广东省房屋建筑和市政修缮工程综合定额(2012)
- 格式:xls
- 大小:402.00 KB
- 文档页数:37
2012广东修缮定额一、修缮定额的概念及作用修缮定额是指在建筑修缮工程中,根据不同的修缮项目和工程量,按照一定的标准和规范所确定的工程造价定额。
它对于修缮工程的合理预算和施工进度控制起着重要的作用。
二、修缮定额的编制原则修缮定额的编制需要遵循以下原则:1. 合理性原则:修缮定额应符合实际工程需要,合理反映修缮项目的实际情况。
2. 统一性原则:修缮定额应按照国家相关工程建设标准和规范进行编制,以确保统一的工程质量和施工标准。
3. 可操作性原则:修缮定额应具有一定的操作性,便于工程管理人员根据实际情况进行修缮工程的预算和控制。
4. 适用性原则:修缮定额应适用于不同类型的修缮项目,包括不同材料、不同结构和不同规模的修缮工程。
5. 更新性原则:修缮定额应随着科技进步和工程管理的发展进行更新和修订,以适应不断变化的修缮工程需求。
三、修缮定额的组成部分修缮定额通常由以下几个部分组成:1. 工程量清单:列出了修缮工程的各项工程量,包括数量、单位、单价等信息,是修缮定额编制的基础。
2. 定额表:根据修缮项目的不同特点和施工要求,列出了各项修缮工程的定额,包括材料消耗量、工人工时等内容。
3. 单位工程造价:根据工程量清单和定额表,计算出每个单位工程的造价,包括人工费、材料费、设备费等项目。
4. 附录和说明:对于一些特殊情况或需要解释的内容,可以在修缮定额中添加附录和说明,以帮助工程管理人员更好地理解和使用定额。
四、修缮定额的应用范围修缮定额主要适用于以下几个方面:1. 修缮工程的预算编制:根据修缮定额,可以对修缮工程的造价进行合理预算,为工程管理和资金筹措提供依据。
2. 施工进度控制:修缮定额可以帮助工程管理人员合理安排施工进度,避免工期延误和资源浪费。
3. 资金监管:修缮定额可以作为资金监管的依据,对修缮工程的资金使用情况进行监督和控制。
4. 施工质量控制:修缮定额中包含了各项修缮工程的标准和规范,可以帮助工程管理人员进行施工质量的控制和监督。
安装工程修缮定额(2012)主讲老师:张毅坚2012年《广东省房屋建筑和市政修缮工程综合定额》(安装修缮工程)编制技术报告2012.10广东省建设工程造价管理总站根据建立健全我省工程计价依据的要求,为满足我省建筑市场计价的需要,适应建设工程项目的工程造价全过程管理的需要,我站组织成立了以各市造价站为主要成员,部分施工单位、造价咨询单位、财政评审单位、建设单位参与的编制组。
在编制组全体成员的共同努力和各有关单位的大力支持下,顺利完成各项编制任务,并组织召开了多次审查会议。
2011年9月26日省住建厅正式向社会各界公开征求意见(《关于征求《广东省房屋建筑与市政修缮工程综合定额(机电安装、市政工程)》意见的通知》粤建市函【2011】638号),2012年经厅办公会议审查通过,2012年7月23日正式发文粤建市【2012】85号(广东省住房和城乡建设厅关于印发《广东省房屋建筑和市政修缮工程综合定额》的通知),要求自10月1日起施行。
现将《广东省房屋建筑和市政修缮工程综合定额》(简称《修缮定额》)安装修缮工程有关情况说明如下。
一、编制过程《修缮定额》从2009年下半年开始筹备。
2010年6月《修缮定额》编制方案得到省住建厅的批准,《修缮定额》编制工作的全面启动。
为满足编制工作的需要,确保编制进度和质量,《修缮定额》(安装修缮工程),省造价管理总站组织了部分市造价站、工程造价咨询企业等单位专家共10余人,先后召开了6次专业会议,参会人员71人次,累计会议时间14天。
2010年6月23-24日,召开编制工作第一次全体会议,确定了编制方案,组织成立了编制工作组,并对编制任务进行分工。
第二组负责《修缮定额》(安装、市政修缮工程)。
2010年6月-2011年7月,着手编制《修缮定额》(安装修缮工程)。
2010年10月18-20日、2011年2月23-25日、3月23日、7月4-5日召开《修缮定额》(安装修缮工程)编制审查工作第二、三、四、五次会议,讨论、审查并原则通过列项内容,确定并审查各章节定额消耗水平。
2012广东修缮定额修缮定额(Quotas for Renovation and Repair)是指针对特定的修缮项目所制定的工程计量标准。
广东省于2012年制定了适用于各类修缮工程的修缮定额,以确保修缮工程的质量和效益。
一、修缮定额的重要性修缮定额在修缮工程中起到了至关重要的作用。
它既是施工过程中对劳动力、材料和时间的一个合理安排,又是为修缮工程提供一个标准的成本控制和质量保障手段。
二、修缮定额的编制原则2012年广东修缮定额的编制遵循以下原则:1. 科学性:修缮定额应基于充分的技术研究和实践经验,确保其可行性和准确性。
2. 合理性:修缮定额要充分考虑工程的实际情况和特殊要求,确保修缮工程的质量和效益。
3. 公正性:修缮定额的编制应公正透明,不偏袒任何一方利益,维护公平竞争的市场环境。
三、修缮定额的使用范围广东省的修缮定额适用于各类修缮工程,包括但不限于建筑物的外墙修补、室内装修、设备设施的更新等。
修缮定额以项目为单位,针对具体的修缮工作进行编制和使用。
四、修缮定额的结构和内容修缮定额主要包括以下三部分内容:1. 劳动定额:包括人工工时、工种、技术要求等方面的指标。
它对修缮工程所需的劳动力投入进行了科学和规范的安排。
2. 材料定额:涵盖了修缮工程所需要的各类材料的规格、数量、价格等信息。
材料定额的编制旨在控制材料的使用成本,实现资源的合理配置。
3. 机械设备定额:对于需要使用机械设备的修缮工程,修缮定额还包括机械设备的使用标准、效率、费用等方面的指标。
五、修缮定额的应用修缮定额既可以作为政府和相关部门进行批复和审批的依据,也可以作为工程承包商和业主进行工程成本核算和结算的依据。
同时,修缮定额还能够为修缮工程的监管和质量管理提供参考。
六、修缮定额的评估和更新为了适应社会的发展和建筑技术的进步,修缮定额需要定期进行评估和更新。
广东省相关部门应根据修缮工程的实际需要,及时完善和更新修缮定额,并及时公布和执行。
关于《广东省房屋建筑和市政修缮工程综合定额(2012)》征订工作的通知(粤建造函[2012]110号)粤建造函[2012]110号各有关单位:经广东省住房和城乡建设厅颁发的《广东省房屋建筑和市政修缮工程综合定额(2012)》(以下简称《修缮定额》)将于2012年10月1日施行,目前《修缮定额》正在印刷,为确保该定额在我省顺利实施,我站属下广东建价建筑经济技术服务中心即日起接受各单位和个人预购,并于9月初邮寄到各单位使用。
有关事宜通知如下:一、《修缮定额》简要说明《修缮定额》经我站组织编制,由广东省住房和城乡建设厅颁发执行,适用于我省行政区域内的房屋建筑和市政基础设施的修缮工程,是我省建设工程计价依据的重要组成部分。
《修缮定额》共分三册约900页,包括:第一册“建筑与装饰修缮工程”,适用于房屋建筑、装饰装修的修缮工程;第二册“安装修缮工程”,适用于水、电、通风空调等修缮工程;第三册“市政修缮工程”,适用于市政基础设施修补、维修工程。
《修缮定额》是我省建设工程计价与管理的重要依据,是编审修缮工程设计概算、招标控制价、施工图预算、工程计量与价款支付、工程价款调整、竣工结算、调解工程造价纠纷、鉴定工程造价的依据。
二、预订方法1、委托广东建价建筑经济技术服务中心负责《修缮定额》的征订与发行工作,凡于2012年9月15日前预购《修缮定额》按定价的8.5折。
2012年9月17日起《修缮定额》按定价公开发行。
2、预购方法①:预购者可到广州市解放北路801号首层建设书店办理。
3、预购方法②:通过银行转帐或汇款(收款人栏仅填写收款单位名称)订购,将转帐或汇款凭证复印件和填写好的征订回执通过传真、邮寄或发电子邮件到收款单位。
收款单位:广东建价建筑经济技术服务中心地址:广州市解放北路801号桂冠大厦首层建设书店(邮编510040)联系人(电话/传真):朱慧琴吴惠冬开户银行:中国农业银行广州解放北路支行银行户名:广东建价建筑经济技术服务中心帐号:44-031301040003282附表:《修缮定额》预订回执表单位名称单位地址邮编联系人联系电话、手机订购资料名称及数量名称单位定价折后价数量总金额广东省房屋建筑和市政修缮工套480元408元程综合定额(2012)注:请详细填写地址,预计2012年9月初向预购者邮送《修缮定额》。
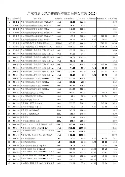
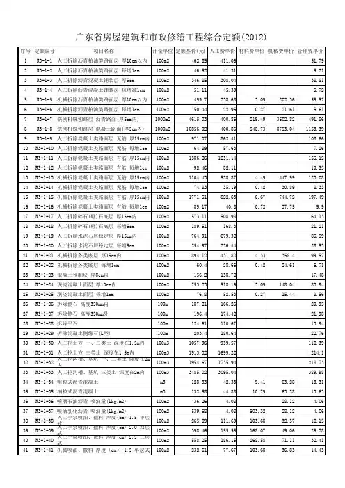
目录1. 总说明 (3)2. 土建修缮 (6)2.1 册说明 (6)2.2 第一部分分部分项工程项目 (8)2.2.1 R.1 拆除工程 (8)2.2.2 R.2 土石方工程 (10)2.2.3 R.3 砖石修补工程 (13)2.2.4 R.4 补强加固工程 (14)2.2.5 R.5 木作门窗修补工程 (16)2.2.6 R.6 屋面修补工程 (19)2.2.7 R.7 防水修补工程 (21)2.2.8 R.8 装饰修补工程 (23)2.3 第二部分措施项目 (26)2.3.1 R.9 运输工程 (26)2.3.2 R.10 脚手架及支架工程 (27)2.3.3 R.11 措施其他项目 (30)2.4 第三部分其他项目 (34)2.5 第四部分规费 (36)2.6 第五部分税金 (37)2.7 附录 (38)2.7.1 附录1 利润标准 (38)2.7.2 附录2 油漆工程量系数表 (38)2.7.3 附录3 脚手架及支架工程示意图 (44)3. 安装修缮 (47)3.1 册说明 (47)3.2 第一部分分部分项工程项目 (49)3.2.1 R.2.1 电气拆除工程 (49)3.2.2 R.2.2 给排水、燃气拆除及维修工程 (53)3.2.3 R.2.3 消防拆除工程 (55)3.2.4 R.2.4 建筑智能化拆除及检修工程 (57)3.2.5 R.2.5 通风空调拆除及检修工程 (59)3.2.6 R.2.6 刷油、防腐、绝热拆除及修补工程 (61)3.2.7 R.2.7 分部分项工程增加费 (62)3.3 第二部分措施项目 (65)3.4 第三部分其他项目 (69)3.5 第四部分规费 (72)3.6 第五部分税金 (73)3.7 附录 (74)3.7.1 附录一利润 (74)3.7.2 附录二管理费分摊费率表 (74)4. 市政修缮 (75)4.1 册说明 (75)4.2 第一部分分部分项工程项目 (76)4.2.1 R.3.1 道路工程 (76)4.2.2 R.3.2 排水工程 (77)4.2.3 R.3.3 桥涵工程 (78)4.2.4 R.3.4 给水、燃气工程 (80)4.3 第二部分措施项目 (83)4.3.1 R.3.5 安全文明施工费 (83)4.3.2 R.3.6 措施其他项目 (86)4.4 第三部分其他项目 (88)4.5 第四部分规费 (91)4.6 第五部分税金 (92)4.7 附录 (93)4.7.1 附录一利润 (93)4.7.2 附录二管理费分摊费率表 (93)1. 总说明总说明一、为合理确定我省房屋建筑和市政的修缮工程的工程造价,根据建筑市场的计价需要和结合我省实际情况,在1995年《全国统一房屋修缮工程预算定额》、2010年《广东省建筑与装饰工程综合定额》、2010年《广东省安装工程综合定额》和2010年《广东省市政工程综合定额》的基础上,编制2012年《广东省房屋建筑和市政修缮工程综合定额》(下称本综合定额)。
2012广东修缮定额摘要:I.引言A.修缮工程综合定额的背景和意义B.2012 年广东修缮定额的发布和适用范围II.修缮定额的内容和结构A.修缮定额的定义和作用B.2012 年广东修缮定额的主要内容C.修缮定额的结构和分类III.修缮定额的使用和应用A.修缮定额在工程预算中的使用B.修缮定额在工程结算中的使用C.修缮定额在工程管理和监督中的使用IV.2012 年广东修缮定额的特点和优势A.2012 年广东修缮定额的修订和更新B.2012 年广东修缮定额的适用性和实用性C.2012 年广东修缮定额对修缮工程的影响和贡献V.修缮定额的发展趋势和挑战A.修缮定额的未来发展趋势B.修缮定额面临的挑战和应对策略VI.结论A.对2012 年广东修缮定额的评价和总结B.对修缮定额未来发展的展望和建议正文:2012 广东修缮定额是一部对广东省修缮工程进行规范和管理的文件,对于保证修缮工程的质量和效益具有重要意义。
本文将从修缮定额的背景和意义、内容和结构、使用和应用、特点和优势、发展趋势和挑战等方面进行详细介绍。
修缮工程综合定额是通过对修缮工程项目的工程量、材料、人工、机械设备等进行分析和综合,形成的一套完整的修缮工程预算和结算的依据。
2012 年广东修缮定额是在原有修缮定额的基础上,根据广东省修缮工程的具体情况和实际需要进行修订和更新,以满足广东省修缮工程的需求。
2012 年广东修缮定额的内容和结构主要包括:修缮定额的定义和作用、修缮定额的分类和分级、修缮定额的项目和内容、修缮定额的编制和审批等。
其中,修缮定额的项目和内容是重点,包括建筑工程、装饰工程、安装工程、市政工程等多个方面。
修缮定额的使用和应用是修缮工程中必不可少的环节,主要包括工程预算、工程结算、工程管理和监督等方面。
在工程预算中,修缮定额是编制预算的重要依据,可以帮助工程预算人员快速、准确地编制预算。
在工程结算中,修缮定额是工程结算的重要依据,可以帮助工程结算人员对工程项目的实际完成情况进行核对和确认。
广东房屋建筑和市政修缮工程综合定额2012版取消文一、背景介绍1. 广东省房屋建筑和市政修缮工程综合定额是在广东省范围内进行房屋建筑和市政修缮工程计价、清单编制以及施工图设计的依据和参考标准。
2. 2012年版综合定额是广东省房屋建筑和市政修缮工程综合定额的一次修订,涉及到很多细则和条款的调整和更新,为广东省的工程建设提供了有力的规范和指导。
3. 然而,在最近的时间里,广东省国土资源厅发布通知称,决定取消2012版综合定额,并将由更加先进、科学的计价标准来替代。
二、取消原因1. 综合定额的取消是为了适应广东省工程建设行业的快速发展和不断变化的需求,更新和改进的计价标准更能适应市场的需要,提高工程质量和效率。
2. 2012版综合定额存在一些老旧和滞后的内容和标准,无法满足当前市场需求,取消之后将加速工程建设行业的创新和进步。
3. 这也是广东省国土资源厅与相关专家和机构经过充分的研究和讨论后作出的决定,是对工程建设行业的一种积极探索和创新。
三、影响分析1. 取消2012版综合定额将对工程建设行业产生一系列的影响,包括计价方式、清单编制、施工图设计等方面都将发生变化,需要相关单位和从业人员及时了解和适应。
2. 工程建设市场将迎来一波新的变革,对于提高工程质量、规范市场秩序、促进技术创新等方面都将起到积极的作用。
3. 对于从业人员来说,需要及时调整思路、学习新的计价标准和清单编制方法,适应新的工作环境和要求,这也是一个挑战和机遇并存的过程。
四、应对策略1. 对于广东省工程建设行业的相关单位和从业人员来说,应及时了解和学习新的计价标准和清单编制方法,积极适应变化,做好各项准备。
2. 相关部门和机构应加强对新的计价标准的宣传和解读,提供培训和交流服务,帮助工程建设市场顺利过渡,推动行业发展。
3. 积极倡导和推广新的技术和工艺,促进工程建设行业的创新和进步,提高工程质量和效率,为广东省的城市发展和建设贡献力量。
广东省修缮工程综合定额(2012)说明一、前言广东省修缮工程综合定额(2012)是根据建筑工程的经验而编制的,是广东省修缮工程预算定额的一部分。
本文档主要介绍定额的编制思路、计价方法、使用范围等方面,并展示了主要条款的摘要。
二、综合定额的编制思路广东省修缮工程综合定额(2012)是依据修缮工程的实际情况,采用工程量清单计价法,根据具体项目情况和经验进行编制的。
编制定额的主要思路是在统一的定额编制原则下,综合各类修缮工程项目的技术特点和计价依据,反映修缮工程综合定额的科学性、严密性和可操作性。
三、定额的计价方法广东省修缮工程综合定额(2012)采用工程量清单计价法,其主要计价依据是修缮工程项目的工程量和工作量。
具体的计价方法是将定额中的每条款目所规定的工程量与工作量乘以相应的单价,得出修缮工程项目的总造价。
其中,定额中所规定的单价仅为参考值,具体单价应根据修缮工程项目实际情况进行确定。
四、定额的使用范围广东省修缮工程综合定额(2012)适用于广东省范围内的修缮工程项目,包括但不限于:•建筑物的墙体、屋面、地面、门窗、附属设施等的修缮;•建筑结构的加固、拆除、改造等的修缮;•建筑内部装修、设备等的维修、更换等的修缮。
五、定额中的主要条款摘要1.石材外墙、内墙修缮:包括外墙、内墙的凿缝、批补、拆除、更换、保护等工程。
2.混凝土地面修缮:包括混凝土地面的拆除、清洗、净磨、批补、修补等工程。
3.木制门窗修缮:包括木门窗的更换、重制、拆除、修补、保养、保护等工程。
4.屋面防水修缮:包括屋面防水层的拆除、批补、更换、保护等工程。
5.承重墙体加固:包括承重墙体的补强、加固、回填、密封等工程。
6.瓦面外墙修缮:包括瓦面外墙的埋毛、批补、更换、清理、保护等工程。
六、结论广东省修缮工程综合定额(2012)是根据实际经验,以工程量清单计价法为计价依据,综合各类修缮工程项目的技术特点和计价依据编制的。
通过清晰明确的条款,该定额为广东省内的修缮工程项目提供了科学、严密和可操作的测算方法和标准。
2012广东修缮定额【原创实用版】目录1.广东省修缮工程综合定额 (2012 年) 概述2.修缮工程的具体分类3.修缮工程的具体项目和定额标准4.修缮工程的实施和监管5.修缮工程对建筑行业的意义正文一、广东省修缮工程综合定额 (2012 年) 概述广东省修缮工程综合定额 (2012 年) 是一部由广东省住房和城乡建设厅发布的关于建筑修缮工程的定额标准。
该定额标准旨在规范广东省内的修缮工程市场,为建筑行业的发展提供指导和参考。
二、修缮工程的具体分类修缮工程是指在建筑物、构筑物及其附属设施、设备和管道等建筑物的维修、养护、改造、加固、修复等工程。
根据修缮工程的性质和特点,可以将其分为以下几类:1.土建修缮:包括拆除工程、土石方工程、砖石修补工程、补强加固工程等。
2.建筑装修:包括室内外墙面装修、地面装修、顶棚装修、门窗装修等。
3.园林绿化:包括园林景观建设、绿化种植、园林建筑、园林照明等。
4.市政设施:包括城市道路、桥梁、给排水、照明等。
三、修缮工程的具体项目和定额标准广东省修缮工程综合定额 (2012 年) 对修缮工程的具体项目和定额标准进行了详细规定,包括以下几个方面:1.土建修缮:包括拆除工程、土石方工程、砖石修补工程、补强加固工程等。
2.建筑装修:包括室内外墙面装修、地面装修、顶棚装修、门窗装修等。
3.园林绿化:包括园林景观建设、绿化种植、园林建筑、园林照明等。
4.市政设施:包括城市道路、桥梁、给排水、照明等。
四、修缮工程的实施和监管为了确保修缮工程的质量和安全,广东省修缮工程综合定额 (2012 年) 对修缮工程的实施和监管提出了具体要求,包括以下几个方面:1.修缮工程的建设单位应按照国家有关规定和标准,组织设计和施工。
2.修缮工程的设计和施工单位应具备相应的资质和资格,并按照国家有关规定和标准进行设计和施工。
3.修缮工程的监理单位应按照国家有关规定和标准,对修缮工程的设计和施工进行监理。