油气层渗流力学标准答案
- 格式:doc
- 大小:1.10 MB
- 文档页数:34
《油气井流体力学》复习思考题Chapl:(1)钻井液俗称钻井的血液,写出几个钻井液在钻井过程中的主要功用。
1. 从井底清除岩屑并经环空携带至地面2. 平衡地层压力和地应力,阻止地层流体流入井和维持井眼稳定3•停止循环时悬浮钻屑和加重材料4. 清洗、冷却和润滑钻头及钻柱;形成泥饼,保护井壁和储层5. 向钻头传递水力功率,辅助破岩6. 与地层黏土和流体配伍,保护油气层7. 反映井下信息,有助于录井监测和地层评价(2)钻井循环系统的组成部分。
1. 地面管汇:包括地面调节控制管汇、立管、水龙带、水龙头等钻井泵出口至钻柱顶端的流动通道2. 钻柱:包括方钻杆、钻杆和井下钻具中的圆管形流动通道及各段管柱之间的接头,还包括井下动力钻具、各种测量及控制工具等3. 钻头:主要是钻头流道、水眼及喷嘴4. 环空:分为钻柱与套管或尾管柱之间的环空、钻柱与裸眼之间的环空Chap2:(1)非牛顿流体的分类,常见的非牛顿流体有哪些,各有何特点?1. 与时间无关的非牛顿流体:剪切应力仅与剪切速率有关,与剪切持续时间无明显关系一般又可分为以下两种类型1)纯黏性流体:只要施加很小的力即可流动。
根据其表观黏度随剪切速率的变化情况,通常将这种流体分为假塑性流体和膨胀性流体。
假塑性流体的表观黏度随剪切速率的增加而减小。
膨胀性流体的表观黏度随剪切速率的增大而增大。
2)黏塑性流体:剪切应力超过一定数值后才开始流动的流体,即具有一定的屈服应力2. 与时间有关的非牛顿流体:这类非牛顿流体的黏度函数不仅与剪切速率有关,而且与剪切持续时间有关,大致可分为触变性流体和震凝性流体两类。
在一定剪 切速率下,触变性流体的表观黏度随剪切时间的增大而减小,而震凝性流体则相 反,在一定剪切速率下表观黏度随剪切时间的增大而增大。
3. 黏弹性非牛顿流体:就是具有黏性同时具有弹性的流体。
在定常剪切流场中, 这种流体在外力作用下发生形变或流动,外力消除后,它的形变会随时间的顺延 而恢复或部分恢复。
《渗流力学》综合复习资料一、填空题1.圆形封闭地层中心一口井生产时的拟稳态是指。
2.油藏的驱动方式包括几种方式。
3.在油气层中相互连通的油气水构成一个。
4.综合压缩系数的物理意义是。
5.流体在地下渗流过程中,受到这几种力的作用和影响。
6.渗流数学模型必须包括的内容有。
7.影响水驱油非活塞性的主要因素是。
8.达西定律是渗流的基本定律,它表明和成正比关系,与成反比关系。
9.地层导压系数的表达式为:,其物理意义为:。
10.折算半径是指:。
11.把油气层中流动的液体、气体以及它们的混合物统称为,把构成油气层的固体结构称为。
12.流体在油气层中的流动称为。
13.完整的渗流数学模型包括两部分。
14.分流量方程的推导是在忽略了力的情况下得到的一个简化式。
15.油气两相渗流的产量与成正比关系。
二、简述题1.油井的不完善类型有哪几种?并说明它们对产量的影响。
2.简述油井不稳定试井的基本原理及能解决的问题。
3.绘图说明非活塞式水驱油时含水饱和度变化规律。
4.镜像反映法的作用是什么?在复杂边界油藏中应用的基本原则是什么?5.试绘制Horner曲线,并说明利用它来求原始地层压力的方法。
6.简述油井的不完善类型及其引起产量变化的原因,并说明描述不完善性的方法。
7.写出非活塞式水驱油见水前的两相区平均含水饱和度公式,并图示其确定方法。
8.画出平面径向渗流的渗流场图,并说明其特点。
9.油井的不完善类型有哪几种?通常描述不完善性的方法有哪几种?10.叠加原理是解决多井问题的基本原理,说明其实质及在具体应用时应注意什么条件?11.如何确定一维水驱油在油井见水前两相区平均含水饱和度及前缘含水饱和度?三、计算题1、距离直线断层a处有一口生产井,其单位地层厚度的产量为q。
要求:1. 写出该平面渗流场的复势、势函数和流函数。
2. 求渗流场中任意一点的渗流速度。
2、刚性水压驱动油藏中,某油井的油层厚度10m,渗透率为1μm2,地下原油粘度10mPa.s,原油体积系数1.2,地面原油密度0.8g/cm3,地层压力10MPa,井底压力7.5MPa,油井半径10cm,油井供油面积0.3km2,求该井日产原油为多少吨?3、距离直线不渗透边界附近a处有一口生产井,其单位地层厚度的产量为q,已知井半径为r w,油层厚度为h,渗透率为k,井底势为Фw,供给区半径为Re(Re>>a),其上的势为Фe,试推导油井的产量公式。
第一阶段在线作业第1题双重介质是存在( )种孔隙结构的介质您的答案:B题目分数:0.5此题得分:0.5批注:认知类题目,考点为地层流体渗流介质的类型第2题在其孔隙中至少含有一种液相或气相碳氢化合物(石油或天然气)的地层称为。
您的答案:A题目分数:0.5此题得分:0.5批注:考点为地层流体的概念第3题层状构造储集层一般存在于海相沉积和内陆盆地沉积之中,可能是一层,也可能是很多性质不同的油层的叠加;该类储层中的渗流一般是。
您的答案:B题目分数:0.5此题得分:0.5批注:考点为三种基本流动的概念以及渗流的环境第4题如果油藏外围封闭(断层遮挡或尖灭作用),无水源,则称为“ ”。
您的答案:C题目分数:0.5此题得分:0.5批注:地层边界分类的性质第5题如果油藏外围有天然露头并与天然水源相通,且边界压力能保持恒定,则为“ ”您的答案:A题目分数:0.5此题得分:0.5批注:地层边界分类的性质第6题油藏在开发以前,整个油藏处于平衡状态,此时油层中流体所承受的压力称为“ ”您的答案:E题目分数:0.5此题得分:0.5批注:油藏状态中5种压力的概念第7题一般在油藏开发初期,第( )批探井完井诱喷后,立即关井测压,所测得的各井油层中部深度压力就是各井的原始地层压力您的答案:D题目分数:0.5此题得分:0.5批注:原始地层压力测试的方法第8题原始地层压力梯度曲线为P=a+bH,其中b> 1.2表示油藏为:您的答案:B题目分数:0.5此题得分:0.5批注:原始地层压力梯度曲线的概念和应用第9题一口井的油层中部海拔-940米,油水界面海拔-1200米,地层油比重为0.85,实测油层中部压力为94公斤/平方厘米,折算到原始油水界面的折算压力为( )公斤/平方厘米您的答案:D题目分数:0.5此题得分:0.5批注:折算压力概念及计算方法第10题实际油藏形状和布井状况都比较复杂,但可以从实际油藏中抽象出具体的渗流特征,根据分析,可以将油藏中的渗流可以分成三类典型的方式,即:您的答案:B题目分数:0.5此题得分:0.5批注:三种基本流动的概念第11题大多数情况下,油藏中的液体渗流服从达西定律,但也存在破坏的可能性,渗流速度较高时破坏达西定律,如下表述正确的原因是:您的答案:B题目分数:0.5此题得分:0.5批注:非线性渗流的判断准则第12题单向稳定流的等压线分布特征为:您的答案:A题目分数:0.5此题得分:0.5批注:单向稳定流的水动力学场图第13题单向稳定流和平面径向稳定流的相同点为:您的答案:A题目分数:0.5此题得分:0.5批注:达西定律第14题圆柱形石英砂模型长为40厘米,横截面直径D=2.5厘米,渗透率2.5达西,实验用液体粘度为3.45厘泊,为了使通过模型的流量为4厘米3/分,需要在模型两端建立压差为多少大气压?您的答案:B题目分数:0.5此题得分:0.5批注:达西定律第15题油层中有一口井,由于钻井的时候产生了污染,在射孔后进行了酸化作业,测量后得到该井的表皮系数为1.5,该井为:您的答案:C题目分数:0.5此题得分:0.5批注:完善井及不完善井的概念及判断标准第16题您的答案:C题目分数:0.5此题得分:0.5批注:第17题您的答案:B 题目分数:0.5 此题得分:0.5 批注:第18题您的答案:B 题目分数:0.5 此题得分:0.5 批注:第19题您的答案:A 题目分数:0.5 此题得分:0.5 批注:第20题您的答案:B 题目分数:0.5 此题得分:0.5 批注:第21题您的答案:A题目分数:0.5此题得分:0.5批注:第22题某井放喷时井产量1500吨/日,原油比重0.85,体积系数1.2,油层厚度20米,孔隙度20%,渗透率640毫达西,地下原油粘度9厘泊,油井半径10厘米,试判断井底渗流是否破坏线性关系?您的答案:正确题目分数:0.5此题得分:0.5批注:非线性渗流规律的判断第23题依靠与外界连通的边水或人工注入水的压能驱使原油流动可能的驱动方式为:您的答案:A,B,C,D,E题目分数:0.5此题得分:0.5批注:5种驱动方式的概念第24题油藏流体在渗流的过程中,可能受到的力有哪几种?您的答案:A,B,D题目分数:0.5此题得分:0.5批注:油藏流体渗流时的力学分析,受到5种力的作用第25题弹性力对应的驱动方式可能是您的答案:A,B,C题目分数:0.5此题得分:0.5批注:5种驱动方式的概念第26题多孔介质的特征为您的答案:A,B,C,E题目分数:0.5此题得分:0.5批注:渗流的力学环境第27题下面关于“渗流速度与真实渗流速度”表述正确的是您的答案:B,D题目分数:0.5此题得分:0.5批注:渗流速度和质点真实流速的概念及相互关系第28题达西试验中,流体的流量和如下哪些物理量成正比您的答案:A,C,E题目分数:0.5此题得分:0.5批注:达西定律第29题下面关于“达西定律”的表述正确的为您的答案:A,B,C题目分数:0.5此题得分:0.5批注:达西定律第30题地层渗流为非线性渗流时,流体所受的阻力主要为:您的答案:A,B题目分数:0.5此题得分:0.5批注:非线性渗流的概念第31题建立油气渗流数学模型时,下列哪类方程必不可少您的答案:A,B,C,E题目分数:0.5此题得分:0.5批注:油气渗流数学模型的建立第32题在地层条件下,每下降一个单位压力时时,单位体积岩石中孔隙体积的缩小值称为您的答案:C,D题目分数:0.5此题得分:0.5批注:压缩系数的概念第33题单相均质可压缩流体在弹性孔隙介质的质量守恒方程中,如下表述为正确您的答案:B,D题目分数:0.5此题得分:0.5批注:质量守恒原理及连续性方程的建立第34题单相不可压缩液体稳定渗流数学模型建立的条件为:您的答案:A,B,D题目分数:0.5此题得分:0.5批注:油气渗流数学模型的建立第35题关于非线性渗流规律的指数式表示,如下正确的是:您的答案:C,D题目分数:0.5此题得分:0.5批注:非线性渗流规律的指数式表达和二项式表达第36题以下关于平面径向流稳定渗流特征表述正确的是:您的答案:B,D,E题目分数:0.5此题得分:0.5批注:平面径向渗流的产量公式、压力分布特点第37题提高油井产量可能的方法有:您的答案:A,C,D,E题目分数:0.5此题得分:0.5批注:油井的产量公式第38题稳定试井的具体方法为:您的答案:A,B,C,D题目分数:0.5此题得分:0.5批注:稳定试井的方法第39题您的答案:A,B,C,E 题目分数:0.5此题得分:0.5批注:第40题您的答案:B,C题目分数:0.5此题得分:0.5批注:作业总得分:20.0作业总批注:第二阶段在线作业第1题您的答案:C 题目分数:0.5 此题得分:0.5 批注:第2题您的答案:B 题目分数:0.5 此题得分:0.5 批注:第3题您的答案:D 题目分数:0.5 此题得分:0.5 批注:第4题您的答案:B 题目分数:0.5 此题得分:0.5 批注:第5题您的答案:A 题目分数:0.5 此题得分:0.5 批注:第6题您的答案:A 题目分数:0.5 此题得分:0.5 批注:第7题您的答案:B 题目分数:0.5 此题得分:0.5 批注:第8题您的答案:B 题目分数:0.5 此题得分:0.5 批注:第9题您的答案:B 题目分数:0.5 此题得分:0.5 批注:第10题您的答案:C 题目分数:0.5 此题得分:0.5 批注:第11题您的答案:D 题目分数:0.5 此题得分:0.5 批注:第12题您的答案:D 题目分数:0.5 此题得分:0.5 批注:第13题您的答案:A 题目分数:0.5 此题得分:0.5 批注:第14题您的答案:A 题目分数:0.5 此题得分:0.5 批注:第15题您的答案:B题目分数:0.5此题得分:0.5批注:水电相似原理第16题您的答案:A题目分数:0.5此题得分:0.5批注:无限大地层等产量两汇的渗流速度分布第17题您的答案:A题目分数:0.5此题得分:0.5批注:直线供给边界的映射第18题您的答案:E题目分数:0.5此题得分:0.5批注:直线断层的映射第19题在同一油层内,若有多口井投产,则其中必然有一口井工作制度的改变不会引起其它井井底压力及产量发生变化。
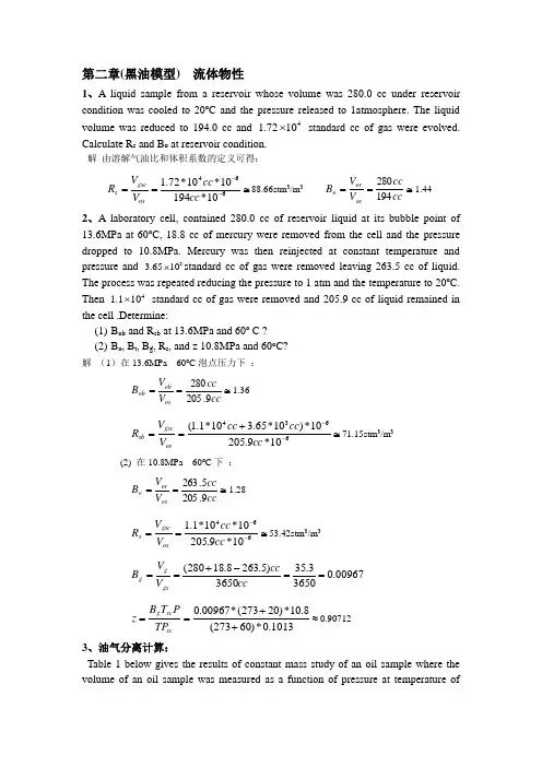
第二章(黑油模型) 流体物性1、A liquid sample from a reservoir whose volume was 280.0 cc under reservoir condition was cooled to 20o C and the pressure released to 1atmosphere. The liquid volume was reduced to 194.0 cc and 41072.1⨯ standard cc of gas were evolved. Calculate R s and B o at reservoir condition. 解 由溶解气油比和体积系数的定义可得:≅==--66410*19410*10*72.1cc cc V V R os gsc s 88.66stm 3/m 3≅==cc cc V V B os or o 194280 1.44 2、A laboratory cell, contained 280.0 cc of reservoir liquid at its bubble point of 13.6MPa at 60o C, 18.8 cc of mercury were removed from the cell and the pressuredropped to 10.8MPa. Mercury was then reinjected at constant temperature and pressure and 31065.3⨯standard cc of gas were removed leaving 263.5 cc of liquid. The process was repeated reducing the pressure to 1 atm and the temperature to 20o C. Then 4101.1⨯ standard cc of gas were removed and 205.9 cc of liquid remained in the cell .Determine:(1) B ob and R sb at 13.6MPa and 60o C ? (2) B o , B t , B g , R s , and z 10.8MPa and 60o C?解 (1)在13.6MPa 60o C 泡点压力下 : ≅==ccccV V B os ob ob 9.205280 1.36 ≅+==--663410*9.20510*)10*65.310*1.1(cc cc cc V V R osgsc sb 71.15stm 3/m 3(2) 在10.8MPa 60o C 下 :≅==ccccV V B os or o 9.2055.263 1.28 ≅==--66410*9.20510*10*1.1cc cc V V R osgsc s 53.42stm 3/m 3 00967.036503.353650)5.2638.18280(==-+==cc cc V V B gsg g≈++==1013.0*)60273(8.10*)20273(*00967.0scsc g TP P T B z 0.907123、油气分离计算:Table 1 below gives the results of constant mass study of an oil sample where the volume of an oil sample was measured as a function of pressure at temperature of100o C, corresponding to the reservoir temperature.In an another test a sample of oil from the PVT cell at its bubble point and at 100o C were passed through a two stage separator at 1.44MPa and 26o C and 1 atm and 20o C . 55cc of oil were removed from the PVT cell at bubble point condition and 45.3 cc of oil were collected from the last separation stage, 2000 cc of gas at stand conditions were collected during these tests.In a further test, differential liberation was carried out on a sample of oil at 100o C and the volume of oil remaining measured at each stage. The cumulative standard volume of gas liberated was also reported and the data is given in table 2.From the results of all these tests, determine:(a) the bubble point of the reservoir fluid(b) the oil formation volume factor at 23.8MPa(c) the solution oil-gas ratio at 3650psig or 12.2MPa(d) the solution oil-gas ratio and the oil formation volume factor of crude oil when pressure reduced to 6.5MPa .Table1 Constant Mass Study of Reservoir Fluid at 100o CTable 2解 (1)油藏的泡点压力由图中直线的交点可得:泡点压力=8.0MPa (2)23.8MPa 时油的体积为244.57cc由图可得泡点压力下油的体积为:cc V o 2.255= 泡点压力下的体积系数:8236.0553.45==ob B 故油的体积系数为:8594.08236.0*57.2442.255*===ob o ob o B V V B (3) 12.2MPa 大于泡点压力,故此时的溶解气油比和泡点压力时相同 由二级分离的数据可得:15.4410*3.4510*)2000(66≅==--cc cc V V R osgsc sb stm 3/m 3(4)6.5MPa 对应的累积产气量为:1.1111)5.68.6(*8.58.69381515938=---+=g V对应的油量为:553.174)5.68.6(*8.58.601.1745.175175=----=o V 293.1135553.174≅==ccccV V B os or o ≅-==--6610*13510*)1.11118991(cc cc V V R osgsc s 58.37stm 3/m 3 (组分模型)4、An oil has the following compositionComponent Mole-Fraction n-butane 0.31 n-pentane 0.39 n-hexane 0.30What is the API gravity of the oil? Use the ideal solution principles.解:密度 ==833439.10067.72ρ39.27 )/(3ft lb相对密度 ===37.6227.39w r ρρ0.63 5.1315.141-=r API o =93.1 5、Calculate the density of the follow liquid at its bubble point of 3000 psia at a reservoir temperature of 200o F using the Standing and Kate correlation.Component Composition Mole Fraction Methane 0.382 Ethane 0.091 Propane 0.056 Butanes 0.048 Pentanes 0.040 Hexanes 0.036 Pentane Plus 0.347 1.000The heptane plus has a gravity of 34o API and molecular weight of 200.解:Heptane plus 密度 345.1315.141*37.625.1315.141*+=+=ow APIρρ=53.325)/(3ft lb 组成 摩尔分数 摩尔质量 质量 密度 体积 Methane 0.382 16.04 6.12728 Ethane 0.091 30.07 2.73637 Propane 0.056 44.09 2.46904 31.66 0.077986 Butanes 0.048 58.12 2.78976 35.78 0.07797 Pentanes0.04 72.15 2.886 38.51 0.074942组成 摩尔分数摩尔质量 质量密度 体积lbmollbmol lb /lb3/ft lb 3ftn-c4 0.31 58.12 18.0172 36.43 0.49457 n-c5 0.39 72.15 28.1385 39.36 0.714901 n-c6 0.3 86.17 25.85141.43 0.6239681 72.0067 1.833439lbmol lbmol lb /lb 3/ft lb 3ftHexanes 0.036 86.17 3.10212 41.43 0.074876 Heptane Plus 0.347 200 69.4 53.325 1.3014531 80.646921.607227密度 178.50607227.164692.80==ρ)/(3ft lb C2/C2+的质量分数:0328.073637.264692.8073637.2=+ C1/C1+的质量分数:068.012728.673637.264692.8012728.6=++ 查图可得 标准状况下=os ρ45.2)/(3ft lb压力校正:查图的压力校正系数为0.87)/(3ft lb 07.4687.02.45=+=o ρ)/(3ft lb 温度校正:查图得温度校正系数为-3.65)/(3ft lb=-=65.307.46o ρ42.42)/(3ft lb6、It is known that a crude oil exists at its bubble point in a reservoir at 220 o F and 3600psia,and 890 scf/STB of a gas with the following composition are produced.Component Composition Mole Fraction Methane 0.697 Ethane 0.156 Propane 0.130 Butane 0.017The gravity of the produced oil is 40o API. What is the density of the liquid in the reservoir?解:原油的密度:405.1315.141*37.625.1315.141*+=+=ow APIρρ=51.46)/(3ft lb =288.95)/(STB lb 由溶解气油比可得,一桶油对应气的摩尔数是:3458.24.379890=lbmol 组成 摩尔分数 摩尔质量 质量 密度 体积 z M 2.3458*z*M Methane 0.697 16.04 26.2257625 Ethane 0.156 30.07 11.0039601 Propane 0.13 44.09 13.4454218 31.66 0.424682 Butanes 0.017 58.12 2.31774423 35.78 0.064778oil 40API o288.95 5.615 1 304.713166 6.104459密度 92.491.6713.304==ρ)/(3ft lb C2/C2+的质量分数:03485.01171.30411=+ lbmol lbmol lb /lb 3ft 3/ft lbC1/C1+的质量分数:0767.0226.261171.304226.26=++查图可得 标准状况下=os ρ45)/(3ft lb压力校正:查图的压力校正系数为1.05 05.4605.145=+=o ρ)/(3ft lb温度校正:查图得温度校正系数为-4.3=-=3.405.46o ρ41.75)/(3ft lb7、The solubility of a 0.75 gravity gas in an oil of 48o API gravity is 850 scf/STB at 2250 psia and 180o F. What is the density of the liquid at 2550 psia and 180o F?解:一桶油所对应的气的质量7275.2197.28*75.0*===r M M air g lbmol lb / ==4.379850*g g M m 48.6778STB lb / 一桶油的质量=+=+==37.62*5.131485.141*615.5*5.1315.141*615.5**615.500w ow API r m ρρ2 76.0689STB lb /组成每桶的质量 标况密度体积Gas 48.6778 22(查图) 2.212627273 Oil 276.0689 5.615 324.7467 7.827627273标准状况下 8276.77467.324=os ρ= 41.487)/(3ft lb压力校正:查图的压力校正系数为0.88=+=88.0487.41o ρ42.367)/(3ft lb温度校正:查图得温度校正系数为3.18187.3918.3367.42=-=o ρ)/(3ft lb8、A gas condensate well is producing at 24,000 scf/STB. What is the composition of the reservoir fluids? The gas and oil compositions are given below:lb3/ft lb 3ft ∑解:一桶油所对应的气的摩尔数: 2578.634.37924000==g n lbmol一桶油所对应的油的摩尔数=+=+==37.62*5.13195.605.141*615.5*5.1315.141*615.5**615.500wow API r m ρρ 257.49STB lb /767.33572.6849.257==o n l b m o lcomponent composition Res fluid composition Gas Oil Res fluidMethane 0.83 52.503974 0.783351446 Ethane 0.074.428046 0.066065785 Propane 0.05 0.15 3.72794 0.055620308 Butanes 0.03 0.35 3.216184 0.047984985 Pentanes 0.020.3 2.395256 0.035736862 Hexanes0.11 0.41437 0.006182338 Heptane plus 0.09 0.33903 0.00505827767.0248 19、Calculate the gas-condensate formation –volume factor at 250o F and 3300 psia for the system in question 8.解:首先计算因子 z组成摩尔分数 临界压力 视临界压力 临界温度 视临界温度Methane 0.783351446 667 522.4954145 344 269.4728974 Ethane 0.066065785 706 46.64244393 551 36.40224732 Propane 0.055620308 616 34.26210955 666 37.04312493 Butanes 0.047984985 540 25.91189172 750 35.9887385 Pentanes 0.035736862 489 17.47532531 830 29.66159511 Hexanes 0.006182338 437 2.701681915 914 5.650657369 Heptane 0.005058277 360 1.820979697 1025 5.18473386Oil组成 摩尔分数 摩尔质量 视摩尔质量C3 0.15 44.09 6.6135 C4 0.35 58.12 20.342 C5 0.3 72.15 21.645 C6 0.11 86.17 9.4787 C7+ 0.09 114.2 10.278 1 68.3572lbmol lbmol lb /lb xy y x 767.3*2578.63+lbmol psia psia R o Roplus651.3098466 419.4039945对应压力:对应温度:查图可得压缩因子 z= 0.86生产1桶凝析油对应油藏条件下凝析气的摩尔数为: 0248.67767.32578.63=+=+=o g gr n n n l b m o l 凝析气在油藏条件下的体积为:R lbmol psia ft R o /.73.103=nzRT PV =30694.1333300)460250(*73.10*0248.67*86.0ft P znRT V =+==即凝析气的体积系数为 0694.133=g B第三章 岩石物性参数确定及应用10、A well penetrates a reservoir which from cuttings is known to consist of rock types A and B from which a set of air-mercury measured capillary pressure curves areavailable, taken in a nearby well, Figure 1. During logging the lowest 100% S w was found at the bottom of the well in rock type B as indicated in the figure 2. The porosity at this level is 15%.(Specific gravities of the water and oil are 1.03 and 0.80 respectively at reservoir conditions. The density of water is 62.4 lbm/ft 3.假设油藏条件下的水柱上升高度数据(ft )与室内毛管力数据(psi )相等) Questions :(1) Determine the Free Water level and locate it on figure 2. (2) Construct the water saturation profile. (3) Estimate permeabilities(4) Which intervals would you recommend for completion based on the criteria Sw<50% and k>0.1mD.(5)What is the net pay (cumulative thickness having Sw<50%).0667.531.6513300===rP P P 693.14.419460250=+==r T T TFigure 1 Capillary pressure curves from nearby well.图2 油层纵向剖面图。
【油气层渗流力学】模拟题二一填空题1 达西定律描述的是流体在多孔介质中渗流时,流量与折算压差成正比关系,与渗流阻力成反比关系。
2 镜像反映法主要用来研究等势边界与不渗透边界的影响问题,反映时要求保持边界上的渗流条件不变。
3 封闭弹性驱动方式下,压力传导的第二阶段达到拟稳态时的主要特征是油藏各点压力下降速度相等4 在渗流力学中,质量守恒定律是指在地层中任取一微小的单元体,在单元体内若没有源和汇存在,那么包含在微元体封闭表面积内的液体质量变化应等于同一时间间隔内液体流入质量与流出质量之差。
5 综合压缩系数的物理意义是:单位岩石体积在降低单位压力时。
由于空隙收缩和液体膨胀共同排挤出来的液体体积。
可以看成是一个常数。
6 在油气层中流动的流体,气体以及他们的混合物统称为流体,把构成油气层的固体结构称为多孔介质。
7 油藏的驱动方式包括弹性驱动、水压驱动、气压驱动、溶解气驱与重力驱动几种方式。
8 在油气层中相互连通的油气水构成一个统一的水动力学系统。
9 流体地下渗流过程中,受到这几种力的作用和影响。
10 完整的渗流数学模型必须包括这几个方程。
11 影响水驱油非活塞性的主要因素是毛管力、油水重率差、油水粘度差。
12 分流量方程的推导是在忽略了毛管力和重力的情况下得到的一个简化式。
13 折算半径是指14 渗流速度是指15 镜像反映法的原则有对称性原则、边界性质不变形原则。
16 画渗流场图的原则:1各相邻两条等压线之间的压力差应该相等、2各相邻两条流线之间通过的流量也应该相等。
17 井的不完善类型有打开程度不完善、打开性质不完善、双重不完善。
二简述题1渗流数学模型的一般结构是什么?答:用数学语言综合表达油气渗流过程中的全部力学现象和物理现象的内在联系和运动规律的方程式(或者方程组)称为“油气渗流的数学模型”。
一般结构是:⑴运动方程⑵状态方程⑶质量守恒方程以上三类方程是油气渗流数学模型的基本组成部分,⑷能量守恒方程⑸其它附加的特性方程⑹有关的初始条件和边界条件2 油井的不完善类型有几种?描述不完善性的方法有哪些?答:不完善井的定义:不完善井的类型:打开程度不完善:油层未全部打开,但打开部分是裸眼完井的。
2019年春中国石油大学(北京)渗流力学__第一阶段在线作业单选题 (共21道题)展开收起1.(2.5分)• A、1)• B、2)• C、3)• D、4)• E、5)我的答案:C 此题得分:2.5分2.(2.5分)• A、1)• B、2)• C、3)• D、4)我的答案:B 此题得分:2.5分• A、.(1)• B、.(2)• C、.(3)• D、.(4)我的答案:B 此题得分:2.5分• A、.(1)• B、.(2)• C、.(3)• D、.(4)我的答案:A 此题得分:2.5分• A、.(1)• B、.(2)• C、.(3)• D、.(4)我的答案:B 此题得分:2.5分6.(2.5分)实际油藏的形状和布井状况比较复杂,但可以根据实际油藏的渗流特征,将油藏中的渗流方式抽象为三类典型模式,即:• A、单向流、层流、垂直流;• B、单向流、平面径向流、球面向心流;• C、单相流、多相流、多维流;• D、线性流、紊流、层流;我的答案:B 此题得分:2.5分7.(2.5分)大多数情况下,油藏中的流体渗流服从线性渗流规律(达西定律),但渗流速度较高时会破坏线性渗流规律(达西定律),如下原因表述正确的是:• A、高速流动时,只有惯性力存在,导致线性渗流规律被破坏;• B、高速流动时,惯性力逐渐增大,与粘滞力相比,其作用开始增大,从而导致线性渗流规律被破坏;• C、高速流动时,渗流过程中出现了新的渗流阻力(即惯性力),从而导致线性渗流规律被破坏;• D、高速流动时,粘滞力逐渐减小,惯性力逐渐增大,从而导致线性渗流规律被破坏;我的答案:B 此题得分:2.5分8.(2.5分)地层渗流时,单相流体单向稳定渗流的等压线:• A、一组互相平行的直线;• B、一组向外发散的射线;• C、一组同心圆;• D、越靠近排液道越密集;我的答案:A 此题得分:2.5分9.(2.5分)地层渗流时,单相流体单向稳定渗流和平面径向稳定渗流的相同点为:• A、通过每个渗流截面的流量保持不变;• B、通过每个渗流截面的流速不变;• C、通过每两个相邻等距间隔渗流截面的压力降不变;• D、通过每个渗流截面的渗流阻力不变我的答案:A 此题得分:2.5分10.(2.5分)圆柱形石英砂模型长为40cm,横截面直径D=2.5cm,渗透率2.5 D,实验用液体粘度为3.45 mPa·S,为了使通过模型的流量为100cm3/ min,需要在模型两端建立压差为多少大气压?• A、0.50 atm;• B、0.75 atm;• C、1.00 atm;• D、1.25 atm;我的答案:B 此题得分:2.5分11.(2.5分)油层中有一口井,由于钻井的时候产生了污染,在射孔后进行了酸化作业,测量后得到该井的表皮系数为1.5,该井为:• A、超完善井;• B、完善井;• C、不完善井;• D、不确定我的答案:C 此题得分:2.5分• A、1• B、2• C、3• D、4• E、5我的答案:B 此题得分:2.5分13.(2.5分)• A、1• B、2• C、3• D、4我的答案:A 此题得分:2.5分14.(2.5分)在其孔隙中至少含有一种液相或气相碳氢化合物(石油或天然气)的地层称为。
渗流力学参考答案一、填空题1、圆形封闭地层中心一口井生产时的拟稳态是指(在较大的油藏中分布有一系列生产井,当油田开发一段时间以后,每一口井都将形成一个泄油区,每一个泄油区可近似看成一个圆形封闭油藏)。
2、油藏的驱动方式包括(水压驱动,弹性驱动,气压驱动,溶解气驱动和重力驱动)几种方式。
3、在油气层中相互连通的油气水构成一个(统一的水动力学系统)。
4、综合压缩系数的物理意义是(单位地层体积当压力下降单位压力时,由于液体膨胀和岩石孔隙体积的收缩依靠弹性能量所驱动的液体体积。
)。
5、流体在地下渗流过程中,受到(液体重力、粘滞力、弹性力、毛管力)这几种力的作用和影响。
6、渗流数学模型必须包括的内容有(运动方程、连续性方程、边界条件和初始条件)。
7、影响水驱油非活塞性的主要因素是(油水密度差、油水粘度差、毛管力)。
8、达西定律是渗流的基本定律,它表明(流量)和(生产压差)成正比关系,与(渗流阻力)成反比关系。
9、地层导压系数的表达式为:(£=K /μCt ),其物理意义为:(单位时间内压力波传播的地层面积)。
10、折算半径是指:(产量与实际不完善井相同的假想完善井的半径称为油井折算半径)。
11、把油气层中流动的液体、气体以及它们的混合物统称为(地下流体),把构成油气层的固体结构称为(多孔介质)。
12、流体在油气层中的流动称为(渗流,渗滤)。
13、流体在地下渗流过程中,受到(液体重力、粘滞力、弹性力、毛管力)这几种力的作用和影响。
14、完整的渗流数学模型包括(基本微分方程式与初始条件和边界条件)两部分。
15、分流量方程的推导是在忽略了(毛管力和重力)的情况下得到的一个简化式。
16、油气两相渗流的产量与(压力函数)成正比关系。
l7、镜像反映法主要用来研究(定压边界,不渗透边界)的影响问题,反映时要求保持(渗流边界性质)不变。
18、渗流速度V是指(渗流量与渗流截面积之比),流体质点的真实平均速度u是指(渗流量与渗流截面的孔隙面积之比),两者的关系为(V= φu )。
渗流力学一、词解释:1、多孔介质:由毛细管微毛细管构成的介质叫多孔介质。
2、双重介质:由两种孔隙空间构成的多孔介质叫重介质。
3、油水分界面:油藏中油和水接触面叫油水分界面。
4、油水边界:油水分界面在平面上的投影。
5、供给边界:若油藏有露头,露头处有水源供应,则露头在平面上的投影叫做供给边界。
6、储容容性:油藏储存和容纳流体的能力。
7、渗流速度:流体通过单位渗流面积的体积流量。
8、真实渗流面积:流体所流过孔道的横载面的面积。
9、原始地层压力:油藏在投入开发以前测得的地层压力叫原始地压力。
10、流动压力:在正常生产状态下,在生产井井底所测得的压力叫流动压力。
11、压力梯度曲线:第一批控井测得的原始地层压力与对应的地层深度作出的曲线叫压力梯度曲线。
12、折算压力:经折算后的压力叫折算压力,代表流体盾点总能量。
13、重力水压驱动方式:以与外界连通的水头压力或人工注水压力作用作为主要驱油动力的驱油方式。
14、弹性驱动:以岩石及流体本身的弹性力作为主要驱汪动力的驱动方式。
15、溶解气驱动:以从石油中不断分离出来的溶解气的弹性能作为主要驱油动力的驱油方式。
16、线性渗流:流体流动规律符合达西定律的流动叫线性渗流。
17、非线性渗流:凡是偏离达西定律的流动叫非线性渗流。
18、稳定渗流:运动要素在渗流过程不发生变化的渗流。
19、渗流数学模型:用数学语文综合表达油气渗流过程中全部力学现象与物理化学现象的内在联系和一般运动规律的方程。
20、平面单向流:流体沿着一个方向流动,流线互相平行的渗流叫平面单向流。
21、平面径向流:流体沿着半径向中心一点洪或向外扩散的流动叫平面径向流,井底附近流动即为平面径向流。
22、压力梯度:地层中流体流经单位长度距离所消耗的能量。
23、质量渗流速度:地层中单位时间单位截面所流过的质量流量。
24、流场图:由一组等压线和一组流线按一定规则构成的图形。
25、等压线:流场图中压力相等点的连线。
26、完善井:指油层部位全部钻穿,且裸眼完成的,井底不受污染的井。
渗流力学 模拟试卷A (闭卷)答案一、概念题(可由文字或公式表示)( 每小题2分,共计30分) 1、压力梯度曲线——p=a+bh2、非线性渗流的二项式——2p aQ bQ ∆=+3、采油指数——QJ p=∆,单位压差下油井日产量 4、不完善井折算半径——由于井底不完善,导致流线集中而引起的附加压力降落,这个附加压力可以用缩小的井半径来表示,称为不完善井折算半径。
sw we e R R -=5、势的叠加——1nii =Φ=Φ∑6、平面径向稳定流的渗流阻力——ln 2e wr R Kh r μπ=7、稳定试井——通过人为改变油井生产工作制度,待生产稳定后进行压降与产能变化规律的研究的试井方法。
8、折算压力——Pr=P+γZ ,表示各点流体相对于一个平面的总能量。
9、活塞式水驱油——假设水驱油时,油水接触面将垂直于流线均匀地向井排流动,含水区和含油区截然分开,这称为活塞式水驱油。
10、渗流速度——Qv A=流体通过多孔介质时,假设单位时间内流体通过整个渗流的截面的流体速度。
11、达西定律——KpQ ALμ∆=∆ 12、汇点反映——以断层面为界面,一口生产井镜像反映得到同样的性质的井,称为汇点反映。
13、综合弹性压缩系数——t f L C C C φ=+ 14、导压系数——tKc μ,表示压力波在地层中传播速度的快慢量。
15、等饱和度面移动方程——'00()()tw w f S x x q t dt Aφ-=⋅⎰ 二、简答题(每小题6分,共计30分)1、简述油藏开发过程中可能出现的主要驱油能量种类。
答:压能、气顶气膨胀力、液体及岩石的弹性力、溶解气的膨胀力、原油本身的重力2、作图:根据镜像原理,作出图中两条断层相夹油井的“镜像”。
答:3、简述等值渗流阻力法在多排井上应用时的步骤。
答:(1)根据水电相似原理,做出等价电路图;(2)写出渗流时各井排的内外阻;(3)列出电路方程;(4)求解。
4、简述非活塞式驱替的形成原因及其特点。
智慧树知到《渗流力学(山东联盟)》章节测试答案第一章1、根据流体流动的空间特点,通常可将油气藏分为和两大类A.构造油气藏B.层状油气藏C.岩性油气藏D.块状油气藏答案:层状油气藏,块状油气藏2、流体在岩石孔隙中渗流时所受的力可以忽略的是A.毛管力B.重力C.弹性力D.惯性力答案: 惯性力3、气体在岩石孔道中渗流时的效应是导致气测渗透率大于液测渗透率的根本原因A.扩散B.滑脱C.对流D.吸附答案: 滑脱4、油水两相渗流时,相渗透率ko、kw与绝对渗透率k之间的关系是A.ko+kw=kC.ko+kw<kD.ko=kw=k答案: ko+kw<k5、在渗流过程中,流体的流速取决于流动的和之间的相对关系A.动力B.毛管力C.阻力D.粘滞力答案: 动力,阻力第二章1、一个完整的数学模型应包括A.渗流综合微分方程B.初始条件C.边界条件D.其余三项全是答案:其余三项全是2、是油气渗流数学模型必须包括的组成部分A.运动方程B.质量守恒方程C.初始条件答案:运动方程,质量守恒方程,初始条件,边界条件3、利用油气渗流数学模型可以解决的问题包括A.压力的分布B.速度的分布C.饱和度的分布D.分界面移动规律答案: 压力的分布,速度的分布,饱和度的分布,分界面移动规律4、渗流过程必须遵循质量守恒定律,即:在地层中任取一微小单元体,在单元体内若没有源和汇存在,那么包含在单元体封闭表面之内的液体质量变化应等于同一时间间隔内液体流入质量与流出质量之差A.对B.错答案: 对5、综合压缩系数的物理意义是单位岩石体积在降低单位压力时,由孔隙收缩和液体膨胀共排挤出来的液体体积,可看成是常数A.对B.错答案: 对第三章1、对于单向稳定渗流,以下说法正确的是A.地层内的压力随时间变化B.压力沿流体流动方向呈对数函数关系C.等压线是一组相互平行的直线D.其余三项说法都正确答案:D2、地层流动系数指的是A.khB.kh/μC.k/μD.k/(μC*)答案:B3、液体平面径向稳定渗流的流量与成正比A.地层渗透率B.流体粘度C.供给半径与油井半径之比的对数D.压力差答案:AD4、从供给边缘到井排处假想的排液坑道的渗流阻力称为渗流内阻A.对B.错答案:B5、等值渗流阻力法在应用时要求不同井排上各井的井径、产量和井底压力均应相当A.对B.错答案:B第四章1、弹性不稳定渗流的多井干扰问题可以用方法求解A.势的叠加原理B.镜像反映原理C.水电相似原理D.等值渗流阻力法答案:A2、针对不同的油藏模型和内外边界条件建立数学模型,并求解得到解析解。
油气层渗流力学试题
一、填空(20分每空1分)
1、目前我国发现的油气藏,可以分为两大类()和()。
2、一般水驱油可分为()和()。
3、油藏在未开发前,处于静止状态,各点总能量()。
4、基本的渗流方式有三种分别是(单向流)、(平面径向流)、(球面向心流)。
5、单相不可压缩液体在刚性介质中的渗流连续性方程是(),其物理意义是()。
6、估计不完善性对渗流影响的方法有()、()和()。
7、非活塞式水驱油,油水前缘上含水饱和度值的大小取决于()和()。
8、块状油藏油、气、水的分布在纵向上可分为()、()及()。
9、对一确定的水驱油藏,两相区中各渗流截面上的含水率取决于()。
10、当储集层外围有充分的能量补给时的开采方式称为()。
二、简答题(40分)
1、井的不完善类型具体可分为哪三类?
打开程度不完善打开性质不完善双重不完善
2、建立综合油气渗流数学模型要考虑的内容有哪些?
渗流综合微分方程初始条件边界条件
3、镜像反映法的基本原则及井间干扰的实质分别是什么?
镜像反映法的对称性原则边界性质不变法则
4、影响水驱油非活塞性的因素有哪些?
毛管力重率差粘度差
5、等产量一源一汇水动力场图分布特点?(87)
它的等压线是圆心在X轴上的一族圆流线是在Y轴上移动的一族圆Y轴是等压线X
轴是流线整个水动力学场图是关于Y轴对称
三、计算题(40分)
1、达西公式或裘比仪公式应用。
2、镜像反映法求产量或压力。
3、突变地层产量公式推导。
4、计算水压弹性储层压降或求势函数及流函数。
5、求油水前缘含水饱和度及平均含水饱和度。
油气层渗流力学答案1.有四口油井测压资料间表1。
已知原油的相对密度0.8,原始油水界面的海拔为-950m ,试分析在哪个井附近形成低压区。
解:将4口井的压力折算成折算压力进行比较111m m zm H g p p ∆+=ρ=9.0×106+0.8×103×9.8×(950-940)=9.08MPa222m m zm H g p p ∆+=ρ=9.0×106+0.8×103×9.8×(950-870)=9.48MPa333m m zm H g p p ∆+=ρ=9.0×106+0.8×103×9.8×(950-850)=9.58MPa444m m zm H g p p ∆+=ρ=9.0×106+0.8×103×9.8×(950-880)=9.45MPa由数值上可以看出在第一口井处容易形成低压区。
2.某油田有一口位于含油区的探井,实测油层中部的原始地层压力为8.822×106Pa ,油层中部海拔为-1000m 。
位于含水区有一口探井,实测地层中部原始地层压力为11.47×106 Pa ,地层中部海拔-1300m 。
已知原油的相对密度为0.85,地层水的相对密度为1。
求该油田油水界面的海拔高度。
解:由于未开采之前,油层中的油没有流动,所以两口探井的折算压力应相等,设h 为油水界面的海拔高度,则:()10008.91085.010822.8361111-⨯⨯⨯+⨯=∆+=h H g p p m m zm ρ ()13008.91011047.11362222-⨯⨯⨯+⨯=∆+=h H g p p m m zm ρ由21zm zm p p =可得:=h -1198.64m该油田油水界面的海拔高度为-1198.64 m3.某油田在开发初期钻了五口探井,实测油层中部原始地层压力资料见表2。
表 题3的压力梯度数据后来又钻了一口井,已知其油层中部海拔为-980m ,试根据已有资料推算此井油层中部原始地层压力。
解:由表格中数据绘得海拔与油层中部的压力曲线,从图上查得当海拔为-980m 时,此井的油层中部原始地层压力为8.6m 。
-1120-1100-1080-1060-1040-1020-1000-980-960-940-920-900-880-860-840-820-800△p (MPa )h(m)7.在重力水压驱动方式下,某井供给边界半径为250m ,井半径为10cm ,供给边界上压力为9MPa ,井底流压为6MPa 。
井底流压为6MPa ,原始饱和压力为4.4MPa ,地层渗透率是0.5×10-12m 2,原油体积系数为1.15。
相对密度为0.85,粘度为9×10-3Pa·s ,油层厚度为10m 。
(1) 求出距井中心0.2m ,0.5m ,1m ,10m ,50m ,100m ,200m 处压力值。
(2) 画出此井的压力分布曲线。
(3) 求该井日产量。
解:已知:r e =250m ,r w =0.1m ,p e =9×106Pa ,p wf =6×106Pa ,p i =4.4×106Pa ,K =0.5×10-12m 2,γ=0.85,μ=9×10-3Pa·s ,h =10m 。
由平面径向流压力公式可知r rr r p p p p e wewf e e ln ln --= 代入数据化简可得p =0.38ln r +7r (m) 0.2 0.5 1 10 50 100 200 p (MPa)6.36.76.87.778.388.658.9166.577.588.599.5050100150200250p (M P a )h(m)由产量公式可得()()s m 10134.01.0250ln 109106910105.014.32ln 2323612---⨯=⨯⨯⨯-⨯⨯⨯⨯⨯=-=wewf e r r p p Kh q μπ地面的产量m 10117.015.110134.0322--⨯=⨯==B q q e化为以质量表示的产量ρ⨯=e m q q =0.117×10-2×0.85×1000=0.99kg/s=85.5t/d日产量为85.5t 。
8.注出开发油田的井距为500m ,地层静止压力为10.8MPa 。
油层厚度为15m ,渗透率为0.5×10-12m 2。
地下流体粘度为9mPa·s ,体积系数为1.15。
原油相对密度为0.85,油层孔隙度为0.2,油井半径为10cm 。
(1) 若油井日产量为60t ,井底压力多大? (2) 供油区范围内平均地层压力为多大?(3) 距井250 m 处的原油流到井底需要多少时间? 解:已知:r e =250m ,r w =0.1m ,p e =10.8×106Pa ,p wf =6×106Pa ,K =0.5×10-12m 2,γ=0.85,μ=9×10-3Pa·s ,h =15m ,2.0=φ,B =1.15。
质量流量:s kg 69.060602410603=⨯⨯⨯=m q地上的体积流量:s m 1082.01085.069.0333-⨯=⨯=='ρmvq q 地下的体积流量:s m 1094.033-⨯=⨯'=B q q vv ①由平面径向流流量公式(裘比公式)可知()()m 1094.01.0250ln 109108.1015105.014.32ln π2333612---⨯=⨯⨯-⨯⨯⨯⨯⨯⨯=-=wfwewf e v p r r p p Kh q μ从中解得p wf =9.4MPa ②由平均压力公式()1.0250ln 2104.98.10108.10ln236⨯⨯--⨯=--=we wf e e R r r p p p p =10.71MPa③在距井250m 处取一个dr 的微元,则此处的流量()wewf e r r p p Kh VA q lnπ2μφ-== (1)dtdr V =(2)由(1)(2)可得()wewf e r r p p Kh A dtdrln π2μφ-=代入数据分离变量积分()⎰⎰-=twewf e dt r r p p Kh dr rh 0250lnπ2π2μφ 即 :()⎰⎰-=twewf e dt r r P P K dr r 0250lnμφ积分得t =19.9年 或者3221094.02.01525014.3π-⨯⨯⨯⨯==q h r t e φ=19.9年 距井250m 处的原油流到井底需要19.9年。
9.重力水压驱动油藏,油层厚度为10m ,渗透率为0.4×10-12m 2,地下原油粘度为9mPa·s ,原油体积系数1.15,地面原油相对密度为0.85。
某井单井供油面积为0.3km 2,油井折算半径为10-2m 。
油层静止压力为10.5MPa ,流动压力为7.5MPa ,求此井日产油量。
解:已知:r w =0.01m ,p e =10.5×106Pa ,p wf =7.5×106Pa ,K =0.4×10-12m 2,γ=0.85,μ=9×10-3Pa·s ,h =10m ,B =1.15,供油面积为0.3km 2由供油面积可得油层的供油半径πr e 2=0.3×106m 2 供给半径为r e =309m由平面径向流流量公式可得原油的地下体积流量()()01.0309ln 109105.7105.1010104.014.32lnπ236612⨯⨯⨯-⨯⨯⨯⨯⨯⨯=-=--we wf e v r r p p Kh q μ =0.809×10-3 s m 3地面原油的体积流量15.110809.03-⨯=='B q q v v =0.704×10-3 s m 3质量流量为ρv m q q '==0.704×10-3×0.85×103=0.599kg/s=51.71t/d此井日产油量为51.71吨。
10.油层和油井参数如题9,当油井以每天40t 的产量生产时,井底压力为多少? 解:已知: r w =0.1m ,p e =10.5×106Pa ,K =0.4×10-12m 2,γ=0.85,μ=9×10-3Pa·s ,h =10m ,B =1.15,r e =309m ,q m =40t/d=0.46kg/s原油的地面体积流量s m 1054.01085.046.0333-⨯=⨯=='ρmvq q 原油的地下体积流量s m 10622.015.11054.0333--⨯=⨯⨯='=B q q vv 由平面径向流流量公式可得原油的地下体积流量()()m 10622.01.0309ln 109105.1010104.014.32ln π2333612---⨯=⨯⨯-⨯⨯⨯⨯⨯⨯=-=wfwewf e v p r r p p Kh q μ 解得井底流压MPa 7.8=wf p井底压力为MPa 7.8。
11.某井用198mm 钻头钻开油层,油层部位深度从2646.5m 到2660.5m ,油井是射孔完成,射孔后进行了试油,试油结果见表3。
油嘴mm日产量井口压力井底压力油t/d气103m3/d气油比m3/t油压MPa套压MPa流动压力MPa原始地层压力MPa6 97.2 24.3 250 10.3 11.7 26.6 29.05 80.0 20.0 250 11.2 12.2 27.2 ――3 40.0 4.9 122 12.3 13.2 28.0 ――据岩芯分析含碳酸盐,并进行酸化。
酸化后又进行第二次试油,其结果见表4,已知此井供油半径为300m,油井半径为0.1m,原油体积系数为1.12,相对密度为0.85。
(1) 画出两次试油指示曲线。
(2) 求出酸化前后地层流动系数。
(3) 分析增产措施是否有效。
油嘴mm日产量井口压力井底压力油t/d气103m3/d气油比m3/t油压MPa套压MPa流动压力MPa原始地层压力MPa3 55.1 6.1 111 12.6 13.4 28.2 29.04 90 13.2 147 12.2 13.1 27.7 ――5 115.7 19.7 170 11.9 12.8 27.5 ――6 150.2 36.8 245 11.2 12.4 26.8 ――7 162.1 58.7 362 10.4 12.1 26.55 ――解:已知:h=2660.5-2646.5=14m,r e=300m,r w=0.1m,B=1.12,γ=0.85。