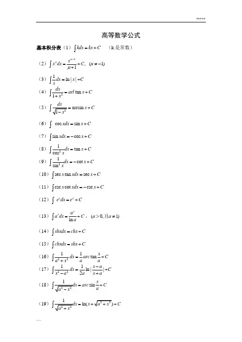
高等数学积分表推导全过程
- 格式:pdf
- 大小:411.64 KB
- 文档页数:25
高等数学积分公式大全在高等数学的学习中,积分是一个非常重要的概念和工具。
积分公式如同数学世界中的宝库,为我们解决各种问题提供了有力的武器。
下面就为大家详细介绍一下高等数学中常见的积分公式。
一、基本积分公式1、常数积分公式∫k dx = kx + C (k 为常数)这意味着对一个常数进行积分,结果是这个常数乘以自变量 x 再加上一个常数 C。
2、幂函数积分公式∫x^n dx =(1/(n + 1))x^(n + 1) + C (n ≠ -1)当 n 为正整数时,这个公式很好理解。
比如∫x² dx =(1/3)x³+ C 。
3、指数函数积分公式∫e^x dx = e^x + C指数函数 e^x 的积分还是它本身。
4、对数函数积分公式∫(1/x) dx = ln|x| + C这是对数函数积分的基本形式。
二、三角函数积分公式1、正弦函数积分公式∫sin x dx = cos x + C2、余弦函数积分公式∫cos x dx = sin x + C3、正切函数积分公式∫tan x dx = ln|cos x| + C4、余切函数积分公式∫cot x dx = ln|sin x| + C三、反三角函数积分公式1、反正弦函数积分公式∫arcsin x dx = x arcsin x +√(1 x²) + C2、反余弦函数积分公式∫arccos x dx =x arccos x √(1 x²) + C3、反正切函数积分公式∫arctan x dx = x arctan x (1/2)ln(1 + x²) + C四、有理函数积分有理函数是指两个多项式的商。
对于形如 P(x)/Q(x) 的有理函数积分,通常需要先将其分解为部分分式,然后再利用上述基本积分公式进行积分。
五、定积分的基本性质1、线性性质∫kf(x) + lg(x) dx =k∫f(x) dx +l∫g(x) dx (k,l 为常数)2、区间可加性∫a,b f(x) dx =∫a,c f(x) dx +∫c,b f(x) dx (a < c < b)六、换元积分法换元积分法是积分计算中的一种重要方法。
定积分的分部积分公式分部积分是求定积分的一个重要方法之一,它可以将原本比较复杂的积分转化为一个更简单的形式。
分部积分公式的推导可以使用反对称法则和乘法的链式法则。
下面,我们将详细介绍定积分的分部积分公式和推导过程。
我们考虑定义在闭区间[a,b]上的两个函数f(x)和g(x),假设f(x)和g(x)都在[a,b]上可导。
那么,根据链式法则,我们有:d(f(x) * g(x)) = f'(x) * g(x)dx + f(x) * g'(x)dx对上述等式两边同时积分,我们得到:∫d(f(x) * g(x)) = ∫f'(x) * g(x)dx + ∫f(x) * g'(x)dx从左边看,根据微积分的基本性质,d(f(x) * g(x))可以看作是f(x) * g(x)的微分。
所以,我们可以将其表示为df(x) * g(x) + f(x) *dg(x),其中df(x)表示f(x)的微分,dg(x)表示g(x)的微分。
将上述等式转化为微分的形式,我们得到:f(x) * g(x) = ∫f'(x) * g(x)dx + ∫f(x) * g'(x)dx - ∫df(x)* g(x) - ∫f(x) * dg(x)整理得到:∫f(x) * g(x)dx = ∫f'(x) * g(x)dx + ∫f(x) * g'(x)dx -∫df(x) * g(x) - ∫f(x) * dg(x)上述等式即为定积分的分部积分公式,也称为莱布尼茨公式。
定积分的分部积分公式可以用于求解许多复杂的积分问题。
我们可以根据实际情况,选择适合的函数作为f(x)和g(x),然后按照分部积分公式的结构进行计算。
通常,我们选择的f(x)是一个可以简化积分的函数,而g(x)是另一个函数的微分。
这样,通过反复应用分部积分公式,我们可以将原本复杂的积分变为一个或多个更简单的积分,从而得到最终的结果。
求积分公式大全高等数学在高等数学中,积分是微积分中的重要概念之一,用于求解函数的面积、体积、曲线的长度以及求解微分方程等问题。
常见的积分公式包括原函数的求法、基本积分公式、常用函数的积分公式等。
下面将介绍一些常用的积分公式。
1. 原函数的求法原函数是指对于给定函数f(x),找到一个函数F(x),使得F'(x)=f(x)。
常见的函数对应的原函数公式包括:- 常数函数的原函数:∫kdx = kx + C,其中k是常数,C是常数项。
- 幂函数的原函数:∫x^ndx = 1/(n+1)x^(n+1) + C,其中n不等于-1。
- 正弦函数的原函数:∫sinxdx = -cosx + C。
- 余弦函数的原函数:∫cosxdx = sinx + C。
- 指数函数的原函数:∫e^xdx = e^x + C。
2. 基本积分公式基本积分公式是指对于一些常见函数的积分形式,可以直接根据公式进行求解。
常见的基本积分公式包括:- 幂函数积分公式:∫x^n dx = 1/(n+1)x^(n+1) + C,其中n不等于-1。
- 三角函数积分公式:- ∫sinxdx = -cosx + C。
- ∫cosxdx = sinx + C。
- ∫sec^2xdx = tanx + C。
- ∫csc^2xdx = -cotx + C。
- 指数函数积分公式:∫e^xdx = e^x + C。
- 对数函数积分公式:∫1/xdx = ln|x| + C。
3. 常用函数的积分公式除了基本积分公式外,还有一些常用函数的积分公式:- 三角函数的复合函数积分公式:- ∫sin(ax)dx = -1/as * cos(ax) + C。
- ∫cos(ax)dx = 1/as * sin(ax) + C。
- ∫sec^2(ax)dx = 1/as * tan(ax) + C。
- ∫csc^2(ax)dx = -1/as * cot(ax) + C。
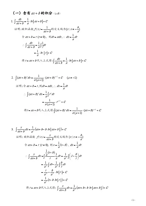
高等数学公式基本积分表(1)kdx kx C =+⎰ (k 是常数)(2)1,1x x dx C μμμ+=++⎰ (1)u ≠- (3)1ln ||dx x C x =+⎰(4)2tan 1dxarl x C x =++⎰ (5)arcsin x C =+(6)cos sin xdx x C =+⎰ (7)sin cos xdx x C =-+⎰(8)21tan cos dx x C x =+⎰(9)21cot sin dx x C x =-+⎰(10)sec tan sec x xdx x C =+⎰ (11)csc cot csc x xdx x C =-+⎰ (12)x x e dx e C =+⎰(13)ln xxa a dx C a=+⎰,(0,1)a a >≠且 (14)shxdx chx C =+⎰ (15)chxdx shx C =+⎰(16)2211tan xdx arc C a x a a =++⎰ (17)2211ln ||2x adx C x a a x a -=+-+⎰ (18)sinxarc C a=+(19)ln(x C =++(20)ln |x C =++(21)tan ln |cos |xdx x C =-+⎰ (22)cot ln |sin |xdx x C =+⎰ (23)sec ln |sec tan |xdx x x C =++⎰ (24)csc ln |csc cot |xdx x x C =-+⎰注:1、从导数基本公式可得前15个积分公式,(16)-(24)式后几节证。
2、以上公式把x 换成u 仍成立,u 是以x 为自变量的函数。
3、复习三角函数公式:2222sin cos 1,tan 1sec ,sin 22sin cos ,x x x x x x x +=+==21cos 2cos 2xx +=, 21cos 2sin 2xx -=。
注:由[()]'()[()]()f x x dx f x d x ϕϕϕϕ=⎰⎰,此步为凑微分过程,所以第一类换元法也叫凑微分法。
目 录(一)含有b ax +的积分(1~9)·······················································1 (二)含有bax +的积分(10~18) (5)(三)含有22a x ±的积分(19~21) (9)(四)含有)0( 2>+a b ax 的积分(22~28) (11)(五)含有)0( 2>++a c bx ax 的积分(29~30)········································14 (六)含有)0( 22>+a a x 的积分(31~44).........................................15 (七)含有)0( 22>-a a x 的积分(45~58).........................................24 (八)含有)0( 22>-a x a 的积分(59~72).........................................37 (九)含有)0( 2>++±a c bx a 的积分(73~78) (48)(十)含有 或))((x b a x --的积分(79~82)...........................51 (十一)含有三角函数的积分(83~112)...........................................55 (十二)含有反三角函数的积分(其中0>a )(113~121).......................68 (十三)含有指数函数的积分(122~131)..........................................73 (十四)含有对数函数的积分(132~136)..........................................78 (十五)含有双曲函数的积分(137~141)..........................................80 (十六)定积分(142~147) (81)附录:常数和基本初等函数导数公式 (85)bx a x --±- 1 -(一)含有b ax +的积分(1~9)Cb ax ln ab ax dx b ax t Ct ln adtta b ax dx dtadx ,adx dt t t b ax abx x b ax )x (f C b ax ln ab ax dx .++⋅=++=+⋅==+∴=∴=≠=+-≠+=++⋅=+⎰⎰⎰⎰1111 1)0( }|{ 1 11代入上式得:将,则令的定义域为被积函数证明:C b ax μa dx b ax b ax t C t μa dtt a dx b ax dtadx ,adx dt t b ax μC b ax μa dx b ax .μμμμμμμ++⋅+=++=+⋅+==+∴=∴==+-≠++⋅+=++++⎰⎰⎰⎰111)()1( 1)()1( 11)( 1, 1)( )()1( 1)( 2代入上式得:将则令证明:()()()()()C b ax ln b b ax adx b ax x b ax t Ct ln b t aCt ln a ba t dtt badt a dtt b 1a dt a ·t b t a dx b ax x dtadx ,b t a x ,t t b ax abx |x b ax x )x (f C b ax ln b b ax adx b ax x .22222222++⋅-+=++=+⋅-=+⋅-=-=⎪⎭⎫⎝⎛-=-=+∴=-=≠=+-≠+=++⋅-+=+⎰⎰⎰⎰⎰⎰⎰1111 11111 )0( }{ 13代入上式得:将则令的定义域为被积函数证明:- 2 -Cb ax ln b b ax b b ax a dx b ax x C b ax ln ab b ax d b ax a b dx b ax b a C b ax ln ab x a b b ax d b ax ab dx a b ax d b ax bb ax a b dx b ax abx a C b ax a dx b ax a dxbax b a dx b ax abx a dx b ax a dxb ax b abx b ax adx b ax x Cb ax ln b b ax b b ax a dx b ax x +⎥⎦⎤⎢⎣⎡+⋅++-+=+++=++=+++-=++-=+-+=+++=++-+-+=+--+=++⎥⎦⎤⎢⎣⎡+⋅++-+=+⎰⎰⎰⎰⎰⎰⎰⎰⎰⎰⎰⎰⎰⎰ )( 2)(211 )(11 22 )(122 )(221 )(21)(1 121)(1 )2)(1 )( 2)(211 .4223233232222323323321232222222222232由以上各式整理得:证明:Cxbax ln b C b ax xln b Cb ax ln b x ln b )b ax (d b ax b dx x b dxbax b a dx x b dx )b ax (b a bx b ax x dx b abAb B Aa bx a x b ax b ax Bx b ax x abx |x b ax x )x (f Cxbax ln b b ax x dx .++⋅-=++⋅=++⋅-⋅=++-=+-=+⋅-=+⎪⎪⎩⎪⎪⎨⎧-==⇒⎩⎨⎧==+∴++=++=++=+⋅-≠+⋅=++⋅-=+⎰⎰⎰⎰⎰⎰⎰1 1 11 1111 111]1[)( B 1A 10 A B)(A B )A(1 , A )(1 }{ )(1 1)( 5于是有则设的定义域为被积函数证明:b log b log a a -=-1 提示:- 3 -C x b ax ln b a bx C b ax ln b a bx x ln b a b ax d b ax b a dx x b dx x b a dx b ax b a dx x b dx x b a b ax x dx b a C b b a Bb aB Ab C Aa b aB Ab x a x Cx b ax b ax x b ax C x B x b ax x a bx x b ax x x f C x b ax ln b a bx b ax x dx ++⋅+-=++⋅+-⋅-=++++-=+++-=+⎪⎪⎪⎩⎪⎪⎪⎨⎧==-=⇒⎪⎩⎪⎨⎧==+=+∴=++++++++=+++=+⋅-≠+⋅=++⋅+-=+⎰⎰⎰⎰⎰⎰⎰⎰1 1 )(1111 1111)( 1B A 100 1B )( C)(A )B()( A 1 , A )(1 }|{ )(1)( 1)( .6222222222222222222222于是有即则设的定义域为被积函数证明:C b ax b b ax ln a Cb ax a bb ax ln a b ax d b ax a b b ax d b ax a dx b ax a b dx b ax a dx b ax x a bB aB Ab Aa x B Ab a x b ax x b ax Bb ax A b ax x a b x |x b ax x )x (f C b ax b b ax ln a dx b ax x .+⎪⎭⎫⎝⎛+++=++++⋅=++-++=+-+=+⎪⎪⎩⎪⎪⎨⎧-==⇒⎩⎨⎧=+=∴=++⋅++=+++=+-≠+=+⎪⎭⎫ ⎝⎛+++=+⎰⎰⎰⎰⎰⎰1 )( 1 )( )(1)(11 )(111)( 1A 01 )(AB )A( ,)( )( }{ )( 1)( 72222222222222于是有即则设的定义域为被积函数证明:- 4 -()C b ax b b ax ln b b ax a dx b ax x b ax t C t b t ln b t aC t ln a b t a t a b dt t a b dt a dt t a b dt t a bt t b dx b ax x t a btt b t a t b b ax x dt adx ,b t a x ,t t b ax a b x |x b ax x )x (f C b ax b b ax ln b b ax a dx b ax x .+⎪⎪⎭⎫ ⎝⎛+-+⋅-+=++=+-⋅-=+⋅-⋅+-=-+=-+=+∴-+=-=+∴=-=≠=+-≠+=+⎪⎪⎭⎫⎝⎛+-+⋅-+=+⎰⎰⎰⎰⎰⎰⎰23222333323323223222222222222222232221)( )2(121 12112)( 2)()( 11 )0( }{)( 21)( 8代入上式得:将则令的定义域为被积函数证明:C|xbax |ln ·b b ax b Cb ax ·b b||ax ln b|x|ln b dx b ax b a dx b ax ba dx xb b ax x dx b a D b a B b A 1Ab 0D Bb Aab 20Ba Aa Ab D Bb Aab 2x Ba Aa x Dx Bbx Bax Aabx 2Ab x Aa Dxb ax Bx b ax A 1 b ax Db ax B x A b ax x a bx |x b ax x )x (f C|xbax |ln b b ax b b ax x dx .22222222222++-+=++++⋅-⋅=+-+-=+⎪⎪⎪⎩⎪⎪⎪⎨⎧-=-==⇒⎪⎩⎪⎨⎧==++=+∴+++++=+++++=++++=++++=+-≠+=++-+=+⎰⎰⎰⎰⎰2222222222221)(11111)(1111)( 1 )()( )()( )()(1 }{)(1 ·1)(1)( 9于是有则设:的定义域为证明:被积函数- 5 -(二)含有bax +的积分(10~18)Cb ax a C b ax a b ax d b ax a dx b ax C b ax a dx b ax ++⋅=++⋅+⋅=++=+++⋅=++⎰⎰⎰3121213)(32)(21111)()(1 )(32 .10证明:C b ax b ax a C b ax b b ax a dx b ax x b ax t C b t a t C t a b t a dt a b dt a dtbt t a dt a t t a b t dx b ax x t abt b ax x dt a t dx a b t x t t b ax C b ax b ax a dx b ax x ++⋅-⋅=++⋅-+=++=+-=+⋅-⋅=-=-=⋅⋅-=+∴⋅-=+=-=≥=+++⋅-⋅=+⎰⎰⎰⎰⎰⎰⎰32322233252325224222232)()23(152 )(]5)(3[152 )53(152 ******** )(22 , 2 , , )0()()23(152 .11代入上式得:将则令证明:[]C b ax b abx x a ab ax b b abx b x a b ax a dx b ax x b ax t C bt b t at C t a b t a b t a C t a b t a b t a dt t a b dt t a b dt t a dtbt t b t t a dx b ax x a bt t b t t a b t b ax x dt a t dx a b t x t t b ax C b ax b abx x a a dx b ax x ++⋅+-⋅=+⋅-++++⋅=++=+-+⋅=+⋅-⋅+⋅=+⋅+⋅-⋅+⋅+⋅+⋅=--=-+⋅=+∴-+=⋅-=+=-=≥=+++⋅+-⋅=+⎰⎰⎰⎰⎰⎰⎰+++3222322223322243353332731432132163432326332532232522222322232)()81215(1052 )(4235301515 )(1052 )423515(1052 543272 411421126112 422 )2(22)( , 2 , , )0( )()81215(1052 .12代入上式得:将则令证明:- 6 -C b ax b ax a C b ax a b b ax b ax a dx b ax x b ax t C t a b t a C t a b t a bdt a dt t a dt a t at b t dx b ax xdt a t dx abt x t t b ax C b ax b ax a dx b ax x++⋅-⋅=++⋅-+⋅+⋅=++=+⋅-⋅=+⋅-⋅+⋅=-=⋅-=+∴=-=>=+++⋅-⋅=+⎰⎰⎰⎰⎰⎰+)()2(32)(2)()(3223222112222, 2 , , )0( )()2(32.132222322122222222代入上式得:将则令证明:[]C b ax b abx x a a C b ax b ax b b abx b x a b ax a dx bax x b ax t C bt b t at Ct b t b t a dt t a b dt b a dt t a dtbt b t a dt a tt a b t dx bax x dt a t dx a b t x t t b ax C b ax b abx x a a dx bax x ++⋅+-⋅=++⋅+⋅-+++⋅+⋅=++=+-+⋅=+-+=-+=-+=⋅⋅-=+∴=-=>=+++⋅+-⋅=+⎰⎰⎰⎰⎰⎰⎰⎰)()843(152)()(1015)2(3)(152)10153(152 )3251(2 422 )2(221)(, 2 , , )0( )()843(152 .142223222232224332532323432243222222232代入上式得:将则令证明:- 7 -⎪⎪⎩⎪⎪⎨⎧>+-+⋅->+++-+⋅=++-+⋅-=++=+-⋅-=-+=-<+++-+⋅=++=++-⋅=-=->-=⋅⋅-=+∴=-=>=+⎪⎪⎩⎪⎪⎨⎧<+-+⋅->+++-+⋅=+⎰⎰⎰⎰⎰⎰⎰⎰⎰⎰⎰)0(2)0(1 2 , 12t2 )(122 0 .211 )(122 0b .1 221, 2 , , )0( )0(2)0(1 .15222222222b C bbax arctan bb C bb ax b b ax ln b b ax x dx C bbax arctan bb ax x dx b ax t Cb arctan b dt b t dt b t b Cbb ax b b ax ln b bax x dx b ax t C b t b t ln b dt b t dt b t dtb t dta tt a b t bax x dx dt atdx a b t x t t b ax b C bbax arctan bb C bb ax b b ax ln b b ax x dx 得:综合讨论代入上式得:将,时当代入上式得:将,时当则令证明:C ax ax ln a a x dx++-⋅=-⎰ 21 21 22:公式C a xarctan a a x dx +⋅=+⎰1 19 22:公式- 8 -⎰⎰⎰⎰⎰⎰⎰⎰⎰⎰⎰⎰⎰⎰+-+-=+++-+-=+⋅++-+-=+++-+-=+-+-=+++-=+⎪⎪⎩⎪⎪⎨⎧=-=⇒⎩⎨⎧==+∴++=+++=+⋅+-+-=+-b ax x dx b a bx b ax dxb ax x b a bx b ax dx b ax x b a dx b ax ax b bx b ax dx b ax x b a b ax d x b bx b ax dx b ax x b a xd b ax b dx b ax x b a dx x b ax b dx bax x b a b ax x dx b b a Bb Ba A b ax x x b ax B b ax x b ax x b ax x dx b a bx b ax bax x dx 2 121 )(2111 111 11111 1B A 10 )B( A 1 , A 1 2 .162122222于是有则设证明:2 212 )(2 2122 122 1, 122 122 2 2 22 , , )0( 2 .172222222222222⎰⎰⎰⎰⎰⎰⎰⎰⎰⎰⎰⎰⎰⎰⎰⎰+++=+⋅-+++=++=⋅-+=-+=+∴-∴-+=-+=-+-=-=⋅-=+∴=-=≥=++++=+bax x dxb b ax dx bax ab b ax b b ax dx x b ax b ax t dxt ab t b t dtbt b t dx x b ax dt bt R b dtbt b t dt b t b dt dt bt b b t dtbt t dt a t b t at dx x b ax dt atdx a b t x t t b ax bax xdx b b ax dx xb ax 代入上式得:将不能明确积分符号可正可负取值为则令证明:- 9 -(三)含有22a x ±的积分(19~21)2 2)(1 112.182122⎰⎰⎰⎰⎰⎰⎰+++-=⋅+⋅++-=+++-=+-=++++-=+-bax x dxa xb ax dx ab ax x x b ax b ax d xx b ax xdb ax dx x b ax b ax x dxa x bax dx x b ax 证明:C a x arctan a a x dx a x arctan t a xarctant tant a x C t adt at dt sec a tsec a a x dx t sec a t tan a dx a x t dt sec a tant a d dx πt πtant a x C a x arctan a a x dx 2222222+⋅=+==∴⋅=+⋅==⋅⋅=+∴=+⋅=+⋅=⋅=<<-⋅=+⋅=+⎰⎰⎰⎰⎰1 111 1)1(1 )( , )22( 1 .19222222222代入上式得:将则令证明:- 10 -⎰⎰⎰⎰⎰⎰⎰⎰⎰⎰⎰⎰⎰⎰⎰⎰----+++++----+⋅--++⋅⋅-=⎥⎦⎤⎢⎣⎡+-++⋅-=+=+⎥⎦⎤⎢⎣⎡+-++=+∴+-+=+-+-+++=+-+++=+++=⋅+⋅-⋅-+=+-+=++⋅--++⋅⋅-=+122212221221222222222212212222221222222212222222122222122222222221222122222)()1(232)()1(2 )()32()()1(21)( , 1 )()12()(21)(1 )(1)()( )21( )(12)(12)( )(2)( )(2)( 2)()()( )(1 )()( )()1(232)()1(2)( .20n n n n n n n n n 2n n n n n n n n n n n nn n n n n a x dx a n n a x a n x a x dx n a x x a n a x dx n n a x dxn a x x na dx a x dx a x 2na a x x a x dx n dx a x na dx a x n a x x dx a x a a x n a x x dx a x x n a x x dx x a x n x a x x a x d x a x x a x dx a x dxa n n a x a n x a x dx 则令移项并整理得:证明:Cax ax ln a Ca x ln a a x ln a dx ax a dx a x a dx a x a x a ax dx C a x ax ln a ax dx ++-⋅=++⋅--⋅=+--=+--=-++-⋅=-⎰⎰⎰⎰⎰21 2121 121121 ]11[21 21 .212222证明:- 11 -(四)含有)0( 2>+a b ax 的积分(22~28))0( 21)0( 1 2 , 1 21 121 )(11 1)(11)(11 0 .2 1 C 1 )(11 1)(1111 0b .1 )( )0( 21)0( 1 .222222222222222222⎪⎪⎩⎪⎪⎨⎧<+-+⋅--⋅⋅->+⋅⋅=++-+⋅--⋅⋅-=+-+--⋅⋅-=--=+∴⋅--=⋅--=+<+⋅⋅=+⋅⋅⋅=+=+∴⋅+=⋅+=+>>⎪⎪⎩⎪⎪⎨⎧<+-+⋅--⋅⋅->+⋅⋅=+⎰⎰⎰⎰⎰⎰b C b x a bx a ln ab b C x b aarctan ab b ax dx C b x a b x a ln ab C a bx ab x ln a a b dx a bx a b ax dx a a b x a a b x b ax b C x b aarctan abx b aarctan b a a dxa b x a b ax dx a ab x a a b x b ax 0a b C b x a b x a ln ab b C x b aarctan abb ax dx 得:综合讨论,时当,时当证明:C b ax ln a b ax d b ax a dx b ax dx bax x a C b ax ln a dx bax x 22++⋅=++=+=+>++⋅=+⎰⎰⎰⎰21 )(121 121)0( 21 .23222222证明:- 12 -⎰⎰⎰⎰⎰⎰⎰⎰+-=+-=+-=⋅+=+>+-=+b ax dx a b a x dx b ax a b dx b a b dxb ax b a b dx b b ax ax a b dx bax x a b ax dx a b a x dx bax x 2222222222 11 )11( 1)0( .24证明:C 21 2121 )(12112112121])(1[21)( 11 )()(1 )(1)(121 )()( )( C 21)( .25222222222222222222++=++-=++-=+-=+-=+⎪⎪⎩⎪⎪⎨⎧-==⇒⎩⎨⎧==+∴++=++=++=++=+=+>++⋅=+⎰⎰⎰⎰⎰⎰⎰⎰⎰⎰bax x ln ·b Cb ax ln ·b x ln ·b b ax d bax b dx x b dxb ax b a dx x b dxb ax b a bx b ax x dx b aB bA Ab 0B Aa AbB Aa x Bx b ax A bax Bx A b ax x dxb ax x dx b ax x xb ax x dx 0a bax x lnbb ax x dx 22222222222222于是有则设:证明:- 13 -⎰⎰⎰⎰⎰⎰⎰+--=+-=+-=+⎪⎪⎩⎪⎪⎨⎧-==⇒⎩⎨⎧==+∴++=++=++=+>+--=+b ax dx b a bx dx b ax b a dx x b dx b ax b a bx b ax x dx b aB b A Ab 0B Aa Ab B Aa x Bx b ax A b ax B x A b ax x a b ax dx b a bx b ax x dx 2222222222221 111 ])(1[)( 11 )()(1 )(1 0)( 1)( .2622222于是有则设:证明:C bxx b ax ln baC b ax ln ·ba bx x ln ·ba dx bax b a dx x b dx x b a b ax x dx b a C b a A b B Bb Ba Ab C Aa Bb x Ba Ab x C Aa Cx b ax B b ax Ax bax C x B x A b ax x dx b ax x dx b ax x xb ax x dx 0a C bx x b ax ln b a b ax x dx 222222222222+-+=+++--=+++-=+⎪⎪⎪⎩⎪⎪⎪⎨⎧=-==⇒⎪⎩⎪⎨⎧==+=+∴++++=++++=+++=++=+=+>+-+=+⎰⎰⎰⎰⎰⎰⎰⎰22222222222224222322244244244322223212221 2 1212112 )( 1100 )()( )()(1 )(1 )(121 )()( )( 212)( .27于是有则设:证明:- 14 -(五)含有)0( 2>++a c bx ax 的积分(29~30)[]⎪⎪⎩⎪⎪⎨⎧>+-++--+⋅-<+-+⋅-=+++-++--+⋅-=+--+=--+=-++=++>+-+⋅-=+-++=-++=++<-++=++∴-++=++>⎪⎪⎩⎪⎪⎨⎧>+-++--+⋅-<+-+⋅-=++⎰⎰⎰⎰⎰⎰⎰⎰⎰⎰⎰)4( 44 41)4(42 2 , 1 44 41 )2()4()(124 )4()(14 )()(14 4 .2 42 )2()()(124 )()(14 4 .1 )()(14 )()(41 )0( )4( 44 41)4( 42 .292222222222222222222222222222ac b C ac b b 2ax acb b 2ax ln ac b ac b C b 4ac b 2ax arctan bac c bx ax dx Cac b b 2ax acb b 2ax ln ac b b axd ac b b 2ax a a dx ac b b 2ax a dx b 4ac b 2ax a c bx ax dx ac b Cb4ac b 2ax arctan b ac b ax d b 4ac b 2ax a a dx b 4ac b 2ax a c bx ax dx ac b dx b 4ac b 2ax a c bx ax dx b 4ac b 2ax ac bx ax a ac b C ac b b 2ax ac b b 2ax ln ac b ac b C b 4ac b 2ax arctan bac c bx ax dx 2222222222222222得:综合讨论,时当,时当证明: C a x arctan a a x dx +⋅=+⎰1 19 22:公式C 21 2122++-⋅=-⎰a x a x ln a a x dx :公式21)(2 )(2121)(2)(212121)(21 )(2121121)(21 )(2121()(21 211102 2 2)(1 2)(21 21 1121 21 1121 121)( )( 21)(2)( 2822222⎰⎰⎰⎰⎰⎰⎰⎰⎰⎰⎰⎰+++=+++-+=++++-=++-+-=+--+-=⎪⎪⎩⎪⎪⎨⎧-==⇒⎩⎨⎧==+∴++=++=++=+⋅+-+⋅-=+++⋅-=+-=+>+++=+bax dx b b ax b x dxb ax b bb ax abx b b ax dx b ax b babx b ax ax dxb ax b b dx x ab b ax ax dx b ax b abx b ax ax b B bA Ab Ba Aa Abx )Ba Aa (Bax b ax A b ax B ax A b ax ax dxax b ax b ax ax ax d b ax b ax ax b ax d ax b ax dx 0a bax dxb b ax b x b ax dx .222222222222222222222222222上式于是有,则设:证明:- 15 -(六)含有)0( 22>+a a x 的积分(31~44)⎰⎰⎰⎰⎰⎰⎰⎰⎰++-++⋅=++-++++=++-++++=++-+⋅=++>++-++⋅=++cbx ax dx a b c bx ax ln a dx cbx ax a b c bx ax d c bx ax a dx c bx ax b a dx c bx ax b ax a dx c bx ax b b ax a dx c bx ax x a c bx ax dx a b c bx ax ln a dx c bx ax x 222222222222 2 21 12)(121 21221 221 )0( 2 21 .30证明:C )( , 1 |AB | , |AC | B Rt 1 , 01, 22 || , ) )22(}{1 )0( C )( 31222222322222222222222222222222222122+++=+∴>+++++=+-++=+++=++=+∴=+==∴+====∠++==⋅=+∴=+∴>=<<-=+==<<-=∈+=>+++=+=+⎰⎰⎰⎰⎰⎰a x x ln a x dx 0x a x C x a x ln C lna x a x ln C a xa x ln C tant sect ln a x dx a xtant a a x cost sect a x x ,a |BC |,t ABC ΔC tant sect ln dt sect dt t sec a sect a a x dx secta a x cost sect πt π sect a a x tdt sec a tant a (d dx ,πt πtant a x R x |x ax )x (f a a x x ln C a x arsh ax dx .22 则中,设在则可令的定义域为被积函数证明:C t tan t sec ln tdt sec ++=⎰|| 87 :公式- 16 -1)( |AB ||AC |sint |AB | , |AC |, || , B Rt 1cos 1 11 1)( )( , 01 , 22 ||)( , ) ( ,)22( }|{)(1)( )0( )( .3222223222222222322322322322222322C a x a x C sint a a x dx a x xa x x a BC t ABC ΔC sint a tdt a dt sect a dt t sec a t sec a a x dx t sec a a x cost sect πt πt sec a a x tdt sec a tant a d dx πt πtant a x R x x a x x f a C ax a x a x dx 23333332++=+⋅=+∴+==∴+====∠+===⋅=+∴=+∴>=<<-=+==<<-=∈+=>++=+⎰⎰⎰⎰⎰⎰则中,设在则可令的定义域为被积函数证明: C a x dx a x x a x t C t dt dtat t t a t dx a x x dta t t tdt a t dx a t x t t a x a C a x dx a x x ++=++=+==-⋅-=+∴-=⋅-=∴-=>=+>++=+⎰⎰⎰⎰⎰-22222222222222212222222222 2)(21 , )0( )0( .33代入上式得:将则令证明:Cax C a x a x d a x dx a x dx a x x dx a x x a C ax dx a x x ++-=++⋅-⨯=++=+=+⋅=+>++-=+----⎰⎰⎰⎰⎰2223122222322223222322322223221 )(231121 )()(21 )(21)()( )0( 1)( .34证明:- 17 -C )( 22 C)( )( 22 31)( C )( 1 39)( C )( 22 1)0( C )( 22 .35222222222222222222222222222222222222222222222222+++⋅-+⋅=+++⋅-++++⋅=+∴+++=++++⋅++⋅=++-+=+-+=+>+++-+⋅=+⎰⎰⎰⎰⎰⎰⎰⎰a x x ln a a x x a x x ln a a x x ln a a x x dx a x x a x x ln x d ax a x x ln a a x x dx a x x d a x a dx a x dx a x a a x dx a x x a a x x ln a a x x dx ax x 公式公式证明:C )( )()( 1, |AB | , |AC |, || , B Rt cos 1 1 )( )( , 01 , 22 )( ) ( ,)22( }|{)()( )0( C )( )( .362222322222222222223222222222322232223222322222223222+++++-=+∴>+++-+-++=++-++=+-+=+∴+===+=∴+====∠+-+=-=-=-==⋅=+∴=+∴>=<<-=+==<<-=∈+=>+++++-=+⎰⎰⎰⎰⎰⎰⎰⎰⎰⎰⎰a x x ln a x x dx a x x 0x a x C lna ax x x a x ln C a x xa x a x ln C sint tant sect ln dx a x x a a x cost sect ,a x tant a x x sint a x x a BC t ABC ΔC sint tant sect ln dt t dt sect dt sectdt sect dt sect t sec dt sect t tan tdt sec a t sec a t tan dx a x x t sec a t tan a x x cost sect πt π|t sec a |t tan a a x x tdt sec a tant a d dx πt πtant a x R x x a x x x f a a x x ln ax x dx a x x 1111222323233222则中,设在,则可令的定义域为被积函数证明:C tant sect ln dt t ++=⎰| | sec 87 :公式- 18 -1 )( 21 )( 21 )( 21 21 1 1 2)(21 , )0( )0( 1.3722222222222222222222222222222212222222222C x a a x ln a C x a a x ln a C a a x a a x ln a a x x dx a x t C a t a t ln a C a t a t ln a dt at dt a t t a t t a x x dx dt a t t tdt a t dx a t x t t a x a C x aa x ln a a x x dx +-+⋅=+-+⋅=+-+-+⋅=+⋅+=+--⋅=++-⋅=-=-⋅-⋅=+⋅∴-=⋅-=∴-=>=+>+-+⋅=+⋅⎰⎰⎰⎰⎰-代入上式得:将则令证明:C 21 2122++-⋅=-⎰a x ax ln a a x dx :公式bnlog b log a na = 提示: 1 11)1(211121)1(1121 1221 11111 1 , )0( 1 11 )0( .3822222222221122222222222222222222222222222C x a a x ax x dx x t C t a aC t a a t a d t a a dtt a ta a dt ta t dt a tx d a x t x t x t x da x a x x dx a C x a a x a x x dx ++-=+⋅=++⋅-=++-⋅-=++-=+-=+-=+-=+-∴=≠=+-=+⋅>++-=+⋅⎰⎰⎰⎰⎰⎰⎰⎰⎰-代入上式得:将则令证明:- 19 -C a x x ln 2a a x 2x dx a x a x x ln a a x x dx a x C a x x ln a dx a x a dx a x x dx a x a x x dx ax x dx a x dx a x x a x x a x d x a x x dx a x a C a x x ln 2a a x 2x dx a x .22222222222222222222222222222222222222222222222222+++⋅++=+++⋅++=+++++⋅=+=+-++=+++∴+-+=+-+=+>+++⋅++=+⎰⎰⎰⎰⎰⎰⎰⎰⎰⎰⎰)( )( 2 )( 1 )0( )( 391即②得,由①②又①:证法C a x x ln 2a a x 2x dx a x lna2a a x x ln 2a a x 2x |aa x x |ln 2a a x 2x |tant sect |ln a tant sect a a x tant ,a x a cost sect x a |AB |x,tant a |AC |a |BC |,t B ABC Δ ,tant a x C |tant sect |ln a 2tant sect a 2dtant sect a C |tant sect |ln sectdt sectdt a tant sect a 2dtant sect a sectdt dtant sect dt cost dt t cos cost dt t cos t cos dt t cos t sin tantdt sect tant tantdsect tantdsect a tant sect a dtant sect a tant a sectd a dx a x sect a a x tcos t sec ,2πt 2π,sect a t tan a a x 2πt 2πtant a x 0a C a x x ln 2a a x 2x dx a x .222222222222222222222222222212222323222222222222222222+++⋅++⋅=+⋅-++⋅++⋅=++⋅++⋅=++∴=+==∴+=====∠∴⋅=+++⋅=++=+=-=-⋅=-==⋅⋅=-⋅===+∴=+∴>=<<-=+=+<<-⋅=>+++⋅++⋅=+⎰⎰⎰⎰⎰⎰⎰⎰⎰⎰⎰⎰⎰⎰⎰⎰⎰⎰)( )( 21·21 1· Rt 11 87 )·(1 1111 )·(· · , 01·1 )( 2 )()( 39综合①②③④⑤得则,中,可设在⑤联立③④有④)(公式又③联立①②有②又①,则令:证法 t sec t tan 221 =+提示:)0( )(131>+++=+⎰a C a x x ln dx ax 2222:公式- 20 -⎰⎰⎰⎰⎰⎰⎰⎰⎰⎰⎰⎰⎰⎰⎰⎰⎰⎰⎰⎰⎰⎰⎰⎰⎰⎰+++⋅⋅+++⋅=+∴+++⋅++⋅⋅+++=+++⋅+⋅+⋅++⋅+⋅⋅=∴+===∴+====∠++⋅+⋅+⋅=+++⋅⋅=+⋅⋅==+-⋅=⋅--⋅=⋅-⋅=-⋅=+=+-⋅=⋅--⋅=⋅-⋅=⋅-⋅=⋅⋅⋅-⋅=-⋅==⋅=+∴⋅=+∴>=<<-=+<<-=∈+=>+++⋅⋅+++⋅=+Ca x x ln a a x a x x dx a x C x a x ln 83aa x 8x a 3a x a x x C a x a x ln a 83a x a a x 8a 3a x aa x a x a tant d t sec a a a x t sect ,a x tant a x x a BC t ABC ΔC tant sect ln a 83tant sect a 83tant t sec a tant d t sec a C tant sect ln tant sect dt sect tant sect tant d t sec a dt t sec tant d sect dt sect dt t sec tant sect sectdt t sec tant sect sectdt t tan tant sect sect d tant tant sect tant d sect tant d sect a tant t sec a tant d t sec a tant d sect a tant d t sec a tant t sec a tant d sect t sec a tant t sec a tant d sect t tan a tant t sec a dt t sec t tan a tant t sec a dt tant sect t sec tant a tant t sec a t sec d tant a tant t sec a tant d t sec a tant a d t sec a dx a x tsec a a x cost sect πt πt sec a a x πt πtant a x R x x a x x f a C a x x ln a a x a x x dx a x 4333333223333232332323333333333)( 83)52(8 )( )(4 4 cos 1 |AB | , |AC |, || , B Rt 41 21 21 21 21 )1( ) 3 (41 3 3 )1(3 3 3 3 ) ( )( )( , 01 , 22 ||)( ,)22( }|{)()( )0( )( 83)52(8 )( .4022422223222222222221224224223224422221444414444444444444444443223223223222242222322则中,设在联立①④得④联立②③得:③又②①移项并整理的:则可令的定义域为被积函数证明: Ctant sect ln dt t ++=⎰| | sec 87 :公式- 21 -Ca x C a x a x d a x dx a x dx a x x a C a x dx a x x ++=++⋅+⨯=++=+=+⋅>++=+⋅+⎰⎰⎰⎰32221122222122221222232222)(31)(211121 )()(21 )(21 )0( )(31 .41证明:- 22 -⎰⎰⎰⎰⎰⎰⎰⎰⎰⎰⎰⎰⎰⎰⎰⎰⎰⎰⎰⎰⎰⎰⎰⎰⎰⎰⎰⎰⎰⎰⎰+++⋅-++⋅=+⋅∴++⋅=++⋅∴>+++++⋅-++⋅=++⋅+++⋅-+⋅=++⋅⋅+++⋅-+⋅⋅=⋅∴+===∴+====∠+⋅++-⋅=⋅++-⋅⋅=-⋅⋅=--⋅=--⋅=⋅+-⋅=-⋅=-⋅=⋅⋅+=⋅⋅+=⋅-⋅⋅+=-⋅⋅+=-⋅⋅+=+=+⋅=⋅=⋅=⋅=⋅=+⋅∴⋅=+⋅∴>=<<-=+⋅<<-=∈+⋅=>+++⋅-++⋅=+⋅Ca x x ln a a x a x x dx a x x a x x ln a x a x ln a x a x Cx a x ln a a x a x x C a x x x a x ln a a x x a C a a x a x a a x a x ln a a a x a x a t dsec t sec tant a aa x tsect ,a x tant a x x a BC t ABC ΔC sect t tan a tant sect ln a tant sect a t dsec t sec tant a C tant sect ln tant sect dt sect tant sect sect d tant sect d tant dt sect tant sect dt sect t tan dt sect tant sect sectdt t tan tant sect tdt sec tant sect tant d sect tant sect sect d tant t sec t tan a t dsec tant a t sec t tan a t dsec tant a t dsec t sec tant a dsect tant t sec a t sec t tan a t dsec tant a dt t tan t sec a t sec t tan a t dsec tant a t dtan t sec a t sec t tan a t dsec tant a t dsec t tan a t dsec tant a t dsec t tan tant a t dsec t sec tant a t d t sec t tan a tant d sect t tan a tant a d sect t tan a dx a x x sect t tan a a x x costsect πt π sect a t tan a a x x πt πtant a x R x x a x x x f a C a x x ln a a x a x x dx a x x 23222333232333322322222)( 8)2(8 )( 88 0 8)2(8 4 88 4 88 cos 1 |AB | , |AC |, || , B Rt 48821 21 2121)1( 4 4 ) (41 3 3 )1( ) ( )( )( , 01 , 22 ||)( ,)22( }|{)( )0( )( 8)2(8 .42224222222222422422224222222232242241223342242244222214444144444244434444444444443222322222222222242222222,则中,设在联立①②得:②移项并整理得:①移项并整理的:则可令的定义域为被积函数证明: C tant sect ln dt t ++=⎰| | sec 87 :公式- 23 -)( )( 2 )( 2 21 1 2)(21 , )0( }0|{)( )0(.4322222222222222222222222222222222222222222222122222222222222C x a a x ln a a x Cxa a x ln a a x C a a x a a x ln a a x dx x a x a x t C a t a t ln a t C a t a t ln a a t dt a t a dt dt a t a a t dt a t t dt a t t a t t dx x a x dt at t tdt a t dx a t x a t t t a x x x x a x x f a C x aa x lna a x dx xa x +-+⋅++=+-+⋅++=+-+-+⋅++=++=+--⋅+=++-⋅⋅+=-+=-+-=-=-⋅-=+∴-=⋅-=∴-=≠≥=+≠+=>+-+⋅++=+⎰⎰⎰⎰⎰⎰⎰⎰-代入上式得:将则且令的定义域为被积函数证明:C )( 2 , 1 C )( , 0 2. C )( 01 |AB | , |AC |, || , B Rt 1 1 1 )1( , 01 , 20 , ) ( ,)20( , 0 1. }0|{)( )0(C )( .4422222222222222222222222222222222222222222222222222222222222+++++-=++++++-=+<+++++-=+∴>+++-++++-=++-++=+∴+===+=∴+====∠+-+=+=+=⋅+=⋅+=+⋅=⋅=+∴=+∴>=<<=+==<<=>≠+=>+++++-=+⎰⎰⎰⎰⎰⎰⎰⎰⎰⎰⎰⎰⎰⎰⎰⎰x a x ln xa x dx x a x x a x ln xa x dx x a x x x a x ln x a x dx x a x x a x C lna x a x ln x a x C x a x a x a x ln dx x a x a a x cost sect ,a x tant ,ax x sint a x x a BC t ABC ΔC sinttant sect ln dsint t sin dt sect dt t sin cost dt sect dt t sin t cos cost dt sect dt t tan sect dt sect dt t tan t tan sect tdt sec a t tan a sect dx x a x t tan a sect x a x cost sect πt t tan a sect a x a x tdt sec a tant a d dx πt tant a x x x x x a x x f a a x x ln x a x dx x a x 1112222222222222得:综合讨论同理可证得:时当则中,设在,则可令时当的定义域为被积函数证明: Ctant sect ln dt t ++=⎰| | sec 87 :公式C21 2122++-⋅=-⎰a x a x ln a a x dx :公式- 24 -(七)含有)0( 22>-a a x 的积分(45~58)2 1 || || ||1|| || 1 . 21 Rt 2)20( . 1}{ 1 1 )0( 453 C |a x x |ln C a |x |arsh |x |x a x dx ,C a x x ln C aa x x ln C a x x ln C a x x ln C a μμln a μd μa x dx μx ,x μa x ,a x C |a x x |ln |a a x x |ln |t tan t sec |ln ax dx a a x |BC ||AC |t tan ,a x t cos t sec a x |AC |,x |AB |a |BC |,t B ABC ΔC |tant sect |ln sectdt dt tant a tantsect a a x dx tant a a x πt tant a 1t sec a a x tantdt sect a dx πt sect a x ,a x a x a x |x ax f(x)a C |a x x |ln C a |x |arsh |x |x ax dx .22122522422242242242222222222222222222222222222122+-+=+⋅=-+---=+-+-=+-+-=+-+--=+-+-=--=--=-=>--<+-+=-+=+=-∴-====∴-====∠++==⋅⋅⋅=-∴⋅=-<<⋅=-=-⋅⋅=<<⋅=>-<>-=>+-+=+⋅=-⎰⎰⎰⎰⎰⎰⎰⎰,可写成综合讨论可知由讨论即时,令即当则,中,可设在,则,可设时当或的定义域为被积函数:证法 C t tan t sec ln tdt sec ++=⎰|| 87 :公式- 25 -2 1 || || ||1)( || 1 . 2 || . 1 }{ 1 2 )0( 45 C |a x x |ln C a |x |arsh |x |x a x dx ,C a x x ln C a a x x ln C a x x ln C a x x ln C a μμln a μd μa x dx μx ,x μa x ,a x C a x x ln C 1a x a x ln C a x arch C t dt dt sht a sht a a x dx shtdt a dx ,sht a a t ch a a x a x arch t 0)(t cht a x ,a x a x a x |x ax f(x)a C |a x x |ln C a |x |arsh |x |x ax dx .221225224222422422422222232222122222222222122+-+=+⋅=-+---=+-+-=+-+-=+-+--=+-+-=--=--=-=>--<+-+=+⎥⎥⎦⎤⎢⎢⎣⎡-⎪⎭⎫ ⎝⎛+=+=+==⋅⋅=-∴⋅=⋅=-=-=>⋅=>-<>-=>+-+=+⋅=-⎰⎰⎰⎰⎰⎰⎰,可写成综合讨论可知由讨论即时,令即当则,可设时当或的定义域为被积函数:证法- 26 -C a x a x a x dx ,C ax a x a x dx x μC a μa μa μμd a μμd a x dx μx ,x μa x ,a x C a x a x a x dx x a x t sin a x |AC |,x |AB |a |BC |,t B ABC ΔCt sin a sint d t sin a dt t sin t cos a dt t sin t cos t cos a dt t tan sect a dt t tan a tant sect a a x dx t tan a a x tant πt t tan a a x tantdt sect a dx πt sect a x ,a x a x a x |x a x f(x)a C ax a x a x dx .222222222222222222222222222222222222+-⋅-=-+-⋅-=--=+-⋅=----=-∴-=-=>--<+-⋅-=-∴-=∴-====∠+-===⋅==⋅⋅⋅=-∴⋅=-><<⋅=-⋅⋅=<<⋅=>-<>-=>+-⋅-=-⎰⎰⎰⎰⎰⎰⎰⎰⎰⎰⎰⎰⎰23232333232222222232333333333323)( 2 1 )( )()( 1 )()( . 2 )( Rt 1 11 111 1)( )( , 0 20 )( )20( . 1 }{ )(1 )0( )( 46得:综合讨论代入得:将可知由讨论即时,令即当则,中,可设在,则,可设时当或的定义域为被积函数:证明 )(211121 )()(21 )(21 )0( .47211222221221C a x C a x a x d a x dx a x dx a x x a C a x dx ax x 222222222222+-=+--⨯=--=-=->+-=----⎰⎰⎰⎰:证明- 27 -1)( 2 1 1)( 1)( 1 )()(. 2 11)( Rt 11 11 1)( )( 20 )( )20( . 1 }{ )()0( 1)( 48333333222232332333333 C ax dx a x x , C a x dx a x x x μCaμμd a μμμd a μμdx a x x μx ,x μa x ,a x Cax C a x a a dx a x x a x at cot a x |AC |,x |AB |a |BC |,t B ABC ΔC t cot a tdt csc a dt t sin a dt t tan t sec a dt tant sect a t tan a sect dx a x x t tan a sect a x x πt t tan a sect a a x x tantdt sect a dx πt sect a x ,a x a x a x |x a x xf(x)a C ax dx a x x .22222222222222222222222222222222222222+--=-+--=--=+--=--=-∴-=-=>--<+--=+-⋅-=-∴-=∴-====∠+⋅-=--===⋅⋅⋅⋅=-∴⋅=-<<⋅⋅=-⋅⋅=<<⋅=>-<>-=>+--=-⎰⎰⎰⎰⎰⎰⎰⎰⎰⎰⎰⎰得:综合讨论代入得:将可知由讨论即时,令即当则,中,可设在,则,可设时当或的定义域为被积函数:证明 C a x x ln a a x x dx ax x C a x x ln a a x dxa C a x x ln a a x x dx a x dxax a dx a x dx ax aa x dxax a a x dx a x x a C a x x ln a a x x dx a x x .22222222222222222222222222222222+-+⋅+-=-+∴+-+⋅=-+-+⋅--⋅=--+-=-+-=-+-=->+-+⋅+-=-⎰⎰⎰⎰⎰⎰⎰⎰⎰22 45)( 53)( 221)( )0( 22 49222222222222222②得:由①公式②公式①证明:。
高等数学积分公式大全在高等数学的学习中,积分是一个非常重要的概念和工具。
积分公式就像是一把把钥匙,能够帮助我们打开解决各种数学问题的大门。
接下来,让我们一起走进这个丰富多彩的积分公式世界。
一、基本积分公式1、常数的积分∫k dx = kx + C (其中 k 为常数,C 为积分常数)这个公式很好理解,对一个常数进行积分,结果就是这个常数乘以自变量再加上积分常数。
2、幂函数的积分∫x^n dx =(1/(n + 1))x^(n + 1) + C (其中n ≠ -1)当 n 为正整数时,这个公式告诉我们幂函数积分后,指数加 1,然后除以新的指数再加积分常数。
3、指数函数的积分∫e^x dx = e^x + C∫a^x dx =(1 / ln a)a^x + C (其中 a > 0 且a ≠ 1)指数函数的积分依然是它本身,只是要加上积分常数。
4、对数函数的积分∫ln x dx = x ln x x + C这是一个比较特殊的公式,需要记住。
5、三角函数的积分∫sin x dx = cos x + C∫cos x dx = sin x + C∫ta n x dx = ln |cos x| + C∫cot x dx = ln |sin x| + C三角函数的积分在解决与周期性和波动性相关的问题中经常用到。
二、换元积分法相关公式1、第一类换元法(凑微分法)如果∫f(u) du = F(u) + C,且 u =φ(x) 可导,则∫f(φ(x))φ'(x) dx =F(φ(x))+ C通过巧妙地凑出合适的微分形式,将复杂的积分转化为已知的积分形式。
2、第二类换元法设 x =φ(t) 是单调的、可导的函数,并且φ'(t) ≠ 0,又设f(φ(t))φ'(t) 具有原函数,则有∫f(x) dx =∫f(φ(t))φ'(t) dt常见的有三角代换、根式代换等。
三、分部积分法公式∫u dv =uv ∫v du这个公式常用于两个函数相乘的积分,通过合理地选择 u 和 dv,将积分转化为更容易求解的形式。
高等数学导数积分公式大全数学是一种抽象语言,它以一系列规则和公式来描述客观事物,使你能用数字和数学符号表达出这种客观事物。
这些规则和公式的正确使用,使复杂的问题变得更加可操作性。
其中,高等数学导数积分是一个重要的研究方向。
它包含了一系列有关求导和求积分的公式,是理解数学、研究计算机科学等相关学科过程中不可或缺的重要元素。
这里,介绍几个比较常见的高等数学导数积分公式:首先是求导公式,求导最基本的公式是泰勒公式,它表达的是曲线在点a处的切线斜率。
它的表达式如下:f(a)=lim(h->1) (f(a+h)-f(a))/h接下来是欧拉公式,它是有关函数的偏导数的求解公式。
它的表达式如下:fxy(a,b)=lim((Δx,Δy)->(0,0)) (f(a+Δx,b+Δy)-f(a,b))/(Δx)再来就是梯度公式,它是求取函数的梯度。
它的表达式如下:gradf(a,b)=(fxa(a,b),fxy(a,b))积分的话,有牛顿-森定积分和拉格朗日积分。
牛顿-森定积分是高等数学中最基本的积分计算方法,它的表达式如下:∫f(x)dx=lim(n->∞)n (f(x1)+f(x2)+…+f(xn))拉格朗日积分是微分方程在某些特殊情况下的解法,它的表达式如下:∫f(x)dx=Σc f(x)*Δt以上就是高等数学导数积分公式大全。
以上公式皆是解决数学问题时需要熟练掌握的,学生在学习过程中应重视练习,牢记背诵,以求解更多的数学问题。
此外,高等数学还包括一些其他的知识,比如几何学、代数学、概率论等。
在学习这些知识时,同样要把握在了解其特点和定义基础上,还要加强练习,以求能够熟练掌握,才能更好地学习和理解高等数学。
定积分公式推导方法嘿,咱今儿个就来唠唠定积分公式推导方法这事儿。
你想想啊,定积分就像是在一个区间里去探索、去挖掘宝藏。
那怎么找到这些宝藏呢,这就得靠推导方法啦!咱先来说说分割吧,就好比把一大块蛋糕切成一小块一小块的。
把那个区间分成好多好多小部分,越细越好,这样才能更精确地去研究它呀。
这就好像是在给这个区间做一次细致的解剖,每一个小部分都不能放过。
然后呢,近似。
这就像是猜谜语,虽然不能一下子就猜对,但可以先大概估摸一下呀。
用一些简单的形状或者数值去近似那些小部分,让复杂的东西变得稍微好理解一点。
再说说求和呀,这就像是把那些小部分的近似值都加起来,就像把一颗颗小珍珠串成一条项链。
每一个小部分的贡献都不能忽略,都要加到一起,这样才能看到整体的效果。
最后就是取极限啦,这可是关键的一步呢!就好像是在不断地打磨、雕琢,让结果越来越精确,越来越接近真正的宝藏。
当把分割无限细化,近似无限精确,求和无限趋近,那最后得到的不就是定积分的真正值嘛。
你说这是不是很神奇?就像变魔术一样,通过这一系列的步骤,就能把一个看似复杂的问题给解决了。
就好像在黑暗中找到了那一束光,指引着我们走向正确的方向。
想象一下,如果没有这些推导方法,那我们面对定积分岂不是像无头苍蝇一样乱撞?那可不行呀!这些方法就像是我们的武器,帮助我们在数学的战场上冲锋陷阵。
所以啊,可得好好掌握这些定积分公式推导方法,它们可是打开数学大门的钥匙呢!别小看它们,它们的作用可大着呢!学会了它们,你就能在数学的海洋里畅游,发现更多的奇妙和惊喜。
怎么样,是不是觉得很有意思呀?赶紧去试试吧!。
高等数学公式之南宫帮珍创作基本积分表(1(k是常数)(2(3(4(5(6(7(8(9(10(11(12(13(14(15(16(17(18(19(20(21(22(23(24注:1、从导数基本公式可得前15个积分公式,(16)-(24)式后几节证。
23、复习三角函数公式:注一类换元法也叫凑微分法。
此方法是非常重要的一种积分法,要运用自如,务必熟记基本积分表,并掌握罕见的凑微分形式及“凑”的技巧。
小结:1经常使用凑微分公式导数公式: 基本积分表:三角函数的有理式积分:ax x aa a ctgx x x tgx x x x ctgx x tgx a x x ln 1)(log ln )(csc )(csc sec )(sec csc )(sec )(22='='⋅-='⋅='-='='222211)(11)(11)(arccos 11)(arcsin x arcctgx x arctgx x x x x +-='+='--='-='⎰⎰⎰⎰⎰⎰⎰⎰⎰⎰+±+=±+=+=+=+-=⋅+=⋅+-==+==Ca x x a x dx C shx chxdx C chx shxdx Ca a dx a Cx ctgxdx x Cx dx tgx x Cctgx xdx x dx C tgx xdx x dx xx)ln(ln csc csc sec sec csc sin sec cos 22222222C axx a dx C x a xa a x a dx C a x ax a a x dx C a xarctg a x a dx Cctgx x xdx C tgx x xdx Cx ctgxdx C x tgxdx +=-+-+=-++-=-+=++-=++=+=+-=⎰⎰⎰⎰⎰⎰⎰⎰arcsin ln 21ln 211csc ln csc sec ln sec sin ln cos ln 22222222⎰⎰⎰⎰⎰++-=-+-+--=-+++++=+-===-Cax a x a x dx x a Ca x x a a x x dx a x Ca x x a a x x dx a x I nn xdx xdx I n n nn arcsin 22ln 22)ln(221cos sin 2222222222222222222222ππ一些初等函数: 两个重要极限: 三角函数公式: ·诱导公式:·和差角公式: ·和差化积公式: ·倍角公式: ·半角公式: ·正弦定理:·余弦定理:高阶导数公式——莱布尼兹(Leibniz )公式: 中值定理与导数应用: 曲率:2sin2sin 2cos cos 2cos2cos 2cos cos 2sin2cos 2sin sin 2cos2sin2sin sin βαβαβαβαβαβαβαβαβαβαβαβα-+=--+=+-+=--+=+αββαβαβαβαβαβαβαβαβαβαβαctg ctg ctg ctg ctg tg tg tg tg tg ±⋅=±⋅±=±=±±=±1)(1)(sin sin cos cos )cos(sin cos cos sin )sin(定积分的近似计算:定积分应用相关公式:空间解析几何和向量代数:多元函数微分法及应用微分法在几何上的应用:方向导数与梯度:多元函数的极值及其求法:重积分及其应用:柱面坐标和球面坐标:曲线积分:曲面积分:高斯公式:斯托克斯公式——曲线积分与曲面积分的关系:常数项级数:级数审敛法:绝对收敛与条件收敛:幂级数:函数展开成幂级数:一些函数展开成幂级数:欧拉公式:三角级数:傅立叶级数:微分方程的相关概念:一阶线性微分方程:全微分方程:二阶微分方程:二阶常系数齐次线性微分方程及其解法:二阶常系数非齐次线性微分方程。
微积分基本公式推导过程微积分是现代数学中的一个重要分支,它主要研究连续变化的规律和性质。
微积分学最基本的内容包括微分学和积分学,而微积分基本公式则是这两个部分的核心。
微积分基本公式是微积分学习中的重要内容,它们提供了一种简洁而有效的方法来求解微积分问题,也为许多实际问题的建模和求解提供了基础。
微积分基本公式推导过程可以追溯到17世纪,当时牛顿和莱布尼兹等数学家通过不断探索和总结,形成了微积分学的基本理论和方法。
微积分基本公式包括基本微分公式和基本积分公式,它们都是从一些基本函数的微分和积分性质中得到的。
基本微分公式包括常见函数的导数公式,如幂函数、指数函数、三角函数等的导数求法;而基本积分公式则是对应函数的不定积分公式,可以求出函数的原函数。
在微积分学习中,要掌握微积分基本公式的推导过程是非常重要的。
首先,我们需要了解微积分符号的含义和基本规则,如微分和积分的定义、求导和求积的方法等。
在推导微积分基本公式时,需要运用这些基本知识,结合函数的性质和运算法则,逐步推导出微积分基本公式。
首先,我们从微分学开始推导微积分基本公式。
微分是研究函数的变化率的数学工具,它描述了函数在某一点的瞬时变化率。
在微积分学中,常见的微分公式包括常数函数、幂函数、指数函数、对数函数、三角函数等的微分公式。
其中,最基本的微分公式是导数的定义公式,即函数在某一点的导数定义为函数在这一点的极限。
根据导数的定义,可以得到常数函数、幂函数、指数函数、对数函数、三角函数等函数的导数计算公式。
以幂函数为例,设f(x)=x^n,其中n为任意实数。
根据导数的定义,可以得到f'(x)=nx^{n-1}。
这就是幂函数的导数计算公式,它是微积分基本公式中的一部分。
类似地,对于指数函数g(x)=a^x,其中a>0且a≠1,其导数计算公式为g'(x)=a^x\ln(a)。
对于对数函数h(x)=\ln(x),其导数计算公式为h'(x)=\frac{1}{x}。
微积分推导过程范文微积分是研究函数的一门数学分支。
它主要研究函数的极限、导数和积分等概念及其相互关系。
下面我将以极限、导数和积分的推导过程为主线,详细介绍微积分的推导过程。
一、极限的推导过程:1. 数列的极限:若数列{an}的极限存在,则称数列{an}收敛,记为lim(an)=a,其中n趋向于正无穷。
极限的数学定义为:对于任意的ε>0,存在正整数N,使得对于一切n>N,均有,an-a,<ε。
2. 函数的极限:设函数f(x)在点x0的其中一去心邻域有定义,如果存在常数L,对于任意给定的ε>0,总有正数δ,当0<,x-x0,<δ时,有,f(x)-L,<ε,则称函数f(x)当x趋近于x0时有极限L,记为lim(f(x))=L。
3.极限运算:根据极限的定义和一些基本运算的性质,可以得到一系列极限运算的性质,如常数极限、四则运算、复合函数极限等。
二、导数的推导过程:1. 导数的定义:对于函数f(x),在点x0处的导数定义为:f'(x0)=limΔx→0(f(x0+Δx)-f(x0))/Δx。
其中Δx表示x的增量,也可以理解为x的无穷小变化量。
2.导数的计算:根据导数的定义,可以推导出一些常见函数的导数公式,如基本初等函数的导数、常用函数的导数运算法则等。
3.高阶导数:根据导数的定义,可以推导出导数的导数,即二阶导数、三阶导数等。
三、积分的推导过程:1. 不定积分的定义:设f(x)在[a,b]上有定义,F(x)在[a,b]上可导,如果对于[a,b]上的任意x∈[a,b],有F'(x)=f(x),则称F(x)是f(x)在[a,b]上的一个不定积分,记为∫f(x)dx=F(x)+C(C为常数)。
2. 定积分的定义:设f(x)在区间[a,b]上有定义,对[a,b]上任意取一点ξi(i=1,2,…,n),记Δxi=x(i)-x(i-1),作ξi∈[x(i-1),x(i)]上的积分和ΔS=ΔS1+ΔS2+…+ΔSn,当Δxi趋向于0时,如果极限limΔxi→0(ΔS)=S存在,则称函数f(x)在[a,b]上可积,记为∫[a,b]f(x)dx=S。
1(一)含有ax+b 的积分1.C b ax a b ax d b ax a dx ++=++=+∫∫ln 1)(11b ax2.()()C u a b ax b ax d a dx u uu +++=++=+∫∫)1()()(b ax 1b ax3.C b ax b b ax a b ax b ax d a b dax bax b ax a dx b ax bb ax a dx b ax ax a dx b ax x ++−+=++−++=+−+=+=+∫∫∫∫∫)ln (1)(111222 4.++−+−++=+−−+=+=+∫∫∫∫∫∫b ax b ax d b b ax d b b ax d b ax a dx b ax b abx b ax a dx b ax x a a dx b ax x )()(2)()(12)(11232222222 C b ax b b ax b b ax a ++−+−+=ln )(2)(211223 5.()C xbax b x C a b b ax b C ax b ax b dx ax b ax b a b ax x dx ++−=++++−=+−+−= −+−=+∫∫ln 1ln ln 1ln 1ln ln 111)(11 6.()()C x b a b ax b a bx x dx b a b ax dx b a dx x b dx bx a b ax b a x b b ax x dx +−++−=−++=−++=+∫∫∫∫∫ln ln 11111222222222 C xbax b a bx +++=ln12 7.()()()()C b ax a b b ax a b ax dx a b b ax dx a dx b ax a b b ax a b ax xdx ++⋅++=+−+=+−+=+∫∫∫∫1ln 11122222 C b ax b b ax a ++++=ln 12 8.()()()()()∫∫∫∫++−+−=+−+−=+−−+=+C b ax b b ax b ax a b ax dx a b b ax xdx a b a x dx b ax a b a bx b ax a dx b ax x 2322222222222ln 212219.()()()()C x b ax b b ax b C b x b ax b b ax b x dx b b ax dx b a b ax b adxb ax x dx ++−+=+++−+=++−+−=+∫∫∫∫ln 11ln ln 1112222222 (二)含有b ax +的积分10.()()C b ax ab ax d b ax a dx b ax ++=++=+∫∫3321 11.()()()()()∫∫∫+−=++−+=+−++=+3232522315232521b ax b ax aC b ax a b b ax a dx b ax a b dx b ax b ax a dx b ax x C + 12.()()()⋅−−+=+−+−++=+∫∫∫∫b ax aa b b ax a dx b ax a b dx b ax x a b dx b ax b ax adx b ax x23152[2722127322222()()()()C b ax b abx x a aC b ax ab b ax +++−=++−+32223332381215105232]213.()()=++−+=++−+=+−++=+∫∫∫∫∫C b ax ab b ax ab ax b ax d a b dx b ax a b ax dx a b dx b ax b ax a b ax xdx 232223211()C b ax b ax a++−=2322 14.()()()()+++−++=+−+−++=+∫∫∫∫∫∫b ax d b ax a b b ax d b ax ab ax dxab b ax xdx a b dx b ax b ax a dx b ax x 3233222222121()C b ax b bx x a ab ax dx ab +++−=+∫22232284315215.∫+bax x dx 当b>0时,有C bb ax b b ax b b ax d b b ax b b ax b ax b a b ax x dx +++−+=+++−−++=+∫∫ln 1112 当b<0时,令ax+b=t,则dx=dt a ab t d1=− C b t b b t d b t b b t d b t b t d b t t a b t dta b ax x dx +−−=−+⋅−−= +−=−=−=+∫∫∫∫∫arctan 21121122122 C b bax b+−+−=arctan 2所以=+∫b ax x dx ()()<+−+−>+++−+0arctan 10ln1b C b b ax bb C b b ax bb ax b 16.∫∫∫∫∫∫∫−+−+−=+−++=+−++=+b a dx x b bax b b ax abxb ax x dx b a dx bx b ax b ax b ax x dx b a dx bax bx b ax b ax xdx 2222222222222∫∫∫+−+−=+−′−′−=+b ax x dx b a bx b ax b ax x dx b a dx v v u v u bax x dx 22217.∫∫∫∫∫+++=+++=+++=+b ax x dx b b ax b ax x dx b dx bax a dx b ax x b b ax a dx x b ax 2)(18.∫∫∫∫∫+⋅−+−=+++=+++=+bax x dx b a b bx b ax b b ax x dx a b ax x dxb dx b ax x b b ax x a dx x b ax 21)(2223∫∫+++−=++bax x dxa xb ax b ax x dx a2(三)含有x 2±a 2的积分 19.∫+22a x dx设x=atant(22ππ<<−t )那么t a a x2222sec =+ tdt a dx 2sec = 于是C ax a C dt a dt t a t a a x dx +=+==+∫∫∫arctan 11sec sec 22222 20.()∫+na x dx22用分部积分法,n>1时有()∫+na xdx22()()()()()()∫∫+−+−++=+−++=−−−dx a x a a x n a x xdx a x x n a x xnn n n n 222122122222122112)1(2 即 ()()()n n n n I a I n a xxI 21122112−−++=−−− 于是()()()−++−=−−1122232121n n nI n ax xn a I由此作递推公式并由 C a xa I +=arctan 11即可得n I ()()()()()∫∫−−+−−++−=+∴12221222221232121n n n axdxa n n a x a n a x dx21.C ax ax a dx a x a x a dx a x a x a x dx =+−= +−−=−⋅+=−∫∫∫ln 2111211122 (四)含有ax 2+b(a>0)的积分22.()∫∫∫>+=+=+=+0arctan 11111222b C x b a ab x b a x badb a b x b a dx b b ax dx()()()0ln 2111212<+−+−−−=−+−−−−=−−−+=+∫∫∫b C b x a b x a abdx b x a b x a ab b x a b x a dx b ax dx23.∫∫++=+=+C b ax b ax dx b ax xdx 2222ln 2121 24.()()C b ax x b C b ax a b a x b dx bax b axbx dx x b ax ++=++⋅−=+−=+∫∫22222ln 21ln 21ln 111 25.∫∫∫∫+−=+−++=+b ax dx a b a x dx b ax a b dx bax b ax a b ax dx x 22222211 26.()∫∫∫∫++−−=+−=+C b ax dx b abx b ax dx b a bx dx b ax x dx 222221427.()()ln 2ln 221ln 21ln 2112222222222222323b a x b a bx C b ax a b a x b a bx dx x b a b ax b x a bx b ax x dx +−−=++⋅+−−=−++=+∫∫ C bxx b ax b a C b ax +−+=++2222221ln 2 28.()()()()()()∫∫∫∫∫∫+++−+′=+++−=+++−=+b ax dx b dx b ax axu b ax u b b ax dx b dx b ax ax b b dx bax b b ax b ax b b ax dx22222222222222212212121212222ax b axu u b x u a −=−′+′ b b u =′ 1=′u x u =()()()∫∫∫∫+++⋅=+++⋅−+′=+bax dxb b ax x b b ax dx b dx baxxax b ax x baxdx222222222121212 (五)含有)0(2>++a c bx ax的积分29.dx a ac b b a x a c bx ax dx 1222442−∫∫−− +=++ 当ac b 42<时,有 dx a ac b b a x a c bx ax dx 1222442−∫∫−− +=++∫+−+−=142244222b ac a b x a dx b ac a 令2422b ac a b x a t − += 则 dx b ac a dt 242−=则原式=C b ac a b x a b ac C t b ac t dt a b ac b ac a +−+−=+−=+−⋅−∫222222422arctan 42arctan 4112444当ac b 42>时有 dx ac b a b x a b ac a c bx ax dx ∫∫−+−−−=++42414422222 令ac b a b x a t 4222− += 则dx ac b a dt 422−= 则原式C acb b ax ac b b ax ac b t dta acb ac b a +−++−−+−=−−−=∫4242ln 4112444222222 综上所述()>+−++−−+−<+−+−=++∫)4(4242ln 41442arctan 4222222222ac b C ac b b ax ac b b ax ac b ac b C b ac b ax b ac c bx ax dx530.()()c bx ax ac bx ax dx a b dx c bx ax b ax a c bx ax a bdx dx c bx ax a b ax c bx ax xdx ++=++−+++=++−+++=++∫∫∫∫∫222222ln 212221222∫++−c bx ax dx a b 22 其中 ()[]()()+++=++′++=′++c bx ax b ax c bx ax c bx ax c bx ax 22222ln (六)含有()022>+a a x 的积分31.∫+22a x dx 由于t t 22sec tan1=+,不妨设 <<−=22tan ππt t a x ,那么t a a x sec 22=+,tdt a dx 2sec =于是∫+22ax dx∫∫==tdt dt t a ta sec sec sec 2,利用例17的结果得C t t a x dx ++=+∫tan sec ln 22 作图可知axt =tan ,aa x t 22sec +=,且0tan sec >+tt ,因此()C a x x C a a x a x a x dx+++=+++=+∫2212222ln ln 32.()∫+322axdx设<<−=22tan ππt t a x ,那么ta a x sec 22=+,tdta dx 2sec =,于是()C t adt t a dt t a t a axdx+−===+∫∫∫sin 1sec 11sec sec 22332322axt =tan ,txa a t cos sec 122=+=,22cos tan sin ax x t t t +=⋅= ,()C ax ax axdx++−=+∫22232233.∫+22a x xdx ,不妨设 <<−=22tan ππt t a x,那么t a a x sec 22=+,tdt a dx 2sec =,于是∫+22a x xdx =∫∫++=+==C a x C t a tdt t a tdt a t a t a 222sec tan sec sec sec tan34.()∫+322a x xdx设 <<−=22tan ππt t a x,那么()t a a x33322sec =+,tdt a dx 2sec =,于是()C ax Ct a dt t t a tdt a t a t a a xxdx++−=+−===+∫∫∫222333221cos 1sec tan 1sec sec tan 35.−+=+++−++++=+−+=+∫∫∫2222222222222222222)ln()ln(22a x x C a x x a a x x a a x x a x dxa dx a x ax dx x ()C a x x a +++222ln 2636.()()()()C ax x a x x axdxa ax dx dx axa a x axdxx ++−++=+−+=+−+=+∫∫∫∫22223222223222223222ln37.∫+22a x xdx 设 <<−=22tan ππt t a x,那么()t a a x33322sec =+,tdt a dx 2sec =,于是C x aa x a C t t a t dt a t a t a tdt a ax x dx+−+=+−==⋅=+∫∫∫22222ln 1cot csc ln 1sin 1tan sec sec38.∫+222a x xdx设 <<−=22tan ππt t a x,那么()t a a x33322sec =+,tdt a dx 2sec =,于是C x a x a C t a dt t t a t a t a tdt a ax xdx++−=+−==⋅=+∫∫∫22222222222sin 1sin cos 1sec tan sec 39.∫+dx a x 22 设 <<−=22tan ππt t a x ,那么()t a a x33322sec =+,tdt a dx 2sec =,于是−⋅=⋅−⋅===⋅=+∫∫∫∫∫t t a tdt t a t t a t td a tdt a tdt a t a dx a x tan sec tan sec tan sec tan sec sec sec sec 2222232222()∫∫+++−⋅=−1232222tan sec ln sec tan sec 1secsec C t t a tdt a t t a dt t t a()C a x x a a x x C t t t t a dx a x +++++=++++=+∴∫22222222ln 22tan sec ln tan sec 240.()∫+dx a x322设 <<−=22tan ππt t a x ,那么()t a a x33322sec =+,tdt a dx 2sec =,于是()∫∫=+tdt a dx a x54322sec ∫∫∫⋅−==tdt t t t t t t td tdt tan sec sec tan 3tan sec tan sec sec 2335∫∫∫+−=−=tdt tdt t t tdt t t t 353233sec 3sec 3tan sec tan sec 3tan sec()13tan sec ln tan sec 21sec C t t t t tdt ++++=∫()1535tan sec ln tan sec 23sec 3tan sec sec C t t t t tdt t t tdt +++++−=∴∫∫()()()ax a a xa C t t t t a t t a tdt a dx a x ⋅+=++++==+∴∫∫33224143454224tan sec ln tan sec 83tan sec 4sec ()()C a x x a a x a x x C a a x x a x a x a ++++++=++++++22422221222224ln 83528ln 8341.dx a x x ∫+22 设 <<−=22tan ππt t a x ,那么()t a a x33322sec =+,tdt a dx 2sec =,于是7()C a xC t a t t d a tdt t a tdt a t a t a dx a x x ++=+=−==⋅⋅=+∫∫∫∫32233433322231cos 3cos cos sec tan sec sec tan42.()[]()()22222223222222222222528a x a x x dx a x a dx a xdx a x a a x a x dx a x x ++=+−+=+−++=+∫∫∫∫()()()()C a x x a a x a x xC a x x a a x x a a x x a +++−++=+++++−+++2242222222222224ln 828ln 22ln 8343.dx x a x ∫+22 设 <<−=22tan ππt t a x ,那么()t a a x33322sec =+,tdt a dx 2sec =,于是ln cot csc ln cos sin cos sin cos sin sec tan sec 2222222a x a C t t a tat dt a dt t t a t t dt a tdt a t a t a dx x a x ++=+−+=+===+∫∫∫∫∫C xaa x +−+2244.dx x a x ∫+222 设 <<−=22tan ππt t a x ,那么()t a a x33322sec =+,tdt a dx 2sec =,于是C tt t t t d tdt t t dt tdt t tdt a t a t a dx x a x +−+=+====+∫∫∫∫∫∫sin 1tan sec ln sin sin sec cos sin cot sec sec tan sec 2223222222 ()C xa x a x x ++−++=2222ln(七)含有()022>−a a x 的积分45.∫−22a x dx 当a x>时,设<<=20sec πt t a x ,那么t a t a a x tan 1sec 222=−=−,tdt t a dx tan sec =,于是()()C a x x C a ax a x C t t tdt dt t a t t a a x dx+−+=+−+=++===−∫∫∫2212222ln ln tan sec ln sec tan tan sec 当a x−<时,令u x −=,那么a u >,由上段结果有()()221222222ln ln a x x C a u u au du ax dx −+−−==+−+−=−−=−∫∫()C a x x C a a x x C xa x C +−−−=+−−−=+−−=+2212221221ln ln 1ln 综上所述,C a x x a x dx +−+=−∫2222ln846.()∫−322a xdx,设<<=20sec πt t a x,则()t a a x33322tan =−,tdt t a dx tan sec =,于是()C ax a x C t a dt t t a dt t t a dt t a t t a a xdx+−−=+−====−∫∫∫∫2222222233322sin 1sin cos 1tan sec 1tan tan sec47.∫−22a x xdx ,设<<=20sec πt t a x,则t a a x tan 22=−,tdt t a dx tan sec =,于是∫∫∫+−=+===−C a x C t a tdt a tdt t a ta ta a x xdx 22222tan sec tan sec tan sec48.()∫−322a x xdx,设<<=20sec πt t a x,则t a a x tan 22=−,tdt t a dx tan sec =,于是()∫∫∫+−−=+−===−C ax C t a dt t a tdt t a t a t a a xxdx222333221cot 1sin 11tan sec tan sec 49.C a x x a a x x a a x x a x dxa dx a x a x a x dx x +−++−+−−=−+−−=−∫∫∫2222222222222222222ln ln 212C a x x a a x x +−++−=222222ln 2250.()()()()−−+−+=−+−=−+−−=−∫∫∫∫∫22222232222232223222232221ln a x x a a a x x a xdxa a x dx a xdxa dx a xa x a xdxx C ax xa x x C+−−−+=+2222ln51.∫−22a x x dx ,设<<=20sec πt t a x,则t a a x tan 22=−,tdt t a dx tan sec =,于是,当0>x 时有C x a C a t dt tt a tt a a x xdx +=+==−∫∫arccos tan sec tan sec 22当0<x时有,C x aa a x x dx +−=−∫arccos 122,综上所述,有C x a aa x x dx +=−∫arccos 122 52.∫−222a x xdx,设<<=20sec πt t a x,则t a a x tan 22=−,tdt t a dx tan sec =,于是C xa a x C t a t dt a dt t a t a t t a a x xdx+−=+==⋅=−∫∫∫2222222222sin 1sec 1tan sec tan sec953.dx a x ∫−22,设<<=20sec πt t a x ,则t a a x tan 22=−,tdt t a dx tan sec =,于是−++=−==⋅=−∫∫∫∫t t a t t a dt t t a tdt t a tdt t a t a dx a x tan sec ln 2tan sec 2cos cos 1tan sec tan sec tan 223222222()C a x x a a x x C t t a +−+−−=++222222ln 22tan sec ln54.()dx a x∫−322,设<<=20sec πt t a x ,则t a a x tan 22=−,tdt t a dx tan sec =,于是()∫∫∫==−tdt t a tdt t ta a dx a xsec tan tan sec tan 4433322()∫∫∫∫∫+−=−=tdt tdt tdt tdt t dt t t sec sec 2sec sec 1sec sec tan 35224()∫+++++=135tan sec ln tan sec 83tan sec 41sec C t t t t t t tdt ()23tan sec ln tan sec 21sec C t t t t tdt +++=∫;∫++=3tan sec ln sec C t t tdt()+⋅−++++=+−=∴∫∫∫∫t t t t t t t t tdt tdt tdt tdt t tan (sec 212tan sec ln tan sec 83tan sec 41sec sec 2sec sec tan 3354a a x a x a a x a x a a x ax C C C t t t t 22222233321ln 8385412tan sec ln )tan sec ln −++−⋅⋅−−⋅⋅=+−++++3212C C C +−+ ()()Ca x x a a x a x x C a x x a a x x a a x x dx ax+−++−−=+−++−−−=−∫2242222224222223322ln 83528ln 8385455.dx a x x ∫−22,设<<=20sec πt t a x ,则t a a x tan 22=−,tdt t a dx tan sec =,于是 ∫∫∫∫∫∫−=−==⋅⋅=−t dt a t dt a dt t t a tdt t a tdt t a t a t a dx a x x 234342322322cos cos cos cos 1sec tan tan sec tan sec()()C a xC t a t a t d t a t a t td a +−=+=−+=−=∫∫3223332332331tan 3tan tan tan 1tan tan sec56.()()222224222222222222222ln 83528a x x a a x x a a x a x xdx a x adx a x ax dx a x x−⋅+−++−−=−+−−=−∫∫∫ ()C a x x a a x a x xC a x x a +−+−−−=+−+−2242222224ln 828ln 257.dx x a x ∫−22, 设<<=20sec πt t a x ,则t a a x tan 22=−,tdt t a dx tan sec =,于是当0>x 时,有10()C xaa x C t t a dt t a tdt a tdt t a t a t a dx x a x +−−=+−=−===−∫∫∫∫arccos tan 1sec tan tan sec sec tan 222222 当0<x时,有C xa a x dx x a x +−−−−=−∫arccos )(2222;综上所述,C x a a x dx x a x +−−=−∫arccos 2222 58.dx x a x ∫−222,设 <<=20sec πt t a x ,则t a a x tan 22=−,tdt t a dx tan sec =,有∫∫∫∫===−t td dt t t tdt t a ta t a dx x a x sin tan sec tan tan sec sec tan 2222222,令t u sin =,则 C ttt C u u u u du u du u du u du du u u t td +−++−=+−++−=++−+−=−+−=−=∫∫∫∫∫∫sin 1sin 1ln 21sin 11ln 21121121111sin tan 2222()C a x x xa x +−++−−=2222ln(八)含有()022>−a a x 的积分59.C a xa x dxa x a dx += −=−∫∫arcsin 11222 60.()∫−322x a dx,令 <<−=22sin ππt t a x,则()t a x a33322cos =−,tdt a dx cos =,于是()∫∫∫+−=+===−C xa a x C t a t dt dt t a t a x adx2222233322tan 1cos cos cos 61.∫−22x a dx ,令 <<−=22sin ππt t a x,则t a x a cos 22=−,tdt a dx cos =,于是∫∫∫+−−=−=−==−C x a t a tdt a tdt a ta ta x a dx 2222cos sin cos cos sin62.()∫−322x axdx,令 <<−=22sin ππt t a x,则()t a x a33322cos =−,tdt a dx cos =,于是()∫∫∫+−=+===−C xa C t a dt t t a tdt a t a t a x axdx222333221cos 1cos sin 1cos cos sin 63.∫−222x a dx x ,令 <<−=22sin ππt t a x,则t a x a cos 22=−,tdt a dx cos =,于是C x a x a x a C t a t a tdt a tdt a t a t a x a dxx +−−=+−===−∫∫∫2222222222222arcsin 22sin 421sin cos cos sin64.()∫−3222x a dxx ,令 <<−=22sin ππt t a x,则()t a x a33322cos =−,tdt a dx cos =,于是()C a xxa x C t t dt t dt tdt a t a t a x adxx +−−=+−=−==−∫∫∫∫arcsin tan cos cos cos sin 22233223222 65.∫−22x a xdx ,令 <<−=22sin ππt t a x,则t a x a cos 22=−,tdt a dx cos =,于是C x x a a a C x x a a x a C t t a dt t t a t a xa x dx+−−=+−−=+−==−∫∫2222222ln 1ln 1cot csc ln 1cos sin cos 66.∫−222x a x dx,令 <<−=22sin ππt t a x,则t a x a cos 22=−,tdt a dx cos =,于是C x a x a C t a t dt a t ta a tdt a xa x dx+−−=+−===−∫∫∫22222222222cot 1sin 1cos sin cos 67.∫−dx x a 22,令 <<−=22sin ππt t a x ,则t a x a cos 22=−,tdt a dx cos =,于是C x a x a x a C t a t a dt t a tdt a tdt a t a dx x a +−+=++=+==⋅=−∫∫∫∫22222222222arcsin 22sin 4222cos 1cos cos cos68.()dx x a∫−322,令 <<−=22sin ππt t a x ,则()t a x a33322cos =−,tdt a dx cos =,于是()()=++=+==⋅=−∫∫∫∫∫∫dt t a tdt a t a dt t atdt atdt a t adx xa2cos 42cos 2442cos 1coscos cos 2444244433322()=+−−+−+=++++C x a x a x x a x a a x a C t a t a t a a x a 822arcsin 834sin 3282sin 4arcsin 4222222244444()C a x a x a x a x ++−−arcsin 832584222269.dx x a x ∫−22,令 <<−=22sin ππt t a x ,则t a x a cos 22=−,tdt a dx cos =,于是 ()C x aC t a t td a tdt a t a t a dx x a x +−−=+−=−=⋅⋅=−∫∫∫32233232231cos 3cos cos cos cos sin70.dx x a x ∫−222,令 <<−=22sin ππt t a x ,则t a x a cos 22=−,tdt a dx cos =,于是()∫∫∫∫∫∫−=−==⋅⋅=−tdt a tdt a dt t t a tdt t a tdt a t a t a dx x a x442422422422222sin sin sin 1sin cos sin cos cos sin()∫∫∫∫+−=−+−−=−−−=dt t a t a tdt a t a t a t a t a dt t a dt t a 24cos 1442cos 42sin 4412sin 42142cos 122cos 144244444244()C x a x a xa x a C t a t a +−−−=+−=222244428arcsin 84sin 32871.dx x x a ∫−22,令 <<−=22sin ππt t a x ,则t a x a cos 22=−,tdt a dx cos =,于是∫∫∫∫∫∫=++−=−=−===−C t a t t a tdt a t dta dt t t a tdt t a tdt a ta t a dx x x a cos cot csc ln sin sin sin sin 1cos cot cos sin cos 222C x a xx a a a C a x a a x x a x a a +−+−−=+−+−−22222222ln ln72.dx x x a ∫−222,令 <<−=22sin ππt t a x ,则t a x a cos 22=−,tdt a dx cos =,于是C a x x x a C t dt tdt dt t t tdt tdt a t a t a dx x x a +−−−=+−−=−=−==−∫∫∫∫∫∫arcsin cot sin sin sin 1cot cos sin cos 22222222222 (九)含有()02>++±a c bx ax 的积分73.∫∫−++=++2222421a b a c a b x dxacbx ax dx,令t abx =+2,则dt dx = 当042>−ac b 时,则令()044222>=−u u a ac b ,则∫∫∫−=−++=++2222221421ut dt aa b a c a b x dxa c bx ax dx再令r u tsec =,rdr r u dt sec tan =,r u u t tan 22=−,于是∫∫∫++===−122tan sec ln 1sec 1tan sec tan 11C r r ardr a dr r u r r u a u t dt aac b b ax a ac b a bx utr 42442sec 222−+=−+== ; acb cbx ax a u u t r r r 412cos cos 1tan 22222−++=−=−=C c bx ax a b ax a C ac b c bx ax a b ax a c bx ax dx+++++=+−++++=++∫2122222ln 1422ln1当042<−ac b时,则令u a b ac =−242,a b x t 2+=,∫∫∫+=−++=++2222221421ut dtaa b a c a b x dxa cbx ax dx令r u t tan =,rdr u dt 2sec =∫∫∫++===+1222tan sec ln 1sec 1sec sec 11C r r a rdr a r u rdr u a u t dtaa c x ab x a b ac a b ac a b x a b ac u t u r ++−=−++−=+=22222222212444244sec 1;2242242tan b ac b ax a b ac a bx u t r −+=⋅−+==C c bx ax a b ax a C b ac b ax b ac c bx ax a a c bx ax dx+++++=+−++−++=++∴∫21222222ln 14242ln 1综上所述,C c bx ax a b ax acbx ax dx +++++=++∫2222ln 174.dx a b ac a b x a dx c bx ax 2222442−++=++∫∫ 当042>−ac b 时,令a b x t 2+=,u a ac b =−242 ∫∫−=++dt u t a dx c bx ax 222 ,再令r u t sec =,rdr r u dt tan sec =()C r r u a r r r r u a rdr r u a dt u t a +⋅−++⋅=⋅=−∫∫tan sec ln tan sec ln tan sec 21sec tan 222222−−⋅++⋅−+−=++⋅−⋅=acb c bx ax a acb b ax a ac b aC r r u a r r u a 412422421tan sec ln 21tan sec 2122222122C c bx ax a b ax a b ac c bx ax a b ax C acb c bx ax a b ax a ac b a +++++−++++=+−++++−23221222222ln 8442422ln 442 当042<−ac b 时,令abx t 2+=,u a b ac =−242 ;∫∫+=++dt u t a dx c bx ax 222;再令r u t tan =,rdru dt2sec =,于是()×−⋅++−⋅=++⋅==++∫∫2222232242442tan sec ln tan sec 21sec b ac a a c x a b x a b ac a r r r r u a rdr u a dx c bx axln 84424242ln 4421423221222222ab ac c bx ax a b ax C b ac b ax b ac c bx ax a a b ac a b ac bax −++++=+−++−++−⋅+−+C c bx ax a b ax +++++222综上所述,∫+++++−++++=++C c bx ax a b ax a b ac c bx ax a b ax dx c bx ax 2322222ln 844275.∫∫−++=++2222442a b ac a b x a xdxcbx ax xdx ;令a bx t 2+=,当0>∆时,令2244a b ac u −=122222222222ln 22121C u t t a a ba u t u t a dt ab dt u t ta dt u t a bt a cbx ax xdx+−+−−=−−−=−−=++∫∫∫∫C c bx ax a b ax aa b a c bx ax C a c x a b x a b x a a b a c x a b x a+++++−++=+++++−++=2212222ln 22ln 21当0<∆时,令abac u 242−=,于是∫∫∫−+=+−=++aa b u t a tdt dt u t a a bt cbx ax xdx 222222212212222222ln 2ln 21C a c x a b x a b x aa b a a cx a b x C u t t aa b u t a u t dt +++++−++=+++−+=+∫C c bx ax b ax aa a c bx ax +++++−++=222ln 21综上所述,C c bx ax b ax a a ba c bx ax c bx ax xdx+++++−++=++∫2222ln 2 76.∫∫−−−=−+22222441a b x a ac b dx a ax bx c dx;令a bx t 2−=,2244a b ac u +=,于是C acb b ax a C t ua t u dt aax bx c dx ++−=+−=−=−+∫∫42arcsin 1arcsin 11222277.∫∫−−+=−+2222244a b x a ac b a dx ax bx c ;令t abx =−2;2244a ac b u +=;于是+⋅−+−=++−=−=−+∫∫ax x a ba c ab x C u tau t u a tdt t u a dx ax bx c 1221arcsin 222222222C acb b ax a a ac b ax bx c a b ax C ac b b ax a a ac b ++−++−+−=++−+42arcsin 844242arcsin 8422222 78.∫∫−−+=−+22222441a b x a ac b xdxa ax bx c xdx;令a bx t 2−=;2244a b ac u +=;于是C acb b ax a a bt u a dt t u aa bdt t u t a dt t u a bt aax bx c xdx ++−+−−=−+−=−+=−+∫∫∫∫42arcsin 21121212222222222C ac b b ax a a b x bx c a C ac b b ax a a b x x a b a c a++−+−+−=++−+−+−=42arcsin 2142arcsin212222 (十)含有bx ax −−±或()()x b a x −−的积分79.∫−−dx bx a x ;令b x ax t −−=;则1−−=t abt x;()dt t ba dx 21−−=;于是()()()()()()∫∫∫∫∫−−+−−=−−=−−=−−=−−t d t b a t t a b t d t a b dt t t b a dt t b a t dx b x a x 111111122 ()()()()()11121121111121−−=−−−−++−+−−=+−−−+−−=∫∫∫t t a b t t d a b t t d a b t t a b t d t t b a t t a b()()()()()a x a b bx ax b x C b x a x a b a b b x a x b x a x a b C t t a b −−+−−−=+ −+−−−+−−⋅−−−=+−+−+ln(ln 211ln 2121()()()C b x a x a b bx ax b x C b x +−+−−+−−−=+−+ln )180.dx x b a x ∫−−;令t x b a x =−−;则t a bt x ++=1;()dt t ab dx 21+−=;于是()()()()()()()C t b a t t b a t t d b a t t b a t d t b a dt t t a b dx x b a x +−−+−=+−−+−=+−=+−=−−∫∫∫∫arcsin 1111112()()C xb ax a b x b a x x b +−−−+−−−=arctan81.()()∫−−x b a x dx;令t a x =−;则t a x +=;dt dx =;于是()()()()∫∫∫−+−=−−=−−ta b t dtt a b t dt x b a x dx 2()∫−+−−=2224b a t ba dt ;令02>=−u a b ;2ba t r −+=则()C ab ba x r u drb a t b a dt +−−−=−=−+−−∫∫2arcsin24222282.()()∫−−dx x b a x ;令t a x =−;则t a x +=;dt dx =;于是()()()∫∫−+−−=−−dt b a t b a dx x b a x 2224令02>=−u a b ;2ba t r −+=;则()()42arcsin 2222222b a x C ur u r u r dr r u dx x b a x −−=++−=−=−−∫∫ ()()()C ab b a x a b dx x b a x +−−−−+−−2arcsin 82(十一)含有三角函数的积分 83.∫+−=C x xdx cos sin 84.∫+=C x xdx sin cos 85.∫∫+−==C x dx xxxdx cos ln cos sin tan 86.∫∫+==C x dx xxxdx sin ln sin cos cot 87.C x x x d x x x d x x x d x dx xdx ++=+ += + ++= + ++==∫∫∫∫∫42tan ln 42tan 42tan 42cos 42tan 422cos 2sin 22cos sec 2πππππππππ x x x x x x x x x cot csc sin cos 1sin 2sin 22cos 2sin2tan 2−=−=== ; =++− +=∫C x x xdx 2cot 2csc ln sec ππ C xx ++tan sec ln88.C x x C x x xd x x dx x x dx x dxxdx +−=+=====∫∫∫∫∫cot csc ln 2tan ln 2tan 2tan2cos2tan 2cos 2sin 2sin csc 2 89.C x xdx +=∫tan sec 290.C x xdx +−=∫cot csc 2 91.∫+=C x xdx x sec tan sec 92.∫+−=C x xdx x csc cot csc93.C x x dx x xdx +−=−=∫∫2sin 41222cos 1sin 2 94.C x x dx xxdx ++=+=∫∫2sin 41222cos 1cos 295.()∫∫∫∫−−−−−−+−=+−=−=xdx x n x x xdx xd x x x xd xdx n n n n n n 221111cos sin 1sin cos sin cos sin cos cos sin sin ()()()()∫∫∫−−−+−=−−+−=−−−−xdx n xdx n x x xdx x n x x n n n n n sin 1sin 1sin cos sin sin 11sin cos 21221∫∫−−−+−=∴xdx n n x x n xdx n n n 21sin 1sin cos 1sin 96.()+=−+=−==−−−−−−∫∫∫∫x x xdx x n x x x xd x x x xd xdx n n n n n n n 1221111cos sin cos sin 1cos sin cos sin cos sin sin cos cos()()()()∫∫∫−−−+=−−−−−xdx n xdx n x x xdx x n n n n n cos 1cos 1cos sin cos cos 112122∫∫−−−+=∴xdx n n x x nxdx n n n 21cos 1cos sin 1cos 97.∫∫∫∫−−−−−−−++===xdx n n x x n xdx n xdx xdx n n n nn 211sin 1cos sin 1sin 1sin sin ∫∫−−+−=−−x dx n n x n x dx n n n sin 21sin cos 21sin 12 ∫∫−−−−+−−=∴x dx n n x x n xdx n n n 21sin 12sin cos 11sin 98.()∫∫∫∫∫=+−=−===−−−−−−−−−−−xdx x n x x x xd x x x xd xdx xdx n n n n n n n 221111sin cos 1sin cos cos sin sin cos sin cos cos cos ()()∫∫−−−−+++−xdx n xdx n x x n n n cos 1cos 1sin cos21∫∫−−−−++−=∴=xdx n n x x n xdx n n n 21cos 1sin cos 1cos 将n 换成2−n 有∫∫−−+−−=−−x dx n n x x n x dx n n n cos 21cos sin 21cos 12 ∫∫−−−−+−−=∴x dx n n x xn xdx n n n 21cos 21cos sin 11cos 99.∫∫∫∫−+−++−−+−+=+==x xd n x x n x xd n x xd x xdx x m n m n n m n m nm 1111111cos sin 11cos sin 11sincos 11sin sin cos sin cos ()∫∫−+−++=+−++=−+−−++−dx x x x n m x x n xdx x n m x x n m n n m m n n m 22112211cos 1cos sin 11sin cos 11cos sin 11sin cos 11 ∫∫+−−+−++=−+−xdx x n m xdx x m m x x n nn m n n m cos sin 11cos sin 11sin cos 11211 ∫∫−+−+−++=+−+∴xdx x n m x x n xdx x n m n m n m nm sin cos 11sin cos 11sin cos 111211 ∫∫−+−+−++=∴xdx x nm m x x m xdx x n m n m nm sin cos 1sin cos 11sin cos 211 又有∫∫∫∫++−+−+++−=+−=−=x m x x m x xd m x xd x xdx x m m n m n n m n m 11111cos 11cos sin 11cos sin 11cos sin cos sin cos()∫∫−+−++−=+−++−=−+−−++−−x x x m n x x m xdx x m n x x m x d n m m n n m m n n 221122111sin 1sin cos 11cos sin 11sin cos 11cos sin 11sin∫∫+−−+−++−=−+−xdx x m n xdx x m n x x m dx n m n m m n sin cos 11sin cos 11cos sin 11211。