高速测速点
- 格式:doc
- 大小:20.50 KB
- 文档页数:1
山东高速区间测速超速处罚标准1. 前言说到开车,我们都希望能在路上飞驰而过,享受那种“车在路上,人随风”的感觉,对吧?不过,在这个畅快的背后,别忘了,还有那可怕的区间测速。
今天,我们就来聊聊山东高速的区间测速超速处罚标准,让你在享受驾驶乐趣的同时,也别让罚单把你的钱包给掏空了。
2. 区间测速的原理2.1 什么是区间测速?首先,咱得搞清楚什么是区间测速。
简单来说,就是在高速公路上设立一段固定的测速区间,车辆通过这个区间的时候,系统会自动记录你的行驶时间和距离。
比如说,你从A点开到B点,系统会算出你平均的速度,如果超过了规定的限速,那就别怪罚单飞过来了。
2.2 为什么要用区间测速?其实,区间测速的目的是为了提高安全性,降低事故发生的几率。
你想啊,过了限速,那简直就像是在高速公路上玩命,前面的车一刹车,你来不及反应可就惨了。
所以,相关部门为了大家的安全,设立这些测速点,其实是为了让大家都能平平安安地回家。
3. 超速处罚标准3.1 处罚标准是怎样的?说到处罚标准,这个可得好好琢磨一下。
根据山东的规定,超速的罚款和扣分是根据你的超速程度来决定的。
一般来说,超速不超过20公里/小时的,罚款200元,扣分不扣;超过20公里/小时但不超过50公里/小时的,罚款200500元,扣3分;如果超过50公里/小时,那就要准备5001000元的罚款,扣6分,严重的甚至还可能被拘留。
3.2 小心,别掉入罚款的“陷阱”有些司机朋友可能会想:“我就超个几公里,没事吧?”哎呀,这可就大错特错了!区间测速可是严厉得很,稍微不注意就可能掉入罚款的“陷阱”。
比如说,有的人以为晚上车少,就可以“肆无忌惮”地加速,结果不小心超速被拍了,那就只能认栽了。
所以,开车的时候,保持冷静,别让自己心急吃不了热豆腐。
4. 如何避免超速?4.1 保持良好的驾驶习惯想要避免超速,首先得保持良好的驾驶习惯。
每次上车前,检查一下仪表盘,确保限速标志都在眼前,最好在脑海里记住那些限速的数字。
京哈高速公路长春至四平段测速点位置:
范家屯测速点:192km
公主岭测速点:229km
郭家店测速点:255km
四平测速点:278km
京哈高速公路长春至拉林河段测速点位置:兴隆山测速点:985km
米沙子测速点:1005km
德惠测速点:1053km
菜园子测速点:1087km
陶赖昭测速点:1099km
扶余测速点:1116km
珲乌高速公路珲春至吉林段测速点位置:
凉水测速点:45km
图们测速点:64km
延吉测速点:91km
延吉西测速点:107km
安图测速点:144km
安图服务区测速点:174km
大石头测速点:191km
敦化服务区测速点:219km
黄泥河测速点:243km
黄松甸测速点:274km
蛟河测速点:309km
新站测速点:323km+
老爷岭测速点(吉林方向):335km
老爷岭测速点(珲春方向):337km
天岗测速点:360km
华丹测速点:389km
珲乌高速公路吉林至长春段测速点位置:吉林测速点:70km
九台测速点:32km
机场测速点:17km
长春东测速点:4km。
东北高速公路网监控测速点选择浏览模式:故事模式| 单张浏览| 3D画廊酷!| 幻灯片在网上找到这个,收藏备用京沈、东北高速公路网监控测速点汇总沈阳—大连:28. 31. 134. 178. 337.大连—沈阳:339. 204. 176. 116. 104. 87. 74. 67. 64. 17. 8.沈阳—长春:34. 54. 83. 99. 132. 145.长春—沈阳:275. 99. 84. 54. 34. 26. 17. 10.沈阳—丹东:11. 45. 54.101,104,108,125,149. 191. 216.254丹东—沈阳:210,192,173,129,85. 68,71. 34. 25.锦州—朝阳:19. 55. 62. 84.朝阳—锦州:63. 20.盘锦—营口:27. 63. 67.营口—盘锦:64. 26.沈阳—抚顺:7.抚顺—沈阳:6. 2.沈阳环城:11. 16. 48. 64.锦州—阜新:19. 41. 103.阜新—锦州:41. 19.锦州—沈阳:472. 530. 554. 602. 615. 633. 656.沈阳—锦州:555. 530. 499. 473.锦州—北京:428. 386. 339. 317. 206. 176. 159. 101. 83. 63. 52. 35. 26. 20. 18. 15.北京—锦州:15. 18. 20. 25. 34. 206. 221. 252. 317. 386. 428.还有一个版本全省高速公路测速摄像头分布详单!各位驴友出行注意啦!建议还是小心驾驶!京沈高速沈阳至山海关段卡口位置:沈阳西收费站;高升收费站、盘锦收费站;锦州东收费站、锦州收费站、光辉收费站、凌海收费站;高桥收费站、葫芦岛西收费站、葫芦岛东收费站、兴城收费站、绥中收费站、万家收费站沈山K633+010龙门架(沈阳方向)沈山K615+100跨线桥(沈阳方向)沈山K602+600跨线桥(沈阳方向)沈山K554+800龙门架(北京方向)沈山K554+200龙门架(沈阳方向)沈山K530+800龙门架(双向)沈山K498+500龙门架(北京方向)沈山K472+400跨线桥(北京方向)沈山K428+230跨线桥(双向)沈山K387+700跨线桥(双向)沈山K339跨线桥(北京方向)沈山K317+65跨线桥(双向)沈大高速卡口位置:苏家屯收费站;辽阳收费站、辽阳县收费站、辽阳南收费站、灯塔收费站;营口收费站、营口南收费站、盖州收费站、鲅鱼圈收费站;大连收费站、金州收费站、三十里堡收费站、石河收费站、海湾北收费站、炮台收费站、瓦房店南收费站、老虎屯收费站、瓦房店收费站、鞠屯收费站、李官收费站沈大K8+250跨线桥(沈阳方向)沈大K16+600跨线桥(沈阳方向)沈大K28+860龙门架(大连方向)沈大K31+500龙门架(大连方向)沈大K64+130龙门架(沈阳方向)沈大K67龙门架(沈阳方向)沈大K75龙门架(大连方向)沈大K87龙门架(沈阳方向)沈大K105龙门架(大连方向)沈大K115龙门架(沈阳方向)沈大K134+200龙门架(大连方向)沈大K176龙门架(沈阳方向)沈大K178龙门架(大连方向)沈大K204情报板(沈阳方向)沈大K223龙门架(大连方向)沈大K224龙门架(沈阳方向)沈大K268龙门架(沈阳方向)沈大K273龙门架(大连方向)沈大K308龙门架(沈阳方向)沈大K311龙门架(大连方向)后盐收费站外广场龙门架(大连方向)沈丹高速卡口位置:桃仙收费站;沈阳收费站;本溪收费站、本溪南收费站;凤城收费站、五龙背收费站、丹东收费站沈丹K11跨线桥(丹东方向)沈丹K24+900立杆(沈阳方向)沈丹K34立杆(沈阳方向)沈丹K45+190立杆(丹东方向)沈丹K53+720立杆(丹东方向)沈丹K70+480立杆(沈阳方向)沈丹K85+181立杆(沈阳方向)沈丹K148+600龙门架(丹东方向)沈丹K191+700跨线桥(双向)沈丹K215+650跨线桥(丹东方向)沈四高速卡口位置:王家沟2号站;铁岭南收费站、铁岭北收费站、开原收费站、昌图收费站、毛家店收费站沈四K9+700跨线桥沈四K17跨线桥沈四K25+400跨线桥沈四K34跨线桥(双向)沈四K53+200立杆(双向)沈四K84跨线桥(双向)沈四K98+700跨线桥(双向)沈四K132+500跨线桥(四平方向)沈四K144+800跨线桥(四平方向)沈环高速卡口位置:东陵收费站沈环K11+100跨线桥(北京方向)沈环K16+800龙门架(北京方向)沈环K48+500跨线桥沈环K67立杆盘海营高速卡口位置:盘锦西收费站、大洼收费站、西安收费站;高坎收费站、大盘收费站盘海营K26+700龙门架(营口方向)盘海营K27+100龙门架(盘锦方向)盘营K63+800龙门架(营口方向)盘营K64+840情报板(盘锦方向)盘营K67+175龙门架(营口方向)锦朝高速卡口位置:锦州西收费站;朝阳南收费站、朝阳收费站、双庙收费站锦朝K19+970跨线桥(锦州方向)锦朝K54+740跨线桥(朝阳方向)锦朝K62+360跨线桥(双向)锦朝K84+280跨线桥(朝阳方向)锦阜高速卡口位置:双羊收费站;阜新南收费站锦阜K19+950跨线桥(双向)锦阜K41+290跨线桥(双向)锦阜K103+130跨线桥(阜新方向)注:Kx+xxx表示xxx公里+xxx米。
惠深沿海高速21东行(霞涌段)
深汕高速惠来路段西行
深汕高速田心至海门段
深汕高速东段189.7(汕-深)
深汕高速东段198.5(深-汕)
深汕高速东段205.2KM处(深圳往汕头方向)
沈海高速2323
沈海高速A道2352公里
沈海高速2447A道+700m
沈海高速2512-2523区间测速
沈海高速2532+50m
沈海高速2569未按规定使用安全带
沈海高速2582东行限速80沈海高速2597西行
沈海高速2688
沈海高速2689+300m易超>50%沈海高速2703
沈海高速2706
沈海高速2706
沈海高速2727
沈海高速2729
沈海高速2730
沈海高速2743
沈海高速2744
沈海高速2745
沈海高速2765+350m
沈海高速2774东行
沈海高速2785
沈海高速2785+700m
沈海高速2795
沈海高速2795
沈海高速2798
沈海高速2799
沈海高速2801
沈海高速2822易超速点沈海高速2826
沈海高速2828
沈海高速2835
沈海高速(汕汾高速)潮州段往福建未按规定使用安全带
沈海高速(汕汾高速)外充公至外砂路段南行
沈海高速汕汾高速外砂至湖心路段东行区间测速沈海高速汕头海湾大桥限速60km。
云南交通警察测速点(⼤全)1.海建⾼速通海到建⽔⽅向快到曲江出⼝下坡段限速80 建⽔⼤队的固定测速点2.⼤丽⼆级公路过⼤理收费站后路况较好的⼀段⼤理交警的不定点测速段丽江往⼤理⽅向 86KM附近即过完分离式路基不远丽江交警的固定测速点3.昆河⼆级公路往河⼝⽅向过完弥勒快到锁龙寺开远交警的固定测速点4.昆明-⽟溪⽟昆⾼速在晋城段路⾯⽐较平整那段(刚刚要进⼊⼭坡那⼏棵树的下⾯)交警经常躲在这⾥测速5.从下关到⼤理,过楚雄休息站后进⼊昆楚⾼速⼆⼗公⾥之内要注意,有交警测速,过后就在⼀个⼭坡背阳⾯等着罚款了。
6.昆曲:(1) 昆曲路25KM左右,⼩哨出⼝(兔⽿关),固定摄像头,听说过不超105KM没事,但⾮常?*冢?詈貌怀??0KM,下坡过弯就进⼊范围。
(2)昆曲路50KM左右,嵩明出⼝往前的直道上,⾼⾼的⼀⼩摄像头。
以前从来没事,最近⼀次回昆时,晚上120km遇闪光,不知是对⾯还是⾃⼰“中招”。
(3)曲靖:曲沾⼤道(珠江源⼤道),限速60,交警不固定测速,路遇⼀次⾬天出来,趴在地上测速,当时65KM,没被喊停(4)曲胜⾼速:曲靖收费站才出去⼏公⾥开始,两边都有,⼀般每边四个固定测速点,有时会挪位置,爬坡前的直道都要⼩⼼,⼩车限速110KM。
(5)宣天路,出旅家屯收费站⼏公⾥,花⼭服务区附近,警察流动测速,两边都会有,限速80KM,⼩车⼩⼼(路好,但平交路⼝多,⽜、⽺、摩托、⼈多,故限速80)7.鸡哥被罚款2000,就在开远出来,⽵园附近,路⼝多,路直,但限速60KM,要不超速,必须有耐⼼,以前是80-110的速度,⾃从100天的交通整治开始,在此路段,不超过72KM,及不超过限速的20%。
8.昆曲从昆明出发不久的⼩稍附近有两个摄像头9.昆明到⽟溪下到刺通关坡脚,限速80,经常有⼈中招。
10.刚从丽江回来,报道⼀下安楚和楚⼤的最新情况:安楚⾼速(安宁-楚雄⽅向)原来的龙⼭收费站出克那段直道,有警察测速,限速110,这⾥有点下坡,⼀不⼩⼼就冲到140了···饱满街出⼝处(安楚路最后⼀个隧道下克的那个出⼝)有警察测速,限速110···楚⼤⾼速(楚雄-⼤理)南华灵官桥服务区有警察测速,测速车就停在服务区门⼝,限速110还是80记不得了,看路边指⽰牌吧。
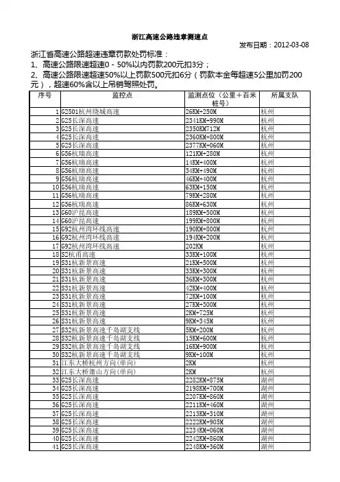
《道路交通安全违法行为处理程序规定》,使用固定式交通技术监控设备测速的路段,应当设置测速警告标志。
使用车载移动测速设备的,还应当使用制式警车。
使用移动测速设备测速的,没有要求具体测试仪的摆放位置或设置测速警告标志。
根据《移动测速设备使用管理规定》第七条规定,在已设置固定且正在使用的电子监控系统前后3公里不得重复使用移动测速点;本县市(区)管辖的同一条路段内,同方向测速点应当在6公里以上;因安全等原因需要在固定电子监控系统3公里以内或同方向间距6公里内使用移动超速的,移动测速设备或固定监控系统同时段内测定的超速违法行为不得重复处罚。
机场大队:移动测速设备1套,设在机场高速26KM处京珠和机场高速交汇处限速80KM 柳林大队固定测速设备2套,设在连霍高速562km处北半幅和596km处南半幅限速120km巩义大队:移动测速设备2套,设在连霍高速646km南北半幅限速值80km巩义段属于丘陵地段要严格按照路标限速值行驶注意的分别是康店隧道及往东的两个隧道洛阳大队移动测速设备2套设在连霍高速674km至693km处限速值80km开封大队移动测速设备1套在连霍高速518km处限速值120km新乡大队移动测速设备1套在京珠高速604km---610km处的范围内限速值120km 鹤壁大队移动测速和固定测速设备各1套分别设在京珠高速542KM西半幅和542KM东半幅限速值120km安阳大队移动测速设备1套测速范围在京珠高速509km———518km处限速值120km圃田大队移动测速设备1套在京珠高速674km处限速120km二桥大队移动测速和固定测速设备各1套分别设在京珠高速639km处和618——659km处限速值120km郑石高速始祖山隧道限速80郏县出口处限速120鲁山出口限速120快到石人山有个好像是山路限速100全线4个照相取证西南绕城高速公路:十八里河上高速后往洛阳方向去第一个天桥下面南半幅!限速120就是说如果是由西向东行驶到离十八里河(郑州市区大学路)出口两公里的那个天桥的南半幅郑少洛高速17km处测速照相郑少好像是山路限速100许平南高速公路47km和67km 快到南阳还有个,好像在139km附近限速120南京至洛阳高速在平顶山境内几个出口处主线都有测速照相限速120全省高速公路电子眼区间测速路段终点起点长济高速223.5公里南半幅长济高速137.8公里南半幅机场高速13公里南半幅机场高速23.5公里南半幅大广高速1798.05公里东半幅大广高速1929.5公里东半幅连霍高速500.3公里北半幅连霍高速592.2公里北半幅连霍高速592.2公里北半幅连霍高速636.9公里北半幅连霍高速636.9公里北半幅连霍高速678.7公里北半幅京港澳高速518.4公里西半幅京港澳高速614.2公里西半幅京港澳高速614.2公里西半幅京港澳高速658.7公里西半幅京港澳高速658.7公里西半幅京港澳高速708公里西半幅京港澳高速708公里西半幅京港澳高速744.2公里西半幅京港澳高速496.8公里东半幅京港澳高速544公里东半幅京港澳高速544公里东半幅京港澳高速628.5公里东半幅京港澳高速628.5公里东半幅京港澳高速658.8公里东半幅京港澳高速658.8公里东半幅京港澳高速691公里东半幅定点测速地点1.京港澳高速496KM+800M出省方向2.大广高速1775KM+50M出省方向3.晋新高速53KM+100M出省方向4.二广高速1102KM+500M出省方向5.长济高速271KM+900M出省方向6.焦桐高速346KM+800M出省方向7.宁洛高速414KM出省方向8.大广高速2308KM+900M出省方向9.济广高速355KM+800M出省方向10.连霍高速294KM+900M出省方向11.济广高速395KM出省方向12.兰南高速441KM出省方向13.二广高速1448KM出省方向14.沪陕高速1266KM+200M出省方向15.京港澳高速990KM出省方向16.沪陕高速776KM+400M出省方向18.京港澳高速518KM+400M西半幅19.京港澳高速544KM东半幅20.京港澳高速614KM+20M西半幅21.京港澳高速628KM+500M东半幅22.京港澳高速693KM+400M东半幅23.京港澳高速743KM西半幅24.京港澳高速803KM+300M东半幅25.京港澳高速866KM西半幅26.京港澳高速966KM+200M东半幅27.大广高速1929KM+500M西半幅28.宁洛高速492KM南半幅29.郑焦晋高速52KM+30M南半幅30.大广高速1818KM+700M西半幅31.长济高速223KM+500M南半幅32.兰南高速260KM+500M西半幅33.兰南高速172KM+100M东半幅34.南林高速148KM南半幅35.鹤濮高速116KM+800M南半幅36.长济高速137KM+800M南半幅37.宁洛高速725KM西半幅38.京港澳高速658KM+700M西半幅39.沪陕高速820KM+500M北半幅41.大广高速2257KM+700M东半幅42.大广高速2243KM+100M西半幅43.大广高速1964KM东半幅44.连霍高速500KM+300M南半幅45.连霍高速678KM+700M南半幅46.连霍高速636KM+900M南半幅47.连霍高速581KM+800M北半幅48.连霍高速592KM+200M南半幅49.京港澳高速658KM+800M东半幅50.京港澳高速708KM西半幅51.兰南高速289KM东半幅52.机场高速13KM西半幅53.机场高速23KM西半幅54.机场高速13KM东半幅停车、倒车、逆行抓拍地点1.京港澳高速693KM+600M西半幅2.京港澳高速707KM+500M西半幅3.连霍高速500KM南半幅4.连霍高速678KM南半幅5.连霍高速565KM+300M南半幅。
衢州境内高速公路测速点
衢州境内各条高速公路的测速点——
S33龙丽温高速全段限速100公里/小时
S33龙丽温高速16公里+900米衢州方向
S33龙丽温高速27公里+200米衢州方向
S33龙丽温高速45公里+650米衢州方向
S33龙丽温高速60公里+600米衢州方向
G60沪昆高速以高速东出口为界,杭州方向限速120公里/小时;江西方向限速100公里/小时
G60沪昆高速381公里+700米衢州方向
G60沪昆高速393公里+200米衢州方向
G60沪昆高速404公里+450米衢州方向
G60沪昆高速413公里衢州方向
G60沪昆高速426公里+600米衢州方向
G60沪昆高速437公里+200米衢州方向
G60沪昆高速438公里衢州方向
G60沪昆高速455公里+750米衢州方向
G60沪昆高速380公里+750米衢州方向
G60沪昆高速367公里+100米衢州方向
G3京台高速江山段限速100公里/小时;开化段限速80公里/小时G3京台高速1392公里+100米衢州方向
G3京台高速1403公里+390米衢州方向
G3京台高速1411公里+300米衢州方向G3京台高速1420公里+50米衢州方向G3京台高速1425公里+500米衢州方向G3京台高速1432公里+565米衢州方向G3京台高速1444公里衢州方向G3京台高速1452公里+300米衢州方向G3京台高速1459公里+200米衢州方向G3京台高速1468公里+500米衢州方向G3京台高速1480公里+400米衢州方向G3京台高速1498公里+400米衢州方向G3京台高速1515公里+300米衢州方向G3京台高速1522公里衢州方向G3京台高速1538公里+300米衢州方向。
济南市限速测速抓拍点分布清单
济南市限速测速抓拍点分布清单
济南市限速测速抓拍点分布清单,小心抓拍了扣分罚款,车友们开车还是安全第一
102省道曹家馆村西200米
103省道二仙大桥南头
103省道仲宫镇北1.5公里处(仲宫派出所斜对面)
工业北路机场路路口西1公里处
经十东路力诺集团东200米
经十路凤鸣路东500米
济南黄河大桥中段机场路荷花路北1.5公里处旅游路商职学院北门西200米旅游路港西路口西2公里处世纪大道绕城高速西400米(章灵村口)104国道二环南路路口东400米(市中事故中队门口) 二环东路怪坡路段(市中警务工作站北侧)104国道文庄路路口北200米104国道南绕城高速南500米(济微中队门口) 220国道石头庄村南500米(杜庙北海仓库门口) 经十路凤歧路口西500米(消防总队对面)旅游路转山隧道出口东100米世纪大道凤山路口东200米经十路鸡山村口东200米经十路孙村立交东200米世纪大道东徐马村口东100米北园高架桥航运路出口西200米北园高架桥黄岗路出口东200米二环北路济泺路路口西500米济南建邦大桥北段济南建邦大桥南段经十东路名士豪庭东临过街天桥下经十路千佛山医院南门前过街天桥下103省道绕城高速出口路东100米104国道文庄路路口北200米220国道K214+750米处(小张庄路段)220国道K194+600米处新元大街银河路路口西500米20国道K331+100米处(东平与平阴交界处)220国道安城路口向西1公里处二环东高架将军路下口南200米二环东高架和平路下口北200米经十路凤歧路口西200米(武警总队对面)原经十路凤歧路口西500米(消防总队对面)东向西设备
二〇一三年一月二十五日。
吉林省高速公路固定测速点吉林省高速公路测速地点京哈高速公路长春至四平段测速点位置:范家屯测速点:196km公主岭测速点:229km郭家店测速点:255km四平测速点: 278km京哈高速公路长春至拉林河段测速点位置:兴隆山测速点:985km+500m米沙子测速点:1005km+500m德惠测速点: 1053km+500m菜园子测速点:1087km+500m陶赖昭测速点:1099km+500m扶余测速点: 1116km+500m珲乌高速公路珲春至吉林段测速点位置:凉水测速点:45km图们测速点:64km+300m延吉测速点:91km+500m延吉西测速点:107km安图测速点:144km安图服务区测速点:174km大石头测速点:191km+600m敦化服务区测速点:219km黄泥河测速点:243km黄松甸测速点:274km+200m蛟河测速点:309km+800m新站测速点:323km+600m老爷岭测速点(吉林方向):335km+450m老爷岭测速点(珲春方向):337km+750m天岗测速点:360km+700m华丹测速点:389km珲乌高速公路吉林至长春段测速点位置:吉林测速点:70km+800m九台测速点:32km+800m机场测速点:17km+800m长春东测速点:4km+500m我省高速公路共有10个固定测速点,还有几个移动测速点~~~~~~~~长余高速:兴隆山:151公里处米沙子:131公路处德惠:83公路处菜园子:49公路处陶赖昭:37公路处扶余:37公路处长平高速:范家屯:192公里处公主岭:229公路处郭家店:255公路处四平:278公里处长平高速限速:110公里绕城高速限速:110公里长营高速限速:100公里长吉高速限速:120公路长余高速限速:120公路。
天津频道记者11月21日从天津市交管部门获悉,近期将增设233处整治点位,重点整治40条主干公路累计2268.6公里路段。
为了进一步确保治理违法的人性化,今日,交管部门将在部分高速、国省道路新增设的86处测速点位实施首次对外公布。
交管部门有关负责人表示,因超速违法被摄录的违法车辆,驾驶人会在7天之内接到违法告知单。
新增86处测速点位为:京哈高速公路77公里处;京沪高速公路66公里和83公里处各设测速点位1处;京津高速公路43公里和109公里各设测速点位1处;京津塘高速公路54公里、71公里、122公里各设测速点位1处;津沧高速公路25公里处设测速点位1处;海滨高速公路69公里处设测速点位1处;京哈公路75.3公里、87.7公里、91.4公里处各设测速点位1处;京津公路78公里、93公里、107公里测速点位各设1处;京福公路70公里、88公里、126公里、188公里处各设1处;津榆公路1126公里、1135公里、1176公里处各设测速点位1处;津淄公路310公里、348公里340公里各设测速点位1处;津围公路32公里、42公里、59公里、69公里、78公里、88.4公里、114.5公里、131公里各设测速点位1处;津汉公路19公里、34公里各设测速点位1处;宝平公路8公里、15公里各设测速点位1处;外环线24公里、34公里、56公理、59公里、67公里各设测速点位1处;天津大道3公里(上下行)、12公里(上下行)、22公里各设测速点位1处;津蓟高速公路55公里、天津站区间测速各设测速点位1处;津港高速公路延长线7公里、主线15公里、天津站区间各设测速点位1处;荣乌高速公路751公里设测速点位1处;长深高速公路1037公里、1085公里各设测速点位1处;津塘公路144公里设测速点位1处;津港公路23公里、39.65公里各设测速点位1处;津沽公路22公里处设测速点位1处;津芦公路25公里、36公里、52公里各设测速点位1处;津晋高速19公里设测速点位1处;津滨高速公路10.4公里、18.6公里、天津站区间各设测速点位1处;津静公路18公里设测速点位1处;津岐公路42公里设测速点位1处;津涞公路20公里设测速点位1处;九园公路2公里、19公里、33公里、45公里、70公里各设测速点位1处;铁东快速路辰泰桥下设测速点位1处;西北半环快速路34公里设测速点位1处;津保高速公路14公里设测速点位1处;滨保高速公路59公里、芦台南站区间各设测速点位1处;京福支线西青段5公里、15公里各设测速点位1处;高王路34公里、43公里、56公里各设测速点位1处;蓟县环路北环周庄段设测速点位1处;武香公路10公里设测速点位1处;静海环路北华路2.8公里、东方红路口南500米各设测速点位1处。
例如甬金(G1512)高速118km+250m,G1512代表高速公路编号,118km+250m代表里程数,表示从甬金高速宁波起点到达该位置的距离。
甬金(G1512)测速点区间测速:甬金高速118km+250m,甬金高速123km+700m,甬金高速132km+500m,甬金高速145m+440m,甬金高速153km+400m,甬金高速167km+000m,甬金高速181km+900m,甬金高速175km+550m。
长深(G25)测速点区间测速:长深高速2508km+500m,长深高速2542km+600m,长深高速2506km+100m,长深高速2521km+500m,长深高速2522km+900m,长深高速2527km+300m,长深高速2543km+950m。
沪昆(G60)测速点区间测速:沪昆高速258km+350m,沪昆高速312km+150m,沪昆高速321km+200m,沪昆高速331km+600m,沪昆高速337km+800m,沪昆高速272km+400m,沪昆高速350km+100m,沪昆高速上海方向(单向)293km+600m。
诸永(S26)测速点区间测速:诸永高速永嘉方向(单向)58km+143m,诸永高速64km+710m,诸永高速84km+850m,诸永高速96km+850m,诸永高速104km+510m,诸永高速111km+100m。