IATF16949汽车产品生产合格率目标统计表
- 格式:xls
- 大小:123.00 KB
- 文档页数:2
1体系策划M1//5.4/5.5.1/5.5.2/6.1/8.2.3管代法律法规、顾客和标准要求,总经理决定、已识别出的过程、编制计划等。
符合标准要求和公司情况的质量管理体系过程及其相互作用的表述、质量手册、程序文件、质量记录等。
体系策划失误次数0次《质量手册》《文件控制程序》《记录控制程序》2方针目标M2经营计划M2.1 5.3总经理公司中长期经营目标、年度目标、质量方针、企业战略要求、顾客要求、及其它法律法规要求适宜的质量方针,公司年度质量目标及部门分目标目标达成率100%经营计划控制程序管理评审:每年质量目标例行检查:按规定时间对发现的问题实施纠正措施3内部审核M3//8.2.2管理者代表顾客要求;顾客满意度实施结果;质量管理体系的变更;重大投诉和质量事故;法律法规要求及变更体系审核报告;纠正措施不符合项整改完成率100%《内部审核程序》4管理评审M4// 5.6总经理顾客反馈;审核结果;过程的业绩;产品的符合性;预防和纠正措施的状况;以往评审跟踪措施管理评审报告;管理评审纠正措施执行情况管理评审输入完整率100%《管理评审程序》(引用GJB9001B文件)1文件控制S1顾客文件控制S1.1 4.2.3文控中心质量手册;程序文件;管理规定;记录;外来文件及其他需控制的管理文件;顾客图纸;控制计划;工艺及其他需控制的技术文件管理文件和资料的编制、审核、批准、发布、标识、贮存、发放、使用、修改、处置得到有效的控制;技术文件和资料的编制、审核、批准、发布、标识、贮存、发放、使用、修改、处置得到有效的控制;外来文件评审完成率100%《文件控制程序》2人力资源S2培训控制S2 6.2人力资源部公司经营目标;人员需求;岗位说明书;岗位素质要求与职务代理年度培训计划及其完成情况培训有效性评价记录培训计划完成率100%《员工培训管理程序》内部沟通5.5.37.2.3《沟通控制程序》供方管理S3.27.4物流部项目研制计划;顾客指定的供方清单;供应商评价办法;供应商批量生产能力供方综合评价表;认可报告;合格供方名单供应商交货准时率≥98.8%《供方评定程序》(引用GJB9001B文件)采购产品的验证S3.27.4.3品质部原材料检验标准,采购物资,顾客要求。
言简意赅,远见卓识,望君采纳,谢谢!删除水印可,编辑页眉,选中水印,点击删除。
IATF16949:2019质量手册(B 版)编制审核批准受控状态:受控分发编号:001 使用部门:2019 年6 月1 日发布2019 年6 月1 日实施文件修订履历版本修订内容修订页次制/ 修日期TS16949-2019 A.0 版全面升级为IATF16949-2016B.0 B.0 版54 2017-6-1 制定审核批准4.组织环境4.1 了解组织及环境 4.2了解相关方的需求和期望目 录章 节标 题 识别的过程 页码封面 0 目录 1-7 前言 8 颁布令 9 质量方针 10 企业概况11 1. 管理原则 11 2. 范围与应用 12 3. 引用标准、术语和定义12-13 14 14 144.2.1了解相关方的需求和期望 - 补充144.3确定质量管理体系范围14 4.3.1确定质量管理体系范围 - 补充144.3.2顾客特殊要求 144.4质量管理体系及其过程14-16 4.4.1 组织应按标准建立、实施、保持和改进管理体系164.4.1.1产品和过程一致性174.4.1.1.1产品安全 174.4.1.2外包过程 174.4.2必要时 175.领导作用185.1领导作用和承诺M1 领导作用 18 5.1.1总则185.1.1.1 企业责任185.1.1.2 过程效率185.1.1.3 过程所有者185.1.2 以顾客为关注焦点185.2 方针185.2.1 质量方针的制定185.2.2 质量方针的沟通18M1领导作用5.3 组织的角色、职责、和权限185.3.1 组织的角色、职责和权限- 补充185.3.2 产品要求符合性和纠正措施186. 策划18-196.1 应对风险和机遇的措施18-196.1.1 确定需处理的风险和机会18-196.1.2 策划和处理方案18-196.1.2.1 风险分析18-196.1.2.2 应急计划18-19M2 策划6.2 质量目标及其实现的策划18-196.2.1 质量目标18-196.2.2 策划和实施18-196.2.2.1 质量目标及其实现的策划的- 补充18-196.3 变更的策划18-1919 7. 支持7.1 资源197.1.1 总则197.1.2 人员197.1.3 基础设施S1 基础设施管理19-207.1.3.1 工厂、设施和设备计划19-207.1.4 过程和运行的环境207.1.4.1 过程运行环境- 补充207.1.5 监视和测量资源20-227.1.5.1 总则20-22S2 监视和测量资源管7.1.5.1.1 测量系统分析20-22理7.1.5.2 测量溯源20-227.1.5.2.1 校准/ 验证记录20-2220-227.1.5.3 实验室要求S2 监视和测量资源管7.1.5.3.1 内部实验室20-22理7.1.5.3.2 外部实验室20-227.1.6 组织的知识20-22 7.2 能力22-2322-237.2.1 培训22-237.2.1.1 在职培训S3 人力资源管理7.3 意识22-237.3.1 意识- 补充22-237.3.2 员工激励授权22-23 7.4 沟通23 7.5 形成文件的信息237.5.1 总则237.5.1.1 质量管理体系文件237.5.1.2 质量手册S4 文件记录管理237.5.2 创建与更新24247.5.3 形成文件的信息控制7.5.3.2.1 记录的保存247.5.3.2.2 工程规范248. 运行258.1 运行策划和控制258.2 产品和服务的要求258.2.1 顾客沟通25C1 市场营销8.2.1.1 顾客沟通- 补充258.2.1.2 顾客沟通- 培训2525-268.2.2 产品和服务要求的确定C2 报价及项目确定8.2.2.1 产品和服务要求的确定- 补充25-2626-278.2.3 产品和服务要求的评审C3 订单管理8.2.4 产品和服务要求的更改26-278.3 产品和服务的设计和开发C4 过程设计和开发27-288.3.1 总则27-288.3.2 设计开发的策划27-288.3.2.1 多方论证方法27-288.3.2.2 设计开发策划- 培训27-288.3.2.3 产品设计技能27-288.3.3 设计开发的输入27-2827-288.3.3.2 制造过程设计输入C4 过程设计和开发8.3.3.3 特殊特性27-288.3.4 设计开发的控制27-288.3.4.1 监测27-288.3.4.2 设计开发确认27-288.3.4.3 样件计划27-288.3.4.4 产品批准过程27-288.3.5 设计和开发的输出27-288.5.1.3 作业准备验证 8.5.1.4 停机后验证8.5.1.5全面生产维护S6 设备管理8.3.5.2 制造过程的设计输出 27-28 8.3.6设计开发的更改27-28 8.4外部提供过程、产品和服务的控制28-29 8.4.1 总则 28-29 8.4.1.1总则 - 补充28-29 8.4.1.2 供应商选择过程 28-298.4.1.3 顾客提定的供货来源 28-29 8.4.2 控制类型和程序 28-29 8.4.2.1 控制类型和程序 - 补充S5 采购控制28-29 8.4.2.2 法律法规要求 28-29 8.4.2.3 供应商质量管理体系要求28-29 8.4.2.3.1 产品嵌入式软件 28-29 8.4.2.4 供应商监测 28-29 8.4.2.4.1 二方审核 28-29 8.2.4.5 供应商开发28-29 8.2.4.5.1 供应商质量管理体系开发28-29 8.4.2.5.2 供应商绩效开发 28-29 8.4.3 外部供方信息 S5 采购控制28-29 8.4.3.1外部供方信息 - 补充 28-29 8.5生产和服务的提供30-318.5.1生产和服务提供的控制30-318.5.1.1 控制计划30-31C5 产品制造8.5.1.2标准作业 - 操作作业指导书和可视化标准30-31 30-3130-31318.5.1.6 生产工装和生产、试验检验工装和设备的管理S7 工装管理31-328.5.1.7 生产计划328.5.2 标识和可追溯性C5 产品制造328.5.3 顾客或外部供方的财产328.5.4 防护S8 产品防护32-338.5.5 交付后活动33C6 产品交付8.5.5.1 服务信息反馈34-35C7 顾客反馈处理8.5.5.2 与顾客的服务协议34--358.5.6 更改控制358.5.6.1 更改控制- 补充358.5.6.1.1 应急过程控制35 8.6 产品和服务的放行35-368.6.1 产品和服务放行- 补充35-368.6.2 全尺寸和功能试验35-368.6.3 外观项目35-36S9 产品和服务的放行8.6.4外部提供产品和服务的符合性验证和接收35-368.6.5 法律法规的符合性35-368.6.6 接收准则35-36 8.7 不合格输出的控制36-378.7.1 总则36-378.7.1.1 顾客特许36-378.7.1.2 不合格控制- 顾客规定的过程S10 不合格品控制36-378.7.1.3 可疑产品的控制36-378.7.1.4 返工产品的控制36-378.7.1.5 顾客通知36-378.7.1.6 不合格品的处置36-378.7.2 组织应保留形成文件的信息36-379. 绩效评价379.1 监视、测量分析和评价379.1.1 总则379.1.1.1 制造过程的监视和测量379.1.1.2 统计工具的识别379.1.1.3 基础统计概念知识379.1.2 顾客满意37-38S11 顾客满意度测量9.1.2.1 顾客满意- 补充37-389.1.3 分析和评价38-39M3 分析和评价9.1.3.1 优先级38-399.2 内部审核399.2.2.1 内部审核方案399.2.2.2 质量管理体系审核39M4 内部审核9.2.2.3 制造过程审核399.2.2.4 产品审核399.2.2.5 内部审核员资格399.3 管理评审409.3.1 总则409.3.1.1 质量管理体系绩效40M5 管理评审9.3.2 评审的输入409.3.2.1 管理评审输入- 补充409.3.3 评审的输出409.3.3.1 评审输出- 补充M5 管理评审4010 改进41M6改进10.1 总则4110.2 不合格和纠正措施4110.2.1 处理4110.2.2 证据信息4110.2.3 问题的解决4110.2.4 防错4110.2.5 保修管理4110.2.5.1 顾客投诉及现场失效测试分析4110.2.6 预防措施41 10.3 持续改进4110.3.1 组织的持续改进4111.0 附件11.1 顾客特殊要求4211.2 组织架构图4311.3 质量负责人任命书4411.4 职能分配表4511.5标准条款及相关联的47程序文件11.6 过程绩效表48 11.7 过程关系图49 11.8 质量体系保证图50前言本质量手册依据IATF16949:2016 编制,本手册发布日期即为生效日期,按生效日期开始执行。
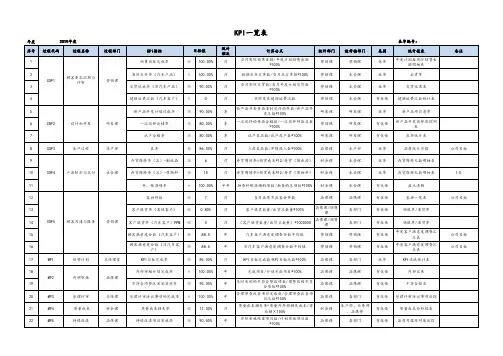
过程指标目录
代码
93M02客户满意度目标分值≥80%按顾客满意度调查表销售部趋势图、直
每半年
方图
94M02满意度问卷回收率≥80%问卷回收数量/发放总量销售部分析报告每半年95S03品种完成率≥99%100%完成品种数/计划品种总数销售部统计报表每月96C1评审时间满足顾客要求五个工作日按实际发生销售部接收台帐按项目97M01所有使用中的文件和资料均为有效版本100%按内部质量审核报告总经办直方图半年98C工伤事故误工率≤0.2%(工伤误工天数/公司员工工作天数总和)×100%总经办统计趋势月99M03业务计划目标达成率≥80%实际完成数/计划完成数总经办业务计划分
每季度
析报告
100M流程绩效≥85分绩效评估成绩*70%+报告提交及时成绩*30%总经办四版图每月101M04改进措施完成率≥90%实际完成数/计划完成数总经办直方图每季度102M计划执行率≥90%月末完成项目数/月初计划项目数总经办分析报告每月103S基础设施完好率≥90%设施完好的工作场所数量/所有工作场所数量*100%总经办
104S6S≥90分按检查结果总经办四版图每月105M02所有文件均有现行状态标识100%按内部质量审核报告总经办直方图半年106C销售额增长率≥20%单月销售总额/上年同期销售总额*100%财务部四版图每月107C资金回笼率≥85%单月资金回笼总额/应回笼资金总额*100%财务部四版图每月108C材料利用率≥99%合格品材料总量/材料领用量*100%财务部四版图每月
代码。
CP1 合同订单评审率
CP2 产品和服务的设计开发CP3 生产和服务的提供交货率汽车CP3 生产和服务的提供生产合格率汽车CP3 生产和服务的提供交货率非汽车 CP3 生产和服务的提供生产合格率非汽车 CP4 生产和服务的提供客户投诉率汽车CP4 生产和服务的提供客户投诉率非汽车CP4售后服务
CP4顾客满意度
11、MP1组织环境
12、MP2应对风险和机遇的措施
13、MP3经营计划
14、MP4内部审核
15、MP5管理评审计划执行率
16、MP5管理评审问题改善完成率MP6持续改进
18、SP1领导作用
19、SP2设备故障率
20、SP2设备按计划保养率
21、SP3监视和测量资源
22、SP3定期校准完成率外校
23、SP4人力资源
24、SP4员工满意度
25、SP5知识信息
IATF16949质量目标统计表汇编
目录
1、2、3、4、5、6、7、8、9、10、17、
26、SP6外部提供过程产品和服务
27、SP6采购物控交付准时率
28、SP7标识和可追溯性
29、SP8产品和服务发行
30、SP9不合格输出控制。