数学系第一学期数学分析试卷(B)(黄清to虞旦盛)
- 格式:doc
- 大小:173.50 KB
- 文档页数:4
广东省湛江市数学高三上学期理数10月质量诊断考试试卷姓名:________ 班级:________ 成绩:________一、单选题 (共12题;共24分)1. (2分)全集U={0,1,3,5,6,8},集合A={1,5,8 },B={2},则集合(∁UA)∪B=()A . {0,2,3,6}B . {0,3,6}C . {2,1,5,8}D . ∅2. (2分)“a和b都不是奇数”的否定是()A . a和b至少有一个奇数B . a和b至多有一个是奇数C . a是奇数,b不是奇数D . a和b都是奇数3. (2分)点P在双曲线上,F1 , F2是这条双曲线的两个焦点,,且的三条边长成等差数列,则此双曲线的离心率是()A .B .C . 2D . 54. (2分) (2017高一上·安庆期末) 已知扇形的面积为2,扇形圆心角的弧度数是4,则扇形的周长为()A . 6B . 6C . 10D . 125. (2分) (2016高一上·金华期中) 函数f(x)=2x+x﹣2的零点所在的一个区间是()A . (﹣2,﹣1)B . (﹣1,0)C . (0,1)D . (1,2)6. (2分)已知||=1,||=,=0,点C在∠AOB内,且∠AOC=30°.设=m+n (m、n∈R),则等于()A .B . 3C .D .7. (2分)已知tanα,tanβ是方程两根,且,则α+β等于()A .B . 或C . -或D .8. (2分)双曲线的左右焦点分别为,且恰为抛物线的焦点,设双曲线与该抛物线的一个交点为,若是以为底边的等腰三角形,则双曲线的离心率为()A .B .C .D .9. (2分)若函数的图象与轴交于点,过点的直线与函数的图象交于两点,则(其中O为坐标原点)()A .B .C .D .10. (2分)已知a,b,c分别是的三个内角A,B,C所对的边,若,,,则a等于()A .B .C .D . 111. (2分)在150米高的山顶上,测得山下一塔的塔顶与塔底的俯角分别为30°,60°x=0,则塔高为()A . 50米B . 75米C . 100米D . 125米12. (2分)(2017·怀化模拟) 已知函数f(x)=ex﹣ln(x+a)(a∈R)有唯一的零点x0 ,则()A . ﹣1<x0<﹣B . ﹣<x0<﹣C . ﹣<x0<0D . 0<x0<二、填空题 (共4题;共4分)13. (1分) (2018高三上·沈阳期末) 如图,在正方形中,,为上一点,且,则 ________.14. (1分)(2017·西宁模拟) 设a= dx,则二项式的展开式的常数项是________.15. (1分)已知函数f(x)=sin(x+ )cos(x+ ),则函数的周期为________.16. (1分) (2018高一下·衡阳期末) 对于函数,若在定义域内存在实数,满足,称为“局部奇函数”,若为定义域上的“局部奇函数”,则实数的取值范围是________三、解答题 (共6题;共65分)17. (10分)化简求值(1)计算﹣cos π•tan(﹣π).(2)已知tan α= ,求下列各式的值:① ;②sin αcos α.18. (10分)已知函数f(x)=ex , g(x)=lnx+m.(1)当m=﹣1时,求函数F(x)= +x•g(x)在(0,+∞)上的极值;(2)若m=2,求证:当x∈(0,+∞)时,f(x)>g(x).19. (10分) (2017高二下·瓦房店期末) 已知函数 .(1)求函数的单调递增区间;(2)当时,求函数的最大值和最小值.20. (10分)(2013·上海理) 已知函数f(x)=2sin(ωx),其中常数ω>0(1)若y=f(x)在[﹣, ]上单调递增,求ω的取值范围;(2)令ω=2,将函数y=f(x)的图象向左平移个单位,再向上平移1个单位,得到函数y=g(x)的图象,区间[a,b](a,b∈R,且a<b)满足:y=g(x)在[a,b]上至少含有30个零点.在所有满足上述条件的[a,b]中,求b﹣a的最小值.21. (10分) (2017高一上·景县期中) 已知函数f(x)= 是奇函数(a为常数).(1)求a的值;(2)解不等式f(x)<.22. (15分) (2017高三上·朝阳期末) 设函数f(x)=ln(x﹣1)+ax2+x+1,g(x)=(x﹣1)ex+ax2 ,a∈R.(Ⅰ)当a=1时,求函数f(x)在点(2,f(2))处的切线方程;(Ⅱ)若函数g(x)有两个零点,试求a的取值范围;(Ⅲ)证明f(x)≤g(x)参考答案一、单选题 (共12题;共24分)1-1、2-1、3-1、4-1、5-1、6-1、7-1、8-1、9-1、10-1、11-1、12-1、二、填空题 (共4题;共4分)13-1、14-1、15-1、16-1、三、解答题 (共6题;共65分)17-1、17-2、18-1、18-2、19-1、19-2、20-1、20-2、21-1、21-2、。
2.()Lx y ds +=⎰ 其中L 是以)1,0(),0,1(),0,0(B A O 为顶点的三角形 ( A )A. 1+B. 1C.D. 03.()Ly x dy -=⎰.,其中L 为直线,AB(1,1),(2,2)A B ( D )A. 1B. 2C.12D. 0 4 Syzdxdy =⎰⎰ ,其中S 是球面2221x y z ++=的上半部分并取外侧为正向。
( D )A. 2πB. πC. 1D. 05.Lydx xdy +=⎰. , 其中22:1L x y += ( A )A. 0B. 1C. 2D. 3精品文档二、填空题:(本题共5小题, 每小题4分,共20分)1. 22()Dx y dxdy +=⎰⎰8π, 其中22:4D x y +≤ 2.Vxyzdxdydz =⎰⎰⎰8. 其中:02,0V x y z ≤≤≤≤≤≤3. 将(,)DI f x y d σ=⎰⎰ 化成先对x 后对y 的累次积分为24422(,)y y dy f x y dx +-⎰⎰其中D 由24,2y x y x =-=围成。
4. 设L 是半圆周,0,sin ,cos :π≤≤⎩⎨⎧==t t a y t a x L则第一型曲线积分()22Lxy ds +=⎰ π5. 格林公式建立了区域D 上二重积分与D 的边界曲线L的第二型曲线积分之间的联系。
设函数(,),(,)P x y Q x y 在闭区域D 上连续,且有一阶连续的偏导数,则格林公式可表示为LPdx Qdy +=⎰()DQ Pdxdy x y∂∂-∂∂⎰⎰。
(本题共2小题,每题10分, 共20分)1.计算DI dxdy =⎰⎰,其中D 由0,1x y y x ===及围成。
解:此三条直线的交点分别为(1,1),(0,1),(0,0),所围区域如下图。
。
3分先对x 后对y 积分:11112yxI dy dx dx dy ===⎰⎰⎰⎰ 。
6分2. 计算xdxdydz Ω⎰⎰⎰,其中Ω 是三个坐标面与平面 x精品文档+ y + z =1所围成的区域解 画出区域 D : 0101y x x ≤≤-≤≤ 。
杭州师范大学理学院2008-2009学年第一学期期末考试《数学分析》试卷(B )一、是非题(共30分,每题3分)1.无穷大量与有界变量的乘积是无穷大量。
( )2.设E 是有界数集,{}.inf E x x ∈=α 若,'αα> 则'α不是E 的下界。
( )3.{}n x 是无穷大量,则{}n x 无界。
( ) 4.当∞→x 时, ⎪⎭⎫⎝⎛-x 11ln ∽121--x。
( ) 5.0=x 是[]xx x y sin 1sin +=的不连续点。
( )6.若{}n x 单调且有收敛的子列,则n n x ∞→lim 存在。
( )7.以[]b a C ,表示[]b a ,上连续函数的全体,[]b a B ,表示[]b a ,上有界函数的全体,则[][]b a C b a B ,,⊂。
( ) 8.若()x f 在[]b a ,上满足李普西兹条件,即存在常数0>L 使得:对任意[]b a x x ,,21∈成立()()2121x x L x f x f -≤-,则()x f 在[]b a ,上一致连续。
( )9.若()x f 在()δ,0x O 内连续,且在0x (充分接近于0x 的)两侧导函数异号,则0x 是()x f 的极值点。
( )10.闭区间集合[]{}n n b a ,满足:,11n n n n b b a a ≤<≤++ ,,2,1 =n 则n n a ∞→lim 和 n n b ∞→lim 都存在。
( )二、填空题(共15分,每小题3分)11.若()x f y =在点0x 可微,则它在0x 的微分==0x x dy。
12.()()21-=x x x f 的不可导点为 。
数学分析试题(第1页,共4页)13.()=-→x x x 2tan1lim 1π。
14.=⎪⎭⎫⎝⎛-++∞→xx x x 22lim 。
15.x cos 在0=x 的泰勒公式是 。
三、计算题(共15分,每小题3分) 16.()()(),ln 22x v x u y += 求'y 。
数学分析上册第三版华东师范大学数学系编部分习题参考解答P.4习题1.设a 为有理数,x 为无理数,证明:(1)a +x 是无理数;(2)当0≠a 时,ax 是无理数。
证明(1)(反证)假设a +x 是有理数,则由有理数对减法的封闭性,知x =a +x –a 是有理数。
这与题设“x 为无理数”矛盾,故a +x 是无理数。
(2)假设ax 是有理数,于是aaxx =是有理数,这与题设“x 为无理数”矛盾,故ax 是无理数。
3.设R b a ∈,,证明:若对任何正数ε有ε<-||b a ,则a =b 。
证明由题设,对任何正数ε有0||+<-εb a ,再由教材P.3例2,可得0||≤-b a ,于是0||=-b a ,从而a =b 。
另证(反证)假设0||>-b a ,由实数的稠密性,存在r 使得0||>>-r b a 。
这与题设“对任何正数ε有ε<-||b a ”矛盾,于是0||=-b a ,从而a =b 。
5.证明:对任何R x ∈有(1)1|2||1|≥-+-x x ;(2)2|3||2||1|≥-+-+-x x x 证明(1)|2||1||)2()1(|1-+-≤-+-=x x x x (2)因为|2||1||1||)3(2||3|2-+-≤-=--≤--x x x x x ,所以2|3||2||1|≥-+-+-x x x 6.设+∈R c b a ,,证明||||2222c b c a b a -≤+-+证明建立坐标系如图,在三角形OAC 中,OA的长度是22b a +,OC 的长度是22c a +,AC 的长度为||c b -。
因为三角形两边的差大于第三边,所以有cb ),(b a A ),(c a C y||||2222c b c a b a -≤+-+7.设b a b x ≠>>,0,0,证明x b x a ++介于1与ba之间。
证明因为1||1-=-<+-=-++b ab b a x b b a x b x a ,1||)()(-=-<+-=-++bab b a x b b x a b b a x b x a 所以x b x a ++介于1与ba之间。
第 1 页共4页福建工程学院2009~2010学年第一学期期末考试试卷审批表课程名称高等代数考试班级09信息与计算科学参加考试学生人数81任课教师唐晓文命题教师唐晓文试卷类型(A、BB考试形式开卷()闭卷(√)答卷纸(张草稿纸(张1审核人意见审核人签名:教研室意见(签字系(部意见(签字试题参考答案及评分标准一、填空题(每小题5分,共15分)1、-32;2、;3、8;4、;5、.二、选择题(每小题5分,共15分)1、B2、A3、B4、D5、C三、(12分)解: = -----4分一个极大线性无关组, -----4分, ------4分第 2 页四、(10分解:------5分------5分五、(10分)解:由即-------3分可得, -------2分由 -------4分-------1分第3页六、(14分)解:对方程组的增广矩阵施行初等行变换------5分得方程的特解, ------2分对应齐次方程的基础解系,------5分通解 ------2分七、证明题:(第1、2小题各7分,第3小题10分,共24分)1.(1)证明:因为线性无关,所以线性无关,而线性相关,故可由线性表示. -------3分(2)不可以,如果可以由线性表示,而又可由线性表示,则可由线性表示.可得线性相关,与线性无关矛盾,所以不可由线性表示. -------4分2.证明:由题设,从而,+, -------3分又从而,-------3分所以,+. -------1分第 4 页3. 证明:(1)因为是对应的齐次线性方程组的一个基础解系,故线性无关, -------2分若线性相关,则可由线性表示,设为,因此是齐次线性方程组的一个解, -------2分与是非齐次线性方程组的一个解矛盾,故线性无关. -------1分(2)设,即.------2分因为线性无关, -------1分所以得 -------1分故线性无关. -------1分。
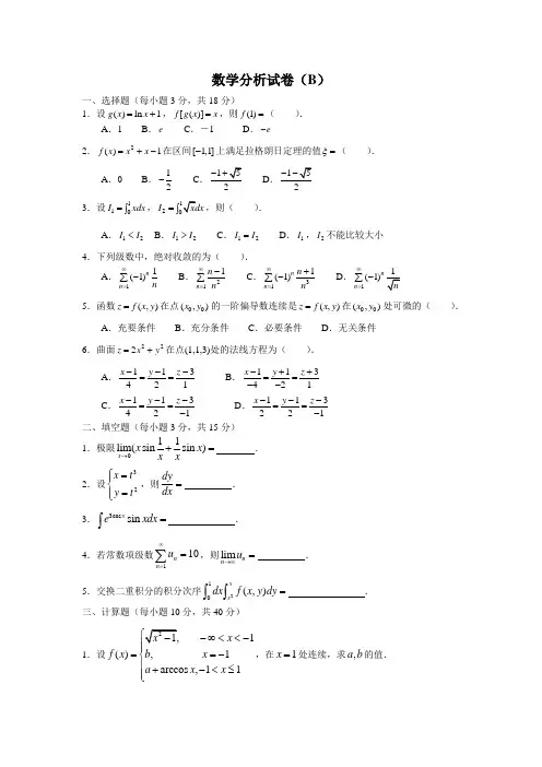
数学分析试卷(B )一、选择题(每小题3分,共18分)1.设()ln 1g x x =+,[()]f g x x =,则(1)f =( ).A .1B .eC .-1D .e -2.2()1f x x x =+-在区间[1,1]-上满足拉格朗日定理的值ξ=( ).A .0B .12- CD3.设110I xdx =⎰,2I =⎰,则( ).A .12I I <B .12I I >C .12I I =D .1I ,2I 不能比较大小4.下列级数中,绝对收敛的为( ).A .11(1)n n n ∞=-∑ B .211n n n ∞=-∑ C .311(1)n n n n ∞=+-∑ D.1(1)n n ∞=-∑5.函数(,)z f x y =在点00(,)x y 的一阶偏导数连续是(,)z f x y =在00(,)x y 处可微的(). A .充要条件 B .充分条件 C .必要条件 D .无关条件6.曲面222z x y =+在点(1,1,3)处的法线方程为( ).A .113421x y z ---== B .113421x y z -++==--C .113421x y z ---==- D .113221x y z ---==-二、填空题(每小题3分,共15分)1.极限011lim(sin sin )x x x x x →+= .2.设32x t y t ⎧=⎪⎨=⎪⎩,则dydx =.3.3cos sin x e xdx =⎰ .4.若常数项级数110n n u ∞==∑,则lim n n u →∞= .5.交换二重积分的积分次序210(,)xx dx f x y dy =⎰⎰ .三、计算题(每小题10分,共40分)1.设1(),1arccos ,11x f x b x a x x -∞<<-==-⎨⎪+-<≤⎪⎩,在1x =处连续,求,a b 的值.2.设ln x z y =,求dz 及2z x y∂∂∂. 3.讨论反常积分21p dx x +∞⎰的收敛性.4.计算()Dx y dxdy +⎰⎰,其中D 是由2,y x y x ==及2x =所围成的区域. 四、证明题(每小题8分,共16分)1. 证明531x x -=方程至少有一个根介于1和2之间.2.如果1n n a a +≥,且(0,1,2,)n a c c n ≥>= ,证明常数项级数11()n n n a a ∞+=-∑收敛. 五、应用题(11分)求曲线ln y x =在区间(2,6)内的一条切线,使该切线与直线2,6x x ==和曲线ln y x =所围成的面积最小.。
广东省佛山市数学高三上学期理数期末调研测试试卷姓名:________ 班级:________ 成绩:________一、单选题 (共12题;共12分)1. (1分)已知M={x|y=ln(1-x)},N={x|2x(x-2)<1},则为()A . {x|0<x<2}B .C . {x|0<x<1}D .2. (1分)(2020·乌鲁木齐模拟) 已知复数满足(是虚数单位),则的共轭复数()A .B .C .D .3. (1分) (2018高二下·赤峰期末) 、两支篮球队进行比赛,约定先胜局者获得比赛的胜利,比赛随即结束.除第五局队获胜的概率是外,其余每局比赛队获胜的概率都是 .假设各局比赛结果相互独立.则队以获得比赛胜利的概率为()A .B .C .D .4. (1分) (2017高三上·高台期末) 已知,且,则向量与向量的夹角是()A .B .C .D .5. (1分)设函数,若y=f(x)的图象与y=g(x)图象有且仅有两个不同的公共点,则下列判断正确的是()A . 当时,<0,<0B . 当时,>0,>0C . 当时,<0>0D . 当时,>0<06. (1分)一个棱锥的三视图如图,则该棱锥的全面积(单位:cm2)为()A .B .C .D .7. (1分)若sin(π﹣α)=2cosα,则展开式中常数项为()A .B . 160C .D . ﹣1608. (1分)设,若,,则的最大值为()A . 3B .C . 4D .9. (1分)已知圆的方程为x2+y2﹣8x+15=0,若直线y=kx+2上至少存在一点,使得以该点为圆心,半径为1的圆与圆C有公共点,则k的最小值是()A . -B . -C . -D . -10. (1分) (2018高二上·万州期末) 垂直于直线,且与曲线相切的直线方程是()A .B .C .D .11. (1分) (2016高二上·芒市期中) 已知f(x)的定义在R上的偶函数,且在区间(﹣∞,0]上为减函数,则f(1)、f(﹣2)、f(3)的大小关系是()A . f(1)>f(﹣2)>f(3)B . f(﹣2)>f(1)>f(3)C . f(1)>f(3)>f(﹣2)D . f(1)<f(﹣2)<f(3)12. (1分) (2016高二下·惠阳期中) 平面α截球O的球面所得圆的半径为1,球心O到平面α的距离为,则球O的表面积为()A . 12 πB . 12πC . 8πD . 4π二、填空题 (共4题;共4分)13. (1分)(2017·湖北模拟) 某班有50名学生,一次数学考试的成绩ξ服从正态分布N(110,102),已知P(100≤ξ≤110)=0.36,估计该班学生数学成绩在120分以上的有________人.14. (1分)(2020·西安模拟) 设的内角A , B , C的对边分别为a , b , c ,若,,,则 ________.15. (1分)已知点A(1,2)和点B(2,1),若直线y=kx+1与线段AB有公共点,则k的取值范围是________.16. (1分) (2016高三上·闵行期中) 若定义在[﹣m,m](m>0)上的函数f(x)= +xcosx(a>0,a≠1)的最大值和最小值分别是M、N,则M+N=________三、解答题 (共7题;共14分)17. (2分) (2019高二上·集宁月考) 已知是各项均为正数的等比数列,是等差数列,且,, .(1)求和的通项公式;(2)设,,求数列的前项和.18. (2分)(2018高一下·柳州期末) 在中,角所对的边分别为,且.(1)求角的值;(2)若,求边的长.19. (2分)《九章算术》中,将底面为长方形且有一条侧棱与底面垂直的四棱锥称之为阳马,将四个面都为直角三角形的四面体称之为鳖臑.在如图所示的阳马P-ABCD中,侧棱PD底面ABCD,且PD=CD,点E是BC的中点,连接DE,BD,BE(I)证明:DE底面PBC,试判断四面体EBCD是否为鳖臑. 若是,写出其四个面的直角(只需写出结论);若不是,请说明理由;(Ⅱ)记阳马的体积为,四面体的体积为,求的值.20. (2分) (2018高一下·中山期末) 某企业为了对新研发的一批产品进行合理定价,将产品按事先拟定的价格进行试销,得到一组销售数据,如表所示:已知(1)求的值(2)已知变量具有线性相关性,求产品销量关于试销单价的线性回归方程可供选择的数据(3)用表示(2)中所求的线性回归方程得到的与对应的产品销量的估计值。
杭州师范大学理学院2008-2009学年第一学期期末考试
《数学分析》试卷(B )
一、是非题(共30分,每题3分)
1.无穷大量与有界变量的乘积是无穷大量。
( )
2.设E 是有界数集,{}
.inf E x x ∈=α 若,'αα> 则'α不是E 的下界。
( )
3.{}n x 是无穷大量,则{}n x 无界。
( ) 4.当∞→x 时, ⎪⎭⎫
⎝⎛
-x 11ln ∽121--x。
( ) 5.0=x 是[]x
x x y sin 1sin +=
的不连续点。
( )
6.若{}n x 单调且有收敛的子列,则n n x ∞
→lim 存在。
( )
7.以[]b a C ,表示[]b a ,上连续函数的全体,[]b a B ,表示[]b a ,上有界函数的全体,则[][]b a C b a B ,,⊂。
( ) 8.若()x f 在[]b a ,上满足李普西兹条件,即存在常数0>L 使得:对任意[]b a x x ,,21∈成立()()2121x x L x f x f -≤-,则()x f 在[]b a ,上一致连续。
( )
9.若()x f 在()δ,0x O 内连续,且在0x (充分接近于0x 的)两侧导函数异号,则0x 是()x f 的极值点。
( )
10.闭区间集合[]{}n n b a ,满足:,11n n n n b b a a ≤<≤++ ,,2,1 =n 则n n a ∞
→lim 和 n n b ∞
→lim 都
存在。
( )
二、填空题(共15分,每小题3分)
11.若()x f y =在点0x 可微,则它在0x 的微分==0
x x dy。
12.()()2
1-=x x x f 的不可导点为 。
数学分析试题(第1页,共4页)
13.()=-→x x x 2
tan
1lim 1
π。
14.=⎪⎭
⎫
⎝⎛-++∞→x
x x x 22lim 。
15.x cos 在0=x 的泰勒公式是 。
三、计算题(共15分,每小题3分) 16.()()()
,ln 22x v x u y += 求'y 。
17.,1arccos 2x y -= 求'y 。
18. 设()()
,cos 1sin ⎩⎨⎧-=-=t a y t t a x 求dx dy。
19.设()x f y =是由方程()0sin 2=+-y x y 所确定的隐函数,求dy 。
20. 已知,1
x
y = 求y d n 。
四.解答题(共14分,每小题7分) 21.求2
12x
x
y +=的极值。
22.设()⎪⎩
⎪⎨⎧=≠=,0,0,
0,1c o s x x x
x x f α
则当α满足什么条件时,()x f 在0=x 点(i)连续; (ii)可导; (iii)导函数连续?
五.求不定积分(共12分,每小题4分) 23. ⎰
++2
2
11tan x
xdx x
24. ⎰
+,cos sin 2
222x
B x A dx
.0,≠B A
25. ⎰
xdx x cos 2
六.证明题(共14分,每小题7分)
26.证明:,2
arccos arcsin π
=
+x x ().11≤≤-x
27.设
()x f 在[]b a ,上连续,,1b x x a n <<<< 证明:存在()b a ,∈ξ 使得
()()()()
n
x f x f x f f n +++=
21ξ。
数学分析试题(第4页,共4页)。