高中数学 定积分练习与解析1 苏教版选修2-2
- 格式:doc
- 大小:194.00 KB
- 文档页数:5
一、选择题1.12201x dx -=⎰( )A .12πB .3128π+ C .368π+ D .364π+2.直线4y x =与曲线3y x =在第一象限内围成的封闭图形的面积为( ) A .22B .42C .2D .43.如图,由曲线21y x =-直线0,2x x ==和x 轴围成的封闭图形的面积是( )A .1B .23C .43D .24.设1130,,a xdx b xdx c x dx ===⎰⎰⎰,则,,a b c 的大小关系为( )A .b c a >>B .b a c >>C .a c b >>D .a b c >>5.对于函数()sin x f x x =, 30,2x π⎛⎤∈ ⎥⎝⎦,下列说法错误的是( ) A .函数()f x 在区间()0,π是单调函数 B .函数()f x 只有1个极值点 C .函数()f x 在区间0,2π⎛⎫⎪⎝⎭有极大值 D .函数()f x 有最小值,而无最大值 6.曲线xy e =在点(0,1)处的切线与坐标轴所围三角形的面积为( ) A .12B .1C .2D .3 7.定积分220[4(2)]x x dx --⎰的值为( )A .24π- B .2π- C .22π- D .48π-8.())122011d x x x --⎰的值是( )A .π143- B .π14- C .π123- D .π12-9.若向区域(){},|0101x y x y Ω=≤≤≤≤,内投点,则该点落在由直线y x =与曲线y = )A .18B .16C .13D .1210.函数()2,02x x f x x -<⎧⎪=≤≤,则22()f x dx -⎰的值为( )A .6π+B .2π-C .2πD .811.函数0()(4)xf x t t dt =-⎰在[1,5]-上( )A .有最大值0,无最小值B .有最大值0,最小值323-C .最小值323-,无最大值 D .既无最大值,也无最小值12.=⎰( )A .1B .4π C .2π D .π二、填空题13.若2211S x dx =⎰,2211S dx x=⎰,231x S e dx =⎰,则1S ,2S ,3S 的大小关系为___.14.)2x dx =⎰______.15.设函数2y nx n =-+和1122y x n =-+(*n N ∈,2n ≥)的图像与两坐标轴围成的封闭图形的面积为n S ,则lim n n S →∞=________ 16.若112lim 22n nn n n t t +-→+∞-=+ ,则实数t 的取值范围是_____________.17.曲线2yx x 和2y x x 所围成的封闭图形的面积是_______.18.曲线()sin 0πy x x =≤≤与x 轴围成的封闭区域的面积为__________. 19.()40sin cos 2x a x dx π-=⎰,则实数a =____________. 20.从如图所示的正方形OABC 区域内任取一个点M (x ,y ),则点M 取自阴影部分的概率为__.三、解答题21.已知二次函数()f x 满足(0)0f =,且对任意x 恒有(1)()22f x f x x +-=+. (1)求()f x 的解析式;(2)设函数()()'()g x f x f x λ=-,其中'()f x 为()f x 的导函数.若对任意[0,1]x ∈,函数()y g x =的图象恒在x 轴上方,求实数λ的取值范围.22.设点P 在曲线y =x 2上,从原点向A (2,4)移动,如果直线OP ,曲线y =x 2及直线x =2所围成的面积分别记为S 1、S 2.(1)当S 1=S 2时,求点P 的坐标;(2)当S 1+S 2有最小值时,求点P 的坐标和最小值. 23.已知函数2()11xf x x =++,2()e (0)ax g x x a =<. (1)求函数()f x 的单调区间.(2)若对任意1x ,2[0,2]x ∈,12()()f x g x ≥恒成立,求a 的取值范围.24.设函数()32,0{,0xx x x f x axe x ->=≤,其中0a >. (1)若直线y m =与函数()f x 的图象在(]0,2上只有一个交点,求m 的取值范围; (2)若()f x a ≥-对x ∈R 恒成立,求实数a 的取值范围. 25.计算下列各式的值. (1) ()0sin cos d x x x π-⎰;(2)2132d x x x +-⎰.26.已知函数()xae f x x x=+.(1)若函数()f x 的图象在(1,(1))f 处的切线经过点(0,1)-,求a 的值;(2)是否存在负整数a ,使函数()f x 的极大值为正值?若存在,求出所有负整数a 的值;若不存在,请说明理由;(3)设0a >,求证:函数()f x 既有极大值,又有极小值【参考答案】***试卷处理标记,请不要删除一、选择题 1.B 解析:B 【分析】令21y x =-,则()2210x y y +=≥,点(),x y 的轨迹表示半圆,则该积分表示该半圆与y 轴,12x =,x 轴围成的曲边梯形的面积,求出面积即可. 【详解】解:令21y x =-,则()2210x y y +=≥,点(),x y 的轨迹表示半圆,12201x dx -⎰表示以原点为圆心,2为半径的圆的上半圆与y 轴,12x =,x 轴围成的曲边梯形的面积,如图:故12201131311222612OAB BOCx dx SS ππ-=+=⨯⨯⨯=+扇形. 故选:B. 【点睛】本题考查定积分的几何意义,属基础题.2.D解析:D 【解析】直线4y x =与曲线3y x =的交点坐标为(0,0)和(2,8), 故直线4y x =与曲线3y x =在第一象限内围成的封闭图形的面积23242001(4)2|8444S x x dx x x ⎛⎫=⎰-=-=-= ⎪⎝⎭.故选D .3.D解析:D 【解析】由曲线21y x =-直线0,2x x ==和x 轴围成的封闭图形的面积是122201(1)(1)S x dx x dx =---⎰⎰31320111281()|()|2133333x x x x -+-=+--+ 4.D解析:D 【解析】根据微积分定理,3120022|33a x ⎛⎫=== ⎪⎝⎭,1210011|22b xdx x ⎛⎫=== ⎪⎝⎭⎰,13410011|44c x dx x ⎛⎫=== ⎪⎝⎭⎰,所以a b c >>,故选择D 。
1.5.2 定积分明目标、知重点 1.了解定积分的概念,会用定义求定积分.2.理解定积分的几何意义.1.定积分的概念一般地,设函数f(x)在区间[a ,b]上有定义,将区间[a ,b]等分成n 个小区间,每个小区间长度为Δx(Δx =b -an ),在每个小区间上取一点,依次为x 1,x 2,…,x i ,…,x n .作和S n =f(x 1)Δx +f(x 2)Δx +…+f(x i )Δx +…+f(x n )Δx ,如果当Δx→0(亦即n→+∞)时,S n →S(常数),那么称常数S 为函数f(x)在区间[a ,b]上的定积分,记为:S =ʃb a f(x)dx , 其中,f(x)称为被积函数,[a ,b]称为积分区间,a 称为积分下限,b 称为积分上限. 2.定积分的几何意义一般地,定积分ʃb a f(x)dx 的几何意义是,在区间[a ,b]上曲线与x 轴所围图形面积的代数和.(即x 轴上方的面积减去x 轴下方的面积)探究点一 定积分的概念思考1 分析求曲边梯形的面积和变速直线运动的路程,找一下它们的共同点.答 两个问题均可以通过“分割、以直代曲、作和、逼近”解决,都可以归结为一个特定形式和的逼近.思考2 怎样正确认识定积分ʃb a f(x)dx?答 (1)定积分ʃb a f(x)dx 是一个数值.它的值仅取决于被积函数与积分上、下限,另外ʃb a f(x)dx 与积分区间[a ,b]息息相关,不同的积分区间,所得值也不同.(2)函数f(x)在区间[a ,b]上连续这一条件是不能忽视的,它保证了定积分的存在(实际上,函数连续是定积分存在的充分条件,而不是必要条件).例1 利用定积分的定义,计算ʃ10x 3dx 的值.解 令f(x)=x 3. (1)分割在区间[0,1]上等间隔地插入n -1个分点,把区间[0,1]等分成n 个小区间[i -1n ,i n ](i =1,2,…,n),每个小区间的长度为Δx =i n -i -1n =1n.(2)以直代曲、作和 取ξi =in(i =1,2,…,n),则ʃ10x 3dx≈S n =∑ni =1f(i n)·Δx=∑ni =1 (i n)3·1n=1n 4∑n i =1i 3=1n 4·14n 2(n +1)2=14(1+1n )2. (3)逼近n→+∞时,14⎝⎛⎭⎫1+1n 2→14. ∴ʃ10x 3dx =14. 反思与感悟 (1)利用定积分定义求定积分的数值仍然是“分割、以直代曲、作和、逼近”这一过程,需要注意的是在本题中将以直代曲、作和一起作为步骤(2),从而省略了解题步骤. (2)从过程来看,当f(x)≥0时,定积分就是区间对应曲边梯形的面积. 跟踪训练1 用定义计算ʃ21(1+x)dx.解 (1)分割:将区间[1,2]等分成n 个小区间⎣⎡⎦⎤1+i -1n ,1+i n (i =1,2,…,n),每个小区间的长度为 Δx =1n.(2)以直代曲、作和:在⎣⎡⎦⎤1+i -1n ,1+in 上取点ξi =1+i -1n (i =1,2,…,n),于是f(ξi )=1+1+i -1n =2+i -1n ,从而得∑i =1n f (ξi )Δx =∑i =1n (2+i -1n )·1n =∑i =1n ⎝⎛⎭⎫2n +i -1n 2=2n ·n +1n 2[0+1+2+…+(n -1)] =2+1n 2·n(n -1)2=2+n -12n.(3)逼近:n→+∞时,S n =∑i =1n f (ξi )Δx→2+12=52.因此ʃ21(1+x)dx =52. 探究点二 定积分的几何意义思考1 从几何上看,如果在区间[a ,b]上函数f(x)连续且恒有f(x)≥0,那么ʃb a f(x)dx 表示什么?答 当函数f(x)≥0时,定积分ʃb a f(x)dx 在几何上表示由直线x =a ,x =b(a<b),y =0及曲线y =f(x)所围成的曲边梯形的面积.思考2 当f(x)在区间[a ,b]上连续且恒有f(x)≤0时,ʃb a f(x)dx 表示的含义是什么?若f(x)有正有负呢?答 如果在区间[a ,b]上,函数f(x)≤0时,那么曲边梯形位于x 轴的下方(如图①). 由于b -a n >0,f(ξi )≤0,故f(ξi )b -an≤0.从而定积分ʃb a f(x)dx≤0,这时它等于如图①所示曲边梯形面积的相反值,即ʃb a f(x)dx =-S.当f(x)在区间[a ,b]上有正有负时,定积分ʃba f(x)dx 表示介于x 轴、函数f(x)的图象及直线x=a ,x =b(a≠b)之间各部分面积的代数和(在x 轴上方的取正,在x 轴下方的取负).(如图②),即ʃb a f(x)dx =-S 1+S 2-S 3.例2 利用几何意义计算下列定积分: (1)ʃ3-39-x 2dx ;(2)ʃ3-1(3x +1)dx.解 (1)在平面上y =9-x 2表示的几何图形为以原点为圆心,以3为半径的上半圆, 其面积为S =12·π·32.由定积分的几何意义知ʃ3-39-x 2dx =92π.(2)由直线x =-1,x =3,y =0,以及y =3x +1所围成的图形,如图所示:ʃ3-1(3x +1)dx 表示由直线x =-1,x =3,y =0以及y =3x +1所围成的图形在x 轴上方的面积减去在x 轴下方的面积,∴ʃ3-1(3x +1)dx =12×(3+13)×(3×3+1)-12(-13+1)×2=503-23=16. 反思与感悟 利用几何意义求定积分,关键是准确确定被积函数的图象,以及积分区间,正确利用相关的几何知识求面积.不规则的图象常用分割法求面积,注意分割点的准确确定. 跟踪训练2 根据定积分的几何意义求下列定积分的值:(1)ʃ1-1xdx ;(2)ʃ2π0cos xdx ;(3)ʃ1-1|x|dx.解 (1)如图(1),ʃ1-1xdx =-A 1+A 1=0. (2)如图(2),ʃ2π0cos xdx =A 1-A 2+A 3=0.(3)如图(3),∵A 1=A 2,∴ʃ1-1|x|dx =2A 1=2×12=1. (其中A 1,A 2,A 3分别表示图中相应各处面积)1.定积分ʃ31(-3)dx =________. 答案 -62.定积分ʃb a f(x)dx 的大小,以下说法正确的是________. ①与f(x)和积分区间[a ,b]有关,与ξi 的取法无关 ②与f(x)有关,与区间[a ,b]以及ξi 的取法无关 ③与f(x)和ξi 的取法有关,与区间[a ,b]无关 ④与f(x)、积分区间[a ,b]和ξi 的取法都有关 答案 ①3.根据定积分的几何意义,用不等号连结下列式子:①ʃ10xdx________ʃ10x 2dx ; ②ʃ204-x 2dx________ʃ202dx.答案 ①> ②<解析 ①当x ∈[0,1]时,x>x 2,由定积分的几何意义知ʃ10xdx>ʃ10x 2dx ; ②当ʃ204-x 2dx 对应的面积为半圆,小于ʃ202dx 对应的矩形的面积,所以ʃ204-x 2dx<ʃ202dx.4.用定积分的几何意义求定积分ʃ502(x -2)dx.解 因ʃ502(x -2)dx =2ʃ50(x -2)dx ,所以作出直线y =x -2在区间[0,5]的图象,在区间[0,2]上图象在x 轴下方,在区间[2,5]上图象在x 轴上方,设线段在x 轴下方和在x 轴上方与坐标轴组成的面积分别为S 1,S 2,由定积分的几何意义,得ʃ50(x -2)dx =S 2-S 1=12×32-12×22=52,所以ʃ502(x -2)dx =5. [呈重点、现规律] 1.定积分ʃb a f(x)dx是一个和式 i =1nb -anf(ξi )当n→+∞时逼近的一个值,是一个常数. 2.可以利用“分割、以直代曲、作和、逼近”求定积分;对于一些特殊函数,也可以利用几何意义求定积分.一、基础过关1.将曲边y =e x ,x =0,x =2,y =0所围成的图形面积写成定积分的形式__________.答案 ʃ20e xdx2.定积分ʃ323tdx(t 为大于0的常数)的几何意义是____________________________________. 答案 由直线y =3t ,x =2,x =3,y =0所围成的矩形的面积3.由曲线y =x 2-4,直线x =0,x =4和x 轴围成的封闭图形的面积(如图)是________.答案 ʃ40|x 2-4|dx4.设a =ʃ10x 13dx ,b =ʃ10x 2dx ,c =ʃ10x 3dx ,则a ,b ,c 的大小关系是________. 答案 a>b>c解析 根据定积分的几何意义,易知ʃ10x 3dx<ʃ10x 2dx<ʃ10x 13dx ,a>b>c. 5.计算定积分ʃ1-14-4x 2dx =________. 答案 π解析 由于ʃ1-14-4x 2dx =2ʃ1-11-x 2dx 表示单位圆的面积π,所以ʃ1-14-4x 2dx =π.6.用定积分表示下列阴影部分的面积(不要求计算): (1)S 1=________(如图1);图1(2)S 2=________(如图2);图2答案 (1)ʃππ3sin xdx (2)ʃ2-4x 22dx7.若ʃa -a |56x|dx≤2 016,求正数a 的最大值.解 由ʃa -a |56x|dx =56ʃa -a |x|dx≤2 016,得ʃa -a |x|dx≤36,∴ʃa -a |x|dx =2ʃa 0xdx =a 2≤36,即0<a≤6.故正数a 的最大值为6. 二、能力提升8.ʃ60(2x -4)dx =________. 答案 12解析 如图A(0,-4),B(6,8) S △AOM =12×2×4=4,S △MBC =12×4×8=16,∴ʃ60(2x -4)dx =16-4=12.9.由y =sin x ,x =0,x =-π,y =0所围成图形的面积写成定积分的形式是S =________. 答案 -ʃ0-πsin xdx 解析 由定积分的意义知,由y =sin x ,x =0,x =-π,y =0围成图形的面积为 S =-ʃ0-πsin xdx.10.计算ʃ4016-x 2dx =________.答案 4π解析 ʃ4016-x 2dx 表示以原点为圆心,4为半径的14圆的面积,∴ʃ4016-x 2dx =14π·42=4π. 11.用定积分的意义求下列各式的值:(1)ʃ30(2x +1)dx ;(2) 1-x 2dx.解 (1)在平面上,f(x)=2x +1为一条直线,ʃ30(2x +1)dx 表示直线f(x)=2x +1,x =0,x =3与x 轴围成的直角梯形OABC 的面积,如图(1)所示,其面积为S =12(1+7)×3=12.根据定积分的几何意义知ʃ30(2x +1)dx =12.(2)由y =1-x 2可知,x 2+y 2=1(y≥0)图象如图(2),由定积分的几何意义知1-x 2dx 等于圆心角为120°的弓形CED 的面积与矩形ABCD 的面积之和. S 弓形=12×23π×12-12×1×1×sin 23π=π3-34,S 矩形=|AB|·|BC| =2×32×12=32,∴1-x 2dx =π3-34+32=π3+34.12.利用定积分的定义计算ʃ21(-x 2+2x)dx 的值,并从几何意义上解释这个值表示什么.解 令f(x)=-x 2+2x. (1)分割在区间[1,2]上等间隔地插入n -1个分点,把区间[1,2]等分为n 个小区间[1+i -1n ,1+i n](i=1,2,…,n),每个小区间的长度为Δx =i n -i -1n =1n .(2)以直代曲、作和取ξi =1+in(i =1,2,…,n),则S n =∑ni =1f(1+i n )·Δx =∑ni =1[-(1+i n )2+2(1+i n )]·1n=-1n 3[(n +1)2+(n +2)2+(n +3)2+…+(2n)2]+2n 2[(n +1)+(n +2)+(n +3)+…+2n]=-1n 3[2n(2n +1)(4n +1)6-n(n +1)(2n +1)6]+2n 2·n(n +1+2n)2=-13(2+1n )(4+1n )+16(1+1n )(2+1n )+3+1n .(3)逼近当n→+∞时,S =ʃ21(-x 2+2x)dx=-13⎝⎛⎭⎫2+1n ⎝⎛⎭⎫4+1n +16⎝⎛⎭⎫1+1n ⎝⎛⎭⎫2+1n +3+1n →23, ʃ21(-x 2+2x)dx =23的几何意义为由直线x =1,x =2,y =0与曲线f(x)=-x 2+2x 所围成的曲边梯形的面积. 三、探究与拓展13.已知函数f(x)=错误!,求f(x)在区间[-2,2π]上的积分. 解 由定积分的几何意义,知ʃ2-2x 3dx =0,ʃπ22xdx =(π-2)(2π+4)2=π2-4, ʃ2ππcos xdx =0, 由定积分的性质得ʃ2π-2f(x)dx =ʃ2-2x 3dx +ʃπ22xdx +ʃ2ππcos xdx=π2-4.。
一、选择题1.12201x dx -=⎰( )A .12πB .3128π+ C .368π+ D .364π+2.计算211x dx x ⎛⎫+ ⎪⎝⎭⎰的值为( )A .34B .3ln 22+ C .55ln 22+ D .3ln 2+3.已知函数sin (11)()1(12)x x f x x x-≤≤⎧⎪=⎨<≤⎪⎩,则21()f x dx -=⎰( ) A .ln 2B .ln 2-C .12-D .3cos 1-4.若2(sin cos )2x a x dx π-=⎰,则实数a 等于( )A .1-B .1C .3-D .35.22221231111,,,x S x dx S dx S e dx x ===⎰⎰⎰若 ,则s 1,s 2,s 3的大小关系为( )A .s 1<s 2<s 3B .s 2<s 1<s 3C .s 2<s 3<s 1D .s 3<s 2<s 16.由曲线2y x =与直线2y x =+所围成的平面图形的面积为( ) A .52 B .4 C .2 D .927.一物体在力(单位:N)的作用下沿与力相同的方向,从x=0处运动到(单位:)处,则力做的功为( ).A .44B .46C .48D .508.已知函数20()cos 0x f x x x ≥⎧=⎨<⎩,则12()f x dx π-⎰的值等于( )A .1B .2C .3D .49.20sin xdx π=⎰( )A .4B .2C .-2D .010.某几何体的三视图如图所示,则该几何体的体积为( )A .4B .2C .43D .2311.已知11em dx x=⎰,函数()f x 的导数()()()f x a x m x a '=++,若()f x 在x a =-处取得极大值,则a 的取值范围是( ) A .1a < B .10a -<< C .1a >或0a <D .01a <<或0a <12.若函数31()log ()(01)(,0)3a f x x ax a a 且在区间=->≠-内单调递增,则实数a 的取值范围是( ). A .2[,1)3B .1[,1)3C .1[,1)(1,3]3D .(1,3]二、填空题13.()222sin 4x x dx -+-=⎰______.14.两个函数12y x =与2y x =-,它们的图象及y 轴围成的封闭图形的面积为______ 15.由曲线sin .cos y x y x ==与直线0,2x x π==所围成的平面图形的面积是______.16.已知函数()()()22ln 1,0ln 1,0x x x x f x x x x x ⎧++≥⎪=⎨--+<⎪⎩,若()()()21f a f a f -+≤,则实数a 的取值范围是___________. 17.2222(sin 4)x x x dx -+-⎰=______.18.()1||214x ex dx -+-=⎰__________________19.二项式33()a x -的展开式的第二项的系数为,则的值为______.20.2(1)x dx -=⎰________.三、解答题21.已知函数1ln(1)()x f x x++=(1)求函数的定义域;(2)判定函数()f x 在(1,0)-的单调性,并证明你的结论; (3)若当0x >时,()1kf x x >+恒成立,求正整数k 的最大值. 22.计算下列定积分. (1)1211e dx x +-⎰; (2)342x dx -+⎰.23.如图:求曲线y =e x -1与直线x =-ln 2, y =e -1所围成的平面图形面积.24.已知函数1()ln 2f x x x =-,(0,)x ∈+∞. (1)求函数()f x 的图象在点(2,(2))f 处的切线方程. (2)求函数()f x 的单调递增区间. 25.已知函数()22()x f x e x x R =-+∈. (1)求()f x 的最小值;(2)求证:x >0时,221x e x x >-+. 26.计算下列各式的值. (1) ()0sin cos d x x x π-⎰;(2)2132d x x x +-⎰.【参考答案】***试卷处理标记,请不要删除一、选择题 1.B 解析:B【分析】令21y x =-,则()2210x y y +=≥,点(),x y 的轨迹表示半圆,则该积分表示该半圆与y 轴,12x =,x 轴围成的曲边梯形的面积,求出面积即可. 【详解】解:令21y x =-,则()2210x y y +=≥,点(),x y 的轨迹表示半圆,12201x dx -⎰表示以原点为圆心,2为半径的圆的上半圆与y 轴,12x =,x 轴围成的曲边梯形的面积,如图:故12201131311222612OAB BOCx dx SS ππ-=+=⨯⨯⨯=+扇形. 故选:B. 【点睛】本题考查定积分的几何意义,属基础题.2.B解析:B 【分析】根据牛顿莱布尼茨公式,即可代值求解. 【详解】根据牛顿莱布尼茨公式211x dx x ⎛⎫+ ⎪⎝⎭⎰2211()2x lnx =+1142122ln ln ⎛⎫=⨯+-+ ⎪⎝⎭ 322ln =+. 故选:B. 【点睛】本题考查牛顿莱布尼茨公式的直接应用,属基础题.3.A解析:A 【分析】将所求积分分成两段来进行求解,根据积分运算法则可求得结果. 【详解】()21212111111sin cos ln cos1cos1ln 2ln1ln 2f x dx xdx dx x x x ---=+=-+=-++-=⎰⎰⎰ 故选:A 【点睛】本题考查积分的计算问题,关键是能够按照分段函数的形式将所求积分进行分段求解.4.A解析:A 【解析】试题分析:解:因为()()()2200sin cos cos sin |cossincos0sin 022x a x dx x a x a a ππππ-=--=-----⎰=()010a ----=1a -,所以12a -=,所以, 1.a =-故选A. 考点:定积分.5.B解析:B 【解析】3221321322217ln |ln 2||,.11133x S x S x S e e e S S S ==<==<==-∴<<选B.考点:此题主要考查定积分、比较大小,考查逻辑推理能力.6.D解析:D 【解析】试题分析:由定积分的几何意义得,293122122132221=-+=-+=--⎰)(])[(x x x dx x x s ,故选D 。
一、选择题1.已知71()x x +展开式中,5x 的系数为a ,则62axdx =⎰( )A .10B .11C .12D .132.一物体作变速直线运动,其v t -曲线如图所示,则该物体在1s~6s 2间的运动路程为( )m .A .1B .43C .494D .23.直线4y x =与曲线3y x =在第一象限内围成的封闭图形的面积为( ) A .22B .42C .2D .44.定积分= A .B .C .D .5.等比数列{}n a 中,36a =,前三项和3304S xdx =⎰,则公比q 的值为( )A .1-或12-B .1或12-C .12-D .16.由23y x =-和2y x =围成的封闭图形的面积是( ) A .23.923-.323 D .3537.等比数列{}n a 中,39a =,前3项和为3230S x dx =⎰,则公比q 的值是( )A .1B .12-C .1或12-D .1-或12-8.设函数2e ,10()1,01x x f x x x ⎧-≤≤⎪=⎨-<≤⎪⎩,计算11()d f x x -⎰的值为( )A.1eπe4 -+B.e1πe4-+C.e12πe-+D.e1πe2-+9.由直线0,,2y x e y x===及曲线2yx=所围成的封闭图形的面积为()A.3 B.32ln2+C.223e-D.e10.某几何体的三视图如图所示,则该几何体的体积为( )A.4B.2 C.43D.2311.设21,[0,1]()1,[1,0)x xf xx x⎧⎪-∈=⎨+∈-⎪⎩,则11()f x dx-⎰等于()A.12π+B.122π+C.124π+D.14π+12.二维空间中圆的一维测度(周长)2l rπ=,二维测度(面积)2S rπ=,观察发现()S r l'=:三维空间中球的二维测度(表面积)24S rπ=,三维测度(体积)343V rπ=,观察发现()V r S'=.则由四维空间中“超球”的三维测度38V rπ=,猜想其四维测度W=().A.224rπB.283rπC.514rπD.42rπ二、填空题13.质点运动的速度()2183/v t t m s=-,则质点由开始运动到停止运动所走过的路程是______.14.120021sinx dx xdxπ--=⎰⎰______15.1321(tan sin)x x x x dx-++⎰的值为______________________16.)12111x dx--=⎰__________.17.已知函数2()2lnf x x x=-,若方程()0f x m+=在1[,]ee内有两个不等的实数根,则实数m 的取值范围是__________.18.已知等差数列{}n a 中, 225701a a x dx +=-⎰,则468a a a ++=__________.19.ππ(sin )d x x x -+=⎰________.20.已知平面区域(){}2,|04x y y x Ω=≤≤-,直线:2l y mx m =+和曲线2:4C y x =-有两个不同的交点,直线l 与曲线C 围成的平面区域为M ,向区域Ω内随机投一点A ,点A 落在区域M 内的概率为()P M ,若2(),12P M ππ-⎡⎤∈⎢⎥⎣⎦,则实数m 的取值范围是___________.三、解答题21.已知函数()ln 3mf x x x x=++. (1)求函数()f x 的单调区间;(2)若对任意的[]0,2m ∈,不等式()()1f x k x ≤+,对[]1,x e ∈恒成立,求实数k 的取值范围.22.已知抛物线2:2C y x x =-+,在点(0,0)A ,(2,0)B 分别作抛物线的切线12,l l .(1)求切线1l 和2l 的方程;(2)求抛物线C 与切线1l 和2l 所围成的面积S . 23.已知函数1()ln 2f x x x =-,(0,)x ∈+∞. (1)求函数()f x 的图象在点(2,(2))f 处的切线方程. (2)求函数()f x 的单调递增区间.24.现有一个以OA 、OB 为半径的扇形池塘,在OA 、OB 上分别取点C 、D ,作DE OA 、CF OB 分别交弧AB 于点E 、F ,且BD AC =,现用渔网沿着DE 、EO 、OF 、FC 将池塘分成如图所示的养殖区域.已知1km OA =,2AOB π∠=,EOF θ∠=(02πθ<<).(1)若区域Ⅱ的总面积为21km 4,求θ的值; (2)若养殖区域Ⅰ、Ⅱ、Ⅲ的每平方千米的年收入分别是30万元、40万元、20万元,试问:当θ为多少时,年总收入最大?25.已知函数()xf x xea -=-有两个零点1x , 2x .(1)求实数a 的取值范围; (2)求证: 122x x +>.26.如图,阴影部分区域是由函数cos y x =图象,直线1,y x π==围成,求这阴影部分区域面积。
一、选择题1.12201x dx -=⎰( )A .12πB.3128π+ C .368π+ D .364π+2.已知函数sin (11)()1(12)x x f x x x-≤≤⎧⎪=⎨<≤⎪⎩,则21()f x dx -=⎰( )A .ln 2B .ln 2-C .12-D .3cos 1-3.222024xdx x dx +-=⎰⎰( )A .2π B .12π+ C .4π D .π4.若2(sin cos )2x a x dx π-=⎰,则实数a 等于( )A .1-B .1C .3-D .35.设函数()f x 是R 上的奇函数, ()()f x f x π+=-,当02x π≤≤时,()cos 1f x x =-,则22x ππ-≤≤时, ()f x 的图象与x 轴所围成图形的面积为( )A .48π-B .24π-C .2π-D .36π-6.如图,矩形ABCD 的四个顶点()(0,1),(,1),(,1),0,1A B C D ππ--,正弦曲线f xsinx 和余弦曲线()g x cosx =在矩形ABCD 内交于点F ,向矩形ABCD 区域内随机投掷一点,则该点落在阴影区域内的概率是( )A .B .C .D .7.11)x dx -=⎰( )A .1π+B .1π-C .πD .2π 8.函数()325f x x x x =+-的单调递增区间为( ) A .5,3⎛⎫-∞- ⎪⎝⎭和1,B .5,3⎛⎫-∞-⋃ ⎪⎝⎭1,C .(),1-∞-和5,3⎛⎫+∞ ⎪⎝⎭D .(),1-∞-⋃5,3⎛⎫+∞ ⎪⎝⎭9.若向区域(){},|0101x y x y Ω=≤≤≤≤,内投点,则该点落在由直线y x =与曲线y = )A .18B .16C .13D .1210.20ln 1()231mx x f x x t dt x >⎧⎪=⎨+≤⎪⎩⎰,,,且()()10f f e =,则m 的值为( ) A .1B .2C .1-D .2-11.计算()122x x dx -⎰的结果为( )A .0B .1C .23D .5312.下列积分值最大的是( ) A .222sin +1x x dx -⎰()B .()22cos x dx ππ--⎰C.-⎰D .11edx x二、填空题13.若2211S x dx =⎰,2211S dx x =⎰,231x S e dx =⎰,则1S ,2S ,3S 的大小关系为___.14.计算()0cos 1x dx π⎰+=_________.15.由直线2y x =+与曲线2y x 围成的封闭图形的面积是__________.16.若二项式261()5x x +的展开式中的常数项为m ,则21(2)d mx x x -=⎰_________.17.计算()2224x x dx -+-⎰得__________.18.定积分2sin cos t tdt π=⎰________.19.如图,两曲线2y x =,2y x 围成图面积__________.20.设曲线cos y x =与x 轴、y 轴、直线6x π=围成的封闭图形的面积为b ,若2()2ln 2g x x bx kx =--在[1,)+∞上单调递减,则实数k 的取值范围是__________. 三、解答题21.已知函数f (x )=x 3-3ax+e ,g (x )=1-lnx ,其中e 为自然对数的底数.(I )若曲线y=f (x )在点(1,f (1))处的切线与直线l :x+2y=0垂直,求实数a 的值; (II )设函数F (x )=-x[g (x )+12x-2],若F (x )在区间(m,m+1)(m ∈Z )内存在唯一的极值点,求m 的值;(III )用max{m ,n}表示m ,n 中的较大者,记函数h (x )=max{f (x ),g (x )}(x>0). 若函数h (x )在(0,+∞)上恰有2个零点,求实数a 的取值范围.22.根据《山东省全民健身实施计划(2016-2020年)》,到2020年乡镇(街道)普遍建有“两个一”工程,即一个全民健身活动中心或灯光篮球场、一个多功能运动场.某市把甲、乙、丙、丁四个多功能运动场全部免费为市民开放.(1)在一次全民健身活动中,四个多功能运动场的使用场数如图,用分层抽样的方法从甲、乙、丙、丁四场馆的使用场数中依次抽取a ,b ,c ,d 共25场,在a ,b ,c ,d 中随机取两数,求这两数和ξ的分布列和数学期望;(2)设四个多功能运动场一个月内各场使用次数之和为x ,其相应维修费用为y 元,根据统计,得到如下表的y 与x 数据:x10 15 20 25 3035 40 y23022708 2996 3219 3401 3555 3689 10013102y z e =+ 2.49 2.993.554.004.494.995.49(i )用最小二乘法求z 与x 之间的回归直线方程; (ii )40yx +叫做运动场月惠值,根据(i )的结论,试估计这四个多功能运动场月惠值最大时x 的值.参考数据和公式:4z =,()721700ii x x =-=∑,()()7170i i i x x z z =--=∑,320e =,()()()71721ˆiii ii x x z z bx x ==--=-∑∑,a y bx =-.23.为了净化广州水系,拟在小清河建一座平面图(如图所示)为矩形且面积为200 m 2的三级污水处理池,由于地形限制,长、宽都不能超过16 m ,如果池外壁建造单价为400元/m 2,中间两条隔墙建造单价为248元/m 2,池底建造单价为80元/m 2(池壁厚度忽略不计,且池无盖).(1)写出总造价y (元)与x 的函数关系式,并指出定义域;(2)求污水处理池的长和宽各为多少时,污水处理池的总造价最低,并求最低造价.24.已知函数2()ln 1a f x x x +=++,其中a ∈R. (1)当a =4时,求f (x )的极值点;(2)讨论并求出f (x )在其定义域内的单调区间. 25.计算下列定积分 (1) ()12xx e dx +⎰(2)2442cos tan 2x x dx ππ-⎛⎫+ ⎪⎝⎭⎰ (3)214x dx --26.已知函数()sin cos ,f x x x a x =+且()f x 在3x π=处的切线的斜率为6π.(1)求a 的值,并讨论()f x 在,22ππ⎡⎤-⎢⎥⎣⎦上的单调性; (2)设1()ln(1),0,01x g x mx x m x -=++≥>+,若对任意[)10,x ∈+∞,总存在20,2x π⎡⎤∈⎢⎥⎣⎦,使得12()()g x f x ≥成立,求m 的取值范围.【参考答案】***试卷处理标记,请不要删除一、选择题 1.B 解析:B 【分析】令21y x =-,则()2210x y y +=≥,点(),x y 的轨迹表示半圆,则该积分表示该半圆与y 轴,12x =,x 轴围成的曲边梯形的面积,求出面积即可. 【详解】解:令21y x =-,则()2210x y y +=≥,点(),x y 的轨迹表示半圆,12201x dx -⎰表示以原点为圆心,2为半径的圆的上半圆与y 轴,12x =,x 轴围成的曲边梯形的面积,如图:故12201131311222612OAB BOCx dx SS ππ-=+=⨯⨯⨯=+扇形. 故选:B. 【点睛】本题考查定积分的几何意义,属基础题.2.A解析:A 【分析】将所求积分分成两段来进行求解,根据积分运算法则可求得结果.()21212111111sin cos ln cos1cos1ln 2ln1ln 2f x dx xdx dx x x x ---=+=-+=-++-=⎰⎰⎰ 故选:A 【点睛】本题考查积分的计算问题,关键是能够按照分段函数的形式将所求积分进行分段求解.3.A解析:A 【分析】分别根据积分的运算法则和几何意义求得两个积分的值,进而得到结果. 【详解】22200112x == 2224x dx -⎰表示下图所示的阴影部分的面积S2OA =,2OC =4AOC π∴∠=12221422S ππ∴=⨯-=- 2220241122x dx ππ+-∴=+-=⎰故选:A 【点睛】本题考查积分的求解问题,涉及到积分的运算法则和几何意义的应用.4.A解析:A 【解析】试题分析:解:因为()()()2200sin cos cos sin |cossincos0sin 022x a x dx x a x a a ππππ-=--=-----⎰=()010a ----=1a -,所以12a -=,所以, 1.a =-故选A. 考点:定积分.5.A【解析】由题设()()()()2f x f x f x f x ππ+=-⇒+=,则函数()y f x =是周期为2π的奇函数,画出函数()[],0,2y f x x π=∈的图像,结合函数的图像可知:只要求出该函数(),0,2y f x x π⎡⎤=∈⎢⎥⎣⎦的图像与x 轴所围成的面积即可。
一、选择题1.已知函数sin (11)()1(12)x x f x x x-≤≤⎧⎪=⎨<≤⎪⎩,则21()f x dx -=⎰( )A .ln 2B .ln 2-C .12-D .3cos 1-2.在1100x y x y ==-=,,,围成的正方形中随机投掷10000个点,则落入曲线20x y -=,1y =和y 轴围成的区域的点的个数的估计值为( )A .5000B .6667C .7500D .78543.如图所示的阴影部分是由x 轴,直线1x =及曲线1x y e =-围成,现向矩形区域OABC 内随机投掷一点,则该点落在阴影部分的概率是( )A .1eB .11e - C .11e-D .21e e -- 4.定积分= A .B .C .D .5.由23y x =-和2y x =围成的封闭图形的面积是( ) A .23.923-.323 D .3536.曲线()sin 0πy x x =≤≤与直线12y =围成的封闭图形的面积是 A 3B .23C .π23-D π337.一物体在力F (x )=3x 2-2x +5(力单位:N ,位移单位:m)作用力下,沿与力F (x )相同的方向由x =5 m 直线运动到x =10 m 处做的功是( ). A .925 JB .850 JC .825 JD .800 J8.由曲线1xy =,直线,3y x y ==所围成的平面图形的面积为( )A .2ln3-B .4ln3+C .4ln3-D .3299.函数()22,04,02x x f x x x -<⎧⎪=⎨-≤≤⎪⎩,则22()f x dx -⎰的值为( )A .6π+B .2π-C .2πD .810.计算()122x x dx -⎰的结果为( )A .0B .1C .23D .5311.已知11em dx x=⎰,函数()f x 的导数()()()f x a x m x a '=++,若()f x 在x a =-处取得极大值,则a 的取值范围是( ) A .1a < B .10a -<< C .1a >或0a < D .01a <<或0a <12.已知t >0,若(2x ﹣2)dx=8,则t=( ) A .1B .﹣2C .﹣2或4D .4二、填空题13.由函数()ln f x x x x =-的图像在点(,())P e f e 处的切线,l 直线1x e -=直线x e =(其中e 是自然对数的底数)及曲线ln y x =所围成的曲边四边形(如图中的阴影部分)的面积S =_________.14.曲线2yx x 和2y x x 所围成的封闭图形的面积是_______.15.如图所示,在边长为1的正方形OABC 中任取一点P ,则点P 恰好取自阴影部分的概率为_________.16.曲线y x =21y x =-及x 轴所围成的封闭图形的面积为 ____.17.在直线0x =,1x =,0y =,1y e =+围成的区域内撒一粒豆子,则落入0x =,1y e =+,e 1x y =+围成的区域内的概率为__________.18.定积分21d 1x x ⎰-的值为__________. 19.已知()[](]221,1,11,1,2x x f x x x ⎧-∈-⎪=⎨-∈⎪⎩,则()21f x dx -=⎰______. 20.已知函数2()2ln f x x x =-,若方程()0f x m +=在1[,]e e 内有两个不等的实数根,则实数m 的取值范围是__________.三、解答题21.计算: (1)781010C C +; (2)222(24)x x dx -+-⎰.22.计算下列定积分. (1)1211e dx x +-⎰; (2)342x dx -+⎰.23.如图,有一块半圆形空地,开发商计划建一个矩形游泳池ABCD 及其矩形附属设施EFGH ,并将剩余空地进行绿化,园林局要求绿化面积应最大化.其中半圆的圆心为O ,半径为R ,矩形的一边AB 在直径上,点C 、D 、G 、H 在圆周上,E 、F 在边CD 上,且3BOG π∠=,设BOC θ∠=.(1)记游泳池及其附属设施的占地面积为()f θ,求()f θ的表达式; (2)怎样设计才能符合园林局的要求?24.梯形ABCD 顶点B 、C 在以AD 为直径的圆上,AD =2米,(1)如图1,若电热丝由AB ,BC ,CD 这三部分组成,在AB ,CD 上每米可辐射1单位热量,在BC 上每米可辐射2单位热量,请设计BC 的长度,使得电热丝辐射的总热量最大,并求总热量的最大值;(2)如图2,若电热丝由弧,AB CD 和弦BC 这三部分组成,在弧,AB CD 上每米可辐射1单位热量,在弦BC 上每米可辐射2单位热量,请设计BC 的长度,使得电热丝辐射的总热量最大.25.已知曲线sin y x =和直线0,x x π==及0y =所围成图形的面积为0S . (1)求0S .(2)求所围成图形绕ox 轴旋转所成旋转体的体积. 26.由定积分的性质和几何意义,求出下列各式的值: (1)22aa x dx --⎰;(2)()1201(1)x x dx --⎰.【参考答案】***试卷处理标记,请不要删除一、选择题 1.A 解析:A 【分析】将所求积分分成两段来进行求解,根据积分运算法则可求得结果. 【详解】()21212111111sin cos ln cos1cos1ln 2ln1ln 2f x dx xdx dx x x x ---=+=-+=-++-=⎰⎰⎰ 故选:A 【点睛】本题考查积分的计算问题,关键是能够按照分段函数的形式将所求积分进行分段求解.2.B解析:B 【分析】应用微积分基本定理求出对应的原函数,再由定积分定义求出空白区域面积,由正方形面积减去空白区域面积即可求出阴影部分面积,结合几何概型可推导出对应区域内的点的个数【详解】由微积分基本定理可求出2yx 的原函数为()313F x x =,空白区域面积为31101133S x ==,故阴影部分面积212133S =-=,由几何概型可知,落入阴影部分的点数估计值为21000066673⨯≈ 故选:B 【点睛】本题考查定积分与微积分的基本定理,几何概型,属于基础题3.D解析:D 【解析】试题分析:由几何概型可知,所求概率为.考点:几何概型、定积分.4.B解析:B【解析】 由题意得,故选B.5.C解析:C 【解析】试题分析:画出函数图象如下图所示,所以围成的面积为()13122333232333x x x dx x x --⎛⎫--=--= ⎪⎝⎭⎰.考点:定积分.6.D解析:D 【解析】曲线()sin 0πy x x =≤≤与直线12y =的两个交点坐标分别为(π6,12),(5π6,12), 则封闭图形的面积为5π5π66ππ6611πsin cos |3223x dx x x ⎛⎫⎛⎫-=--= ⎪ ⎪⎝⎭⎝⎭⎰本题选择D 选项.点睛:(1)用微积分基本定理求定积分,关键是求出被积函数的原函数.此外,如果被积函数是绝对值函数或分段函数,那么可以利用定积分对积分区间的可加性,将积分区间分解,代入相应的解析式,分别求出积分值相加. (2)根据定积分的几何意义可利用面积求定积分. (3)若y =f (x )为奇函数,则()()0aaf x dx a ->⎰ =0.7.C解析:C 【解析】W =105⎰F (x )d x =105⎰(3x 2-2x +5)d x =(x 3-x 2+5x )105=(1 000-100+50)-(125-25+25)=825(J).选C.8.C解析:C 【详解】由1xy y x =⎧⎨=⎩,解得11x y =⎧⎨=⎩,13xy y =⎧⎨=⎩解得133x y ⎧=⎪⎨⎪=⎩,3y y x =⎧⎨=⎩解得33x x =⎧⎨=⎩,所围成的平面图形的面积为S ,则()()1111331131(31)323ln |2S dx x x x ⎛⎫=⨯--+-=+- ⎪⎝⎭⎰,4ln 3S =-,故选C.9.A解析:A 【分析】 先求出22()f x dx -=⎰22064x dx +-⎰,再求出2204x dx π-=⎰即得解.【详解】 由题得2022220222201()(2)4(2)|42f x dx x dx x dx x x x dx ---=-+-=-+-⎰⎰⎰⎰22064x dx =+-⎰,设24(02,0)y x x y =-<≤≥,所以22+4x y =,所以24(02,0)y x x y =-<≤≥表示圆22+4x y =在第一象限的部分(包含与坐标轴的交点),其面积为14=4ππ⨯⨯. 所以204x dx π-=⎰.所以22()6f x dx π-=+⎰.故选:A 【点睛】本题主要考查定积分的计算,意在考查学生对这些知识的理解掌握水平.10.C解析:C 【分析】求出被积函数的原函数,然后分别代入积分上限和积分下限后作差得答案. 【详解】122312300112(2)()|11333x x dx x x -=-=-⨯=⎰, 故选C. 【点睛】该题考查的是有关定积分的运算求解问题,属于简单题目.11.C解析:C 【分析】利用积分求解出1m =;根据a 的符号和a -与1-之间的大小关系,结合二次函数确定导函数的符号,得到()f x 的单调性,符合在x a =-处()f x 左增右减时的a 的取值范围是满足题意的,从而得到所求范围. 【详解】11ln ln ln111ee dx x e x ==-=⎰,即1m = 则()()()1f x a x x a '=++当0a =或1a =时,()f x 不存在极值,不合题意 当0a <时(),1x ∈-∞-或(),x a ∈-+∞时,()0f x '<,此时()f x 单调递减 ()1,x a ∈--时,()0f x '>,此时()f x 单调递增则()f x 在x a =-处取得极大值,满足题意 当01a <<时(),1x ∈-∞-或(),x a ∈-+∞时,()0f x '>,此时()f x 单调递增()1,x a ∈--时,()0f x '<,此时()f x 单调递减则()f x 在x a =-处取得极小值,不满足题意 当1a >时(),x a ∈-∞-或()1,x ∈-+∞时,()0f x '>,此时()f x 单调递增 (),1x a ∈--时,()0f x '<,此时()f x 单调递减则()f x 在x a =-处取得极大值,满足题意综上所述:1a >或0a < 【点睛】本题考查根据函数的极值点和极值求解参数的取值范围问题,关键是能够根据二次函数根的分布情况确定二次函数的图象,从而得到导函数的符号,确定原函数的单调性.12.D解析:D 【解析】∵(x 2﹣2x )′=2x ﹣2,∴若2(22)(2)tt x dx x x -=-⎰=t 2﹣2t=8,又t >0,解得t=4.选D.二、填空题13.【分析】利用导数求得切线的方程利用定积分计算出阴影部分的面积【详解】所以切线的方程为:故阴影部分面积为故答案为:【点睛】本小题主要考查切线方程的计算考查定积分计算面积属于中档题解析:2221122e e e++-【分析】利用导数求得切线l 的方程,利用定积分计算出阴影部分的面积. 【详解】()()()''ln ,ln 1,0f x x f e e f e e e ====-=,所以切线l 的方程为:y x e =-.故阴影部分面积为()2111ln ln |2e e eex x e dx x x x x ex ⎛⎫-+=--+ ⎪⎝⎭⎰2221111111ln ln 22e e e e e e e e e e e ⎡⎤⎛⎫=--⋅+---+⨯⎢⎥ ⎪⎝⎭⎢⎥⎣⎦22121122e e e ⎡⎤=⋅---+⎢⎥⎣⎦2221122e e e ++-=. 故答案为:2221122e e e++-【点睛】本小题主要考查切线方程的计算,考查定积分计算面积,属于中档题.14.【解析】【分析】本题首先可以绘出曲线和的图像并找出两曲线图像围成的区域然后通过微积分以及定积分的基本定理即可解出答案【详解】如图所示曲线和所围成的封闭图形的面积为:故答案为【点睛】本题考查几何中面积解析:13【解析】 【分析】本题首先可以绘出曲线2y x x 和2y x x 的图像,并找出两曲线图像围成的区域,然后通过微积分以及定积分的基本定理即可解出答案。
一、选择题1.已知函数22 (1),10()1,01x xf xx x⎧+-≤≤⎪=⎨-<≤⎪⎩则11()df x x-=⎰()A.3812π-B.4312π+C.44π+D.4312π-+2.在1100x y x y==-=,,,围成的正方形中随机投掷10000个点,则落入曲线20x y-=,1y=和y轴围成的区域的点的个数的估计值为()A.5000 B.6667 C.7500 D.78543.三棱锥D ABC-及其正视图和侧视图如图所示,且顶点,,,A B C D均在球O的表面上,则球O的表面积为()A.32πB.36πC.128πD.144π4.若函数()31f x x axx=++在1,2⎛⎫+∞⎪⎝⎭是增函数,则a的取值范围是( )A.1,2⎛⎫-+∞⎪⎝⎭B.1,2⎡⎫-+∞⎪⎢⎣⎭ C.13,4⎛⎫+∞⎪⎝⎭D.13,4⎡⎫+∞⎪⎢⎣⎭5.())12211dx x x--⎰的值是()A.π143-B.π14-C.π123-D.π12-6.121(1)x x dx--=⎰()A.1π+B.1π-C.πD.2π7.使函数()322912f x x x x a=-+-图象与x轴恰有两个不同的交点,则实数a可能的取值为()A.8 B.6 C.4 D.28.由直线0,,2y x e y x===及曲线2yx=所围成的封闭图形的面积为()A.3 B.32ln2+C.223e-D.e9.由曲线1xy =,直线,3y x y ==所围成的平面图形的面积为( ) A .2ln3-B .4ln3+C .4ln3-D .32910.1204x dx -=⎰( )A .4B .1C .4πD .33π+11.已知t >0,若(2x ﹣2)dx=8,则t=( ) A .1B .﹣2C .﹣2或4D .412.若函数31()log ()(01)(,0)3a f x x ax a a 且在区间=->≠-内单调递增,则实数a 的取值范围是( ). A .2[,1)3B .1[,1)3C .1[,1)(1,3]3D .(1,3]二、填空题13.424(16)x x dx --=⎰__________.14.在平面直角坐标系中,角α的始边落在x 轴的非负半轴,终边上有一点是(3-,若[)0,2απ∈,则cos xdx αα-=⎰______.15.202x xdx -+=__________16.定积分2sin cos t tdt π=⎰________.17.由直线0x =, 23x π=,0y =与曲线2sin y x =所围成的图形的面积等于________.18.已知平面区域(){}2,|04x y y x Ω=≤≤-,直线:2l y mx m =+和曲线2:4C y x =-有两个不同的交点,直线l 与曲线C 围成的平面区域为M ,向区域Ω内随机投一点A ,点A 落在区域M 内的概率为()P M ,若2(),12P M ππ-⎡⎤∈⎢⎥⎣⎦,则实数m 的取值范围是___________.19.π4cos xdx =⎰______.20.曲线2y x 和曲线y x =围成一个叶形图(如图所示阴影部分),其面积是________.三、解答题21.计算曲线223y x x =-+与直线3yx所围图形的面积.22.如图计算由直线y =6-x ,曲线8y x =以及x 轴所围图形的面积.23.已知曲线C :322321y x x x =--+,点1(,0)2P ,求过P 的切线l 与C 围成的图形的面积.24.设()y f x =是二次函数,方程()0f x =有两个相等的实根,且()22f x x '=+. (1)求()y f x =的表达式;(2)若直线(01)x t t =-<<把()y f x =的图象与两坐标轴所围成图形的面积二等分,求t 的值.25.求曲线6y x =-和8y x =y =0围成图形的面积. 26.已知()()21ln 12f x x a x ax =-++,a ∈R . (1)若1a =,求()f x 在()()22f ,处的切线方程; (2)讨论()f x 的单调性;(3)设1x ,()212x x x <是()f x 的两个极值点,若2a ≥,求()()12f x f x -的最小值.【参考答案】***试卷处理标记,请不要删除一、选择题 1.B 解析:B 【分析】根据积分的性质将所求积分化为()122111x dx x dx -++-⎰⎰,根据微积分基本定理和定积分的求法可求得结果. 【详解】()()0022321100011112100101111333x dx x x dx x x x --+=++=++=++-++=---⎰⎰, 1201x dx -⎰表示以原点为圆心,1为半径的圆在第一象限中的部分的面积,12014x dx π∴-=⎰,()()1122110143113412f x dx x dx x dx ππ--+∴=++-=+=⎰⎰⎰.故选:B . 【点睛】本题考查积分的求解问题,涉及到积分的性质、微积分基本定理和定积分的求解等知识,属于基础题.2.B解析:B 【分析】应用微积分基本定理求出对应的原函数,再由定积分定义求出空白区域面积,由正方形面积减去空白区域面积即可求出阴影部分面积,结合几何概型可推导出对应区域内的点的个数 【详解】由微积分基本定理可求出2yx 的原函数为()313F x x =,空白区域面积为31101133S x ==,故阴影部分面积212133S =-=,由几何概型可知,落入阴影部分的点数估计值为21000066673⨯≈ 故选:B 【点睛】本题考查定积分与微积分的基本定理,几何概型,属于基础题3.A解析:A 【解析】由三视图可得:DC ⊥平面ABC 且底面ABC 为正三角形,如图所示,取AC 中点F ,连BF ,则BF AC ⊥,在Rt BCF 中,2BF =,2CF =,4BC =, 在Rt BCD 中,4CD =,所以42BD =ABC 的距离为d ,因为DC ⊥平面ABC ,且底面ABC 为正三角形,所以2d =,因为ABC 的外接圆的半径为2,所以由勾股定理可得22228R d =+=,则该三棱锥外接球的半径22R =以三棱锥外接球的表面积是2432R ππ=,故选A .点睛:本题考查几何体的三视图,线面垂直的定义,以及几何体外接球问题,由三视图正确还原几何体、以及判断几何体位置关系是解题关键;由三视图画出几何体的直观图,由三视图判断出DC ⊥平面ABC 、求出ABC 的外接圆的半径,列出方程求出三棱锥外接球的半径,由球的表面积公式求出答案.4.D解析:D【解析】由题意得()22130f x x a x =+-≥'在1,2⎛⎫+∞ ⎪⎝⎭上恒成立,即22max 13a x x ⎛⎫≥- ⎪⎝⎭,因为2213y x x =-在1,2⎛⎫+∞ ⎪⎝⎭上单调递减,所以2213131334,444y x a x =-<-=≥,选D. 点睛:已知函数单调性求参数值或取值范围的一般方法:(1)利用导数结合参数讨论函数单调区间取法,根据单调区间与定义区间包含关系,确定参数值或取值范围;(2)利用导数转化为导函数非正或非负恒成立问题,结合变量分离转化为不含参数的函数,利用导数求新函数最值得参数值或取值范围.5.A解析:A 【详解】因为定积分11122000d )(x d x x x ⎫⎫=-⎪⎪⎭⎭⎰⎰⎰,结合定积分的几何意义可知,原式等于圆心为(1,1),半径为1的四分之一个圆的面积减去13得到,即为143-π,选A. 6.D解析:D 【解析】因1112111111]|2x dx x ----=+=⎰,故设sin ,[,]22x ππθθ=∈-,则12221221cos 21cos sin cos (2)2sin 2|442d d d ππππππππθπθθθθθπθ-----+====⨯+=⎰⎰⎰,应选答案D 。
一、选择题1.已知71()x x +展开式中,5x 的系数为a ,则62axdx =⎰( )A .10B .11C .12D .132.由曲线22y x =和直线4y x =-所围成的图形的面积( ) A .18B .19C .20D .213.对于函数()sin x f x x =, 30,2x π⎛⎤∈ ⎥⎝⎦,下列说法错误的是( ) A .函数()f x 在区间()0,π是单调函数 B .函数()f x 只有1个极值点 C .函数()f x 在区间0,2π⎛⎫⎪⎝⎭有极大值 D .函数()f x 有最小值,而无最大值 4.若正四棱锥(底面为正方形,且顶点在底面的射影为正方形的中心)的侧棱长为3,侧面与底面所成的角是45︒,则该正四棱锥的体积是( ) A .23B .43C .223D .4235.定积分220[4(2)]x x dx ---⎰的值为( )A .24π- B .2π- C .22π- D .48π-6.如图,设D 是途中边长分别为1和2的矩形区域,E 是D 内位于函数1(0)y x x=>图象下方的阴影部分区域,则阴影部分E 的面积为( )A .ln 2B .1ln 2-C .2ln 2-D .1ln 2+ 7.一物体在力(单位:N)的作用下沿与力相同的方向,从x=0处运动到(单位:)处,则力做的功为( ).A .44B .46C .48D .508.已知二次函数()y f x =的图像如图所示 ,则它与x 轴所围图形的面积为( )A .25π B .43C .32D .2π 9.由直线,1y x y x ==-+,及x轴所围成平面图形的面积为 ( ) A .()101y y dy ⎡⎤--⎣⎦⎰B .()1201x x dx ⎡⎤-+-⎣⎦⎰C .()121y y dy ⎡⎤--⎣⎦⎰D .()101x x dx ⎡⎤--+⎣⎦⎰10.若2221111,,,xa e dxb xdxc dx x ===⎰⎰⎰则a ,b ,c 的大小关系是( ) A .a b c << B .b c a <<C .c a b <<D .c b a <<11.由直线y= x - 4,曲线2y x =x 轴所围成的图形面积为( )A .15B .13C .252D .40312.已知11em dx x=⎰,函数()f x 的导数()()()f x a x m x a '=++,若()f x 在x a =-处取得极大值,则a 的取值范围是( ) A .1a < B .10a -<< C .1a >或0a <D .01a <<或0a <二、填空题13.由曲线2y x=,直线y =2x ,x =2所围成的封闭的图形面积为______. 14.曲线2yx x 和2y x x 所围成的封闭图形的面积是_______.15.由曲线sin .cos y x y x ==与直线0,2x x π==所围成的平面图形的面积是______.16.定积分2211x dx x +=⎰ __________.17.在直线0x =,1x =,0y =,1y e =+围成的区域内撒一粒豆子,则落入0x =,1y e =+,e 1x y =+围成的区域内的概率为__________.18.在下列命题中 ①函数1()f x x=在定义域内为单调递减函数;②已知定义在R 上周期为4的函数()f x 满足(2)(2)f x f x -=+,则()f x 一定为偶函数;③若()f x 为奇函数,则()2()(0)aaaf x dx f x dx a -=>⎰⎰;④已知函数32()(0)f x ax bx cx d a =+++≠,则0a b c ++=是()f x 有极值的充分不必要条件;⑤已知函数()sin f x x x =-,若0a b +>,则()()0f a f b +>. 其中正确命题的序号为___________________(写出所有正确命题的序号).19.已知函数2()2ln f x x x =-,若方程()0f x m +=在1[,]e e 内有两个不等的实数根,则实数m 的取值范围是__________. 20.设曲线cos y x =与x 轴、y 轴、直线6x π=围成的封闭图形的面积为b ,若2()2ln 2g x x bx kx =--在[1,)+∞上单调递减,则实数k 的取值范围是__________. 三、解答题21.已知函数31()ln 2f x x ax x =--()a R ∈.(1)若()f x 在(1,2)上存在极值,求(1)f 的取值范围; (2)当0x >时,()0f x <恒成立,比较a e.22.求曲线y =2y x =-及y 轴围成的封闭图形的面积.23.已知函数f (x )=x 3-3ax+e ,g (x )=1-lnx ,其中e 为自然对数的底数.(I )若曲线y=f (x )在点(1,f (1))处的切线与直线l :x+2y=0垂直,求实数a 的值; (II )设函数F (x )=-x[g (x )+12x-2],若F (x )在区间(m,m+1)(m ∈Z )内存在唯一的极值点,求m 的值;(III )用max{m ,n}表示m ,n 中的较大者,记函数h (x )=max{f (x ),g (x )}(x>0). 若函数h (x )在(0,+∞)上恰有2个零点,求实数a 的取值范围.24.一物体沿直线以速度()23v t t =-(t 的单位为:秒,v 的单位为:米/秒)的速度作变速直线运动,求该物体从时刻t=0秒至时刻 t=5秒间运动的路程? 25.已知函数()121f x x x a =+--+ (1)当0a =时,解不等式()0f x ≥;(2)若二次函数2814y x x =-+-的图象在函数()y f x = 的图象下方,求a 的取值范围·26.如图,阴影部分区域是由函数cos y x =图象,直线1,y x π==围成,求这阴影部分区域面积。
一、选择题1.已知函数sin (11)()1(12)x x f x x x-≤≤⎧⎪=⎨<≤⎪⎩,则21()f x dx -=⎰( )A .ln 2B .ln 2-C .12-D .3cos 1-2.设113a x dx -=⎰,1121b x dx =-⎰,130c x dx =⎰则a ,b ,c 的大小关系( )A .a>b>cB .b>a>cC .a>c>bD .b>c>a3.对于函数()sin x f x x =, 30,2x π⎛⎤∈ ⎥⎝⎦,下列说法错误的是( ) A .函数()f x 在区间()0,π是单调函数 B .函数()f x 只有1个极值点 C .函数()f x 在区间0,2π⎛⎫⎪⎝⎭有极大值 D .函数()f x 有最小值,而无最大值 4.设若20lg ,0()3,0ax x f x x t dt x >⎧⎪=⎨+≤⎪⎩⎰,((1))1f f =,则a 的值是( ) A .-1 B .2 C .1 D .-25.曲线x y e =在点(0,1)处的切线与坐标轴所围三角形的面积为( ) A .12B .1C .2D .3 6.11)x dx -=⎰( )A .1π+B .1π-C .πD .2π 7.由直线,1y x y x ==-+,及x轴所围成平面图形的面积为 ( ) A .()101y y dy ⎡⎤--⎣⎦⎰B .()1201x x dx ⎡⎤-+-⎣⎦⎰C .()121y y dy ⎡⎤--⎣⎦⎰D .()101x x dx ⎡⎤--+⎣⎦⎰8.20ln 1()231mx x f x x t dt x >⎧⎪=⎨+≤⎪⎩⎰,,,且()()10f f e =,则m 的值为( ) A .1B .2C .1-D .2-9.由直线0,,2y x e y x ===及曲线2y x=所围成的封闭图形的面积为( ) A .3B .32ln 2+C .223e -D .e10.已知125113,log ,log 3,a a x dx m a n p a-====⎰,则 ( ) A .m n p << B .m p n <<C .p m n <<D .p n m <<11.某几何体的三视图如图所示,则该几何体的体积为( )A .4B .2C .43D .2312.二维空间中圆的一维测度(周长)2l r π=,二维测度(面积)2S r π=,观察发现()S r l '=:三维空间中球的二维测度(表面积)24S r π=,三维测度(体积)343V r π=,观察发现()V r S '=.则由四维空间中“超球”的三维测度38V r π=,猜想其四维测度W =( ). A .224r πB .283r πC .514r πD .42r π二、填空题13.设函数2y nx n =-+和1122y x n =-+(*n N ∈,2n ≥)的图像与两坐标轴围成的封闭图形的面积为n S ,则lim n n S →∞=________ 14.由曲线2y x=,直线y =2x ,x =2所围成的封闭的图形面积为______. 15.如图所示,在边长为1的正方形OABC 中任取一点P ,则点P 恰好取自阴影部分的概率为_________.16.()12012x x dx -=⎰__________.17.由直线2y x =+与曲线2y x 围成的封闭图形的面积是__________.18.由曲线22y x =+与3y x =,1x =,2x =所围成的平面图形的面积为________________. 19.计算()2224x x dx -+-⎰得__________.20.由直线0x =, 23x π=,0y =与曲线2sin y x =所围成的图形的面积等于________.三、解答题21.函数()ln ,kf x x k R x=+∈.若曲线()y f x =在点()(),e f e 处的切线与直线20x -=垂直,求()f x 的单调递减区间和极小值(其中e 为自然对数的底数).22.已知函数1ln(1)()x f x x++=(1)求函数的定义域;(2)判定函数()f x 在(1,0)-的单调性,并证明你的结论; (3)若当0x >时,()1kf x x >+恒成立,求正整数k 的最大值. 23.设函数()x x f x e e -=- (1)证明:'()2f x ≥;(2)若对任意[0,)x ∈+∞都有21(22)f x x e e ---<-,求x 的取值范围. 24.梯形ABCD 顶点B 、C 在以AD 为直径的圆上,AD =2米,(1)如图1,若电热丝由AB ,BC ,CD 这三部分组成,在AB ,CD 上每米可辐射1单位热量,在BC 上每米可辐射2单位热量,请设计BC 的长度,使得电热丝辐射的总热量最大,并求总热量的最大值;(2)如图2,若电热丝由弧,AB CD 和弦BC 这三部分组成,在弧,AB CD 上每米可辐射1单位热量,在弦BC 上每米可辐射2单位热量,请设计BC 的长度,使得电热丝辐射的总热量最大.25.设是二次函数,方程有两个相等的实根,且()22f x x =+'(1)求()y f x =的表达式;(2)求()y f x =的图像与两坐标轴所围成图形的面积26.(1)已知0a >,求a-⎰;(2)求证:椭圆22221(0)x y a b a b+=>>的面积为ab π.【参考答案】***试卷处理标记,请不要删除一、选择题 1.A 解析:A 【分析】将所求积分分成两段来进行求解,根据积分运算法则可求得结果. 【详解】()21212111111sin cos ln cos1cos1ln 2ln1ln 2f x dx xdx dx x x x ---=+=-+=-++-=⎰⎰⎰ 故选:A 【点睛】本题考查积分的计算问题,关键是能够按照分段函数的形式将所求积分进行分段求解.2.A解析:A 【解析】借助定积分的计算公式可算得1121330033|22a x dx x -===⎰,1131220022111|1333b x dx x =-=-=-=⎰,13410011|44c x dx x ===⎰,所以a b c >>,应选答案A 。
1.5.2 定积分温故知新新知预习1.设函数f(x)在区间[a,b]上有定义,将区间[a,b]等分成几个小区间,每个小区间的长度为Δx(Δx=n ab-),在每个小区间上取一点,依次为x1,x2,…,x i,…,x n。
作和S n=f(x1)Δx+f(x2)Δx+…+f(x i)Δx+…+f(x n)Δx,如果Δx无限趋近于0(亦即n趋向于+∞)时,S n 无限趋近于常数S,那么称该常数S为函数f(x)在区间[a,b]上的_________________,记为S=______________,其中f(x)称为________________,[a,b]称为______________,a称为______________,b称为______________。
2。
定积分的性质(1)⎰ba kf(x)dx=____________________⎰baf(x)dx。
(2)⎰ba [f1(x)±f2(x)]dx=⎰baf1(x)dx__________________。
(3)⎰ba f(x)dx=⎰caf(x)dx+______________(a<c<b).知识回顾求曲边梯形面积的思想方法.曲边梯形在底边上各点处的高f(x)在区间[a,b]上变动,而且它的高是连续变化的,因此在很小的一段区间上的变化很小,近似于不变,并且当区间的长度无限缩小时,高的变化也无限缩小,因此如果把区间[a,b]分成许多小区间,在每个小区间上,用其中某一点的高来近似代替同一个小区间上的窄曲边梯形的变高,再根据矩形的面积公式,即可求出相应窄曲边梯形面积的近似值,从而求出整个曲边梯形面积的近似值,可以想象,如果区间[a,b]分的越细,所求出的面积值越接近于精确值.也即:用化归为计算矩形面积和逼近的思想方法就可求出曲边梯形的面积.。
一、选择题1.定积分= A .B .C .D .2.若函数()32nxf x x x =++在点()1,6M 处切线的斜率为33ln3+,则n 的值是( ) A .1 B .2 C .4 D .33.设函数()f x 是R 上的奇函数, ()()f x f x π+=-,当02x π≤≤时,()cos 1f x x =-,则22x ππ-≤≤时, ()f x 的图象与x 轴所围成图形的面积为( )A .48π-B .24π-C .2π-D .36π-4.已知二次函数()y f x =的图象如图所示,则它与x 轴所围图形的面积为:A .2π5B .32C .43D .π25.等比数列{}n a 中,36a =,前三项和3304S xdx =⎰,则公比q 的值为( )A .1-或12-B .1或12-C .12-D .16.已知1(1)1x f x x e ++=-+,则函数()f x 在点(0,(0))f 处的切线l 与坐标轴围成的三角形的面积为 A .14 B .12C .1D .2 7.等比数列{}n a 中,39a =,前3项和为3230S x dx =⎰,则公比q 的值是( ) A .1B .12-C .1或12-D .1-或12-8.定义{},,min ,,,a ab a b b a b ≤⎧=⎨>⎩设31()min ,f x x x ⎧⎫=⎨⎬⎩⎭,则由函数()f x 的图象与x 轴、直线4x =所围成的封闭图形的面积( )A .12ln 26+ B .12ln 24+ C .1ln 24+ D .1ln 26+ 9.已知函数20()cos 0x f x x x ≥⎧=⎨<⎩,则12()f x dx π-⎰的值等于( )A .1B .2C .3D .410.已知11em dx x=⎰,函数()f x 的导数()()()f x a x m x a '=++,若()f x 在x a =-处取得极大值,则a 的取值范围是( ) A .1a < B .10a -<< C .1a >或0a < D .01a <<或0a <11.已知t >0,若(2x ﹣2)dx=8,则t=( ) A .1B .﹣2C .﹣2或4D .412.若函数31()log ()(01)(,0)3a f x x ax a a 且在区间=->≠-内单调递增,则实数a 的取值范围是( ). A .2[,1)3B .1[,1)3C .1[,1)(1,3]3D .(1,3]二、填空题13.02114edx x dx x-+-=⎰⎰______________.14.已知函数()[)[)[]3,2,22,2,cos ,,2x x f x x x x x πππ⎧∈-⎪=∈⎨⎪∈⎩则()22f x dx π-=⎰___________15.曲线2y x x 和2yx x 所围成的封闭图形的面积是_______.16.12021sin x dx xdx π--=⎰⎰______17.由曲线22y x =+与3y x =,1x =,2x =所围成的平面图形的面积为________________. 18.已知(12111,a x dx -=-⎰则932a x x π⎛⎫⎛⎫-- ⎪ ⎪⎝⎭⎝⎭展开式中的各项系数和为________19.由直线0x =, 23x π=,0y =与曲线2sin y x =所围成的图形的面积等于________. 20.曲线2yx 与直线2y x =所围成的封闭图形的面积为_______________.三、解答题21.已知函数22()2()ln 22f x x a x x ax a a =-++--+,其中0a >,设()g x 是()f x 的导函数,讨论()g x 的单调性和极值。
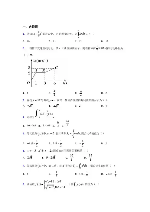
一、选择题1.已知71()x x +展开式中,5x 的系数为a ,则62axdx =⎰( )A .10B .11C .12D .132.一物体作变速直线运动,其v t -曲线如图所示,则该物体在1s~6s 2间的运动路程为( )m .A .1B .43C .494D .23.直线4y x =与曲线3y x =在第一象限内围成的封闭图形的面积为( ) A .22B .42C .2D .44.已知1a xdx =⎰, 12b x dx =⎰, 0c xdx =,则a , b , c 的大小关系是( )A .a b c <<B .a c b <<C .b a c <<D .c a b << 5.由23y x =-和2y x =围成的封闭图形的面积是( ) A .23.923-.323 D .3536.由曲线2y x =与直线2y x =+所围成的平面图形的面积为( ) A .52 B .4 C .2 D .927.设函数2e ,10()1,01xx f x x x ⎧-≤≤⎪=⎨-<≤⎪⎩,计算11()d f x x -⎰的值为( ) A .1e πe 4-+ B .e 1πe 4-+ C .e 12πe - D .e 1πe 2-+ 8.若向区域(){},|0101x y x y Ω=≤≤≤≤,内投点,则该点落在由直线y x =与曲线y x = )A .18B .16C .13D .129.一物体在力F (x )=3x 2-2x +5(力单位:N ,位移单位:m)作用力下,沿与力F (x )相同的方向由x =5 m 直线运动到x =10 m 处做的功是( ). A .925 JB .850 JC .825 JD .800 J10.20ln 1()231mx x f x x t dt x >⎧⎪=⎨+≤⎪⎩⎰,,,且()()10f f e =,则m 的值为( ) A .1B .2C .1-D .2-11.下列积分值最大的是( ) A .222sin +1x x dx -⎰()B .()22cos x dx ππ--⎰C.-⎰D .11edx x12.若函数31()log ()(01)(,0)3a f x x ax a a 且在区间=->≠-内单调递增,则实数a 的取值范围是( ). A .2[,1)3B .1[,1)3C .1[,1)(1,3]3D .(1,3]二、填空题13.计算 121dx x--⎰=_____________. 14.由直线2x y +=,曲线2y x =所围成的图形面积是________15.若二项式621x x ⎫+⎪⎪⎝⎭的展开式中的常数项为m ,则21mx dx =⎰__________. 16.定积分()12xx e dx +=⎰__________.17.计算(22x dx -⎰得__________.18.20(1)x dx -=⎰________.19.π4cos xdx =⎰______.20.从如图所示的正方形OABC 区域内任取一个点M (x ,y ),则点M 取自阴影部分的概率为__.三、解答题21.已知函数()21ln ,2f x x ax a R =-∈.(1)求函数()f x 的单调区间;(2)若关于x 的不等式()()11f x a x ≤--恒成立,求整数a 的最小值. 22.求曲线y x =与直线2y x =-及y 轴围成的封闭图形的面积.23.已知抛物线2:2C y x x =-+,在点(0,0)A ,(2,0)B 分别作抛物线的切线12,l l .(1)求切线1l 和2l 的方程;(2)求抛物线C 与切线1l 和2l 所围成的面积S .24.已知函数()xae f x x x=+.(1)若函数()f x 的图象在(1,(1))f 处的切线经过点(0,1)-,求a 的值;(2)是否存在负整数a ,使函数()f x 的极大值为正值?若存在,求出所有负整数a 的值;若不存在,请说明理由;(3)设0a >,求证:函数()f x 既有极大值,又有极小值 25.已知函数f (x )32x cos 2x +cos 22x +m 的图象过点(56π,0). (1)求实数m 值以及函数f (x )的单调递减区间; (2)设y=f (x )的图象与x 轴、y 轴及直线x=t (0<t <23π)所围成的曲边四边形面积为S ,求S 关于t 的函数S (t )的解析式.26.已知21()3cos cos 2f x x x x =-+ . (Ⅰ)写出()f x 的最小正周期T ; (Ⅱ)求由555()(0),0(0),(10),666y f x x y x x y πππ=≤≤=≤≤=-≤≤ 以及10(0)2x y =-≤≤ 围成的平面图形的面积.【参考答案】***试卷处理标记,请不要删除一、选择题 1.D 解析:D 【分析】利用二项式的通项公式求得7a =,从而求得762xdx ⎰的值.【详解】在71()x x +展开式中,得二项式的通项公式7721771rr r r r r T C x C x x --+⎛⎫== ⎪⎝⎭, 令725r -=,解得1r =,所以5x 的系数为177C =,即7a =.所以7267662213axdx xdx x ===⎰⎰.故选:D 【点睛】本题主要考查二项式展开式的通项公式,求展开式中某项的系数,二项式系数的性质,求定积分的值,属于中档题.2.C解析:C 【分析】由图像用分段函数表示()v t ,该物体在1s~6s 2间的运动路程可用定积分612()d s v t t =⎰表示,计算即得解 【详解】由题中图像可得,2,01()2,1311,363t t v t t t t ⎧⎪≤<⎪=≤≤⎨⎪⎪+<≤⎩由变速直线运动的路程公式,可得61311132621()d 22d 1d 3s v t t tdt t t t ⎛⎫==+++ ⎪⎝⎭⎰⎰⎰⎰6132211231492(m)64tt t t ⎛⎫=+++= ⎪⎝⎭.所以物体在1s~6s 2间的运动路程是49m 4. 故选:C 【点睛】本题考查了定积分的实际应用,考查了学生转化划归,数形结合,数学运算的能力,属于中档题.3.D解析:D 【解析】直线4y x =与曲线3y x =的交点坐标为(0,0)和(2,8), 故直线4y x =与曲线3y x =在第一象限内围成的封闭图形的面积23242001(4)2|8444S x x dx x x ⎛⎫=⎰-=-=-= ⎪⎝⎭.故选D .4.C解析:C【解析】因为1113212312000000111122,,|223333a xdx x b x dx x c x =========⎰⎰,所以b ac <<,故选C.5.C解析:C 【解析】试题分析:画出函数图象如下图所示,所以围成的面积为()13122333232333x xx dx x x --⎛⎫--=--= ⎪⎝⎭⎰.考点:定积分.6.D解析:D 【解析】试题分析:由定积分的几何意义得,293122122132221=-+=-+=--⎰)(])[(x x x dx x x s ,故选D 。
高中数学学习材料 (灿若寒星 精心整理制作)定积分 练习与解析2一、选择题:在每小题给出的四个选项中,只有一项是符合题目要求的,请把正确答案的代号填在题后的括号内1.将和式的极限)0(.......321lim 1>+++++∞→p nn P pp p p n 表示成定积分 ( )A .dx x⎰101B .dx x p ⎰1C .dx x p ⎰10)1(D .dx nxp ⎰10)(解析:⎰∑=⎪⎭⎫⎝⎛=⎥⎥⎦⎤⎢⎢⎣⎡⎪⎭⎫ ⎝⎛++⎪⎭⎫ ⎝⎛+⎪⎭⎫ ⎝⎛=+++∞→∞→+∞→1011B.,11211321lim lim lim 故选dx x n n n n n n n n n p pnn pp p n p p p p p n2.下列等于1的积分是( )A .dx x ⎰1B .dx x ⎰+10)1(C .dx ⎰101D .dx ⎰1021解析:.,111010C x dx 故选==⎰3.dx x |4|102⎰-=( )A .311 B . 312C .313 D . 314解析:dx x |4|102⎰-().3113143144103102=-=⎪⎭⎫ ⎝⎛-=-=⎰x x dx x4.已知自由落体运动的速率gt v =,则落体运动从0=t 到0t t =所走的路程为 ( )A .320gt B .20gtC .220gtD .62gt解析:路程.,21212002000C gt gt gtdt s t t 故选===⎰5.曲线]23,0[,cos π∈=x x y 与坐标轴围成的面积( )A .4B .2C .25D .3解析:由定积分的几何意义可知,面积().,3111sin sin cos cos 2322023220C xx xdx xdx s 故选=---=-=-=⎰⎰ππππππ6.dx e e x x ⎰-+10)(=( )A .ee 1+B .2eC .e 2 D .ee 1- 解析:dx e e x x ⎰-+1)(()()().,1111101010D ee e e e e e e xxxx 故选-=---=-=-=---7、若⎰=-k020)32(dx x x ,则k 等于( )A 0B 1C 0或1D 不确定 解析:()()().,110,0)32(320k322B k k k k k x x dx x x k 故选或舍或舍=-==∴=-=-=-⎰8.如果1N 力能拉长弹簧1cm ,为将弹簧拉长6cm ,所耗费的功是 ( ) A .0.18 B .0.26 C .0.12 D .0.28解析:弹簧所受拉力F (牛顿)与伸长距离x (米)满足胡克定律F=kx ,由题设知,100=k 拉力所做功W=.,18.05010006.00206.0A x xdx o 故选==⎰二、填空题:请把答案填在题中横线上,9.求由1,2,===y x e y x 围成的曲边梯形的面积时,若选择x为积分变量,则积分区间为 ___________.解析:由图像知,积分区间为[]20,. 10.220(3)10,x k dx k +==⎰则 , 831xdx -=⎰__________________.解析:()()().445431214384343;1,10223343481348133203202=-=--⋅===∴=+=+=+--⎰⎰x dx x k k kxx dx k x11.按万有引力定律,两质点间的吸引力221r m m kF =,k为常数,21,m m 为两质点的质量r为两点间距离,若两质点起始距离为a,质点1m 沿直线移动至离2m 的距离为b处, 求所作之功(b>a ) 解析:()().11121121121221⎪⎭⎫⎝⎛-=⋅-=⋅-⋅===--⎰⎰b a m km r m km r m km dr rm m kdx x F W b ab a baba三、解答题:解答应写出文字说明、证明过程或演算步骤 12.计算下列定积分的值(1)⎰--43)4)(3(dx x x ; (2)dx x x ⎰+20)sin (π;;(3)1211e dx x +-⎰(4) 221x x dx --⎰ 分析:使用微积分基本定理求定积分.关键是运用基本初等函数的求导公式和导数的四则运算法则,从反方向上求得一个原函数)(x F . 解:(1)6131232733412427342323-=⎪⎪⎭⎫⎝⎛⋅+⋅--⎪⎪⎭⎫ ⎝⎛⋅+⋅-= (2)(3) 原式=12ln(1)|e x +-=ln ln1e -=1(4)221021222101222303132101:||()()()111()|()|()|322332116x x dx x x dx x x dx x x dxx x x x x x ----=-+-+-=-+-+-=⎰⎰⎰⎰解 讲评:考察微积分基本定理的应用.第(4) 题是分段函数的定积分,需恰当分段后求值. 13.求曲线x x x y 223++-=与x 轴所围成的图形的面积. 分析:解:首先求出函数x x x y 223++-=的零点:11-=x ,02=x ,23=x .又易判断出在)0 , 1(-内,图形在x 轴下方,在)2 , 0(内,图形在x 轴上方,所以所求面积为dx x x x A ⎰-++--=0123)2(dx x x x ⎰++-+223)2(1237=讲评:本题考察定积分的几何意义与基本运算.14、 在曲线)0(2≥=x x y 上的某点A 处做一切线使之与曲线以及x 轴所围成的面积为121. 试求:切点A 的坐标以及切线方程.分析:引入切点坐标(200,x x ),由导数的意义求得切线方程.然后由定积分的几何意义,建立关于0x 的方程求解. 解:设点A(200,x x ),函数2x y = 的导函数为x y 2,=.00,2x x x y ==∴.曲线在点 处的切线方程为()00202x x x x y -=-,即2002x x x y -=可得切线与x 轴交于点⎪⎭⎫⎝⎛0,20x阴影部分的面积121121413141312212020202003200200==-=-=⋅⋅-=⎰x x x x x x x dx x s x x (),1,1.10A x =∴切线方程为12-=x y .讲评:本题考察导数和定积分的基本概念.。
高中数学学习材料(灿若寒星 精心整理制作)定积分 同步练习1. 曲线3x y =与直线x y =所围成的面积为 ( C )A 、⎰-103)(dx x xB 、⎰--113)(dx x x C 、⎰-103)(2dx x x D 、⎰--013)(dx x x 2. 曲线1,4,22===y x y x y 所围成图形的面积为 ( B ) A 、34 B 、32 C 、31 D 、383. 由y=sinx 一个周期与x 轴所围成图形的面积为( B )A 、3B 、4C 、5D 、64. 由曲线))()((),(),(x g x f x g y x f y >==与直线)(,,a b b x a x >==所围成图形的面积为 ( B )A 、dx x g x f b a ])()([⎰+B 、dx x g x f ba ])()([⎰- C 、dx x g x f ab ])()([⎰+ D 、dx x g x f ab ])()([⎰- 5. 由π====x x x y x y ,0,cos ,sin 所围成的图形的面积可表示为 ( B )A 、⎰-π0)cos (sin dx x x B 、⎰-40)sin (cos πdx x x +⎰-ππ4)cos (sin dx x x C 、⎰-π0)sin (cos dx x x D 、⎰-20)sin (cos πdx x x +⎰-ππ2)cos (sin dx x x6. 由y=x 与y=x 轴所围成图形的面积为 ( D )A 、 12B 、13C 、15D 、167. 设0)(<x f 且y=f ( x ) 与x=a , x=b 及x 轴所围成的面积为S ,则dx x f ba ⎰)(=_________ 8. 抛物线23:x y C -=与直线x y 2=所围成的图形的面积为___________________.9. 由曲线)20(,42≤≤-=x x y 与x 轴、y 轴所围成的图形被曲线)0(,2>=a ax y 分成面积相等的两部分,则常数a =_______________.10. 求抛物线2:45C y x x =-+与x 轴,直线3,5x x ==所围成的图形的面积.11.求抛物线21:1C y x =-与22:1C y x =-所围成的图形的面积.12. 一质点作直线运动,速度v(t)(单位:m /s)与时间t(单位:s)满足关系 2()3(0)v t t t =≥试求质点在前10 s 内所走过的路程S.13. 某水库有一水闸,闸门是矩形,已知这个闸门的宽AB=2m ,高AD=3m ,求当水库内蓄水面达到闸门顶时,闸门所受的总压力.14. 已知A(-1,2) 为抛物线22:x y C =上的点, 直线1l 过点A 且与抛物线C 相切. 直线2l :)1(-≠=a a x 交抛物线C于点B, 交直线1l 于D.(1)求直线1l 的方程;(2)设△ABD 的面积为S 1, 求|BD |及的值;(3)设由抛物线C 、直线11,l l 所围成图形的面积为S 2, 求证S 1∶S 2是与a 无关的常数.参考答案1.C2.B3.B4.B5.B6.D7. -S8. 332 9. 2210.32311.83 12. 质点在前10 s 内所走过的路程1000M. 13.14. (1) 024=++y x(2) |BD |2)1(2+=a ,311+=a S .(3) 当1->a 时, ⎰-+=++=a a dx x x S 1322)1(32)242( , 当1->a 时, ⎰-+-=++=1322)1(32)242(aa dx x x S . 所以S 1∶S 2 =23, 故S 1∶S 2是与a 无关的常数..。
1.5 定积分(苏教版选修2-2)一、填空题(每小题5分,共30分) 1.定积分103d x x ⎰的值为 .2.定积分πsin d x x ⎰=.3.定积分ln 2e d x x ⎰的值为 .4.定积分120)d x x =⎰ .5.根据定积分的几何意义,计算x ⎰= .6.利用定积分的几何意义或微积分基本定理计算下列定积分: (1)x ⎰= .(2)312d xx =⎰ .二、解答题(7题24分,8题20分,9题26分,共70分)7.(1)求抛物线y 2=x 与直线x -2y -3=0所围成的图形的面积.(2)求定积分π202sin cos d x x x +⎰().8.抛物线22y x =把圆228x y +=分成左、右两部分,求左、右两部分面积之比.()349.1|2|d ;x x -+⎰计算:()e 1212d .1x x +-⎰1.5 定积分(苏教版选修2-2)答题纸得分:一、填空题1. 2. 3. 4. 5. 6.二、解答题7.8.9.1.5 定积分(苏教版选修2-2)答案一、填空题11200ππ00ln2xln 2ln20031232123331.3d .2222.2sin d (cos )11 2.3.1e e e d e e e 21 1.112114.()d .03333π35.4d 3x x x x x x x x x x x x x x x x x OABC ===-=+='=∴==-=-=⎛⎫-=-= ⎪⎝⎭+-⎰⎰⎰⎰⎰Q (),由定分的几何意知:是如所示的影部分曲梯形的面,其中积义图阴边积解析:解析:解析:解析:解析:12012202123311π31330,4d S .3π66.1d 1,0,14ln 2π1π1d ==.44311116222,2d 222.1ln 2ln 2ln 2ln 2ln 2AOB BOC x x x x BBOC x x S x x y x x x x x x ∆∠=︒-=+=+-=-==•-'⎛⎫=∴==-= ⎪⎝⎭⎰⎰⎰⎰Q 扇形(,),故(1);(2)(1)由定分的几何意知是由曲直成的封形的面,故()积义线线围闭图积解析:二、解答题21901πππππ22222000,132(1)1193[()]d (3)d 23230(2)2sin cos d 2sin d cos d 2cos sin 20110 3.y x A B S x x x x x x x y x x x x x x x xx⎧⎡⎤-∴=--+--=⎨⎢⎥--⎣⎦⎩+=+=-+=--+-=⎰⎰⎰⎰⎰=如,由可得(,),(,),.=()()()7.解:图8.解:抛物线22y x =与圆228x y +=的交点分别为(2,2)与(2,2)-,抛物线将圆分成左、右两个部分1A ,2A ,记它们的面积分别为1S ,2S ,则有2S =2222(8)d 2y y y ---⎰=24488cos d 3θθ--⎰ππ=423+π,118S A =-π=463-π,于是12S S =46π342π3-+=9π23π+2-. 9.解:(1)34|2|d x x -+⎰=23422d 2d x x x x ----+++⎰⎰()()=2241(2)|2x x ---++2321(2)|2x x -+=292. (2) 原式=e 12ln(1)|x +-=ln e ln1-=1.。
课时作业(十七)一、选择题1.一物体沿直线以v =3t +2(t 单位:s ,v 单位:m /s )的速度运动,则该物体在3 s ~6 s 间的运动路程为( )A .46 mB .46.5 mC .87 mD .47 m答案 B 解析 s =⎠⎛36(3t +2)d t =⎝⎛⎭⎪⎫32t 2+2t |63 =(54+12)-⎝⎛⎭⎪⎫272+6=46.5 (m ).故选B .2.以初速40 m /s 竖直向上抛一物体,t s 时刻的速度v =40-10t 2,则此物体达到最高时的高度为( )A .1603 m B .803 m C .403 m D .203m答案 A解析 由v =40-10t 2=0,得t 2=4,t =2. ∴h =⎠⎛02(40-10t 2)d t =⎝⎛⎭⎪⎫40t -103t 3 |20=80-803=1603(m ).故选A .3.一物体在力F(x)=3x 2-2x +5(力单位:N ,位移单位:m )作用力下,沿与力F(x)相同的方向由x =5 m 直线运动到x =10 m 处做的功是( )A .925 JB .850 JC .825 JD .800 J答案 C解析 W =∫105F(x)d x =∫105(3x 2-2x +5)d x=(x 3-x 2+5x) |105=(1 000-100+50)-(125-25+25)=825(J ).故选C .4.若某质点的初速度v(0)=1,其加速度a(t)=6t ,做直线运动,则质点在t =2 s 时的瞬时速度为( )A .5B .7C .9D .13答案 D解析 v(2)-v(0)=⎠⎛02a(t)d t =⎠⎛026t d t =3t 2 |20=12,所以v(2)=v(0)+3×22=1+12=13.故选D .5.已知物体自由下落的速率为v =gt ,则某物体做自由落体从t =0到t =t 0所走的路程为( )A .13gt 20B .gt 20C .12gt 20D .16gt 20答案 C 二、填空题6.一列车沿直线轨道前进,刹车后列车速度为v(t)=27-0.9t ,则列车刹车后前进________米才能停车.答案 4057.右图中阴影部分的面积S =______. 答案 163解析 由图知,S =⎠⎛02[(5-x 2)-1]d x =(4x -x 33) |20=(8-83)-0=163.8.由曲线y =x 2+4与直线y =5x ,x =0,x =4所围成平面图形的面积是________.答案 1939.椭圆x 216+y 29=1所围区域的面积为________. 答案 12π 三、解答题10.某物体做直线运动,速度为v =1+t(m /s ),求该物体自运动开始到10 s 末所经过的路程,并求物体前10 s 内的平均速度.解析 ⎠⎛0101+t d t =23(1+t)32|100=23(1132-1),平均速度=230(1132-1).11.设有一长25 cm 的弹簧,若加以100 N 的力,则弹簧伸长到30 cm ,又已知弹簧伸长所需要的拉力与弹簧的伸长量成正比,求使弹簧由25 cm 伸长到40 cm 所作的功.解析 设x 表示弹簧伸长的量(单位:m ), F(x)表示加在弹簧上的力(单位:N ). 由题意F(x)=kx ,且当x =0.05 m 时,F(0.05)=100 N ,即0.05k =100. ∴k =2 000,∴F(x)=2 000x.∴将弹簧由25 cm 伸长到40 cm 时所作的功为W =∫0.150 2 000x d x =1 000x 2 |0.150=22.5(J ).►重点班·选做题12.已知甲、乙两车由同一起点同时出发,并沿同一路线(假定为直线)行驶.甲车、乙车的速度曲线分别为v 甲和v 乙(如右图所示).那么对于图中给定的t 0和t 1,下列判断中一定正确的是( )A .在t 1时刻,甲车在乙车前面B .t 1时刻后,甲车在乙车后面C .在t 0时刻,两车的位置相同D .t 0时刻后,乙车在甲车前面 答案 B13.一物体A 以速度v =3t 2+2(t 的单位:s ,v 的单位:m /s ),在一条直线上运动,在此直线上在物体A 出发的同时,物体B 在物体A 的正前方8 m 处以v =8t 的速度与A 同向运动,设n s 后两物体相遇,则n 的值为________.答案 4 s1.一物体在变力F(x)=5-x 2(力单位:N ,位移单位:m )作用下,沿与F(x)成30°方向做直线运动,则由x =1 m 运动到x =2 m 时F(x)做的功为( )A . 3 JB .233 JC .433 J D .2 3 J答案 C解析 W =⎠⎛12F(x)cos 30°d x =32⎠⎛12(5-x 2)d x =32(5x -13x 3) |21=32(5-73)=433(J ).故选C .2.若某产品一天内的产量(单位:百件)是时间t 的函数,如果已知产量的变化率a =36t ,那么从3小时到6小时这段时间内的产量为( )A .12百件B .(3-322)百件 C .(6+32)百件 D .(6-32)百件答案 D。
自我小测1.在求由抛物线y=x2+6与直线x=2,y=0所围成的平面图形的面积时,把区间[0,2]等分成n个小区间,则第i个区间为__________.2.定积分ba⎰c d x(c为常数)的值为________.3.设f(x)在[a,b]上连续,将[a,b]n等分,在每个小区间上任取ξi,则ba⎰f(x)d x是________.4.若π2⎰cos x d x=1,则由x=0,x=π,f(x)=sin x及x轴围成的图形的面积为________.5.由定积分的几何意义可得x-=⎰________.6.当n→∞时,1π2π(1)πsin sin sinnn n n n-⎡⎤+++⎢⎥⎣⎦表示成定积分为________.7.用定积分表示下列阴影部分的面积(不要求计算):(1)S=________(图(1));(2)S=________(图(2));(3)S=________(图(3)).图(1)图(2)图(3)8.若a⎰x d x =1(a >0),则实数a 的值为__________.9.计算定积分5⎰(3x -6)d x .10.用曲边梯形面积的计算方法求由直线x =0,x =1,y =0及直线y =3x 所围成图形的面积.参考答案1答案:2(1)2,i i nn -⎡⎤⎢⎥⎣⎦ 解析:每个小区间的长度是2n ,所以左端点是0+(i +1)×2n =2(1)i n -,右端点是2in. 2答案:c (b -a ) 3答案:1()ni i b a f n ξ=-∑,n →∞ 解析:每一份长度为b an-,高为f (ξi ), ∴面积为()i b a f nξ-, ∴()d baf x x ⎰为1()ni i b af nξ=-∑,n →∞. 4答案:2 解析:由正弦函数与余弦函数的图象,知f (x )=sin x ,x ∈[0,π]的图象与x 轴围成的图形的面积,等于g (x )=cos x ,x ∈π0,2⎡⎤⎢⎥⎣⎦的图象与x 轴围成的图形的面积的2倍.所以答案应为2.5答案:π 解析:该定积分的值表示圆x 2+y 2=4在第二象限部分(即四分之一个圆)的面积,故x -⎰=14·π·22=π. 6答案:πsin d x x ⎰7答案:(1)ππ3⎰sin x d x (2)224d 2x x -⎰ (3)1924d x x ⎰ 8解析:由定积分的几何意义知:0a⎰xdx =12×a ×a =1(a >0),则有a9答案:解:如图,计算可得A 的面积为272,B 的面积为6,从而52715(36)d 622x x =-=⎰-.10答案:解:(1)分割:把区间[0,1]等分成n 个小区间1i i n n -⎡⎤⎢⎥⎣⎦,(i =1,2,…,n ),其长度为Δx =1n,把梯形分成n 个小梯形,其面积记为ΔS i (i =1,2,…,n ). (2)近似代替:用小矩形面积近似代替小梯形面积.1i i S f x n -⎛⎫∆=∆ ⎪⎝⎭=113i n n-⋅⋅ =23n(i -1)(i =1,2,…,n ). (3)作和:2113(1)n nii i S i n==∆=-∑∑=23n [1+2+…+(n -1)] =312n n -⋅=3112n ⎛⎫- ⎪⎝⎭. (4)逼近:21331(1)12ni i n n =⎛⎫-=- ⎪⎝⎭∑, 当n →∞时,S →32, 故所求面积约等于32.。
定积分 练习与解析1
一、选择题:在每小题给出的四个选项中,只有一项是符合题目要求的,请把正确答案的代
号填在题后的括号内 1.根据定积分的定义,dx x ⎰2
02=( )
A. n n i n
i 112
1⋅⎪⎭⎫ ⎝⎛-∑= B. n n i n
i n 1
12
1lim ⋅⎪⎭
⎫ ⎝⎛-∑=∞→ C. n n i n
i 2
22
1⋅⎪⎭
⎫ ⎝⎛∑= D. n n i n
i n 222
1lim
⋅⎪⎭
⎫ ⎝⎛∑=∞→ 解析:由求定积分的四个步骤:分割,近似代替,求和,取极限.可知选项为D 2、⎰-+22
)cos (sin π
πdx x x 的值为( )
A 0 B
4
π
C 2
D 4 解析:⎰-+22
)cos (sin π
πdx x x =()
22
sin cos ππ-
+-x x ⎥⎦
⎤
⎢⎣⎡⎪⎭⎫ ⎝⎛-+⎪⎭⎫ ⎝⎛---⎪⎭⎫ ⎝⎛+-2sin 2cos 2sin 2cos ππππ=2,
故选C.
3、直线4-=x y 与抛物线x y 22=所围成的图形面积是( ) A 15 B 16 C 17 D 18
解析:直线4-=x y 与抛物线x y 22=的交点为()().4,8,2,2-结合图像可知面积
()()[]1812303
1213021248221
4
2
3242=-=⋅-=---⨯+=
--⎰y dy y s
.此题选取y 为积分变量较容易. 选D.
4.以初速度40m/s 素质向上抛一物体,ts 时刻的速度 21040t v -= ,则此物体达到最高时的高度为( )
A . m 3160 B. m 380 C. m 340 D. m 320
解析:由
2
1040t v -==0,得物体达到最高时
t =2.高度
()
()m t t dt t h 3160310401040203202=
⎪⎭⎫ ⎝
⎛
-=-=⎰
5.一物体在力()5232+-=x x x F (力单位:N ,位移单位:m )作用下沿与()x F 相同的方向由m x 5=直线运动到 m x 10=处作的功是( )
A. J 925 B . J 850 C . J 825 D. J 800 解析:
W=()()
()()
8255555105101055232323105
2310
52=⨯+--⨯+-=+-=+-⎰x
x x dx x x (J ),故选C.
6.()=--⎰dx x 1
2
11( )
A.1
B.
4π C. 2
π
D. π 解析:函数()2
11--=x y 的图像是圆心为()0,1,半径为1的圆的上半部分.由定积分的几何意义知道,所求定积分为圆面积的
41,也即是4
π
,故选B. 7.由直线1,+-==x y x y ,及x轴围成平面图形的面积为 ( )
A .()[]dy y y ⎰--1
1
B .()[]dx x x ⎰
-+-210
1
C .()[]dy y y ⎰
--210
1
D .()[]dx x x ⎰+--1
1
解析:两直线交于点.()1,1.选取y 为积分变量,所求图形面积为
()⎰⎰--10101ydy dy y =()[]dy y y ⎰--1
01
8.将边长为1米的正方形薄片垂直放于比彼一时为ρ的液体中,使其上距液面距离为2米,则该正方形薄片所受液压力为 ( ) A .⎰32dx x ρ B .()⎰+212dx x ρ C .⎰1
0dx x ρ D .()⎰+32
1dx x ρ
解析:由物理知识可知选A.
二、填空题:请把答案填在题中横线上,
9.将和式)21.........2111(
lim n
n n n +++++∞→表示为定积分 . 解析:由定积分的定义知,和式可表示为dx x ⎰+1011
. 10.由x y c os =及x 轴围成的介于0与2π之间的平面图形的面积,利用定积分应表达为 . 解析:由定积分的几何意义知,面积可表示为dx x ⎰π
20cos
11.计算下列定积分的值:(1)240cos 2
x
dx π
⎰=_________ (2) 2
21
x xdx --⎰=_________
(1)
.4
040401cos :2
1 (1cos )21
(sin )21 (24 8x
dx x dx
x x π
π
π
ππ+==+=+==+
⎰⎰解原式 (2)22
1021222101222303132101
:||()()()111()|()|()|322332
116
x x dx x x dx x x dx x x dx x x x x x x ----=-+-+-=-+-+-=⎰⎰⎰⎰解
三、解答题:解答应写出文字说明、证明过程或演算步骤
12.物体A 以速度231v t =+在一直线上运动,在此直线上与物体A 出发的同时,物体B 在物体A 的正前方5m 处以10v t =的速度与A 同向运动,问两物体何时相遇?相遇时物体A 的走过的路程是多少?(时间单位为:s ,速度单位为:m/s )(15分) 分析:做变速直线运动的物体,速度函数为()t v v = ,则路程()dt t v s t
⎰=0.
解:设A 追上B 时,所用的时间为0t 依题意有
B 5A S S =+
即0
2
(31)105t t t dx tdx +=+⎰⎰
3200055t t t +=+
22000(1)5(1)t t t +=+ 0t =5 (s)
所以 A S =2055t +=130 (m)
讲评:考察定积分在物理中的应用:变速直线运动的路程. 13.(12分)一物体按规律x =bt 3作直线运动,式中x 为时间t 内通过的距离,媒质的阻力正比于速度的平方.试求物体由x =0运动到x =a 时,阻力所作的功
分析:首先建立速度关于时间t 的函数,进而得阻力关于t 的函数.由()dx x F W a
⎰=0可得阻力所
做功.
解析:物体的速度233)(bt bt dt
dx
V ='==.媒质阻力422229)3(t kb bt k kv F zu ===,其中k 为比例常数,k>0.
当x=0时,t=0;当x=a 时,31
1)(b
a
t t ==,又ds=vdt ,故阻力所作的功为
32
771303203027
27727)3(111b a k t kb dt bt k dt v k dt v kv ds F W t t t zu zu ====⋅==⎰⎰⎰⎰
讲评:考察定积分在物理中的应用:变力做功.
14.设直线y ax =(1)a <与抛物线2y x =所围成的图形面积为S,它们与直线1x =围成的面积为T, 若U=S+T 达到最小值,求a 值.
分析:首先做草图,求得直线y ax =(1)a <与抛物线2y x =的交点.用定积分求面积S 和 T (关于a
的函数).进而用导数研究函数的单调性,并求最值. 22
233332
003233312
132:(1)01,1
(0,0)(,)()()2323611()(((323232326
1
3231'. '0,2a a a a a y ax a a y x ax x a a a S ax x dx x ax a a a a a T x ax dx a a U S T U a U a <<=⎧⎨=⎩=-=-=-=
=-=-=---=
-+
∴=+
=-+
=-=
=⎰⎰解当时
如图由得交点和令得 22
230
2
03333212
10
03'0 '022,,26
(2)0,2
(0,0)(,)()()23236()()3211()3232
1
. 623
'a
a a U a U a U a y ax a a y x ax x S ax x dx a a a x ax T x ax dx a a a a U S T U ∈<∈>=<=⎧⎨=⎩=-=-=-+=-
=-=-=-=-∴=+=--+⎰⎰当时,当时,故当最小值为当时如图由得交点和()21
32
(),0.
a U a =--<-∞所以函数在上单调递减 故函数()U a 无最小值。
图
当0
a 时,显然无最小值。
讲评:结合解析几何的知识,考察定积分求曲边梯形的面积,同时结合导数研究函数的单调性和最值.。