各种情况固结度公式
- 格式:doc
- 大小:81.00 KB
- 文档页数:1
注册岩土工程师专业考试基本公式第四部分地基处理一、复合地基1.初步设计时,振冲桩复合地基承载力特征值f spk估算(《建筑地基处理技术规范》728):(1)根据单桩和处理后桩间土承载力特征值估算:f sP k mf pk 1 m f sk, f pk——桩体承载力特征值;f sk――处理后桩间土承载力特征值,无当地经验时可取天然地基承载力特征值;m ――面积置换率(m $ , d为桩身平均直径;d e为一根桩分担的处理地基面积的等效圆直径,等边三角d e形布桩:d e1.05s,正方形布桩:d e1.13s,矩形布桩:d e 1.13 . sq , s、s,、s2分别为桩间距、纵向桩间距和横向桩间距(2)小型工程的黏性土地基估算:f spk 1 m n 1 f sk , n ——桩土应力比,无实测资料时可取2〜4,原地基土强度低取大值,强度高取小值。
2 •复合土层压缩模量E sp计算(《建筑地基处理技术规范》7.2.8): E sp 1 mn 1 E s , —桩间土压缩模量,无当地经验时可取天然地基验算模量;n――桩土应力比,无实测资料时黏性土可取2〜4,粉土和砂土可取 1.5〜3,原地基土强度低取大值,强度高取小值。
3 •初步设计时,砂石桩桩间距s估算(《建筑地基处理技术规范》8.2.2):(1)松散粉土和砂土地基可根据挤密后要求达到的孔隙比e确定:① 等边三角形布桩:s 0.95 d. 1 e°, d为砂石桩直径;为修正系数,当考虑振动下沉密实作用时可取 1.1〜1.2,不耳e e1考虑振动下沉密实作用时可取1.0 ;e°为地基处理前砂土的孔隙比;e为地基挤密后要求达到的孔隙比(E e max D r1 ©max弘,C max、C min分别为砂土的最大、最小孔隙比;D r1为地基挤密后要求砂土达到的相对密实度,可取0.7°〜0.85)。
② 正方形布桩:s 0.89 d仁亘。
固结度概念
嘿,朋友们!今天咱来聊聊一个挺专业的词儿——固结度。
固结度啊,简单来说,就好像是一堆松散的东西慢慢变得紧实的程度。
比如说,你想象一下有一堆沙子,刚堆在那的时候松松垮垮的,但是时间长了,经过一些压力啊什么的作用,它就会变得比较结实,没那么容易散了。
这就有点像固结度在起作用啦!
那固结度在实际中有啥重要的呢?这可太重要啦!在土木工程里,比如说建房子、修道路啥的,都得考虑这个。
要是固结度不够,那建筑物可能就不牢固,道路可能就容易出问题呀!这可不是开玩笑的,万一哪天房子摇摇晃晃的,那多吓人啊!
它还和土壤的性质有关系呢。
不同的土壤,固结度的变化情况也不一样。
就好像有的土壤比较容易固结,而有的就比较难。
这就跟人的性格似的,各有各的特点。
固结度的影响因素也不少呢!压力就是一个很关键的因素。
就像你使劲压一个东西,它就更容易变得紧实一样。
还有时间呀,时间越久,固结可能就越充分。
那怎么去测量和计算固结度呢?这可得靠专业的知识和工具啦!工程师们会用各种方法和仪器来搞清楚这个固结度到底是多少,这样才能保证工程的质量呀!
总之,固结度可不是个小事情,它关系到我们生活中的很多建筑和设施的安全呢!我们可不能小瞧它呀!所以,一定要重视固结度这个概念呀!。
不同固结系数计算方法之间的比较骆凉平;丁建文【摘要】运用底部可测孔压的固结仪对连云港重塑黏土进行一维固结压缩试验,探讨基于孔压得出的土体固结系数与基于压缩计算的固结系数之间的关系.针对100 kPa、200 kPa、400 kPa、800 kPa、1600 kPa 5个加载等级的固结过程进行分析,发现基于孔压数据得出的固结系数Cv和时间对数法的计算结果较为一致,但是小于时间平方根法的计算结果.另外,3种计算方法均显示,连云港重塑土固结过程中,其固结系数Cv随着荷载等级的增大而增大,在固结过程中并非常数.【期刊名称】《三峡大学学报(自然科学版)》【年(卷),期】2014(036)001【总页数】4页(P42-45)【关键词】重塑黏土;孔隙水压力;固结系数;固结仪【作者】骆凉平;丁建文【作者单位】河海大学岩土力学与堤坝工程教育部重点实验室,南京 210098;河海大学岩土工程研究所,南京210098;东南大学交通学院岩土工程研究所,南京210096【正文语种】中文【中图分类】TU411固结系数是反映土体固结快慢的重要指标,为了计算固结度的变化或是超静孔压消散过程,都需要给出固结系数.传统的计算固结系数的方法是通过对太沙基一维固结理论的固结度计算公式进行简化,根据一维固结压缩试验所确定的时间-变形关系曲线,推导出固结系数的近似计算公式,从而获得土体固结系数,例如时间对数法、平方根法等.这些方法都是图解法和经验配合法,根据压缩曲线判断主固结起始点d0及固结点d90、d100,在绘图过程中易受人为因素干扰,因此具有一定的误差.除了依据时间-变形关系曲线计算固结系数,也有一些学者应用孔压测量装置对土体固结过程进行分析.孔压法的优势在于可最直接地判断主固结的结束,与其他间接判断方法相比更具可靠性.Taylor[1]很早就对固结过程中的孔压消散情况进行研究,Olson[2]研究发现,仅仅依据孔压消散数据而不考虑变形曲线计算得出的固结系数与基于时间-变形曲线计算所得的固结系数在某些情况下会出现较大偏差.此外,尽管孔压法在判断主固结沉降时具有直接、准确的优点,但在实际试验过程中,孔压装置所测的底部孔压数据与太沙基一维固结理论并不吻合,不能直接应用于计算固结系数.首先,试验中测得的最大孔压数值小于所施加的竖向有效荷载;其次,施加竖向荷载后,底部孔隙水压力不会立即上升至最大值,而是具有一个滞后过程.Gibson[3]、Whitman[4]等很多学者都曾在试验中发现这一现象并对此进行研究,认为造成这一现象的原因主要是由于孔压计的测压机理和土颗粒的压缩变形.Perlof[5]研究认为这一现象只在固结初期对孔压数据产生影响,当试样达到一定固结度之后,对于孔压数据的影响则可以忽略不计,所测孔压仍可应用于固结过程分析中,随后,Robinson[6]也通过试验验证了这一观点.据此,本文以连云港粘性土作为研究对象进行一维固结压缩试验,在固结过程中随时测量其超静孔隙水压力,针对孔压消散阶段的数据进行分析,并结合孔压数据和时间-变形关系曲线计算各级荷载下的固结系数,并与时间对数法和时间平方根法的计算结果进行对比.1 理论依据土体压缩通常分为3个阶段:瞬时沉降、主固结沉降和次固结沉降.太沙基一维固结理论就是描述土体主固结阶段的压缩特性,本文假设在主固结阶段,土体变形仅仅是由于土中孔隙水被排出,超静孔压消散而引起的,并不发生次固结变形.基于这个假设,则在室内一维固结试验中,试样底部超静孔隙水压力与压缩变形呈线性关系(Robinson[6-7]).Crawford[8]针对渥太华海相沉积粘性土进行研究时也发现了超静孔压与沉降的线性关系.当采用超静孔压进行固结度计算时,其公式为式中,σ为施加于土样的竖向荷载增量,ub为试样底部孔隙水压力.由于前述超静孔压与沉降呈线性关系,则根据上式,土样的固结度与沉降也呈线性关系,如图1所示.由图1可见,该直线与纵轴的交点d0、d100分别是固结度等于零和固结度等于100%时的沉降量.图1 固结度与沉降关系示意图由此,结合一维固结压缩试验的时间-变形曲线可求得土样在任意固结度下所对应的固结时间,再根据太沙基一维固结理论固结度计算公式:计算该固结度下的时间因素Tv,即可求得试样在某一级荷载下的固结系数.本文将选取固结度为U=50%时所对应的固结时间t50计算固结系数,固结系数计算公式为式中,H为固结试验中最大排水距离,由于本文试验将在试样底部测量超静孔隙水压力,故仅从试样顶部排水,最大排水距离即为土样厚度;t50为固结度达到50%是所对应的固结时间.2 试样物理特性及试验仪器试验用土取自江苏连云港地区,基本物理参数见表1.其中液限采用蝶式液限仪测定,塑限采用搓条法测定,粒径分布采用密度计法测定.该土在塑性图上的位置如图2所示,略微高于A线,属于高液限黏性土.图2 塑性图表1 连云港土的的基本物理参数土样比重液限/%塑限/%粘粒含量d<0.005mm/%粉粒含量0.005~0.074mm/%砂粒含量0.074~2mm/%连云港粘土2.70 55.6 28.8 66.0 33.8 0.2本文试验采用Zeng等设计改进的能够测量试样底部孔压的渗透固结容器,如图3所示,代替常规固结容器进行固结压缩试验.孔压测量装置由孔压计和与之相连的数字显示器组成,测量精度为1kPa,在固结过程中可随时显示试样底部孔隙水压力.为保证试样底部透水石和测压管道完全饱和不含气泡,固结容器底部还配备有渗透装置.试验制备土样为完全重塑饱和土,初始含水率为1.6倍液限,试样直径为61.8 mm,高度为40mm.图3 可进行底部孔压测量的固结容器(Zeng等[9])1.水头管;2.水头标尺;3.孔压计;4.三通阀;5.透水石;6.轴向加载;7.轻质盖板;8.密封螺帽;9.密封圈;10.环刀;11.两通阀3 试验结果与分析3.1 压缩曲线和孔压变化规律通过上述底部可测孔压的固结仪进行固结试验,所得的连云港重塑黏土的d-logt 压缩曲线如图4所示,加载等级分别为50kPa、100kPa、200kPa、400 kPa、800kPa和1600kPa,压缩曲线呈倒S形,具有两个反弯点.运用孔压法计算固结系数时需根据压缩曲线确定d50时对应的固结时间t50,进而根据公式(3)计算固结系数.图4 连云港重塑黏土时间-变形压缩曲线图5是与各级荷载下压缩曲线相对应的试样底部超静孔隙水压力随时间的变化曲线.由图5可知,孔压随时间变化呈现先增大后减小的规律,约在30 min达到峰值,并且峰值孔压低于竖向荷载增量,约等于荷载增量的50%.这一试验结果与Whitman[4]、Robinson[6]等人的试验研究是一致的.造成这一现象的原因是试样底部超静孔隙水压力的产生需要一定的时间,在这一过程中试样顶部同时在排水,所以导致了峰值孔压的延迟并使其小于竖向荷载增量.图5 连云港重塑黏土底部孔压与固结时间关系曲线根据所测试样底部超静孔压以及固结度计算公式(1)可计算试样固结度,据此,在固结过程中,根据孔压消散情况计算所得固结度与试样变形的关系如图6所示. 图6 连云港重塑黏土固结度与沉降量关系曲线由图6可知,由于试样底部超静孔隙水压力的延迟作用,连云港重塑黏土在50~100kPa、100~200 kPa、200~400kPa、400~800kPa、800~1600kPa 5个荷载增量下,固结度均随着沉降量的增加先减小后增大,当固结度大于一定程度时,固结度随沉降量的增加线性增大.在上述5个荷载增量下,固结度分别超过46%、35%、47%、51%、58%后,固结度与沉降量呈线性变化规律,通过拟合方法可获得这些直线的方程,其与纵轴的交点就对应于固结度为0和固结度为100%时的沉降量d0、d100,进而可计算出t50和Cv.3.2 与时间对数法、时间平方根法的比较运用时间对数法和时间平方根法计算连云港重塑黏土在不同竖向荷载下的固结系数,并与前述方法进行对比.其中,根据时间对数法确定的固结度为100%时对应的沉降量d100与基于底部超静孔压所确定的d100对比如图7所示,由图可知,数据点均位于45°线附近,由时间对数法确定的主固结沉降量略低于基于孔压测定的主固结沉降量,但二者差异较小.可见时间对数法确定主固结沉降量具有良好的精度. 图7 孔压法测定d100与时间对数法估测值的比较将时间平方根法、时间对数法及基于孔压计算的固结系数进行比较,如图8所示,图中空心点位于实心点的上方,并且实心点相对更靠近45°线.可见时间平方根法计算的固结系数Cv大于时间对数法的计算结果,这与很多学者的研究是一致的.而时间对数法确定的固结系数Cv更接近本文采用的孔压法,二者的计算结果非常接近45°线.因此,在缺乏孔压数据的情况下,本文建议使用时间对数法计算固结系数.图8 孔压法测定Cv与logt法法计算值的比较此外,研究连云港重塑土固结系数与竖向固结应力的关系还可发现,如图9所示,无论是基于孔压、时间对数法或时间平方根法计算得出的固结系数均随着固结应力的增大而增大,这表明在固结过程中固结系数并非常量,固结系数随着固结应力的改变而变化.图9 连云港重塑黏土固结系数随固结应力变化关系曲线4 结论针对连云港重塑黏土,采用Zeng等设计改进的能够测量试样底部孔压的渗透固结容器,进行一维固结压缩试验,探讨运用孔压计算土体固结系数的方法,并与传统计算方法进行比较:1)针对连云港重塑土进行一维固结试验,发现固结过程中试样底部孔压具有先增大后减小的规律,其峰值孔压滞后30min左右,约为荷载增量的一半.2)运用孔压法计算的固结系数Cv与时间对数法的计算结果接近,小于时间平方根法的计算结果,证明了孔压法计算结果的可靠性.3)试验发现针对连云港重塑土,无论是基于孔压、时间对数法或者时间平方根法计算得出的固结系数Cv均随着固结应力的增大而增大,表明在固结过程中固结系数并不是常数,而是随着固结应力的改变而发生变化.参考文献:[1] Taylor D W.Research on Consolidation of Clays[M].MIT publication,1942:82.[2] Olson R E.Consolidation of Soils:Testing and Evaluation[J].Philadelphia:American Society for Testing and Materials,1986,892:7-70.[3] Gibson R E.An Analysis of System Flexibility and Its Effect on Time-lag in Pore-water Pressure Measurements[J].Géotechnique,1963,13:1-11.[4] Whitman R V,Richardson A M,Healy K A.Time-lags in Pore Pressure Measurements[J].Proc.5th ICSMFE 1,1961:407-411.[5] Perlof W H,Nair K,Smith J G.Effect Ofmeasuring System on Pore Water Pressures in the Consolidation Test[J].Proc.6th ICSMFE,Montreal,1965(1):338-341.[6] Robinson R G.Consolidation Analysis with Pore Pressure Measurement[J].Géotechnique,1999,49(1):127-132.[7] Robinson R G.A Study on the Beginning of Secondary Compressionof Soils[J].Journal of Testing and Evaluation,Sept.2003,30(5).[8] Crawford C B.Interpretation of the consolidation test[J].J.Soil Mech.Found.Div.,ASCE,1964,90(5):86-102.[9] Zeng Lingling,Hong Zhenshun,Cai Yuanqiang,et al.Change of Hydraulic Conductivity During Compression of Undisturbed and Remolded Clays[J].Applied Clay Science,2011,51:86-93.。
固结挠度公式范文
1.简支梁挠度公式:
简支梁是一种边界条件为端点固定且中间无支座的梁结构。
根据简支梁受力平衡方程,可以得出简支梁挠度公式:
δ=(F*L^3)/(48*E*I)
其中,δ为梁的挠度,F为作用在梁上的力,L为梁的长度,E为梁的杨氏模量,I为梁的惯性矩。
2.悬臂梁挠度公式:
悬臂梁是一种边界条件为一端固定且另一端自由悬挂的梁结构。
根据悬臂梁受力平衡方程,可以得出悬臂梁挠度公式:
δ=(F*L^3)/(3*E*I)
其中,δ为梁的挠度,F为作用在梁上的力,L为梁的长度,E为梁的杨氏模量,I为梁的惯性矩。
3.简支梁集中负载挠度公式:
对于在简支梁上的集中负载作用下的挠度计算,可以利用简支梁分布载荷挠度公式。
假设集中负载为P,作用点距离梁的左端距离为a。
则挠度公式为:
δ=(P*a^2*(3*L-a))/(6*E*I*L)
其中,δ为梁的挠度,P为集中负载的大小,a为负载作用点距离梁左端的距离,L为梁的长度,E为梁的杨氏模量,I为梁的惯性矩。
需要注意的是,这些公式假设材料为线性弹性材料,且负载在梁的截面上是均匀分布的。
如果存在非均匀分布载荷或非线性材料,需要根据具体情况考虑附加修正。
以上就是固结挠度公式的介绍,通过使用合适的公式可以计算出结构在外载荷作用下的挠度,对于结构设计和分析具有重要意义。
一、 岩土工程勘察1. 土常用物理性质指标换算:《土力学》,P25;《工程地质手册》,P133-134.2. 固结试验:孔隙比,000(1)i i H e e e H ∆=-+;压缩系数:1221v e ea P P -=-,《土力学》,P122;压缩模量:11s ve E a +=,《土力学》,P126. 3. 旁压试验:02(1)()2f m c V V pE V Vμ+∆=++∆,0f V V V ∆=-,《岩土工程》,P110;P2. 地基土承载力:临塑,0ak f f p p =-;极限法,0L ak sp p f F -=,《工程地质手册》P257. 4. 载荷试验:浅层200(1)pd E I s μ=-;深层,0pd E sω=,《岩土工程》,P103;P4/18 5. 十字板剪切试验:开口钢环,()u y g C K C R R =⨯-,22(/3)RK D D H π=+;电阻应变,u y C K R ξ=;土的灵敏度:/t u uS C C '=;《工程地质手册》,P247/248;《港口工程地基规范》,P9; P32.6. 岩石点荷载试验:2/s e I P D =,(50)0.7522.82s c R I =,《岩体试验-汇编》,5-9/《岩体分级》,P7;P40/47. 7. 地基系数:直径30cm 荷载板下沉1.25mm 时对应的荷载强度P (MPa )与其下沉量1.25mm的比值,《铁路路基设计规范》,P4. 8. 抽水试验:两个观测孔的潜水完整井的渗透系数,2121210.732lg (2)()r Qk H S S S S r =---,212122222121ln(/)lg(/)2.3()()r r r r Q Q k h h h h ππ==--,《土力学》,P36/P92;P15/P22. 单孔裘布依公式:0.366lg Q Rk Ms r=,《工程地质手册》,P999;P35. 单孔潜水完整井(Dupuit ):0(2)1.366lg /H S SQ k R r-=⨯,《工程地质手册》P1039;P10.9. 压水试验:吸水率,33Q q LP =;试验段底部距隔水层的距离>试验段时,土层渗透系数,0.660.527lgl k W r =;试验段底部距隔水层的距离<试验段时, 1.320.527lg lk W r=;ln 2Q Lk HL r π=,《工程地质手册》,P1009;P4/P52.10. 基坑涌水量:潜水完整井,Y 0(2)ln(1/)d dH s s Q kR r π-=+,《基坑支护》,P123;P31.11. 基坑水位降深:,r t s H =-程地质手册》,P1041;《基坑支护》,P92;P36/P312.12. 取土器:面积比=222w e e D D D -;内间隙比=s e e D D D -,《岩土工程》P146-附录F ;P33.13. 湿陷性黄土:湿陷系数:'p ps h h h δ-=,0.015s δ≤为非湿陷性黄土,此时土层不累计;自重湿陷量:01nzs zsi ii h βδ=∆=∑;湿陷量:1ns si i i h βδ=∆=∑;(注:计算总湿陷量s ∆,基础地面~基底下10m ,或1.5~11.5m ),《湿陷性黄土》,P13/P17~19;P38~39. 14. 冻土融沉系数及分级:12011e e e δ-=+,《岩土工程勘察规范》,P77;P367. 15. 盐渍土:盐化学成分分类:24()2()c Cl c SO --,《岩土工程勘察规范》,P82;P7. 16. 水力梯度:w J r i =,q kiA =,(1)(1)cr S J G n =--,11s cr G i e-=+,《土力学》,P101;P7/18. 17. 渗透变形:流土,(1)(1)cr S J G n =--;管涌,25202.2(1)(1)cr S d J G n d =--;《水利水电工程勘察规范》,P110; P8.18. 固结系数:24281vT U eππ-=-,2V v C t T H=,1(1)v v w v w e k kC m r a r +==;《土力学》,P144/146;P13. 19. 岩体质量分级:903250c v BQ R K =++,分90+30c v R K >,>0.04+0.4v c K R 两种情况,《工程岩体分级标准》,P10;P14.20. 花岗岩残积土:0.50.5-0.01=1-0.01A f w w P w P ⨯⨯⨯,=-P L P I w w ,-=f P L Pw w I I ;《岩土工程勘察》,P246; P14.21. 土工试验颗粒分析:不均匀系数6010=u d C d ,曲率系数2301060(d )=c C d d ,《土力学》,P11;P16.22. 流网渗流:渗流速度,==(m-1)h hV ik kk l l '∆∆=;单位宽度流量,(n-1)=-1k h b q m l∆⨯;m 为等势线,n 为流线,l 、b 为流网长度和宽度;P24/P35.23. 渗透系数:水平,=11=nh i i i K k H H∑;竖向,=1=/v niii HK H k∑;《土力学》,P89/90;P36/43.24. 欠固结土沉降:0i 0+P =lg ()1+i i i ci i ci H P S C e P ∆,1221-lg -lg c e e C P P =,《土力学》P140;P31. 超固结土沉降:i 0P ci P P ∆>-,0i00+P =[lg ()lg ()]1+i ci i i si ci i i ciH P P S C C e P P ∆+ i 0P ci P P ∆≤-,0i00+P =lg ()1+i i i si i iH P S C e P ∆,《土力学》,P138;P64. 25. 岩土参数分析:24.678=1s r n δ⎫±⎬⎭,=k s m c r c ,=k s m r ϕϕ,《岩土工程》P132;P34.26. 水质分析矿化度:一可滤性残渣表示,二全部阴阳离子含量的总和(3HCO -折半),《工程地质手册》,P983;P47. 27. 围岩强度应力比:b vmR K S σ=,2=()pm v prv K v ,《水利水电工程地质勘察》,P126;P43.28. 土灵敏度的结构性分类:《地下铁道、轻轨交通-汇编》,3-15;《工程地质手册》,P162. 29. 压实系数:max =dc d ρλρ,max=1+0.01d w s d op s d w d ρρηρ,《地基基础》,P38.30. 根据载荷试验确定地基承载力:《地基基础》,P124-126.31. 塑性指数划分土的类别:《地基基础》,P14;《岩土工程》,P10-11. 32. 承载比试验: 2.51007000P CBR =⨯, 5.010010500P CBR =⨯;《土工试验》,P62;P52. 33. 渗透要点:水平渗流时不同土层的水力坡降相等,垂直渗流时不同土层的流量相等.二、 浅基础1. 荷载类型的选用:按地基承载力确定基础底面积、埋深及桩数,应采用标准组合;计算地基变形时,按照正常使用极限状态下的准永久组合;《地基基础》,P9-3.05.5;P88/P36/P95/P96/P97. 2. 基底压力:+=k kk F G P A;轴心,k a P f ≤;偏心, 1.2kmax a P f ≤;</6e b ,+=+k k k kmax F G M P A W ,+=-k k k kmin F G M P A W ;>/6e b ,2(+)=3k k kmax F G P la;《地基基础》,P21-22; 《土力学》,P55; P64.3. 软弱下卧层:+z cz az p p f ≤;0=-k m p p r h ,0-ka F A f r d ≥条形,()=+2tan k c z b p -p p b z θ;矩形:()=(+2tan )(+2tan )k c z lb p -p p b z l z θθ,《地基基础》,P21-22;P61.(注,az f 修正时式中5.2.4中m r 、d 均从软弱下卧层顶面距离算起;az f 只需要进行深度修正,不用进行宽度修正) 4. 地基承载力修正:=+(-3)+(-0.5)a ak b d m f f r b r d ηη;=++a b d m c k f M rb M r d M c ;(注意:宽度的取值限制,及其重度取值)《地基基础》,P22/24;P66/P68.(注,对于没有给出宽度的基础进行承载力修正,最后应该进行宽度验证,见“刘”P68).5. 岩石地基承载力(单轴抗压强度):()a r rk r c f f f ψψ=,《地基基础》,P25;P72/123.6. 基础设计冻深:0=...d zs zw ze z z ψψψ,=-z d z h '∆;基础最小埋深:d =-min d max z h ;《地基基础》,P19-20,P129;《公路桥涵地基》,P18;平均冻胀率及冻土冻胀类别判断:《地基基础》,P129;《铁路工程特殊岩土》,P68-69;《公路桥涵地基》,P67;P120. 7. 无筋扩展基础高度:002tan b b H α-≥,《地基基础》,P61;P125.8. 坡上基础稳定性:条形, 3.5tan d a b β≥-;矩形, 2.5tan da b β≥-;《地基基础》,P32; P73/120.(a :基础底面外边缘线至坡顶的水平距离). 9. 抗浮稳定性验算:,(1.05)k w w k G K N ≥,《地基基础》,P32;地基稳定性, 1.2R SMM ≥,《地基基础》,P31.10. 阀形基础沉降量:0s 111=(+)()nc ci i i i i ci sip pS z a z a E E ψψ--=-∑,《基础基础》,P28/30;P65.(注意:此处为平均附加应力系数,与附加应力系数的区别,不要查错表了!)地基变形:0s 111=()ni i i i i si p S z a z a E ψ--=-∑;回弹变形:111=()nc c i i i i i cip S z a z a E ψ--=-∑,P89.- 11. 扩展基础:《地基基础》,P69/P72;P93-98.截面配筋,2112[(2)()()]12max max GM a l a p p p p l A I '=++-+-, 212()(2)()48max min GM l a b b p p A∏''=-++-; 冲切承载力:00.7l hp t m F f a h β≤,()/2m t b a a a =+,l j l F p A =12. 港口码头基床:计算宽度,12e B B d =+,《港口工程地基》,P12.(注意:新老规范已变,12e B B d =+,12e L L d =+,2ee B B B e ''=-,2e e L L L e ''=-); P81. 13. 港口地基承载力:《港口工程地基》P14,新老规范已变,具体见“刘”P87. 14. 铁路软土地基容许承载力:[]215.14uC r h mσ=+',[]02(3)r h σσ=+-;《铁路桥涵地基和基础设计规范》,P16;P138.15. 公路桥涵软土地基承载力:天然含水量w 确定软土地基承载力基本容许值[]0a f 的修正,[][]02a a f f r h =+;强度指标,[]25.14a p u f k C r h m=+,0.4(10.2)(1)p u b H k l blC =+-;《公路桥涵地基与基础设计规范》,P17.(注,地基承载力基本容许值不不在用修正;持力层透水,水中取r ',持力层不透水,水中取sat r )16. 非软土地基承载力容许值[]a f 修正: 01122[][](2)(3)a a f f k r b k r h =+-+-,(注,持力层透水,水中取r ',持力层不透水,水中取sat r ). 《公路桥涵地基与基础设计规范》,P1617. 公路桥涵嵌岩桩嵌固深度,圆形桩:h =矩形桩,h =;嵌岩桩单桩轴向受压承载力容许值,12111[]2nna p rk i i rki s i ik i i R c A f u c h f u l q ζ===++∑∑;《公路桥涵地基与基础设计规范》,P42/41; P139.18. 软弱地基砂砾垫层处理: 垫层厚度,0[]k gk R a p p r f +≤,00()2tan k gk k b p p p b z θ''-=+,00()(2tan )(2tan )k gk k bl p p p b z l z θθ''-=++;《公路桥涵地基与基础设计规范》,P27.19. 公路桥涵沉井基础:稳定倾斜角,1tan()w M r a ϕρ-=-,IVρ=;《公路桥涵地基与基础设计规范》,P50.20. 水作用下各种应力:各种水存在形态上的总应力、孔隙水应力及有效应力,“刘”P76-79;毛细水上升区为饱和区,水表面张力,孔隙水压力为负值,有效应力增加,“刘”79; 砾石透水性很好,地面荷载P 在砾石中引起的孔隙水压力很快消散,“刘”P77; 透水性很低的黏性土中,荷载P 在黏性土中全有孔隙水压力承担,“刘”P76-79.21. 核心半径(墩台基底偏心距容许值):2166bl W bA bl ρ===,《公路桥涵地基与基础设计规范》,P21;P81. 22. 太沙基极限承载力:01()2u r q c f rbN r d q N cN =++,r 地基土重度,0r 填土重度,水下取浮重度,d 为基础埋深;《土力学》,P277;P82.(注意,土力学P278例题). 23. 基础左右两边埋深不等高,附加应力求解过程;“刘”,P91. 24. 大面积地面荷载作用下地基附加沉降量:10100.8()eq i ii ii i q q p ββ===-∑∑,《地基基础》,P154;P111.三、 深基础1. 对不同计算目的下应选用不同的荷载组合:《桩基技术》,P7确定桩数和布桩时,采用传至承台底面的荷载效应标准组合(承载力特征值);P194. 计算荷载作用下的桩基沉降和水平位移时,应采用荷载效应准永久组合; 计算承载力、确定尺寸和配筋,采用传至承台顶面的荷载效应基本组合。
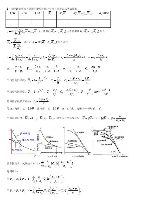
111()s i i i i i sis z z E ψαα--==-∑,其中11()i i i i z z αα---用表格中的114()i i i i z z αα---代入 i s isiA E A E=∑∑,其中,114()i i i i i A z z αα--=-代入计算011110011nn ni i v i i i i i i i i i i sie e a p s h p h h e e E ===-===++∑∑∑ ,000(1)1s w w G e ρρ+=-,0001i i e e e h h +=- 121212e e a p p --=-,112121s e E a --+=,010111h h e e =++,011v v s a m E e ==+,(1)v v w k e C a ρ+=平均竖向固结度:24281vT z U e ππ-=-,2v v C tT H=,()01v v s v w w k e k E C a γγ+== 平均径向固结度:81h nT F r U e -=-,2h h eC t T d =,()01h hw k e C a γ+=,222231ln()14n n n F n n n -=--塑料排水板换算直径:2()p b d δπ+=等边三角形: 1.05e d l =;正方形: 1.13e d l =。
/e w n d d =,塑料排水带取w p d d =平均总固结度:1(1)(1)rz z r U U U =---;砂井未打穿压缩土层:(1)rz z U QU Q U =+-,112H Q H H =+正常固结土(欠固结土):010[lg ]1nicz cii i cz ih p p s C e p =⎛⎫+= ⎪+⎝⎭∑ 超固结土:当0cz c p p p +≤:010[lg ]1nicz si i i cz ih p p s C e p =⎛⎫+= ⎪+⎝⎭∑当0cz c p p p +>:010[lg lg ]1nic cz si ci i i cz c i ih p p p s C C e p p =⎛⎫⎛⎫+=+ ⎪ ⎪+⎝⎭⎝⎭∑岩体完整性指数:2()pm v prV K V =,其中pm V 为岩体压缩波速;pr V 为岩块压缩波速。
排水固结计原始数据输入项单位袋装砂井直径d w=7cm砂井间距L=140cm砂井深度H1=2000cm加荷时间t=1E+07s土的固结系数Cv=Ch=0.0018cm²/s受压土层厚度H=3000cm砂井以下剩余土层厚度H2=1000cm土层的天然抗剪强度τf0=16kPa土的内摩擦角 υ=15度预压荷载总压力σz=100kPa安全系数 K=1.3基底压力P=120kPa第i层中点土自重应力所对应的孔隙比e0i=1.28第i层中点土自重应力和附加应力之和相对应的孔隙比e1i=1.12第i层厚度 Δhi=7m(通常堆载预压取m=1.1~1.4;真空预压取m=0.8~1.0)m=1.2砂料渗透系数kw=0.02cm/s土层水平向渗透系数k h=1E-07cm/s涂抹区土的渗透系数ks=kh/5=2E-08cm/s(不考虑井阻和涂抹作用时取S=1,考虑时取S=2)S=2一级荷载加荷量q1=60kPa二级荷载加荷量q2=40kPat0=0天t1=10天t2=30天t3=40天t=120天(1)单向压缩固结沉降计算第i层的压缩量 Δsi=(e0i-e1i)*Δhi/(1+e0i)=0.49总压缩量为S c=∑_(i=1)^n式中e0i—第i层中点土自重应力所对应的孔隙比;e1i—第i层中点土自重应力和附加应力之和相对应的孔隙比;Δhi—第i层厚度e0i和e1i从室内固结试验所得的e-σ'c曲线上查得。
(2)最终沉降S∞的计算最终沉降量 S∞=mSc=0.59瞬时沉降量 Sd=S∞-Sc=0.10荷载作用下地基沉降随时间的发展式 St=Sd+Ut*Sc=1.55(不考虑井阻和涂抹影响)瞬时加荷(砂井未打穿土层)等效圆直径 de=1.05L=147袋装砂井纵向通水量qw=kw*πd²w/4=0.769井径比 n=de/dw=21井径比 n=de/dw=21径向固结时间因数 Th=Ch*t/de²=0.86与井径比n有关的参数 Fn=In(n)-3/4=2.29与井径比n有关的参数 Fn=[n²*In(n)/n²-1]-[(3n²-1)/4n²]=2.30井阻影响 Fr=(π²H²/4)*(kh/qw)=1.28竖向固结时间因数 Tv=Cvt/H²=0.0021涂抹扰动影响 Fs=(kh/ks-1)*InS=2.77径向排水平均固结度 Ur=1-e^-8*Th/Fn=0.95综合影响参数 F=Fn+Fr+Fs=6.35竖向排水平均固结度 Uz=1-[(8*e^-π²*Tv/4)/π²]=0.19α=8/π²=0.81竖向地基总的平均固结度 Urz=1-(1-Ur)*(1-Uz)=0.96β=(8Ch/Fde²)+(π²Cv/4H²)=0.0092第一级荷载的平均加荷速率为 q'1=Δq1/Δt1=6第二级荷载的平均加荷速率为 q'2=Δq2/Δt2=4竖向排水距离 H'=(1-aQ)H=1082.46第一级荷载固结度Ut1=q'1/Δσz*[(t1-t0)-(α/β)*e^-βt*(e^βt1-e^βt0)=0.43Q=H1/(H1+H2)=0.67第一级荷载固结度Ut3=q'2/Δσz*[(t3-t2)-(α/β)*e^-βt*(e^βt3-e^βt2)=0.25βr=8*Ch/Fn*de²=2.89482E-07Ut=Ut1+Ut3=0.68βz=π²*Cv/4*H²=4.9298E-10a=1-√βz/(βr+βz)=0.96Tv=Ch*t/H'²=0.016砂井以下土层平均固结度 U'z=1-[(8*e^-π²*Tv/4)/π²]=0.22整个土层的平均固结度 Ut=Q*Urz+(1-Q)*U'z=0.71抗剪强度 τft=τf0+Δσz*Ut*tan υ=34.7承载力P≈5.52*τft/K≈147.2地基承载力计算结果满足设计要求固结计算砂井以下土层的平均固结度计算计算预压完成后地基抗剪强度及承载力砂井范围土层平均固结度计算平均固结度计算(考虑井阻和涂抹影响)二级等速加荷(砂井打穿土层)。
一、 名词解释1、固结:根据有效应力原理,在外荷载不变的条件下,随着土中超静孔隙水压力的消散,有效应力将增加,土体将被不断压缩,直至达到稳定,这一过程称为~。
单向固结:土体单向受压,孔隙水单向渗流的条件下发生的固结。
2、 固结度:在某一荷载作用下,经过时间t 后土体固结过程完成的程度。
3、 平均固结度:在某一荷载作用下,经过时间t 后所产生的固结变形量与该土层固结完成时最终固结变形量之比称为~。
4、固结系数:反映土的固结特性,孔压消散的快慢,与渗透系数k 成正比,与压缩系数a 成反比,(1)v v wk e C a γ+=⋅5、 加工硬化(应变硬化):正常固结粘土和松砂的应力随应变增加而增加,但增加速率越来越慢,最后趋于稳定。
6、 加工硬化定律(理论):计算一个给定的应力增量引起的塑性应变大小的准则。
7、 加工软化(应变软化):在密砂和超固结土的试验曲线中,应力一般是开始时随应变增加而增加,达到一个峰值后,应力随应变增大而减小,最后趋于稳定。
8、 压硬性:土的变形模量随围压增加而提高的现象。
9、剪胀性:由剪应力引起的体积变化,实质上是由于剪应力引起的土颗粒间相互位置的变化,使其排列发生变化,加大颗粒间的孔隙,从而体积发生了变化。
10、 屈服准则:可以用来弹塑性材料被施加应力增量后是加载还是卸载或是中性变载,即是否发生变形的准则。
屈服准则用几何方法来表示即为屈服面(轨迹)。
11、 流动准则:在塑性理论中,用于确定塑性应变增量的方向或塑性应变增量张量的各个分量间的比例关系的准则,也叫做正交定律。
塑性势面g 与屈服面f 重合(g=f ),称为相适应的~;如果g f ≠,即为不相适应流动规则。
12、 物态边界面:正常固结粘土'p ,'q 和v 三个变量间存在着唯一性关系,所以在 ''p q v --三维空间上形成一个曲面称为~,它是以等压固结线NCL 和临界状态线CSL 为边界的。
三相固结度计算公式
1. 固结指数的计算公式:
固结指数 (IP) = (Wn W) / (Wn Ws) 100。
其中,Wn为土壤的自然含水量,W为实际含水量,Ws为饱和含水量。
固结指数描述了土壤的干燥状态,数值越大表示土壤越干燥。
2. 固结比的计算公式:
固结比 (CR) = (W Ws) / (Wn Ws) 100。
其中,W为实际含水量,Ws为饱和含水量,Wn为土壤的自然含水量。
固结比用于描述土壤的干燥或湿润状态,数值越大表示土壤越干燥。
这些公式是用来计算土壤的固结度指标,可以帮助工程师和土木工作者评估土壤的力学特性和工程用途。
固结度的计算对于土壤
力学和土木工程设计非常重要,因为它可以影响土壤的承载能力和
稳定性。
因此,正确计算固结度对于工程项目的成功实施至关重要。
4.固结度(1)固结度基本概念土层在固结过程中,t时刻土层各点土骨架承担的有效应力图面积与起始超孔隙水压力(或表示,即附加应力)图面积之比,称为t时刻土层的固结度,用U t(4-26)由于土层的变形取决于土中有效应力,故土层的固结度又可表述为土层在固结过程中任一时刻的压缩量s t与最终压缩量s c之比,即(4-27)(2)固结度的计算当地基受连续均布荷载作用时,起始超孔隙水压力υ沿深度为矩形分布,此时固结度U t可由下式计算:(4-28)当起始超孔隙水压力υ沿深度为一般的线性分布时,在单面排水条件下,固结度U t可由下式近似计算:式中α为排水面附加应力p1与不排水面附加应力p2的比值,即α=p1/p2为便于实际使用,对应不同的 值,将其U t-T V关系制成表4-5形式供查用。
表4-5 单面排水下的U t-T V关系固结度(3)固结度计算的工程应用在地基固结分析中,通常有二类问题:一是已知土层固结条件时可求出某一时间对应的固结度,从而计算出相应的地基沉降s t;二是推算达到某一固结度(或某一沉降s t)所需的时间t。
具体的分析计算方法可参见例题4-3。
【例题4-3】在厚10 m的饱和粘土层表面瞬时大面积均匀堆载p0=150 kPa,如图4-12所示。
若干年后,用测压管分别测得土层中A,B,C,D,E五点的孔隙水压力为51.6 kPa,94.2 kPa,133.8 kPa,170.4 kPa,198.0 kPa,已知土层的压缩模量E s为5.5 MPa,渗透系数k为5.14×10-8 cm/s。
图4-11(l)试估算此时粘土层的固结度,并计算此粘土层已固结了几年;(2)再经过5年,则该粘土层的固结度将达到多少,粘土层 5年间产生了多大的压缩量?【解】(1)用测压管测得的孔隙水压力值包括静止孔隙水压力和超孔隙水压力,扣除静止孔隙水压力后,A,B,C,D,E五点的超孔降水压力分别为32.0 kPa,55.0 kPa,75.0 kPa,92.0 kPa,100.0 kPa,计算此超孔隙水压力图的应力面积近似为608 kPa·m。
第三章排水固结3.1概述排水固结法是对天然地基,或先在地基中设置砂井(袋装砂井或塑料排水带)等竖向排水体,然后利用建筑物本身重量分级逐渐加载;或在建筑物建造前在场地先行加载预压,使土体中的孔隙水排出,逐渐固结,地基发生沉降,同时强度逐步提高的方法。
该法常用于解决软粘土地基的沉降和稳定问题,可使地基的沉降在加载预压期间基本完成或大部分完成,使建筑物在使用期间不致产生过大的沉降和沉降差。
同时,可增加地基土的抗剪强度,从而提高地基的承载力和稳定性。
实际上,排水固结法是由排水系统和加压系统两部分共同组合而成的。
排水系统是一种手段,如没有加压系统,孔隙中的水没有压力差就不会自然排出,地基也就得不到加固。
如果只增加固结压力,不缩短土层的排水距离,则不能在预压期间尽快地完成设计所要求的沉降量,强度不能及时提高,加载也不能顺利进行。
所以上述两个系统,在设计时总是联系起来考虑的。
排水固结法适用于处理各类淤泥、淤泥质土及冲填土等饱和粘性土地基。
砂井法特别适用于存在连续薄砂层的地基。
但砂井只能加速主固结而不能减少次固结,对有机质土和泥炭等次固结土,不宜只采用砂井法。
克服次固结可利用超载的方法。
真空预压法适用于能在加固区形成(包括采取措施后形成)稳定负压边界条件的软土地基。
降低地下水位法、真空预压法和电渗法由于不增加剪应力,地基不会产生剪切破坏,所以它适用于很软弱的粘土地基。
【例题3-1】排水固结法由哪几个部分组成?(A)加压系统(B)砂桩(C)排水系统(D)填土(E)量测系统【正确答案】A C【解】排水固结法是由排水系统和加压系统两部分共同组合而成。
排水系统主要在于改变地基原有的排水边界条件,增加孔隙水排出的途径,缩短排水距离。
加压系统,是指对地基施行预压的荷载,它使地基土的固结压力增加而产生固结。
【例题3-2】在排水系统中,属于水平排水体的有:(A)普通砂井(B)袋装砂井(C)塑料排水带(D)砂垫层【正确答案】D【解】在排水系统中竖向排水体有普通砂井、袋装砂井和塑料排水带。
土木工程师-专业基础(水利水电)-岩土力学-土的压缩性与地基沉降[单选题]1.土的压缩模量是指()。
[2017年真题]A.无侧限条件下,竖向应力与竖向应变之比B.无侧限条件(江南博哥)下,竖向应力增量与竖向应变增量之比C.有侧限条件下,竖向应力与竖向应变之比D.有侧限条件下,竖向应力增量与竖向应变增量之比正确答案:D参考解析:土的压缩模量是指土在完全侧限条件下的竖向附加应力与相应的应变增量之比,变形模量是无侧限条件下竖向应力增量与竖向应变增量之比。
[单选题]2.室内侧限压缩实验测得的e-p曲线愈缓,表明该土样的压缩性()。
[2016年真题]A.愈高B.愈低C.愈均匀D.愈不均匀正确答案:B参考解析:压缩曲线是竖向有效应力与孔隙比的关系曲线,即e-p曲线。
在某一荷载范围内,e-p曲线的斜率定义为压缩系数α,表示土体的压缩性大小。
e-p曲线越平缓,压缩系数越小,土体压缩性也越小。
[单选题]3.压缩系数a1-2的下标1-2的含义是()。
[2013年真题]A.1表示自重应力,2表示附加应力B.压力从1MPa增加到2MPaC.压力从100kPa到200kPaD.无特殊含义,仅是个符号而已正确答案:C参考解析:压缩系数a是指在某一荷载范围内压缩曲线的斜率。
压缩系数是随荷载区域变化而变化的数值,因而压缩系数a不是常量。
根据《建筑地基基础设计规范》(GB50007—2011),a1-2为荷载从0.1MPa变化到0.2MPa,即从100kPa到200kPa的压缩系数。
[单选题]4.在土的压缩性指标中()。
[2010年真题]A.压缩系数与压缩模量成正比B.压缩系数越大,压缩模量越低C.压缩系数越大,土的压缩性越低D.压缩模量越小,土的压缩性越低正确答案:B参考解析:以孔隙比e为纵坐标,竖向有效应力p为横坐标绘出得到的土的圧缩曲线称为e-p曲线,它的斜率定义为压缩系数a。
压缩模量Es是指侧限应力条件下,竖向应力增量与竖向应变增量之比,即式中,Es为压缩模量,单位为MPa或kPa;e0为试样初始孔隙比;a为压缩系数,单位为MPa-1。