北师版数学高二-2.3素材 导数的概念与运算创新试题赏析1
- 格式:doc
- 大小:76.50 KB
- 文档页数:2
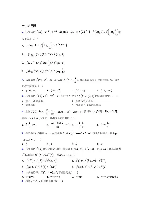
一、选择题1.已知函数()()11332cos 1x x x f x --+=+--,则()()0.52310.5log 9log 2f f f -⎛⎫ ⎪⎝⎭、、的大小关系( ) A .()()0.5231log 9log 0.52f f f -⎛⎫>> ⎪⎝⎭B .0.5321(log )(0.5)(log 9)2f f f ->>C .0.5321(0.5)(log )(log 9)2f f f ->>D .0.5231(log 9)(0.5)(log )2f f f ->>2.已知函数2()1(0)f x ax x a =-+≠,若任意1x ,2[1x ∈,)+∞且12x x ≠都有1212()()1f x f x x x ->-,则实数a 的取值范围( )A .[1,)+∞B .(0,1]C .[2,)+∞D .(0,)+∞3.已知函数23,0()3,0xlnx x x f x x x x ->⎧=⎨+⎩的图象上有且仅有四个不同的点关于直线1y =-的对称点在1y kx =-的图象上,则实数k 的取值范围是( )A .1(,1)2B .1(2,2)C .(1,2)-D .(1,3)-4.已知函数()f x lnx =,若关于x 的方程()f x kx =恰有两个不相等的实数根, 则实数k 的取值范围是( ) A .1(0,)eB .(0,1]eC .1(2D .1(25.已知函数()3f x x ax =-在(1,1)-上单调递减,则实数a 的取值范围为( ) A .()1,+∞ B .[)3,+∞C .(],1-∞D .(],3-∞6.已知定义在()1,+∞上的函数()f x ,()f x '为其导函数,满足()()1ln 20f x f x x x x++=′,且()2f e e =-,若不等式()f x ax ≤对任意()1,x ∈+∞恒成立,则实数a 的取值范围是( ) A .[),e +∞B .()2,2e -C .(),2e -D .[),e -+∞7.函数()2e e x xf x x--=的图像大致为 ( ) A . B .C .D .8.已知函数()32114332f x x mx x =-+-在区间[]12,上是增函数,则实数m 的取值范围为( ) A .45m ≤≤B .24m ≤≤C .2m ≤D .4m ≤9.已知函数()21x f x x-=,则不等式121()()x x f e f e ﹣﹣>的解集是( )A .2,3⎛⎫-∞-⎪⎝⎭B .2,3⎛⎫-∞ ⎪⎝⎭C .(,0)-∞D .2,3⎛⎫+∞⎪⎝⎭10.已知函数()f x 对定义域R 内的任意x 都有()()22f x f x +=-,且当2x ≠时其导函数()f x '满足()()2xf x f x ''>,若24a <<则( )A .()()()223log af f f a << B .()()()23log 2af f a f << C .()()()2log 32af a f f <<D .()()()2log 23af a f f <<11.当01x <<时,()ln xf x x=,则下列大小关系正确的是( ) A .()()()22fx f x f x <<B .()()()22f x fx f x << C .()()()22f x f x f x <<D .()()()22f x f x f x <<12.在ABC ∆中,内角A ,B ,C 的对边分别为a ,b ,c 若函数()()3222113f x x bx a c ac x =+++-+无极值点,则角B 的最大值是( ) A .6π B .4π C .3π D .2π 二、填空题13.已知函数(),e ,x xx a f x x x a⎧≥⎪=⎨⎪-<⎩,若存在实数b ,使函数()()g x f x b =-恰有三个零点,则a 的取值范围是__.14.如图,有一块半径为2的半圆形钢板,计划裁剪成等腰梯形ABCD 的形状,它的下底AB 是圆O 的直径,上底C 、D 的端点在圆周上,则所裁剪出的等腰梯形面积最大值为_______________.15.已知函数()24ln f x x x a x =++,若函数()f x 在()1,2上是单调函数,则实数a 的取值范围是______.16.已知函数()f x 是定义在R 上的增函数,()()2f x f x '+>,()01f =,则不等式()ln 2ln 3f x x +>+⎡⎤⎣⎦的解集为______.17.如果圆柱轴截面的周长l (单位:cm )为定值,则体积最大值为____________3cm . 18.已知函数()1cos 2f x x x =+,0,2x π⎡⎤∈⎢⎥⎣⎦,则()f x 的单调递增区间为______. 19.若函数()2122f x x x aInx =-+有两个不同的极值点,则实数a 的取值范围是__________.20.已知定义在R 上的连续函数()y f x =对任意实数x 满足(4)()f x f x -=,(()2)0x f x -'>,则下列命题正确的有________.①若(2)(6)0f f <,则函数()y f x =有两个零点; ②函数(2)y f x =+为偶函数; ③(2)(sin12cos12)f f >︒+︒; ④若12x x <且124x x +>,则12()()f x f x <.三、解答题21.已知函数)(21ln 2f x x ax x =-+有两个极值点)(1212,x x x x <. (1)求a 的取值范围; (2)求证:21>x 且)(2132f x x <-. 22.近年来,网上购物已经成为人们消费的一种习惯.假设某淘宝店的一种装饰品每月的销售量y (单位:千件)与销售价格x (单位:元/件)之间满足如下的关系式:24(6),26,,2ay x x a R a x =+-<<∈-为常数.已知销售价格为4元/件时,每月可售出21千件.(1)求实数a 的值;(2)假设该淘宝店员工工资、办公等所有的成本折合为每件2元(只考虑销售出的装饰品件数),试确定销售价格x 的值,使该店每月销售装饰品所获得的利润最大.(结果保留一位小数)23.已知函数()ln f x x ax =-,()2g x x =,a R ∈.(1)求函数()f x 的极值点;(2)若()()f x g x ≤恒成立,求a 的取值范围. 24.设函数()ln 1x f x x+=, (1)求曲线()y f x =在点()(),e f e 处的切线方程;(2)当1≥x 时,不等式()()211a x f x x x--≥恒成立,求a 的取值范围. 25.已知函数()2xf x eax b =-+(0a >,b R ∈,其中e 为自然对数的底数).(1)求函数()f x 的单调递增区间;(2)若函数()f x 有两个不同的零点12,x x ,当a b =时,求实数a 的取值范围. 26.已知32()1,f x x ax a R =++∈. (1)若()f x 在23x =处取极值,求()f x 在点(,1)a -处切线方程; (2)若函数()f x 在区间[]01,最小值为-1,求a .【参考答案】***试卷处理标记,请不要删除一、选择题 1.A 解析:A 【分析】首先设函数()(1)332cos x x g x f x x -=+=+-,判断函数是偶函数,利用导数判断函数的单调性,根据平移关系,可判断函数()y f x =的对称性和单调性,再将2log 9,0.50.5-,以及31log 2转化在同一个单调区间,根据单调性比较大小.【详解】令()(1)332cos x x g x f x x -=+=+-,()()g x g x -=,所以()g x 是偶函数; ()ln3(33)2sin x x g x x -'=-+,当(0,)x π∈时,()0g x '>,()g x 在(0,)π上是增函数, 将()g x 图像向右平移一个单位得到()f x 图像, 所以()f x 关于直线1x =对称,且在(1,1)π+单调递增. ∵23log 94<<,0.50.5-=()3312log 2log 22,32-=+∈, ∴0.52314log 92log 0.512->>->>, ∴()()0.5231log 92log 0.52f f f -⎛⎫>-> ⎪⎝⎭, 又∵()f x 关于直线1x =对称,∴3311log 2log 22f f ⎛⎫⎛⎫=- ⎪ ⎪⎝⎭⎝⎭,∴()()0.5231log 9log 0.52f f f -⎛⎫>> ⎪⎝⎭. 故选:A 【点睛】思路点睛:本题是一道函数单调性,奇偶性,对称性,判断大小的习题,本题所给函数()()11332cos 1x x x f x --+=+--,看似很复杂,但仔细观察就会发现,通过换元后可判断函数()1y f x =+是偶函数,本题的难点是判断函数的单调性,关键点是能利用对称性,转化3311log 2log 22f f ⎛⎫⎛⎫=- ⎪ ⎪⎝⎭⎝⎭.2.A解析:A 【分析】求出函数的导数,通过讨论a 的范围,得到关于a 的不等式,解出即可. 【详解】1212()()1f x f x x x ->-表示函数()f x 在区间[)1,+∞上任意两个不同点连线的斜率都大于1,等价于()'211f x ax =-≥,1x 时恒成立, 0a时,()'0f x <,不合题意,0a >时,只需211ax -,即1ax在[1,)+∞恒成立, 故max 1()1a x=,故a 的范围是[1,)+∞, 故选:A 【点睛】1212()()1f x f x x x ->-表示函数()f x 在区间[)1,+∞上任意两个不同点连线的斜率都大于1,由此考虑利用导数进行求解.3.C解析:C 【分析】先求出直线1y kx =-关于1y =-对称的直线方程,然后求函数()f x 再0,0x x >≤时的单调性及极值,进而求出k 得取值范围. 【详解】设函数1y kx =-任意一点00(,)P x y 关于直线1y =-对称的点为(,)P x y ', 则00,12y y x x +==-,所以02y y =--, 而P 在函数1y kx =-上,所以21y kx --=-,即1y kx =--, 所以函数1y kx =-恒过定点(0,1)A -,(1)当0x >时,()ln 3f x x x x =-,设直线1y kx =--与()f x 相切于点(,ln 3)C x x x x -,()ln 31ln 13ln 2x x x f x x x x k x-+'=+-=-=-=,整理可得ln 2ln 31x x x x x x -=-+,解得1x =, 所以ln122AC k k =-=-=-; (2)当0x ≤时,()23f x x x =+,设直线1y kx =--与函数()f x 相切于点B 点2(,3)x x x +,()23123x x f x x k x++'=+=-=,整理可得222331(0)x x x x x +=++≤,解得1x =-,所以2(1)31AB k k =-=-+=, 故21k -<-<,即12k -<<时,在0x >时,函数()y f x =与1y kx =--的图象相交有2个交点; 在0x ≤时,函数()y f x =与1y kx =--的图象相交有2个交点,故函数()y f x =与1y kx =--的图象相交有4个交点时的k 的范围是(1,2)-. 故选:C.【点睛】本题主要考查了直线关于直线对称,以及直线与曲线相切的斜率,以及函数与方程的关系的综合应用,着重考查数形结合思想,以及推理与运算能力,属于中档试题.4.A解析:A 【分析】f (x )=kx 可变形为k lnxx=,关于x 的方程f (x )=kx 的实数根问题转化为直线y =k 与函数g (x )g (x )lnxx=的图象的交点个数问题,由导数运算可得函数g (x )在(0,e )为增函数,在(e ,+∞)为减函数,又x →0+时,g (x )→﹣∞,x →+∞时,g (x )→0+,g (e )1e=,画草图即可得解. 【详解】 设g (x )()f x lnx xx==, 又g ′(x )21lnxx-=, 当0<x <e 时,g ′(x )>0,当x >e 时,g ′(x )<0, 则函数g (x )在(0,e )为增函数,在(e ,+∞)为减函数, 又x →0+时,g (x )→﹣∞,x →+∞时,g (x )→0+,g (e )1e=, 即直线y =k 与函数g (x )的图象有两个交点时k 的取值范围为(0,1e), 故选A .【点睛】本题考查了导数的运算及方程与函数的互化及极限思想,属于中档题.5.B解析:B 【分析】根据'()0f x ≤在(1,1)-上恒成立求解. 【详解】∵3()f x x ax =-,∴2'()3f x x a =-.又函数()f x 在()1,1-上单调递减,∴2'()30f x x a =-≤在(1,1)-上恒成立,即23a x ≥在(1,1)-上恒成立.∵当(1,1)x ∈-时,3033x ≤<,∴3a ≥. 所以实数a 的取值范围是[3,)+∞. 故选:B . 【点睛】本题考查根据导函数研究函数的单调性,以及不等式的恒成立问题,注意当'()0()f x x D <∈时,则函数()f x 在区间D 上单调递减;而当函数()f x 在区间D 上单调递减时,则有'()0f x ≤在区间D 上恒成立.解题时要注意不等式是否含有等号,属于中档题.6.D解析:D 【分析】利用导数的运算法则,求出函数()f x 的解析式,然后参数分离,将不等式的恒成立问题转化为ln xa x≥-对任意()1,x ∈+∞恒成立,构造函数,利用导数研究函数的单调性,进而求出函数的最大值,从而得解. 【详解】()()1ln 20f x f x x xx++=′, ()2ln f x x x C ∴+=, ()2ln f e e e C ∴+=,()2f e e =-,∴22e e C -+=,解得0C =,()2ln 0f x x x ∴+=,()2ln x f x x∴=-()1x >,不等式()f x ax ≤对任意()1,x ∈+∞恒成立,∴2ln x ax x-≤对任意()1,x ∈+∞恒成立,即ln xa x≥-对任意()1,x ∈+∞恒成立, 令()ln x g x x =-,则()()21ln ln x g x x -=′, 令()()21ln 0ln xg x x -==′,解得x e =,∴1x e <<时,()0g x '>,()g x 在()1,e 上单调递增;x e >时,()0g x '<,()g x 在(),e +∞上单调递减,∴当x e =时,()g x 取得极大值,也是最大值,()()max ln eg x g e e e==-=-, a e ∴≥-,∴实数a 的取值范围是[),e -+∞.故选:D. 【点睛】本题考查利用导数研究不等式的恒成立问题,具体考查导数的运算法则及利用导数研究函数的最值问题,求出函数()f x 的解析式是本题的解题关键,属于中档题.不等式恒成立问题关键在于利用转化思想,常见的有:()f x a >恒成立⇔()min f x a >;()f x a <恒成立⇔()max f x a <;()f x a >有解⇔()max f x a >;()f x a <有解⇔()min f x a <;()f x a >无解⇔()max f x a ≤;()f x a <无解⇔()min f x a ≥. 7.B解析:B 【解析】分析:通过研究函数奇偶性以及单调性,确定函数图像.详解:20,()()()x xe e xf x f x f x x--≠-==-∴为奇函数,舍去A, 1(1)0f e e -=->∴舍去D;243()()2(2)(2)()2,()0x x x x x xe e x e e x x e x ef x x f x x x---+---++=='∴>'>, 所以舍去C ;因此选B.点睛:有关函数图象识别问题的常见题型及解题思路(1)由函数的定义域,判断图象左右的位置,由函数的值域,判断图象的上下位置;②由函数的单调性,判断图象的变化趋势;③由函数的奇偶性,判断图象的对称性;④由函数的周期性,判断图象的循环往复.8.D解析:D 【分析】求函数的导函数,利用导函数与原函数单调性的关系进行判断,要使()f x 在区间[]12,上是增函数,则()0f x '≥在[]12,上恒成立,分离参数m ,即可得到答案. 【详解】由题得2()4f x x mx '=-+,要使()f x 在区间[]12,上是增函数,则()0f x '≥在[]12,上恒成立,即240x mx -+≥,则244x m x x x+≤=+在[]12,上恒成立,又44x x +≥=,当且仅当2x =时,等号成立,所以4m ≤, 故答案选D 【点睛】本题主要考查导数与原函数单调性之间的关系,将含参问题转化为最值成立,是解决本题的关键,属于中档题.9.B解析:B 【分析】由导数确定函数的单调性,利用函数单调性解不等式即可. 【详解】函数211()x f x x x x-==-,可得21()1f x x '=+,0()x ∈+∞,时,()0f x '>,()f x 单调递增,∵12100x x e e -->>,,故不等式121(())x x f e f e >﹣﹣的解集等价于不等式121x x e e >﹣﹣的解集. 121x x ->-.∴23x <. 故选:B . 【点睛】本题主要考查了利用导数判定函数的单调性,根据单调性解不等式,属于中档题.10.C解析:C 【分析】由()f x =(4)f x -得到函数的对称性,(2)()0x f x '->得到函数的单调性,结合关系即可得到结论. 【详解】由于函数()f x 对定义域R 内的任意x 都有()f x =(4)f x -, 可知函数关于2x =对称,根据条件2x ≠时,有()2(),xf x f x ''> 得(2)()0x f x '->,当2x >时()f x 递增,当2x <时()f x 单调递减, 因为24a <<所以4216a <<,21log 2a <<,因为2x =是对称轴,所以22log 3a <<, 所以22log 32aa <<<, 所以2(log )(3)(2)af a f f <<, 故选:C. 【点睛】本题主要考查函数值的大小比较,根据导数判断函数的单调性,再利用对称性、单调性比较大小.11.D解析:D 【分析】由01x <<得到2x x <,要比较()f x 与()2f x 的大小,即要判断函数是增函数还是减函数,可求出()'f x 利用导函数的正负决定函数的增减项,即可比较出()f x 与()2f x 的大小,利用对数的运算法则以及式子的性质,从式子的符号可以得到()f x 与()2f x 的大小,从而求得最后的结果. 【详解】根据01x <<得到201x x <<<,而()21ln 'xf x x-=, 所以根据对数函数的单调性可知01x <<时,1ln 0x ->,从而可得()'0f x >,函数()f x 单调递增,所以()()()210f x f x f <<=,而()222ln 0x f x x ⎛⎫=> ⎪⎝⎭,所以有()()()22f x f x f x <<.故选D. 【点睛】本题主要考查函数的值的大小比较,在解题的过程中,注意应用导数的符号研究函数的单调性,利用函数单调性和导数之间的关系是解决本题的关键.12.C解析:C 【解析】 函数()()3222113f x x bx a c ac x =+++-+无极值点,则导函数无变号零点,()2222f x x bx a c ac +++'=- ,22222210cos 22a cb b ac ac B ac +-=--+≤⇒=≥()0,(0,].3B B ππ∈∴∈故最大值为:3π.故答案为C .二、填空题13.【分析】设函数求得求得函数的单调性和极值画出函数的图象结合图象分类讨论即可求解【详解】设函数则令得:当时函数单调递增;当时函数单调递减又故画出函数的图象如图所示:因为存在实数b 使函数恰有三个零点所以解析:1,1e ⎛⎫- ⎪⎝⎭【分析】 设函数()x x h x e =,求得()1xxh x e '-=,求得函数的单调性和极值,画出函数的图象,结合图象分类讨论,即可求解. 【详解】 设函数()x x h x e =,x ∈R ,则()1xxh x e '-=,令()0h x '=得:1x =, 当(),1x ∈-∞时,()0h x '>,函数()h x 单调递增; 当()1,x ∈+∞时,()0h x '<,函数()h x 单调递减,又()11h e=,故画出函数()h x 的图象,如图所示:因为存在实数b ,使函数()()g x f x b =-恰有三个零点, 所以存在实数b ,使方程()f x b =有三个实数根,所以存在实数b ,使函数()f x 与y b =的图象有3个交点,因为函数(),,x xx a f x e x x a⎧≥⎪=⎨⎪-<⎩,结合函数()h x 的图象和函数y x =-单调递减,所以1a <,①当01a ≤<时,函数()f x 的图象如图所示:显然存在实数b ,使函数()f x 与y b =的图象有3个交点,符合题意, ②当0a <时,函数()f x 的图象如图所示:要存在实数b ,使函数()f x 与y b =的图象有3个交点,则1a e-<,解得1a e >-,所以10a e-<<, 综上所述,a 的取值范围是:1,1e ⎛⎫- ⎪⎝⎭, 故答案为:1,1e ⎛⎫- ⎪⎝⎭. 【点睛】有关函数零点的判定方法及策略:(1)直接法:令()0f x =,有几个解,函数就有几个零点;(2)零点的存在定理法:要求函数()f x 在区间[],a b 上连续不断的曲线,且()()0f a f b <,再结合函数的图象与性质确定零点的个数;(3)图象法:利用图象交点的个数,作出两函数的图象,观察其交点的个数,得出函数()f x 的零点个数.14.【分析】连过作垂足为设则则等腰梯形的面积令利用导数求其最值【详解】连过作垂足为如图:设则所以等腰梯形的面积令单调递增单调递减所以时取得极大值也是最大值即的最大值故答案为:【点睛】本题考查了函数的实际 解析:33【分析】连OC ,过C 作CE OB ⊥,垂足为E ,设(02),OE x x CE y =<<=,则224x y +=,则等腰梯形ABCD 的面积1(24)(2)2S x y x y =+=+3(2)(2)x x =+-,令3()(2)(2),02h x x x x =+-<<,利用导数求其最值. 【详解】连OC ,过C 作CE OB ⊥,垂足为E ,如图:设,OE x CE y ==,则224x y +=, 所以等腰梯形ABCD 的面积1(24)(2)2S x y x y =+=+2(2)4x x =+-2x =<<令3()(2)(2),02h x x x x =+-<<232()3(2)(2)(2)4(1)(2)h x x x x x x '=+--+=-+, (0,1),()0,()x h x h x ∈'>单调递增, (1,2),()0,()x h x h x ∈'<单调递减,所以1x =时,()h x 取得极大值,也是最大值,max ()(1)27h x h ==,即S 的最大值故答案为: 【点睛】本题考查了函数的实际应用,运用导数求最值时解题的关键,属于中档题.15.【分析】对函数进行求导导函数在区间上恒非正或恒非负进行求解即可【详解】由题意得:函数的定义域为由题意可知:或在区间上恒成立当在区间上恒成立时当时因此有;当在区间上恒成立时当时因此有综上所述:实数的取 解析:(,16][6,)-∞-+∞【分析】对函数进行求导,导函数在区间()1,2上恒非正或恒非负进行求解即可. 【详解】由题意得:函数()f x 的定义域为()0+∞,, 2'()+4ln ()2+4af x x x a x f x x x=+⇒=+,由题意可知:'()0f x ≥或'()0f x ≤在区间()1,2上恒成立.当'()0f x ≥在区间()1,2上恒成立时,222+40242(+1)2ax a x x x x+≥⇒≥--=-+, 当()1,2x ∈时,()2(24)166x x --∈--,,因此有6a ≥-; 当'()0f x ≤在区间()1,2上恒成立时,222+40242(+1)2ax a x x x x+≤⇒≤--=-+, 当()1,2x ∈时,()2(24)166x x --∈-,,因此有16a ≤-, 综上所述:实数a 的取值范围是(,16][6,)-∞-+∞. 故答案为:(,16][6,)-∞-+∞. 【点睛】本题考查了已知函数在区间上的单调性求参数取值范围,考查了导数的应用,考查了数学运算能力,属于中档题.16.【分析】构造函数则所以的单调递减将转化成又再根据函数单调性即可求出结果【详解】设所以因为所以所以在上为减函数因为函数是定义在上的增函数所以所以在上恒成立又因为所以所以即因为所以所以又在上为减函数所以 解析:(),0-∞【分析】 构造函数()()2+=x f x g x e ,则()()()()20'-+'=<xf x f xg x e,所以()g x 的单调递减,将()ln 2ln 3f x x +>+⎡⎤⎣⎦转化成()23+>xf x e,又()03g =,再根据函数单调性即可求出结果. 【详解】设()()2+=x f x g x e ,所以()()()()()()()222''-+-+'==x x x xf x e f x e f x f xg x e e, 因为()()2f x f x '+>,所以()0g x '<,所以()()2+=xf xg x e在R 上为减函数, 因为函数()f x 是定义在R 上的增函数,所以()0f x '>,所以()()20'+>>f x f x 在R 上恒成立,又因为()ln 2ln 3f x x +>+⎡⎤⎣⎦,所以()2ln3+>f x x ,所以()23+>x f x e ,即()23+>x f x e ,因为()01f =,所以()()00203+==f g e,所以()()0g x g >,又()()2+=xf xg x e在R 上为减函数,所以0x <. 故答案为:(),0-∞ 【点睛】本题主要考查导数在判断单调性中的应用,解题的关键是合理构造函数,利用导函数判断构造的函数的单调性.17.【分析】设出圆柱的底面半径和高求出体积表达式通过求导求出体积的最大值【详解】设圆柱底面半径高圆柱轴截面的周长为定值则求导可得:令可得当时当时当时圆柱体积的有最大值圆柱体积的最大值是:故答案为:【点睛解析:3216l π 【分析】设出圆柱的底面半径和高,求出体积表达式,通过求导求出体积的最大值. 【详解】设圆柱底面半径R ,高H ,圆柱轴截面的周长l 为定值, 则42R H l +=22lH R ∴=-22232222l l V SH R H R R R R ππππ⎛⎫∴===-=- ⎪⎝⎭求导可得:26V Rl R ππ'=- 令0V '=,可得260Rl R ππ-=,(6)0R l R π∴-= 60l R ∴-=6lR ∴=当6lR >时,(6)0V R l R π'=-< 当6lR <时,(6)0V R l R π'=-> 当6l R =时,圆柱体积的有最大值,圆柱体积的最大值是:32322216l l V R R πππ=-=故答案为:3216l π.【点睛】本题主要考查了根据导数求最值,解题关键是掌握根据导数求最值的方法,考查了分析能力和计算能力,属于中档题.18.【分析】首先求出函数的导函数由再根据三角函数的性质解三角不等式即可;【详解】解:所以令即所以故的单调递增区间为故答案为:【点睛】本题考查利用导数求函数的单调区间三角函数的性质的应用属于中档题解析:06,π⎡⎤⎢⎥⎣⎦【分析】首先求出函数的导函数,由()0f x '>,再根据三角函数的性质解三角不等式即可; 【详解】 解:()1cos 2f x x x =+,0,2x π⎡⎤∈⎢⎥⎣⎦所以()1sin 2f x x '=-+,0,2x π⎡⎤∈⎢⎥⎣⎦令()0f x '>,即1sin 02x -+>,所以06x π<<,故()f x 的单调递增区间为06,π⎡⎤⎢⎥⎣⎦,故答案为:06,π⎡⎤⎢⎥⎣⎦【点睛】本题考查利用导数求函数的单调区间,三角函数的性质的应用,属于中档题.19.【分析】对函数求导要满足题意只需导函数在定义域内有两个零点数形结合即可求得【详解】由可得函数定义域为且若满足有两个不同的极值点则需要满足有两个不同的实数根即在区间上有两个不同的实数根也即直线与函数有 解析:()0,1【分析】对函数求导,要满足题意,只需导函数在定义域内有两个零点,数形结合即可求得. 【详解】 由()2122f x x x aInx =-+可得函数定义域为()0,∞+且()2a f x x x=+-' 若满足()f x 有两个不同的极值点, 则需要满足()20af x x x=-'+=有两个不同的实数根, 即22a x x =-+在区间()0,∞+上有两个不同的实数根,也即直线y a =与函数()22,0,y x x x =-+∈+∞有两个交点,在直角坐标系中作图如下:数形结合可知,故要满足题意,只需()0,1a ∈. 故答案为:()0,1. 【点睛】本题考查由函数极值点的个数,求参数范围的问题,属基础题;本题也可转化为二次函数在区间()0,∞+上有两个实数根,从而根据二次函数根的分布进行求解.20.①②④【分析】根据已知条件得到函数的对称轴以及函数的单调性结合题意对选项进行逐一判断即可【详解】因为故关于对称;又故当时单调递增;时单调递减对①:若根据函数单调性显然则根据零点存在定理和函数单调性在解析:①②④ 【分析】根据已知条件得到函数的对称轴,以及函数的单调性,结合题意,对选项进行逐一判断即可.【详解】因为(4)()f x f x -=,故()f x 关于2x =对称;又(()2)0x f x -'>,故当2x >时,()f x 单调递增;2x <时,()f x 单调递减. 对①:若(2)(6)0f f <,根据函数单调性,显然()()20,60f f ,则()20f -> 根据零点存在定理和函数单调性,()f x 在()()2,2,2,6-上各有1个零点,故①正确; 对②:因为()f x 关于2x =对称,故()2f x +关于0x =对称,故是偶函数,则②正确;对③:121257sin cos ︒+︒=︒<(),2-∞单调递减可知,()1212ff sin cos <︒+︒,故③错误;对④:因为12x x <,故可得1222x x -<-;因为124x x +>,故可得1222x x -<- 故2122x x ->-,又函数关于2x =对称,结合函数单调性, 故可得()()21f x f x >,故④正确. 综上所述:正确的有①②④. 故答案为:①②④. 【点睛】本题考查根据导数的正负判断函数的单调性,函数对称轴的识别,涉及辅助角公式的使用,利用函数单调性比较大小,属综合性中档题.三、解答题21.(1)2a >;(2)证明见解析. 【分析】(1)利用题中的条件函数有两个极值点,相当于导数等于零有两个解,对函数求导,对函数加以分析,最后求得结果;(2)构造相应的函数,研究函数的图像,找出其对应的最值,最后求得结果. 【详解】解:(1))(211x ax f x x a x x='-+=-+,即方程210x ax -+=有两相异正根,即方程1a x x =+有两相异正根,由1y x x=+图象可知2a >. (2)要证)(2132f x x <-,只要证2222113ln 22x ax x x -+<-, 1x 、2x 为方程210x ax -+=的两根,121=x x ,2221ax x =+.只要证)(2222221311ln 22x x x x -++<-;只要证3222213ln 22x x x x --+<-;2x 为方程210x ax -+=的较大根,212ax >>. 令)()(32222221ln 12g x x x x x x =--+>. )()(222223ln 12g x x x x '=-+>,)()(222221301g x x x x =-+<'>';)(22223ln 2g x x x +'=-在)(1,+∞上单调减,所以)(()210g x g ''<<恒成立;)(2g x 在)(1,+∞上单调减,)(()2312g x g <=-.【点睛】:思路点睛:该题属于导数的综合题,在做题的过程中,紧紧抓住导数与函数性质的关系,导数大于零单调增,导数小于零,函数单调减,借用二阶导来进一步研究函数的性质,对于不等式的证明问题,注意转化为最值来处理. 22.(1)10a =;(2) 3.3. 【分析】(1)将“销售价格为4元/件时,每月可售出21千件”带入关系式中即可得出结果; (2)首先可通过题意得出每月销售装饰品所获得的利润24(6102)2f x x x x ,然后通过化简并利用导数求得最大值,即可得出结果. 【详解】(1)由题意可知,当销售价格为4元/件时,每月可售出21千件, 所以2214(46)42a ,解得10a =.(2)设利润为()f x ,则2f xy x ,26x <<,带入2104(6)2y x x =+--可得: 224(6)(6)10210422f x xx x x x ,化简可得32456240278f xx x x ,函数()f x 的导函数21211224043106f xx x x x ,26x <<,当0f x 时,1032x ,函数()f x 单调递增;当0f x时,1036x ,函数()f x 单调递减;当0fx 时,103x,函数()f x 取极大值,也是最大值,所以当103x,函数()f x 取最大值,即销售价格约为每件3.3元时,该店每月销售装饰品所获得的利润最大. 【点睛】本题考查函数的相关性质,主要考查函数的实际应用以及利用导数求函数的最值,本题的关键在于能够通过题意得出题目所给的销售量、销售价格以及每月销售装饰品所获得的利润之间的关系,考查推理能力与计算能力,考查化归与转化思想,是中档题. 23.(1)答案见解析;(2)[)1,-+∞.【分析】(1)对实数a 分情况讨论,求导得到导函数的正负,进而得到函数的单调性和极值; (2)由条件可得()2ln 00x x ax x --≤>恒成立,则当0x >时,ln x a x x≥-恒成立,令()()ln 0x h x x x x=->,对此函数求导得到函数的单调性和最值即可得到结果. 【详解】 (1)函数()ln f x x ax =-的定义域为()0,∞+,()1f x a x '=-. 当0a ≤时,()10f x a x'=->,所以()y f x =在()0,∞+上单调递增,无极值点; 当0a >时,解()10f x a x '=->得10x a <<;解()10f x a x '=-<得1x a>. 所以()y f x =在10,a ⎛⎫ ⎪⎝⎭上单调递增,在1,a ⎛⎫+∞ ⎪⎝⎭上单调递减, 所以函数()y f x =有极大值点是1a ,无极小值点; (2)由条件可得()2ln 00x x ax x --≤>恒成立,则当0x >时,ln x a x x≥-恒成立, 令()()ln 0x h x x x x =->,则()221ln x x h x x--'=,令()()21ln 0k x x x x =-->, 则当0x >时,()120k x x x'=--<,所以()y k x =在()0,∞+上为减函数. 又(1)0k =,所以,当()0,1x ∈时,()0h x '>;当()1,x ∈+∞上,()0h x '<. 所以()y h x =在()0,1上为增函数,在()1,+∞上为减函数.所以()()max 11h x h ==-,所以1a ≥-.因此,实数a 的取值范围是[)1,-+∞.【点睛】对于函数不等式恒成立或者有解求参的问题,常用方法有:参变分离,转化为函数最值问题;或者直接求函数最值,使得函数最值大于或者小于0;或者分离成两个函数,使得一个函数恒大于或小于另一个函数.24.(1)230x e y e +-=(2)(,0]-∞【详解】试题分析:(1)先求函数导数,再根据导数几何意义得切线斜率为()'f e ,最后根据点斜式求切线方程(2)构造函数()()2ln 1g x x a x =--,利用导数并按0a ≤,10<2a <,12a ≥进行分类讨论,通过函数的单调性以及最值进行与0比较,可得结果. 试题 (1)根据题意可得,()2f e e =, ()2ln 'x f x x -=,所以()22ln 1'e f e e e -==-,即21k e =-, 所以在点()(),e f e 处的切线方程为()221y x e e e-=--,即230x e y e +-=. (2)根据题意可得,()()()221ln 110a x x a x f x x x x-----=≥在1≥x 恒成立,令()()2ln 1g x x a x =--,()1x ≥, 所以()12g x ax x-'=, 当0a ≤时,()0g x '>,所以函数()y g x =在[)1,+∞上是单调递增,所以()()10g x g ≥=,所以不等式()()21a x f x x ->成立,即0a ≤符合题意;当0a >时,令120ax x-=,解得x =1=,解得12a =,当10<2a <1,所以()g x '在⎛⎝上()0g x '>,在+⎫∞⎪⎪⎭上()0g x '<,所以函数()y g x =在⎛ ⎝上单调递增,在+⎫∞⎪⎪⎭上单调递减,21111ln 1ln g a a a a a a a ⎛⎫⎛⎫⎛⎫=--=--+ ⎪ ⎪ ⎪ ⎪⎝⎭⎝⎭⎝⎭,令()1ln h a a a a =--+, ()222111'10a a h a a a a-+=-++=>恒成立,则()h a 在10,2⎛⎫ ⎪⎝⎭单调递增 所以()1111ln 2ln2202222h a h ⎛⎫<=--+=+-< ⎪⎝⎭,所以存在10g a ⎛⎫<⎪⎝⎭, 所以102a <<不符合题意;②当12a ≥1≤ ()0g x '≤在[)1,+∞上恒成立,所以函数()y g x =在[)1,+∞上是单调递减,所以()()10g x g ≤= 显然12a ≥不符合题意; 综上所述,a 的取值范围为{}|0a a ≤25.(1)1ln ,22a ⎛⎫+∞⎪⎝⎭(2)32a e > 【分析】(1)直接求出函数的导函数,令()0f x '>,解不等式即可;(2)由题意容易知道2102222a ln a a a f ln e ln a ⎛⎫=-+< ⎪⎝⎭,解出即可求得实数a 的取值范围; 【详解】解:(1)因为()2x f x e ax b =-+所以()()220x f x e a a '=->,令()0f x '>,得1ln 22a x >,∴函数()f x 的单调递增区间为1ln ,22a ⎛⎫+∞ ⎪⎝⎭(2)由(1)知,函数()f x 在1,ln 22a ⎛⎫-∞ ⎪⎝⎭递减,在1ln ,22a ⎛⎫+∞ ⎪⎝⎭递增, ∴x →-∞时,()f x →+∞;x →+∞,()f x →+∞,∵函数()f x 有两个零点12,x x ,∴1ln 022a f ⎛⎫< ⎪⎝⎭,又a b =, ∴ln 21ln ln 02222a a a a f e a ⎛⎫=-+< ⎪⎝⎭, 即ln 0222a a a a -+< 所以3ln02a -< 所以32a e >【点睛】本题考查利用导数研究函数的单调性及最值问题,考查导数中零点问题,考查转化思想及运算求解能力,属于中档题.26.(1)y x =;(2)3a=-. 【分析】(1)求出导函数,结合()f x 在23x =处取极值,导函数为0,求解a ,然后求解切线的斜率,求解切线方程.(2)令()0f x '=,求出极值点,若0a ,若32a -,若302a >>-,判断导函数的符号判断函数的单调性求解函数的极值与最值,然后推出结果.【详解】 解:(1)∵2()3()3f x x x a '=+,又()f x 在23x =处取极值, ∴2()03f '=得1a =-, 当1a =-时2()33f x x x ⎛⎫'=- ⎪⎝⎭,函数在(),0-∞和2,3⎛⎫+∞ ⎪⎝⎭上单调递增,在20,3⎛⎫ ⎪⎝⎭上单调递减,满足题意;∴32()1f x x x =-+,切点为(1,1),切线斜率为(1)1k f '==∴()f x 在点(1,1)的切线方程为y x = (2)∵2()3()3a f x x x '=+,令()0f x '=得0x =或23a - 若0a ≥,则(0,1)x ∈时()0f x '>,()f x 在[0,1]为增函数此时min ()(0)11f x f ==>-舍去若32a ≤-,则213a -≥,此时(0,1)x ∈时()0f x '<,()f x 在[0,1]为减函数 min ()(1)21f x f a ==+=-,得33(,)2a =-∈-∞-满足题意 若302a >>-,则2013a <-<,此时2(0,)3x a ∈-时()0f x '<,2(,1)3a x ∈-时()0f x '> ()f x 在2(0,)3a -单调递减,在2(,1)3a -单调递增,此时3min24()()11327a a f x f =-=+=-解得3(,0)2a =-舍去 综合以上得3a=-【点睛】 本题考查函数的导数的应用,函数的极值以及函数的最值的求法,考查转化思想以及计算能力,属于难题.。
高二数学导数的概念和几何意义试题答案及解析1.若直线是曲线的切线,则的值为 .【答案】或.【解析】设直线是曲线的切点的坐标为,则,即,且,联立这两个方程解得:或,从而或.【考点】利用导数研究曲线上某点切线方程.2.函数在处的切线方程是()A.B.C.D.【答案】A【解析】∵,∴切线的斜率,切点坐标(0,1)∴切线方程为y-1=-(x-0),即x+y-1=0.故选A.【考点】导数的几何意义;函数的求导运算.3.若,则等于()A.-1B.-2C.1D.【答案】A【解析】根据导数的定义知===-1,故选A.【考点】导数的定义4.(1)已知函数,过点P的直线与曲线相切,求的方程;(2)设,当时,在1,4上的最小值为,求在该区间上的最大值.【答案】(1) 或(2) 最大值为【解析】(1) 根据题意可知,直线过点,但是并没有说明该点是不是切点,所以得设出切点坐标,根据导数的几何意义可知,曲线切线的斜率就是在切点横坐标处的导数,然后利用点斜式求得切线方程;代入点可求出切点,从而得切线方程.(2)首先利用导数求得极值点和函数的单调区间,根据的范围可判断出函数在所给区间上的单调性,从而得出在该区间上的最小值(含),令其等于可得,从而求出在该区间的最大值.试题解析:(1)根据题意可知,直线过点,但是并没有说明该点是不是切点,所以设切点为,因为函数的导函数为,所以根据导数的几何意义可知,切线的斜率,则利用点斜式可得:切线的方程.因为过点,所以,解得或故的方程为或,即或.(2)令得,,故在上递减,在上递增,在上递减.当时,有,所以在上的最大值为又,即.所以在上的最小值为,得故在上的最大值为【考点】导数法求切线方程;导数法求单调性和最值.5.曲线在处的切线的倾斜角是()A.B.C.D.【答案】C【解析】由题知,当时,,则倾斜角的正切值为,倾斜角为.【考点】1.导数的几何意义;2.斜率与倾斜角.6.下列关于函数的性质叙述错误的是()A.在区间上单调递减B.在定义域上没有最大值C.在处取最大值3D.的图像在点处的切线方程为【答案】C【解析】因为,于是可得00极小值当时,,当时,所以可知A、B正确,C不正确,在处取得极大值3,并不是最大值而的图像在点处的切线的斜率为,故此时的切线方程为综上可知,只有C是错误的,故选C.【考点】导数在研究函数性质上的应用.7.已知函数.(1)若,求曲线在点处的切线方程;(2)若函数在其定义域内为增函数,求正实数的取值范围;(3)设函数,若在上至少存在一点,使得>成立,求实数的取值范围.【答案】(1);(2)实数的取值范围是;(3)实数的取值范围.【解析】(1)求的导数,找出处的导数即切线的斜率,由点斜式列出直线的方程即可;(2)求出函数的定义域,在定义域内利用导数与函数增减性的关系,转化为恒成立问题进行求解即可;(3)讨论在定义域上的最值,分情况讨论的增减性,进而解决存在成立的问题即可.(1)当时,函数,,曲线在点处的切线的斜率为从而曲线在点处的切线方程为,即 3分(2)令,要使在定义域内是增函数,只需在内恒成立由题意,的图象为开口向上的抛物线,对称轴方程为∴,只需,即时,∴在内为增函数,正实数的取值范围是 7分(3)∵在上是减函数∴时,;时,,即①当时,,其图象为开口向下的抛物线,对称轴在轴的左侧,且,所以在内是减函数当时,,因为,所以,此时,在内是减函数故当时,在上单调递减,不合题意②当时,由,所以又由(Ⅱ)知当时,在上是增函数∴,不合题意 12分③当时,由(Ⅱ)知在上是增函数,又在上是减函数,故只需,而,即,解得所以实数的取值范围是 15分.【考点】1.导数的几何意义;2.函数的单调性与导数;3.二次函数的图像与性质;4.分类讨论的思想.8.函数的图像在点)处的切线与轴的交点的横坐标为()若,则= 。
创新设计(全国通用)2018版高考数学一轮复习第三章导数及其应用第1讲导数的概念及运算练习理北师大版编辑整理:尊敬的读者朋友们:这里是精品文档编辑中心,本文档内容是由我和我的同事精心编辑整理后发布的,发布之前我们对文中内容进行仔细校对,但是难免会有疏漏的地方,但是任然希望(创新设计(全国通用)2018版高考数学一轮复习第三章导数及其应用第1讲导数的概念及运算练习理北师大版)的内容能够给您的工作和学习带来便利。
同时也真诚的希望收到您的建议和反馈,这将是我们进步的源泉,前进的动力。
本文可编辑可修改,如果觉得对您有帮助请收藏以便随时查阅,最后祝您生活愉快业绩进步,以下为创新设计(全国通用)2018版高考数学一轮复习第三章导数及其应用第1讲导数的概念及运算练习理北师大版的全部内容。
第三章导数及其应用第1讲导数的概念及运算练习理北师大版基础巩固题组(建议用时:40分钟)一、选择题1.设曲线y=e ax-ln(x+1)在x=0处的切线方程为2x-y+1=0,则a=( )A。
0 B.1 C。
2 D。
3解析∵y=e ax-ln(x+1),∴y′=a e ax-错误!,∴当x=0时,y′=a-1。
∵曲线y=e ax -ln(x+1)在x=0处的切线方程为2x-y+1=0,∴a-1=2,即a=3。
故选D。
答案D2.若f(x)=2xf′(1)+x2,则f′(0)等于( )A.2B.0C.-2D.-4解析∵f′(x)=2f′(1)+2x,∴令x=1,得f′(1)=-2,∴f′(0)=2f′(1)=-4.答案D3.(2017·西安质测)曲线f(x)=x3-x+3在点P处的切线平行于直线y=2x-1,则P点的坐标为( )A。
(1,3)B。
(-1,3)C。
(1,3)和(-1,3)D。
(1,-3)解析f′(x)=3x2-1,令f′(x)=2,则3x2-1=2,解得x=1或x=-1,∴P(1,3)或(-1,3),经检验,点(1,3),(-1,3)均不在直线y=2x-1上,故选C.答案C4。
2022-2023学年北师大版高二下数学:导数的应用一.选择题(共8小题)1.(2021秋•湖北期中)若f(x)=e x•lnx,则f(x)的切线的倾斜角α满足()A.一定为锐角B.一定为钝角C.可能为直角D.可能为0°2.(2021秋•运城期末)已知,则f′(x)=()A.cos x B.﹣cos x C.sin x D.﹣sin x 3.(2021秋•新化县期末)若函数f(x),g(x)满足f(x)+xg(x)=x2﹣1,且f(1)=1,则f'(1)+g'(1)=()A.1B.2C.3D.44.(2021秋•怀仁市校级期末)已知f(x)=cos2x+e2x,则f'(x)=()A.﹣2sin2x+2e2x B.sin2x+e2xC.2sin2x+2e2x D.﹣sin2x+e2x5.(2021春•番禺区校级期中)函数y=cos(1+x2)的导数是()A.2x sin(1+x2)B.﹣sin(1+x2)C.﹣2x sin(1+x2)D.2cos(1+x2)6.(2020•南充模拟)设a∈R,函数f(x)=e x+a•e﹣x的导函数是f′(x),且f′(x)是奇函数.若曲线y=f(x )的一条切线的斜率是,则切点的横坐标为()A.ln2B.﹣ln2C .D .7.(2019春•南开区校级期中)下列式子不正确的是()A.(3x2+cos x)′=6x﹣sin xB.(lnx﹣2x )′=ln2C.(2sin2x)′=2cos2xD.()′=8.(2015春•郑州期末)若函数f(x)=,则f′(x)是()A.仅有最小值的奇函数B.仅有最大值的偶函数C.既有最大值又有最小值的偶函数第1页(共12页)。
§2 导数的概念及其几何意义A组1.若函数f(x)=-3x-1,则f'(x)=()A.0B.-3xC.3D.-3解析:f'(x)=limΔx→0f(x+Δx)-f(x)Δx=lim Δx→0-3(x+Δx)-1+3x+1Δx=limΔx→0(-3)=-3.答案:D2.已知函数y=f(x)的图像如下图所示,则f'(x A)与f'(x B)的大小关系是()A.f'(x A)>f'(x B)B.f'(x A)<f'(x B)C.f'(x A)=f'(x B)D.不能确定解析:由图像易知,点A,B处的切线斜率k A,k B满足k A<k B<0,由导数的几何意义,得f'(x A)<f'(x B).答案:B3.已知曲线y=x3上过点(2,8)的切线方程为12x-ay-16=0,则a=()A.-1B.1C.-2D.2解析:k=limΔx→0(2+Δx)3-23Δx=limΔx→0[12+6Δx+(Δx)2]=12,∴过点(2,8)的切线方程为y-8=12(x-2),即y=12x-16,∴a=1.答案:B4.若曲线y=x3+x-10的一条切线与直线y=4x+3平行,则该切点的坐标为()A.(1,-8)B.(-1,-12)C.(1,-8)或(-1,-12)D.(1,-12)或(-1,-8)解析:设切点坐标为P(x0,y0),则y0=x03+x0-10.切线斜率k=limΔx→0(x0+Δx)3+(x0+Δx)-10-(x03+x0-10)Δx=limΔx→0[(3x02+1)+3x0·Δx+(Δx)2]=3x02+1=4,∴x0=±1.当x0=1时,y0=-8;当x0=-1时,y0=-12,即切点为(1,-8)或(-1,-12).答案:C5.曲线f(x)=x2在x=0处的切线方程为.解析:f'(0)=limΔx→0(0+Δx)2-0Δx=limΔx→0Δx=0,又切线过点(0,0),故切线方程为y=0.答案:y=06.如图,函数y=f(x)的图像在点P处的切线方程是y=-2x+9,P点的横坐标是4,则f(4)+f'(4)=.解析:由题意得,f'(4)=-2,f(4)=-2×4+9=1.因此,f(4)+f'(4)=1-2=-1.答案:-17.曲线f(x)=x3在点(a,a3)(a≠0)处的切线与x轴、直线x=a围成的三角形的面积为16,则a=.解析:因为f'(a)=limΔx→0(a+Δx)3-a3Δx=3a2,所以曲线在点(a,a3)处的切线方程为y-a3=3a2(x-a).令y=0,得切线与x轴的交点为(23a,0),由题设知三角形面积为12|a-23a|·|a3|=16,解得a=±1.答案:±18.求下列函数的导数.(1)求函数f(x)=√x在x=1处的导数;(2)求y=x2+ax+b(a,b为常数)的导数.解(1)解法一(导数定义法):Δy=√1+Δx-1,Δy Δx =√1+Δx-1Δx=√1+Δx+1.limΔx→√1+Δx+1=12,∴f'(1)=12.解法二(导函数的函数值法):Δy=√x+Δx−√x,Δy Δx =√x+Δx -√x Δx=√x+Δx+√x . ∴lim Δx →0Δy Δx=lim Δx →√x+Δx+√x =2√x . ∴f'(x )=2√x ,∴f'(1)=12. (2)y'=lim Δx →0(x +Δx )2+a (x +Δx )+b -(x 2+ax +b )Δx=lim Δx →02x (Δx )+a (Δx )+(Δx )2Δx =lim Δx →0(2x+a+Δx )=2x+a.9.导学号01844032已知曲线y=1t -x 上点P (2,-1). 求:(1)曲线在点P 处的切线的斜率;(2)曲线在点P 处的切线方程.解将P (2,-1)代入y=1t -x ,得t=1,∴y=11-x .∴y'=lim Δx →0f (x+Δx )-f (x )Δx=limΔx →011-(x+Δx )-11-x Δx =limΔx →0Δx [1-(x+Δx )](1-x )Δx =lim Δx →01(1-x -Δx )(1-x )=1(1-x )2.(1)曲线在点P 处的切线的斜率为1(1-2)2=1;(2)曲线在点P 处的切线方程为y-(-1)=x-2,即x-y-3=0.B 组1.曲线y=f (x )=12x 2-2在点(1,-32)处切线的倾斜角为( ) A.1 B.π4C.54D.-π4 解析:由导数的定义可知f'(x )=x ,所以f'(1)=1=tan θ,故θ=π4.答案:B2.已知直线ax-by-2=0与曲线y=x 3在点P (1,1)处的切线互相垂直,则a b 的值为( ) A.23 B.-23 C.13 D.-13 解析:由导数的定义可得y'=3x 2,∴y=x 3在点P (1,1)处的切线斜率k=3.由条件知,3×a b =-1,∴a b =-13.答案:D3.函数y=f (x )的图像在点P (5,f (5))处的切线方程是y=-x+8,则f (5)+f'(5)= . 解析:由题意知,f (5)=-5+8=3,f'(5)=-1, ∴f (5)+f'(5)=2.答案:24.如图,函数f (x )的图像是折线段ABC ,其中A ,B ,C 的坐标分别为(0,4),(2,0),(6,4),则f [f (0)]= ;lim Δx →0f (1+Δx )-f (1)Δx = .(用数字作答)解析:易知f (x )={-2x +4(0≤x ≤2),x -2(2<x ≤6),∴f (0)=4,f [f (0)]=f (4)=2.由导数的定义知limΔx →0f (1+Δx )-f (1)Δx =f'(1)=-2.答案:2 -25.导学号01844033已知曲线C :y=1t -x 经过点P (0,-1),求: (1)曲线在点P 处的切线的斜率.(2)曲线在点P 处的切线的方程.(3)过点O (0,0)的曲线C 的切线方程.解(1)将P (0,-1)代入y=1t -x 中得t=-1, ∴y=-1x+1.∴Δy Δx =f (x+Δx )-f (x )Δx=-1x+Δx+1+1x+1Δx =1(x+Δx+1)(x+1),∴lim Δx →0Δy Δx=1(x+1)2, ∴曲线在点P 处切线的斜率为k=1(0+1)2=1.(2)曲线在点P 处的切线方程为y+1=x ,即x-y-1=0.(3)∵点O (0,0)不在曲线C 上,设过点O 的曲线C 的切线与曲线C 相切于点M (x 0,y 0), 则切线斜率k=y 0x 0=1(x 0+1)2, ∵y 0=-1x 0+1,∴x 0=-12,∴切点M (-12,-2),切线斜率k=4,切线方程为y+2=4(x +12),即y=4x.6.导学号01844034已知直线l 1为曲线y=f (x )=x 2+x-2在(1,0)处的切线,l 2为该曲线的另一条切线,且l 1⊥l 2.(1)求直线l 2的方程;(2)求由直线l 1,l 2和x 轴围成的三角形的面积.解(1)f'(x )=limΔx →0(x+Δx )2+(x+Δx )-2-x 2-x+2Δx =lim Δx →02x (Δx )+(Δx )2+Δx Δx =lim Δx →0(2x+Δx+1)=2x+1.∴f'(1)=2×1+1=3,∴直线l 1的方程为y=3(x-1),即y=3x-3.设直线l 2与曲线y=x 2+x-2相切于点B (b ,b 2+b-2),则l 2的方程为y=(2b+1)x-b 2-2.∵l 1⊥l 2,则有2b+1=-13,b=-23,∴直线l 2的方程为y=-13x-229.(2)解方程组{y =3x -3,y =-13x -229,得{x =16,y =-52. 故直线l 1和l 2的交点坐标为(16,-52).l 1,l 2与x 轴交点的坐标分别为(1,0),(-223,0), 故所求三角形的面积S=12×253×|-52|=12512.。
导数的概念及运算易错剖析河南省滑县第六高级中学(456400)王红敢导数是高中数学的非常重要的内容,是解决实际问题的强有力的数学工具,下面就在学习导数的概念和运算中常见的错误进行归纳、剖析,旨在引起同学们足够的重视。
一、概念理解不清出现错误例1已知函数84753)(45+--=x x x f ,则=∆-∆+→∆x f x f x )1()21(lim 0_。
错解:∵34/73)(x x x f --=,∴xf x f x ∆-∆+→∆)1()21(lim 010)1(/-==f 剖析:解法错误的主要原因皆在于对导数的定义理解不深刻。
在导数的定义中,增量x ∆是多种多样的,但不论x ∆选择哪一种形式,相应y ∆中也必须选择相应的形式。
而上述解法中增量为x ∆2,则分母也应为x ∆2。
正解:=∆-∆+→∆x f x f x )1()21(lim 0=∆-∆+→∆x f x f x )1()21(lim 0220)1(/-=f 。
二、盲目套用运算法则出现错误例2:已知()(1)(2)(3)(3)f x x x x x =--->求()f x '错解:()(2)(3)(1)(2)(2)(4)f x x x x x x x '=--+--=--剖析:本题主要考查导数的四则运算法则,教材中的公式是:()u v u v u v '''⋅=⋅+⋅,而对于()()()()()u v q u vq u vq u vq u v q vq u vq '''''''⋅⋅=+=++=uv q uvq ''++所以对()(1)f x x =- (2)(3)x x --在进行求导时并不能简单地照搬公式,需要采用转化的思想进行计算。
正解:把(2)(3)x x --看作一项,因此有()(1)[(2)(3)](1)[(2)(3)](2)(3)(1)[(3)f x x x x x x x x x x x '''=---+---=--+--(2)]x +-2(2)(3)(1)(25)31211x x x x x x =--+--=-+三、运用导数的几何意义出现错误 例3曲线313y x =上一点P (2,83),求过点P 的切线方程 错解:由'y =2x ,'2|4x y ==得切线方程是84(2)3y x -=-,即12x-3y-16=0. 剖析:导数0()f x '的几何意义是曲线y =)(x f 上点(x 0,0()f x )处切线的斜率,虽然点P(2,83)在曲线上,但过点P 的切线不一定以P 为切点.在本题中所求的是“过P 点的切线”,而不只是求“切点是P ”的切线,所以过点P 但不以P 为切点的切线方程也是符合题意的. 正解:当P 为切点时,同上解;当P 点不是切点时,设切点为Q 00(,)x y , 则切线方程为032001()3x y x x x x -=-,因为切线过点P (2,83),代入求得切点为Q (2,83)或Q(-1,13-)由此可求出另外一条切线方程为3x-2y+2=0,因此所求的切线有两条。
高二数学导数计算试题答案及解析1.函数,,则A.B.C.D.【答案】C【解析】由,可得,又因为,所以,所以.【考点】导函数的应用.2.已知函数f(x)的导函数为f′(x),满足f(x)=2xf′(2)+x3,则f′(2)等于().A.﹣8B.﹣12C.8D.12【答案】B.【解析】,;令,则,得.【考点】导数的计算.3.记,,…,.若,则的值为 .【答案】【解析】由f(x)=xcosx,得f(1)(x)=cosx﹣xsinx,f(2)(x)=﹣sinx﹣sinx﹣xcosx=﹣2sinx﹣xcosx,f(3)(x)=﹣2cosx﹣cosx+xsinx=﹣3cosx+xsinx,f(4)(x)=3sinx+sinx+xcosx=4sinx+xcosx,f(5)(x)=4cosx+cosx﹣xsinx=5cosx﹣xsinx,…,则f(0)+f(1)(0)+f(2)+…+f(2013)(0)=0+1+0﹣3+0+5+0﹣…+2013=(1﹣3)+(5﹣7)+…+(2009﹣2011)+2013=﹣2×503+2013=1007,故答案为:1007.【考点】导数的运算.4.函数的导函数为,若对于定义域内任意,,有恒成立,则称为恒均变函数.给出下列函数:①;②;③;④;⑤.其中为恒均变函数的序号是.(写出所有满足条件的函数的序号)【答案】①②【解析】对于①f(x)=2x+3,满足,为恒均变函数;对于②f(x)=x2-2x+3,,,故满足,为恒均变函数;对于;③f(x)=,,显然不满足,故不是恒均变函数;对于④f(x)=e x,,显然不满足,故不是恒均变函数;对于⑤f(x)=lnx,,显然不满足,故不是恒均变函数.故应填入:①②.【考点】1.函数的导数运算;2.判断命题的真假.5.若函数,则()A.B.C.D.【答案】B【解析】因为,所以则.故选B.【考点】导数的基本运算.6.曲线在横坐标为l的点处的切线为,则直线的方程为()A.B.C.D.【答案】A.【解析】当时,,而,故切线的方程为,即.【考点】导数的运用.7.若函数,则().A.B.C.D.【答案】C【解析】由,,,可知.【考点】基本函数的导数公式,复合函数求导.8.若在R上可导,,则()A.B.C.D.【答案】A【解析】∵f(x)=x2+2x+3,两边求导可得:,令x=2可得,∴f(x)=x2-8x+3,∴.【考点】导数的运用.9.已知函数的图象经过四个象限,则实数的取值范围是.【答案】()【解析】=ax2+ax-2a=a(x2+x-2)=a(x+2)(x-1),显然a≠0,①:若a<0,则f(x)在(),(1,+ )上单调递减,在(-2,1)上单调递增,因此若要使f(x)图像过四个象限,需;②:若a>0,则f(x)在(),(1,+)上单调递增,在(-2,1)上单调递减,因此若要使f(x)图像过四个象限,需,综上,a的取值范围是().【考点】导数的运用.10.设,若,则()A.B.C.D.【答案】A【解析】因为,所以当时,解得,所以。
一、选择题1.已知函数()()11332cos 1x x x f x --+=+--,则()()0.52310.5log 9log 2f f f -⎛⎫ ⎪⎝⎭、、的大小关系( ) A .()()0.5231log 9log 0.52f f f -⎛⎫>> ⎪⎝⎭B .0.5321(log )(0.5)(log 9)2f f f ->>C .0.5321(0.5)(log )(log 9)2f f f ->>D .0.5231(log 9)(0.5)(log )2f f f ->>2.已知函数()x f x e ex a =-+与1()ln g x x x=+的图象上存在关于x 轴对称的点,则a 的取值范围是( ) A .(,]e -∞-B .(,1] -∞-C .[1,) -+∞D .[,)e3.已知函数()322f x x ax x =--+,则“2a ≤”是“()f x 在()2,4上单调递增”的( ) A .充分不必要条件 B .必要不充分条件 C .充要条件 D .既不充分也不必要条件4.已知3()ln 44x f x x x=-+,2()24g x x ax =--+,若对1(0,2]x ∀∈,2[1,2]x ∃∈,使得12()()f x g x ≥成立,则a 的取值范围是( )A .1[,)8-+∞B .258ln 2[,)16-+∞ C .15[,]84-D .5(,]4-∞5.等差数列{a n }中的a 2、a 4030是函数321()4613f x x x x =-+- 的两个极值点,则log 2(a 2016)=( ) A .2B .3C .4D .56.已知函数()f x 对定义域R 内的任意x 都有()()22f x f x +=-,且当2x ≠时其导函数()f x '满足()()2xf x f x ''>,若24a <<则( )A .()()()223log af f f a << B .()()()23log 2af f a f << C .()()()2log 32af a f f <<D .()()()2log 23af a f f <<7.下列函数中,在(0,+∞)上为增函数的是( ) A .y =sin 2xB .y =x 3-xC .y =x e xD .y =-x +ln(1+x )8.函数y =x 3+x 的递增区间是( )A .(0,+∞)B .(-∞,1)C .(-∞,+∞)D .(1,+∞)9.函数()ln sin f x x x =+(x ππ-≤≤且0x ≠)的大致图像是( )A .B .C .D .10.对于函数()cos x f x e x x =-,((0,))x π∈,下列结论正确的个数为( ) ①()f x '为减函数 ②()f x '存在极小值 ③()f x 存在最大值 ④()f x 无最小值 A .0B .1C .2D .311.函数()2cos f x x x =+在0,2π⎡⎤⎢⎥⎣⎦上的最大值为( ) A .2B .36π+C .13π+ D .33π+12.如果不等式3310x ax ++≥对于[]1,1x ∈-恒成立,则实数a 的取值范围是( )A .32⎡⎤⎢⎥⎣⎦B .2,03⎡⎤-⎢⎥⎣⎦C .322,3⎡-⎢⎣⎦D .2,3⎛⎤-∞- ⎥⎝⎦ 二、填空题13.若函数()21ln 2f x x b x ax =++在()1,2上存在两个极值点,则()39b a b ++的取值范围是_______.14.已知函数()24f x x ax =++(a ∈R ),()ln 2xg x x=+,若方程()0f g x ⎡⎤=⎣⎦有三个实根1x 、2x 、3x ,且123x x x <<,则2312123ln ln ln 222x x x x x x ⎛⎫⎛⎫⎛⎫+++ ⎪⎪ ⎪⎝⎭⎝⎭⎝⎭的值为______.15.已知函数()e e xxf x -=-,有以下命题:①()f x 是奇函数; ②()f x 单调递增函数;③方程()22f x x x =+仅有1个实数根;④如果对任意(0,)x ∈+∞有()f x kx >,则k 的最大值为2. 则上述命题正确的有_____________.(写出所有正确命题的编号)16.已知函数()2x e f x ax x=-,()0,x ∈+∞,当21x x >时,不等式()()12210f x f x x x -<恒成立,则实数a 的取值范围为________.17.定义在()0,∞+上的函数()f x 满足()210x f x '+>,()15f =,则不等式()14f x x≤+的解集为______. 18.现有一块边长为3的正方形铁片,在铁片的四角截去四个边长均为x 的小正方形,然后做成一个无盖方盒,则该方盒容积的最大值是______.19.若函数()()2212ln 1f x ax a x x =+---只有一个零点,则实数a 的取值范围是______.20.已知函数2()2ln af x x x=+,其中0a >,若()2f x ≥恒成立,则实数a 的取值范围为________.三、解答题21.已知函数()()ln 0af x x a a x=-+>. (1)若曲线()y f x =在点()()1,1f 处与x 轴相切,求a 的值; (2)求函数()f x 在区间()1,e 上的零点个数;(3)若1x ∀、()21,x e ∈,()()()12120x x f x f x ⎡⎤-->⎣⎦,试写出a 的取值范围.(只需写出结论)22.已知:函数()sin cos =-f x x x x . (1)求()f π'; (2)求证:当(0,)2x π∈时,31()3f x x <;(3)若()cos f x kx x x >-对(0,)2x π∈恒成立,求实数k 的最大值.23.设函数()cos2sin f x x m x =+,()0,x π∈. (1)若函数()f x 在2x π=处的切线方程为1y =,求m 的值;(2)若()0,x π∀∈,()0f x >恒成立,求m 的取值范围. 24.已知函数21()2(2)2ln x f x a x a x =+-+ (1)当1a =时,求函数()f x 的极值;(2)求()f x 的单调区间. 25.已知2()2ln f x x x =- (1)求()f x 的最小值; (2)若21()2f x tx x ≥-在(]0,1x ∈内恒成立,求t 的取值范围. 26.在某次水下科研考察活动中,需要潜水员潜入水深为60米的水底进行作业,根据以往经验,潜水员下潜的平均速度为v(米/单位时间),每单位时间的用氧量为+1(升),在水底作业10个单位时间,每单位时间用氧量为0.9(升),返回水面的平均速度为 (米/单位时间),每单位时间用氧量为1.5(升),记该潜水员在此次考察活动中的总用氧量为y(升). (1)求y 关于v 的函数关系式;(2)若c≤v≤15(c>0),求当下潜速度v 取什么值时,总用氧量最少.【参考答案】***试卷处理标记,请不要删除一、选择题 1.A 解析:A 【分析】首先设函数()(1)332cos x x g x f x x -=+=+-,判断函数是偶函数,利用导数判断函数的单调性,根据平移关系,可判断函数()y f x =的对称性和单调性,再将2log 9,0.50.5-,以及31log 2转化在同一个单调区间,根据单调性比较大小. 【详解】令()(1)332cos x x g x f x x -=+=+-,()()g x g x -=,所以()g x 是偶函数; ()ln3(33)2sin x x g x x -'=-+,当(0,)x π∈时,()0g x '>,()g x 在(0,)π上是增函数, 将()g x 图像向右平移一个单位得到()f x 图像, 所以()f x 关于直线1x =对称,且在(1,1)π+单调递增. ∵23log 94<<,0.50.52-=()3312log 2log 22,32-=+∈, ∴0.52314log 92log 0.512->>->>, ∴()()0.5231log 92log 0.52f f f -⎛⎫>-> ⎪⎝⎭,又∵()f x 关于直线1x =对称,∴3311log 2log 22f f ⎛⎫⎛⎫=- ⎪ ⎪⎝⎭⎝⎭,∴()()0.5231log 9log 0.52f f f -⎛⎫>> ⎪⎝⎭. 故选:A 【点睛】思路点睛:本题是一道函数单调性,奇偶性,对称性,判断大小的习题,本题所给函数()()11332cos 1x x x f x --+=+--,看似很复杂,但仔细观察就会发现,通过换元后可判断函数()1y f x =+是偶函数,本题的难点是判断函数的单调性,关键点是能利用对称性,转化3311log 2log 22f f ⎛⎫⎛⎫=- ⎪ ⎪⎝⎭⎝⎭.2.B解析:B 【分析】根据题中条件,得到方程1ln xa e ex x x ⎛⎫=--++⎪⎝⎭有解,令1()ln x h x e ex x x ⎛⎫=--++ ⎪⎝⎭,则a 的取值范围是()(0)y h x x =>的值域,对函数()h x 求导,判定其单调性,研究其值域,即可得出结果. 【详解】函数()x f x e ex a =-+与1()ln g x x x=+的图象上存在关于x 轴对称的点, 即方程1ln 0xe ex a x x -+++=有解,即方程1ln x a e ex x x ⎛⎫=--++ ⎪⎝⎭有解,令1()ln xh x e ex x x ⎛⎫=--++ ⎪⎝⎭,则a 的取值范围是()(0)y h x x =>的值域, 因为()22111()xx x h x e e e e x x x -⎛⎫⎡⎤'=--+-=--+ ⎪⎢⎥⎝⎭⎣⎦, 所以当1x =时,()0h x '=; 当01x <<时,0x e e -<,210x x -<,所以()21()0xx h x e e x -⎡⎤'=--+>⎢⎥⎣⎦,则函数1()ln x h x e ex x x ⎛⎫=--++ ⎪⎝⎭单调递增;当1x >时,0x e e ->,210x x ->,所以()21()0xx h x e e x -⎡⎤'=--+<⎢⎥⎣⎦,则函数1()ln x h x e ex x x ⎛⎫=--++ ⎪⎝⎭单调递减;所以max ()(1)1h x h ==-, 画出函数()h x 的大致图像如下,由图像可得,()(],1h x ∈-∞-, 所以a 的取值范围(],1-∞-. 故选:B. 【点睛】本题主要考查导数的方法研究方程根的问题,考查函数与方程的应用,将问题转化为两函数交点的问题是解题的关键,属于常考题型.3.A解析:A 【分析】由()f x 在()2,4上单调递增,等价于23131222x a x x x-≤=-在()2,4上恒成立, 再求得114a ≤,再判断“2a ≤”与“114a ≤”的充分必要性即可. 【详解】解:若()f x 在()2,4上单调递增,则()23210f x x ax '=--≥,即23131222x a x x x-≤=-在()2,4上恒成立. 又31()22h x x x =-在()2,4上单调递增,则3111224x x ->,所以114a ≤. 故“2a ≤”是“()f x 在()2,4上单调递增”的充分不必要条件. 故选A. 【点睛】本题考查了由函数的单调性研究参数的范围,重点考查了充分必要条件,属中档题.4.A解析:A 【分析】先求()f x 最小值,再变量分离转化为对应函数最值问题,通过求最值得结果 【详解】 因为()(]3ln x 0,244x f x x x=-+∈,, 所以22113(1)(3)()01444x x f x x x x x---'=--==⇒=,(3舍去) 从而01,()0;12,()0;x f x x f x ''<<<<<>即1x =时()f x 取最小值12, 因此[]x 1,2∃∈,使得21242x ax ≥--+成立,724x a x ≥-+的最小值,因为724x x -+在[]1,2上单调递减,所以724xx -+的最小值为271288-+=-,因此18a ≥-,选A.【点睛】本题考查不等式恒成立与存在性问题,考查综合分析与转化求解能力,属中档题.5.A解析:A 【解析】2240302016220162()86084,log log 42f x x x a a a a =-+=∴+=⇒='== ,选A.点睛:在解决等差、等比数列的运算问题时,注意利用等差、等比数列的性质,性质是两种数列基本规律的深刻体现,是解决等差、等比数列问题既快捷又方便的工具,应有意识地去应用.但在应用性质时要注意性质的前提条件,有时需要进行适当变形.6.C解析:C 【分析】由()f x =(4)f x -得到函数的对称性,(2)()0x f x '->得到函数的单调性,结合关系即可得到结论. 【详解】由于函数()f x 对定义域R 内的任意x 都有()f x =(4)f x -, 可知函数关于2x =对称,根据条件2x ≠时,有()2(),xf x f x ''> 得(2)()0x f x '->,当2x >时()f x 递增,当2x <时()f x 单调递减, 因为24a <<所以4216a <<,21log 2a <<,因为2x =是对称轴,所以22log 3a <<, 所以22log 32aa <<<, 所以2(log )(3)(2)af a f f <<, 故选:C.【点睛】本题主要考查函数值的大小比较,根据导数判断函数的单调性,再利用对称性、单调性比较大小.7.C解析:C 【解析】A 在R 上是周期函数,2sin cos y x x =' ,导函数在(0,+∞)上有正有负,故原函数有增有减;.B 231,y x -'= 在(0,+∞),有正有负,所以原函数不是增函数,C x x y xe e '=+ 0> ,恒成立,故原函数单调递增;D 1111x y x x-=-+=++' ,在(0,+∞)上导函数为负,原函数应该是减函数. 故选C .点睛:判断函数的单调性的方法,可以根据导函数的正负来判断原函数的单调性.8.C解析:C 【解析】y ′=3x 2+1>0对于任何实数都恒成立.9.D解析:D 【分析】利用函数的奇偶性排除选项,能过导数求解函数极值点的个数,求出()f π的值,从而可判断选项 【详解】解:因为()ln sin()ln sin ()f x x x x x f x -=-+-=+=, 所以()f x 为偶函数,故排除B当0πx <≤时,()ln sin f x x x =+,则'1()cos f x x x=+, 令'()0f x =,则1cos x x=-, 作出1,cos y y x x==-的图像如图,可知两个函数图像有一个交点,就是函数的极值点,所以排除A 因为()ln 1f ππ=>,所以排除C ,当0x x =时,'0()0f x =,故0(0,)x x ∈时,函数()f x 单调递增,当0(,)x x π∈时,函数()f x 单调递减,所以D 满足. 故选:D 【点睛】此题考查了与三角函数有关的函数图像识别,利用了导数判断函数的单调性,考查数形结合的思想,属于中档题10.C解析:C 【分析】对函数求导,然后结合导数与单调性及极值及最值的关系对选项进行判断即可检验. 【详解】解:()(cos sin )1x f x e x x '=--,()2sin x f x e x ''=-,(0,)x π∈,所以()0f x ''<,()f x '单调递减,不存在极小值,①正确,②错误; 因为(0)0f '=,()0f π'<,故()0f x '<恒成立,函数()f x 单调递减,没有最小值,故③错误,④正确. 故选:C . 【点睛】本题主要考查了利用导数研究函数的单调性,极值及最值的判断,属于中档题.11.B解析:B 【分析】利用导数分析函数()y f x =在区间0,2π⎡⎤⎢⎥⎣⎦上的单调性,进而可求得函数()y f x =在区间0,2π⎡⎤⎢⎥⎣⎦上的最大值. 【详解】()2cos f x x x =+,则()12sin f x x '=-,0,2x π⎡⎤∈⎢⎥⎣⎦,当()0f x '>时,则12sin 0x ->,解得06x π≤<;当()0f x '<时,12sin 0x -<,解得62x ππ<≤.所以,函数()y f x =在区间0,6π⎡⎫⎪⎢⎣⎭上单调递增,在区间,62ππ⎛⎤ ⎥⎝⎦上单调递减,因此,函数()y f x =在6x π=处取得极大值,亦即最大值,即()max 66f x f ππ⎛⎫== ⎪⎝⎭.故选:B. 【点睛】本题考查利用导数求解函数的最值,考查计算能力,属于中等题.12.A解析:A 【分析】分0x =、10x -≤<、01x <≤三种情况讨论,利用参变量分离法计算出实数a 在各种情况下的取值范围,综合可得出实数a 的取值范围. 【详解】由已知,不等式3310x ax ++≥对于[]1,1x ∈-恒成立. ①当0x =时,则有10≥恒成立,此时a R ∈; ②当10x -≤<时,由3310x ax ++≥可得213a x x≤--, 令()21f x x x =--,()32211220x f x x x x-'=-+=>, 所以,函数()f x 在区间[)1,0-上为增函数,则()()min 10f x f =-=,则30a ≤,得0a ≤;③当01x <≤时,由3310x ax ++≥可得213a x x≥--, 令()32120x f x x -'==可得x =,列表如下:2()2maxf x =-=⎝⎭3a ∴≥2a ≥-.综上所述,实数a的取值范围是⎡⎤⎢⎥⎣⎦. 故选:A. 【点睛】结论点睛:利用参变量分离法求解函数不等式恒(能)成立,可根据以下原则进行求解: (1)x D ∀∈,()()min m f x m f x ≤⇔≤; (2)x D ∀∈,()()max m f x m f x ≥⇔≥; (3)x D ∃∈,()()max m f x m f x ≤⇔≤; (4)x D ∃∈,()()min m f x m f x ≥⇔≥.二、填空题13.【分析】先求导设把问题转化为在上存在两个零点设为且再利用韦达定理求解代入整理利用二次函数求取值范围即可【详解】因为所以设因为函数在上存在两个极值点所以在上存在两个零点所以在上存在两个零点设为且所以根解析:814,16⎛⎫⎪⎝⎭【分析】先求导,设()2g x x ax b =++,把问题转化为()g x 在()1,2上存在两个零点,设为12,x x 且12x x ≠,再利用韦达定理求解,代入()39b a b ++,整理利用二次函数求取值范围即可. 【详解】 因为()()21ln 02f x x b x ax x =++>, 所以()2b x ax bf x x a x x++'=++=,设()2g x x ax b =++,因为函数()f x 在()1,2上存在两个极值点, 所以()f x '在()1,2上存在两个零点,所以()g x 在()1,2上存在两个零点,设为12,x x 且12x x ≠,所以根据韦达定理有:1212x x ax x b +=-⎧⎨⋅=⎩,故()23939b a b b ab b ++=++()()21212121239x x x x x x x x =⋅-⋅++⋅()()22112233x x x x =--,因为()11,2x ∈,所以221113993,2244x x x ⎛⎫⎡⎫-=--∈-- ⎪⎪⎢⎝⎭⎣⎭, 222223993,2244x x x ⎛⎫⎡⎫-=--∈-- ⎪⎪⎢⎝⎭⎣⎭,由于12x x ≠, 所以()()22112281334,16x x xx ⎛⎫--∈ ⎪⎝⎭.故答案为:814,16⎛⎫⎪⎝⎭. 【点睛】思路点睛:利用导数研究函数的极值问题.把函数在区间存在两个极值点的问题转化为导函数在区间内存在两个零点,利用韦达定理得到参数和系数的关系,最后利用二次函数求取值范围.14.16【分析】利用导数画出函数的大致图象数形结合可得有两个不等实根满足且即可得解【详解】因为所以令得所以当时函数单调递增;当时函数单调递减又故可画出函数的大致图象如图所示:因为方程有三个实根故有两个不解析:16 【分析】利用导数画出函数()g x 的大致图象,数形结合可得()0f x =有两个不等实根,满足124t t =、121022t t e<<<<+,且111ln 2x t x =+,32223ln ln 22x x t x x =+=+,即可得解. 【详解】 因为()ln 2xg x x=+,()0,x ∈+∞, 所以()21ln xg x x-'=,令()0g x '=得x e =, 所以当()0,x e ∈时,()0g x '>,函数()g x 单调递增; 当(),x e ∈+∞时,()0g x '<,函数()g x 单调递减, 又()12g e e=+, 故可画出函数()g x 的大致图象,如图所示:因为方程()0f g x =⎡⎤⎣⎦有三个实根,故()0f x =有两个不等实根,不妨设两根为1t ,2t ,且12t t <,则124t t =, 所以121022t t e<<<<+, 则111ln 2x t x =+,32223ln ln 22x x t x x =+=+, 所以()22223121212123ln ln ln 22216x x x t t t t x x x ⎛⎫⎛⎫⎛⎫+++=== ⎪ ⎪ ⎪⎝⎭⎝⎭⎝⎭. 故答案为:16. 【点睛】本题考查了函数的零点与方程的根的关系,考查了利用导数研究函数的单调性和极值,属于中档题.15.①②④【分析】根据题意依次分析4个命题对于①由奇函数的定义分析可得①正确;对于②对函数求导分析可得分析可得②正确;对于③分析可得即方程有一根进而利用二分法分析可得有一根在之间即方程至少有2跟故③错误解析:①②④ 【分析】根据题意,依次分析4个命题,对于①、由奇函数的定义分析可得①正确;对于②、对函数()x x f x e e -=-求导,分析可得()0f x '>,分析可得②正确;对于③、2()2x x g x e e x x -=---,分析可得(0)0g =,即方程2()2f x x x =+有一根0x =,进而利用二分法分析可得()g x 有一根在(3,4)之间,即方程2()2f x x x =+至少有2跟,故③错误,对于④、由函数的恒成立问题的分析方法,分析可得④正确,综合可得答案. 【详解】解:根据题意,依次分析4个命题:对于①、()x x f x e e -=-,定义域是R ,且()()x x f x e e f x --=-=-,()f x 是奇函数;故①正确;对于②、若()x x f x e e -=-,则()0x x f x e e -'=+>,故()f x 在R 递增;故②正确; 对于③、2()2f x x x =+,令2()2x x g x e e x x -=---, 令0x =可得,(0)0g =,即方程2()2f x x x =+有一根0x =, ()3313130g e e =--<,()4414200g e e =-->, 则方程2()2f x x x =+有一根在(3,4)之间, 故③错误;对于④、如果对任意(0,)x ∈+∞,都有()f x kx >,即0x x e e kx --->恒成立, 令()x x h x e e kx -=--,且(0)0h =,若()0h x >恒成立,则必有()0x x h x e e k -'=+->恒成立, 若0x x e e k -+->,即1x xx x k e ee e-<+=+恒成立, 而12xxe e +,若有2k <, 故④正确;综合可得:①②④正确; 故答案为:①②④. 【点睛】本题考查函数的奇偶性、单调性的判定,以及方程的根与恒成立问题的综合应用,③关键是利用二分法,属于中档题.16.【分析】由当时不等式恒成立变形得到当时不等式恒成立即在上是增函数然后由在上是恒成立求解【详解】因为当时不等式恒成立即当时不等式恒成立所以在上是增函数所以在上是恒成立即在上是恒成立令所以当时当时所以当解析:2,12e ⎛⎤-∞ ⎥⎝⎦【分析】由当21x x >时,不等式()()12210f x f x x x -<恒成立,变形得到当21x x >时,不等式()()1122x f x x f x <恒成立,即()()g x xf x =,在()0,x ∈+∞上是增函数,然后由()0g x '≥,在()0,x ∈+∞上是恒成立求解.【详解】因为当21x x >时,不等式()()12210f x f x x x -<恒成立,即当21x x >时,不等式()()1122x f x x f x <恒成立, 所以()()g x xf x =,在()0,x ∈+∞上是增函数, 所以()230xg x e ax '=-≥,在()0,x ∈+∞上是恒成立,即23xe a x ≤,在()0,x ∈+∞上是恒成立,令2()3xe h x x=,所以()32()3x e x h x x-'=, 当02x <<时,()0h x '<,当2x >时,()0h x '>,所以当2x =时,()h x 取得最小值,最小值为212e,所以实数a 的取值范围为2,12e ⎛⎤-∞ ⎥⎝⎦.故答案为:2,12e ⎛⎤-∞ ⎥⎝⎦.【点睛】本题主要考查导数与函数的单调性,还考查了转化化归的思想和运算求解的能力,属于中档题.17.【分析】设解不等式即解则结合条件得出的单调性且可解出不等式得出答案【详解】由设则故函数在上单调递增又故的解集为即的解集为故答案为:【点睛】本题考查根据条件构造函数根据函数单调性解不等式由条件构造出函 解析:(]0,1【分析】 设()()14g x f x x =--,解不等式()14f x x≤+,即解()0g x ≤,则()()221x f x g x x'+'=,结合条件,得出()g x 的单调性,且()10g =,可解出不等式得出答案. 【详解】由()210x f x '+>,设()()14g x f x x =--,则()()()222110x f x g x f x x x'+''=+=>. 故函数()g x 在()0,∞+上单调递增, 又()10g =,故()0g x ≤的解集为(]0,1,即()14f x x≤+的解集为(]0,1. 故答案为:(]0,1 【点睛】本题考查根据条件构造函数,根据函数单调性解不等式,由条件构造出函数是本题的关键,属于中档题.18.【分析】根据题意得到方盒底面是正方形边长为高为建立方盒容积的函数模型为再用导数法求解最值【详解】由题意得:方盒底面是正方形边长为高为所以方盒的容积为当时时所以当时取得最大值最大值为2故答案为:2【点 解析:2【分析】根据题意得到方盒底面是正方形,边长为32x -,高为x ,建立方盒容积的函数模型为()2323324129,02V x x x x x x =-⨯=-+<<,再用导数法求解最值. 【详解】由题意得:方盒底面是正方形,边长为32x -,高为x ,所以方盒的容积为()2323324129,02V x x x x x x =-⨯=-+<<, 213122491222V x x x x ⎛⎫⎛⎫'=-+=-- ⎪⎪⎝⎭⎝⎭,当102x <<时,0V '>,1322x <<时,0V '<,所以当12x =时,V 取得最大值,最大值为2. 故答案为:2 【点睛】本题主要考查导数的实际问题中的应用,还考查了运算求解的能力,属于中档题.19.或【分析】首先求出函数的导函数当时可得在定义域上单调递减再根据零点存在性定理可得在上存在唯一的零点当时由导数可得函数的单调性及最小值为令利用导数说明的单调性即可求出参数的值;【详解】解:因为定义域为解析:0a ≤或1a = 【分析】首先求出函数的导函数,当0a ≤时,可得()f x 在定义域上单调递减,再根据零点存在性定理可得()f x 在()0,1上存在唯一的零点,当0a >时,由导数可得函数()f x 的单调性及最小值为()min 1112ln f x f a a a ⎛⎫==+- ⎪⎝⎭,令()112ln g a a a =+-,()0,a ∈+∞利用导数说明()g a 的单调性,即可求出参数a 的值; 【详解】解:因为()()2212ln 1f x ax a x x =+---,定义域为()0,∞+,所以()()()()()222122112221ax a x ax x f x ax a x x x+---+'=+--== 当0a ≤时,()0f x '<恒成立,即()f x 在定义域上单调递减,()()1310f a =-<,当0x +→时,20ax →,()210a x -→,2ln x -→+∞,所以()f x →+∞,所以()f x 在()0,1上存在唯一的零点,满足条件; 当0a >时,令()()()2110ax x f x x-+'=>,解得1x a >即函数在1,a ⎛⎫+∞ ⎪⎝⎭上单调递增,令()()()2110ax x f x x -+'=<,解得10x a <<即函数在10,a ⎛⎫⎪⎝⎭上单调递减,则()f x 在1x a =取值极小值即最小值,()min 1112ln f x f a a a ⎛⎫==+- ⎪⎝⎭,令()112ln g a a a =+-,()0,a ∈+∞,则()2221210a g a a a a +'=+=>恒成立,即()112ln g a a a=+-在定义域上单调递增,且()112ln110g =+-=, 所以要使函数()()2212ln 1f x ax a x x =+---只有一个零点,则()min 1112ln 0f x f a a a ⎛⎫==+-= ⎪⎝⎭,解得1a =,综上可得0a ≤或1a =; 故答案为:0a ≤或1a = 【点睛】本题考查利用导数研究函数的零点问题,考查分类讨论思想,属于中档题.20.【分析】恒成立只需即可求出得出单调区间进而求出求解即可得出结论【详解】由得又函数的定义域为且当时;当时故是函数的极小值点也是最小值点且要使恒成立需则∴的取值范围为故答案为:【点睛】本题考查应用导数求 解析:[),e +∞【分析】()2f x ≥恒成立,只需min ()2f x ≥即可,求出()f x ',得出单调区间,进而求出min ()f x ,求解即可得出结论.【详解】由2()2ln a f x x x =+,得()233222()x a a f x x x x-'=-+=, 又函数()f x 的定义域为(0,)+∞且0a >,当0x <<()0f x '<;当x ()0f x '>,故x =()f x 的极小值点,也是最小值点,且ln 1f a =+,要使()2f x ≥恒成立,需ln 12a +≥,则a e ≥, ∴a 的取值范围为[),e +∞. 故答案为:[),e +∞. 【点睛】本题考查应用导数求函数的最值,恒成立问题等价转化为函数的最值,考查计算求解能力,属于中档题.三、解答题21.(1)1a =;(2)答案见解析;(3)(][)0,1,e +∞.【分析】(1)由题意可得()10f '=,由此可解得实数a 的值; (2)求得()2x af x x -'=,对实数a 的取值进行分类讨论,分析函数()f x 在区间()1,e 上的单调性,结合零点存在定理可得出结论; (3)根据(2)中的讨论可写出实数a 的取值范围. 【详解】(1)()221a x a f x x x x'-=-=, 因为()y f x =在点()()1,1f 处与x 轴相切,且()10f =, 所以()110f a '=-=,解得1a =. 经检验1a =符合题意; (2)由(1)知()2x af x x-'=,令()0f x '=,得x a =. (i )当01a <≤时,()1,x e ∈,()0f x '>,函数()f x 在区间()1,e 上单调递增, 所以()()10f x f >=, 所以函数()f x 在区间()1,e 上无零点;(ii )当1a e <<时,若1x a <<,则()0f x '<,若a x e <<,则()0f x '>. 函数()f x 在区间()1,a 上单调递减,在区间(),a e 上单调递增, 且()10f =,()1ea f e a =-+.当()10af e a e=-+>,即11e a e <<-时,函数()f x 在区间()1,e 上有一个零点;当()10af e a e=-+≤时,即当e e e 1a <-≤时,函数()f x 在区间()1,e 上无零点; (iii )当a e ≥时,()1,x e ∈,()0f x '<,函数()f x 在区间()1,e 上单调递减, 所以()()10f x f <=, 所以函数()f x 在区间()1,e 上无零点. 综上:当01a <≤或ee 1a ≥-时,函数()f x 在区间()1,e 上无零点; 当11ea e <<-时,函数()f x 在区间()1,e 上有一个零点. (3)01a <≤或a e ≥. 【点睛】方法点睛:利用导数解决函数零点问题的方法:(1)直接法:先对函数求导,根据导数的方法求出函数的单调区间与极值,根据函数的基本性质作出图象,然后将问题转化为函数图象与x 轴的交点问题,突出导数的工具作用,体现了转化与化归思想、数形结合思想和分类讨论思想的应用; (2)构造新函数法:将问题转化为研究两函数图象的交点问题;(3)参变量分离法:由()0f x =分离变量得出()a g x =,将问题等价转化为直线y a =与函数()y g x =的图象的交点问题. 22.(1)0;(2)证明见解析;(3)2π.【分析】(1)首先求函数的导数,再代入求()f π'的值;(2)首先设函数()()313g x f x x =-,求函数的导数,利用导数正负判断函数的单调性,求得函数()max 0g x <,(3)首先不等式等价于sin x kx >对(0)2x π∈,恒成立,参变分离后转化为sin x k x <对(0)2x π∈,恒成立,利用导数求函数sin ()xh x x=的最小值,转化为求实数k 的最大值. 【详解】()cos (cos sin )sin f x x x x x x x '=--=(1)()0f π'=;(2)令31()()3g x f x x =-,则2()sin (sin )g x x x xx x x '=-=-,当(0)2x π∈,时,设()sin t x x x =-,则()cos 10t x x '=-<所以()t x 在(0)2x π∈,单调递减,()sin (0)0t x x x t =-<=即sin x x <,所以()0g x '<所以()g x 在(0)2π,上单调递减,所以()(0)0g x g <=, 所以31()3f x x <. (3)原题等价于sin x kx >对(0)2x π∈,恒成立, 即sin x k x <对(0)2x π∈,恒成立, 令sin ()xh x x=,则22cos sin ()()x x x f x h x x x -'==-. 易知()sin 0f x x x '=>,即()f x 在(0)2π,单调递增, 所以()(0)0f x f >=,所以()0h x '<, 故()h x 在(0)2π,单调递减,所以2()2k h π≤=π. 综上所述,k 的最大值为2π.【点睛】方法点睛:由不等式恒成立求参数的取值范围的方法:1.讨论最值,先构造函数,利用导数研究函数的单调性,求出含参函数的最值,进而得出相应的含参不等式求参数的取值范围;2.分离参数:先分离参数变量,再构造函数,求出函数的最值,从而求出参数的取值范围. 23.(1)2;(2)()1,+∞. 【分析】(1)利用已知条件求出切点坐标,代入到原函数即可得到m 的值;(2)利用已知条件得到cos 2sin x m x >-,令()cos 212sin sin sin x g x x x x=-=-,sin x t =,(]0,1t ∈,得到()12g t t t=-,求导分析函数()g t 的单调性即可得到m 的取值范围.【详解】(1)由题意,函数()cos2sin f x x m x =+,()0,x π∈, 且函数()f x 在2x π=处的切线方程为1y =,所以该函数过点,12π⎛⎫⎪⎝⎭,故cos 2sin 112222f m m m πππ⎛⎫⎛⎫=⨯+=-+=⇒= ⎪ ⎪⎝⎭⎝⎭, 所以m 的值为2;(2)对()0,x π∀∈,()0f x >恒成立,即cos 2sin 0x m x +>,所以cos 2sin x m x >-,①又因为()0,x π∈,所以sin 0x >,故①可化简为cos 2sin x m x>-,② 令()2cos 212sin 12sin sin sin sin x x g x x x x x-=-=-=-, 再令sin x t =,则(]0,1t ∈,所以()12g t t t=-, ()2120g t t'=+>, 所以()g t 在(]0,1上单调递增,故()()max 1211g t g ==-=,又由②式可得,当(]0,1t ∈时,()m g t >恒成立,所以()max 1m g t >=,综上所述:m 的取值范围是:()1,+∞.【点睛】结论点睛:利用导数研究不等式恒成立问题.(1)()f x a ≥恒成立()min f x a ⇔≥;()f x a ≥成立()max f x a ⇔≥;(2)()f x b ≤恒成立()max f x b ⇔≤;()f x b ≤成立()min f x b ⇔≤;(3)()()f x g x >恒成立,令()()()F x f x g x =-,则()min 0F x >.24.(1)极大值为()512f =-,极小值为()22ln 24f =-;(2)详见解析. 【分析】(1)由导函数的正负可确定()f x 的单调性,进而确定极大值为()1f ,极小值为()2f ,代入可求得结果;(2)求得()f x '后,分别在0a ≤、02a <<、2a =和2a >四种情况下确定()f x '的正负,由此可得单调区间.【详解】(1)当1a =时,()212ln 32f x x x x =+-, ()()()()21223230x x x x f x x x x x x---+'∴=+-==>, ∴当()0,1x ∈和()2,+∞时,()0f x '>;当()1,2x ∈时,()0f x '<,()f x ∴在()0,1,()2,+∞上单调递增,在()1,2上单调递减,()f x ∴在1x =处取得极大值,在2x =处取得极小值,()f x ∴极大值为()512f =-,极小值为()22ln 24f =-.(2)由题意得:()()()()()()2222220x a x a x a x a f x x a x x x x-++--'=+-+==>, ①当0a ≤时,当()0,2x ∈时,()0f x '<;当()2,x ∈+∞时,()0f x '>,()f x ∴的单调递减区间为()0,2,单调递增区间为()2,+∞;②当02a <<时,当()0,x a ∈和()2,+∞时,()0f x '>;当(),2x a ∈时,()0f x '<,()f x ∴的单调递减区间为(),2a ,单调递增区间为()0,a ,()2,+∞;③当2a =时,()0f x '≥在()0,∞+上恒成立,()f x ∴的单调递增区间为()0,∞+,无单调递减区间;④当2a >时,当()0,2x ∈和(),a +∞时,()0f x '>;当()2,x a ∈时,()0f x '<,()f x ∴的单调递减区间为()2,a ,单调递增区间为()0,2,(),a +∞;综上所述:当0a ≤时,()f x 的单调递减区间为()0,2,单调递增区间为()2,+∞;当02a <<时,()f x 的单调递减区间为(),2a ,单调递增区间为()0,a ,()2,+∞;当2a =时,()f x 的单调递增区间为()0,∞+,无单调递减区间;当2a >时,()f x 的单调递减区间为()2,a ,单调递增区间为()0,2,(),a +∞.【点睛】本题考查导数在研究函数中的应用,涉及到利用导数求解函数的极值、讨论含参数函数的单调性的问题;讨论含参数函数单调性的关键是能够通过导函数的零点所处的范围进行分类讨论,由此确定导函数的正负.25.(1)1 ;(2)(],1-∞.【分析】(1)先求函数的导函数,求出函数的极值,并将它与函数的端点值进行比较即可. (2)要求若21()2f x tx x ≥-在(]0,1x ∈内恒成立,即转化为312ln 2x t x x x ≤+-在(]0,1x ∈内恒成立,只需求312ln ()x h x x x x =+-(]0,1x ∈内的最小值即可. 【详解】(1)函数的定义域为()0,∞+设()()2112()2x x f x x x x+-'=-=, 由()0f x '>得:1x >,由()0f x '<得:01x <<, 所以()f x 在()0,1单调递减,在()1,+∞单调递增,min ()(1)1f x f ==,(2)若21()2f x tx x ≥-在(]0,1x ∈内恒成立, 可得312ln 2x t x x x≤+-在(]0,1x ∈内恒成立, 令312ln ()x h x x x x =+-,4224232ln ()x x x x h x x--+'=, 因为(]0,1x ∈,所以430x -<,220x -<,22ln 0x x <,40x >,所以()0h x '<,可得()h x 在()0,1上单调递减,所以当1x =时,312ln ()x h x x x x=+-有最小值2, 得22t ≤,所以1t ≤,故t 的取值范围是(],1-∞,【点睛】本题主要考查了利用导数求闭区间上函数的最值,以及求函数恒成立问题,属于基础题. 26.(1)见解析;(2)若c<3102,则当v =3102时,总用氧量最少;若c≥3102,则当v =c 时,总用氧量最少.【分析】(1)结合题意可得y 关于v 的函数关系式.(2)由(1)中的函数关系,求导后得到当0<v<3102时,函数单调递减;当v>3102时,函数单调递增.然后再根据c 的取值情况得到所求的速度.【详解】(1)由题意,下潜用时 (单位时间),用氧量为×=+ (升), 水底作业时的用氧量为10×0.9=9(升),返回水面用时= (单位时间),用氧量为×1.5= (升),因此总用氧量232409,(0)50vy vv=++>.(2)由(1)得232409,(0)50vy vv=++>,∴y′=-=,令y′=0得v=3102,当0<v<3102时,y′<0,函数单调递减;当v>3102时,y′>0,函数单调递增.①若c<3102,则函数在(c,3102)上单调递减,在(3102,15)上单调递增,∴当v=3102②若c≥3102,则y在[c,15]上单调递增,∴当v=c时,总用氧量最少.【点睛】(1)在求实际问题中的最大值或最小值时,一般先设自变量、因变量、建立函数关系式,并确定其定义域,利用求函数最值的方法求解,注意结果应与实际情况相符合.(2)用导数求实际问题中的最大(小)值,如果函数在区间内只有一个极值点,那么根据实际意义可知该极值点就是最值点.。
1.函数y 在x =9处的导数为( ).A .B .C .D .123213162.已知f (x )=x 2,g (x )=x 3,且f ′(x )<g ′(x ),则( ).A .x <0 B .x >C .0<x < D .x <0或x >2323233.函数y =的图像在横坐标为x =-1的点处的切线方程为( ).1xA .y =x +2B .y =-x -2C .y =-xD .y =-x +24.已知f (x )=x α,若f ′(-1)=-4,则α的值为( ).A .4B .-4C .5D .-55.y =cos x 在x =处切线的斜率为( ).π6A B . C . D .12-126.若f (x )=e x ,则f ′(0)=( ).A .0B .1C .eD .e x7.曲线y =x 3在点(1,1)处的切线与x 轴、直线x =2所围成的三角形的面积为__________.8.若曲线y =x 2的一条切线的斜率为8,则切点的坐标为__________.9.已知直线y =kx 是y =ln x 的一条切线,求k 的值.10.已知f (x )=cos x ,g (x )=x ,求适合f ′(x )+g ′(x )≤0的x 的值.参考答案1.答案:D 解析:y ′=)′=()x =9时,y.12x 16=2.答案:D 解析:∵f (x )=x 2,g (x )=x 3且f ′(x )<g ′(x ),∴2x <3x 2,∴3x 2-2x >0,∴x (3x -2)>0,∴x <0或x >.233.答案:B 解析:当x =-1时,y ==-1,11-∴切点坐标为(-1,-1).y ′=,当x =-1时,k =-1.211x x '⎛⎫=- ⎪⎝⎭∴y +1=-1(x +1),∴y =-x -2.4.答案:A 解析:f ′(x )=(x α)′=αx α-1,∵f ′(-1)=-4,∴α(-1)α-1=-4,只有α=4时满足.5.答案:B 解析:y ′=(cos x )′=-sin x ,当x =时,k =-sin =.π6π612-6.答案:B 解析:f ′(x )=(e x )′=e x ,当x =0时,f ′(0)=e 0=1.7. 解析:由题意y ′=3x 2,当x =1时,k =3.83∴切线的方程为y -1=3(x -1),与x 轴交点为,与x =2交点为(2,4),2,03⎛⎫ ⎪⎝⎭∴S =×4=.12223-838.答案:(4,16) 解析:∵y ′=(x 2)′=2x ,∴2x =8,∴x =4,∴y =42=16,∴切点坐标为(4,16).9.答案:解:设切点坐标为(x 0,y 0).∵y =ln x ,∴y ′=,∴f ′(x 0)==k .1x 01x ∵点(x 0,y 0)既在直线y =kx 上,也在曲线y =ln x 上,∴把k =代入①得y 0=1,再把y 0=1代入②得x 0=e.∴k =.0000,,ln y kx y x =⎧⎪⎨=⎪⎩①②01x 1e 10.解:∵f (x )=cos x ,g (x )=x ,∴f ′(x )=(cos x )′=-sin x ,g ′(x )=x ′=1.由f ′(x )+g ′(x )≤0得到-sin x +1≤0,即sin x ≥1,但sin x ∈[-1,1],∴sin x =1,∴x =2k π+,k ∈Z ,π2∴x 的取值为.π|2π+,Z 2x x k k ⎧⎫=∈⎨⎬⎭⎩。
新题空间创新题给人耳目一新之感,可以开拓数学思维,培养创新能力.下面我们就去赏析一下导数中的创新题一、概念中的创新例1 给出定义:若函数()f x 在D 上可导,即()f x '存在,且导函数()f x '在D 上也可导,则称()f x 在D 上存在二阶导函数,记()()()f x f x ''''=,若()0f x ''<在D 上恒成立,则称()f x 在D 上为凸函数.以下四个函数在0,2π⎛⎫ ⎪⎝⎭上不是凸函数的是( ). A .()sin cos f x x x =+ B .()ln 2f x x x =- C .3()21f x x x =-+- D .()x f x xe -=-分析:先求出函数的二阶导数,然后再判断是否恒小于0.解:若()sin cos f x x x =+,则()sin cos f x x x ''=--,在0,2x π⎛⎫∈ ⎪⎝⎭上,恒有()0f x ''<;若()ln 2f x x x =-,则21()f x x ''=-,在0,2x π⎛⎫∈ ⎪⎝⎭上,恒有()0f x ''<; 若3()21f x x x =-+-,则()6f x x ''=-,在0,2x π⎛⎫∈ ⎪⎝⎭上,恒有()0f x ''<; 若()x f x xe -=-,则()()22x x x f x e xe x e ---''=-=-,在0,2x π⎛⎫∈ ⎪⎝⎭上,恒有()0f x ''>,故选D.点评:本题虽然定义了新概念,但解题的方法仍然是用旧知识,新旧知识的完美结合是所有信息题的特点.从本题看出,“吃透”信息,解决问题并不困难.二、计算中的创新例2设123!n n ⨯⨯⋅⋅⋅=,()=(1)(2)(3)(2010)f x x x x x ---⋅⋅⋅-,则'(2010)f = .分析:求出多项式函数()f x 的导数,计算量太大,不现实,怎么办呢?从2010x =着手,结合积的求导法则整体处理.解:设()(1)(2)(3)(2009)g x x x x x =---⋅⋅⋅-,则()(2010)()f x x g x =-,'()(2010)'()(2010)'()f x x g x x g x =-+-()(2010)'()g x x g x =+-,'(2010)(2010)2009200812009!f g ==⨯⨯⋅⋅⋅⨯=.点评:本题设出一个新函数,利用整体思想巧妙求解.这种方法既出乎意料之外,又在意料之中,解决本题需要较强的观察思维能力和数据处理能力.三、几何意义中的创新例3 设直线)(:),(:x F y S x g y l ==曲线. 若直线l 与曲线S 同时满足下列两个条件: ①直线l 与曲线S 相切且至少有两个切点;②对任意x ∈R 都有)()(x F x g ≥. 则称直线l 为曲线S 的“上夹线”.(1) 类比“上夹线”的定义,给出“下夹线”的定义;(2) 已知曲线S:()2sin f x x x =-,直线:2l y x =+,求证直线l 是曲线S 的“上夹线”. 分析:“上夹线”和“下夹线”定义的唯一区别应该是()g x 和()F x 的函数值的变化;要证明直线l 是曲线S 的“上夹线”需要从定义的两个方面说明.解:(1) 设直线)(:),(:x F y S x g y l ==曲线. 若直线l 与曲线S 同时满足下列两个条件: ①直线l 与曲线S 相切且至少有两个切点;②对任意x ∈R 都有)()(x F x g ≤. 则称直线l 为曲线S 的“下夹线”.⑵由()2sin f x x x =-得x x f cos 21)('-=,由1cos 21)('=-=x x f 得0cos =x , 当2π-=x 时,0cos =x ,此时1222y x π=+=-+,22sin 22+-=-=πx x y ,21y y =,所以⎪⎭⎫ ⎝⎛+--22,2ππ是直线l 与曲线S 的一个切点; 当23π=x 时,0cos =x ,此时22321+=+=πx y ,223sin 22+=-=πx x y , 21y y =,所以⎪⎭⎫ ⎝⎛+223,23ππ是直线l 与曲线S 的一个切点; 所以直线l 与曲线S 相切且至少有两个切点;对任意x ∈R ,0sin 22)sin 2()2()()(≥+=--+=-x x x x x F x g ,所以)()(x F x g ≥,因此直线2:+=x y l 是曲线x b ax y S sin :+=的“上夹线”. 点评:“上夹线”的本质其实就是“切线”,只不过这样的切线和函数图象至少有两个切点.四、求最值中的创新例4 定义在D 内的函数y =f (x ),若对任意的x 1、x 2∈D ,都有|f (x 1)-f (x 2)|<1,则称函数y =f (x )为“Storm 函数”.已知函数f (x )=x 3-x +a (x ∈[-1,1],a ∈R ),函数()f x 是否为“Storm 函数”?如果是,请给出证明;如果不是,请说明理由.分析:要求证()f x 是“Storm 函数”,只需证明()f x 最大值和最小值的差的绝对值小于1即可.解:(1)2()31f x x '=-,2k ∴=,∴切线方程为2y x =.(2)函数f (x )=x 3-x +a (x ∈[-1,1],a ∈R )的导数是f ′(x )=3x 2-1,当3x 2-1=0时,即x =当x ,f ′(x )=3x 2-1<0;当x ,f ′(x )=3x 2-1>0,故f (x )在x ∈[-1,1]内的极小值是a .同理,f (x )在x ∈[-1,1]内的极大值是a +9. ∵f (1)=f (-1)=a ,∴函数f (x )=x 3-x +a (x ∈[-1,1],a ∈R )的最大值是a ,最小值是a , ∵|f (x 1)-f (x 2)|<|f max -f min |,故|f (x 1)-f (x 2)|<|f max -f min <1. ∴函数f (x )=x 3-x +a (x ∈[-1,1],a ∈R )是“Storm 函数”.点评:本题的实质是函数的最值问题,如果能洞察到这一点,就比较好入手.五、应用中的创新例6 某造船公司年造船量是20艘,已知造船x 艘的产值函数为R (x )=3 700x+45x 2-10x 3(单位:万元),成本函数为C (x )=460x+5 000(单位:万元),又在经济学中,函数f (x )的边际函数Mf (x )定义为Mf (x )=f (x+1)-f (x ).(1)求利润函数P (x )及边际利润函数MP (x );(提示:利润=产值-成本)(2)问年造船量安排多少艘时,可使公司造船的年利润最大?(3)求边际利润函数MP (x )的单调递减区间,并说明单调递减在本题中的实际意义是什么?分析:先求出函数P (x )和Mf (x )的解析式,然后借助导数求最值.解:⑴P (x )=R (x )-C (x )=-10x 3+45x 2+3 240x -5 000(x ∈N *,且1≤x ≤20); MP(x)=P(x+1)-P(x)=-30x 2+60x+3 275 (x ∈N *,且1≤x ≤19).(2)P ′(x)=-30x 2+90x+3 240=-30(x-12)(x+9),∵x >0,∴P ′(x)=0时,x=12,∴当0<x <12时,P ′(x)>0,当x >12时,P ′(x)<0,∴x=12时,P(x)有最大值.即年造船量安排12艘时,可使公司造船的年利润最大.(3)MP (x )=-30x 2+60x+3 275=-30(x -1)2+3 305.∴当x ≥1时,MP(x)单调递减,∴单调减区间为[1,19],且x∈N*.MP(x)是减函数的实际意义是:随着产量的增加,每艘利润与前一艘比较,利润在减少. 点评:本题定义了一个新函数“边际函数Mf(x)”,其作用是研究函数f(x)的递变规律.高中数学中创新能力型问题常见的有以下三种情况:⑴类比发现型;⑵拓展推广型;⑶设计构造型。
课时素养评价九计算导数(20分钟·50分)一、选择题(每小题5分,共20分)1.下列四组函数中导数相等的是( )A.f(x)=1与f(x)=xB.f(x)=sin x与f(x)=-cos xC.f(x)=1-cos x与f(x)=-sin xD.f(x)=1-2x2与f(x)=-2x2+5【解析】选D.D选项中的两个函数的导数都是-4x.2.函数f(x)=,其导函数为f′(x),则有( )A.f′(x)=-f(x)B.f′(x)=-f2(x)C.-1D.f′(x)=f2(x)【解析】选B.f′(x)=(x-1)′=-x-2=-=-f2(x).3.已知曲线y=x3在点P处的切线斜率为k,则当k=3时的P点坐标为( )A.(-2,-8)B.(-1,-1)或(1,1)C.(2,8)D.【解析】选B.因为y′=3x2,k=3,所以3x2=3,所以x=±1.故P点坐标为(-1,-1)或(1,1).4.设曲线y=ax2在点(2,4a)处的切线与直线4x-y+4=0垂直,则a等于( )A.-B.C.-D.【解析】选C.由题意知切线的斜率是-,因为y′=2ax,所以4a=-,得a=-.二、填空题(每小题5分,共10分)5.已知f(x)=x2,g(x)=ln x,若f′(x)-g′(x)=1,则x=_________. 【解析】因为f(x)=x2,g(x)=ln x,所以f′(x)=2x,g′(x)=且x>0,f′(x)-g′(x)=2x-=1,即2x2-x-1=0,解得x=1或x=-(舍去).故x=1.答案:16.函数y=ln x在x=2处的切线斜率为_________.【解析】因为y=ln x,所以y′=,所以当x=2时,y′=.答案:三、解答题(每小题10分,共20分)7.求下列函数的导数:(1)y=8.(2)y=.(3)y=-2sin .【解析】(1)y′=8′=0.(2)y′=′=-.(3)因为y=-2sin=2sin=2sin cos=sin x,所以y′=(sin x)′=cos x.8.求与曲线f(x)=在点P(8,4)处的切线垂直于点P的直线方程.【解析】因为y=,所以f′(x)=()′=′=,所以f′(8)=×=.即在点P(8,4)处的切线的斜率为.所以符合题意的切线的斜率为-3.从而符合题意的直线方程为y-4=-3(x-8),即3x+y-28=0.(15分钟·30分)1.(5分)在曲线f(x)=上切线的倾斜角为π的点的坐标为()A.(1,1)B.(-1,-1)C.(-1,1)D.(1,1)或(-1,-1)【解析】选D.切线的斜率k=tan π=-1,设切点为(x0,y0),则f′(x0)=-1,又f′(x)=-,所以-=-1,所以x0=1或-1,所以切点坐标为(1,1)或(-1,-1).【加练·固】设曲线y=e x在点(0,1)处的切线与曲线y=(x>0)上点P处的切线垂直,则P的坐标为_________.【解析】因为y′=e x,所以曲线y=e x在点(0,1)处的切线的斜率k1=e0=1.设P(m,n),y=(x>0)的导数为y′=-(x>0),曲线y=(x>0)在点P处的切线斜率k2=-(m>0).因为两切线垂直,所以k1k2=-1,所以m=1,n=1,点P的坐标为(1,1).答案:(1,1)2.(5分)若曲线y=在点(a,)处的切线与两个坐标轴围成的三角形的面积为18,则a=( )A.64B.32C.16D.8【解析】选A.因为y′=-,所以曲线y=在点(a,)处的切线方程为:y-=-(x-a),由x=0得y=,由y=0得x=3a,所以··3a=18,解得a=64.3.(5分)直线y=x+b是曲线y=ln x(x>0)的一条切线,则实数b=_________.【解析】设切点为(x0,y0),因为y′=,所以=,所以x0=2,所以y0=ln 2,ln 2=×2+b,所以b=ln 2-1.答案:ln 2-14.(5分)已知函数f(x)=-1(a>0)的图像在x=1处的切线为l,则l与两坐标轴围成的三角形面积的最小值为_________.【解题指南】求面积的表达式,然后求其最小值.【解析】由已知可得f′(x)=,即f′(1)=.由题意知f(1)=-1,所以f(x)在x=1处的切线l的方程是y-+1=(x-1).所以切线l与两坐标轴的交点分别为,.所以l与坐标轴围成的三角形的面积S=·=≥×(2+2)=1.当且仅当a=,即a=1时,直线l与两坐标轴围成的三角形的面积最小,最小值为1.答案:15.(10分)点P是曲线y=e x上任意一点,求点P到直线y=x的最小距离.【解析】如图,当曲线y=e x在点P(x0,y0)处的切线与直线y=x平行时,点P到直线y=x的距离最近.则曲线y=e x在点P(x0,y0)处的切线斜率为1,又y′=(e x)′=e x,所以=1,得x0=0,代入y=e x,得y0=1,即P(0,1).利用点到直线的距离公式得最小距离为.1.设函数f(x)在(0,+∞)内可导,且f(e x)=x+e x,则f′(1)等于( )A.1B.2C.3D.4【解析】选B.设e x=t,则x=ln t(t>0),所以f(t)=ln t+t,所以f′(t)=+1,所以f′(1)=2.2.已知函数f(x)=,g(x)=aln x,a∈R,若曲线y=f(x)与曲线y=g(x)相交,且在交点处有相同的切线,求a的值.【解析】设两曲线的交点为(x0,y0),由题意知,f′(x0)=g′(x0),即=,即a=,①因为点(x0,y0)为两曲线的交点,所以=aln x0,②由①②可得x0=e2,将x0=e2代入①得a=.。
导数的概念与运算创新试题赏析导数的应用比较广泛,对导数概念的理解和导数的运算是导数问题解决的根本,本文就一些新颖的试题,给大家做一个介绍.例1. 半径为r 的圆的面积S (r )=r 2,周长C (r )=2r ,若将r 看作(0,+∞)上的变量,则22R R ππ'()=①,①式可以用语言叙述为:圆的面积函数的导数等于圆的周长函数.对于半径为R 的球,若将R 看作(0,+∞)上的变量, 请你写出类似于①的式子 :②式可以用语言叙述为: .解析:仿照①式,球的体积公式V 球=343R π,表面积公式24S R π=,有32443R R ππ''V (R)=()= ,故○2式可填32443R R ππ'()=,用语言叙述为“球的体积函数的导数等于球的表面积函数.”赏析:由题目所给条件的类比,通过合理的发散和联想,从二维的圆到三维的球,观察周长,面积,体积公式间的区别和联系,得出答案.球的体积,表面积的 推导实质也是从极限的思想入手.本题考查了导数的某些实际背景,可借助如瞬时速度、加速度、光滑曲线切线的斜率等帮助理解和消化.同时也考查了类比的数学思想.例2:水面上的同心圆波纹,水波的半径以6 m/s 的速度增大,在2s 末水波面的圆面积的膨胀率是___________.解析:水波面的圆面积和时间的关系是S=236t π,在2s 末水波面的圆面积的膨胀率是=72πt 在t=2时的导数 所以2144t S π='=赏析:有膨胀率的这样一个我们不太熟悉的概念横在面前,问题的关键则是如何去理解这个概念.可从导数的定义及几何和物理方面的意义去理解,膨胀率同样是变化率,问题则是求水波圆面积从2s 到(2+)s 之间的平均变化率(0→∆x ),这个问题很显然是求导数的问题.变化率在我们的生活中到处可见,如增长率、膨胀率、效率、密度、速度等,所反映的均是一种变化的情况, 高中微积分课程的核心价值就是变化率思想,导数则是描述事物变化率的数学模型,瞬时变化率就是导数.例3.已知1()sin cos f x x x =+,记2132()(),()(),......,f x f x f x f x ''== 1()(),n n f x f x -'= (,2)n N n *∈≥,则122007()()......()222f f f πππ+++=________. 解析:123()sin cos ,()cos sin ,()sin cos ,f x x x f x x x f x x x =+=-=--451()cos sin ,()sin cos (),......,f x x x f x x x f x =-+=+=故原式=123()()()1222f f f πππ++=-。
导数的概念与运算创新试题赏析
河南省滑县第六高级中学王红敢
导数的应用比较广泛,对导数概念的理解和导数的运算是导数问题解决的根本,本文就一些新颖的试题,给大家做一个介绍.
例1.(06湖北)半径为r 的圆的面积S (r )=πr 2
,周长C (r )=2πr ,若将r 看作(0,+∞)上的变量,则22R R ππ'()
=①,①式可以用语言叙述为:圆的面积函数的导数等于圆的周长函数.对于半径为R 的球,若将R 看作(0,+∞)上的变量,
请你写出类似于①的式子 :
②式可以用语言叙述为: .
解析:仿照①式,球的体积公式V 球=343R π,表面积公式2
4S R π=,有
32443R R ππ''V (R)=()= ,故○2式可填32443
R R ππ'()=,用语言叙述为“球的体积函数的导数等于球的表面积函数.”
赏析:由题目所给条件的类比,通过合理的发散和联想,从二维的圆到三维的球,观察周长,面积,体积公式间的区别和联系,得出答案.
球的体积,表面积的 推导实质也是从极限的思想入手.本题考查了导数的某些实际背景,可借助如瞬时速度、加速度、光滑曲线切线的斜率等帮助理解和消化.同时也考查了类比的数学思想.
例2:水面上的同心圆波纹,水波的半径以6 m/s 的速度增大,在2s 末水波面的圆面积的膨胀率是___________.
解析:水波面的圆面积和时间的关系是S=236t π,
在2s 末水波面的圆面积的膨胀率是S '=72πt 在t=2时的导数 所以2144t S π='=
赏析:有膨胀率的这样一个我们不太熟悉的概念横在面前,问题的关键则是如何去理解这个概念.可从导数的定义及几何和物理方面的意义去理解,膨胀率同样是变化率,问题则是求水波圆面积从2s 到(2+x ∆)s 之间的平均变化率(0→∆x ),这个问题很显然是求导数的问题.
变化率在我们的生活中到处可见,如增长率、膨胀率、效率、密度、速度等,所反映的均是一种变化的情况, 高中微积分课程的核心价值就是变化率思想,导数则是描述事物变化率的数学模型,瞬时变化率就是导数.
例3.已知1()sin cos f x x x =+,记2132()(),()(),......,f x f x f x f x ''== 1()(),n n f x f x -'= (,2)n N n *∈≥,则122007()()......()222
f f f πππ+++=________. 解析:123()sin cos ,()cos sin ,()sin cos ,f x x x f x x x f x x x =+=-=-- 451()cos sin ,()sin cos (),......,f x x x f x x x f x =-+=+=
故原式=123()()()1222
f f f πππ
++=-。
赏析:在知识交汇处命题是高考的热点,本题将导数计算与函数的周期有机地融合到一块,不失为一道优秀的小型综合试题。
例4.利用导数求和S n =1+2x +3x 2+…+nx n -1(x ≠0,n ∈N *)
解析:首先需要考虑x =1时
S n =1+2+3+…+n =
2
1n (n +1); 当x ≠1时, ∵x +x 2+x 3+…+x n =
x
x x n --+11
, 两边都是关于x 的函数,求导得
(x +x 2+x 3+…+x n )′=(x x x n --+11
)′ 即S n =1+2x +3x 2+…+nx n -1=21
)
1()1(1x nx x n n n -++-+ 赏析:本题从做法上来看,有让人耳目一新的感觉,导数还可以这样来用.当然在前面数列的学习中,可以采用错位相减法.分析本题具体的做法, 首先是要分x =1和x ≠1讨论,否则做的也是错的,其次通过构造函数()n f x x =,其导函数为1()n f x nx -'=,由此建立联系, 抓住数列通项的形式结构,进行联想,运用逆向思维, 由求导公式(x n )′=nx n -1,想到它们是另外一个和式的导数.最后两边同时求导,得到结果.
这些试题它们的共同点在于往往不是以知识为中心,并不拘泥于具体的知识点,而是将数学知识、方法、原理融于一体,这类问题的解决策略在于熟练地化归分解问题,运用、类比、联想、构造、发散等数学思想方法,进行全方位、多层度的探索与实验,读懂题意,转化为数学问题并正确求解.。