ABC中,AB=AC,AD⊥BC于D点,E、F分别为DB、DC的中点,则图中共有全等三角形_______对.
图1 图2 图3
3. 已知△ABC≌△A′B′C′,若△ABC的面积为10 cm2,则△A′B′C′的面积为______ cm2,若△A′B′C′的周长为16 cm,则△ABC的周长为________cm.
4. 如图2所示,∠1=∠2,要使△ABD≌△ACD,需添加的一个条件是________________(只添一个条件即可).
5.如图3所示,点F、C在线段BE 上,且∠1=∠2,BC=EF,若要使△ABC≌△DEF,则还需补充一个条件________,依据是________________.
6.三角形两外角平分线和第三个角的内角平分线_____一点,且该点在三角形______部.
7.如图4,两平面镜α、β的夹角 θ,入射光线AO平行于β,入射到α上,经两 次反射后的出射光线CB平行于α,则角θ等于________.
图4 图5 图6
8.如图5,直线AE∥BD,点C在BD上,若AE=4,BD=8,△ABD的面积为16,则ACE△ 的面积为图11 ______.
二、选择题(每小题4分,共24分)
9.如图6,AE=AF,AB=AC,EC与BF交于点O,∠A=600,∠B=250,则∠EOB的度数为( )
A、600 B、700 C、750 D、850
解三角形单元测试题(20130308)
正弦定理:____________________
应用范围:(1)、_______________________________
(2)、_______________________________
难点:
余弦定理:(1)、_____________________ (4)、________________________
(2)、_____________________ (5)、________________________
(3)、_____________________ (6)、________________________
应用范围:(1)、_______________________________
(2)、_______________________________
正余弦定理可以把_____转化为角,也可以把_____转化为边;
三角形面积公式:(1)、hBC21S
(2)、CabSsin21=_______________=_________________
(3)、rcbaS)(21 (r为三角形内切圆半径)
选择题:
1、在△ABC中,a=3,b=7,c=2,那么B等于( )A. 30° B.45° C.60° D.120°
2、在△ABC中,a=10,B=60°,C=45°,则c等于 ( )
A.310 B.1310 C.13 D.310
3、在△ABC中,a=32,b=22,B=45°,则A等于( )
A.30° B.60° C.30°或120° D. 30°或150°
4、在△ABC中,a=12,b=13,C=60°,此三角形的解的情况是( )
A.无解 B.一解 C. 二解 D.不能确定
5、在△ABC中,已知bccba222,则角A为( )
- 1 - PODCBA全等三角形复习试题
一、选择题
1. 下列可使两个直角三角形全等的条件是
A.一条边对应相等 B.两条直角边对应相等
C.一个锐角对应相等 D.两个锐角对应相等
2. 如图,点P是△ABC内的一点,若PB=PC,则
A.点P在∠ABC的平分线上 B.点P在∠ACB的平分线上
C.点P在边AB的垂直平分线上 D.点P在边BC的垂直平分线上
3. 如图, AD是ABC△的中线,E,F分别是AD和AD延长线上的点,且DEDF,连结BF,CE. 下列说法:①CE=BF;②△ABD和△ACD面积相等;③BF∥CE;④△BDF≌△CDE. 其中正确的有
A. 1个 B. 2个 C. 3个 D. 4个
4. 在直角梯形ABCD中,AD∥BC,∠B=90°,E为AB上一点,且ED平分∠ADC,EC平分∠BCD,则下列结论中正确的有
A.∠ADE=∠CDE B.DE⊥EC
C.AD·BC=BE·DE D.CD=AD+BC
5. 使两个直角三角形全等的条件是
A. 斜边相等 B. 两直角边对应相等
C. 一锐角对应相等 D. 两锐角对应相等
6. 如图,OP平分∠AOB,PC⊥OA于C,PD⊥OB于D,则PC与PD的大小关系
A.PC>PD B.PC=PD C.PC<PD D.不能确定
7. 用两个全等的直角三角形,拼下列图形:①平行四边形;②矩形;③菱形;④正方形;⑤等腰三角形;⑥等边三角形,其中不一定能拼成的图形是
A. ①②③ B. ②③ C. ③④⑤ D. ③④⑥
8. 如图,平行四边形ABCD中,AC、BD相交于点O,过点O作直线分别交于AD、BC于点E、F,那么图中全等的三角形共有
《三角形》单元测试题
(时间:100分钟 满分:120分)
姓名 成绩
一、选择题(每小题3分,共30分)
1.下列长度的各组线段中可组成三角形的是( )
A.1,2,3 B.2,3,5 C.3,3,6 D.18,19,110
2.下列事例应用了三角形稳定性的有( )
①人们通常会在栅栏门上斜着钉上一根木条;②新植的树木,常用一些粗木与之成角度的支撑起来防止倒斜;③四边形模具.
A.1个 B.2个 C.3个 D.0个
3.多边形每一个内角都等于150°,则从该多边形一个顶点出发,可引出对角线的条数为( )
A.7条 B.8条 C.9条 D.10条
4.在△ABC中,能说明△ABC是直角三角形的是( )
A.∠A∶∠B∶∠C=1∶2∶2 B.∠A∶∠B∶∠C=3∶4∶5
C.∠A∶∠B∶∠C=1∶2∶3 D.∠A∶∠B∶∠C=2∶3∶4
5.如果三角形的一个外角是锐角,那么这个三角形为( )
A.钝角三角形 B.锐角三角形
C.直角三角形 D.锐角三角形或钝角三角形
6题图 7题图 11题图 16题图
6.如图,在△ABC中,CD是∠ACB的平分线,∠A=80°,∠ACB=60°,那么∠BDC的度数是( )
A.80° B.90 C.100° D.110°
7.如图所示三角形纸片,其中有一个内角为60,剪去这个60°角后,得到一个四边形,则∠1+∠2的度数为( )
A.120° B.180° C.240° D.300°
- 1 - “三角形”知识要点梳理
三角形三边关系
三角形 三角形内角和定理
角平分线
三条重要线段 中线
高线
全等图形的概念
全等三角形的性质
三角形 全等三角形 SSS
SAS
全等三角形的判定 ASA
AAS
HL(适用于RtΔ)
全等三角形的应用 利用全等三角形测距离
作三角形
一、三角形概念
1、不在同一条直线上的三条线段首尾顺次相接所组成的图形,称为三角形,可以用符号“Δ”表示。
2、顶点是A、B、C的三角形,记作“ΔABC”,读作“三角形ABC”。
3、组成三角形的三条线段叫做三角形的边,即边AB、BC、AC,有时也用a,b,c来表示,顶点A所对的边BC用a表示,边AC、AB分别用b,c来表示;
4、∠A、∠B、∠C为ΔABC的三个内角。
二、三角形中三边的关系
1、三边关系:三角形任意两边之和大于第三边,任意两边之差小于第三边。
用字母可表示为a+b>c,a+c>b,b+c>a;a-b
2、判断三条线段a,b,c能否组成三角形:
(1)当a+b>c,a+c>b,b+c>a同时成立时,能组成三角形;
- 2 - (2)当两条较短线段之和大于最长线段时,则可以组成三角形。
3、确定第三边(未知边)的取值范围时,它的取值范围为大于两边的差而小于两边的和,即abcab.
三、三角形中三角的关系
1、三角形内角和定理:三角形的三个内角的和等于1800。
2、三角形按内角的大小可分为三类:
(1)锐角三角形,即三角形的三个内角都是锐角的三角形;
(2)直角三角形,即有一个内角是直角的三角形,我们通常用“RtΔ”表示“直角三角形”,其中直角∠C所对的边AB称为直角三角表的斜边,夹直角的两边称为直角三角形的直角边。
解三角形单元测试题
(120分钟)
班级: ____ 姓名 成绩:______________
一、选择题:(5*12=60分)
1、在△ABC中,a=3,b=7,c=2,那么B等于( )
A. 30° B.45° C.60° D.120°
2、已知锐角三角形的边长分别为2、3、x,则x的取值范围是( )
A.51x B.135x C.50x D.513x
3、在△ABC中,a=32,b=22,B=45°,则A等于( )
A.30° B.60° C.30°或120° D. 30°或150°
4、在△ABC中,a=12,b=13,C=60°,此三角形的解的情况是( )
A.无解 B.一解 C. 二解 D.不能确定
5、在△ABC中,已知bccba222,则角A为( )
A. 3 B.6 C.32 D. 3或32
6、在△ABC中,若BbAacoscos,则△ABC的形状是( )
A.等腰三角形 B.直角三角形 C.等腰直角三角形 D.等腰或直角三角形
7、已知锐角三角形的边长分别为1,3,a,则a的范围是( )
A.10,8 B.10,8 C. 10,8 D.8,10
8、在△ABC中,已知CBAsincossin2,那么△ABC一定是 ( )
A.直角三角形 B.等腰三角形 C.等腰直角三角形 D.正三角形
9、△ABC中,已知Bbxa,2, 60°,如果△ABC 两组解,则x的取值范围( )
A.2x B.2x C.3342x D. 3342x
10、在△ABC中,周长为7.5cm,且sinA:sinB:sinC=4:5:6,下列结论:①6:5:4::cba
②6:5:2::cba ③cmccmbcma3,5.2,2 ④6:5:4::CBA
“三角形”知识要点梳理
三角形三边关系
三角形 三角形内角和定理
角平分线
三条重要线段 中线
高线
全等图形的概念
全等三角形的性质
三角形 全等三角形 SSS
SAS
全等三角形的判定 ASA
AAS
HL(适用于RtΔ)
全等三角形的应用 利用全等三角形测距离
作三角形
一、三角形概念
1、不在同一条直线上的三条线段首尾顺次相接所组成的图形,称为三角形,可以用符号“Δ”表示。
2、顶点是A、B、C的三角形,记作“ΔABC”,读作“三角形ABC”。
3、组成三角形的三条线段叫做三角形的边,即边AB、BC、AC,有时也用a,b,c来表示,顶点A所对的边BC用a表示,边AC、AB分别用b,c来表示;
4、∠A、∠B、∠C为ΔABC的三个内角。
二、三角形中三边的关系
1、三边关系:三角形任意两边之和大于第三边,任意两边之差小于第三边。
用字母可表示为a+b>c,a+c>b,b+c>a;a-b
2、判断三条线段a,b,c能否组成三角形:
(1)当a+b>c,a+c>b,b+c>a同时成立时,能组成三角形; (2)当两条较短线段之和大于最长线段时,则可以组成三角形。
3、确定第三边(未知边)的取值范围时,它的取值范围为大于两边的差而小于两边的和,即abcab.
三、三角形中三角的关系
1、三角形内角和定理:三角形的三个内角的和等于1800。
2、三角形按内角的大小可分为三类:
(1)锐角三角形,即三角形的三个内角都是锐角的三角形;
(2)直角三角形,即有一个内角是直角的三角形,我们通常用“RtΔ”表示“直角三角形”,其中直角∠C所对的边AB称为直角三角表的斜边,夹直角的两边称为直角三角形的直角边。
全等三角形单元测试
题(含答案)
全等三角形单元测试题
一、填空题(每小题4分,共32分). 1.已知:///ABCABC≌,/AA,/BB,70C,15ABcm,则/C_________,//AB__________.2.如图1,在ABC中,AB=AC,AD⊥BC于D点,E、F分别为DB、DC的中点,则图中共有全等三角形_______对.
图1 图2 图3 3.已知△ABC≌△A′B′C′,若△ABC的面积为10 cm2,则△A′B′C′的面积为______cm2,若△A′B′C′的周长为16 cm,则△ABC的周长为________cm.4.如图2所示,∠1=∠2,要使△ABD≌△ACD,需添加的一个条件是________________(只添一个条件即可).5.如图3所示,点F、C在线段BE上,且∠1=∠2,BC=EF,若要使△ABC≌△DEF,则还需补充一个条件________,依据是________________.6.三角形两外角平分线和第三个角的内角平分线_____一点,且该点在三角形______部.7.如图4,两平面镜α、β的夹角θ,入射光线AO平行于β,入射到α上,经两次反射后的出射光线CB平行于α,则角θ等于________.
图4 图5 图6 8.如图5,直线AE∥BD,点C在BD上,若AE=4,BD=8,△ABD的面积为16,则ACE△的面积为______.二、选择题(每小题4分,共24分)
图11 9.如图6,AE=AF,AB=AC,EC与BF交于点O,∠A=600,∠B=250,则∠EOB的度数为()
A、600 B、700 C、750 D、850
10.△ABC≌△DEF,且△ABC的周长为100 cm,A、B分别与D、E对应,且AB=35 cm,DF=30 cm,则EF的长为( ) A.35 cm B.30 cm C.45 cm D.55 cm 11.图7是一个由四根木条钉成的框架,拉动其中两根木条后,它的形状将会改变,若固定其形状,下列有四种加固木条的方法,不能固定形状的是钉在________两点上的木条.( ) A.A、F B.C、E C.C、A D.E、F
《相似三角形》单元测试题
一、精心选一选(每小题4分,共32分)
1.下列各组图形有可能不相似的是( ).
(A)各有一个角是50°的两个等腰三角形
(B)各有一个角是100°的两个等腰三角形
(C)各有一个角是50°的两个直角三角形
(D)两个等腰直角三角形
2.如图,D是⊿ABC的边AB上一点,在条件(1)△ACD=∠B,(2)AC2=AD·AB,(3)AB边上与点C距离相等的点D有两个,(4)∠B=△ACB中,一定使⊿ABC∽⊿ACD的个数是( )
(A)1 (B)2 (C)3 (D)4
3.如图,∠ABD=∠ACD,图中相似三角形的对数是( )
(A)2 (B)3 (C)4 (D)5
4.如图,在矩形ABCD中,点E是AD上任意一点,则有( )
(A)△ABE的周长+△CDE的周长=△BCE的周长
(B)△ABE的面积+△CDE的面积=△BCE的面积
(C)△ABE∽△DEC
(D)△ABE∽△EBC
5.如果两个相似多边形的面积比为9:4,那么这两个相似多边形的相似比为( )
A.9:4 B.2:3 C.3:2 D.81:16
6. 下列两个三角形不一定相似的是( )。
A. 两个等边三角形 B. 两个全等三角形
C. 两个直角三角形 D. 两个等腰直角三角形
7. 若⊿ABC∽⊿CBA,∠A=40°,∠B=110°,则∠C=( )
A. 40° B110° C70° D30° 8.如图,在ΔABC中,AB=30,BC=24,CA=27,AE=EF=FB,EG∥FD∥BC,FM∥EN∥AC,则图中阴影部分的三个三角形的周长之和为( )
A、70 B、75 C、81 D、80
三角形单元测试题及答案
# 三角形单元测试题及答案
一、选择题
1. 已知三角形的两边长分别为3cm和4cm,第三边的长度可能为:
- A. 1cm
- B. 5cm
- C. 7cm
- D. 8cm
答案:B
2. 在一个直角三角形中,如果一个锐角为30°,那么另一个锐角为:
- A. 30°
- B. 45°
- C. 60°
- D. 90°
答案:C
3. 等边三角形的三个内角的度数分别为:
- A. 30°
- B. 45°
- C. 60°
- D. 90°
答案:C
二、填空题
4. 如果一个三角形的三个内角分别为α、β、γ,那么α + β +
γ = ______。 答案:180°
5. 直角三角形的斜边长度是两直角边长度的________。
答案:平方和的平方根
6. 如果三角形的两边长分别为a和b,且a > b,那么第三边c的取值范围是:b < c < ______。
答案:a + b
三、简答题
7. 请简述三角形的稳定性。
答案:三角形的稳定性是指在给定三角形的三边长度后,其形状和大小是唯一确定的,不会因外力作用而改变其形状。
8. 什么是勾股定理?请举例说明。
答案:勾股定理是指在一个直角三角形中,直角边的平方和等于斜边的平方。例如,如果一个直角三角形的两条直角边分别为3和4,那么斜边的长度为√(3² + 4²) = 5。
四、计算题
9. 已知三角形ABC,其中AB = 5cm,AC = 7cm,BC = 6cm。求∠A的大小。
答案:根据余弦定理,cosA = (BC² + AC² - AB²) / (2 * BC *
AC) = (6² + 7² - 5²) / (2 * 6 * 7) ≈ 0.97。因此,∠A ≈
arccos(0.97) ≈ 14.5°。
10. 已知三角形DEF,其中DE = 8cm,DF = 10cm,EF = 6cm。判断三角形DEF是否为直角三角形。
答案:根据勾股定理,如果DE² + EF² = DF²,则三角形DEF为直角三角形。计算得到8² + 6² = 64 + 36 = 100 = 10²,所以三角形DEF是直角三角形。
结束语
本次三角形单元测试题涵盖了三角形的基本性质、定理和计算方法,希望同学们能够通过这些题目加深对三角形知识的理解,并在实际问题中灵活运用。