高中数学典型例题详解和练习- 求分段函数的导数
- 格式:doc
- 大小:128.50 KB
- 文档页数:6
求分段函数求导分段函数(PiecewiseFunction)又称分段函数,是由若干个在不同子区间上的函数表示的曲线。
如果函数域上的一个点只属于某一子区间,那么在该点处函数的定义只对应子区间内函数表达式,这种函数称为分段函数。
(以下简称为f(x))例如:f(x)=begin{cases}3x-2, & xleq 1x^2-2x+3, & 1<xleq 3end{cases}1.2分段函数的求导求函数的导数的过程,也可以理解为求分段函数求导的过程。
求函数的导数,就是要求函数在某一点上的增量和减量的对比关系,也就是说要搞清楚函数的变化趋势,然后求出在某一点处的切线斜率,这就是函数求导的表达式。
要求分段函数求导,最终要解决的是在相同函数中求不同点处的导数,因此,首先要根据函数图形和表达式,将分段函数在不同点处的函数表达式分解开来,而这一过程也正是求分段函数求导的关键。
二、求分段函数求导的步骤2.1分析函数表达式在求分段函数求导步骤中,第一步要做的就是分析函数表达式,找出其分段的区间,也就是求导的范围,为了简化步骤,我们也可以将分段函数的区间分解成n个区间,从而更容易地计算出分段函数的导数。
2.2求函数的导数根据上一步的分析,我们得到了多个分段的函数表达式,然后就可以根据每一段函数的表达式,来求出函数在每一点处的切线斜率,从而求出分段函数的导数。
2.3推导函数导数推导函数导数时,首先要使用分母分子的最高次数来将函数表达式化为一阶导数的方式,然后根据函数的规律,推导出各个点的导数表达式,从而得出分段函数的导数。
三、分段函数求导的具体应用3.1函数f(x)在x=a处求导设f(x)在x=a处求导,其导数为f(a),则可以将此函数表达式分解为各个分段,并将函数表达式按分段来求,首先分析函数在x=a 处的表达式,如果x只属于一个子区间,则函数在x=a处的导数就是该子区间函数的导数。
否则,根据单调性原理,比较x=a左右两侧的函数值,如果两边的导数的符号相反,可以认定x=a处的导数为0;如果两边的导数的符号相同,那么x=a处的导数就是x=a处函数的增量或减量。
分段函数求导的假设干问题摘要】求分段函数的导函数或分段点处的导数是高等数学学习中的难点,大多数学生在解这类问题时会遇到困难或理解不透.本文从导数极限定理及其证明出发,给出导函数连续的判定定理,结合实例说明分段函数求导的关键要点.【关键词】分段函数;单侧导数;导数极限定理【基金工程】绍兴市课堂教学改革工程〔SXSKG2021091〕.在分段函数求导问题中,大多数学生能够理解为什么在分段点处要用导数定义,但因为有时遇到的分段函数直接求导跟用导数定义所得结果并无差异,这就导致很多学生不明白个中原因.例如,求分段函数F〔x〕=f〔x〕,a的导数,在f〔x〕,g〔x〕可导下,直接求导得F′〔x〕=f′〔x〕,a这种结果在分段点处的导数时对时错.常规的做法是在函数连续的情况下用导数定义进行判断,不过在一定条件下也可用导数极限方法,这在一些文献中也有提及[1-4].但对高职或高中学生而言,定理表述上还应精炼,证明要简洁易懂,而且例题要更有代表性,所以还有必要对这一问题进行探讨,并且文中还给出另一重要推论,这些结论对理解分段函数的导数意义明显.一、导数极限定理及其推论分段函数在除分段点外均可导的情况下,求其导数显然只要讨论分段点处的可导性,通常用导数定义进行判断,这涉及分段函数在分段点处的连续性和左右导数.下面从导数极限定理出发,介绍一些常用的结论,便于理解什么情况下不必用导数定义,什么情况下要用导数定义.引理如果函数f〔x〕在〔a,x0]〔或[x0,b〕〕上连续,在〔a,x0〕〔或〔x0,b〕〕内可导,且limx→x-0f′〔x〕=A〔或limx→x+0f′〔x〕=B〕,那么f〔x〕在点x0处左导数〔右导数〕存在,且f′-〔x0〕=A〔或f′+〔x0〕=B〕.下面证明f〔x〕在点x=x0处左侧导数的情形.证明由于函数f〔x〕在〔a,x0]上连续,在〔a,x0〕内可导,显然函数f〔x〕在[x,x0]〔a,x0]上连续,在〔x,x0〕〔a,x0〕内可导,运用拉格朗日中值定理可得f′-〔x0〕=limx→x-0f〔x〕-f〔x0〕x-x0=limx→x-0f′〔ξ〕〔x-x0〕x-x0=limx→x-0f′〔ξ〕=limξ→x-0f′〔ξ〕=A,这里,由于ξ∈〔x,x0〕,所以有x→x-0ξ→x-0,即证得f〔x〕在点x0处左导数存在,且f′-〔x0〕=limx→x-0f′〔x〕=A.类似地,可以证明f〔x〕在点x=x0处右侧导数的情形.定理设函数f〔x〕在点x0的δ邻域内连续,在点x0的δ去心邻域内可导,假设f′〔x0-0〕和f′〔x0+0〕均存在,那么f′〔x0〕存在的充要条件是f′〔x0-0〕=f′〔x0+0〕,且f′〔x0〕=f′〔x0-0〕=f′〔x0+0〕.证明由函数在点x0处导数存在的充要条件是f′-〔x0〕与f′+〔x0〕存在,且f′-〔x0〕=f′+〔x0〕,根据引理有f′-〔x0〕=f′〔x0-0〕,f′+〔x0〕=f′〔x0+0〕,故在定理的条件下f′〔x0〕存在的充要条件是f′〔x0-0〕和f′〔x0+0〕相等.推论设函数f〔x〕在点x0的δ邻域内连续,在点x0的δ去心邻域内可导,假设f′〔x0-0〕和f′〔x0+0〕均存在且相等,那么f〔x〕的导函数在點x0处连续.证明因为f′〔x0-0〕=f′〔x0+0〕,所以limx→x0f′〔x〕存在,且limx→x0f′〔x〕=f′〔x0-0〕=f′〔x0+0〕.由定理可知f′〔x0〕存在且f′〔x0〕=f′〔x0-0〕=f′〔x0+0〕,即limx→x0f′〔x〕=f′〔x0〕.根据推论,可以断定不存在满足推论条件的函数,其导数具有第一类间断点.二、典型例题例1求函数f〔x〕=x2+ex,x≤0,x+cosx,x>0的导函数.分析因f〔x〕在点x=0处连续,且当x≠0时,f′〔x〕=2x+ex,x0.又limx→0-f′〔x〕=limx→0-〔2x+ex〕=1,limx→0+f′〔x〕=limx→0+〔1-sinx〕=1,即f′〔0-0〕=f′〔0+0〕=1.根据定理,f〔x〕在点x=0处可导,且f′〔0〕=f′〔0-0〕=f′〔0+0〕=1,解得f′〔x〕=2x+ex,x≤0,1-sinx,x>0.例2函数f〔x〕=ex,x≤0,ax2+bx+c,x>0在点x=0处的f″〔0〕存在,试确定a,b,c的值.分析因为函数在x=0处的二阶导数存在,所以f〔x〕和f′〔x〕在x=0处都要连续,因此,f〔0-0〕=f〔0+0〕=1,f′〔0-0〕=f′〔0+0〕=1,得c=1,b=1.又当x≠0时,f″〔x〕=ex,x0,由此得f″〔0-0〕=1,f″〔0+0〕=2a.根据定理,f″〔0〕存在的充要条件是f″〔0-0〕=f″〔0+0〕=2a=1,即a=12,综上,a=12,b=1,c=1.例3求函数f〔x〕=ln〔1-x2〕,x≤0,x2sin1x,x>0在点x=0处的导数.分析当x≠0时,由函数得f′〔x〕=-2x1-x2,x0,所以limx→0-f′〔x〕=0,limx→0+f′〔x〕不存在,但是f′-〔0〕=limx→0-ln〔1-x2〕x=0,f′+〔0〕=limx→0+x2sin1xx=0,所以f′〔0〕=0.例4討论函数f〔x〕=arctan1x,x≠0,0,x=0在x=0处的可导性【4】.分析当x≠0时,f′〔x〕=-11+x2,所以limx→0f′〔x〕=-1,但是limx→0f〔x〕=limx→0arctan1x不存在,即f〔x〕在x=0处不连续,显然f〔x〕在x=0处不可导.例1和例2说明,如果函数满足定理的条件,求分段点处的导数可不必用导数定义,尤其如例2,其解题方法比用导数定义要简练;而例3和例4说明,定理的运用应注意其适用的条件,即函数在分段点连续以及导函数在该点的左右极限存在且相等.三、结论特别对高职学生而言,分段函数的求导问题一直是个难点,原因在于分不清什么情况下可以直接求导,什么情况下又不可以直接求导.文中给出导数极限定理及其推论和证明,在理论上说明这一问题,对学生理解分段函数求导问题会有帮助.当然,导数定义方法和导数极限方法在不同的题型中各有千秋,譬如,当导函数极限并不简单时,导数极限方法反而更烦琐,而且导数极限方法也有其适用条件.【参考文献】【1】华东师范大学数学系.数学分析[M].北京:高等教育出版社,2021.方法的研究[J].数学学习与研究,2021〔15〕:107-108.方法[J].高等数学研究,2021〔3〕:20-22,43.【4】王禧宏.关于分段函数在分界点处导数问题的讨论[J].高等数学研究,1999〔3〕:13.。
导数压轴题分段函数
分段函数概念:如果一个函数,在其定义域内,对应自变量x在不同的取值范围内,函数有不同的对应关系(表达式),则称这样的函数为分段函数。
高中常见的分段函数如下图所示:【注】除次之外,分段函数的一些易错、易混知识点及解题技巧总结如下:(1)分段函数是一个函数,而不是多个函数。
(2)分段函数的定义域是各段自变量取值范围的并集,并且分段函数各段间的定义域的交集为空集。
(3)分段函数的值域是各段函数值域的并集。
分段函数在分段点处的导数求法
求分段函数在分段点处的导数:
1、概念:
分段函数是指在一定的区间内,表达式有不同的形式,形式由一些离散的分段点划分开,在这些离散的分段点上的导数称为分段函数的分段导数。
2、计算方法:
(1)在非分段点处,可以使用直接求导法求分段函数的导数。
(2)在分段点处,可以使用两个分段函数的斜率法求分段函数的分段导数。
斜率法求分段函数的分段导数时,只需将左右两个分段函数在分段点处取斜率(斜率相等),即可求得分段函数的导数。
3、示例:
以函数y=f(x)=x-1 为例,当x=0时,f(x)的分段点处的导数求法如下:(1)在x=0处,左函数斜率为f'(x)=1;右函数斜率为f'(x)=1,斜率相等,得f'(0)=1。
(2)在x=0处,用直接求导法求出f'(0)=1,与斜率法求出的f'(0)=1一致。
4、总结
分段函数在分段点处的导数可以用两种不同的方法求得:一种是用斜
率法,即求出两个分段函数在分段点处的斜率。
另一种是直接求导法,即直接求出函数函数在分段点处的导数。
x高中数学-分段函数及题型【解析】4x 3 (x0)例1 •求函数f(x)x 3 (0 x 1)的最大值.x 5 (x1)【解析】当x时,fmax(x)f(0)3,当 0 x 1 时,f max (X ) f (1) 4,当 x 1 时,x 51 5 4,综上有f max (x)4 .【经典例题赏析】例2.在同一平面直角坐标系中 x 0,f( x)(x)2( 1) x 2(x0, x 0, f( x)x)2( x1)任意 x R 都有 f( x)f (x),所以f(x)为偶函数.例4 •判断函数 f(x)x 3 x (x 0)2 x的单调性.(x 0)1) f (x),当 x2x (x 1) f (x)因此,对于函数y f(x)和y g(x)的图象关于直线 y x 对称,现将y g(x)的图象沿x 轴向左平移2个单位 ,再沿y 轴向上平移1个单位,所得的图象是由两条线段组成的折线 (如图所示),则函数f (x)的表达式为(B. C. 2x 2 (1x 0) x 22 (0x 2) y i f k2x 2 (1 x 0) 3'/x 2 2 (0x 2)2 “7 2x 2 (1 x 2)/x 21 (2 x 4) -2 -1o12x 6 (1 x 2)x2 3 (2 x 4)例3 •判断函数f(x)x 2(x 1)x 2(x(x 0) 的奇偶性.1)(x0)答案A.)f(x)f(x)f(x)► x D. f(x)【解析】显然f(x)连续.当x 0时,f (x) 3x 21 1恒成立,所以f(x)是单调递增函数,当x 0时,在R 上是单调递增函数 例5•写岀函数 f(x) |12x| |2 x|的单调减区间.3x 1 (x2)【解析】f (x)3 x (; x 2),画图易知单调减区间为(,;]3x 1(x 2)2 x 1 (x0)例6 •设函数f(X )1,若f (x 0) 1,则x 0得取值范围是()答案Dx 2(x 0)故选A 项.A.( 1,1)B.( 1,)C.( J2)(x1)2(x 1)例7 •设函数 f(x)4 - ,x 1(x 1)范围为()A •(,2] [0,10]B(0, ) D- ( , 1) (1,)则使得f (x) 1的自变量x 的取值 (,2] [0,1]f '(x)2x 0恒成立,f (x)也是单调递增函数所以f (x)在R 上是单调递增函数或画图易知f(x)C. ( , 2] [1,10]【解析】D. [ 2,0] [1,10]2当 x 1 时,f (X )1 (x 1)x 2或x 0 , 所以x2或 0 x 1 ,当 x 1 时,f(x) 14 、、x 1 1 1 3 x 10,所以1 x 10,综上所述x 2或 0 x 10,t 20,4.某商品在近30天内每件的销售价格(元)与时间(天)的函数关系是p t 100,该商品的日销售量 Q (件)与时间t (天)的函数关系是 Q t 40 (0 t 金额的最大值,并指岀日销售金额最大的一天是30天中的第几天?2、 针对性课堂训练x 的图象是1 .函数y 函数 A . B. C. y ig x ( 是偶函数,在区间是偶函数,在区间是奇函数,在区间是奇函数,在区间画岀函数y |x 3x 2( 4 3x 2(1 x(0, (0,,0)上单调递增 ,0)上单调递减)上单调递增 )上单调递减1| 1) 3)|2x3 1在区间[4,3)的图象0 t 25,t N, 25 t 30,t N.30, t N ),求这种商品的日销售。
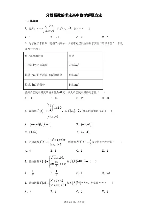
分段函数的求法高中数学解题方法一、单选题 1.若f (x )=,0,0x x x x ≥⎧⎨-<⎩,且f (x )=1,则x =( )A .1B .﹣1C .±1D .02.为了保护水资源,提倡节约用水,六安市对居民生活用水实行“阶梯水价”.假设计费方法如下:若某户居民本月交纳的水费为48元,求此户居民本月的用水量( ) A .13B .14C .15D .163.设函数()121,02,0x x f x x x ⎧⎛⎫≤⎪ ⎪⎪⎝⎭=⎨⎪>⎪⎩,若()02f x >,则0x 的取值范围是( ) A .()(),14,-∞-+∞ B .(),1-∞- C .()4,+∞D .()1,4-4.已知函数21,0()ln ,0x x f x x x ⎧-+≤=⎨>⎩,则使得1(())2f f x =成立的x 的个数为( )A .4B .3C .2D .15.已知函数()0,πcos ,0,3x f x xx ≤=⎨>⎪⎩则()()100f f -=( ) A .12-B .12C .1D .1-6.已知函数()21,1,1x e x f x x mx x ⎧+<=⎨+≥⎩若()04f f m ⎡⎤=⎣⎦,则实数m =( )A .0B .1C .2D .37.函数1(,0]()3(21)(1),(0,)xx f x a x a x ⎧⎛⎫∈-∞⎪ ⎪=⎨⎝⎭⎪-+-∈+∞⎩,在(),-∞+∞上是减函数,则a 的取值范围是( ) A .10,2⎛⎫ ⎪⎝⎭B .10,2⎡⎫⎪⎢⎣⎭C .1,2⎛⎤-∞ ⎥⎝⎦D .1,2⎛⎫+∞ ⎪⎝⎭8.已知函数,0(),0x e x f x mx m x ⎧≥=⎨+<⎩,在R 上单调递增,其中e 为自然对数的底数,那么当m 取得最大值时,关于x 的不等式()()ln f x m ≤的解集为( ) A .(,1]-∞B .(]1,1-C .(]0,eD .(1,]e -9.已知()()[)2,0,1log ,1,2aax x f x x x ⎧∈⎪=⎨∈⎪⎩,若()1f x =有两解,则a 的取值范围是( ) A .10,2⎛⎫ ⎪⎝⎭B .10,2⎛⎤ ⎥⎝⎦C .(]1,2D .()1,210.若f (x )=,13,1ax x x a x ⎧≥⎪⎨⎪-+<⎩是R 上的单调函数,则实数a 的取值范围是( )A .1,2⎛⎫-∞ ⎪⎝⎭B .12⎛⎫+∞⎪⎝⎭C .1,2⎛⎤-∞ ⎥⎝⎦D .12⎡⎫+∞⎪⎢⎣⎭11.已知函数()21,12,1x a x f x x ax a x ⎧-≤=⎨-+>⎩.若()1212,x x R x x ∀∈≠,都有()()12f x f x ≠,则实数a 的取值范围是( )A .()0,1B .(]1,3C .[]3,4D .(]1,4 12.已知函数21,70()ln ,x x f x x e x e-⎧+-≤≤=⎨≤<⎩,2()2g x x x =-,设a 为实数,若存在实数m ,使()2()0f m g a -=,则实数a 的取值范围为( )A .[1,)-+∞B .[1,3]-C . ][(,13,) -∞-⋃+∞D .(3],-∞13.已知函数ln ,1(),()(2),1xx x f x g x kx f xe x ≥⎧==+'⎨<⎩,对12,[3,3]x R x ∀∈∃∈-,使得12()()f x g x ≥成立,则k 的取值范围是( )A .11(,]36e -∞-- B .11[)36e ++∞, C .1111[,]3636e e --+ D .11(,]36e -∞--11[)36e ++∞, 14.已知函数()303{393log x x f x cosx x π<<=-≤≤,,,若存在实数1234x x x x ,,,,当1234x x x x <<<时,满足()()()()1234f x f x f x f x ===,则1234x x x x +++的取值范围是( ) A .2573⎛⎫ ⎪⎝⎭,B .[257)3,C .46143⎡⎫⎪⎢⎣⎭,D .46143⎛⎫ ⎪⎝⎭,15.设函数2cos ,10()23,02x x x f x ax x a x --≤≤=+-<≤⎪⎩,若()f x 在区间[]1,2-上是单调函数,则 A .12a ≥-B .1123a -≤≤ C .13a ≥D .102a -≤<或0a >二、多选题16.已知ln 2,0()12,02x x x f x x ->⎧⎪=⎨-≤⎪⎩,存在实数m 满足()12(())12f m f f m ++=,则( )A .()0f m ≤B .()f m 可能大于0C .(,1]m ∈-∞-D .(2(,1]0,e m ⎤∈-∞-⋃⎦17.函数1()()0()x f x x ⎧=⎨⎩为有理数为无理数, 则下列结论正确的是( )A .()f x 是偶函数B .()f x 的值域是{0,1}C .方程(())f f x x =的解为1x =D .方程(())()f f x f x =的解为1x =第II 卷(非选择题)请点击修改第II 卷的文字说明三、填空题18.设函数()ln ,01,0x x f x x x >⎧=⎨-<⎩,若()1f m =,则实数m =______.19.已知函数()2121,1()log ,1x x f x x x ⎧-≤⎪=⎨>⎪⎩,若()02f x =-,则0x =___________.20.已知函数2log ,2()(034,2xx x f x a a a x ≥⎧=>⎨-+<⎩且1)a ≠,若((2))2f f =,则实数a 的值为______.21.已知函数221,0()log ,0x x f x x x -⎧-=⎨>⎩,若1()14f a f ⎛⎫+= ⎪⎝⎭,则实数a 的值为__________. 22.已知函数0()1,0x f x x x >=+≤⎪⎩,若m n <,()()f m f n =,则n m -的取值范围是________.23.设集合10,2A ⎡⎫=⎪⎢⎣⎭,1,12B ⎡⎤=⎢⎥⎣⎦,函数()()1,221,x x A f x x x B⎧+∈⎪=⎨⎪-∈⎩,若()()0f f x A ∈,则0x 的取值范围是__________.24.已知函数()2log 1,033x x f x x ⎧-<≤⎪=>,则使不等式()12f x f ⎛⎫> ⎪⎝⎭成立的x 的取值范围为______.25.已知R a ∈,函数24,2()3,2,x x f x x a x ⎧->⎪=⎨-+≤⎪⎩若3f f ⎡⎤=⎣⎦,则a =___________. 26.11,1,()3,1x a x x f x a x ⎧⎛⎫-+<⎪ ⎪=⎝⎭⎨⎪≥⎩满足:对任意12x x ≠都有()()12120f x f x x x -<-成立,a 的取值范围________.27.已知函数21e ,0,()e,0x x x f x x m x ⎧+>⎪=⎨⎪-+<⎩的图象上存在两个点关于y 轴对称,则实数m 的取值范围为___________. 28.若函数2log ,2()(034,2xx x f x a a a x ≥⎧=>⎨-+<⎩1)a ≠,的值域为R ,则实数a 的取值范围是__________.29.已知函数()||f x x x a =--,若对任意的1(2,)x ∈+∞,都存在2(1,0)x ∈-,使得()()124f x f x ⋅=-,则实数a 的最大值为_________.30.已知函数22()4f x x x ax =---在区间(,2)-∞-和(2,)+∞上均单调递增,则实数a 的取值范围是________.31.已知函数220()log 0x x f x x x ⎧≤=⎨>⎩.(1) 解不等式:()0x f x ⋅≤;(2) 当(,]x m ∈-∞时,()f x 的最大值为1,求实数m 的取值范围; (3) 对于满足(2)的任意实数x 及m 的值,使得关于x 的不等式2()(2)310f x m k m k ≤--+-恒成立,求实数k 的取值范围.32.设0a >,(),3313,333x a a x a f x x a x a x a ⎧+-<<⎪=⎨+≤-≥⎪⎩或,若()()1f x f x -<恒成立,则实数a 的取值范围是______.33.已知函数()()2214,3441518,3tx x f x tx t x t x -⎧⎛⎫-<⎪ ⎪=⎨⎝⎭⎪-+-+-≥⎩,数列{}n a 的通项公式为()()*N n a f n n =∈,若数列{}n a 是单调递减数列,则实数t 的取值范围是_________.34.已知0a >且0a ≠,函数223,2()1log ,2a x x x f x x x ⎧-+≤=⎨+>⎩存在最小值,则(4)f a 的取值范围为__________.四、双空题35.已知函数()2212,033,0x x f x x x x +≤⎧=⎨-->⎩,则()1f f =⎡⎤⎣⎦_______,若()5f a =-,则a =______.36.若函数12,0()2,0x x x f x x ⎧⎪≥=⎨⎪<⎩,则((1))f f -=_________,若1()2f a =,则a =________.37.设函数ln(2),1()24,1x x f x x x +≥-⎧=⎨--<-⎩,当()1f a =时,a =_______;如果对于任意实数R 都有()2f x b ≥成立,那么实数b 的取值范围是_________.超过x 的最大整数.例如:[ 2.1]3-=-,[3.1]3=.已知函数()()|1|3[]f x x x =--[)0,2x ∈,若5()2f x =,则x =________;不等式()f x x ≤的解集为________. 39.若函数2,11,()ln ,1.x x f x x x a -⎧-≤<=⎨≤≤⎩①当2a =时,若()1f x =,则x =__________.②若()f x 的值域为[0,2],则a 的取值范围是__________. 40.已知函数[][]()sin,1,12f x x x x π=+∈-.其中[]x 表示不超过x 的最大整数,例如[][]3.54,2.12-=-=.(1)函数()f x 是_________函数(奇偶性);(2)函数()f x 的值域是________.五、解答题41.已知函数()()()221(12)22x x f x x x x x ⎧+≤-⎪=-<<⎨⎪≥⎩.(1)求()3f 、()()2ff -的值;(2)若()10f a =,求a 的值. 42.已知函数1,0()2,0xx x f x x +≤⎧=⎨>⎩(1)若1()()12f x f x +->,求x 的取值范围;(2)若21,()2x f x x b ∀∈≥-+R 恒成立,求b 的取值范围.43.已知()f x x x a b =-+,x ∈R .(1)当1a =、0b =时,判断()f x 的奇偶性,并说明理由; (2)当1a =、1b =时,若()2log 3f x =,求x 的值.44.已知函数22,2()2,2x x f x x x ≤⎧=⎨+>⎩(1)若0)(8f x =,求0x 的值; (2)解不等式()8f x >.45.设函数()1 ,01(1),11x x a af x x a x a⎧≤≤⎪⎪=⎨⎪-<≤⎪-⎩,其中a 为常数且()0,1a ∈.新定义:若0x 满足()()00ff x x=,但()00f x x ≠,则称0x 为()f x 的回旋点.(1)当12a =时,分别求13f f ⎛⎫⎛⎫ ⎪ ⎪⎝⎭⎝⎭和45f f ⎛⎫⎛⎫ ⎪ ⎪⎝⎭⎝⎭的值; (2)当(],1x a ∈时,求函数(())y f f x =的解析式,并求出()f x 回旋点; (3)证明函数()f x 在[]0,1x ∈有且仅有两个回旋点,并求出回旋点12,x x . 46.已知函数()3,0ln ,0x x f x x x e-<⎧=⎨<<⎩的值域为M ,函数()()142x x g x x M +=-∈.(Ⅰ)求M ;(Ⅱ)当x M ∈时,若函数()()142xx h x b b R +=--∈有零点,求b 的取值范围,并讨论零点的个数.47.已知函数2()22,()2|1|f x x tx t g x x =-+-=-,函数()min{(),()}F x f x g x =,其中{},min ,.,p p qp q q p q≤⎧=⎨>⎩ (1)若()24f x t ≥-恒成立,求实数t 的取值范围; (2)若6t ≥,①求使得()()F x f x =成立的x 的取值范围; ②求()F x 在区间[0,6]上的最大值()M t . 48.已知()f x x x a =-,0a >.(1)当2a =时,求函数()f x 在[]1,3-上的最大值;(2)对任意的1x ,[]21,1x ∈-都有()()124f x f x -≤成立,求实数a 的取值范围.参考答案1.C 【分析】分段讨论即可求出. 【详解】解:当x ≥0时,f (x )=x ,由f (x )=1,得x =1, 当x <0时,f (x )=﹣x ,由f (x )=1,得1x =-. 综上,x =±1. 故选:C . 2.B 【分析】根据阶梯水价,结合题意进行求解即可. 【详解】当用水量为312m 时,水费为12336⨯=,而本月交纳的水费为48元,显然用水量超过312m , 当用水量为318m 时,水费为36(1812)672+-⨯=,而本月交纳的水费为48元,所以本月用水量不超过318m ,所以有(4836)62-÷=,因此本月用水量为312214m +=, 故选:B 3.A 【分析】分别在00x ≤和00x >的情况下,根据解析式构造不等式,解不等式求得结果. 【详解】当00x ≤时,()0001222x x f x -⎛⎫==> ⎪⎝⎭,01x ∴->,解得:01x <-;当00x >时,()12002f x x ==>,解得:04x ;综上所述:0x 的取值范围为()(),14,-∞-+∞.故选:A. 4.B 【分析】令()f x t =,由()12f t =得到12t =-,2t =()1f x t =和()2f x t =,得到x 的值,从而得到答案.【详解】令()f x t =,则()12f f x =⎡⎤⎣⎦的零点,转化为()12f t =,而21,0()ln ,0t t f t t t ⎧-+≤=⎨>⎩,由21120t t ⎧-+=⎪⎨⎪≤⎩,解得12t =-(正值舍), 由1ln 20t t ⎧=⎪⎨⎪>⎩,解得2t =, 所以()1f x t ==,即0x ≤时,21x -+=,得12(1)x =-+(正值舍), 0x >时,ln x =x e =, ()2f x t ==即0x ≤时,21x -+,得x 无解,0x >时,ln x =,得x = 所以()12f f x =⎡⎤⎣⎦有3个零点. 故选:B. 【点睛】关键点睛:本题考查求复合函数的零点,关键在于通过换元法,区分内外层函数,逐层求解,属于中档题. 5.A 【分析】直接代入,先求()100f -,再求()()100f f -.【详解】由题意知()10010f -==,则()()()10π4ππ10010coscos cos π333f f f ⎛⎫-====+ ⎪⎝⎭π1cos 32=-=-.故选:A【点睛】求分段(复合)函数函数值的方法步骤: (1)找到给定自变量所在的区间; (2)将自变量带入解析式求解. 6.C 【分析】根据分段函数的解析式,先求出()02f =,再根据()04f f m ⎡⎤=⎣⎦可得答案. 【详解】因为函数()21,1,1x e x f x x mx x ⎧+<=⎨+≥⎩,所以()0012f e =+=,所以()()02424f f f m m ⎡⎤==+=⎣⎦, 解得2m =, 故选:C. 7.B 【分析】依题意,当0x >时,(21)))((1a x x a f =-+-为减函数,再比较分段点处函数值大小,即可得答案. 【详解】依题意()f x 在R 上为减函数,所以02101()13a a -<⎧⎪⎨≥-⎪⎩,解得102a ≤<, 故选:B. 8.B 【分析】首先根据函数()f x 的单调性求得01m <≤,从而确定m 的最大值为1,接着确定函数()f x 的解析式,接着分类讨论()()ln 1f x ≤的解集即可.解:因为函数()f x 在R 上单调递增,则有000m m m e>⎧⎨⨯+≤⎩,解得01m <≤,所以m 的最大值为1,此时,0()1,0x e x f x x x ⎧≥=⎨+<⎩,令()()ln 1f x ≤,解得()0f x e <≤,当0x <时,01x e <+≤,解得11x e <≤-﹣,所以10x -<<, 当0x ≥时,0x e e <≤,解得01x ≤≤, 综上,不等式的解集为(]1,1-, 故选:B. 【点睛】本题主要考查根据分段函数的单调性求参数的取值范围,处理这类问题主要是每一段上的单调性要考虑,还要考虑两段的端点值进行比较大小才能最后确定函数的单调性. 9.D 【分析】解方程()1f x =,根据该方程有两解可得出关于a 的不等式组,由此可得出实数a 的取值范围. 【详解】由题意可知0a >且1a ≠.当12x ≤<时,由()log 1a f x x ==,可得x a =; 当01x <<时,由()21f x ax ==,可得x =由于方程()1f x =有两解,则1201a ≤<⎧⎪⎨<<⎪⎩,解得12a <<. 因此,实数a 的取值范围是()1,2. 故选:D. 10.D由()a f x x =在[1,+∞)上单调递减且131aa ≤-+可解得结果. 【详解】因为函数()3f x x a =-+在(,1)-∞上是单调递减的,又()f x =,13,1ax xx a x ⎧≥⎪⎨⎪-+<⎩是R 上的单调函数, 所以()af x x =在[1,+∞)上单调递减,即a >0, 并且131a a ≤-+,解得12a ≥.综上所述,a 的取值范围为1[,)2+∞.故选:D 【点睛】易错点点睛:解答本题时易只考虑两段上的单调性,忽视分界点处函数值之间的大小关系或者考虑到了函数值之间的大小关系,但是忽视了取等号的情况而导致结果错误. 11.B 【分析】首先可得函数()f x 在R 上是增函数,然后保证函数()f x 在每一段都是增函数,同时要注意上、下段间端点值之间的大小关系,由此列出不等式组,进而可解得结果. 【详解】依题意可知,函数()f x 在R 上是增函数,则11412a a a >⎧⎪⎪≤⎨⎪-≤⎪⎩,解得13a.故选:B . 【点睛】方法点睛:对于分段函数的单调性,有两种基本的判断方法:一是保证各段上同增(减)时,要注意上、下段间端点值之间的大小关系;二是画出这个分段函数的图象,结合函数图象、性质进行直观的判断. 12.B先根据已知条件求解出()f x 的值域以及()g x 的最小值,然后根据题意得到224a a -与()f x 值域的端点的大小关系,由此求解出a 的取值范围.【详解】因为2()2g x x x =-,a 为实数,所以22()24g a a a =-, 因为224y a a =-,所以当1a =时,y 的最小值为2-, 因为函数21,70()ln ,x x f x x e x e-⎧+-≤≤=⎨≤≤⎩的图象如下图,且2(7)6,()2,()1f f e f e --==-=,所以结合图象可知()f x 值域为[2,6]-,因为存在实数m ,使()2()0f m g a -=,所以22246a a -≤-≤,即13a -≤≤, 故选:B .【点睛】结论点睛:若[]1,x a b ∀∈,[]2,x c d ∃∈,有()()12f x g x =,则()f x 的值域是()g x 值域的子集. 13.D 【分析】由题知,()()min min g x f x ≤,先求出()min f x ,再对k 分类讨论求出范围. 【详解】 1x >时,()ln f x x =()1f x x '∴=∴()122f '=∴1()2g x kx =+12,[3,3]x R x ∀∈∃∈-,使得12()()f x g x ≥成立()()min min g x f x ∴≤对函数ln ,1(),1xx x f x xe x ≥⎧=⎨<⎩当1x >时,()ln f x x =,此时()min 0f x = 当1x <时,()x f x xe =()(1)x f x x e '∴=+令()(1)0x f x x e '+==得1x =- 当1x <-时,()0f x '<,()f x 单调递减 当1x >-时,()0f x '>,()f x 单调递增所以1x =-为极小值点,此时1(11)f e e-=-=--故()min 1f x e=- 当0k =,1()2g x =不合题意; 当0k >,()()min 1332g x g k =-=-+所以1132k e -+≤-,解得1136k e ≥+ 当0k <,()()min 1332g x g k ==+所以1132k e +≤-,解得1136k e ≤--综上得11(,]36k e ∈-∞--11[)36e ++∞, 故选:D. 14.D 【分析】画出函数()303{393log x x f x cosx x π<<=-≤≤,,的图像, 令()()()()1234f x f x f x f x a ====,作出直线y a =,分析1234x x x x ,,,所在的区间,结合对数函数,余弦函数的性质,可得1234x x x x +++的取值范围.【详解】解:画出函数()303{393log x x f x cosx x π<<=-≤≤,,的图像如图,令()()()()1234f x f x f x f x a ====,作出直线y a =, 当3x =时,(3)cos 1f π=-=,当9x =时,(9)cos31f π=-=, 由图像可知,当01a <<时,直线与()f x 有4个交点, 且1234013 4.59x x x x <<<<<<<<,则:3132log x log x =,可得3132log x log x =-,121=x x , 由()3y cos x π=-的图像关于直线6x =对称,可得3412x x +=,可得1234x x x x +++=2221211)3(x x x ++<<, 设2222121()13()g x x x x =++<<,由对勾函数性质可得其在(1,3)区间上单调递增,当21x =时,123414x x x x +++=, 当23x =时,1234463x x x x =+++, 故可得1234x x x x +++的取值范围是46143⎛⎫ ⎪⎝⎭,, 故选:D. 【点睛】本题主要考查分段函数的性质、对数函数与余弦函数的图像与性质,考查数形结合的数学思想,属于中档题. 15.B 【分析】因为()cos f x x x =-在[1,0]-单调递增,所以2()23f x ax x a =+-在(0,2]也是单调递增,且31a -≥-,解不等式组,即可得到本题答案. 【详解】当10x -≤≤时,()cos 2sin ,1,6666f x x x x x ππππ⎛⎫⎡⎤=-=--∈--- ⎪⎢⎥⎝⎭⎣⎦,所以此时函数()f x 在区间[1,0]-上单调递增,因为()f x 在区间[1,2]-上是单调函数,所以2()23f x ax x a =+-在区间(0,2]上单调递增,当0a >时,对称轴10x a=-<,此时()f x 在(0,2]上单调递增,且需满足31a -≥-,得103a <≤;当0a =时,()2,(0,2]f x x x =∈,符合题意;当0a <时,对称轴10x a=->,此时()f x 在(0,2]上单调递增,且需满足3112a a-≥-⎧⎪⎨-≥⎪⎩,得102a -≤<;综上得,1123a -≤≤. 故选:B 【点睛】本题主要考查分段函数的单调性问题,涉及到分类讨论的方法. 16.AD 【分析】若()0>f m ,将()f m 代入上支函数,可得(())f f m =ln[()]2f m -,结合题意,可得()f m 的范围,同理若()0f m ≤,将()f m 代入下支函数,又可解得()f m 范围,根据()f m 范围,再分别讨论0m ≤,0m >,将m 代入不同方程,即可得答案. 【详解】由()12(())12f m f f m ++=,可得()1(())22f m f f m =-. 若()0>f m ,则()1ln[()]222f m f m -=-, .ln 1≤-x x ,2x x >,.ln 23x x -≤-,112122xxx -<-<-, .1ln 23122x x x x -≤-<-<-, .方程无解;若()0f m ≤,2(())1f f m +()12(2)+1=2f m =-()12f m +, 故只需解()0f m ≤即可, 当0m ≤时,由1()202mf m =-≤,解得1m ≤-; 当0m >时,由()ln 20f m m =-≤,解得20e m <≤.综上所述,当(2(,1]0,e m ⎤∈-∞-⋃⎦时,()0f m ≤,满足()12(())12f m f f m ++=. 故选:AD . 【点睛】本题考查复合函数求解析式、函数与方程的综合应用及分段函数的应用,难点在于根据题意得到不同的(())f f m 的表达式,再进行求解,综合性较强,考查分析理解,求值计算的能力,分类讨论的思想,属中档题. 17.ABC 【分析】逐项分析判断即可. 【详解】当x-为有理数时,x也为有理数∴()1f x-=当x-为无理数时,x也为无理数∴()0f x-=∴1()()0()xf xx⎧-=⎨⎩为有理数为无理数∴()()f x f x-=()f x∴是偶函数,A对;易知B对;1x=时,()((1))11f f f==∴C对(())()f f x f x=的解为全体有理数∴D错故选:ABC.【点睛】本题综合考查分段函数的奇偶性判断、值域、解方程等,要求学生能灵活应用知识解题,难度较大.18.e【分析】当0m>时,()ln1f m m==,当0m<时,()11f m m=-=,分别解出m的值,再验证.【详解】函数ln,0,()1,0,x xf xx x>⎧=⎨-<⎩∴当0m>时,()ln1f m m==,解得m e=,当0m<时,()11f m m=-=,解得0m=(舍),∴实数m e=.故答案为:e.19.4【分析】根据题意,由函数的解析式分01x ≤与01x >两种情况讨论,求出0x 的值,即可得答案. 【详解】根据题意,函数()2121,1()log ,1x x f x x x ⎧-≤⎪=⎨>⎪⎩,当01x ≤时,()()20012f x x =-=-,无解;当01x >时,()0102log 2f x x ==-,解可得04x =,符合题意,故04x =, 故答案为:4. 20.2 【分析】根据分段函数解析式计算可得; 【详解】 解:因为2log ,2()(034,2xx x f x a a a x ≥⎧=>⎨-+<⎩且1)a ≠,((2))2f f = 所以2log (2)21f ==,则((2))(1)342f f f a a ==-+=,解得2a =. 故答案为:2. 21.:8或2- 【分析】根据分段函数解析式先求出1()4f 的值,然后分类讨论解方程即可求a 的值. 【详解】因为221,0()log ,0x x f x x x -⎧-=⎨>⎩,所以22211()log log 2244f -===-, 又因为()f a 1()14f +=,所以()f a 11()1(2)34f =-=--=.若0a >,由()3f a =得2log 3a =,解得8a =;若0a ≤,由()f a 3=得213a --=,即24a -=,2a ∴-=,2a =-, 综上8a =或2a =-. 故答案为:8或2-. 【点睛】方法点睛:求分段函数的函数值,要先确定要求值的自变量属于哪一段区间,然后代入该段的解析式求值 ,当给出函数值求自变量的值时,先假设所求的值在分段函数定义区间的各段上,然后求出相应自变量的值. 22.3,14⎡⎤⎢⎥⎣⎦【分析】先利用已知条件,结合图象确定,m n 的取值范围,设()()f m f n t ==,即得到n m -是关于t 的二次函数,再求二次函数的取值范围即可. 【详解】先作函数0()1,0x f x x x >=+≤⎪⎩图象如下:由图可知,若m n <,()()f m f n =,设()()f m f n t ==,则(]0,1t ∈,0m n ≤<,由()1f m m t =+=知,1m t =-;由()f n t ==知,2n t =;故()222131124n m t t t t t ⎛⎫-=--=-+=-+ ⎪⎝⎭,(]0,1t ∈,故12t =时,n m -最小值为34,1t =时,n m -最大值为1,故n m -的取值范围是3,14⎡⎤⎢⎥⎣⎦.故答案为:3,14⎡⎤⎢⎥⎣⎦. 【点睛】本题解题关键是数形结合,通过图象判断,m n 的取值范围,才能分别找到,m n 与相等函数值t 的关系,构建函数求值域来突破难点. 23.15,48⎛⎫⎪⎝⎭【分析】采用换元法,令()0f x t =,分别在t A ∈和t B ∈两种情况下求得t 的范围,进而继续通过讨论0x A ∈和0x B ∈来求得结果. 【详解】令()0f x t =,则()f t A ∈. .若t A ∈,则()12f t t =+,11022t ∴≤+<,解得:102t -≤<,不满足t A ∈,舍去;.若t B ∈,则()()21f t t =-,()10212t ∴≤-<,解得:314t <≤,即()0314f x <≤, 若0x A ∈,则()0012f x x =+,031142x ∴<+≤,解得:01142x <≤,011,42x ⎛⎫∴∈ ⎪⎝⎭; 若0x B ∈,则()()0021f x x =-,()032114x ∴<-≤,解得:01528x ≤<,015,28x ⎡⎫∴∈⎪⎢⎣⎭. 综上所述:0x 的取值范围为15,48⎛⎫⎪⎝⎭. 故答案为:15,48⎛⎫⎪⎝⎭. 【点睛】思路点睛:求解复合函数()()f g x 类型的不等式或方程类问题时,通常采用换元法,令()g x t =,通过求解不等式或方程得到t 满足的条件,进一步继续求解x 所满足的条件.24.1,32⎛⎤⎥⎝⎦【分析】利用分段函数,列出不等式,分类求解即可. 【详解】211log 1222f ⎛⎫=-= ⎪⎝⎭,由()12f x f ⎛⎫<⎪⎝⎭得,当03x <≤时,由2log 12x -<,得132x <≤;当3x >2<,此时无解. 综上所述,不等式()12f x f ⎛⎫<⎪⎝⎭的解集为1,32⎛⎤⎥⎝⎦. 故答案为:1,32⎛⎤⎥⎝⎦. 【点睛】本题考查不等式的解法,考查分段函数的应用,考查计算能力,属于中档题. 25.2 【分析】由题意结合函数的解析式得到关于a 的方程,解方程可得a 的值. 【详解】()()642233f ff f a ⎡⎤=-==-+=⎣⎦,故2a =, 故答案为:2.26.12,33⎛⎤⎥⎝⎦【分析】先判断出()y f x =为减函数,列不等式组,解出a 的范围. 【详解】因为对任意12x x ≠都有()()12120f x f x x x -<-成立,不妨设12x x <,则有()()12f x f x >,所以()y f x =为减函数,所以需满足:1103011113a a a a ⎧-<⎪⎪⎪<<⎨⎪⎛⎫⎪-⨯+≥ ⎪⎪⎝⎭⎩,解得:1233a <≤.则a 的取值范围12,33⎛⎤ ⎥⎝⎦.故答案为:12,33⎛⎤ ⎥⎝⎦【点睛】由分段函数(数列)单调性求参数的取值范围的方法: (1)分段函数的每一段都单调; (2)根据单调性比较端点函数值的大小. 27.()2,+∞ 【分析】根据偶函数的性质可得函数()1e exxg x =+和函数()2h x x m =-+存在两个交点,再结合函数的单调性得()()00h g >,由此可得出结论. 【详解】解:∵函数21e ,0,()e,0x x x f x x m x ⎧+>⎪=⎨⎪-+<⎩的图象上存在两个点关于y 轴对称, 构造定义在R 上的函数()1e exx g x =+和函数()2h x x m =-+, 易得函数()g x 和函数()h x 均为偶函数, ∴函数()g x 和函数()h x 在R 上存在两个交点, ∴函数()g x 和函数()h x 在()0,∞+上存在一个交点,又函数()g x 在()0,∞+上单调递增,函数()h x 在()0,∞+上单调递减, ∴()()max min h x g x >,即()()00h g >,即112m >+=,故答案为:()2,+∞. 28.1[,1)3【分析】先求出当2x ≥时,()f x 的范围,再由()f x 的值域为R ,列不等式组,解出a 的范围. 【详解】当2x ≥时,2log 1x ≥. 因为()f x 的值域为R ,所以只需201341a a a <<⎧⎨-+≥⎩,解得113a ≤<. 故答案为1[,1)3. 29.1 【分析】当2a ≥时,问题转化为当2(1,0)x ∈-时,()()20,f x ∈+∞,由于2(1,0)x ∈-,()()()()20,10,1f f a x ∈-=+,矛盾,故不满足;当02a <<时,问题转化为当2(1,0)x ∈-时,()220,2a f x -⎛⎫∈ ⎪-⎝⎭,由于2(1,0)x ∈-,()()()()20,10,1f f a x ∈-=+,进而得212a a -≤+-,解不等式(]0,1a ∈,进而得实数a 的最大值 【详解】解:当2a ≥时,取绝对值得()(),,(),,x x a x a f x x x a x a x x a --≥⎧⎪=--=⎨--<⎪⎩,作出函数()f x 的图像如图1,此时,1(2,)x ∈+∞,()(]1,0f x ∈-∞,故对任意的1(2,)x ∈+∞,都存在2(1,0)x ∈-,使得()()124f x f x ⋅=-成立则需满足()()20,f x ∈+∞,由于2(1,0)x ∈-,()()()()20,10,1f f a x ∈-=+,显然不满足,; 当02a <<时,函数图像如图2所示,此时,1(2,)x ∈+∞,()()1,42x a f ∈-∞-+,故对任意的1(2,)x ∈+∞,都存在2(1,0)x ∈-,使得()()124f x f x ⋅=-成立则需满足()220,2a f x -⎛⎫∈ ⎪-⎝⎭,由于2(1,0)x ∈-,()()()()20,10,1f f a x ∈-=+,所以当212a a -≤+-时,才能满足对任意的1(2,)x ∈+∞,都存在2(1,0)x ∈-,使得()()124f x f x ⋅=-成立,整理不等式212a a -≤+-得:20a a -≤,解得:[]0,1a ∈, 由于02a <<,所以(]0,1a ∈.由于所求为实数a 的最大值,故不需要再讨论0a ≤的情况.所以,若对任意的1(2,)x ∈+∞,都存在2(1,0)x ∈-,使得()()124f x f x ⋅=-,则实数a 的最大值为1. 故答案为:1 【点睛】本题考查分段函数的分类讨论思想,化归转化思想,考查综合分析问题与解决问题的能力,是中档题.本题解题的关键在于分2a ≥时和02a <<时两种情况分别讨论求解. 30.08a <≤ 【分析】设2()4g x x ax =--,求出函数()g x 的两个零点12,x x ,且12x x <,将函数()f x 化为分段函数,分类讨论a ,当0a ≤时,可知函数()f x 在区间(,2)-∞-上不可能单调递增;当0a >时,根据1x 的范围可知恒满足函数()f x 在区间(,2)-∞-上单调递增,根据解析式可知()f x 在[,)4a+∞上单调递增,再由24a≤可解得结果. 【详解】设2()4g x x ax =--,其判别式2160a ∆=+>,所以函数()g x 一定有两个零点, 设函数()g x 的两个零点为12,x x ,且12x x <,由240x ax --=得1x =2x =,所以函数2()|()|f x x g x =-=121224,,24,4,ax x x x ax x x x ax x x+<⎧⎪--≤≤⎨⎪+>⎩,①当0a ≤时,()f x 在1(,)x -∞上单调递减或为常函数,从而()f x 在(,2)-∞-不可能单调递增,故0a >,②当0a >时,12a x =02a <=,1222a x +=+4022a +==>,所以12x >-,所以120x -<<,因为()f x 在1(,)x -∞上单调递增,所以()f x 在(,2)-∞-上也单调递增,因为()f x 在2[,]4a x 和2(,)x +∞上都单调递增,且函数的图象是连续的,所以()f x 在[,)4a+∞上单调递增, 欲使()f x 在(2,)+∞上单调递增,只需24a≤,得8a ≤, 综上所述:实数a 的取值范围是08a <≤. 故答案为:08a <≤ 【点睛】关键点点睛:求解关键有2个:①利用2()4g x x ax =--的零点将函数()f x 化为分段函数;②分类讨论a ,利用分段函数的单调性求解. 31.(1) 1x ≤;(2) [0,2];(3) [4,)+∞. 【分析】(1) 分段函数需分段讨论;(2) 先求方程()1f x =的实根,在结合函数的单调性求解; (3) 利用分离参数的方法,转化为函数的最大值问题. 【详解】(1) 当0x ≤时,由()20x x f x x ⋅=⋅≤得,0x ≤;当0x >时,由2()log 0x f x x x ⋅=⋅≤得,2log 0x ≤,解得01x <≤. 综上可知,不等式()0x f x ⋅≤的解集为{}|1x x ≤.(2) 解()1f x =得0x =或2x =,又函数2x y =为增函数,所以当0x <时,()21xf x =<,2log y x =为增函数,所以当2x >时,()1f x >,当02x <≤时,()1f x ≤,故若(,]x m ∈-∞时,()f x 的最大值为1,则m 的取值范围为[]0,2.(3)在(2)的条件下,有()1f x ≤恒成立,若2()(2)310f x m k m k ≤--+-恒成立, 只需2(2)3101m k m k --+-≥,对[]0,2m ∈恒成立.整理得22113m m k m+-≥--,令3t m =-,有[]1,3t ∈,3m t =-,()()23231148t t k t t t -+--⎛⎫≥-=-++ ⎪⎝⎭,又44t t +≥=,当且仅当2t =时等号成立, 所以48484t t ⎛⎫-++≤-+= ⎪⎝⎭,故4k ≥, 所以k 的取值范围为[)4,+∞. 32.10,8⎛⎫ ⎪⎝⎭【分析】作出()y f x =,()1y f x =-的大致图象,由()()1f x f x -<恒成立,利用数形结合可得到关于a 的不等式()91a a ---<,解不等式即可得解. 【详解】(),3,33,313,3313,3333x a a x ax a a x a x a a x a f x x a x a x a x a x a x a ---<<-⎧⎧+-<<⎪+-≤<⎪⎪==⎨⎨+≤-≥⎪⎪+≤-≥⎩⎪⎩或或作出函数()y f x =的图像,向右平移一个单位得到()1y f x =-的图像,如图所示.要使()()1f x f x -<恒成立,必有()91a a ---<,即18a <, 又0a >,所以108a <<. 故答案为:10,8⎛⎫ ⎪⎝⎭【点睛】关键点点睛:求解本题的关键是正确作出函数()f x 的大致图象,然后根据函数()y f x =与()1y f x =-的图象的关系,数形结合判段a 的取值范围,考查学生的逻辑思维能力、运算求解能力,属于较难题. 33.12,1⎛⎫ ⎪⎝⎭【分析】由分段函数及复合函数单调性的性质,可得t 的取值范围.再由分段函数单调性的性质,及数列的自变量取值特征,即可确定t 的取值范围. 【详解】数列{}n a 的通项公式为()()*N n a f n n =∈,若数列{}n a 是单调递减数列函数()()2214,3441518,3tx x f x tx t x t x -⎧⎛⎫-<⎪ ⎪=⎨⎝⎭⎪-+-+-≥⎩当03,*n n N <<∈时, ()2144tn n a f n -⎛⎫==- ⎪⎝⎭.由复合函数单调性性质可知2y tn =-为单调递增函数.则0t >;当3,*n n N ≥∈时,()()241518n a f n tn t n t ==-+-+-为单调递减,则()04722t t t >⎧⎪-⎨-<⎪⨯-⎩,解得12t >当2n =时222144t a -⎛⎫=- ⎪⎝⎭,当3n =时, ()3934151836a t t t t =-+-+-=-.因为数列{}n a 是单调递减数列所以满足2214364t t -⎛⎫->- ⎪⎝⎭恒成立而当1t =时,2214364t t -⎛⎫-=- ⎪⎝⎭, 22144t y -⎛⎫=- ⎪⎝⎭单调递减,36y t =-单调递增由函数性质可知2214364t t -⎛⎫->- ⎪⎝⎭的解集为1t <由以上可得t 满足0121t t t >⎧⎪⎪>⎨⎪<⎪⎩,所以112t <<.即1,12t ⎛⎫∈ ⎪⎝⎭故答案为:1,12⎛⎫⎪⎝⎭【点睛】本题考查了数列的函数性质,分段函数单调性的综合应用,由数列的单调性求参数的取值范围.注意数列与函数的取值范围区别,不等式边界的选取也是解决问题的关键,属于难题. 34.[4,)+∞ 【解析】当2x ≤时.()()222312f x x x x =-+=-+,当且仅当1x =时.()f x 取得最小值2.当2x >时,若01a <<.则()1log 22a f x <+<.显然不满足题意.若1a >.要使()f x 存在最小值,必有1log 22a +≥.解得12a <≤.即448a <≤.()()4141log 42log 42log a a f a a a =+=+=+.由410log 2a <≤.可得212log a ≥.可得()44f a ≥.故答案为[)4,+∞. 35.2172或1或2利用函数解析式由内到外逐层计算可得()1f f ⎡⎤⎣⎦的值;分0a ≤和0a >解方程()5f a =-,综合可得出实数a 的值. 【详解】()2212,033,0x x f x x x x +≤⎧=⎨-->⎩,则()11335f =--=-,则()()1510122f f f ⎡⎤=-=-+=⎣⎦;当0a ≤时,()2125f a a =+=-,解得172a =-,合乎题意; 当0a >时,()2335f a a a =--=-,可得2320a a ,解得1a =或2.综上所述,172a =-或1或2. 故答案为:2;172或1或2.36.21-或14【分析】根据分段函数定义计算,注意自变量的取值范围,在已知1()2f a =求a 时要分类讨论. 【详解】121(1)2f --==,所以1211((1))()22f f f ⎛⎫-=== ⎪⎝⎭1()2f a =,若122x=,1x =-,符合题意,若1212x =,14x =也符合题意.故答案为:2;1-或14.37.2e -或52- (],1-∞- 【分析】分类讨论将a 代入()f x 进行求值即可,再根据恒成立问题的解法求得()f x 的最小值即可得解.若1a ≥-可得()ln(2)1f a a =+=, 所以2a e =-,满足题意, 若1a <-,()241f a a =--=, 所以52a =-,满足题意, 当1x ≥-,ln(2)0x +≥, 当1x <-,242x -->-, 根据题意可得22b -≥,所以1b ≤-. 故答案为:2e -或52-;(],1-∞-. 38.163,24⎡⎫⎪⎢⎣⎭【分析】第一空:”根据“高斯函数”的定义,可得33,01()22,12x x f x x x -≤<⎧=⎨-≤<⎩,进而再分类讨论建立方程求值即可;第二空:分类讨论建立不等式求解即可. 【详解】由题意,得33,01()22,12x x f x x x -≤<⎧=⎨-≤<⎩, 当01x ≤<时,5332x -=,即16x =; 当12x ≤<时,5222x -=,即94x =(舍),综上16x =;当01x ≤<时,33x x -≤,即314x ≤<,当12x ≤<时,22x x -≤,即12x ≤<, 综上,324x ≤<. 故答案为:16;3,24⎡⎫⎪⎢⎣⎭.关键点睛:求解分段函数相关问题的关键是“分段归类”,即应用分类讨论思想.39.①0 ②2]. 【分析】.1)若当x 11x -≤<时,()1f x =,则21x -=,则0x =若当12x ≤<时,()1f x =,则x e =,舍去. (2)当x 11x -≤<,()f x 的值域为1,22⎛⎤⎥⎝⎦,所以为使得值域为[]0,2,则ln x 的值能取到10,2⎡⎤⎢⎥⎣⎦内的所有值,且值域不能超出[]0,2.【详解】.1)分段讨论:若当x 11x -≤<时,()1f x =,则21x -=,则0x =若当12x ≤<时,()1f x =,则1lnx =,则x e =,不在定义域范围内,所以舍去 因此0x =(2)当x 11x -≤<,()f x 的值域为1,22⎛⎤⎥⎝⎦, 为使得值域为[]0,2,则ln x 的值域能取到10,2⎡⎤⎢⎥⎣⎦内的所有值,且值域不能超出[]0,2.所以122e a e ≤≤ ,即2a e ⎤∈⎦【点睛】本题考查分段函数定义域与值域的求解,关键分清自变量取值对值域取值的影响,属于难题. 40.非奇非偶 (){}1,12-⋃ 【分析】根据函数奇偶性定义,可判断函数[][]()sin ,1,12f x x x x π=+∈-是非奇非偶函数,再根据三角函数值域,可分段求解函数值域. 【详解】 (1)(1)110,(1)112f f -=-+==+=函数()f x 既不是奇函数,也不是偶函数.(2)由题意得[)(]1sin ,1,02()sin ,0,122,1x x xf x x x ππ⎧--∈-⎪⎪⎪=∈⎨⎪=⎪⎪⎩当[)1,0x ∈-时,函数()f x 是减函数,(0)()(1)f f x f <≤-得1()0f x -<≤; 当()0,1x ∈时,函数()f x 是增函数,(0)()(1)f f x f ∴<<,得0()1<<f x ; 当1x =时,()2f x =.综上得函数()f x 的值域为(){}1,12-⋃. ....:①非奇非偶;② (){}1,12-⋃ 【点睛】本题考查具体函数的奇偶性定义,和新函数的值域求法,综合性较强,有一定难度. 41.(1)()36f =,()()20f f -=;(2)5. 【分析】(1)根据分段函数的解析式,代入计算可得答案; (2)分类讨论,代入求解可得a 的值. 【详解】(1)因为()()()221(12)22x x f x x x x x ⎧+≤-⎪=-<<⎨⎪≥⎩,所以()3236,f =⨯=()2220,f -=-+=则()()200f f f -==⎡⎤⎣⎦.(2)当 1a ≤-时,()210f a a =+=,解得8a =(舍);当1?2a -<<时,()210f a a ==,则a =;当2a ≥时,()210f a a ==,则5a =. 所以a 的值为5. 42.(1)14x >-;(2)12b ≤.【分析】(1)根据分段函数的表达式,分别讨论x 的取值范围,进行求解即可;(2)根据分段函数的表达式,分别讨论x 的取值范围,求出21()2f x x +的最小值,即可求得的b 取值范围. 【详解】(1)若0x ≤,则1122x -≤-,则1()()12f x f x +->等价为11112x x ++-+>,解得14x >-,此时014x -<≤;当0x >时,()21x f x =>,1122x ->-, 当102x ->即12x >时,满足1()()12f x f x +->恒成立,当11022x -<-≤,即102x <≤时,1111()12222f x x x -=-+=+>,此时1()()12f x f x +->恒成立.综上所述:14x >-. (2)若21,()2x f x x b ∀∈≥-+R 恒成立,即2min 1[()]2b f x x ≤+.令21()()2g x f x x =+, 当0x ≤时,22211111()()1(1)22222g x f x x x x x =+=++=++≥, 当0x >时,2211()()222x g x f x x x =+=+在(0,)+∞上单调递增,所以()(0)1g x g >=, 综上,21()()2g x f x x =+的最小值是12,所以12b ≤. 43.(1)非奇非偶函数;(2)x 的值为4 【分析】(1)根据题意得出()1f x x x =-,然后得出()f x -与()f x -,再根据奇函数与偶函数性质即可得出结果;(2)根据题意将()2log 3f x =转化为22log log 120x x --=,然后分为2log 1x ≥、2log 1x <两种情况进行讨论,即可得出结果.【详解】(1)当1a =、0b =时,()1f x x x =-, 则()11f x x x x x -=---=-+,()1f x x x -=--, 因为()()f x f x ≠-,()()f x f x -≠-, 所以函数()f x 是非奇非偶函数.(2)当1a =、1b =时,()11f x x x =-+,()2log 3f x =,即22log log 113x x -+=,22log log 120x x --=,若2log 1x ≥,即2x ≥,()22log log 120x x --=,()222log log 20x x --=,()()22log 2log 10x x -+=,解得2log 2x =或2log 1x =-(舍去),即4x =; 若2log 1x <,即02x <<,()22log 1log 20x x --=,()222log log 20x x -+=,无解,综合所述,x 的值为4. 【点睛】关键点点睛:定义域关于y 轴对称的函数()f x ,若函数()f x 满足()()f x f x =-,则函数()f x 是偶函数,若函数()f x 满足()()f x f x -=-,则函数()f x 是奇函数.44.(1)0x =;(2){|>x x .【分析】(1))当02x ≤时,根据解析式求出0x ,当02x >时,求出对应的0x ,判断0x 是否符合要求,进而即可求解.(2)根据分段函数对x 进行分类讨论,分别求出2x ≤和2x >时的满足()8f x >的范围,进而求解即可.【详解】(1)当02x ≤时,由02=8x ,得04x =,不符合题意;当02x >时,由2028+=x,得0x0x =(舍去),故0x (2)()8f x >等价于228x x ≤⎧⎨>⎩ ——①或2228x x >⎧⎨+>⎩——②解①得x φ∈,解②得>x综合①②知()8f x >的解集为{|>x x .【点睛】本题考查了分段函数的应用,考查了运算求解能力和逻辑推理能力,分类讨论的数学思想,属于一般题目. 45.(1)12(())33f f =,4455f f ⎛⎫⎛⎫= ⎪ ⎪⎝⎭⎝⎭ (2)()()2221(),1(1)1(1),11(1)x a a x a a a f f x x a a x a a ⎧-<<-+⎪-⎪=⎨⎪--+≤≤⎪-⎩;211x a a =-++是()f x 的回旋点(3)见解析,121a x a a =-++,2211x a a =-++. 【分析】(1)利用函数解析式即可求出13f f ⎛⎫⎛⎫ ⎪ ⎪⎝⎭⎝⎭和45f f ⎛⎫⎛⎫ ⎪ ⎪⎝⎭⎝⎭的值; (2)由1a x <≤得出()()111f x x a=--,讨论21a x a a <<-+和211a a x -+≤≤时,()()f f x 的解析式,即可得出当(],1x a ∈时,函数(())y f f x =的解析式;再根据题设中回旋点的定义,分段讨论,得出()f x 回旋点;(3)将0x a ≤≤分成20x a ≤≤和2a x a <≤两种情况进行讨论,得出[]0,x a ∈内()f x 的回旋点,结合(2)中得出的(],1x a ∈内()f x 的回旋点,即可证明函数()f x 在[]0,1x ∈有且仅有两个回旋点. 【详解】解:(1)当12a =时,()()1 2,02121,12x x f x x x ⎧≤≤⎪⎪=⎨⎪-<≤⎪⎩∴121222(),(())()2(1)333333f f f f ==-== 44221555f ⎛⎫⎛⎫=⨯-= ⎪ ⎪⎝⎭⎝⎭ ∴422425555f f f ⎛⎫⎛⎫⎛⎫==⨯= ⎪ ⎪⎪⎝⎭⎝⎭⎝⎭(2)f x 中[]0,1x ∈时,值域也是0,1又1a x <≤,()0,1a ∈()()111f x x a∴=-- 由()1111a x a<-≤-,得21a x a a <<-+ ∴当21a x a a <<-+时,()()21111(1)()11(1)f f x x x a a a a ⎡⎤=--=-⎢⎥---⎣⎦ 同理,当211a a x -+≤≤时,()10()11f x x a a≤=-≤- ()()f f x ∴=()()111111(1)x x a a a a ⎡⎤⨯-=-⎢⎥--⎣⎦∴当(],1x a ∈时,()()2221(),1(1)1(1),11(1)x a a x a a a f f x x a a x a a ⎧-<<-+⎪-⎪=⎨⎪--+≤≤⎪-⎩当21a x a a <<-+,由21()(1)x a x a -=-得12x a=∈-2(,1)a a a -+ 1111(1)2122f a a a a ⎛⎫∴=-= ⎪----⎝⎭,故12x a =-不是()f x 的回旋点. 当211a a x -+≤≤时, 由()11(1)x x a a -=-得211x a a =∈-++]2(1,1a a -+。
高数学习之分段函数导数计算方式1 分段函数的概念分段函数(Piecewise Function)是一类常见的函数,它的定义域和值域都是实数集,它可以被划分为多个区段,每个区段上函数有着不同的函数表达式,若选取一点,其左右可以存在不同的函数表达式,亦可称为分段函数。
求解分段函数的导数,即求解分段函数在某点处的斜率,需要先将分段函数表示为两个函数,分别在该点左右求导数,然后再根据定义求出该点处的斜率。
2求解分段函数导数的方法(1)根据定义,当分段函数有如下形式时:y={a1x+b1,for x/epsilon[a,b]a2x+b2,for x/epsilon(b,c]其中,a1,a2,b1,b2是实数,且a1≠a2,则a1和a2分别作为x/epsilon[a,b]和x/epsilon(b,c]时,分段函数的导数分别为:a1、a2。
(2)当分段函数有如下形式时:y={ax+b,for x/epsilon[a,b]c,for x/epsilon(b,c]其中,a,b,c是实数,且a≠0,则当x/epsilon[a,b]时,分段函数的导数为:a,当x/epsilon(b,c]时,分段函数的导数为:0。
(3)如果分段函数不符合上述的函数形式,则可以用辨识函数表结合极限数学的思想来求解。
在定义域中选择一点x=x0,将该点位于函数不同区段上两端,用值函数表求出左右两点的函数值;分别求出从左右两点追忆到该点x0的切线斜率m1、m2;然后比较m1、m2的大小,可以求得x=x0时分段函数的导数。
3分段函数的应用分段函数拥有丰富的用途,其中一个比较重要的用途是将复杂的函数表示为更简单的函数表达式,使得运算更加简单,计算量降低,提高计算效率。
在统计分析领域,分段函数可用于表示聚类过程中某类别群体的分布;在数学几何领域,分段函数作为非线性函数,可用于求解各类微分方程、动力方程、椭圆方程和积分的问题;在机械运动学领域,常会用分段函数表示运动物体的位置函数或者速度函数,用以表示运动物体在特殊时间内的位置和速度状态;而在控制系统设计中,分段函数常被用来根据控制对象的特征回应,来调整控制量,从而实现连续控制。
分段函数练习题一、基本概念与性质分段函数是在定义域上由两个或多个不同的函数定义组成的函数。
每一段函数都有自己的定义域,并且定义域之间没有交集。
分段函数常常用来描述具有不同运算规则的情况,例如在不同区间内的变化情况。
对于一个分段函数,我们可以通过以下几个方面来进行分析和求解:1. 定义域与值域由于分段函数是由多个函数定义组成的,因此其定义域是各个函数定义域的并集。
而值域则是各个函数值域的交集。
2. 函数的表达式对于分段函数,我们通常采用条件表达式的形式来表示。
例如:$$f(x) = \begin{cases}x + 1, & x \geq 0 \\x^2, & x < 0\end{cases}$$3. 导数与不连续点由于分段函数是由多个函数组成的,因此在不同的区间内,函数的导数可能不同。
我们可以通过分别求解每个函数的导数来得到整个分段函数的导数。
此外,分段函数的不连续点通常发生在不同函数定义域的交界处。
在这些交界点,我们需要仔细考虑函数在该点的取值情况,以确定函数在该点的连续性。
二、练题1. 求解定义域与值域给定以下分段函数:$$f(x) = \begin{cases}x + 3, & x < -2 \\2x^2, & -2 \leq x \leq 1 \\\sqrt{x}, & x > 1\end{cases}$$求解该函数的定义域与值域。
2. 求解导数与不连续点给定以下分段函数:$$g(x) = \begin{cases}3x + 1, & x < -1 \\x^2, & -1 \leq x < 0 \\2x - 1, & x \geq 0\end{cases}$$求解该函数的导数及不连续点。
3. 综合练给定以下分段函数:$$h(x) = \begin{cases}x^2 + 1, & x < -1 \\3 - x, & -1 \leq x < 2 \\\sqrt{x}, & x > 2\end{cases}$$(1)求解该函数的定义域与值域。
分段函数的例题及方法
分段函数是指函数的定义域被划分成若干个子区间,在每个子区间上,函数的表达式可以不同。
下面给出一个分段函数的例题及解题方法。
例题:设函数f(x)如下定义:
当x≤0时,f(x)=x^2;
当0<x≤1时,f(x)=2x;
当x>1时,f(x)=3x-1。
解题方法:
首先确定函数的定义域,根据题目给出的条件,可以得知函数的定义域为实数集R。
然后根据定义域的范围,将整个实数轴分成几个子区间,根据题目给出的条件,确定每个子区间上的函数表达式。
1. 当x≤0时,使用第一个函数表达式:f(x)=x^2;
2. 当0<x≤1时,使用第二个函数表达式:f(x)=2x;
3. 当x>1时,使用第三个函数表达式:f(x)=3x-1。
综上所述,根据题目给出的条件和定义域的范围,可以得出函数f(x)的表达式为:
当x≤0时,f(x)=x^2;
当0<x≤1时,f(x)=2x;
当x>1时,f(x)=3x-1。
这就是该分段函数的表达式及解题方法。
分段函数求导步骤分段函数求导是高等数学中的一个重要知识点,它在微积分、物理学、工程学等领域中都有广泛的应用。
本文将从分段函数求导的基本概念、求导规则和实例三个方面进行详细介绍。
一、基本概念分段函数是指在定义域内,函数的表达式不同于不同的区间。
例如,f(x) = {x^2, x < 0; x, x ≥ 0}就是一个分段函数。
在求导时,需要分别对不同的区间进行求导。
二、求导规则1. 对于分段函数f(x) = {g(x), x < a; h(x), x ≥ a},若g(x)和h(x)在x = a处可导,则f(x)在x = a处可导,且f'(a) = g'(a)(x < a)或f'(a) = h'(a)(x ≥ a)。
2. 对于分段函数f(x) = {g(x), x < a; h(x), x = a; k(x), x > a},若g(x)、h(x)和k(x)在x = a处可导,且g'(a) = h'(a),则f(x)在x = a处可导,且f'(a) = g'(a) = h'(a) = k'(a)。
3. 对于分段函数f(x) = {g(x), x < a; h(x), x = a; k(x), x > a},若g(x)、h(x)和k(x)在x = a处可导,且g'(a) ≠ h'(a)或h'(a) ≠ k'(a),则f(x)在x = a处不可导。
三、实例1. 求f(x) = {x^2, x < 0; x, x ≥ 0}在x = 0处的导数。
根据求导规则,可得f'(0) = 0。
2. 求f(x) = {x^2, x < 1; 2x - 1, x ≥ 1}在x = 1处的导数。
由于f(x)在x = 1处不连续,因此需要分别对x < 1和x ≥ 1的区间进行求导。
求分段函数的导数
例 求函数0,00,1sin)(2xxxxxf的导数
分析:当0x时因为)0(f存在,所以应当用导数定义求)0(f,当
0x
时,)(xf的关系式是初等函数xx1sin2,可以按各种求导法同求它
的导数.
解:当0x时,01sinlim1sinlim)0()(lim)0(0200xxxxxxfxffxxx
当0x时,
xxxxxxxxxxxxx
xxf1cos1sin2)1cos1(1sin2)1(sin1sin)()1sin()(22222
说明:如果一个函数)(xg在点0x连续,则有)(lim)(00xgxgxx,但如
果我们不能断定)(xf的导数)(xf是否在点00x连续,不能认为
)(lim)0(0xffx
.
指出函数的复合关系
例 指出下列函数的复合关系.
1.mnbxay)(;2.32lnxey;
3.)32(log322xxy;4.)1sin(xxy。
分析:由复合函数的定义可知,中间变量的选择应是基本函数的
结构,解决这类问题的关键是正确分析函数的复合层次,一般是从最
外层开始,由外及里,一层一层地分析,把复合函数分解成若干个常
见的基本函数,逐步确定复合过程.
解:函数的复合关系分别是
1.nmbxauuy,;
2.2,3,lnxevvuuy;
3.32,log,322xxvvuyu;
4..1,sin,3xxvvuuy
说明:分不清复合函数的复合关系,忽视最外层和中间变量都是
基本函数的结构形式,而最内层可以是关于自变量x的基本函数,也
可以是关于自变量的基本函数经过有限次的四则运算而得到的函数,
导致陷入解题误区,达不到预期的效果.
求函数的导数
例 求下列函数的导数.
1.43)12(xxxy;2.2211xy;
3.)32(sin2xy;4.21xxy。
分析:选择中间变量是复合函数求导的关键.必须正确分析复合
函数是由哪些基本函数经过怎样的顺序复合而成的,分清其间的复合
关系.要善于把一部分量、式子暂时当作一个整体,这个暂时的整体,
就是中间变量.求导时需要记住中间变量,注意逐层求导,不遗漏,
而其中特别要注意中间变量的系数.求导数后,要把中间变量转换成
自变量的函数.
解:1.解法一:设43,12uyxxxu,则
).116()12(4)116(42233223xxxxxxxuuyy
xux
解法二:xxxxxxxxxy121241233343
.116124223xxxxx
2.解法一:设22121,xuuy,则
.21)21(2 212 42121 4212223223223xxxxxxxxuuyyxux=
解法二:212221211xxy
.21)21(2)21(2)4()21(2121)21(21222322322232xxxxxxxxx
3.解法一:设32,sin,2xvvuuy,则
.324sin2 232cos32sin2 2cos2x
xx
vuvuyy
xvux
解法二:32sin32sin232sin2xxxy
.324sin2 232cos32sin2 3232cos32sin2 x
xx
xxx
4.解法一:.1422xxxxy设4221,xxuuy,则
.1211)21(2 )42()(21 )42(21222242332142321xxxxxxxxxxxxxxxxuuyyxux
解法二:)1(1)1(222xxxxxxy
.12111 22222xxxxx
说明:对于复合函数的求导,要注意分析问题的具体特征,灵活
恰当地选择中间变量,不可机械照搬某种固定的模式,否则会使确定
的复合关系不准确,不能有效地进行求导运算.学生易犯错误是混淆
变量或忘记中间变量对自变量求导.
求复合函数的导数
例 求下列函数的导数(其中)(xf是可导函数)
1.xfy1;2.).1(2xfy
分析:对于抽象函数的求导,一方面要从其形式上把握其结构特
征,另一方面要充分运用复合关系的求导法则。先设出中间变量,再
根据复合函数的导数运算法则进行求导运算。一般地,假设中间变量
以直接可对所设变量求导,不需要再次假设,如果所设中间变量可直
接求导,就不必再选中间变量。
解:1.解法一:设xuufy1),(,则
.111)(22xfxxufuyy
xux
解法二:.111112xfxxxfxfy
2.解法一:设1,),(2xvvuufy,则
).1(1 21121)1( 221)(222221xf
x
x
xxxxf
xvufvuyy
xuux
解法二:)1()1()1(222xxfxfy
).1(1.2)1()1()1()1(21)1(22212222122xf
x
x
xxxf
xxxf
说明:理解概念应准确全面,对抽象函数的概念认识不足,显示
了一种思维上的惰性,导致判断复合关系不准确,没有起到假设中间
变量的作用。其次应重视))((xf与))((xf的区别,前者是对中间变
量)(x的求导,后者表示对自变量x的求导.