2437微积分基础
- 格式:doc
- 大小:442.50 KB
- 文档页数:4
大学数学微积分基础知识大学数学微积分基础知识微积分是大学数学中研究函数的微分、积分以及有关概念和应用的数学分支。
下面是小编分享的大学数学微积分基础知识,一起来看一下吧。
历史从微积分成为一门学科来说,是在17世纪,但是积分的思想早在古代就已经产生了。
积分学的早期史公元前7世纪,古希腊科学家、哲学家泰勒斯就对球的面积、体积、与长度等问题的研究就含有微积分思想。
公元前3世纪,古希腊的数学家、力学家阿基米德(公元前287~前212)的著作《圆的测量》和《论球与圆柱》中就已含有积分学的萌芽,他在研究解决抛物线下的弓形面积、球和球冠面积、螺线下的面积和旋转双曲线所得的体积的问题中就隐含着近代积分的思想。
中国古代数学家也产生过积分学的萌芽思想,例如三国时期的刘徽,他对积分学的思想主要有两点:割圆术及求体积问题的设想。
微积分产生到了十七世纪,有许多科学问题需要解决,这些问题也就成了促使微积分产生的因素。
归结起来,大约有四种主要类型的问题:第一类是研究运动的时候直接出现的,也就是求即时速度的问题。
第二类问题是求曲线的切线的问题。
第三类问题是求函数的最大值和最小值问题。
第四类问题是求曲线长、曲线围成的面积、曲面围成的体积、物体的重心、一个体积相当大的物体作用于另一物体上的引力。
数学首先从对运动(如天文、航海问题等)的研究中引出了一个基本概念,在那以后的二百年里,这个概念在几乎所有的工作中占中心位置,这就是函数——或变量间关系——的概念。
紧接着函数概念的采用,产生了微积分,它是继欧几里得几何之后,全部数学中的一个最大的创造。
围绕着解决上述四个核心的科学问题,微积分问题至少被十七世纪十几个最大的数学家和几十个小一些的数学家探索过。
其创立者一般认为是牛顿和莱布尼茨。
在此,我们主要来介绍这两位大师的工作。
实际上,在牛顿和莱布尼茨作出他们的冲刺之前,微积分的大量知识已经积累起来了。
十七世纪的许多著名的数学家、天文学家、物理学家都为解决上述几类问题作了大量的研究工作,如法国的费马、笛卡尔、罗伯瓦、笛沙格;英国的巴罗、瓦里士;德国的开普勒;意大利的卡瓦列利等人都提出许多很有建树的理论。
微积分教程微积分(Calculus)是高等数学中研讨函数的微分.积分以及有关概念和应用的数学分支.它是数学的一个基本学科.内容重要包含极限.微分学.积分学及其应用.微分学包含求导数的运算,是一套关于变更率的理论.它使得函数.速度.加快度和曲线的斜率等均可用一套通用的符号进行评论辩论.积分学,包含求积分的运算,为界说和盘算面积.体积等供给一套通用的办法.微积分的根本介绍微积分学根本定理指出,求不定积分与求导函数互为逆运算[把高低限代入不定积分即得到积分值,而微分则是导数值与自变量增量的乘积],这也是两种理论被同一成微积分学的原因.我们可以以两者中随意率性一者为起点来评论辩论微积分学,但是在教授教养中,微分学一般会先被引入.微积分学是微分学和积分学的总称.它是一种数学思惟,‘无穷细分’就是微分,‘无穷乞降’就是积分.十七世纪后半叶,牛顿和莱布尼茨完成了很多半学家都介入过预备的工作,分离自力地树立了微积分学.他们树立微积分的动身点是直不雅的无穷小量,但是理论基本是不稳定的.因为“无穷”的概念是无法用已经失去的代数公式进行演算,所以,直到十九世纪,柯西和维尔斯特拉斯树立了极限理论,康托尔等树立了严厉的实数理论,这门学科才得以周密化.进修微积分学,重要的一步就是要懂得到,“极限”引入的须要性:因为,代数是人们已经熟习的概念,但是,代数无法处理“无穷”的概念.所以,必须要应用代数处理代表无穷的量,这时就精心结构了“极限”的概念.在“极限”的界说中,我们可以知道,这个概念绕过了用一个数除以0的麻烦,相反引入了一个进程随意率性小量.就是说,除的数不是零,所以有意义,同时,这个小量可以取随意率性小,只要知足在德尔塔区间,都小于该随意率性小量,我们就说他的极限为该数——你可以以为这是投契取巧,但是,他的实用性证实,如许的界说还算比较完美,给出了准确推论的可能性.这个概念是成功的.微积分是与实际应用接洽着成长起来的,它在天文学.力学.化学.生物学.工程学.经济学等天然科学.社会科学及应用科学等多个分支中,有越来越普遍的应用.特别是盘算机的创造更有助于这些应用的不竭成长.客不雅世界的一切事物,小至粒子,大至宇宙,始终都在活动和变更着.是以在数学中引入了变量的概念后,就有可能把活动现象用数学来加以描写了.因为函数概念的产生和应用的加深,也因为科学技巧成长的须要,一门新的数学分支就继解析几何之后产生了,这就是微积分学.微积分学这门学科在数学成长中的地位是十分重要的,可以说它是继欧氏几何后,全体数学中的最大的一个创造.微积分的本质【参考文献】刘里鹏.《从割圆术走向无穷小——揭秘微积分》,长沙:湖南科学技巧出版社,1.用文字表述:增量无穷趋近于零,割线无穷趋近于切线,曲线无穷趋近于直线,从而以直代曲,以线性化的办法解决非线性问题,这就是微积分理论的精华地点.2.用式子暗示:微积分的根本办法微积分的基起源基本理告知我们微分和积分是互逆的运算,微积分的精华告知我们我们之所以可以解决很多非线性问题,本质的原因在于我们化曲为直了,实际生涯中我们会碰到很多非线性问题,那么解决如许的问题有没有同一的办法呢?经由研讨思虑和总结,笔者以为,微积分的根本办法在于:先微分,后积分.笔者所看到的是,如今的教材没有留意对这些根本问题的总结,根本上所有的教材每讲到积分时都还反复前人无穷细分取极限的思惟,讲到弧长时取极限,讲到面积时又取极限,最后用一个约等号打发曩昔.如许一来不但让学生听得看得满头雾水,并且很有牵强附会之嫌,其实懂得微积分的本质和根本办法后根本不须要再那么反复.微积分学的树立从微积分成为一门学科来说,是在十七世纪,但是,微分和积分的思惟在古代就已经产生了.公元前三世纪,古希腊的阿基米德在研讨解决抛物弓形的面积.球和球冠面积.螺线下面积和扭转双曲体的体积的问题中,就隐含着近代积分学的思惟.作为微分学基本的极限理论来说,早在古代以有比较清楚的阐述.比方我国的庄周所著的《庄子》一书的“世界篇”中,记有“一尺之棰,日取其半,万世不竭”.三国时代的刘徽在他的割圆术中提到“割之弥细,所掉弥小,割之又割,以至于不成割,则与圆周和体而无所掉矣.”这些都是朴实的.也是很典范的极限概念.到了十七世纪,有很多科学问题须要解决,这些问题也就成了促使微积分产生的身分.归结起来,大约有四种重要类型的问题:第一类是研讨活动的时刻直接消失的,也就是求即时速度的问题.第二类问题是求曲线的切线的问题.第三类问题是求函数的最大值和最小值问题.第四类问题是求曲线长.曲线围成的面积.曲面围成的体积.物体的重心.一个别积相当大的物体感化于另一物体上的引力.十七世纪的很多有名的数学家.天文学家.物理学家都为解决上述几类问题作了大量的研讨工作,如法国的费马.笛卡尔.罗伯瓦.笛沙格;英国的巴罗.瓦里士;德国的开普勒;意大利的卡瓦列利等人都提出很多很有建树的理论.为微积分的创立做出了进献.十七世纪下半叶,在前人工作的基本上,英国大科学家牛顿和德国数学家莱布尼茨分离在本身的国家里独自研讨和完成了微积分的创立工作,固然这只是十分初步的工作.他们的最大功劳是把两个貌似毫不相干的问题接洽在一路,一个是切线问题(微分学的中间问题),一个是求积问题(积分学的中间问题).牛顿和莱布尼茨树立微积分的动身点是直不雅的无穷小量,是以这门学科早期也称为无穷小剖析,这恰是如今数学中剖析学这一大分支名称的起源.牛顿研讨微积分侧重于从活动学来斟酌,莱布尼茨倒是侧重于几何学来斟酌的.牛顿在1671年写了《流数法和无穷级数》,这本书直到1736年才出版,它在这本书里指出,变量是由点.线.面的中断活动产生的,否认了以前本身以为的变量是无穷小元素的静止聚集.他把中断变量叫做流淌量,把这些流淌量的导数叫做流数.牛顿在流数术中所提出的中间问题是:已知中断活动的路径,求给准时刻的速度(微分法);已知活动的速度求给准时光内经由的旅程(积分法).德国的莱布尼茨是一个博才多学的学者,1684年,他揭橥了如今世界上以为是最早的微积分文献,这篇文章有一个很长并且很怪僻的名字《一种求极大微小和切线的新办法,它也实用于分式和无理量,以及这种新办法的奥妙类型的盘算》.就是如许一篇说理也颇暧昧的文章,却有划时代的意义.它已含有现代的微分符号和根本微分轨则.1686年,莱布尼茨揭橥了第一篇积分学的文献.他是汗青上最巨大的符号学者之一,他所创设的微积分符号,远远优于牛顿的符号,这对微积分的成长有极大的影响.如今我们应用的微积分通用符号就是当时莱布尼茨精心选用的.微积分学的创立,极大地推进了数学的成长,曩昔很多初等数学一筹莫展的问题,应用微积分,往往水到渠成,显示出微积分学的不凡威力.前面已经提到,一门科学的创立决不是某一小我的事迹,他肯定是经由若干人的尽力后,在积聚了大量成果的基本上,最后由某小我或几小我总结完成的.微积分也是如许.不幸的是,因为人们在观赏微积分的雄伟功能之余,在提出谁是这门学科的创立者的时刻,竟然引起了一场悍然大波,造成了欧洲大陆的数学家和英国数学家的长期对峙.英国数学在一个时代里闭关锁国,囿于平易近族成见,过于拘泥在牛顿的“流数术”中留步不前,因而数学成长整整落伍了一百年.其实,牛顿和莱布尼茨分离是本身自力研讨,在大体上邻近的时光里先后完成的.比较特别的是牛顿创立微积分要比莱布尼茨早10年阁下,但是正式公开揭橥微积分这一理论,莱布尼茨却要比牛顿揭橥早三年.他们的研讨各有长处,也都各有短处.那时刻,因为平易近族成见,关于创造优先权的争辩竟从1699年始延续了一百多年.应当指出,这是和汗青上任何一项重大理论的完成都要阅历一段时光一样,牛顿和莱布尼茨的工作也都是很不完美的.他们在无穷和无穷小量这个问题上,其说不一,十分暧昧.牛顿的无穷小量,有时刻是零,有时刻不是零而是有限的小量;莱布尼茨的也不克不及自圆其说.这些基本方面的缺点,最终导致了第二次数学危机的产生.直到19世纪初,法国科学学院的科学家以柯西为首,对微积分的理论进行了卖力研讨,树立了极限理论,后来又经由德国数学家维尔斯特拉斯进一步的严厉化,使极限理论成为了微积分的果断基本.才使微积分进一步的成长开来.任何新兴的.具有无量前程的科学成就都吸引着宽大的科学工作者.在微积分的汗青上也闪耀着如许的一些明星:瑞士的雅科布•贝努利和他的兄弟约翰•贝努利.欧拉.法国的拉格朗日.柯西……欧氏几何也好,上古和中世纪的代数学也好,都是一种常量数学,微积分才是真正的变量数学,是数学中的大革命.微积分是高等数学的重要分支,不只是局限在解决力学中的变速问题,它驰骋在近代和现代科学技巧场地里,树立了数不清的丰功伟绩.微积分的根本内容研讨函数,从量的方面研讨事物活动变更是微积分的根本办法.这种办法叫做数学剖析.本来从广义上说,数学剖析包含微积分.函数论等很多分支学科,但是如今一般已习惯于把数学剖析和微积分等同起来,数学剖析成了微积分的同义词,一提数学剖析就知道是指微积分.微积分的根本概念和内容包含微分学和积分学.微分学的重要内容包含:极限理论.导数.微分等.积分学的重要内容包含:定积分.不定积分等.微积分是与科学应用接洽着成长起来的.最初,牛顿应用微积分学及微分方程对第谷浩瀚的天文不雅测数据进行了剖析运算,得到了万有引力定律,并进一步导出了开普勒行星活动三定律.此后,微积分学成了推进近代数学成长壮大的引擎,同时也极大的推进了天文学.物理学.化学.生物学.工程学.经济学等天然科学.社会科学及应用科学各个分支中的成长.并在这些学科中有越来越普遍的应用,特别是盘算机的消失更有助于这些应用的不竭成长.一元微分界说:设函数y = f(x)在某区间内有界说,x0及x0 + Δx 在此区间内.假如函数的增量Δy = f(x0 + Δx) – f(x0)可暗示为Δy = AΔx0 + o(Δx0)(个中A是不依附于Δx的常数),而o(Δx0)是比Δx高阶的无穷小,那么称函数f(x)在点x0是可微的,且AΔx称作函数在点x0响应于自变量增量Δx的微分,记作dy,即dy = Adx.平日把自变量x的增量Δx称为自变量的微分,记作dx,即dx = Δx.于是函数y = f(x)的微分又可记作dy = f'(x)dx.函数的微分与自变量的微分之商等于该函数的导数.是以,导数也叫做微商.几何意义设Δx曲直线y = f(x)上的点M的在横坐标上的增量,Δy曲直线在点M对应Δx在纵坐标上的增量,dy曲直线在点M的切线对应Δx在纵坐标上的增量.当|Δx|很小时,|Δy-dy|比|Δy|要小得多(高阶无穷小),是以在点M邻近,我们可以用切线段来近似代替曲线段.多元微分多元微分又叫全微分,是由两个自变量的偏导数相对应的一元微分的增量暗示的.ΔZ=A*ΔX+B*ΔY+ο(ρ)为函数Z在点(x.y)处的全增量,(个中A.B不依附于ΔX和ΔY,而只与x.y有关,ρ=[(x∧2+y∧2)]∧(1\2),A*ΔX+B*ΔY等于Z在点的全微分.总的来说,微分学的焦点思惟等于以直代曲,即在渺小的邻域内,可以用一段切线段来代替曲线以简化盘算进程.积分有两种:定积分和不定积分.定积分是微分的逆运算,即知道了函数的导函数,反求原函数.在应用上,定积分感化不但如斯,它被大量应用于乞降,通俗的说是求曲边三角形的面积,这奇妙的求解办法是积分特别的性质决议的.一个函数的不定积分(亦称原函数)指另一族函数,这一族函数的导函数恰为前一函数.个中:[F(x) + C]' = f(x)一个实变函数在区间[a,b]上的定积分,是一个实数.它等于该函数的一个原函数在b的值减去在a的值.定积分和不定积分的界说迥然不合,定积分是求图形的面积,等于求微元元素的累加和,而不定积分则是求其原函数,它们又为何通称为积分呢?这要靠牛顿和莱布尼茨的进献了,把本来毫不相干的两个事物慎密的接洽起来了.详见牛顿——莱布尼茨公式.一阶微分与高阶微分函数一阶导数对应的微分称为一阶微分;一阶微分的微分称为二阶微分;.......n阶微分的微分称为(n+1)阶微分即:d(n)y=f(n)(x)*dx^n (f(n)(x)指n阶导数,d(n)y指n阶微分,dx^n指dx的n次方)含有未知函数yt=f(t)以及yt的差分Dyt, D2yt,…的函数方程,称为常差分方程(简称差分方程);出如今差分方程中的差分的最高阶数,称为差分方程的阶.n阶差分方程的一般情势为F(t,yt,Dyt,…, Dnyt)=0,个中F是t,yt, Dyt,…, Dnyt的已知函数,且Dnyt必定要在方程中消失.含有两个或两个以上函数值yt,yt+1,…的函数方程,称为(常)差分方程,出如今差分方程中未知函数下标的最大差,称为差分方程的阶.n阶差分方程的一般情势为F(t,yt,yt+1,…,yt+n)=0,个中F为t,yt,yt+1,…,yt+n的已知函数,且yt和yt+n必定要在差分方程中消失.常微分方程与偏微分方程的总称.含自变量.未知函数和它的微商(或偏微商)的方程称为常(或偏)微分方程.未知函数为一元函数的微分方程,称为常微分方程.未知函数为多元函,从而消失多元函数的偏导数的方程,称为偏微分方程.微积分的诞生及其重要意义微积分的诞生是继Euclid几何树立之后,数学成长的又一个里程碑式的事宜.微积分诞生之前,人类根本上还处在农耕文明时代.解析几何的诞生是新时代到来的序曲,但还不是新时代的开端.它对旧数学作了总结,使代数与几何融为一体,并激发出变量的概念.变量,这是一个全新的概念,它为研讨活动供给了基本推导出大量的宇宙定律必须等待如许的时代的到来,预备好这方面的思惟,产生像牛顿.莱布尼茨.拉普拉斯如许一批可以或许首创将来,为科学活动供给办法,指出偏向的首脑,但也必须等待创立一个必不成少的对象——微积分,没有微积分,推导宇宙定律是不成能的.在17世纪的天才们开辟的所有常识宝库中,这一范畴是最丰富的,微积分为创立很多新的学科供给了源泉.微积分的树立是人类脑筋最巨大的创造之一,一部微积分成长史,是人类一步一步倔强地熟习客不雅事物的汗青,是人类理性思维的结晶.它给出一整套的科学办法,首创了科学的新纪元,并是以增强与加深了数学的感化.恩格斯说:“在一切理论成就中,未必再有什么像17世纪下半叶微积分的发明那样被看作人类精力的最高成功了.假如在某个地方我们看到人类精力的纯粹的和惟一的功劳,那就恰是在这里.”有了微积分,人类才有才能掌控活动和进程.有了微积分,就有了工业革命,有了大工业临盆,也就有了现代化的社会.航天飞机.宇宙飞船等现代化交通对象都是微积分的直接效果.在微积分的帮忙下,万有引力定律发清楚明了,牛顿用同一个公式来描写太阳对行星的感化,以及地球对它邻近物体的感化.从最小的尘埃到最遥远的天体的活动行动.宇宙中没有哪一个角落不在这些定律的所包含规模内.这是人类熟习史上的一次空前的飞跃,不但具有巨大的科学意义,并且具有深远的社会影响.它强有力地证清楚明了宇宙的数学设计,摧毁了覆盖在天体上的神秘主义.迷信和神学.一场空前巨大的.囊括近代世界的科学活动开端了.毫无疑问,微积分的发明是世界近代科学的开端.微积分优先权大争辩汗青上,微积分是由两位科学家,牛顿和莱布尼茨几乎同时发明的.在创立微积分方面,莱布尼茨与牛顿功劳相当.这两位数学家在微积分学范畴中的卓著进献归纳综合起来就是:他们总结出处理各类有关问题的一般办法,熟习到求积问题与切线问题互逆的特点,并揭示出微分学与积分学之间的本质接洽;他们都各自树立了微积分学根本定理,他们给出微积分的概念.轨则.公式和符号理论为今后的微积分学的进一步成长奠定了坚实而重要的基本.总之,他们创立了作为一门自力学科的微积分学.微积分这种数学剖析办法正式诞生今后,因为解决了很多以往靠初等数学无法作答的实际问题,所以逐渐引起科学家和社会人士的看重.同时,也带来了关于“谁先树立微积分”问题的争辩.从牛顿和莱布尼茨还活着时就开端消失这种争辩,英国和欧洲大陆列国很多科学家都卷入这场空费时日的.尖利而庞杂的论战.这场论战中断了100多年的时光.就创造与揭橥的年月比较,牛顿创造微积分根本定理比莱布尼茨更早.前者奠定于1665—1667年,后者则是1672—1676年,但莱布尼茨比牛顿更早揭橥微积分的成果.故创造微积分的声誉应属于他们两人.第二次数学危机及微积分逻辑上的严厉化微积分诞生之后,数学迎来了一次空前繁华的时代.对18世纪的数学产生了重要而深远的影响.但是牛顿和莱布尼茨的微积分都缺少清楚的.严谨的逻辑基本,这在初创时代是不成防止的.科学上的巨大须要克服了逻辑上的忌惮.他们须要做的工作太多了,他们急于去牟取新的成果.根本问题只好先放一放.正如达朗贝尔所说的:“向进步,你就会产生信念!”数学史的成长几回再三证实自由创造老是领先于情势化和逻辑基本.于是在微积分的成长进程中,消失了如许的局势:一方面是微积分创立之后立刻在科学技巧上获得应用,从而敏捷地成长;另一方面是微积分学的理论在当时是不周密的,消失了越来越多的悖论和谬论.数学的成长又碰到了深刻的令人不安的危机.例如,有时把无穷小量看作不为零的有限量而从等式两头消去,而有时却又令无穷小量为零而疏忽不计.因为这些抵触,引起了数学界的极大争辩.如当时爱尔兰主教.唯心主义哲学家贝克莱嘲笑“无穷小量”是“已逝世的鬼魂”.贝克莱对牛顿导数的界说进行了批评.当时牛顿对导数的界说为:当x增加为x+o时,x的立方(记为x^3)成为(x+o)的立方(记为(x+o)^3).即x^3+3 x^2o+ 3x o^2+ o^3.x与x^3的增量分离为o和3 x^2o+ 3x o^2+ o^3.这两个增量与x的增量的比分离为1和3 x^2+ 3x o+ o^2,然后让增量消掉,则它们的最后比为1与3 x^2.我们知道这个成果是准确的,但是推导进程确切消失着显著的掉包假设的错误:在论证的前一部分假设o是不为0的,而在论证的后一部分又被取为0.那么o到底是不是0呢?这就是有名的贝克莱悖论.这种微积分的基本所激发的危机在数学史上称为第二次数学危机,而此次危机的激发与牛顿有直接关系.汗青请求给微积分以严厉的基本.第一个为解救第二次数学危机提出真正有看法的看法的是达朗贝尔.他在1754年指出,必须用靠得住的理论去代替当时应用的光滑的极限理论.但是他本身未能供给如许的理论.最早使微积分严厉化的是拉格朗日.为了防止应用无穷小推理和当时还不明白的极限概念,拉格朗日曾试图把全部微积分树立在泰勒睁开式的基本上.但是,如许一来,斟酌的函数规模太窄了,并且不必极限概念也无法评论辩论无穷级数的收敛问题,所以,拉格朗日的以幂级数为对象的代数办法也未能解决微积分的奠定问题.到了19世纪,消失了一批出色的数学家,他们积极为微积分的奠定工作而尽力,个中包含了捷克的哲学家 B.Bolzano.曾著有《无穷的悖论》,明白地提出了级数收敛的概念,并对极限.中断和变量有了较深刻的懂得.剖析学的奠定人,法国数学家柯西在1821—1823年间出版的《剖析教程》和《无穷小盘算课本》是数学史上划时代的著作.在那边他给出了数学剖析一系列的根本概念和准确界说.对剖析基本做更深一步的懂得的请求产生在1874年.那时的德国数学家外尔斯特拉斯结构了一个没有导数的中断函数,即结构了一条没有切线的中断曲线,这与直不雅概念是抵触的.它使人们熟习到极限概念.中断性.可微性和收敛性对实数系的依附比人们想象的要深邃得多.黎曼发明,柯西没有须要把他的定积分限制于中断函数.黎曼证清楚明了,被积函数不中断,其定积分也可能消失.也就是将柯西积分改良为Riemann积分.这些事实使我们明白,在为剖析树立一个完美的基本方面,还须要再深挖一步:懂得实数系更深刻的性质.这项工作最终由外尔斯特拉斯完成,使得数学剖析完整由实数系导出,离开了知觉懂得和几何直不雅.如许一来,数学剖析所有的根本概念都可以经由过程实数和它们的根本运算表述出来.微积分严厉化的工作终于接近封顶,只有关于无穷的概念没有完整弄清楚,在这个范畴,德国数学家Cantor做出了出色的进献.总之,第二次数学危机和焦点是微积分的基本不稳定.柯西的进献在于,将微积分树立在极限论的基本上.外尔斯特拉斯的进献在于逻辑地结构了实数论.为此,树立剖析基本的逻辑次序是实数系——极限论——微积分。
微积分知识点总结ppt一、基本概念1. 导数的定义:导数的定义是函数在一点的导数,是该函数在这一点的切线的斜率。
2. 导数的性质:基本公式,和,积,商法则等。
3. 函数的极值:通过导数求函数的极值点及极值。
4. 函数的单调性:通过导数研究函数的单调性。
5. 函数的凹凸性:通过导数研究函数的凹凸性。
二、微分学1. 微分的概念:微分是函数在某一点处的导函数的表现,是切线的截距。
2. 微分的计算:通过导函数求微分。
3. 微分的应用:微分在函数的近似计算,误差估计及优化问题中的应用。
三、积分学1. 不定积分:通过求导数的逆运算求不定积分。
2. 定积分:通过Riemann和定积分求解面积及曲线弧长等问题。
3. 定积分的性质:定积分的基本性质及计算公式。
4. 定积分的应用:定积分在物理,力学,生物等领域的应用。
四、微积分基本定理1. 微积分基本定理的概念:微分与积分之间的关系。
2. 牛顿—莱布尼兹公式:微积分基本定理的应用。
3. 微积分基本定理的证明:微积分基本定理的几何和代数证明。
4. 微积分基本定理的应用:微积分基本定理在实际问题中的应用。
五、一元函数微积分1. 一元函数极限:一元函数极限的概念及计算方法。
2. 一元函数连续性:一元函数连续性的概念及计算方法。
3. 一元函数导数:一元函数导数的概念及计算方法。
4. 一元函数积分:一元函数积分的概念及计算方法。
六、多元函数微积分1. 多元函数极限:多元函数极限的概念及计算方法。
2. 多元函数连续性:多元函数连续性的概念及计算方法。
3. 多元函数偏导数:多元函数偏导数的概念及计算方法。
4. 多元函数积分:多元函数积分的概念及计算方法。
七、微分方程1. 微分方程的基本概念:微分方程的定义及分类。
2. 微分方程的解法:微分方程的解法及技巧。
3. 微分方程的应用:微分方程在物理,工程等领域的应用。
八、泰勒级数与麦克劳林级数1. 泰勒级数:泰勒级数的定义及计算方法。
微积分24个基本公式微积分是数学中一个重要的分支,它的重要意义在于它关于空间、时间和速度的结构描述,它把自然界的复杂结构描述为简单的几何形状和数学结构,能够为任何一类科学研究提供客观、系统和深入的解释。
微积分的基本公式是非常重要的,它们不仅反映了微积分的基本概念和定律,而且支持了整个微积分体系的发展和实用应用,是科学研究的基石。
在实际运用中,24个基本公式是微积分中最为重要的公式之一,可以解释许多微积分的基本概念,并可用来解决各种不同的实际问题。
24个基本公式可以分为函数概念、导数概念、几何概念和无穷小概念四大块。
在函数概念中,包括函数定义、函数图像、最大最小值、函数极限等;在导数概念中,包括导数定义、导数方程、隐函数导数等;在几何概念中,包括几何变换、向量、曲线长度、曲率等;而在无穷小概念中,包括无穷小量与无穷大量的基本定律。
其中,函数概念的24个基本公式是:函数的定义:f(x)=y;函数的图像:图解函数的增减性;最大最小值:....;函数极限:极限的定义;极限的性质:极限的运算法则。
而在导数概念中包括:导数定义:导数的定义;导数方程:求导法则;隐函数导数:反函数求导公式;偏导数:多元函数的偏导数;曲率:曲率的定义。
在几何概念中,24个基本公式主要围绕几何变换、向量、曲线长度、曲率等概念构建而成,包括:几何变换:变换后图形的基本性质;向量:向量的定义及其运算;曲线长度:计算曲线长度的方法;曲率:曲率公式、曲率半径等。
最后,在无穷小概念中,24个基本公式包括:无穷小量与无穷大量的基本定律,以及无穷小量的定义和无穷大量的运算法则,几何意义上的无穷大量的定义,微积分法的求微分、积分计算等。
以上就是24个基本公式的详细内容,它们不仅涵盖了函数概念、导数概念、几何概念和无穷小概念四大块,而且介绍了一些能够解决实际问题的技巧:如图解函数的增减性、多元函数的偏导数、计算曲线长度的方法等,可以说,24个基本公式为学习微积分提供了非常重要的参考依据。
大一微积分基础知识点总结微积分是数学的重要分支,对于大一学生来说,微积分是一个重要的学科。
它是理解和应用其他科学和工程学科的基础。
在大一的微积分课程中,我们学习了许多基础知识点。
下面是对这些知识点的总结。
1. 函数和极限函数是微积分的基础概念之一。
我们学习了如何定义函数、函数的性质以及函数的图像。
在函数的基础上,我们引入了极限的概念。
极限描述了函数在某一点附近的变化趋势。
我们学习了如何计算极限,并且掌握了一些常见函数的极限计算方法。
2. 导数和微分在微积分中,导数是一个重要的概念。
导数描述了函数在某一点的斜率,也可以理解为函数的变化率。
我们学习了如何计算导数,并且掌握了一些基本的导数计算法则。
导数的应用广泛,例如在求解函数的最大值和最小值、描绘函数的图像等方面。
3. 积分积分是导数的逆运算,也是微积分中的一个重要概念。
我们学习了如何计算不定积分和定积分,并且掌握了一些基本的积分计算方法。
积分在求解曲线下面积、求解定积分等方面有广泛的应用。
4. 微分方程微分方程是微积分的一个重要应用领域。
微分方程描述了变量之间的关系及其导数与变量的关系。
我们学习了如何求解一阶和二阶微分方程,并且掌握了一些基本的求解方法。
微分方程在物理、生物、经济等领域都有广泛的应用。
5. 泰勒级数泰勒级数是一种用无穷级数表示函数的方法,是微积分中的一个重要概念。
我们学习了如何计算函数的泰勒级数,并且掌握了一些基本的计算技巧。
泰勒级数在函数的近似计算、数值计算等方面有广泛的应用。
6. 空间解析几何空间解析几何是微积分的一个扩展领域。
我们学习了三维空间中点、直线、平面以及它们之间的关系和性质。
通过空间解析几何,我们可以进一步理解和应用微积分中的概念。
以上总结了大一微积分课程中的一些基础知识点。
这些知识点对于我们理解微积分的基本概念和方法非常重要,也为我们进一步学习和应用微积分打下了坚实的基础。
希望通过这篇总结,能够让大家对微积分的基础知识点有一个清晰的理解。
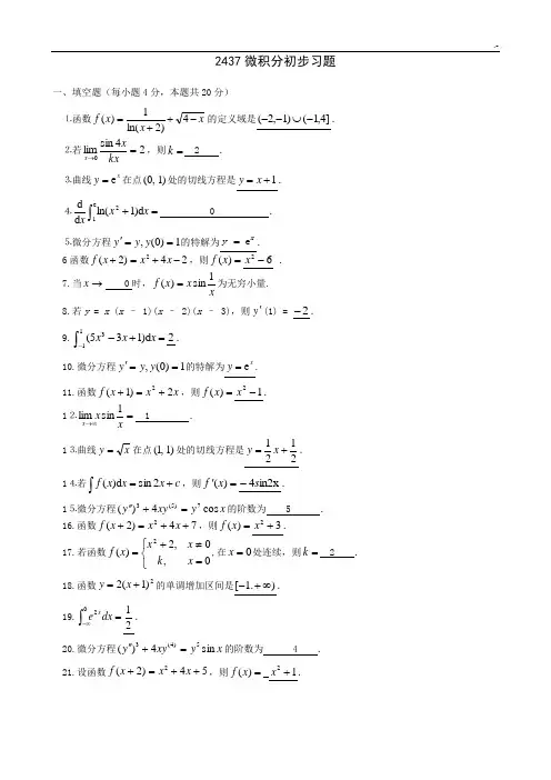
2437微积分初步习题一、填空题(每小题4分,本题共20分) ⒈函数x x x f -++=4)2ln(1)(的定义域是]4,1()1,2(-⋃--.⒉若24sin lim0=→kxxx ,则=k 2 .⒊曲线xy e =在点)1,0(处的切线方程是1+=x y .⒋=+⎰e12d )1ln(d d x x x 0.⒌微分方程1)0(,=='y y y 的特解为xy e =.6函数24)2(2-+=+x x x f ,则=)(x f 62-x .7.当→x 0时,xx x f 1sin)(=为无穷小量. 8.若y = x (x – 1)(x – 2)(x – 3),则y '(1) = 2-. 9.=+-⎰-x x x d )135(1132.10.微分方程1)0(,=='y y y 的特解为xy e =.11.函数x x x f 2)1(2+=+,则=)(x f 12-x .1⒉=∞→xx x 1sinlim 1 . 1⒊曲线x y =在点)1,1(处的切线方程是2121+=x y . 1⒋若⎰+=c x x x f 2sin d )(,则=')(x f in2x 4s -.1⒌微分方程x y xyy cos 4)(7)5(3=+''的阶数为 5 .16.函数74)2(2++=+x x x f ,则=)(x f 32+x .17.若函数⎩⎨⎧=≠+=0,0,2)(2x k x x x f ,在0=x 处连续,则=k 2 .18.函数2)1(2+=x y 的单调增加区间是).1[∞+-. 19.=⎰∞-dx e x 0221. 20.微分方程x y xy y sin 4)(5)4(3=+''的阶数为 4 .21.设函数54)2(2++=+x x x f ,则=)(x f 12+x .22.设函数⎪⎩⎪⎨⎧=-≠+=0,10,2sin )(x x k xx x f 在x = 0处连续,则k =1-. 23.曲线1e )(+=xx f 在)2,0(点的斜率是 1 .24.=+-⎰-x x x d )235(113 4 .25.微分方程0)(42=+'+'''y y y x 的阶数是 3 .26.函数)2ln(1)(-=x x f 的定义域是 答案:2>x 且3≠x .27.函数24)2ln(1)(x x x f -++=的定义域是 .答案:]2,1()1,2(-⋃-- 28.函数74)2(2++=+x x x f ,则=)(x f . 答案:3)(2+=x x f29.若函数⎪⎩⎪⎨⎧≥<+=0,0,13sin )(x k x xx x f 在0=x 处连续,则=k .答案:1=k 30.函数x x x f 2)1(2-=-,则=)(x f .答案:1)(2-=x x f31.函数1322+--=x x x y 的间断点是 .答案:1-=x32.=∞→xx x 1sin lim .答案:133.若2sin 4sin lim 0=→kxxx ,则=k .答案:2=k34.曲线1)(+=x x f 在)2,1(点的切斜率是 答案:2135.曲线xx f e )(=在)1,0(点的切线方程是 .答案:e x y +=36.已知x x x f 3)(3+=,则)3(f '= .答案:3ln 33)(2xx x f +=', )3(f '=27()3ln 1+37.已知x x f ln )(=,则)(x f ''= .答案:x x f 1)(=',)(x f ''=21x - 38.若xx x f -=e )(,则='')0(f .答案:xx x x f --+-=''e e 2)(,='')0(f 2-39.函数的单调增加区间是 .答案:),1(+∞40.函数1)(2+=ax x f 在区间),0(∞+内单调增加,则a 应满足 . 答案:0>a 二、单项选择题(每小题4分,本题共20分) ⒈设函数x x y sin =,则该函数是( A ).A .偶函数B .奇函数C .非奇非偶函数D .既奇又偶函数⒉当=k ( C )时,函数⎩⎨⎧=≠+=0,,2)(2x k x x x f ,在0=x 处连续.A .0B .1C .2D .3 ⒊下列结论中( C )正确.A .)(x f 在0x x =处连续,则一定在0x 处可微.B .函数的极值点一定发生在其驻点上.C .)(x f 在0x x =处不连续,则一定在0x 处不可导.D .函数的极值点一定发生在不可导点上. ⒋下列等式中正确的是( D ).A . )cos d(d sin x x x = B. )1d(d ln xx x = C. )d(d xxa x a = D.)d(2d 1x x x=⒌微分方程x y y x y sin 4)(53='''+''的阶数为( B ) A. 2; B. 3; C. 4; D. 5 6.数)1ln(1)(-=x x f 的定义域是( C ).A .),1(+∞B .),1()1,0(+∞⋃C .),2()2,1(+∞⋃D .),2()2,0(+∞⋃ 7.曲线1e2+=xy 在2=x 处切线的斜率是(D ).A .2B .2e C .4e D .42e 8.下列结论正确的有( B ). A .若f '(x 0) = 0,则x 0必是f (x )的极值点B .x 0是f (x )的极值点,且f '(x 0)存在,则必有f '(x 0) = 0C .x 0是f (x )的极值点,则x 0必是f (x )的驻点D .使)(x f '不存在的点x 0,一定是f (x )的极值点 9.下列无穷积分收敛的是(A ). A .⎰∞+-02d e x x B . ⎰∞+1d 1x xC .⎰∞+1d 1x xD . ⎰∞+0d in x x s10.微分方程x y x y y ln cos )(2)4(3=+''的阶数为(D46lim 222----→x x x x 4523lim )2)(2()2)(3(lim 22=--=+-+-=-→-→x x x x x x x x ). A. 1; B. 2; C. 3; D. 411.设函数x x y sin 2=,则该函数是( D ).A .非奇非偶函数B .既奇又偶函数C .偶函数D .奇函数 12.当0→x 时,下列变量中为无穷小量的是( C ). A .x 1 B .x x sin C .)1ln(x + D .2xx 13.下列函数在指定区间上单调减少的是( B ).A .x cosB .x -5C .2x D . x21⒋ 设c x xx x f +=⎰ln d )(,则=)(x f ( C ). A. x ln ln B. x x ln C. 2ln 1xx - D. x 2ln1⒌下列微分方程中,(A )是线性微分方程. A .x y y x y xln e sin ='-'' B .xxy y y e 2=+'C .y y x y e ='+''D . y y yx '=+ln 216.设函数x x y sin =,则该函数是(B ).A .奇函数B .偶函数C .非奇非偶函数D .既奇又偶函数 17.当+∞→x 时,下列变量为无穷小量的是( A ).A .xxsin B .)1ln(x + C .x x 1sin D . x x +118.若函数f (x )在点x 0处可导,则( D )是错误的.A .函数f (x )在点x 0处有定义B .函数f (x )在点x 0处连续C .函数f (x )在点x 0处可微D .A x f x x =→)(lim 0,但)(0x f A ≠19.若)0()(>+=x x x x f ,则='⎰x x f d )(( C ).A. c x x ++23223 B. c x x ++2C. c x x ++D. c x x ++232322120.下列微分方程中为可分离变量方程的是(B )A.)(ln d d y x x y ⋅=; B. x y x y+=e d d ; C. y x x y e e d d +=; D. )ln(d d y x xy += 21.函数x x y ln 41+-=的定义域为(D ). A .0>x B .4≠x C .0>x 且1≠x D .0>x 且4≠x 22.曲线x x f ln )(=在e =x 对应点处的切线方程是( C ).A. x y e 1=B. 1e 1-=x yC. 1e 1+=x yD. 1e e1+-=x y23.下列等式中正确的是(D ).A . )cos d(d sin x x x = B. )1d(d ln xx x = C. )d(d xx a x a = D. )d(2d 1x x x=24.下列等式成立的是(A ). A .)(d )(d dx f x x f x=⎰ B .)(d )(x f x x f ='⎰ C .)(d )(d x f x x f =⎰ D .)()(d x f x f =⎰ 25.下列微分方程中为可分离变量方程的是(B )A.y x x y +=d d ; B. y xy x y +=d d ; C. x xy x y sin d d +=; D. )(d d x y x xy += 26.设函数2e e xx y +=-,则该函数是(B ).A .奇函数B .偶函数C .非奇非偶函数D .既奇又偶函数27.下列函数中为奇函数是(C).A .x x sinB .2e e x x +- C .)1ln(2x x ++ D .2x x +28.函数)5ln(4+++=x x xy 的定义域为( D ). A .5->x B .4-≠x C .5->x 且0≠x D .5->x 且4-≠x29.设1)1(2-=+x x f ,则=)(x f (C )A .)1(+x xB .2x C .)2(-x x D .)1)(2(-+x x30.当=k (D )时,函数⎩⎨⎧=≠+=0,,2)(x k x e x f x 在0=x 处连续.A .0B .1C .2D .331.当=k (B )时,函数⎩⎨⎧=≠+=0,,1)(2x k x x x f ,在0=x 处连续.A .0B .1C .2D .1-32.函数233)(2+--=x x x x f 的间断点是(A ) A .2,1==x x B .3=x C .3,2,1===x x x D .无间断点33.若x x f xcos e )(-=,则)0(f '=( C ).A. 2B. 1C. -1D. -234.设,则( B ).A .B .C .D .35.设)(x f y =是可微函数,则=)2(cos d x f (D ). A .x x f d )2(cos 2' B .x x x f d22sin )2(cos ' C .x x x f d 2sin )2(cos 2' D .x x x f d22sin )2(cos '-36.若3sin )(a x x f +=,其中a 是常数,则='')(x f (C ).A .23cos a x + B .a x 6sin + C .x sin - D .x cos37.函数2)1(+=x y 在区间)2,2(-是( D )A .单调增加B .单调减少C .先增后减D .先减后增 38.满足方程0)(='x f 的点一定是函数)(x f y =的(C ). A .极值点 B .最值点 C .驻点 D . 间断点 39.下列结论中( A )不正确.A .)(x f 在0x x =处连续,则一定在0x 处可微.B .)(x f 在0x x =处不连续,则一定在0x 处不可导.C .可导函数的极值点一定发生在其驻点上.D .函数的极值点可能发生在不可导点上. 40.下列函数在指定区间上单调增加的是(B).A .x sinB .xe C .2x D .x -3三、计算题(本题共44分,每小题11分)⒈计算极限2386lim 222+-+-→x x x x x .原式214lim )1)(2()2)(4(lim22-=--=----=→→x x x x x x x x⒉设x x y 3cos ln +=,求y d .)sin (cos 312x x x y -+='x x x xy d )cos sin 31(d 2-=⒊计算不定积分x x d )12(10⎰-x x d )12(10⎰-=c x x x +-=--⎰1110)12(221)12(d )12(21 ⒋计算定积分x x d ln 2e 1⎰x x d ln 2e 1⎰-=21ln e x x 1e 1e e 2d 222e 12+=+-=⎰x xx5.计算极限46lim 222----→x x x x .6.设x x y 3cos 5sin +=,求y d .)sin (cos 35cos 52x x x y -+='x x x 2cos sin 35cos 5-=x x x x y d )cos sin 35cos 5(d 2-= 7.计算不定积分⎰+-x xxx x d sin 33 ⎰+-x x x x x d sin 33= c x x x +--cos 32ln 3238.计算定积分⎰π0d sin 2x x x⎰πd sin 2x x x 2sin 212d cos 21cos 21000πππππ=+=+-=⎰x x x x x 9.计算极限623lim 222-++-→x x x x x .原式5131lim )3)(2()2)(1(lim22=+-=+---=→→x x x x x x x x 10.设xx y 2cos +=,求y d .2ln 221sin x xxy +-='x xxy x d )2sin 2ln 2(d -=11.计算不定积分x x d )12(10⎰-x x d )12(10⎰-= c x x x +-=--⎰1110)12(221)12(d )12(2112.计算定积分⎰π20d sin x x x⎰20d sin πx x x +-=20cos πx x 1sin d cos 2020==⎰ππx x x13.计算极限234lim 222+--→x x x x .原式412lim )1)(2()2)(2(lim22=-+=---+=→→x x x x x x x x 14.设x y xcos 2+=,求y dxx y x 21sin 2ln 2⋅-=' .x xxy x d )2sin 2ln 2(d -=15.计算不定积分x x x d e ⎰-解:x xe x d ⎰-= ce xe x e xe x x x x +--=+-----⎰d16.计算定积分x x x d ln 113e 1⎰+ 解:x x x d ln 113e 1⎰+2ln 12)ln 1d(ln 113311=+=++=⎰e e xx x17. 计算极限423lim 222-+-→x x x x解:原式41)2)(2()2)(1(lim2=+---=→x x x x x 18. 计算不定积分x xx d )1(2⎰+解:x xx d )1(2⎰+= c x x x ++=++⎰32)(132)d(1)1(219.计算极限932lim 223---→x x x x . 解:原式32)3)(3()1)(3(lim3=+-+-=→x x x x x 20.设xy x 1e1+=+,求y '. 解: 2111(21e x x y x -+='+21.计算不定积分x x x d e 112⎰解:cx x xx x x +-=-=⎰⎰1112e 1d e d e 122.计算定积分x x x d cos 2⎰π解:x x x d cos 20⎰π=20sin πx x -x x d sin 20⎰π=20cos 2ππx +=12-π23.423lim 222-+-→x x x x .解:4121lim )2)(2()1)(2(lim 423lim22222=+-=+---=-+-→→→x x x x x x x x x x x x 24.329lim 223---→x x x x解:234613lim )1)(3()3)(3(lim 329lim 33223==++=+-+-=---→→→x x x x x x x x x x x x 25.4586lim 224+-+-→x x x x x解:3212lim )1)(4()2)(4(lim 4586lim 44224=--=----=+-+-→→→x x x x x x x x x x x x x 26.计算极限x x x 11lim0--→.解:)11(11lim)11()11)(11(lim 11lim 000+---=+-+---=--→→→x x x x x x x x x x x x 21)11(1lim 0-=+--=→x x 27.计算极限x x x 4sin 11lim0--→解:x x x 4sin 11lim 0--→)11(4sin 11lim)11(4sin )11)(11(lim 00+---=+-+---=→→x x x x x x x x x 81)11(4sin 44lim )11(4sin lim 00-=+--=+--=→→x x x x x x x x 28.设xx y 12e =,求y '.解: )1(e e 22121xx x y xx -+=')12(e 1-=x x29.设x x y 3cos 4sin +=,求y '.解:)sin (cos 34cos 42x x x y -+='x x x 2cos sin 34cos 4-=30.设x y x 2e1+=+,求y '. 解:2121(21exx y x -+='+31.设x x x y cos ln +=,求y '.解:)sin (cos 12321x x x y -+=' x x tan 2321-= 32.设)(x y y =是由方程422=-+xy y x 确定的隐函数,求y d .解:方程两边对x 求导,得0)(22='+-'+y x y y y xxy xy y --='22于是得到x x y xy y d 22d --=33.设2e e cos y x y x =++,求y d .解:方程两边对x 求导,得y y y x y x '='++-2e e sinyx y yx2e e sin --=' 于是得到x yx y y xd 2e e sin d --=34.求微分方程yx y +='e 的通解解:将原方程分离变量 x y xy d e ed =x y x y d e d e =-两端积分得通解为C x y +=--e e35.求微分方程y y y x ln ='满足e )1(=y 的特解.解:将原方程分离变量x x yy yd ln d = 两端积分得 lnln y = ln C x通解为 y = e Cx将e )1(=y 代入通解,得1=C ,故特解为y = e x36.求微分方程xx y y ln 1=-'的通解. 解 此方程为一阶线性微分方程,且xx Q x x P ln 1)(,1)(=-=, 则方程的通解为)ln (ln )d ln 1()d e ln 1(e d 1d 1C x x C x xx x C x x y x x xx +=+=+⎰⎰=⎰⎰-37.求微分方程12+=+'x x y y 满足初始条件47)1(=y 的特解.解 此方程为一阶线性微分方程,且1)(,1)(2+==x x Q xx P ,则方程的通解为)2141(1)d )1((1)d e)1((e242d 12d 1C x x x C x x x x C x x y xx xx ++=++=+⎰+⎰=⎰⎰-将初始条件47)1(=y 代入通解,得1=C ,于是满足初始条件的为 )12141(124++=x x x y 四、应用题1.欲做一个底为正方形,容积为108立方米的长方体开口容器,怎样做法用料最省?解:设底边的边长为x ,高为h ,用材料为y ,由已知22108,108xh h x == x x x x x xh x y 432108442222+=⋅+=+= 令043222=-='x x y ,解得6=x 是唯一驻点, 且04322263>⨯+=''=x x y , 说明6=x 是函数的极小值点,所以当6=x ,336108==h2.用钢板焊接一个容积为43m 的底为正方形的无盖水箱,已知钢板每平方米10元,焊接费40元,问水箱的尺寸如何选择,可使总费最低?最低总费是多少? 解:设水箱的底边长为x ,高为h ,表面积为S ,且有24xh = 所以,164)(22xx xh x x S +=+= 2162)(xx x S -=' 令0)(='x S ,得2=x ,因为本问题存在最小值,且函数的驻点唯一,所以,当1,2==h x 时水箱的表面积最小. 此时的费用为 1604010)2(=+⨯S (元)3.欲做一个底为正方形,容积为108立方米的长方体开口容器,怎样做法用料最省? 解:设长方体底边的边长为x ,高为h ,用材料为y ,由已知22108,108xh h x == x x x x x xh x y 432108442222+=⋅+=+=令043222=-='xx y ,解得6=x 是唯一驻点, 因为问题存在最小值,且驻点唯一,所以6=x 是函数的极小值点,即当6=x ,336108==h 时用料最省. 4.某制罐厂要生产一种体积为V 的有盖圆柱形容器,问容器的底半径与高各为多少时可使用料最省?解:设容器的底半径为r ,高为h ,则其表面积为S ,由已知h r V 2π=,于是2rVh π=,则其表面积为 rVr rh r S 2π2π2π222+=+= 22π4r V r S -=' 令0='S ,解得唯一驻点3π2V r =,由实际问题可知,当3π2V r =时可使用料最省,此时3π4V h =,即当容器的底半径与高分别为3π2V 与3π4V时,用料最省.5、欲用围墙围成面积为216平方米的一快矩形的土地,并在中间用一堵墙将其隔成两块矩形(如图所示),问这块土地的长和宽选取多大尺寸,才能使所用建筑材料最省?解:设土地一边长为x ,另一边长为x216,共用材料为y 于是 y =3xx x x 43232162+=+ 24323xy -=' 令0='y 得唯一驻点12=x (12-=x 舍去) 因为本问题存在最小值,且函数的驻点唯一,所以,当土地一边长为12,另一边长为18时,所用材料最省.6、欲做一个底为正方形,容积为108立方米的长方体开口容器,问该容器的底边和高为多少时用料最省?解:设底边的边长为x ,高为h ,用材料为y ,由已知22108,108xh h x == x x xx x xh x y 432108442222+=⋅+=+= 令043222=-='xx y ,解得6=x 是唯一驻点, 且04322263>⨯+=''=x x y ,说明6=x 是函数的极小值点,所以当6=x ,336108==h 时用料最省。
微积分教程微积分(Calculus)是高等数学中研究函数的微分、积分以及有关概念和应用的数学分支。
它是数学的一个基础学科。
内容主要包括极限极限、微分学、积分学及其应用。
微分学包括求导数的运算,是一套关于变化率的理论。
它使得函数、速度、加速度和曲线的斜率等均可用一套通用的符号进行讨论。
积分学,包括求积分的运算,为定义和计算面积、体积等提供一套通用的方法。
微积分的基本介绍微积分学基本定理指出,求不定积分与求导函数互为逆运算[把上下限代入不定积分即得到积分值,而微分则是导数值与自变量增量的乘积],这也是两种理论被统一成微积分学的原因。
我们可以以两者中任意一者为起点来讨论微积分学,但是在教学中,微分学一般会先被引入。
微积分学是微分学和积分学的总称。
它是一种数学思想,‘无限细分’就是微分,‘无限求和’就是积分。
十七世纪后半叶,牛顿和莱布尼茨完成了许多数学家都参加过准备的工作,分别独立地建立了微积分学。
他们建立微积分的出发点是直观的无穷小量,但是理论基础是不牢固的。
因为“无限”的概念是无法用已经拥有的代数公式进行演算,所以,直到十九世纪,柯西和维尔斯特拉斯建立了极限理论,康托尔等建立了严格的实数理论,这门学科才得以严密化。
学习微积分学,首要的一步就是要理解到,“极限”引入的必要性:因为,代数是人们已经熟悉的概念,但是,代数无法处理“无限”的概念。
所以,必须要利用代数处理代表无限的量,这时就精心构造了“极限”的概念。
在“极限”的定义中,我们可以知道,这个概念绕过了用一个数除以0的麻烦,相反引入了一个过程任意小量。
就是说,除的数不是零,所以有意义,同时,这个小量可以取任意小,只要满足在德尔塔区间,都小于该任意小量,我们就说他的极限为该数——你可以认为这是投机取巧,但是,他的实用性证明,这样的定义还算比较完善,给出了正确推论的可能性。
这个概念是成功的。
微积分是与实际应用联系着发展起来的,它在天文学、力学、化学、生物学、工程学、经济学等自然科学、社会科学及应用科学等多个分支中,有越来越广泛的应用。
微积分教程微积分是数学的一个重要分支,研究物体的变化过程和量的累积。
它是数学分析的基础和应用数学的重要工具。
本文将简要介绍微积分的基本概念和主要内容。
微积分的核心概念是导数和积分。
导数描述了函数的变化率,是函数在一点上的切线斜率。
它可以帮助我们研究函数的局部性质,比如最大值、最小值和拐点等。
计算导数的方法有两种:用导函数的定义进行计算,或者利用导数的基本性质和求导法则进行计算。
导数的应用包括求解方程、优化问题和曲线的绘制等。
积分是导数的逆运算,描述了函数下方的面积或曲线的长度。
它可以帮助我们计算一段区间上的累积现象,比如速度、质量和电量等。
计算积分的方法有两种:用定积分的定义进行计算,或者利用积分的基本性质和积分法则进行计算。
积分的应用包括求解长度、面积和体积等几何问题,以及计算物理量和概率等实际问题。
微积分的其他重要内容还包括微分方程和级数。
微分方程是含有未知函数及其导数的方程,它描述了变化率和变量之间的关系。
微分方程的解可以通过分离变量、定积分、变换和级数等方法求得。
级数是无穷多项的和,它可以用于近似计算、函数展开和研究函数的性质。
微积分的发展与应用十分广泛。
在物理学中,微积分被用于描述力学、电磁学和量子力学等现象;在工程学中,微积分被用于建模、优化和控制系统等问题;在经济学中,微积分被用于建立经济模型和解决最优化问题等。
微积分的基本概念和方法也为其他数学学科提供了重要的工具和思想。
在学习微积分的过程中,我们需要掌握基本概念和方法,并进行大量的练习和实践。
理解微积分的思想和应用,可以帮助我们更好地理解和解决实际问题。
同时,微积分的学习也需要结合数学分析和数学推理的能力,培养问题的分析与解决能力。
总之,微积分是一门重要的数学学科,它研究了物体变化和量的累积。
它的核心概念是导数和积分,还包括微分方程和级数等内容。
微积分在自然科学、工程学和社会科学中有广泛的应用。
学习微积分需要掌握基本概念和方法,并进行大量的实践。
数学基础——微积分基础数学基础——微积分基础数学是研究数量、结构、变化和空间等概念的学科。
它是人类文明的重要组成部分,广泛应用于实际生活的各个方面。
在数学领域中,微积分是一门重要的分支,它提供了解决实际问题的基础方法和工具。
本文将介绍微积分的基础概念和公式,以及它们在现实生活中的应用。
微积分是研究函数的变化率、面积、体积等概念的一门学科。
它由微分学和积分学两部分组成。
微分学主要研究函数在某一点的变化率,而积分学则研究曲线的长度、图形的面积和体积等。
微积分的基础概念包括极限、导数和不定积分。
极限是描述函数在某一点的变化趋势的一种方式,即函数在该点无限接近于某一常数。
导数是描述函数在某一点的变化率,它可以理解为函数在该点的斜率。
不定积分是已知一个函数的导数,求该函数的过程,它可以解决许多实际问题,如物体运动的速度和加速度等。
微积分的应用非常广泛,涉及到物理学、经济学、工程学等多个领域。
在物理学中,微积分被用于描述物体的运动规律,如牛顿第二定律、万有引力定律等。
在经济学中,微积分被用于分析成本、收益和利润等。
在工程学中,微积分被用于计算物体的面积、体积和速度等。
总之,微积分是数学的一门重要分支,它为解决实际问题提供了基础方法和工具。
通过学习和掌握微积分的基础概念和公式,我们可以更好地理解数量、结构、变化和空间等概念,提高我们的思维能力和解决问题的能力。
大学物理微积分基础大学物理微积分基础微积分是大学物理学习中不可或缺的一部分,它提供了一种描述物理现象和解决问题的方法。
本文将介绍微积分在大学物理中的应用,帮助读者更好地理解微积分的基础知识及其在物理学中的重要性。
首先,我们要了解微积分的基本概念。
微积分是由极限和导数两个基本概念组成的。
极限是描述变量无限接近某个值时的趋近速度,而导数则是描述函数在某一点的变化率。
这两个概念在物理学中有着广泛的应用,例如,在研究物体的运动学、力学和电磁学等问题时,都需要用到微积分的知识。
微积分教程微积分是数学中的一门重要学科,主要研究函数的极限、导数、微分、积分等概念和性质。
它是现代数学的基础之一,广泛应用于物理学、工程学、经济学等领域。
微积分的基础是函数的极限和连续性。
当自变量趋于某一值时,函数的极限表示函数在此处的趋势和性质。
极限的计算方法有很多,如代入法、夹逼准则、洛必达法则等。
掌握好极限的求解方法是学好微积分的关键。
函数的导数是函数在某一点上的变化率。
导数的定义是函数在该点处的极限。
导数可以用来求函数的斜率、切线、最值等。
计算导数有很多方法,如基本的导数公式、求导法则(如乘法法则、链式法则、反函数法则等)和特殊函数求导等。
微分是导数的应用,用来描述函数的局部变化。
微分可以用来求函数的增减性、凸凹性、拐点以及近似计算等。
微分有两种常用的记号:利用dx表示自变量的无穷小增量,利用dy表示函数值的无穷小增量。
积分是导数的逆运算。
积分可以用来求函数的面积、弧长、体积等。
常见的积分方法有定积分和不定积分。
定积分可以用来计算曲线下的面积,而不定积分可以求出函数的原函数。
微积分的理论和应用非常广泛。
它不仅是数学的基础,也是其他学科的基石。
在物理学中,微积分用于描述物体的运动、力学、电磁学等。
在工程学中,微积分用于解决实际问题、优化设计、模拟仿真等。
在经济学中,微积分用于分析市场供需关系、最优化问题等。
总结而言,微积分是一门关于函数极限、导数、微分和积分的学科,具有重要的理论和应用价值。
通过学习微积分,可以更好地理解和应用数学知识,从而为其他学科的学习和研究提供有力支持。
微分几何基础微积分的基本定理大概地说,微分就是把曲线用它的切线来研究它的性质,知道了曲线每一点切线的性质,也就知道了曲线的总体性质。
这相当于说把函数线性化。
线性化后,可以加减乘除,可以计算,并得到一个数来。
数学要是能得到一个数来,总是很要紧的。
积分大概的说,是计算面积。
微分是积分的反运算。
如果,则。
这就是微分与积分的基本关系,或叫微积分基本定理。
多元微积分2维积分情形就有了区域,我们叫它,那么它的边界叫,所以积分的一个自然推广是一个2重积分。
一维积分是把x分成小段,然后取小段再乘上这个函数,求一个和。
在2重积分的时候,方法也是把区域分成小块,然后取每一小块的面积,在其上函数值乘上它的面积,然后求它的和。
很不得了的,假使函数好的话,无论你如何圈你的区域,极限是一样的,这极限就是2重积分:在2维的时候,甚至高维的时候,一个重要的现象是,我们现在有2个变数x,y,换变数怎么样?换变数是微积分很重要的方法,很多问题看你的变数选择是否适当,有时换变数,问题就立即简单化了。
现在换变数:其中,是另外一组坐标。
我们发现一个事实,在高维的时候,微分的乘法,我们写成。
在多维情况下,微积分有一个巨大的进步,就是引进外代数和外微分。
一维情况下,变量微分是,二维情况下,我们引进一个乘法,并假定这个乘法是反对称的如果这样定义,则易得,因为。
这时的变数由变为,因为,所以就没有高次的东西了。
这样得到的代数是外代数。
是微积分上最微妙的观点。
(当一个大家说某个东西很妙时,你一定得反复地深入地去体会其中妙味!)这个代数很妙的,有一个立刻的结论,换变数公式为:假使我们的微分是偏微分,所以现在用外乘法一乘,,而因为乘法是反对称的,所以是刚好乘以的雅可比:,这个符号是雅可比,是四个偏微分所成的行列式,所以这个刚巧是我们重积分变数的一个关系。
我们知道重积分是要换变数的话,它应该乘上雅可比。
所以这个结论是,对重积分的Integral可看成是外代数的多项式,那么换代数就自然对了。
微积分基本教程范文微积分是高等数学的一个重要分支,主要研究函数的导数和积分,是数学的一门基础和工具学科。
本文将从微积分的基本概念、导数和积分的运算规则以及应用等方面进行介绍。
微积分的基本概念包括函数、极限与连续。
函数是自变量和因变量之间的关系,常用符号表示为f(x)。
极限是指当自变量无限接近于一些值时,函数的取值是否有一个确定的趋势。
连续是指在一些区间内的每个点,函数值都存在且无间断点。
导数是微积分中最重要的概念之一,表示函数在其中一点的瞬时变化率。
通常用dy/dx或f'(x)表示。
通过求导可以得到函数的导函数,它描述了函数在每个点处的斜率。
导数的运算规则包括常数法则、幂法则、和差法则、乘法法则、除法法则和复合函数法则。
积分是导数的逆运算,表示函数曲线下方的面积或定积分。
通常用∫f(x)dx表示,其中f(x)为被积函数,dx表示积分变量。
积分运算有基本积分法和定积分法,基本积分法是指根据积分的运算规则直接进行计算,而定积分法则是指将函数曲线下的区域分成若干个小矩形,通过对这些小矩形面积的求和得到最终结果。
微积分在多个领域中有着广泛的应用。
在物理学中,可以用微积分来求解速度、加速度、力学问题等。
在经济学中,微积分可以用来研究供求关系、边际效用等。
在工程学中,微积分可以用来描述电路、声波、光线的传播等。
在计算机科学中,微积分是计算机图形学、机器学习等领域的基础。
除了基本概念、导数和积分的运算规则以及应用之外,微积分还涉及到一些高级的概念和方法,如级数、微分方程、曲线的弧长、极坐标等。
这些内容可以在进一步学习微积分的过程中逐步了解。
总之,微积分是高等数学中的一门重要学科,包括函数、极限、导数和积分等基本概念,以及相关的运算规则和应用。
通过学习微积分,我们可以深入理解函数的性质和行为,应用于各个领域的实际问题中。
对于想要从事相关专业或对数学有兴趣的人来说,掌握微积分是非常重要的。
试卷代号:2437
国家开放大学(中央广播电视大学)2015春季学期“开放专科”期末考试
微积分基础试题
题号一二三四五总分
分数
2015年7月
一、单项选择题(每小题4分,本题共20分)
1.函数,的定义域是( ).
A.(1,+∞) B.(0,1)U(1,+oo)
C.(1,2)U(2,+∞) D.(0,2)U(2,+∞)
2.曲线在z一2处切线的斜率是( ).
3.下列函数在指定区间(一∞,+oo)上单调减少的是( ).
4·若等式成立,则,f(x)=( ).
5.函数是微分方程( )的解.
二、填空题(每小题4分,本题共20分)
三、计算题l本题共44分,每小题11分)
四、应用题(本题16分)
15.欲用围墙围成面积为216平方米的一块矩形的土地,并在正中用一堵墙将其隔成两
块,问这块土地的长和宽选取多大尺寸,才能使所用建筑材料最省?
试卷代号:2437
国家开放大学(中央广播电视大学)2015春季学期“开放专科”期末考试
微积分基础试题答案及评分标准
(供参考)
一、单项选择题(每小题4分,本题共20分)
1.C 2.B 3.D 4.A 5.C
二、填空题(每小题4分,本题共20分)
6.
7.1
8.一6
9.6
10.4
三、计算题(本题共44分,每小题11分)
四、应用题{本题16分)
15.解:设土地一边长为x,另一边长为,共用材料为y
于是y=3x+=3x+
y’=3一
令y’=0得唯一驻点x=12(x= 一12舍去)
因为本问题存在最小值,且函数的驻点唯一,所以,当土地一边长为12,另一边长为18 时,所用材料最省。