高等数学专项练习之常微分方程
- 格式:doc
- 大小:1.11 MB
- 文档页数:61
计 算 题(每题10分)1、求解微分方程2'22x y xy xe -+=。
2、试用逐次逼近法求方程2y x dxdy+=通过点(0,0)的第三次近似解. 3、求解方程'2x y y y e -''+-=的通解4、求方程组dx dt ydydtx y ==+⎧⎨⎪⎩⎪2的通解5、求解微分方程'24y xy x +=6、试用逐次逼近法求方程2y x dxdy-=通过点(1,0)的第二次近似解。
7、求解方程''+-=-y y y e x '22的通解8、求方程组dxdt x ydydtx y =+=+⎧⎨⎪⎩⎪234的通解9、求解微分方程xy y x '-2=24 10、试用逐次逼近法求方程2y x dxdy-=通过(0,0)的第三次近似解. 11、求解方程''+-=-y y y e x '24的通解12、求方程组dxdtx y dydtx y =+=+⎧⎨⎪⎩⎪2332的通解13、求解微分方程x y y e x (')-=14、试用逐次逼近法求方程22x y dxdy+=通过点(0,0)的第三次逼近解. 15、求解方程''+-=--y y y e x '22的通解16、求解方程x e y y y -=-+''32 的通解17、求方程组⎪⎩⎪⎨⎧-+=-+=yx dt dydtdx x y dt dy dt dx243452的通解 18、解微分方程22(1)(1)0x y dx y x dy -+-= 19、试用逐次逼近法求方程2dyx y dx=-满足初始条件(0)0y =的近似解:0123(),(),(),()x x x x ϕϕϕϕ.20、利用逐次逼近法,求方程22dyy x dx=-适合初值条件(0)1y =的近似解:012(),(),()x x x ϕϕϕ。
常微分方程试题及答案一、单项选择题(每题5分,共20分)1. 下列哪一项不是常微分方程的特点?A. 未知函数是连续的B. 未知函数是可微的C. 未知函数的导数是未知的D. 方程中包含未知函数的导数答案:A2. 常微分方程的解是指满足方程的函数,下列哪一项不是解的性质?A. 唯一性B. 存在性C. 可微性D. 可积性答案:D3. 一阶线性微分方程的一般形式是:A. \( y' + p(x)y = q(x) \)B. \( y' = p(x)y + q(x) \)C. \( y' - p(x)y = q(x) \)D. \( y' + p(x)y = q(x) \) 或 \( y' - p(x)y = q(x) \)答案:A4. 已知微分方程 \( y'' - y = 0 \) 的一个特解是 \( y = e^x \),那么它的通解是:A. \( y = C_1e^x + C_2e^{-x} \)B. \( y = C_1e^x + C_2 \)C. \( y = C_1e^x + C_2e^x \)D. \( y = C_1 + C_2e^{-x} \)答案:A二、填空题(每题5分,共20分)1. 微分方程 \( y'' + y' + y = 0 \) 的通解是 \( y = C_1e^{-x}+ C_2e^{-\frac{1}{2}x} \),其中 \( C_1 \) 和 \( C_2 \) 是常数。
2. 微分方程 \( y'' - 4y = 0 \) 的通解是 \( y = C_1\cos(2x) +C_2\sin(2x) \),其中 \( C_1 \) 和 \( C_2 \) 是常数。
3. 微分方程 \( y'' + 4y = 0 \) 的通解是 \( y = C_1\cos(2x) +C_2\sin(2x) \),其中 \( C_1 \) 和 \( C_2 \) 是常数。
高等数学题库常微分方程第6章常微分方程习题一一、填空题: 1、微分方程1sin 2=+''-'''x y y 的阶数为__________。
2、设某微分方程的通解为()xex c c y 221+=,且00==x y,10='=x y 则___________1=c ,_____________2=c 。
3、通解为xce y =(c 为任意常数)的微分方程是___________。
4、满足条件()()=+?dx x f x f x2的微分方程是__________。
5、 y y x 4='得通解为__________。
6、1+=y dxdy的满足初始条件()10=y 的特解为__________。
7、设()n c c c x y y =,,,21是微分方程12=+'-'''y y x y 的通解,则任意常数的个数__________=n 。
8、设曲线()x y y =上任意一点()y x ,的切线垂直于该点与原点的连线,则曲线所满足的微分方程为___________。
二、求下列微分方程满足初始条件的特解: 1、y y x y ln sin =',e y x ==2π2、()0sin 1cos =-+-ydy e ydx x ,40π==x y3、yx ey -='2,00==x y4、xdx y xdy y sin cos cos sin =,4π==x y三、求下列微分方程得通解:1、1222+='y y y x 2、2211y y x -='-3、0ln =-'y y y x4、by ax e dx dy+= 5、022=---'x y y y x 6、xy y dx dy x ln = 四、验证函数xe c x c y 21+=是微分方程()01=-'+''-y y x y x 的通解,并求满足初始条件1,100='-===x x y y的特解。
第六章 常微分方程与差分方程一、单项选择题1.微分方程0)'()''(3)'''(5423=++-x y y y 阶数是 ( )A.4阶 B .3阶 C .2阶 D .1阶2.微分方程222y x dxdy x +=是 ( ) A.一阶可分离变量方程 B.一阶齐次方程 C.一阶非齐次线性方程 D.一阶齐次线性方程3.下列方程中,是一阶线性微分方程的是 ( )A.0'2)'(2=+-x yy y xB.0'2=-+x yy xyC.0'2=+y x xyD.0)()67(=++-dy y x dx y x4.方程x y xy =-'满足初始条件11==x y 的特解是 ( )A.x x x y +=lnB.Cx x x y +=lnC.x x x y +=ln 2D.Cx x x y +=ln 25.微分方程y y x 2='的通解为 ( )A .2x y =B . c x y +=2C . 2cx y =D .0=y 6.微分方程y y x ='满足1)1(=y 的特解为 ( )A.x y =B. c x y +=C.cx y =D.0=y7.微分方程y xy xy -='是 ( )A 可分离变量方程B 齐次方程C 一阶齐次线性方程 D.一阶非齐次线性方程8.微分方程05))(sin(2''=+-+x y y xy y 是 ( )A 一阶微分方程B 二阶微分方程C 可分离变量的微分方程D 一阶线性微分方程9.微分方程0)()(=++-++dy e e dx e e y y x x y x 为 ( )A 齐次方程B 一阶线性齐次方程C 一阶线性非齐次方程D 可分离变量的微分方程10.下列方程中是可分离变量的微分方程的是( )A x x y x y cos )(tan '2-+=B 0ln '=--y y y xey x C dxdy xy dx dy x y =+22 D 0)cos 1(cos sin ln '=-+y x y y x xy 11.微分方程02=+'-''y y y 的一个特解是 ( )A x e x y 2=B x e y =C x e x y 3=D x e y -=A 0'''=-y yB 0'''=+y yC 0''=-y yD 0''=+y y13.微分方程052=+'+''y y y 的通解y 等于 ( )A.x c x c 2sin 2cos 21+B. )2sin 2cos (21x c x c e x +C.)2sin 2cos (21x c x c e x +-D.)2sin 2cos (21x c x c x +14.微分方程:0''=+y y 满足初始条件2|',1|00====x x y y 的特解为 ( )A x x y sin cos +=B x x y sin 2cos +=C 122++=x x yD x C x C y sin cos 21+=15.设21,y y 是二阶常系数微分方程0=+'+''qy y p y 的两个解,则下列说法不正确的是( )A .21y y +是此方程的一个解 B.21y y -是此方程的一个解C .2211y c y c +是此方程的通解 (21,c c 为任意常数)D .若21,y y 线性无关,则2211y c y c +是此方程的通解(21,c c 为任意常数)16.用待定系数法求微分方程x xe y y 2''=-的一个特解时,应设特解的形式为 ( )A.x e Bx Ax y )(2*+=B.x e B Ax y )(*+=C.B Axe y x +=*D. x e Ax y 2*=17.用待定系数法求微分方程x e y y y 396=+'-''的一个特解时,应设特解的形式为( )A.x e Ax y 32*=B.x e x y 32*=C.x Axe y 3*=D.x Ae y 3*=18.二阶线性微分方程5y 3y 4y '''=-+对应的齐次方程的特征方程为 ( )A .5342=-+r r B.0342=-+r r C.534=-+r r D.0342=-+r r r19.已知722-=x y 是微分方程32"2-=+x y y 的一个特解,则其通解为 ( )A 72sin cos 221-++=x x c x c xB 72221-++=-x ec e c x x x C 72221-++=-x ec c x x D ()72221-++=x e x c c x x 20.微分方程x xe y y y 2'"44=+-的特解形式为 ( )A x eB Ax 2)(+ B x e B Ax x 2)(+C x e B Ax x 22)(+D xe Ax 23 21.下列函数中哪组是是线性无关的 ( )A.2x ln ,x ln B.x ,x ln C.x 2ln ,x D.2x ln ,x lnA.0'''=-y yB.0'''=+y yC.0''=-y yD.0''=+y y二、填空题1.微分方程()03"')4(3=++y y y y 的阶数为______; 2.微分方程0=+y dxdy 的通解是_______ ___; 3.微分方程02=+'xy y 的通解是______________; 4.微分方程0e y y x =+'+的通解是_______ ___;5.微分方程x y sin ''=的通解是________________; 6.微分方程04'4''=+-y y y 的通解为_________;7.微分方程02'"=+y y 的通解为_____________; 8.微分方程x e y y 2'=+的通解为____________ 9.求微分方程x x e y y 2''y =+'+的特解的形式为_________________________________;10.若)(x f 是方程x y dx y d 2sin 422=+的一个特解,则方程的通解为__________________; 三.求解下列常微分方程1.0ln ln =+ydy x xdx y 2.dxdy xy y dx dy x=+3.x e y y =-' 4.0,cos 0sin ==+'=-x x y e x y y5.0)1()1(22=-+-dy x y dx y x 6.()01=+-xdy dx y7.0'=-y xy 8.y2x y 2dx dy -=9.x ey y -=+' 10.0)6(22=-+dy x y ydx11.1='+''y y 12.x y y +'=''13.1)1(,12=-=y x dx dy xy14.02='+''y y15.1x y y +='+'' 16.02'''=--y y y17.0y 'y 4''y 4=++ 18.09'6"=++y y y ,1',000====x x y y19.x e y y y 232'''=-+ 20.233'2"+=--x y y y四.已知特征方程的两个根为:i r +-=21,i r --=22,求相应的二阶常系数的齐次线性微分方程及其通解。
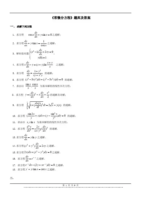
《常微分方程》题库及答案一.求解下列方程1.求方程0sin cos =+x y dxdyx之通解; 2.求方程xx y ax dy cos 1tan =+之通解; 3.解初值问题2(1)20(0)1dy x xy dx y ⎧-+=⎪⎨⎪=⎩; 4.求方程()lndy x yxy x y dx x+-=+ 之通解; 5.求方程 yx xy y dx dy 321++= 的通解; 6. 求方程 0)3()3(2323=-+-dy y x y dx xy x 的通解; 7.求由以xxx x cos ,sin 为基本解组的线性齐次方程; 8.求方程 2)(22x dx dy xdx dy y +-=的通解及奇解; 9.求方程⎰+=+xx y x dt dtt dy 02)(2))((1 的通解; 10. 求方程 0)sin ()2sin (22=-++dy y xy dx x y x 的通解; 11.求由以 x x x ln , 为基本解组的线性齐次方程; 12.求方程 2222)(12dxdy y y dx y d += 的通解. 13.求方程y y dxdyln =之通解。
14.求方程xy dxdyy x 2)(22=+之通解。
15.求方程0)(222=-+dy y x xydx 之通解。
16. 求方程y x e dxdy-=之通解。
17. 求方程0)2(=+---dy xe y dx e yy 之通解。
18. 求方程x x y y sec tan '=+之通解。
二.1.解初值问题⎪⎩⎪⎨⎧-==y x e axdyy 20)1(2.求如下微分方程组之通解:⎪⎪⎪⎩⎪⎪⎪⎨⎧-=++-=--=z x dtdz z y x dtdyz y x dt dx2. 3.求出初值问题的逐次近似解21,0y y y :2(0)0dyx y dxy =+=⎧⎪⎨⎪⎩. 4. 求出微分方程0).().(=+dy y x N dx y x M 有形如)(22y x +=ϕυ的积分因子的充要条件。
(完整版)高等数学第七章微分方程试题及答案第七章常微分方程一.变量可分离方程及其推广 1.变量可分离的方程(1)方程形式:()()()()0≠=y Q y Q x P dxdy通解()()?+=C dx x P y Q dy(注:在微分方程求解中,习惯地把不定积分只求出它的一个原函数,而任意常数另外再加)(2)方程形式:()()()()02211=+dy y N x M dx y N x M通解()()()()C dy y N y N dx x M x M =+??1221()()()0,012≠≠y N x M 2.变量可分离方程的推广形式(1)齐次方程=x y f dx dy 令u xy=,则()u f dx du x u dx dy =+= ()c x c xdxu u f du +=+=-??||ln二.一阶线性方程及其推广1.一阶线性齐次方程()0=+y x P dxdy 它也是变量可分离方程,通解()?-=dxx P Ce y ,(c 为任意常数) 2.一阶线性非齐次方程()()x Q y x P dxdy=+ 用常数变易法可求出通解公式令()()?-=dxx P ex C y 代入方程求出()x C 则得()()()[]+=??-C dx e x Q e y dx x P dx x P3.伯努利方程()()()1,0≠=+ααy x Q y x P dxdy令α-=1y z 把原方程化为()()()()x Q z x P dxdz αα-=-+11 再按照一阶线性非齐次方程求解。
4.方程:()()x y P y Q dx dy -=1可化为()()y Q x y P dydx =+ 以y 为自变量,x 为未知函数再按照一阶线性非齐次方程求解。
四.线性微分方程解的性质与结构我们讨论二阶线性微分方程解的性质与结构,其结论很容易地推广到更高阶的线性微分方程。
二阶齐次线性方程 ()()0=+'+''y x q y x p y (1)二阶非齐次线性方程 ()()()x f y x q y x p y =+'+'' (2) 1.若()x y 1,()x y 2为二阶齐次线性方程的两个特解,则它们的线性组合()()x y C x y C 2211+(1C ,2C 为任意常数)仍为同方程的解,特别地,当()()x y x y 21λ≠(λ为常数),也即()x y 1与()x y 2线性无关时,则方程的通解为()()x y C x y C y 2211+=2.若()x y 1,()x y 2为二阶非齐次线性方程的两个特解,则()()x y x y 21-为对应的二阶齐次线性方程的一个特解。
常微分方程1 .( 05,4 分)微分方程xy 2yxln x 满足y(1)22x y)= x ln x.2 .( 06,4 分) 微分方程 y= y(1 x)的通解为 ———— x分析:这是可变量分离的一阶方程,分离变量得dy( 11)dx.积分得 ln y ln x x C 1,即 y e C1xe x yxy Cxe x, 其中C 为任意常数 .(二)奇次方程与伯努利方程1 .( 97,2,5 分) 求微分方程 (3x2 2xy y 2)dx (x 22xy)dy 0的通解解:所给方程是奇次方程 . 令 y=xu, 则 dy=xdu+udx. 代入原方程得 3 ( 1+u- u 2) dx+x(1-2 u) du=0. 分离变量得1-2u2 du 3dx, 1uu x积分得 ln 1 u u 2 3ln x C 1,即 1 u u 2=Cx 3. 以 u y代入得通解 x 2xy y 2.xx( y x 2y 2)dx xdy 0(x 0),2 .(99,2,7 分 ) 求初值问题 的解 .y x1 0分析:这是一阶线性微分方程原方程变形为 . dy +2y dx x 2 dx lnx, 两边乘 e x=x 得积分得y(1)x 2y=C+ x 2 ln xdx C 1 ln xdx 3 3 1 11 得 C 0 y xln x x.9 39 C 1 x 3 ln x 3 13 x. 9 1 的解解:所给方程是齐次方程 (因 dx, dy 的系数 (y+ x 2 y 2)与 (-x)都是一次齐次函数)令 dy xdu udx,带入得x(u 1 u 2dx x( xdu udx) 0, 化简得 12u 2dx xdu 0.分离变量得dx- du=0. x 1 u 2积分得 ln x ln(u 1 u 2) C 1,即 u 1 u 2Cx. 以 u y代入原方程通解为y+ x 2 y 2 Cx 2.x 再代入初始条件 y x 1 0,得 C=1.故所求解为 y+x 2y2x 2,或写成y 12 (x 2 1).(三)全微分方程 练习题(94,1,9 分)设 f ( x)具有二阶连续导数, f (0) 0, f (0) 1,且 [xy(x+y)- f(x)y]dx+[ f (x)+x 2y]dy=0为一全微分方程,求 f(x)以及全微分方程的通解先用凑微分法求左端微分式的原函数:122 122( y dx x dy ) 2( ydx xdy ) yd (2sin x cos x) (2sin x cos x)dy 0, 22 122d [ x y 2xy y (cos x 2sin x)] 0. 2其通解为 1x 2y 2 2xy y (cos x 2sin x) C.4.( 98,3分) 已知函数y y(x)在任意点x 处的增量 y= y2 x ,当 x0时 ,1x是 x 的高阶无穷小,y(0)= ,则 y(1)等于 ( )解:由全微分方程的条件,有 即 x22xy f (x) f (x)y因而 f (x)是初值问题y x 2[xy(x y) f(x)y] y 2xy, 亦即 f (x) f (x) x 2.2yx的解,从而解得0, y x 0 12.22[ f (x) xy], x 2sin x cosx)dy 0.(A)2 .(B) .(C)e 4 .(D) e 4 .分析:由可微定义,得微分方程 y y. 分离变量得21x1y dx2,两边同时积分得 ln y arctan x C ,即 y Ce arctanx.y1x代入初始条件y(0) ,得 C= ,于是 y(x) earctanx,由此, y(1) e 4.应选 ( D)二、二阶微分方程的可降阶类型5( . 00,3分) 微分方程 x y 3y 0的通解为分析:这是二阶微分方程的一个可降阶类型,令 y =P( x),则 y =P ,方程可化为一阶线性方程xP 3P 0,标准形式为 P+3P=0,两边乘 x 3得 (Px 3) =0. 通解为 y P C 30 .xx再积分得所求通解为 y C 22C 1.x216 .( 02,3分)微分方程 yy y 2=0满足初始条件y x 01, y x 0 2的特解是分析:这是二阶的可降阶微分方程 .令 y P(y)(以 y 为自变量 ),则 y dy dP P dP.dx dx dy代入方程得 yP dP +P 2=0,即 y dP+P=0(或 P=0, ,但其不满足初始条件y x 0 1)dy dy2分离变量得 dP dy 0,PyC积分得 ln P +ln y =C ,即 P= 1(P=0对应 C 1=0); y11由 x 0时 y 1, P=y , 得 C 1 ,于是221 y P ,2 ydy dx, 积分得 y x C 2 2y .又由 y x 0 1 得 C 2. 1,所求特解为 y 1 x.三、二阶线性微分方程(一)二阶线性微分方程解的性质与通解结构7 .( 01,3分)设 y e x(C 1sin xC 2cosx)(C 1,C 2为任意常数 )为某二阶常系数线性齐次微分方程的通解,则该方程为 ___ .r1,r2 1 i,从而得知特征方程为分析一:由通解的形式可得特征方程的两个根是22(r r1 )(r r2) r (r1 r2 )r r1r2 r 2r 2 0.由此,所求微分方程为y 2y 2y 0.分析二:根本不去管它所求的微分方程是什么类型(只要是二阶),由通解y e x(C1sinx C2 cosx)求得y e x[( C1 C2 )sin x (C1 C2)cos x], y e x( 2C2 sin x 2C1 cos x),从这三个式子消去C1与C2,得y 2y 2y 0.(二)求解二阶线性常系数非齐次方程9.( 07,4分) 二阶常系数非齐次线性微分方程y 4y 3y 2e2x的通解为y=分析:特征方程24 3 ( 1)( 3) 0的根为1, 3.非齐次项 e x, 2不是特征根,非齐次方程有特解y Ae2x.代入方程得(4A 8A 3A)e2x2e2x A 2.因此,通解为y C1e x C2e3x2e2x..10.(10,10分 )求微分方程y 3y 2y 2xe x的通解.分析:这是求二阶线性常系数非齐次方程的通解.1由相应的特征方程2 3 2 0, 得特征根 1 1, 2 2 相应的齐次方程的通解为y C1e x C2e2x.2非齐次项 f ( x) 2xe x , 1是单特征根,故设原方程的特解xy x(ax b)e .代入原方程得ax2 (4a b)x 2a 2b 3[ax2 (2a b)x b] 2(ax2 bx) 2x,即 2ax 2a b 2x, a 1,b 2.3原方程的通解为y C1e x C2e2x x(x 2)e x,其中 C1,C2为两个任意常数.04, 2, 4分)微分方程y y x2 1 sin x的特解形式可设为( )22(A)y ax bx c x(Asin x B cosx).(B)y x(ax bx c Asin x B cos x).22(C)y ax bx c Asin x.(D )y ax bx c Acosx.分析:相应的二阶线性齐次方程的特征方程是2 1 0,特征根为i .y y x2 1L()与 1 y y sin xL( 2)方程 (1) 有特解 y ax2 bx c,方程(2)的非齐次项 f (x) e x sin x sin x( 0, 1,i 是特征根), 它有特解y x(Asin x B cosx).y ax2 bx c x(Asin x Bbcosx).应选 (A).(四)二阶线性变系数方程与欧拉方程12.(04, 4分 )欧拉方程x2 d2y 4x dy 2y 0(x 0)的通解为dx dx分析:建立 y 对 t 的导数与y 对 x 的导数之间的关系 .222dy dy dx dyd y d y 2 dy 2 d y dy( sin x), 2 2 sin t cost (1 x ) 2 x .dt dx dt dx dt dx dx dx dxd 2y于是原方程化为 2 y 0,其通解为 y C 1 cost C 2sint.dt 2 回到 x 为自变量得 y C 1x C 2 1 x 2.x由 y (0) C 2 1 C 2 1.y(0) C 1x 02 C 1 2.1 x 2因此 特解为 y 2x 1 x 2 .四、高于二阶的线性常系数齐次方程13.( 08, 4分)在下列微分方程中,以 y C 1e xC 2cos2x C 3 sin 2x(C 1, C 2, C 3为任意常数)为通 解的是()(A)y y 4y 4y 0.(B)y y 4y 4y 0. (C)y y 4y 4y 0.(D ) y y 4y 4y 0.分析:从通解的结构知,三阶线性常系数齐次方程相应的三个特征根是: 1, 2i(i 1),对 应的特征方程是 ( 1)( 2i)( 2i) ( 1)( 24) 3244 0,因此所求的微分方程是 y y 4y 4y 0,选(D).(00,2,3分 ) 具有特解 y 1 e x , y 2 2xe x ,y 3 3e x的三阶常系数齐次线性微分方程是( )(A)y y y y 0.(B)y y y y 0. (C)y 6y 11y 6y 0.(D)y2y y 2y 0.分析:首先,由已知的三个特解可知特征方程的三个根为 r 1 r 21,r 3 1,从而特征方程为(1)求导数 f (x); (2)证明:当 x 0时 ,成立不等式 e分析:求解欧拉方程的方法是:作自变量22d y dy d y dy 2 (4 1) 2y 0,即 2 3 2y xe t(t l n x),将它化成常系数的情形: 0.1, 2 2, 通解为 yC 1e t C 2e 2t. y C 1 x C 22,其中C 1,C 2为任意常数(05,2,12分 )用变量代换 xcost (0 t)化简微分方程 (1 x 2)y xy y 0,并求其(r 1)2(r 1) 0,即r3r 2r 1 0,由此,微分方程为y y y y 0.应选(D).五、求解含变限积分的方程00, 2,8分) 函数y=f(x)在0, 上可导,f (0) 1,且满足等式1xf (x) f (x) 1 f (t)dt 0,x10f(x) 1.求解与证明()首先对恒等式变形后两边求导以便消去积分: 1x(x 1)f (x) (x 1)f(x) 0f (t)dt 0,(x 1)f (x)(x 2)f (x)0.在原方程中令变限 x 0得 f (0) f (0) 0,由 f (0) 1,得 f (0) 1.现降阶:令 u f (x),则有 u x 2u 0,解此一阶线性方程得x1x e f (x) u C eu 0x1 x e 由 f (0) 1,得 C 1,于是 f (x) e. x1xe (2)方法 1 用单调性 . 由f (x) e0(x 0), f (x)单调减 , f(x) f(0) 1(x );x1x 又设 (x) f (x) e x ,则 (x) f (x) e x x e x0(x 0), (x)单调增,因此 (x)x1 (0) 0(x 0),即 f(x) e x(x 0) . 综上所述,当 x 0时 ,e x f (x) 1.方法 2 用积分比较定理 . 由 牛顿 -莱布尼茨公式,有六、应用问题 (一)按导数的几何应用列方程 练习题 1 .( 96,1,7分)设对任意 x 0,曲线 y f(x)上点 (x, f(x))处的切线在 y 轴上的截距等于1 xf (t)dt,求 f ( x)的一般表达式 . x 0解:曲线 y f (x)上点 (x, f ( x))处的切线方程为 Y f ( x) f ( x)( X x).令 X 0得 y 轴上的截距 Y f(x) xf (x).由题意 1x1f(t)dt f(x) xf (x) x 0x, 得x 2f(t)dt xf (x) x 2f (x)( ) 恒等式两边求导,得 f (x) f (x) xf (x) 2xf (x) x 2f ( x),即 xf (x) f (x) 0 在 ( )式中令 x 0得 0 0,自然成立 . 故不必再加附加条件. 就是说f (x)是微分方程 xy y 0的通解 . 令 y P(x),则 y P ,解 xP P 0,得 y P C 1.xf ( x) f (0) x0 f (t)dt, f(x) t 由于 0 e t1从而有 e x e t (t 0),有 0 f (x) 1. 0t e t d t 1 dt . 1 x t e t dt x e (x再积分得 y f ( x) C1 ln x C2.12( . 98,2,8分) 设 y y(x)是一向上凸的连续曲线 ,其上任意一点 (x, y)处的曲率为 1,1 y 2y P tan( x).(二 )按定积分几何应用列方程3.(97,2,8分 )设曲线 L 的极坐标方程为 r r( ), M (r, )为 L 上任一点 ,M 0(2,0)为 L 上一定点 ,若极径 OM 0,OM 与曲线 L 所围成的曲边扇形面积值等于 L 上 M 0、 M 两点间弧长值的一半, 求曲线L 的方程 .且此曲线上点 (0,1)处的切线方程为 y x 1, 求该曲线的方程,并求函数 y y( x)的极值 .解:由题设和曲率公式有y( x)向上凸 , y 0, y令 y P(x),则 y P ,方程化为 y) ,化简得 y 12. yP1 P 21, dP 分离变量得 2 dx,积分得C 1.y (0) 1即 P(0) 1,代入可得 C 1,故再积分得 y ln cos( x) C 2 又由题设可知y(0)1,代入确定 C 2 11ln 2,1y ln cos( x) 1 ln 2x , 即当 4 2,3时 ,cos( x) 0, 而3 或 时, 44cos( x)y ln cos( 40,ln cos( x)1 x) 12 ln2( 4 x34 )显然,当 x 时 ,ln cos( x) 4410, y 取最大值 1 1ln 2,显然 y 在 (3),没有极小值解:由已知条件得r 2d r 2 r 2d , 2020 两边对 求导 ,,得 r 2 r 2 r (隐式微分方程)2 ,解出 r r r 2 1,从而, L 的直角坐标方程为 x m 3y 2.1 arccos r 分离变量,得 dr r r 2 dr r r 2 1 d 1 1 d( )1 r (r 1)2 arccos 1 , 或 r dr r r 2 1d tarccos 1(r sect ) 两边积分,得 代入初始条件 r(0) 2,得 1arccos 2 1arccos r3L 的极坐标方程为 1 r cos( ) 31 co s 3si。
一,常微分方程的基本概念常微分方程:含一个自变量x,未知数y及若干阶导数的方程式。
一般形式为:F(x,y,y,.....y(n))=0 (n≠0).1. 常微分方程中包含未知函数最高阶导数的阶数称为该方程的阶。
如:f(x)(3)+3f(x)+x=f(x)为3阶方程。
2.若f(x)使常微分方程两端恒等,则f(x)称为常微分方程的解。
3.含有独立的任意个常数(个数等于方程的阶数)的方程的解称为常微分方程的通解。
如常系数三阶微分方程F(t,x(3))=0的通解的形式为:x(t)=c1x(t)+c2x(t)+c3x(t)。
4.满足初值条件的解称为它的特解(特解不唯一,亦可能不存在)。
5.常微分方程之线性及非线性:对于F(x,y,y,......y(n))=0而言,如果方程之左端是y,y,......y(n)的一次有理式,则次方程为n阶线性微分方程。
(方程线性与否与自变量无关)。
如:xy(2)-5y,+3xy=sinx 为2阶线性微分方程;y(2)+siny=0为非线性微分方程。
注:a.这里主要介绍几个主要的,常用的常微分方程的基本概念。
余者如常微分方程之显隐式解,初值条件,初值问题等概念这里予以略去。
另外,有兴趣的同学不妨看一下教材23页的雅可比矩阵。
b.教材28页第八题不妨做做。
二.可分离变量的方程A.变量分离方程1.定义:形如dxdy=f (x)φ(y)的方程,称为分离变量方程。
这里f (x ),φ(x )分别是x ,y 的连续函数。
2.解法:分离变量法⎰⎰+=c dx x f y dy)()(ϕ. (*) 说明: a 由于(*)是建立在φ(y )≠0的基础上,故而可能漏解。
需视情况补上φ(y )=0的特解。
(有时候特解也可以和通解统一于一式中)b.不需考虑因自变量引起的分母为零的情况。
例1.0)4(2=-+dy x x ydx解:由题意分离变量得:042=+-ydy x dx即:0)141(41=+--ydydx x x 积分之,得:c y x x =+--ln )ln 4(ln 41故原方程通解为:cx y x =-4)4( (c 为任意常数),特 解y=0包含在通解中(即两者统一于一式中)。
专升本高等数学(一)-常微分方程(一)(总分:91.98,做题时间:90分钟)一、{{B}}选择题{{/B}}(总题数:13,分数:26.00)1.下列方程为一阶线性微分方程的是______∙ A. (y')2+2y=x∙ B. y'+2y2=x∙ C. y'+y=x∙ D. y"+y'=x(分数:2.00)A.B.C. √D.解析:[解析] 本题主要考查微分方程的有关概念.一阶线性微分方程要求方程中所含有关未知函数的导数的最高阶数为一阶的,且未知函数及其一阶导数均为一次幂.(答案为C)2.微分方程的通解是______ A. B. C. D. 其中C为任意常数)(分数:2.00)A.B.C.D. √解析:[解析] 利用直接积分法可求得给定线性微分方程的通解 [*].(答案为D).3.微分方程y"=y的通解是______∙ A. y=C1+C2e x∙ B. y=e x+e-x∙ C. y=C1e x+C2e-x∙ D. y=Ce x+Ce-x(其中C,C1,C2为任意常数)(分数:2.00)A.B.C. √D.解析:[解析] 已知微分方程y"=y为二阶线性微分方程,其通解中应含两个独立的任意常数C1,C2.选项B、D中的函数不含有任意常数或者只含有一个任意常数,所以选项B、D是错误的,应筛去.选项A中,y=C1+C2e x中含有两个任意常数,通过求导可得y'=C2e x,y"=C2e x,代入微分方程y"=y,等式关系不成立,因此y=C1+C2e x不是微分方程y"=y的通解.选项C中,y=C1e x+C2e-x中含有两个任意常数,通过求导得y'=C1e x-C2e-x,y"=C1e x+C2e-x,代入微分方程y"=y,等式关系成立,因此y=C1e x+C2e-x是微分方程y"=y的通解.(答案为C)4.y|x=1=1的特解是______∙ A. y=e x∙ B. y=e-x∙ C. y=e x-1∙ D. y=e1-x(分数:2.00)A.B.C.D. √解析:[解析] 本小题主要考查可分离变量方程的解法,分离变量[*],两边积分,得lny=-x+C1,即原方程的通解为y=Ce-x(其中[*]).将初始条件y|x=1代入通解,得C=e,所求特解为y=e·e-x=e1-x.(答案为D)5.微分方程y"=y'的通解为______∙ A. y=C1+C2e2x∙ B. y=C1+C2e x∙ C. y=C1+C2x∙ D. y=C1x+C2x2(分数:2.00)A.B. √C.D.解析:[解析] 已知方程为二阶常系数齐次线性微分方程,其相应的齐次方程的特征方程为r2-r=0,特征根r1=0,r2=1,故原方程的通解为y=C1+C2e x.(答案为B)6.下列方程为一阶线性微分方程的是______∙ A.y'+xy3=x∙ B.xy'+y=x3∙ C.y·y'+xy=sinx∙ D.y"+5y'-6y=xe-x(分数:2.00)A.B. √C.D.解析:7.微分方程y'=的通解是______ A. B. C. D其中C为任意常数) (分数:2.00)A.B. √C.D.解析:8.微分方程y'+xy=0的通解是______ A. B. C. D.其中C为任意常数) (分数:2.00)A. √B.C.D.解析:9.微分方程ylnxdx=xlnydy满足初始条件y|x=1=1的特解是______∙ A.ln2x+ln2y=0∙ B.ln2x+ln2y=1∙ C.ln2x-ln2y=0∙ D.ln2x-ln2y=1(分数:2.00)A.B.C. √D.解析:10.微分方程y"+4y'-5y=0的通解是______∙ A.y=C1e x+C2e5x∙ B.y=C1e-x+C2e5x∙ C.y=C1e x+C2e-5x∙ D.y=C1e-x+C2e-5x(分数:2.00)A.B.C. √D.解析:11.对于微分方程y"+4y'+4y=e-2x,利用待定系数法求其特解y*时,下列特解设法正确的是______∙ A.y*=Ae-2x∙ B.y*=(Ax+B)e-2x∙ C.y*=Axe-2x∙ D.y*=Ax2e-2x(分数:2.00)A.B.C.D. √解析:12.已知二阶线性常系数齐次微分方程的通解是y=C1e-2x+C2e3x,则此方程为______∙ A.y"-y'+6y=0∙ B.y"-y'-6y=0∙ C.y"+y'-6y=0∙ D.y"+y'+6y=0(分数:2.00)A.B. √C.D.解析:13.已知二阶线性常系数齐次微分方程的两个特解是y1=1与y2=e2x,则此方程为______∙ A.y"-2y'=0∙ B.y"+2y'=0∙ C.y"-3y'+2y=0∙ D.y"+3y'+2y=0(分数:2.00)A. √B.C.D.解析:二、{{B}}填空题{{/B}}(总题数:11,分数:22.00)14.微分方程xy'=1的通解为______.(分数:2.00)填空项1:__________________ (正确答案:ln|x|+C)解析:[解析] 本小题主要考查可分离变量方程的解法. [*] y=ln|x|+C.15.微分方程y'=x的通解为______.(分数:2.00)填空项1:__________________ (正确答案:[*])解析:[解析] 本题主要考查求解可分离变量微分方程. [*],即dy=xdx,则[*]16.y|x=2=4的特解为______.(分数:2.00)填空项1:__________________ (正确答案:x2+y2=20)解析:[解析] 本题主要考查求解可分离变量方程微分方程,分离变量ydy=-xdx,两边积分[*],即方程的通解为x2+y2=C(其中C=2C1).将初始条件y|x=2=4代入通解,得C=20,所求的特解为x2+y2=20.17.微分方程y'-y=1的通解为______.(分数:2.00)填空项1:__________________ (正确答案:y=Ce x-1)解析:[解析] 本题给定方程是可分离变量的微分方程,也是一阶线性微分方程.解法Ⅰ [*],ln(y+1)=x+C1,y+1=Ce x(其中[*]),即通解为y=Ce x-1.解法Ⅱ p(x)=-1,q(x)=1.y=e-∫p(x)dx[∫q(x)e∫p(x)dx dx+C]-e∫dx[∫e∫dx dx+C]=e x[∫e-x dx+C]=e x[-e-x+C]=Ce x-1.18.微分方程xyy'=1-x2的通解为 1.(分数:2.00)填空项1:__________________ (正确答案:x2+y2=2lnx+C)解析:19. 1.(分数:2.00)填空项1:__________________ (正确答案:e-y=e-x+C)解析:20.微分方程y'-3y=0的通解为 1.(分数:2.00)填空项1:__________________ (正确答案:y=Ce3x)解析:21.设y1(x),y2(x)是二阶线性常系数微分方程y"+py'+qy=0的两个线性无关的解,则它的通解为 1.(分数:2.00)填空项1:__________________ (正确答案:y=C1y1(x)+C2y2(x))解析:22.微分方程y"-3y'+2y=0的通解是 1.(分数:2.00)填空项1:__________________ (正确答案:y=C1e x+C2e2x)解析:23.微分方程y"-6y'+9y=0的通解是 1.(分数:2.00)填空项1:__________________ (正确答案:y=(C1+C2x)e3x)解析:24.微分方程y"+2y'+5y=0的通解是 1.(分数:2.00)填空项1:__________________ (正确答案:y=e-x(C1cos2x+C2sin2x))解析:三、{{B}}解答题{{/B}}(总题数:3,分数:44.00)设曲线y=f(x)上任一点(x,y)处的切线斜率为,(分数:4.00)(1).求函数y=f(x)(分数:2.00)__________________________________________________________________________________________ 正确答案:([*], [*].由[*]知C=0,故[*].)解析:(2).求由曲线y=f(x),y=0,x=1所围图形绕x轴旋转一周所得旋转体的体积V(分数:2.00)__________________________________________________________________________________________ 正确答案:([*].)解析:设函数y=f(x)(分数:35.98)(1).求函数y=f(x)的表达式(分数:2.57)__________________________________________________________________________________________ 正确答案:(方程可化为[*],则[*].将初始条件y|x=1=0代入得C=-1,故[*].)解析:(2).讨论函数y=f(x)在(0,+∞)内的单调性(分数:2.57)__________________________________________________________________________________________ 正确答案:(因[*],故[*]在(0,+∞)内单调增加.)解析:(3).求连续函数f(x),使其满足.(分数:2.57)__________________________________________________________________________________________ 正确答案:(对关系式两边求导,得f'(x)+2f(x)=2x.这是标准形式的一阶线性微分方程,其中p(x)=2,q(x)=2x.其通解为y=e-∫p(x)dx[∫q(x)e-∫p(x)dx dx+C]=e-∫2dx[∫2x·e2dx dx+C]=e-2x·[∫2x·e2x dx+C]=e-2x·[xe2x-∫e2x dx+C]=e-2x[*],由关系式[*],令x=0,得f(0)=0代入通解,得[*],所以所求函数为[*].)解析:(4).设y=e x是微分方程xy'+g(x)y=x的一个解,求此微分方程满足初始条件y|x=ln2=0的特解.(分数:2.57)__________________________________________________________________________________________ 正确答案:(将解y=e x代入给定的微分方程,有xe x+g(x)e x=x,解得g(x)=x(e-x-1).代入原方程,得y'+(e-x-1)y=1.这是一个一阶线性微分方程的标准形式,其中p(x)=e-x-1,q(x)=1,则其通解[*].将初始条件y|x=ln2=0代入通解,得[*],所以所求的特解为[*])解析:(5).求解下列微分方程.求微分方程y-y'=1+xy'的通解.(分数:2.57)__________________________________________________________________________________________ 正确答案:(y-1=C(x+1))解析:(6).求解下列微分方程.满足初始条件y|x=0=0的特解.(分数:2.57)__________________________________________________________________________________________ 正确答案:([*])解析:(7).求解下列微分方程. 2.57)__________________________________________________________________________________________ 正确答案:([*])解析:(8).求解下列微分方程.求微分方程cosx·y'-sinx·y=cos2x满足初始条件y|x=π=1的特解.(分数:2.57)__________________________________________________________________________________________ 正确答案:([*])解析:(9).设f(x)f(x).(分数:2.57)__________________________________________________________________________________________ 正确答案:(本题给定的关系式中含有变上限定积分,通过等式两边同时微分的方法,根据变上限定积分求导定理将给定的关系式转化为微分方程.[*],xf(x)=f'(x)+2x,整理为一阶线性微分方程的标准形式y'-xy=-2x,其中p(x)=-x,q(x)=-2x,y=e-∫p(x)dx[∫q(x)e∫p(x)dx dx+C]=e∫xdx[∫-2xe-∫xdx dx+C][*]把x=0代入[*],得f(0)=0.把初始条件f(0)=0代入方程的通解[*],得C=-2,所求的函数为[*].)解析:(10).求解二阶常系数线性非齐次微分方程.求微分方程y"+y'-2y=e-x的通解.(分数:2.57)__________________________________________________________________________________________ 正确答案:([*])解析:(11).求解二阶常系数线性非齐次微分方程.求微分方程y"+6y'+5y=e-x的通解.(分数:2.57)__________________________________________________________________________________________ 正确答案:([*])解析:(12).求解二阶常系数线性非齐次微分方程.求微分方程y"-2y'+y=e x的通解.(分数:2.57)__________________________________________________________________________________________ 正确答案:([*])解析:(13).求解二阶常系数线性非齐次微分方程.求微分方程y"-2y'-3y=x+1的通解.(分数:2.57)__________________________________________________________________________________________ 正确答案:([*])解析:(14).设f(x)为连续函数,求f(x).(分数:2.57)__________________________________________________________________________________________ 正确答案:(本题给定的关系式中含有变上限定积分,通过等式两边同时微分的方法,根据变上限定积分求导定理将给定的关系式转化为微分方程.[*]对于上式左右两边再对x求导,有f"(x)=6x+f(x),即f"(x)-f(x)=6x,此为二阶常系数非齐次线性微分方程.为了求解需先确定初始条件:取x=0代入f(x)=x3+1+[*],得f(0)=03+1+[*],即得f(0)=1.取x=0代入关系式f'(x)=3x2+[*],得[*],即得f'(0)=0.原题转化为求解二阶常系数非齐次线性微分方程f"(x)-f(x)=6x在初始条件f(0)=1,且f'(0)=0下的特解.其对应的齐次方程为f"(x)-f(x)=0.特征方程为r2-1=0,特征根为r=±1,齐次方程的通解为Y=C1e-x+C2e x.自由项f(x)=6x,其中P m(x)=6x,m=1,α=0不是特征根,设非齐次线性方程的特解y*=Ax+B,y*'=A,y*"=0代入微分方程f"(x)-f(x)=6x,得A=-6,B=0,得非齐次线性方程的特解为y*=-6x.所以微分方程f"(x)-f(x)=6x的通解为f(x)=C1e-x+C2e x-6x,将初始条件f(0)=1,且f'(0)=0代入得[*].所以[*].)解析:已知可导函数y=f(x)满足关系式y"+y'=0,且其图形在点(0,0)处的切线与直线x-y=1平行.(分数:4.00)(1).求f(x)(分数:2.00)__________________________________________________________________________________________ 正确答案:(由题意可知本题实际上是求二阶常系数齐次线性微分方程y"+y'=0在一定初始条件下的特解.二阶常系数齐次线性微分方程的特征方程是r2+r=0,特征根为r1=0,r2=-1,齐次方程的通解为y=C1+C2e-x.y'=-C2e-x,y'(0)=-C2.由题意有y(0)=C1+C2=0,已知直线x-y=1的斜率k=1.由平行条件可知y'(0)=-C2=1,解得C1=1,C2=-1,所求函数y=f(x)=1-e-x.)解析:(2).求曲线y=f(x),与直线x=1,y=0所围成的平面图形的面积S.(分数:2.00)__________________________________________________________________________________________ 正确答案:([*])解析:。
应 用 题(每题10分)1、设在上有定义且不恒为零,又存在并对任意恒有()f x (,)-∞∞()f x ',x y ,求。
()()()f x y f x f y +=()f x 2、设,其中函数在内满足以下条件()()()F x fx g x =(),()f x g x (,)-∞∞()(),()(),(0)0,()()2xf xg x g x f x f f x g x e ''===+=(1)求所满足的一阶微分方程;()F x (2)求出的表达式。
()F x 3、已知连续函数满足条件,求。
()f x 320()3x xt f x f dt e ⎛⎫=+ ⎪⎝⎭⎰()f x 4、已知函数在内可导,,且满足()f x (0,)+∞()0,lim ()1x f x f x →+∞>=,求。
110()lim ()h x h f x hx e f x →⎛⎫+ ⎪= ⎪⎪⎝⎭()f x 5、设函数在内连续,,且对所有,满足条件()f x (0,)+∞5(1)2f =,(0,)x t ∈+∞,求。
111()()()xt x tf u du t f u du x f u du =+⎰⎰⎰()f x 6、求连续函数,使它满足。
()f x 1()()sin f tx dt f x x x =+⋅⎰7、已知可微函数满足,试求。
()f t 31()()1()xf t dt f x t f t t =-+⎰()f x 8、设有微分方程 , 其中。
试求在内的连续函'2()y y x ϕ-=21()01x x x ϕ<⎧=⎨>⎩(,)-∞∞数使之在和内部满足所给方程,且满足条件。
()y y x =(,1)-∞()1,+∞(0)0y =9、设位于第一象限的曲线过点,其上任一点处的法线与轴()y f x =12⎫⎪⎪⎭(,)P x y y 的交点为Q ,且线段PQ 被轴平分。
《常微分⽅程》练习题库参考答案江苏师范⼤学数学教育专业《常微分⽅程》练习测试题库参考答案⼀、判断说明题1、在线性齐次⽅程通解公式中C 是任意常数⽽在常数变易法中C (x )是x 的可微函数。
将任意常数C 变成可微函数C (x ),期望它解决线性⾮齐次⽅程求解问题,这⼀⽅法成功了,称为常数变易法。
2、因p(x)连续,y(x)= y 0exp(-dx xx p(x))在p(x)连续的区间有意义,⽽exp(-dx xx p(x))>0。
如果y 0=0,推出y(x)=0,如果y(x)≠0,故零解y(x)=0唯⼀。
3、(1)它是常微分⽅程,因为含有未知函数的导数,f,g 为已知函数,y 为⼀元函数,所建⽴的等式是已知关系式。
(2)它是常微分⽅程,理由同上。
(3)它不是常微分⽅程,因y 是未知函数,y(y(y(x)))也是未知的,所建⽴的等式不是已知关系式。
4、微分⽅程求解时,都与⼀定的积分运算相联系。
因此,把求解⼀个微分⽅程的过程称为⼀个微分⽅程。
微分⽅程的解⼜称为(⼀个)积分。
5、把微分⽅程的通解⽤初等函数或通过它们的积分来表达的⽅法。
注意如果通解能归结为初等函数的积分表达,但这个积分如果不能⽤初等函数表⽰出来,我们也认为求解了这个微分⽅程,因为这个式⼦⾥没有未知函数的导数或微分。
6、 y `=f(x,y)主要特征是f(x,y)能分解为两个因式的乘积,其中⼀个因式仅含有x,另⼀因式仅含y ,⽽⽅程p(x,y)dx+q(x,y)dy=0是可分离变量⽅程的主要特征,就像f(x,y)⼀样,p,q 分别都能分解成两个因式和乘积。
7、⼆元函数f(x,y)满⾜f(rx,ry)=r mf(x,y),r.>0,则称f(x,y)为m 次齐次函数。
m=0则称它为0次齐次函数。
8、如果f(x,y)是0次齐次函数,则y `=f(x,y)称为齐次⽅程。
如果p(x,y)和q(x,y)同为m 次齐次函数,则pdx+qdy=0为齐次⽅程。
一、 填空题。
1. 方程23210d xx dt +=是 阶 (线性、非线性)微分方程. 2. 方程()x dyf xy y dx=经变换_______,可以化为变量分离方程 .3. 微分方程3230d yy x dx--=满足条件(0)1,(0)2y y '==的解有 个. 4. 设常系数方程x y y y e αβγ'''++=的一个特解*2()x x xy x e e xe =++,则此方程的系数α= ,β= ,γ= .5. 朗斯基行列式()0W t ≡是函数组12(),(),,()n x t x t x t L 在a x b ≤≤上线性相关的条件.6. 方程22(2320)0xydx x y dy ++-=的只与y 有关的积分因子为 .7. 已知()X A t X '=的基解矩阵为()t Φ的,则()A t = .8. 方程组20'05⎡⎤=⎢⎥⎣⎦x x 的基解矩阵为 .9.可用变换 将伯努利方程 化为线性方程.10 .是满足方程251y y y y ''''''+++= 和初始条件 的唯一解.11.方程 的待定特解可取 的形式:12. 三阶常系数齐线性方程20y y y '''''-+=的特征根是二、 计算题1.求平面上过原点的曲线方程, 该曲线上任一点处的切线与切点和点(1,0)的连线相互垂直.2.求解方程13dy x y dx x y +-=-+.3. 求解方程222()0d x dxx dt dt+= 。
4.用比较系数法解方程. .5.求方程 sin y y x'=+的通解.6.验证微分方程22(cos sin )(1)0x x xy dx y x dy -+-=是恰当方程,并求出它的通解.7.设3124A -⎡⎤=⎢⎥-⎣⎦ , ⎥⎦⎤⎢⎣⎡-=11η ,试求方程组X A dt dX =的一个基解基解矩阵)(t Φ,求X A dtdX=满足初始条件η=)0(x 的解.8. 求方程2213dyx y dx=-- 通过点(1,0) 的第二次近似解.9.求 的通解10.若 试求方程组的解(),t ϕ 12(0),ηϕηη⎡⎤==⎢⎥⎣⎦并求expAt三、证明题1. 若(),()t t Φψ是()X A t X '=的基解矩阵,求证:存在一个非奇异的常数矩阵C ,使得()()t t C ψ=Φ.2. 设),()(0βαϕ≤≤x x x 是积分方程],[,,])([)(0200βαξξξξ∈++=⎰x x d y y x y xx的皮卡逐步逼近函数序列)}({x n ϕ在],[βα上一致收敛所得的解,而)(x ψ是这积分方程在],[βα上的连续解,试用逐步逼近法证明:在],[βα上)()(x x ϕψ≡.3. 设 都是区间 上的连续函数, 且 是二阶线性方程的一个基本解组. 试证明:(i) 和 都只能有简单零点(即函数值与导函数值不能在一点同时为零);(ii) 和 没有共同的零点;(iii) 和 没有共同的零点.4.试证:如果)(t ϕ是AX dtdX=满足初始条件ηϕ=)(0t 的解,那么ηϕ)(ex p )(0t t A t -=.答案一.填空题。
第11章 常微分方程习题课一. 内容提要1.基本概念含有一元未知函数)(x y (即待求函数)的导数或微分的方程,称为常微分方程;其中出现的)(x y 的最高阶导数的阶数称为此微分方程的阶;使微分方程在区间I 上成为恒等式的函数=y )(x ϕ称为此微分方程在I 上的解;显然一个微分方程若有解,则必有无穷多解;若n 阶微分方程的解中含有n 个不可合并的任意常数,则称其为此微分方程的通解;利用n 个独立的附加条件(称为定解条件)定出了所有任意常数的解称为特解;微分方程连同定解条件一起,合称为一个定解问题;当定解条件是初始条件(给出)1(,,,-'n y y y Λ在同一点0x 处的值)时,称为初值问题.2.一阶微分方程),(y x f y ='的解法(1)对于可分离变量方程)()(d d y x xy ψϕ=, 先分离变量(当0)(≠y ψ时)得x x y ψy d )()(d ϕ=, 再两边积分即得通解 C x x y y +=⎰⎰d )()(d ϕψ.(2)对于齐次方程d d y y f x x ⎛⎫= ⎪⎝⎭, 作变量代换x y u =,即xu y =,可将其化为可分离变量的方程,分离变量后,积分得C x x u u f u +=-⎰⎰d )(d ,再以xy 代替u 便得到齐次方程的通解.(3)形如)(111d d c y b x a c by ax f x y ++++=的方程, ①若1,c c 均为零,则是齐次方程;②若1,c c 不全为零,则不是齐次方程,但当k b b a a ==11时,只要作变换y b x a v 11+=,即可化为可分离变量的方程111)(d d a c v c kv f b x v +++=; 当11b b a a ≠时,只要作平移变换⎩⎨⎧-=-=00y y Y x x X ,即⎩⎨⎧+=+=00y Y y x X x (其中),(00y x 是线性方程组⎩⎨⎧=++=++0 0111c y b x a c by ax 的惟一解),便可化为齐次方程)(d d 11Yb X a bY aX f X Y ++=. (4)全微分方程若方程0d ),(d ),(=+y y x Q x y x P 之左端是某个二元函数),(y x u u =的全微分,则称其为全微分方程,显然C y x u =),(即为通解,而原函数),(y x u 可用曲线积分法、不定积分法或观察法求得. 通常用充要条件xQ y P ∂∂=∂∂来判定0d ),(d ),(=+y y x Q x y x P 是否为全微分方程.对于某些不是全微分方程的0d ),(d ),(=+y y x Q x y x P ,可乘上一个函数),(,y x μ使之成为全微分方程0d ),(d ),(=+y y x Q x y x P μμ(注意到当0),(≠y x μ时0d ),(d ),(=+y y x Q x y x P μμ与原方程同解),并称),(,y x μ为积分因子;一般说来,求积分因子比较困难,但有时可通过观察得到.(5)一阶线性微分方程)()(x Q y x p y =+'的通解公式当)(x Q 不恒为零时,称其为一阶线性非齐次微分方程;当)(x Q 恒为零,时,即0)(=+'y x p y 称为一阶线性齐次微分方程,这是一个可分离变量的方程,易知其通解为⎰=-x x p C Y d )(e ;由此用“常数变易法”即可得到非齐次微分方程的通解)(d e )(e d )(d )(⎰⎰+⎰=-x x Q C y x x p x x p .(6)对于Bernoulli 方程n y x Q y x p y )()(=+' (1,0≠n ),只需作变换n y z -=1,即可化为一阶线性方程)()1()()1(d d x Q n z x p n xz -=-+. 3.高阶方程的降阶解法以下三种方程可通过变量代换降成一阶方程再求解:(1)对于方程)()(x f y n =,令)1(-=n y z 化为)(x f z =';在实际求解中,只要对方程连续积分n 次,即得其通解n n n n C x C x C x x f x y ++++=--⎰⎰111d )(d Λ4434421Λ次. (2)对于),(y x f y '=''(不显含y ),作变换y P '=,则P y '='',于是 化一阶方程),(P x f P =';显然对),()1()(-=n n y x f y 可作类似处理.(3)对于),(y y f y '=''(不显含x ),作变换y P '=,则y P P y d d ='',于是可化为一阶方程),(d d P y f yP P =.4.线性微分方程解的结构(1)线性齐次微分方程解的性质对于线性齐次微分方程来说,解的线性组合仍然是解.(2)线性齐次微分方程解的结构若n y y y ,,,21Λ是n 阶线性齐次微分方程的线性无关的解,则其通解为n n y c y c y c Y +++=Λ2211.(3)线性非齐次微分方程解的结构线性非齐次微分方程的通解y ,等于其对应的齐次方程的通解Y 与其自身的一个特解*y 之和,即*+=y Y y .(4)线性非齐次微分方程的叠加原理1ο设*k y (m k ,,2,1Λ=)是方程)()()()(1)1(1)(x f y x p y x p y x p y k n n n n =+'+++--Λ的解,则∑=*mk k y 1是方程∑=--=+'+++mk k n n n n x f y x p y x p y x p y11)1(1)()()()()(Λ 的解. 2ο若实变量的复值函数)(i )(x v x u +是方程=+'+++--y x p y x p y x p y n n n n )()()(1)1(1)(Λ)(i )(21x f x f + 的解,则此解的实部)(x u 是方程)()()()(11)1(1)(x f y x p y x p y x p y n n n n =+'+++--Λ的解;虚部)(x v 是方程)()()()(21)1(1)(x f y x p y x p y x p y n n n n =+'+++--Λ的解.(5)线性非齐次方程的解与对应的齐次方程解的关系线性非齐次方程任意两个解的差是对应的齐次方程的解.5.常系数线性微分方程的解法(1)求常系数线性齐次微分方程通解的“特征根法”1ο写出01)1(1)(=+'+++--y p y p y p y n n n n Λ的特征方程0111=++++--n n n n p r p r p r Λ,并求特征根;2ο根据特征根是实根还是复根以及重数写出通解中对应的项(见(2)下列两种情况可用“待定系数法”求常系数线性非齐次方程的特解ο1对于x m x P x f λe )()(=,应设特解x m k x Q x y λe )(=*x m m m m k a x a x a x a x λ)e (1110++++=--Λ, 其中k 等于λ为特征根的重数(n k ≤≤0),01,,,m a a a L 是待定系数.将*y 代入原方程,可定出01,,,m a a a L ,从而求得*y .ο2对于()e [()cos sin ]x l s f x P x x P x λωω=+ (0≠ω),应设特解 ]sin )(cos )([e x x T x x R x y m m x k ωωλ+=*,其中k 等于i μλω=+为特征根的重数(20n k ≤≤),)(),(x T x R m m 是待定的},max{s l m =次多项式.将*y 代原方程,即可定出)(),(x T x R m m ,从而求得*y .或因为()e [()cos ()sin ]x l s f x P x x P x x λωω=+Re e (()i ())(cos isin )x l s Px P x x x λωω⎡⎤=-+⎣⎦ (i )Re ()e x m Q x λω+⎡⎤=⎣⎦(其中()m Q x ()i ()l s P x P x =-是max{,}m l s =次的复系数多项式).对于方程()(1)11n n n n y p y p y p y --'++++=L (i )()e x m Q x λω+可设其特解 (i )()e k x m Y x Z x λω*+=,(()m Z x 是m 次待定复系数多项式,k 等于i μλω=+为特征根的重数),将(i )()e k x m Y x Z x λω*+=代入方程()(1)11n n n n y p y p y p y --'++++=L (i )()e x m Q x λω+中,可定出()m Z x ,于是(i )()e k x m Y x Z x λω*+=,从而原方程的特解Re y Y **=.3o 特例(i )()(1)(i )11()e ()cos ()e ()sin ()e ,()e x x l l x l n n x n n l f x P x x f x P x x Y Z x y p y p y p y P x λλλωλωωω*+-+-==='++++=L 当或时,设将其代入,求得,Re Im .Y y Y y Y *****==则原方程的一个特解或6.Euler 方程的解法(1) 形如)(1)1(11)(x f y p y x p y x p y x n n n n n n =+'+++---Λ的线性变系数微分方程称为Euler 方程,是一种可化为常系数的变系数微分方程.(2) 解法只需作变换 t x e =,即x t ln =,即可将其化为常系数线性微分方程.若引入微分算子td d D =,则 y y x D =',y y x )1D(D 2-='',,Λy n y x n n )1(D )1D(D )(+--=Λ, 于是很容易写出对应的齐次方程的特征方程.7. 应用常微分方程解决实际问题的一般步骤(1) 在适当的坐标系下,设出未知函数)(x y y =,据已知条件写出相关的量;(2) 根据几何、物理、经济及其它学科的规律(往往是瞬时规律或局部近似规律)建立微分方程;(3) 提出定解条件;(4) 求定解问题的解;(5) 分析解的性质,用实践检验解的正确性.二.课堂练习(除补充题外,均选自复习题12)1.填空题(1)已知2e 1x y =及2e 2x x y =是方程0)24(42=-+'-''y x y x y 的解,则其通解为 )(e 212x C C x +.解:因2e 1x y =,2e 2x x y =都是解,且线性无关,故)(e 212x C C x +是通解.(2)设一质量为m 的物体,在空气中由静止开始下落 .若空气阻力为v k R =,则其下落的距离s 所满足的微分方程是s g m ''=, 初始条件是 (0)0,(0)0 s s '==. 解:因为ma F =,而v k mg F -=,s v '=,s a ''=,故得方程s m s k mg ''='-,化简得g s mk ='+''s ; 在如图所示的坐标系下,初始条件为 0)0(,0)0(='=s s . (3)微分方程x x y y y e 62=+'-''的特解*y 的形式为 )e ( 2x b ax x +.解: 因为特征方程为0122=+-r r ,121==r r ,而1=λ是二重特征根,故应设x b ax x y )e (2+=*.(4)若x x x x y x y x y 522322221e e ,e ,++=+==都是线性非齐次微分方程)()()(x f y x q y x p y =+'+''的解,则其通解为25212 e e x x C C x ++.解:由线性非齐次方程的解与对应的齐次方程解的关系可O s (0)s ()s t知,x y y Y 2121e =-=, x y y Y 5232e =-=都是对应的齐次方程的解,且线性无关,故对应的齐次方程的通解为x x C C Y C Y C Y 52212211e e +=+=;由非齐次方程解的结构得其通解252211e e x C C y Y y x x ++=+=.(5)(补充)已知)(x f 满足⎰+=x t t f t x xf 0 2d )(1)(,则221() e x f x x =.解:两边对x 求导得)()()(2x f x x f x x f ='+,整理得()1()()f x x f x x'=-, 分离变量后积分得c x x x f ln ln 2)(ln 2+-=,即22e )(x x c x f =,0≠x ; 又当1=x 时,)1e (1d e 1)1(211 0 222-+=+=⎰c t t c t f t ,即c c c -+=2121e 1e 故1=c ,所以22e 1)(x xx f =. (6)(补充)设)(x f 有连续导数,且1)0(=f .若曲线积分⎰-+L y x x f x x yf 2d ])([d )(与路径无关,则 22e 3 )(--=x x f x .解: 记2)(),(x x f Q x yf P -==.因为积分与路径无关,故有xQ y P ∂∂=∂∂,即x x f x f 2)()(-'=,亦即x x f x f 2)()(=-'.它的通解为 ]d e 2[e ]d e 2[e )(d d c x x c x x x f x x x x +=+⎰⎰=⎰⎰--x c x e 22+--=. 由1)0(=f 得3=c ,于是22e 3)(--=x x f x .2π4(),=()1(0)π,(1) πe .y x y y x x y o x x y y αα∆=∆=+∆+==(7)(补充)已知在任意点处的增量其中, 则解:由题设知,2d .d 1y y x x =+ arctan 12π4d d ln arctan ,e .1(0)ππ,(1)πe .x y xy x C y C y xy C y ==+=+===分离变量得,积分得即由得故2.选择题(1)函数221e c x c y +=(21,c c 为任意常数)是微分方程02=-'-''y y y 的(A) 通解. (B)特解.(C)不是解. (D)解,但不是通解,也不是特解.答( D )解:因为221e c x c y +=x c 2e =,经检验是解,但含有任意常数,故不是特解,又因为只含一个独立的任意常数,故也不是通解.(2)微分方程x y y 2sin 222='-'',其特解形式为=*y(A)x C x B A 4sin 4cos ++. (B)x Cx x Bx A 4sin 4cos ++.(C)x C x B Ax 4sin 4cos ++. (D)x Cx x Bx Ax 4sin 4cos ++. 答( C)解:x y y 2sin 222='-''1cos 4x =-,特解为***+=21y y y .因为022=-r r ,2,021==r r ,而0=λ是特征方程的单根,故应设Ax y =*1;而i 4i =+ωλ不是特征方程根,故应设x C x B y 4sin 4cos 2+=*,因此***+=21y y y x C x B Ax 4sin 4cos ++=.(3)微分方程x y x y y x d )45(d )2(+=-是(A)一阶线性齐次方程. (B)一阶线性非齐次方程.(C)齐次方程. (D)可分离变量方程.答( C )解:原方程可化为x yx y yx y x x y -⋅+=-+=245245d d .(4)(补充)具有特解x y -=e 1,x x y -=e 22, x y e 33=的三阶常系数线性齐次微分方程是(A)0=+'-''-'''y y y y . (B)0=-'-''+'''y y y y . (C)0=-'+''-'''y y y y . (D)0=+'-''+'''y y y y .答( B )解: 由方程的特解可知,其特征根为1,1321=-==r r r ,于是特征方程为0)1()1(2=-+r r 即0123=--+r r r ,故方程为0=-'-''+'''y y y y .(5)(补充)方程09=+''y y 通过点)1,(-π且在该点处与直线1πy x +=-相切的积分曲线为(A)x C x C y 3sin 3cos 21+=. (B)x C x y 3sin 3cos 2+=. (C)x y 3cos =. (D)x x y 3sin 313cos -=.答( D) 解:因为092=+r ,i 32,1±=r ,故通解为x C x C y 3sin 3cos 21+=.由初始条件1)(,1)(='-=ππy y 得31,121-==C C ,所以所求积分曲线为 x x y 3sin 313cos -=.(6)(补充) 方程x y y x sin 3e )4(+=-的特解应设为 (A)x B A x sin e +.(B)x C x B A x sin cos e ++.(C)x C x B Ax x sin cos e ++. (D))sin cos e (x C x B A x x ++.答(D)解:对应的齐次方程的特征方程为014=-r ,特征根为 i ,i ,1 ,14321-==-==r r r r .令)()(sin 3e )(21x f x f x x f x +=+=.对于x x f e )(1=,因1=λ是 单特征根,故设x Ax y e 1=*;对于x x f sin 3)(2=,因i i μλω=+=是单特征 根,故设)sin cos (2x C x B x y +=*;从而)sin cos e (21x C x B A x y y y x ++=+=***. (7)(06考研)函数212e e e x x x y C C x -=++满足的一个微分方程是 (A)23e x y y y x '''--=. (B) 23e x y y y '''--=. (C) 23e x y y y x '''+-=. (D) 23e x y y y '''+-=.答(D)解:因为121,2r r ==-,即特征方程为220r r +-=,故排除(A )、 (B ).由1λ=是特征方程的单根,知()e x f x A =,故排除(C ). 3.求下列方程的通解(2) ()x y y x y -=ln 2d d ; 解:方程化为y yx y y x ln 22d d =+,是一阶线性方程.⎥⎦⎤⎢⎣⎡+⎰⎰=⎰-C y y y x y y yyd e ln 2e d 2d 12⎥⎦⎤⎢⎣⎡+⋅=⎰C y y y y y d ln 2122 ⎥⎦⎤⎢⎣⎡+⎪⎭⎫⎝⎛-=C y y y y 22241ln 2121221ln -+-=Cy y .(5)0d d d d 22=+-++y x yx x y y y x x ;解:原方程可化为()()0arctan d 21d 21d 22=⎪⎭⎫⎝⎛++y x y x ,故通解为C yx y x =++arctan 212122. (10) y x x y +=+'2.解:设y x u +=2,即y x u +=22,则x xu u x y2d d 2d d -=.代入原方程得 ⎪⎭⎫ ⎝⎛+=121d d u x x u .此为齐次方程,再设xu v =,则x v x v x u d d d d +=,故方程化为v v x v x v 21d d +=+.分离变量为 x x v v v v d 112d 22-=--,两边积分得 ()()()12ln ln 1ln 3112ln 3112ln 21C x v v v v +-=⎥⎦⎤⎢⎣⎡-++---.代回原变量并整理得 ()C xy x y x ++=+23332.4.求下列微分方程满足所给初始条件的特解(1)()0d 2d 223=-+y xy x x y ,11==x y;解:原方程化为()2232d d x xy y x y -=,即2322d d x yx y y x -=-.令1-=x Z ,得322d d yZ y y Z =+.⎪⎪⎭⎫ ⎝⎛+⎰⎰=⎰-C y y Z y yyyd e 2ed 23 d 2()C y y +=ln 212,即 ()C y y x +=ln 2112,故通解为()C y x y +=ln 22.由11==x y,得1=C ,所以特解为 ()1ln 22+=y x y . (3)02sin 2=-''y y ,()20π=y ,()10='y ;解:令y P '=,则y P P y d d ='',原方程化为 y y yP P cos sin 2d d 2=,即y y P P sin d sin 2d 2=.积分得 C y P +=22sin .由()20π=y ,()10='y ,得0=C ,故y P y sin =='.解之得C x y+=2tan ln .由()20π=y ,0=C .故特解为 x y e arctan 2=.5(补充).设x y e =是微分方程x y x p y x =+')(的一个解,求此微分方程满足条件0)2(ln =y 的特解.解:将x y e =代入微分方程得)(e x p x x +x x =e ,解之得x x x p x -=-e )(,于是此微分方程为x y x x y x x =-+'-)e (,即1)1e (=-+'-y y x .其对应的齐次方程的通解为xxC Y +-=ee ,于是此微分方程的通解为xxx C y e ee +=+-.由0)2(ln =y 得21e--=C ,故特解为21e ee -+--=x xx y .6(补充).设)(:x y y L =是一条向上凸的连续曲线,其上任意一点),(y x 处的曲率为211y '+,且此曲线上点)1,0(处的切线方程为1+=x y ,求该曲线的方程.解:因为曲线向上凸,故0<''y ,于是有='+''-32)1(y y 211y '+,化简得二阶方程)1(2y y '+-=''.令y P '=,则P y '='',故方程化为)1(2P P +-='.分离变量后积分得x C P -=1arctan .由题设有1)0()0(='=y P ,于是可定出41π=C ,所以πtan()4y P x '==-,再积分得2πln cos()4y x C =-+.由1)0(=y 得2ln 2112+=C ,因此该曲线:L π1ln cos()1ln 242y x =-++. 7(补充).某湖泊的水量为V ,每年排入湖泊内含污染物A 的污水量为6V ,流入湖泊内不含A 的水量为6V ,流出湖泊的水量为3V .已知1999年底湖中A 的含量为05m ,超过国家规定指标.为了治理污染,从2000年初起,限定排入湖泊中含A 污水的浓度不超过Vm 0.问至少需经过多少年,湖泊中污物A 的含量降至0m 以内?(注:设湖水中A 的浓度是均匀的.)解:设2000年初(记此时0=t )开始,第t 年湖泊中污物A 的总量为m ,浓度为V m ,则在时间间隔]d ,[t t t +内,排入湖泊中污染物A 的量为t mt V V m d 6d 600=⋅,流出湖泊的水中A 的量为t m t V V m d 3d 3=⋅,因而在此间隔内湖泊中污染物A 的改变量为t m mm d )36(d 0-=,005m m t ==.分离变量解得30e 2t C m m --=,由005m m t ==得029m C -=,故)e 91(230t m m -+=.令0m m =,解得 3ln 6=t ,即至少需经过3ln 6年湖泊中污物A 的含量降至0m 以内.8.求下列Euler 方程的通解(2)x y y x y x =+'-''642.解:设tx e =,方程化为 t y t yty e 6d d 5d d 22=+-.………………….(*)0652=+-r r ⇒21=r ,32=r . t t C C y 32 21e e +=. 设t a y e =*,代入方程(*),得 ()t t a a a e 65e =+-.由此定出21=a ,故ty e 21=*.从而原方程的通解为 x x C x C y 213221++=.9.设对于半空间0>x 内任意的光滑有向封闭曲面S , 都有0d d e d d )(d d )(2=--⎰⎰y x z x z x xyf z y x xf xS, 其中()x f 在()+∞,0内具有连续的一阶导数,且()1lim 0=+→x f x ,求()x f .解:由曲面积分与曲面无关的条件0=∂∂+∂∂+∂∂zRy Q x P ,有 ()()()0e 2=--+'x x xf x f x f x ,即()()x x x f x x f 2e 111=⎪⎭⎫ ⎝⎛--'.所以 ()⎥⎦⎤⎢⎣⎡+⎰⎰=⎰⎪⎭⎫ ⎝⎛--⎪⎭⎫ ⎝⎛-C x x x f x x x x x d e e 1e d 112d 11⎥⎦⎤⎢⎣⎡+⋅⋅=⎰-C x x x x x x x d e e 11e 2()C xx x +=e e 1.由()1lim 0=+→x f x ,即()1e e 1lim 0=++→C xx x x ,可求出1-=C ,故 ()()1e e 1-=x x xx f .10(补充).设函数)0)((≥x x y 二阶可导且1)0(,0)(=>'y x y .过曲线)(x y y =上任意一点),(y x P ,作该曲线的切线及Ox 轴的垂线,上述二直线与Ox 轴所围成的三角形的面积记为1S ,区间] ,0[x 上以)(x y y =为曲边的曲边梯形面积记为2S ,并设212S S -恒为1,求此曲线)(x y y =的方程.解:曲线)(x y y =上点),(y x P 处的切线方程为))((x X x y y Y -'=-.切线与Ox 轴的交点为)(0 ,)()(x y x y x '-.由1)0(,0)(=>'y x y ,知0)(>x y ,于是211()()()2()2()y x y x S y x x x y x y x ⎛⎫=--= ⎪''⎝⎭;而⎰=x t t y S 0 2d )( (0≥x );故由条件1221≡-S S 得1d )( 02=-'⎰x t t y y y ,由此还可得1)0(='y .将1d )( 02=-'⎰x t t y y y 两边对x 求导并整理得2)(y y y '=''.令P y =',则y P P y d d ='',于是方程化为P yP y =d d ,解之得y C P y 1==',由1)0(='y 和1)0(=y 得11=C ,于是y y =',从而x C y e 2=.再由1)0(=y 得12=C ,故所求曲线方程为x y e =.11(06考研).设函数()f u 在(0, )+∞内具有二阶导数,且z f =满足等式22220zz x y ∂∂+=∂∂. (1) 验证()()0f u f u u'''+=; (2) 若(1)0,(1)1f f '==,求函数()f u 的表达式. 解: (1)由(),z f u u ==()2222223222()()()y z z x f u f u f u x x x y x y ∂∂''''==⋅+⋅∂∂++,()2222223222()()()y z z x f u f u f u y y x y x y ∂∂''''==⋅+⋅∂∂++. 因为22220z z x y ∂∂+=∂∂,所以有()0f u ''+=,即 ()()0f u f u u'''+=. (2)由(1)得11()f u C u '=+,由(1)1f '=知10C =,即1()f u u'=;于是得2()ln f u u C =+,由(1)0f =,得20C =,所以()ln f u u =.12(07考研).解初值问题2(),(1)1,(1) 1.y x y y y y ''''⎧+=⎨'==⎩解:令2,,(),y P y P P x P P '''''==+=则原方程化为即d 1.d x x P P P-=于是()11d d 111e e d d ().PPPP x C P P P C P P C P ---⎡⎤⎰⎰=+=+=+⎢⎥⎣⎦⎰⎰由11d (1)1,0,d x yP y C P x='=====得且即解得322221,(1)1,33y x C y C =+==又由得故3221.33y x =+12(07考研). 设幂级数0n n n a x ∞=∑在(, )-∞+∞内收敛,其和函数()y x 满足 240,(0)0,(0) 1.y xy y y y ''''--=== (I )证明22,1,2,;1n n a a n n +==+L(II )求()y x 的表达式.解:(I )对0n n n y a x ∞==∑求一、二阶导数,得1212,(1),n n n n n n y na xy n n a x ∞∞--=='''==-∑∑代入240y xy y '''--=并整理得201(1)(2)240.nnnn n nn n n n n ax na x a x ∞∞∞+===++--=∑∑∑ 于是 202240,(1)(2)2(2)0,1,2,,n n a a n n a n a n +-=⎧⎨++-+==⎩L从而有 22,1,2,.1n n a a n n +==+L(II )因为01(0)0,(0)1,y a y a '====故 20,0,1,2;k a k ==L212121*********,0,1,2,.21!!k k k k a a a a a k k k k k k k +---=======-L L所以22212121000()e ,(, ).!!k k nk x n k n k k k x x y a x a xx x x k k ∞∞∞∞+++=========∈-∞+∞∑∑∑∑213().()()3()6,()1().f x xf x f x x y f x x x D x f x '-=-==补充设满足且由曲线与 直线及轴所围的平面图形绕轴旋转一周得到的旋 转体的体积最小,求33d d 3232.()36,1()e6e d 6d 6.xx xx f x y y x x y f x C x x x C x x Cx x ---⎰⎰'-=-⎡⎤⎡⎤==+-=-⎰⎰⎢⎥⎢⎥⎣⎦⎣⎦=+满足的方程解可写为 其通解:()112322001265402()π()d π(6)d π(1236)d 36 π2.75V C f x x Cx x x C x Cx x xC C ==+⎰⎰=++⎰=++旋转体的体积为()2322π()π207,()0,777.()67.C V C C V C C f x x x '''=+==-=>=-=-令,得惟一驻点且故是极小值点,也是最小值点于是。
第十二章 常微分方程(A)一、是非题1.任意微分方程都有通解。
( X )2.微分方程的通解中包含了它所有的解。
( X )3.函数x x y cos 4sin 3-=是微分方程0=+''y y 的解。
( O ) 4.函数x e x y ⋅=2是微分方程02=+'-''y y y 的解。
( X )5.微分方程0ln =-'x y x 的通解是()C x y +=2ln 21 (C 为任意常数)。
( O )6.y y sin ='是一阶线性微分方程。
( X ) 7.xy y x y +='33不是一阶线性微分方程。
( O ) 8.052=+'-''y y y 的特征方程为0522=+-r r 。
( O )9.221xy y x dxdy +++=是可分离变量的微分方程。
( O )二、填空题1.在横线上填上方程的名称①()0ln 3=-⋅-xdy xdx y 是可分离变量微分方程。
②()()022=-++dy y x y dx x xy 是可分离变量微分方程。
③xy y dx dy x ln ⋅=是齐次方程。
④x x y y x sin 2+='是一阶线性微分方程。
⑤02=-'+''y y y 是二阶常系数齐次线性微分方程。
2.x x y x y cos sin =-'+'''的通解中应含 3 个独立常数。
3.x e y 2-=''的通解是21241C x C e x ++-。
4.x x y cos 2sin -=''的通解是21cos 2sin 41C x C x x +++-。
5.124322+=+'+'''x y x y x y x 是 3 阶微分方程。
6.微分方程()06='-''⋅y y y 是 2 阶微分方程。
常微分方程练习试卷及答案常微分方程练试卷一、填空题。
1.方程d2x/dt2+1=是二阶非线性微分方程。
2.方程xdy/ydx=f(xy)经变换ln|x|=g(xy)可以化为变量分离方程。
3.微分方程d3y/dx3-y2-x=0满足条件y(0)=1,y'(0)=2的解有一个。
4.设常系数方程y''+αy'+βy=γex的一个特解y(x)=e-x+e2x,则此方程的系数α=-1,β=2,γ=1.5.朗斯基行列式W(t)≠0是函数组x1(t),x2(t)。
xn(t)在[a,b]上线性无关的条件。
6.方程xydx+(2x2+3y2-20)dy=0的只与y有关的积分因子为1/y3.7.已知X'=A(t)X的基解矩阵为Φ(t),则A(t)=Φ(t)-1dΦ(t)/dt。
8.方程组x'=[2,5;1,0]x的基解矩阵为[2e^(5t),-5e^(5t);e^(5t),1]。
9.可用变换将伯努利方程y'+p(x)y=q(x)化为线性方程。
10.方程y''-y'+2y=2e^x的通解为y(x)=C1e^x+C2e^2x+e^x。
11.方程y'''+2y''+5y'+y=1和初始条件y(0)=y'(0)=y''(0)=0的唯一解为y(x)=e^-x/2[sin(5^(1/2)x/2)-cos(5^(1/2)x/2)]。
12.三阶常系数齐线性方程y'''-2y''+y=0的特征根是1,1,-1.二、计算题1.设曲线方程为y(x)=kx/(1-k^2),则曲线上任一点处的斜率为y'(x)=k/(1-k^2),切点为(0,0),切线方程为y=kx,点(1,0)的连线斜率为-1/k,因此k=-1,曲线方程为y=-x/(1+x)。
高等数学专项练习之常微分方程第一部分学习目的 (2)第二部分学习重点 (2)第三部分学习难点 (2)第四部分内容提要 (3)第一节微分方程模型 (3)一微分方程的产生和发展 (3)二微分方程模型 (4)第二节基本概念 (9)第三节微分方程的类型及其解法 (10)一一阶微分方程 (10)二高阶微分方程 (20)第四节微分方程公式运用表 (29)一一阶微分方程 (29)二可降阶的高阶微分方程 (29)三线性微分方程 (30)第五节微分方程的简单应用 (31)一在几何中的应用 (31)二在力学中的应用 (33)微分方程是高等数学中理论和应用都较强的一部分,是微积分学的一个直接延续. 它包括两个主要方面:第一方面是求给定常微分方程的解;第二方面是常微分方程的应用.第一部分学习目的1. 理解微分方程的一般概念;2. 熟练掌握分离变量方程、齐次方程、一阶线性方程、伯努利方程、全微分方程的解法;3. 掌握可降阶的三种二阶特殊类型的微分方程的解法;4. 深刻理解二阶线性方程解的结构;n(n3)5. 熟练掌握二阶常系数线性齐次与非齐次方程的解法,了解阶常系数线性齐次与非齐次方程的解法;6. 掌握用微分方程解决实际问题的步骤.第二部分学习重点微分方程的一般概念,可分离变量的方程,一阶线性方程,二阶常系数线性方程.第三部分学习难点识别一阶微分方程的各种类型; 二阶常系数线性非齐次方程的特解的求法.第四部分内容提要第一节微分方程模型一微分方程的产生和发展常微分方程有着深刻而生动的实际背景,它从生产实践与科学技术中产生,又成为现代科学技术分析问题与解决问题的强有力工具。
该课程是与微积分一起成长起来的学科,是学习泛函分析、数理方程、微分几何的必要准备,本身也在工程力学、流体力学、天体力学、电路振荡分析、工业自动控制以及化学、生物、经济等领域有广泛的应用。
300 多年前,Newton 与Leibniz 奠定微积分基本思想的同时,就正式提出了微分方程的概念.17 世纪末到18 世纪,常微分方程研究的中心问题是如何求出通解的表达式.19 世纪末到20 世纪处,主要研究解的定性理论与稳定性问题.20 世纪进入新的阶段,定性上升到理论,进一步发展分为解析法、几何方法、数值方法.解析方法:是把微分方程的解看作是依靠这个方程来定义的自变量的函数.几何方法:(或定性方法)把微分方程的解看作是充满平面或空间或其局部的曲线族.数值方法:求微分方程满足一定初始条件(或边界)条件的解的近似值的各种方法.微分方程差不多是和微积分同时先后产生的,苏格兰数学家耐普尔创立对数的时候,就讨论过微分方程的近似解。
牛顿在建立微积分的同时,对简单的微分方程用级数来求解。
后来瑞士数学家雅各布·贝努利、欧拉、法国数学家克雷洛、达朗贝尔、拉格朗日等人又不断地研究和丰富了微分方程的理论。
常微分方程的形成与发展是和力学、天文学、物理学,以及其他科学技术的发展密切相关的。
数学的其他分支的新发展,如复变函数、李群、组合拓扑学等,都对常微分方程的发展产生了深刻的影响,当前计算机的发展更是为常微分方程的应用及理论研究提供了非常有力的工具。
牛顿研究天体力学和机械力学的时候,利用了微分方程这个工具,从理论上得到了行星运动规律。
后来,法国天文学家勒维烈和英国天文学家亚当斯使用微分方程各自计算出那时尚未发现的海王星的位置。
这些都使数学家更加深信微分方程在认识自然、改造自然方面的巨大力量。
微分方程的理论逐步完善的时候,利用它就可以精确地表述事物变化所遵循的基本规律,只要列出相应的微分方程,有了解方程的方法。
微分方程也就成了最有生命力的数学分支。
二微分方程模型微分方程是数学联系实际问题的重要渠道之一,将实际问题建立成微分方程模型最初并不是数学家做的,而是由化学家、生物学家和社会学家完成的。
实际问题的信抽数学求数学模型验证实际例1 物体冷却过程的数学模型将某物体放置于空气中,在时刻t0时,测得它的温度为u℃,10 分钟后测0 150得温度为 1 100u℃.确定物体的温度与时间的关系,并计算20 分钟后物体的温度.假定空气的温度保持为u24 ℃.a解设物体在时刻t的温度为u u(t),由牛顿(Newton)冷却定律可得du dt k(u u) (k 0, u u) (1.1)a a这是关于未知函数u的一阶微分方程,利用微积分的知识将(1.1)改为duu uakdt(1.2)两边积分,得到ln( )u u kt c c为任意常数a令e c c,进而u u ce kt(1.3) a根据初始条件, 当t 0时, u u, 得常数c u u0 0 a于是u u (u u)e kt(1.4) a0 a再根据条件t 10分钟时,u u,得到u u u u e10k1 a a1 ( 0 )k 110 lnu u0 au u1 a将u u u 代入上式,得到0 150, 1 100, a24k 1 150 24 1ln ln1.66 0.05110 100 24 10从而, u 24 126e0.051t(1.5)由方程(1.5)得知,当t 20分钟时,物体的温度u ℃,而且当t 时, u 24 ℃.2 70温度与时间的关系也可通过图形表示出来.如图(1.1). 可解释为:经过一段时间后,物体的温度和空气的温度将会没有什么差别了.事实上,经过2 小时后,物体的温度已变为24℃,与空气的温度已相当接近.法律破案判断尸体的死亡时间就是用这一冷却过程的函数关系来判断的.例2 动力学问题物体由高空下落,除受重力作用外,还受到空气阻力的作用,空气的阻力可看作与速度的平方成正比,试确定物体下落过程所满足的关系式.解设物体质量为m,空气阻力系数为k,又设在时刻t物体的下落速度为v,于是在时刻t物体所受的合外力为F mg kv2 ,建立坐标系,取向下方向为正方向,根据牛顿第二定律得到关系式dvm mg kv(1.6)2dt而且, 满足初始条件t0时, v0 (1.7)例3 电力学问题在如图(1.2)所示的R L C电路,它包括电感L、电阻R和电容C.设R、L、C均为常数,电源e(t) 是时间t的已知函数,建立当开关K合上后,电流I应满足的微分方程.解经过电感L、电阻R和电容C的电压降分别为:L d Idt、RI和QC,其中Q为电量,由基尔霍夫第二定律得到dI Qe(t) L RI(1.8)dt C因为IdQ,于是有dtd I R dI I 1 de(t)2(1.9)dt L dt LC L dt2这就是电流I应满足的微分方程.如果e(t) =常熟,得到d I R dI I22 0(1.10)dt L dt LC如果又有R0 ,则得到d I I22 0 (1.11)dt LC例4 人口模型英国人口统计学家马尔萨斯(Malthus)在1798 年提出了闻名于世的Malthus 人口模型的基本假设是:在人口自然增长的过程中,净相对增长率(单位时间内人口的净增长数与人口总数之比)是常数,记此常数为r(生命系数).在t到t t这段时间内人口数量N N(t) 的增长量为N(t t) N(t) rN(t)t(N(t t) N(t)t1,r)N(t)于是N(t) 满足微分方程dNdtrN(1.12)将上式改写为dNNrdt于是变量N和t被“分离”,两边积分得ln N rt cN ce rt(1.13)其中c e c为任意常数.(因为N0也是方程(1.17)的解.如果设初始条件为t t时,0 N(t) N(1.14)0代入上式可得rtc N e,.即方程(1.17)满足初值条件(1.19)的解为N(t ) N e r t t(1.15)( )如果r 0 ,上式说明人口总数N(t) 将按指数规律无限增长.将时间t以1 年或10 年离散化,那么可以说,人口数是以e r为公比的等比数列增加的.当人口总数不大时,生存空间、资源等极充裕,人口总数指数的增长是可能的.但当人口总数非常大时,指数增长的线性模型则不能反映这样一个事实;环境所提供的条件只能供养一定数量的人口生活,所以Malthus 模型在N(t) 很大时是不合理的.荷兰生物学家Verhulst 引入常数N(环境最大容纳量)表示自然资源和环境条件所mN(t)容纳的最大人口数,并假设净相对增长率为r1Nm,即净相对增长率随N(t) 的增加而减少,当N(t ) N时,净增长率0 .m按此假定,人口增长的方程应改为dN Nr 1Ndt Nm(1.16)这就是Logistic 模型.当N与N相比很大时,m rN2Nm与rN相比可以忽略,则模型变为Malthus 模型;但N与N相比不是很大时,m rN2Nm这一项就不能忽略,人口增长的速度要缓慢下来.我们用Logistic 模型.来预测地球未来人数,某些人口学家估计人口自然增长率为r 而统计得世界人口在1960 年为29.8 亿,增长率为1.85%,由Logistic 模型.0.029,29.8 108829.8 10 (1.21),有0.0185 0.0291Nm ,可得N 82.3108 ,即世界人口容量m82.3 亿,以(1.21)式右端为二项多项式,以NN m为顶点,当2NN m时人口增长率2增加;当NN时增长率将逐渐减N m时人口增长率减少,即人口增长到m41.15 1082 2少.这与人口在20 世纪70 年代为40 亿左右时增长率最大的统计结果相符.小结:从以上的讨论可以看出,将实际问题转化为数学模型这一事实,这正是许多应用数学工作者和工程应用模拟方法解决物理或工程问题的理论根据.以上我们只举出了常微分方程的一些简单的实例,其实在自然科学和技术科学的其它领域中,都提出了大量的微分方程问题.所以说,社会的生产实践是微分方程理论取之不尽的基本源泉.此外,常微分方程与数学的其它分支的关系也是非常密切的,它们往往互相联系、互相促进.例如,几何学就是常微分方程理论的丰富的源泉之一和有力工具. 考虑到常微分方程是一门与实际联系比较密切的数学基础课程,我们自然应该注意它的实际背景与应用;.而作为一门数学基础课程,我们又应该把重点放在应用数学方法研究微分方程本身的问题上.因此,在学习中,不应该忽视课程中所列举的实际例子以及有关的习题,并从中注意培养解决实际问题的初步能力.但是,按照课程的要求,我们要把主要精力集中到弄清常微分方程的一些基本理论和掌握各种类型方程的求解方法这两方面来,这是本课程的重点,也是我们解决实际问题的必要工具.而解决的过程为:(1)建立方程;(2)求解方程;(3)分析问题.关键的是第一步,即对所研究问题,根据已知定律公式以及某些等量关系列出微分方程和相应的初始条件.如果指出了由微分方程所确定的未知函数的求法,那么未知量间的关系便找到了.寻求微分方程所确定的未知函数是微分方程理论的基本问题.第二节基本概念1. 微分方程:凡表示未知函数、未知函数的导数与自变量之间的关系的方程,叫做微分方程. 未知函数是一元函数的叫做常微分方程;未知函数是多元函数的叫做偏微分方程.附注:本章仅限于讨论常微分方程.2. 微分方程的阶:微分方程中未知函数的最高阶导数(或微分)的阶数,称为微分方程的阶.3. 微分方程的解:代入微分方程能使其两端成为恒等式的函数,称为微分方程的解(这个函数的图形,称为该微分方程的积分曲线).4. 微分方程的通解:如果微分方程的解中含有独立的任意常数,且任意常数的个数与微分方程的阶数相同,则这样的解称为微分方程的通解.y n 1(x C,C, ,C n) C,C, ,,C1附注:所谓函数含有个独立常数,是指存在2 2 nC C C1 2 n' ' '0 C C C1 2 n(n 1 n1)) ( (n1)(x,C,C, ,C)C1C C的某个邻域,使得行列式,其中1 2 n 2nx k(k)表示对的阶导数.5.微分方程的初始条件:确定微分方程通解中任意常数所给出的条件,称为定解条件. 如果这样的定解条件是在同一时刻给出的,称为微分方程的初始条件.6.微分方程的特解:由初始条件定出通解中的任意常数后得到的解,称为微分方程的特解.附注:有的参考书上将微分方程的特解定义为:由初始条件定出通解中的任意常数后得到的解或不含任意常数的解,称为微分方程的特解. 这个定义比教材上更广泛些. 例如,2dyy 1 02y sin(x C) y 1dx对于微分方程,其通解为. 易证函数也是该方程的解,但它不能由通解中取适当的常数得到. 按照教材的定义,它就不是特解.第三节微分方程的类型及其解法一一阶微分方程(1)可变量分离的微分方程.形如y 'f(x)g(y) dy f(x)g(y)dx或(1)f(x), g(y) x, y的微分方程,称为可变量分离的方程. 这里假设分别是的连续函数.g(y ) 0当时,方程(1)可写成1dy g(y) f(x)dx(2)1dy f x dx( )g(y)两端分别积分得到原方程的通解.y g(y) 0 y y若存在使得,则也是该方程的解.0 0y y附注:这种形式的解,有时可能包含在通解中(即可在通解中取适当的常数得0到),有时不包含在通解中(即在通解中取任意常数都得不到这种解). 另一方面,若只求方程的通解,可不考虑这种形式的解.1y 2 3x2 yy'例1求方程的通解.y 1解:当时,分离变量得ydy dx1 2 3xy2,两边积分ydy dx21 2 3xy,即1 1y 23x C,或11y 2 C3x 0 .这就是所求的通解. #y 1注意:也是原方程的解且不包含在通解中. 如果题目改成求方程的解,则除了求出通解外,还需求出这样的解.(2)齐次微分方程yy f(x, y) x' f(x, y)如果一阶微分方程中的可以写成的函数,即y 'f(x, y ) yx,(3)则称这方程为齐次方程.yuy uxx 求解方法是作变量代换后将其化为可分离变量方程,然后求解. 令,即,y 'u xu'于是将此代入(3)得u xu '(u) ,即du (u ) u d xx,两边积分du dxx(u) u,yx u求出积分后,再用代替便得齐次方程的通解.dy xydx x2 y y|12例2 求方程满足的特解.xyux 解:这是齐次方程. 令,得u u1u 12xu'du dx1u u x2 3或两边积分1u12du dxu3 x得1 2 ln u ln2u xC1即xu1 Ce2u2yuC xeC其中. 代回,得原方程的通解1yx2 Ce 2 y2x2y e2 y2C 1由初始条件得. 故所求特解为. # (3*)可化为齐次微分方程的方程对于形式为y 'fa x1a x2b y1b y2c1c2(4)c1c 0的微分方程,当时是齐次方程,否则不是齐次微分方程. 在非齐次方程情2a b11a b x , X YX h y Y k形,当时,作代换,其中为新自变量,为新未知2 2h, X Yk函数,为待定常数,将方程(4)化为关于和的齐次方程,求出这方程的通解,再a b1 1a b换回原变量,即为方程(4)的通解;当时,作适当的变量代换,将方程化为可2 2分离变量方程,在其通解中换回原变量,即为方程(4)的通解.dy y x 2dx x y 4例3 解方程.1 21 y x0 x 32x 4y0 y 1 1 1解:因为,所以解代数方程组,得到. 作变2XdY Y Xx 3 x X 3Y y 1 y Y 1dX Y X量变换,即,则原方程化为. 这是齐次方程. 令u YX,则此方程变为du u 1u XdX 1u,化简并变量分离,得到u 1 12 du dXu 1 X,两边积分,得到ln(u )12arctan u ln| X| C12.YuX化简并用代入,得到X Y 2 2 C earctanYX.因此原方程的通解为y 1arctan( 2 2x3)(y1)Cex 3.#(4)一阶线性微分方程形式为y 'P(x)y Q(x)(5) 的方程,称为一阶线性微分方程.Q(x ) 0①当时,则(5)为y'P(x)y0,(6) (6)称为一阶线性齐次微分方程.方程(6)的解法:(i) 分离变量法;(ii) 公式法:yP(x)dxCeP(x)dx P(x)其中记号表示的某个原函数.Q(x ) 0 y 'P(x)y 0②当不成立时,则(5)为一阶线性非齐次微分方程. 此时称为它所对应的线性齐次微分方程.设(5)为一阶线性非齐次微分方程. 则它的通解结构:设(5)所对应的线性齐次方程(6)的Y y* y Y y*通解为,方程(5)的一个特解为,则方程(5)的通解为.方程(5)的解法:P(x)dxy Ce(i)常数变易法求出它所对应的线性齐次方程(6)的通解;将通解中的任C u(x)意常数换成函数,设yP(x)dxu(x)e(7)u(x) u(x) 为方程(5)的解,将(7)代入(5),求出(其中包含任意常数);把求出的代入(7),便得(5)的通解.(ii)公式法yQ x e P x dx dx CeP( ) ( ) ( )x dx(8)方程(5)的通解也可以写成yxtP(t) x P(s)dsdte x Q(t)edt0 0xxCx, x II P (x ),Q (x ) C其中 ( 为的连续区间), 为任意常数.附注: 与非线性方程不同,线性方程的通解包含了方程的所有解.(x 1) ( 1) 1 dy nyxen xdxn例 4 求方程 的通解,这里 为常数.解:将原方程改写为dy dx x n 1y (xn x1) e .先求它所对应的齐线性方程为dy dxxn1ydy nydx x 1的通解. 由,经变量分离后得到此齐线性方程的通解为ny C(x 1) .#ny u(x)(x 1) 其次,应用常数变易法求原非齐线性方程的通解. 为此,设并将它代入到原方程( dyx1) ( 1) 1ny x en xdx,得到dy( ndu x )nn 1 n n x(x 1) n(x 1) u(x ) u(x)(x1) (x1) e dx dx x 1化简后,得到du(x ) dxx e,两边积分,得到x u(x ) e C,C这里是任意常数. 于是原方程的通解为y 1)( )(x n ex C.#附注: 也可直接套用公式求方程(x 1) ( 1) 1dyny x en xdx的通解如下:n ndx dxx 1 dx C x n ex Cx nx 1y e e(x1) e( 1) ( ).(5)贝努利方程形式为y 'P(x)y Q(x)y n 0,1n( ) (9) 的方程称为Bernoulli 方程.z 1zynBernoulli 方程的解法:作代换,可以将Bernoulli 方程化为以为未知函数的一阶线性方程z '(1n)P(x)z (1n)Q(x).y 1zn求出这方程的通解后,再将换成,即为方程(9)的通解.2 3(x y xy)y' 1y(1) 1例5 求的解.2 3(x y xy y y x) ' 1解:方程不是以为未知函数, 为自变量的Bernoulli 方程, 但我们可将它改写为dxyx dy3x2 y.x y n 2它是以为未知函数, 为自变量且的Bernoulli 方程. 于是它的通解为1 2y22x(Ce 2 y ) 1 .y C 0 x (2 y 2) 1(1) 1将初始条件: 代入,得到. 于是所求的解为.#(6)全微分方程.y'f(x, y)当把一阶微分方程写成对称形式P(x, y)dx Q(x, y)dy0(10)P(x, y)dx Q(x, y)dy u(x, y)时,如果其左边恰好是某个二元函数的全微分,即du(x, y) P(x, y)dx Q(x, y)dy,则称(10)为全微分方程.P Q,y xG命题:设在单连通区域内连续,则(10)为全微分方程的充分必要条件是P yQxG在内恒成立.注意:凡是可分离变量的方程一定是全微分方程.全微分方程的解法:u(x, y)(i)凑全微分法将所给的方程重新组合,使之左边是某个二元函数的全微分,u(x, y ) C右边为零,则所给方程的通解为.u(x, y) du(x, y ) P(x, y)dx Q(x, y)dy(ii)不定积分法要找函数使得,即u uP(x, y), Q(x, y )x y.uP(x, y )x x由对求不定积分,u(x, y ) P(x, y)dx (y)(11)(y)其中起不定积分中积分常数的作用;uQ(x, y)u(x, y) y (y ) (y )y将对求偏导数,代入中,定出. 再将代入(11)即得所给全微分方程的通解.P(x, y dx Q x, y)dy 0 G) ((iii)曲线积分法(公式法)设是定义在单连通区域内的全微分方程,取曲线积分u(x, y)(x,y)P(s,t)ds(x0 ,y0 )Q(s,t)dt(x 0 y G u(x, y ) C , )其中是区域中的一个给定的点. 则便是方程所求的通解.2 2 2 3(3x6xy)dx(6x y4y)dy0例6 求方程的通解.2 2 2 3P(x, y) 3x6xy,Q(x, y) 6x y4y解:记.则P yQ12xy, 12xyx,u2 23x6xy(x, y) (0,0)x因此方程为全微分方程. 取,令且u2 36x y4yy,于是x2 23 2 2u(x, y) (3x y6xy)dx(y) x3x y(y).u2 36x y4yu(x, y) x3 3x2y2 (y)(y) y为确定,将代入到等式中,得到2 2 36x y'(y) 6x y4y,d y( )34y4 (y)y4 dy(y) y于是,积分后,得到. 将代入到3 2 2u(x, y) x3x y(y) 中,得到3 2 2 4u(x, y) x3x y y.因此,方程的通解为x3 3 2 2 4x y y C,C其中为任意常数.#在某些情况下,形如P(x, y)dx Q(x, y)dy0(12)P Qy xG的微分方程虽然不是全微分方程(这里在内不恒成立),但用不恒等于零的(x, y)函数乘以(12)的左边后能将其化为全微分du(x, y) (x, y)P(x, y)dx(x, y)Q(x, y)dy,(x, y)P(x, y)dx(x, y)Q(x, y)dy0这时就是全微分方程了. 象这样的函数(x, y)称为方程(12) 的积分因子.方程(12)的解法:(x, y)积分因子法先求出积分因子. 一般地,求非全微分方程的积分因子是困难的,没有一般的规律可循,但对具有某些特殊性质的微分方程,还是可以求出积分因子的. 如P Q P Qy x y xf(x)Q Qx(i) 当(即表达式仅为的函数)时,则可取( ,x y ) (x)ef(x)dx为积分因子;Q P Q Px y x yg(y)yP P(ii) 当(即表达式仅为的函数)时,则可取( ) y)x, y(g( y)dy e为积分因子. 再用求出的积分因子去乘(12)的左边,则(12)就变成全微分方程了,求出该方程的通解,且此也为原方程(12)的通解.注意:①积分因子不是唯一的,因而通解可能有不同的形式;②要注意增根和减根,(x, y ) 0 y y(x)使函数的函数若不满足原方程时,则产生增根,应舍去此解;此外,1duP( , ) ( , ) 0x y dx Q x y dy(x, y) y y(x) u由,因使的函数也满足原方程,故应将此解补上.二高阶微分方程(1) 可降阶的高阶微分方程y(n ) f x( )①(13)n方程(13)的解法:经过次积分,就可得到方程(13)的通解.y"f(x, y') y②(不显含未知函数) (14)dpy"p'y'p p(x) dx方程(14)的解法:设(即),则,方程(14)化为dpf(x, p)dxx p这是以为自变量,为未知函数的一阶微分方程. 利用一阶微分方程求解方法,如p x p y'果求得通解(联系与的等式),解出即,再积分一次便得原方程(14)的通解.2 x2dy dyyxdx dx 2例7 求方程的解.dypdx解:设,则原方程化为.22 xp xy p2dypx dx两端关于求导并用代入,得到dp dpxp 2p x pdx dx或.p xdp21dxdp1 02p x0 dx由此得或.dp1 0dx从解得p xC,22 xp x yp2并将它代入得到原方程的通解2xy Cx22 C.2p x 0又从解得p x2.22 xp x yp2将它代入得到原方程的一个解y2x4,2x2y Cx CC 2 且此解不能由通解取适当的得到. 所以原方程的解:通解及一个2xy4解.#y x" f(y, y')③(不显含自变量) (15)dp dp dy dpy "py 'p p[y(x)] dx dy dx dy方程(15)的解法:设(即),则,方程(15)化为dppdyf(y, p)y p这是以为自变量,为未知函数的一阶微分方程. 利用一阶微分方程求解方法,如p y p y'果求得通解(联系与的等式),解出即,分离变量并积分,便得原方程(15)的通解.3dy dy2x y 0dx dx例8 求方程的解.dy dy0 pdx x dx解:当时,解出,并令,则原方程化为x y23pp.1 dxy p dy两端关于求导并用代入,得到1 pp 123p dpd y22p(y 3p)d pdy或3(y 2p)dp pdy0 . 经检验,它是一个全微分方程,经分项组合后,得到通解2 pyp 4C,即yC 4p2p.3y px2p将它代入,得到x C 3p2p2p3pC443p2p.因此,原方程的参数形式的通解为C 32x p244p( pC 13y p2p 2 0),或C 32x t244t(tC 13y t2t 2 0).p y0 C 0当时,由方程直接推知也是方程的解此解不能由通解取适当的得到.(2) 二阶线性微分方程y"P(x)y'Q(x)y f(x)(16)f(x, y) 0①①当(16)右端时,则(16)为y"P(x)y'Q(x)y0(17)(17)称为二阶线性齐次微分方程.y y方程(17)的通解结构:设和是方程(17)的两个线性无关的特解,则方程(17)的通1 2yCy C y1解为.1 2 2y方程(17)的解法:在简单的情况下,若由观察得一特解,则求另一线性无关的特解1y 2 y u(x) 2 y u xy u(x) y( ) 可用降阶法,即设,其中为待定函数. 将代入(17)可求2 1 112P(x)dxy y e dx2 1u(x) y y y出,从而可求出,也可以用公式求出,于是可求出方2 1 2程(17)的通解.解的线性无关的判定1 I n(n 1)2 ny, y, , y设是定义在区间上的个次可微函数,则称行列式y y y1 2 ny' y' y '1 2 n(n1) (n) (n 1)1y y y1 2 n1 W(x)y, y, , y2 n为的伏朗斯基行列式,记为.W y1, y2,, y n W(x ) 0(x ) 0若不成立,则线性无关. 注意:若,不能肯定12 y, y, , yn线性相关. 例如,设0 xy1 x2 x2x x 0y2 0 x 0,,W(x x I (,) y, y) 01则易证明,,但却是线性无关的.21 n2 ny, y, , y当是阶线性齐次微分方程n(n) a x y a x y1y( ) a y ( ) '( )(x)1 n 1 nW(x ) 0的解时,由能推出它们是线性相关的. 于是有下面的判断方法1 n2 ny, y, , y命题:当是阶线性齐次微分方程n(n1) a x y a x yy( ) a(x)y ( ) '( )1 n 1 nW(x ) 0的解时,若不成立,则它们线性无关;否则线性相关.特别地,对于两个函数,只要看它们的比,若比不恒等于常数,则它们线性无关;否则线性相关.f(x ) 0②当(16)右端不成立时,则(16)为二阶线性非齐次微分方程,其通解结构:Y y*Cy C y1设(16)所对应的齐次方程(17)的通解为,且方程(17)的一个特解为,1 2 2yY y *则方程(16)的通解为.f ) 1 x ) f x * (xf ( ( )yy *若方程(16)的右端,且 与分别是方程212y "P (x )y 'Q (x )y f1(x )与y "P (x )y 'Q (x )y f2(x )y 1y **的特解,则就是方程(16)的特解.2可用常数变易法求方程(16)的通解. 先求出(16)所对应的齐次方程(17)的通解YC1 yC y,(18)12 2C1x 2 x CC ( ) C ( )把(14.18)中的与分别换成与 . 设12yC 1 (x )yC (x )y122(19)C ) 2 (x )1 (xC y '为方程(16)的解,将(19)代入(16)时,为了不使与出现二阶导数,求出C '1 x yC x y y "( )' ( )后令,再求,代入(14.16)得122C ' xC ' (x )y( )y1122C ' (x )y ' C ' (x )y '1122f 0 (x )C (C 2 (x ) 1x )由此求出与;C(x) ( )1Cx2把求出的与(包含任意常数)代入(14.19)便得方程(14.16)的通解.③二阶常系数线性齐次微分方程y"py'qy0,(20) p q其中和均为常数.用特征根法求方程(20)的通解.(i)写出(20)的特征方程r2 pr q;(21)r r(ii)求出方程(21)的两个根和;1 2r r(iii)根据和的不同情形,按下表写出(20)的通解.1 2r、r方程(20)的通解1 2r两个不相等的实根、1 r y C e r x C e r x11 2 22两个相等的实根r1r y C C x e r x1( )1 22一对共轭复根r i y x1 ( 1 cos x C sin x),2e C2n上述求方程(20)的方法及通解形式可推广到阶常系数线性齐次微分方程,其一般形式为y( ) (n 1) p y p y np y'1 n 1 n 0,(22)ip(i1,2, ,n)其中为常数.(22)的特征方程为rn p r p r p1n 1n 1 n1 n 1n 1 n 0,(23)根据特征方程(23)的根的不同情形,得出方程(22)通解中不同的对应项:r Cerx若是单实根,则有一项对应项:;erx C C x C x k1r k k( )若是重实根,则有项对应项:;1 2 kr r i1,r若是一对共轭复根,即,则有两项对应项:1,22e x(C1x C xcos sin );2r i1 k2k若,2 是一对重共轭复根,则有项对应项:)()e x[(C1 C x C x k 1 cos x D D x D x k 1 xsin ]2 k 1 2 k;而方程(22)的通解则是上述这些解的线性组合.y (4) y " y 02 ' 5 "例9 求方程的通解.解:特征方程为r 4 2r 3 5r 2 0r 1 r 0,r 1 2 r1,x r3 ,r4i1,r特征根是. 对应的特解为;对应的特解为2 3,42e x cos 2x,e x sin 2x.y1 C x e x(C cos 2x C sin 2x)C因此原方程的通解为,2 3 4C1,C,C,C其中为任意常数. #2 3 4④二阶常系数线性非齐次微分方程y"py'qy f(x)(24)p q其中和均为常数.方程(24)的解法:先求出方程(24)所对应的齐次微分方程(20)的通解YC1y C y,1 2 2y* y Y y*再求出方程(24)的一个特解,则方程(24)的通解为.y*的求法:f(x) y*(i) 待定系数法当方程(24)的右端为某些特殊类型函数时,用待定系数法求.f(x) e P(x)xP(x)型,其中为常数,为的多项式. 方程(24)的特解mm x m设为y* x k Q(x)e xm,(25)k0、1 Q(x)m 其中按不是特征方程(21)的根、是单根或二重特征根分别取为或2;P(x)是与的同次多项式.mx Q m(x) y* 将(25)代入(24),比较两端的同次幂的系数,求出的各项系数便可求出.y"2y'y4xex例10 求方程的通解.r rr2 112 2r 1 0解:特征方程有二重根,设其特解的形式为.y* x2 (ax b)ex2 y(6ax2b)e x4xe x3 ,0*a b将代入原方程得到,比较两端系数得到,于是2y x3e* xxY(CC x)e13. 另一方面,对应的齐次方程的通解为,因此原方程的2通解为. #2y (C C x)e x x3ex1 32f(x) e P x x P x) s in x]x、P(x) P(x)[ ( ) c os ( l、型,其中均为常数,分l n n x l m别为的次、次多项式,其中有一个可为零,方程(24)的特解设为(26)y* x e[Q(x) c os x R sin x ]k xm mk i i其中按(或)不是特征方程(21)的根或是单根分别取为0 或1,Q m R m(x) x m m max{l,n}(x)是与为的多项式,.Q(x) R m(x)m将(26)代入(24),比较两端同类项的系数,求出和中各项系数便可求出y*.n k上述结论可推广到阶常系数线性非齐次微分方程. 这时(25)中的是特征方程含根k i i的重复次数;(26)中的是特征方程含根(或)的重复次数.(ii) 常数变易法此法不如待定系数法方便,常数变易法需要积分,而待定系数法只f(x)需求导. 因此,一般来说只有当不属于前面讨论过的两种特殊类型函数时,才利用常y*数变易法求.(3)欧拉(Euler)方程:欧拉方程的一般形式为(27)(n) p x y p xy p y f xnx n n 1 ( 1) ( ),y'1 n 1 nip(i1,2, ,n)其中为常数.。