考研数学常考的十种题型总结
- 格式:docx
- 大小:16.32 KB
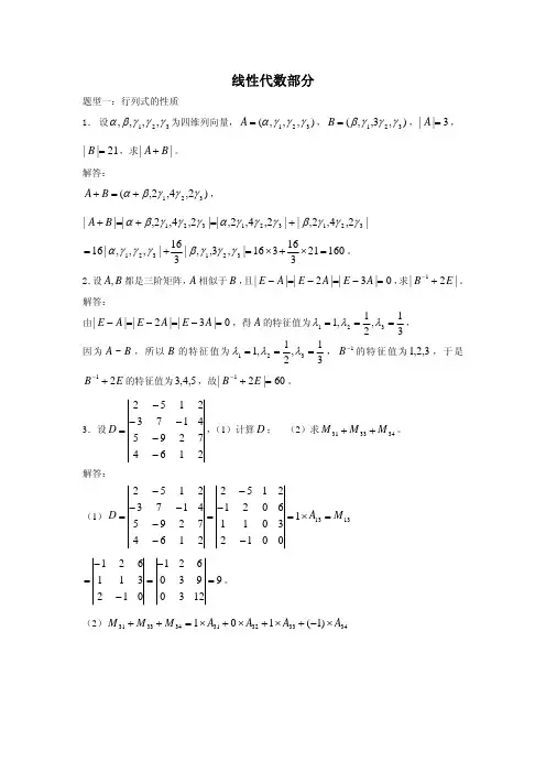
- 文档页数:2
数学一数学二考研题型摘要:一、数学一和数学二考研题型概述二、数学一的考研题型1.高等代数2.解析几何与代数几何3.微分几何与拓扑学4.复变函数与实变函数5.偏微分方程与常微分方程6.数学物理方程三、数学二的考研题型1.高等代数2.解析几何与代数几何3.微积分4.概率论与数理统计四、备考建议正文:数学一是研究生入学考试数学科目的一种,主要针对理工科类专业的考生。
数学二则是针对经济类和管理类专业的考生。
本文将详细介绍数学一和数学二的考研题型,并给出一些备考建议。
首先,我们来看数学一的考研题型。
数学一的考研题型分为以下几个部分:1.高等代数:这部分主要包括矩阵、行列式、线性方程组、二次型、线性空间、线性变换、特征值与特征向量等内容。
2.解析几何与代数几何:这部分主要包括平面解析几何、空间解析几何、代数几何基础、代数曲线等内容。
3.微分几何与拓扑学:这部分主要包括向量分析、曲面与曲线、空间几何、拓扑学基础等内容。
4.复变函数与实变函数:这部分主要包括复数与复变函数、解析函数、调和分析、实变函数、线性积分等内容。
5.偏微分方程与常微分方程:这部分主要包括偏微分方程、常微分方程、线性微分方程组、线性偏微分方程组等内容。
6.数学物理方程:这部分主要包括波动方程、热传导方程、亥姆霍兹方程、拉普拉斯方程等内容。
接下来,我们看看数学二的考研题型。
数学二的考研题型分为以下几个部分:1.高等代数:这部分主要包括矩阵、行列式、线性方程组、二次型、线性空间、线性变换、特征值与特征向量等内容。
2.解析几何与代数几何:这部分主要包括平面解析几何、空间解析几何、代数几何基础、代数曲线等内容。
3.微积分:这部分主要包括一元函数微分学、一元函数积分学、多元函数微分学、多元函数积分学、无穷级数等内容。
4.概率论与数理统计:这部分主要包括随机事件与概率、随机变量与分布、数字特征、极限定理、数理统计基础等内容。
对于备考建议,首先要扎实掌握本科阶段的数学基础知识,加强练习。
考研数学常考题型及解题思路考研数学是众多考研学子需要攻克的重要科目之一。
在备考过程中,了解常考题型及掌握相应的解题思路至关重要。
以下将为大家详细介绍考研数学中常出现的题型以及有效的解题方法。
一、函数、极限与连续这部分是考研数学的基础,经常以选择题、填空题和解答题的形式出现。
1、求函数的极限对于简单的函数,直接代入法是常用的。
例如,当函数在某点的定义明确时,可以直接将该点的值代入函数中求解。
对于较为复杂的分式函数,通常采用约分、通分、有理化等方法将其化简,然后再求极限。
当遇到无穷小量乘以有界函数时,其极限为零。
2、函数的连续性要判断函数在某点的连续性,需要先判断函数在该点是否有定义,然后判断函数在该点的极限是否存在,最后判断极限值是否等于函数在该点的函数值。
间断点的类型判断也是常见考点,包括可去间断点、跳跃间断点和无穷间断点等。
二、一元函数微分学这部分在考研数学中占有较大比重。
1、导数的计算利用基本的求导公式是基础,如常见的幂函数、指数函数、对数函数等的求导公式。
对于复合函数,使用链式法则进行求导。
隐函数求导则需要通过方程两边同时对自变量求导来求解。
2、利用导数研究函数的性质通过求导判断函数的单调性和极值。
当导数大于零时,函数单调递增;导数小于零时,函数单调递减。
导数为零的点可能是极值点。
利用二阶导数判断函数的凹凸性。
二阶导数大于零时,函数为凹函数;二阶导数小于零时,函数为凸函数。
三、一元函数积分学1、不定积分的计算熟练掌握基本积分公式是关键。
换元积分法和分部积分法是常用的方法。
换元积分法要注意选择合适的换元方式,分部积分法通常适用于被积函数是两个不同类型函数乘积的情况。
2、定积分的计算与应用计算定积分可以通过牛顿莱布尼茨公式,先求出原函数,然后代入上下限相减。
定积分在几何上可以求图形的面积、旋转体的体积等;在物理上也有广泛的应用。
四、多元函数微分学1、偏导数的计算按照定义分别对每个自变量求偏导。
考研数学高数:常考十大题型全解析2023年考研数学高数:常考十大题型全解析2023年考研数学高数备考已经开始,掌握常考的十大题型是非常重要的。
这些题型涵盖了整个高数课程,并突出了重要的概念、公式和技巧。
下面是我们整理的常考十大题型解析,希望能帮助大家顺利备考。
1. 极限计算型题目极限计算型题目是高数考试的基本题型,不仅在高数课堂上经常出现,而且在高数考试中的分值通常较高。
这种题型一般需要理解极限的定义、性质和计算方法,同时需要掌握重要的变换和技巧,如代数运算、分式分解、换元等。
2. 连续定义型题目连续定义型题目常出于微积分的章节中,主要考查学生是否掌握连续函数的定义和性质,以及相关的推论和定理。
需要特别注意的是,有许多连续定义型题目需要结合导数的概念来解决。
3. 导数计算型题目导数计算型题目需要掌握导函数、导数的四则运算法则、高阶导数、隐函数公式、参数方程求导等基本知识,同时需要注意不同类型的函数的特殊性质和特殊的导数计算方法。
4. 函数图像分析型题目函数图像分析型题目经常出现在很多高数课程的章节中,需要掌握函数的基本性质、图像特征、渐进线和极限,以及掌握函数变换的方法和图像的作法。
同时,还需要了解如何应用导数分析函数图像的特征。
5. 平面解析几何型题目平面解析几何型题目主要考查平面向量、点线面的基本概念和性质,以及各种向量的计算、几何关系的判断和使用解析几何方法去解决实际问题。
6. 空间解析几何型题目空间解析几何型题目常出现在立体几何、空间向量以及曲面理论等章节中。
需要熟悉三维坐标系、点、向量、直线和平面的表示方法和相互关系,以及空间几何的基本概念和性质。
7. 微分方程型题目微分方程型题目主要考查一阶微分方程、二阶微分方程和常微分方程的求解方法和特殊类型的微分方程,如齐次方程、变量分离方程、一阶非齐次方程等。
8. 重积分型题目重积分型题目主要考查重积分的定义、性质、计算方法和应用,需要掌握极坐标、球坐标和柱坐标下的重积分计算。
2021年考研高等数学易考题型总结题型六、导数微分的定义及函数可导性判断。
可导必连续,连续不一定可导.分段函数分界点处的导数一定要用导数的定义求.题型七、显函数、隐函数、由参数方程确定的函数的求导问题。
常用的求函数导数的方法有取对数法。
题型九、导数的几何运用。
一般是让求曲线在某一点处的切线方程。
判断函数的单调性、凹凸性、拐点等。
注意:首先看定义域然后判断函数的单调区间求极值和最值,利用公式判断在指定区间内的凹凸性或者用函数的二阶导数判断(注意二阶导数的符号)考研大纲是复习的重要参考,通过大纲可以了解科目复习的重点要点,了解科目的考察要求。
那么2021年考研数学大纲什么时候出?预计2021考研数学新大刚得发布时间为9月中旬左右,大家注意关注。
下面分享近几年的考研大纲发布时间,可以作为参考。
历年考研发刚发布时间年份考研大纲发布时间2021预计8月26日公布20212021年9月18日20212021年9月13日20212021年9月13日20212021年9月14日20212021年9月15日20212021年8月23日虽说2021年考研数学大纲还未发布,但是一句每年惯例,大纲变化不大,大家可根据去年的来复习,下面奉上数学一二三去年大纲作参考:历年考研数学大纲年份数学一数学二数学三2021数学一大纲数学二大纲数学三大纲考研大纲怎么用?1、读懂考研大纲关键字在研读大纲的时候并不是漫无目的的读一遍,而是要注意一些字眼,比如了解、理解、掌握、会用等,从这些字眼我们就会看出命题人考试的关键所在。
1)了解对这样的概念、这样的公式和这样的理论,我们只要知道它是怎么样的概念和公式、理论就够了,不需要对它进行更多的讨论,它是怎么来的,用它怎样解决什么样的实际问题的,这个可能应该在以后的问题来讨论,对了解只是知道这个概念它是怎么样的概念,这个公式是怎样的公式,这样的理论是什么样的理论就够了,比方说提到了这样的概念,你就能知道这是在哪个地方的,是哪个问题当中的概念,达到这样的程度就行了,这叫了解。
数学考研试题大全及答案# 数学考研试题大全及答案## 一、高等数学### 1.1 函数、极限与连续例题:设函数 \( f(x) = \frac{1}{x} \),求 \( \lim_{x \to 0^+} f(x) \)。
解答:函数 \( f(x) \) 在 \( x = 0 \) 处不连续,因此\( \lim_{x \to 0^+} f(x) \) 不存在。
### 1.2 导数与微分例题:求函数 \( f(x) = x^3 - 2x^2 + x \) 的导数。
解答:\( f'(x) = 3x^2 - 4x + 1 \)。
### 1.3 微分中值定理例题:设 \( f(x) \) 在闭区间 [1, 2] 上连续,在开区间 (1, 2) 内可导,且 \( f(1) = f(2) \),证明存在 \( c \in (1, 2) \) 使得 \( f'(c) = 0 \)。
解答:由罗尔定理可知,由于 \( f(1) = f(2) \),故存在 \( c \in (1, 2) \) 使得 \( f'(c) = 0 \)。
## 二、线性代数### 2.1 矩阵与向量例题:设矩阵 \( A = \begin{bmatrix} 1 & 2 \\ 3 & 4\end{bmatrix} \),求 \( A \) 的逆矩阵。
解答:\( A \) 的逆矩阵为 \( A^{-1} = \begin{bmatrix} -2 & 1 \\ 1.5 & -0.5 \end{bmatrix} \)。
### 2.2 线性方程组例题:解线性方程组:\[\begin{cases}x + y = 1 \\2x + 3y = 5\end{cases}\]解答:解得 \( x = 1 \),\( y = 0 \)。
### 2.3 特征值与特征向量例题:求矩阵 \( A = \begin{bmatrix} 4 & 1 \\ 0 & 3\end{bmatrix} \) 的特征值和特征向量。
考研数学一大题题型归纳考研数学一是一个比较重要的科目,其中一道大题是题型比较多样且需要综合运用多个知识点的题目。
在这篇文章中,我将归纳一些常见的考研数学一大题题型,帮助考生更好地准备考试。
1. 函数与极限题型这是考研数学一中出现频率较高的题型之一。
经典的题型包括利用函数的性质求函数的特定值、函数的界与连续性、函数的单调性与图像的性质等。
考生需要熟练掌握函数与极限的性质,并灵活应用。
2. 一元函数微分学与高阶导数题型这类题目考查考生对导数概念的理解,要求灵活应用求导法则、高阶导数及其在函数研究中的应用。
常见的题型包括求函数的极值、函数的凹凸区间、函数与导数的关系等。
解题时,考生需要熟悉函数导数的基本概念与性质,并理解函数导数与函数本身的关系。
3. 一元函数积分学题型一元函数积分学也是考研数学一中的重点内容。
常见题型包括利用定积分求曲线下面积、参数方程下的弧长、平均值等。
考生需要掌握定积分的计算方法(换元法、分部积分等),并了解定积分的几何意义与物理应用。
4. 一阶线性微分方程题型一阶线性微分方程是考研数学一的重点内容之一。
这类题目要求考生对微分方程的求解方法有深入的理解,熟悉常微分方程的基本理论与性质,并能够灵活运用。
常见的题型包括求解一阶线性方程、初值问题、变量可分离方程等。
5. 常微分方程数值解题型这类题目考查考生对常微分方程数值解方法的掌握程度。
题型多样,常见包括欧拉法、改进的欧拉法、四阶龙格-库塔法等。
考生需要了解数值解方法的基本原理和步骤,并能够运用具体的数值方法求解常微分方程。
6. 多元函数微分学与积分学题型多元函数微分学与积分学是考研数学一中的难点内容。
考题要求考生熟悉多元函数的偏导数、方向导数、全微分、极值与条件极值等概念与性质,并能够应用到具体的题目中去。
对于多元函数的积分学,考生需要了解多重积分的计算方法(变量代换法、极坐标法、球坐标法等),并能够正确应用。
7. 无穷级数题型无穷级数是考研数学一中的重点内容之一。
以数学(一)为主总结高等数学各部分常见的题型。
一、函数、极限与连续1.求分段函数的复合函数;2.求极限或已知极限确定原式中的常数;3.讨论函数的连续性,判断间断点的类型;4.无穷小阶的比较;5.讨论连续函数在给定区间上零点的个数,或确定方程在给定区间上有无实根。
二、一元函数微分学1.求给定函数的导数与微分(包括高阶导数),隐函数和由参数方程所确定的函数求导,特别是分段函数和带有绝对值的函数可导性的讨论;2.利用洛比达法则求不定式极限;3.讨论函数极值,方程的根,证明函数不等式;4.利用罗尔定理、拉格朗日中值定理、柯西中值定理和泰勒中值定理证明有关命题,如“证明在开区间内至少存在一点满足……”,此类问题证明经常需要构造辅助函数;5.几何、物理、经济等方面的最大值、最小值应用问题,解这类问题,主要是确定目标函数和约束条件,判定所讨论区间;6.利用导数研究函数性态和描绘函数图形,求曲线渐近线。
三、一元函数积分学1.计算题:计算不定积分、定积分及广义积分;2.关于变上限积分的题:如求导、求极限等;3.有关积分中值定理和积分性质的证明题;4.定积分应用题:计算面积,旋转体体积,平面曲线弧长,旋转面面积,压力,引力,变力作功等;5.综合性试题。
四、向量代数和空间解析几何1.计算题:求向量的数量积,向量积及混合积;2.求直线方程,平面方程;3.判定平面与直线间平行、垂直的关系,求夹角;4建立旋转面的方程;5.与多元函数微分学在几何上的应用或与线性代数相关联的题目。
五、多元函数的微分学1.判定一个二元函数在一点是否连续,偏导数是否存在、是否可微,偏导数是否连续;2.求多元函数(特别是含有抽象函数)的一阶、二阶偏导数,求隐函数的一阶、二阶偏导数;3.求二元、三元函数的方向导数和梯度;4.求曲面的切平面和法线,求空间曲线的切线与法平面,该类型题是多元函数的微分学与前面向量代数与空间解析几何的综合题,应结合起来复习;5.多元函数的极值或条件极值在几何、物理与经济上的应用题;求一个二元连续函数在一个有界平面区域上的最大值和最小值。
常考的十种题型
一、运用洛必达法则和等价无穷小量的求极限问题,直接求极限或给出一个分段函数讨论其连续性。
二、曲线积分和曲面积分的计算,也是考研重点考查对象。
三、幂级数问题,计算幂级数的和函数,将一个已知函数用间接法展开为幂级数。
四、常微分方程,可分离变量方程、一阶线性微分方程、伯努利方程等的求通解或特解,以及微分方程的幂级数解法。
五、解线性方程组,求线性方程组的待定常数等。
六、运用导数求最值、极值或证明不等式。
七、微积分中值定理的运用,证明一个关于“存在一个点,使得什么什么成立”的命题或者证明不等式。
八、重积分的计算,包括二重积分和三重积分的计算及其应用,这是历年硕士研究生入学统一考试命题青睐的对象。
九、矩阵的相似对角化,求矩阵的特征值、特征向量、相似矩阵等。
十、概率论与数理统计,求概率分布或随机变量的分布密度及一些数字特征,参数的点估计和区间估计。
考验数学十年真题题型总结!高等数学(①10年考题总数:117题②总分值:764分③占三部分题量之比重:53%④占三部分分值之比重:60%第一章函数、极限、连续(①10年考题总数:15题②总分值:69分③占第一部分题量之比重:12%④占第一部分分值之比重:9%)|考研|考研网:y/f S,Z H \%\题型 1 求1∞型极限(一(1),2003)题型 2 求0/0型极限(一(1),1998;一(1),2006)|考研|考研网D!V\ k[g u题型 3 求∞-∞型极限(一(1),1999)题型 4 求分段函数的极限(二(2),1999;三,2000)题型 5 函数性质(奇偶性,周期性,单调性,有界性)的判断(二(1),1999;二(8),2004)|考研|考研网n1g:z1~ q9`*M m题型 6 无穷小的比较或确定无穷小的阶(二(7),2004)题型 7 数列极限的判定或求解(二(2),2003;六(1),1997;四,2002;三(16),2006) u6t I+N+v r`题型 8 求n项和的数列极限(七,1998)题型 9 函数在某点连续性的判断(含分段函数)(二(2),1999)第二章一元函数微分学考研,考研网,考研论坛,考研资料,考研资讯,考研英语考研数学考研政治,考研医学,金融联考,MBA,法硕X I!P R5m;i$^U w(①10年考题总数:26题②总分值:136分③占第一部分题量之比重:22%④占第一部分分值之比重:17%)5432考研论坛是考研人的网上考研家园,主要提供考研资料下载,学习讨论等 x*x F4as.E%s&Z.e题型 1 与函数导数或微分概念和性质相关的命题(二(7),2006)考研,考研网,考研论坛,考研资料,考研资讯,考研英语考研数学考研政治,考研医学,金融联考,MBA,法硕#G:w X K1V S OR题型 2 函数可导性及导函数的连续性的判定(五,1997;二(3),2001;二(7),2005)题型 3 求函数或复合函数的导数(七(1),2002)考研,考研网,考研论坛,考研资料,考研资讯,考研英语考研数学考研政治,考研医学,金融联考,MBA,法硕.m!n;ly(`*O.O u题型 4 求反函数的导数(七(1),2003)题型 5 求隐函数的导数(一(2),2002) n8U C G+J k B.R3w题型 6 函数极值点、拐点的判定或求解(二(7),2003)题型 7 函数与其导函数的图形关系或其他性质的判定(二(1),2001;二(3),2002)题型 8 函数在某点可导的判断(含分段函数在分段点的可导性的判断)(二(2),1999)考研,考研网,考研论坛,考研资料,考研资讯,考研英语考研数学考研政治,考研医学,金融联考,MBA,法硕/E+?;g CW u$Q题型 9 求一元函数在一点的切线方程或法线方程(一(3),1997;四,2002;一(1),2004)题型 10 函数单调性的判断或讨论(八(1),2003;二(8),2004)-i1D`'I e1k I题型 11 不等式的证明或判定(二(2),1997;九,1998;六,1999;二(1),2000;八(2),2003;三(15),2004)题型 12 在某一区间至少存在一个点或两个不同的点使某个式子成立的证明(九,2000;七(1),2001;三(18),2005)题型 13 方程根的判定或唯一性证明(三(18),2004)5432考研论坛是考研人的网上考研家园,主要提供考研资料下载,学习讨论等j$ZU @(S/B u:?题型 14 曲线的渐近线的求解或判定(一(1),2005)第三章一元函数积分学 D G4c%y d~!R j0x(①10年考题总数:12题②总分值:67分③占第一部分题量之比重:10%④占第一部分分值之比重:8%)5432考研论坛是考研人的网上考研家园,主要提供考研资料下载,学习讨论等'y3G L[5?[)Y H4e题型 1 求不定积分或原函数(三,2001;一(2),2004)题型 2 函数与其原函数性质的比较(二(8),2005)题型 3 求函数的定积分(二(3),1997;一(1),2000;三(17),2005)题型4 求变上限积分的导数(一(2),1999;二(10),2004)5432考研论坛是考研人的网上考研家园,主要提供考研资料下载,学习讨论等:`,Y;N`0K;V E)VW题型 5 求广义积分(一(1),2002)5432考研论坛;g U!L Zf.M l;q[题型6 定积分的应用(曲线的弧长,面积,旋转体的体积,变力做功等)(七,1999;三,2003;六,2003)第四章向量代数和空间解析几何5432考研论坛是考研人的网上考研家园,主要提供考研资料下载,学习讨论等"X2O4\_+C7Z(①10年考题总数:3题②总分值:15分③占第一部分题量之比重:2%④占第一部分分值之比重:1%)题型 1 求直线方程或直线方程中的参数(四(1),1997) E.g[x\N 题型2 求点到平面的距离(一(4),2006)5432考研论坛7F N*tA j B{m题型 3 求直线在平面上的投影直线方程(三,1998)题型4 求直线绕坐标轴的旋转曲面方程(三,1998)第五章多元函数微分学考研,考研网,考研论坛,考研资料,考研资讯,考研英语考研数学考研政治,考研医学,金融联考,MBA,法硕?$WJ'U8i R9q-w A{(①10年考题总数:19题②总分值:98分③占第一部分题量之比重:16%④占第一部分分值之比重:12%)题型 1 多元函数或多元复合函数的偏导的存在的判定或求解(二(1),1997;一(2),1998;四,2000;四,2001;二(9),2005;三(18(Ⅰ)),2006)题型 2 多元隐函数的导数或偏导的求解或判定(三,1999;三(19),2004;二(10),2005) }3E3P e.y题型 3 多元函数连续、可导与可微的关系(二(2),2001;二(1),2002)题型4 求曲面的切平面或法线方程(一(2),2000;一(2),2003)i?`Z0\ r.D#}题型5 多元函数极值的判定或求解(八(2),2002;二(3),2003;三(19),2004;二(10),2006)题型 6 求函数的方向导数或梯度或相关问题(八(1),2002;一(3),2005)5432考研论坛hJ2|v&a题型7 已知一二元函数的梯度,求二元函数表达式(四,1998)第六章多元函数积分学 P S5r,y!r^} R9j]-Z(①10年考题总数:27题②总分值:170分③占第一部分题量之比重:23%④占第一部分分值之比重:22%);h4y7P4t#yj7d D q4C题型 1 求二重积分(五,2002;三(15),2005;三(15),2006)考研,考研网,考研论坛,考研资料,考研资讯,考研英语考研数学考研政治,考研医学,金融联考,MBA,法硕3p@4n|S题型 2 交换二重积分的积分次序(一(3),2001;二(10),2004;二(8),2006)题型 3 求三重积分(三(1),1997)5432考研论坛是考研人的网上考研家园,主要提供考研资料下载,学习讨论等w0g)P H-k题型 4 求对弧长的曲线积分(一(3),1998)题型 5 求对坐标的曲线积分(三(2),1997;六,1998;四,1999;五,2000;六,2001;六(2),2002;一(3),2004;三(19),2006)5432考研论坛是考研人的网上考研家园,主要提供考研资料下载,学习讨论等!|)y'}A!g J]题型 6 求对面积的曲面积分(八,1999)C O_` J}'w题型 7 求对坐标的曲面积分(三(17),2004;一(4),2005;一(3),2006)题型 8 曲面积分的比较(二(2),2000)考研,考研网,考研论坛,考研资料,考研资讯,考研英语考研数学考研政治,考研医学,金融联考,MBA,法硕+R o1G H}+i)J 题型 9 与曲线积分相关的判定或证明(六(1),2002;五,2003;三(19(Ⅰ)),2005)考研,考研网,考研论坛,考研资料,考研资讯,考研英语考研数学考研政治,考研医学,金融联考,MBA,法硕7|`\t k(x c O K题型 10 已知曲线积分的值,求曲线积分中被积函数中的未知函数的表达式(六,2000;三(19(Ⅱ)),2005题型 11 求函数的梯度、散度或旋度(一(2),2001)5432考研论坛B-N i Y9C7a L:`0o,W题型 12 重积分的物理应用题(转动惯量,重心等)(八,2000)第七章无穷级数(①10年考题总数:20题②总分值:129分③占第一部分题量之比重:17%④占第一部分分值之比重:16%)|考研|考研网,Q_~?5|N e(r h题型 1 无穷级数敛散性的判定(六,1997;八,1998;九(2),1999;二(3),2000;二(2),2002;二(9),2004;三(18),2004;二(9),2006)考研,考研网,考研论坛,考研资料,考研资讯,考研英语考研数学考研政治,考研医学,金融联考,MBA,法硕 c F k$I7S题型 2 求无穷级数的和(九(1),1999;五,2001;七(2),2002;四,2003;三(16),2005)题型 3 求函数的幂级数展开或收敛域或判断其在端点的敛散性(一(2),1997;七,2000;五,2001;四,2003;三(16),2005;三(17),2006) u h"t7i t a X k^:@题型 4 求函数的傅里叶系数或函数在某点的展开的傅里叶级数的值(二(3),1999;一(3);2003)考研,考研网,考研论坛,考研资料,考研资讯,考研英语考研数学考研政治,考研医学,金融联考,MBA,法硕H H+VeK q n c第八章常微分方程(①10年考题总数:15题②总分值:80分③占第一部分题量之比重:1%④占第一部分分值之比重:10%)Y8`] E.zW~题型 1 求一阶线性微分方程的通解或特解(六,2000;一(2),2005;一(2),2006;三(18(Ⅱ)),2006)题型 2 二阶可降阶微分方程的求解(一(3),2000;一(3),2002)题型 3 求二阶齐次或非齐次线性微分方程的通解或特解(一(3),1999)考研,考研网,考研论坛,考研资料,考研资讯,考研英语考研数学考研政治,考研医学,金融联考,MBA,法硕Y S2v(@%_"Z N"K题型 4 已知二阶线性齐次或非齐次微分方程的通解或特解,反求微分方程(一(1),2001)+O i.K G$k\t s/T题型 5 求欧拉方程的通解或特解(一(4),2004)题型 6 常微分方程的物理应用(三(3),1997;五,1998;八,2001;三(16),2004)题型 7 通过求导建立微分方程求解函数表达式或曲线方程(四(2),1997;五,1999)5432考研论坛是考研人的网上考研家园,主要提供考研资料下载,学习讨论等Ea Y_ _t f线性代数(①10年考题总数:51题②总分值:256分③占三部分题量之比重:23%④占三部分分值之比重:20%)第一章行列式/Ms.O;k ^:_L-t(①10年考题总数:5题②总分值:18分③占第二部分题量之比重:9%④占第二部分分值之比重:7%)题型 1 求矩阵的行列式(十(2),2001;一(5),2004;一(5),2005;一(5),2006)题型2 判断矩阵的行列式是否为零(二(4),1999)第二章矩阵(①10年考题总数:8题②总分值:35分③占第二部分题量之比重:15%④占第二部分分值之比重:13%)题型 1 判断矩阵是否可逆或求逆矩阵(八,1997)题型 2 解矩阵方程或求矩阵中的参数(一(4),1997;十,2000;一(4),2001)5432考研论坛是考研人的网上考研家园,主要提供考研资料下载,学习讨论等&C z z^+|){:x题型3 求矩阵的n次幂(十一(3),2000)+g,j f-s[题型4 初等矩阵与初等变换的关系的判定(二(11),2004;二(12),2006)题型5 矩阵关系的判定(二(12),2005)|考研|考研网9g-]C N#X#{,y第三章向量(①10年考题总数:9题②总分值:33分③占第二部分题量之比重:17%④占第二部分分值之比重:12%)考研,考研网,考研论坛,考研资料,考研资讯,考研英语考研数学考研政治,考研医学,金融联考,MBA,法硕,F9}3p6V V/DQ[题型 1 向量组线性相关性的判定或证明(十一,1998;二(4),2000;十一(2),2000;二(4),2003;二(12),2004;二(11),2005;二(11),2006)考研,考研网,考研论坛,考研资料,考研资讯,考研英语考研数学考研政治,考研医学,金融联考,MBA,法硕$Py:g?iD a D题型 2 根据向量的线性相关性判断空间位置关系或逆问题(二(4),1997;二(4),2002);f8E Yr J第四章线性方程组(共考过约11题,约 67分)5432考研论坛是考研人的网上考研家园,主要提供考研资料下载,学习讨论等"g m#X b1d b o} C\F题型 1 齐次线性方程组基础解系的求解或判定(七(1),1997;九,2001)|.l%l `9Jg j题型 2 求线性方程组的通解(十二,1998;九,2002;三(20(Ⅲ)),2005)题型 3 讨论含参数的线性方程组的解的情况,如果方程组有解时求出通解(三(20),2004;三(21),2005)题型 4 根据含参数的方程组的解的情况,反求参数或其他(一(4),2000;三(20),2006)题型 5 两个线性方程组的解的情况和它们的系数矩阵的关系的判定(一(5),2003)题型 6 直线的方程和位置关系的判定(十,2003)考研,考研网,考研论坛,考研资料,考研资讯,考研英语考研数学考研政治,考研医学,金融联考,MBA,法硕 X aC(n2MW p 第五章矩阵的特征值和特征向量(①10年考题总数:13题②总分值:76分③占第二部分题量之比重:25%④占第二部分分值之比重:29%)题型 1 求矩阵的特征值或特征向量(一(4),1999;十一(2),2000;九,2003;三(21(Ⅰ)),2006)5432考研论坛-u f.S;S G题型 2 已知含参数矩阵的特征向量或特征值或特征方程的情况,求参数(七(2),1997;三(21),2004)5432考研论坛,DD1K L I!O;m题型 3 已知伴随矩阵的特征值或特征向量,求矩阵的特征值或参数或逆问题(一(4),1998;十,1999)考研,考研网,考研论坛,考研资料,考研资讯,考研英语考研数学考研政治,考研医学,金融联考,MBA,法硕 o^D9I6N F6K w3j题型 4 将矩阵对角化或判断矩阵是否可对角化(七(2),1997;三(21),2004;三(21(Ⅱ)),2006)题型 5 矩阵相似的判定或证明或求一个矩阵的相似矩阵(二(4),2001;十(1),2001))c^u2~*n Z+F7h;E V题型 6 矩阵相似和特征多项式的关系的证明或判定(十,2002)|考研|考研网A j E)T3o-K第六章二次型考研,考研网,考研论坛,考研资料,考研资讯,考研英语考研数学考研政治,考研医学,金融联考,MBA,法硕+_9E`(Z b o(①10年考题总数:5题②总分值:27分③占第二部分题量之比重:9%④占第二部分分值之比重:10%)题型 1 化实二次型为标准二次型或求相应的正交变换(三(20(Ⅱ)),2005)题型 2 已知一含参数的二次型化为标准形的正交变换,反求参数或正交矩阵(十,1998;一(4),2002)题型 3 已知二次型的秩,求二次型中的参数和二次型所对应矩阵的表达式(三(20(Ⅰ)),2005)|考研|考研网y9n4kg+V7]M S`@题型 4 矩阵关系合同的判定或证明(二(4),2001)题型 5 矩阵正定的证明(十一,1999)5432考研论坛^-d'^as e-D概率论与数理统计(①10年考题总数:52题②总分值:249分③占三部分题量之比重:23%④占三部分分值之比重:19%)|考研|考研网1i PMn ~第一章随机事件和概率(①10年考题总数:7题②总分值:31分③占第三部分题量之比重:13%④占第三部分分值之比重:12%)第二章题型 1 求随机事件的概率(一(5),1997;一(5),1999;一(5),2000;十一(2),2003;一(6);2005;三(22),2005)5432考研论坛5U%Z i7o'?U K 题型2 随机事件的运算(二(13),2006)z F G'K~(j2z第二章随机变量及其分布n\,L-?*c F5\6`(①10年考题总数:6题②总分值:25分③占第三部分题量之比重:11%④占第三部分分值之比重:10%)题型 1 求一维离散型随机变量的分布律或分布函数(九,1997)5432考研论坛是考研人的网上考研家园,主要提供考研资料下载,学习讨论等u BN F)q)]w题型 2 根据概率反求或判定分布中的参数(一(5),2002;二(14),2006)|考研|考研网:B5g/u B#G[y Vb题型 3 一个函数为某一随机变量的分布函数或分布密度的判定(一(5),2002){8^K%@1k M.U m D"M题型 4 求一维随机变量在某一区间的概率(一(6),2004)题型5 求一维随机变量函数的分布(三(22(Ⅰ),2006)第三章二维随机变量及其分布5432考研论坛+B R*\Z_C#Q.`(①10年考题总数:13题②总分值:59分③占第三部分题量之比重:25%④占第三部分分值之比重:23%)题型 1 求二维离散型随机变量的联合分布律或分布函数或边缘概率分布(十一(2),2001;三(22(Ⅱ)),2004;三(22),2005)题型 2 已知部分边缘分布,求联合分布律(十二,1999;二(13),2005)题型 3 求二维连续型随机变量的分布或分布密度或边缘密度函数(一(5),1998;三(22(Ⅱ)),2006)5432考研论坛是考研人的网上考研家园,主要提供考研资料下载,学习讨论等'_u'{ k v S"{题型 4 求两个随机变量的条件概率或条件密度函数(十一(1),2001)题型 5 两个随机变量的独立性或相关性的判定或证明(二(5),2000)题型 6 求两个随机变量的相关系数(三(22(Ⅰ)),2004)题型 7 求二维随机变量在某一区域的概率(二(5),1999;一(5),2003;一(6),2006)考研,考研网,考研论坛,考研资料,考研资讯,考研英语考研数学考研政治,考研医学,金融联考,MBA,法硕$v k2z*^5z Z3[第四章随机变量的数字特征(①10年考题总数:8题②总分值:43分③占第三部分题量之比重:15%④占第三部分分值之比重:17%)题型 1 求随机变量的数学期望或方差(九,1997;十二,2000,十一(1),2003)题型 2 求随机变量函数的数学期望或方差(二(5),1997;十三,1998;十一,2002)题型 3 两个随机变量的协方差或相关系数的求解或判定(二(5),2001;二(14),2004)第五章大数定律和中心极限定理vz X.C H X(①10年考题总数:1题②总分值:3分③占第三部分题量之比重:1%④占第三部分分值之比重:1%)题型 1 利用切比雪夫不等式估计概率(一(5),2001)5432考研论坛是考研人的网上考研家园,主要提供考研资料下载,学习讨论等+^Oq&u*?第六章数理统计的基本概念考研,考研网,考研论坛,考研资料,考研资讯,考研英语考研数学考研政治,考研医学,金融联考,MBA,法硕b c m K-X Q v(①10年考题总数:17题②总分值:88分③占第三部分题量之比重:32%④占第三部分分值之比重:35%)题型 1 求样本容量(十四,1998)题型 2 分位数的求解或判定(二(13),2004)|考研|考研网(Z U eh)[W6|题型 3 求参数的矩估计量或矩估计值或估计量的数字特征(十,1997;十三,2000;十二,2002;三(23(Ⅰ)),2004)题型 4 求参数的最大似然估计量或估计值或估计量的数字特征(十,1997;十三,1999;十二,2002;三(23(Ⅱ)),2004;三(23),2006)|考研|考研网+c7R c R:A/}t 题型 5 总体或统计量的分布函数的判定或求解(二(6),2003;十二(1),2003;二(14),2005)题型 6 讨论统计量的无偏性,一致性或有效性(十二(3),2003)题型 7 求统计量的数学期望或方差或两个统计量的协方差(十二,2001;三(23),2005)5432考研论坛是考研人的网上考研家园,主要提供考研资料下载,学习讨论等3Q3C-]o K9A题型 8 求单个正态总体均值的置信区间(一(6),2003)题型 9 显著性检验的判定(十五,1998)。
考研数学积分题型归纳总结考研数学中,积分是一个重要的考点,占据了相当大的比重。
在备考过程中,掌握各类积分题型的解法是非常关键的。
本文将对常见的数学积分题型进行归纳总结,旨在帮助考生们系统地理解和掌握积分的各种运用方式。
一、基本积分法基本积分法是求解一元函数积分的基础方法。
对于一些常见的函数积分,可以通过查表、记忆、逐步推导等方式求解。
下面列举一些常见的函数积分形式及其求解方法。
1. 幂函数积分幂函数积分是最基本的一类积分类型,形如x^n的函数积分可以通过幂函数的求导公式逆运用得到。
常见的幂函数积分包括:∫x^n dx = (x^(n+1))/(n+1) + C,其中n≠1;∫x dx = (x^2)/2 + C;∫1/x dx = ln|x| + C。
2. 三角函数积分常见的三角函数积分包括正弦函数和余弦函数的各种形式的积分,例如:∫sin(x) dx = -cos(x) + C;∫cos(x) dx = sin(x) + C。
3. 指数函数积分指数函数积分是常见的指数函数与原函数之间的关系表达,例如:∫e^x dx = e^x + C;∫a^x dx = (a^x)/ln(a) + C,其中a>0且a≠1。
二、换元积分法换元积分法是利用函数的链式法则进行求解的方法,通过变换自变量,将原积分变形为简单积分或标准积分的形式,以便求解。
换元积分法分为几种常见类型。
1. 第一类换元法第一类换元法是通过引入一个新的变量,使被积函数变成这个新变量的函数,从而简化积分。
例如:∫f(g(x))g'(x) dx = ∫f(u) du,其中u = g(x)。
2. 第二类换元法第二类换元法是通过引入一个新的变量,将被积函数化简成标准积分形式。
例如:∫f(x) dx = ∫f(g(t))g'(t) dt,其中x = g(t),dx = g'(t) dt。
三、分部积分法分部积分法是对积分公式的一种运用方式,用于求解两个函数的乘积的积分。
《高等数学部分》题型考点01极限的概念与性质【通用方法】极限与无穷小的关系:00lim (),()(1)x x f x A x x f x A o .题型考点02无穷小的比较(1)高阶无穷小、等价无穷小【通用方法】用定义转化成函数极限的计算问题.(2)无穷小排序【通用方法】利用0()lim0n x f x k x,解得n ,然后排序.题型考点03函数求极限【通用方法】(1)分析:把?x 代入极限,分析类型和化简方法(2)化简:①根式有理化②提公因子③计算非零因子④等价无穷小替换⑤拆分极限存在的项⑥幂指函数指数化⑦变量替换(尤其是倒代换)(3)计算:①洛必达法则②泰勒公式题型考点04极限的反问题(1)已知极限求另一极限【通用方法】加减乘除凑已知极限(2)已知极限求参数【通用方法】7种化简方法、泰勒公式、洛必达法则题型考点05函数的渐近线【通用方法】(1)垂直渐近线:若 )(lim x f ax ,则函数存在渐近线a x ;(2)水平渐近线:若b x f x)(lim ,则函数存在渐近线b y ;(3)斜渐近线:若b kx x f kx x f x x ])([lim )(lim ,则函数存在渐近线b kx y .题型考点06利用单调有界准则求数列极限【通用方法】(1)单调性①计算n n u u 1.若01 n n u u ,则}{n u 单调递增;若01 n n u u ,则}{n u 单调递减.②若)(1n n u f u ,构造函数)(x f ,单调数列应该有0)( x f ,若12u u ,则}{n u 单调递增;若12u u ,则}{n u 单调递减;另外,若0)( x f ,则数列不单调.(2)有界性①数学归纳法②均值不等式题型考点07求n 项和的数列极限【通用方法】①定积分定义②夹逼准则题型考点08判断函数的连续性与间断点【通用方法】①连续的定义②四种间断点的定义题型考点09一个点的导数【通用方法】一个点的导数用定义题型考点10切线方程与法线方程【通用方法】①求00(),()f x f x ②代入切线方程与法线方程.题型考点11各类函数求导(1)反函数求导【通用方法】反函数的导数等于原来函数导数的倒数.(2)复合函数求导【通用方法】从外层往内层逐层求导相乘.(3)隐函数求导【通用方法】把y 看成x 的函数,等式两边直接求导.(4)参数方程求导【通用方法】()()(),()()y t h t y h t y x t x t.(5)变限积分函数求导【通用方法】①设)()(21)()(x x dt t f x F,则)()]([)()]([)(1122x x f x x f x F ;②设xdt t xf x F 0)()(,则)()()()(00x xf dt t f dt t f x x F xx;注:被积函数中含有求导的变量时,要把变量分离出来,再求导.③设xdt t x f x F 0)()(,则令t x u , xdu u f x F 0)()(,)()(x f x F .注:被积函数中含有求导的变量但不能直接分离时,要通过换元分离,再求导.(6)分段函数求导【通用方法】分段函数分段求,分段点处定义求题型考点12求0x 处的n 阶导数【通用方法】利用泰勒公式的唯一性题型考点13判断函数的单调性、极值点与凹凸性、拐点【通用方法】求函数的一阶导数、二阶导数进行判断题型考点14不等式的证明【通用方法】利用单调性证明(1)移项到大于号一边,构造()F x (2)求()()F x F x ,,判断()F x 的单调性(3)找()F x 的最小值点,验证最小值大于等于0.题型考点15方程根的问题【通用方法】①单调性②零点定理题型考点16曲率与曲率半径(仅数一、二要求)【通用方法】曲率公式232)1(y y K,KR 1.题型考点17罗尔定理的证明题【通用方法】(1)证明一阶导等于零(0)( f ),找两个原函数的点相等;(2)证明二阶导等于零(0)( f ),找三个原函数的点相等,或者两个一阶导相等;(3)证明表达式的题目(0)](),(,[ f f G ),思路如下:草稿纸上:① 换成x 把要证明的表达式抄下来;②两边移项,目的是便于积分求原函数注:遇到)(x f 可以把它除到)(x f 下面去,积分为)(ln x f ;③两边积分,目的是构造有用的)(x F 试卷上:令 )(x F ,易知)(x F 在],[b a 上连续,),(b a 内可导,再证明)(x F 两个点相等即可.(4)双介值问题:解题思路:①分离介值,把含不同介值的表达式移到等号两边;②结合(3)的思路,分别使用微分中值定理证明左边C ,右边C 即可注:C 为某常数,需要通过其中一边C ,满足罗尔定理的情况下,求得.另外,若只是证明存在两个介值,则不需要把区间分段;若要求证明存在两个不同的介值,则必须把区间分段,证明介值分别来自两个不同的区间.题型考点18拉格朗日中值定理的证明题【通用方法】找对区间(一般需要将区间等分或者根据第一问提示点将区间分开),在各区间上使用拉氏定理,然后相加相减凑所证结论.题型考点19泰勒中值定理的证明题【通用方法】找对展开点(一般为区间中点或端点),然后写出泰勒展开式,带入端点值,相加相减凑所证结论.题型考点20不定积分的计算【通用方法】①凑微分②去根号③分部积分④有理函数积分题型考点21定积分的计算【通用方法】①牛顿莱布尼兹公式②定积分的换元法③区间再现④分段函数分段积分⑤含抽象函数的积分使用分部积分题型考点22积分不等式的证明【通用方法】①转化为函数不等式,利用单调性证明②积分中值定理题型考点23含变限积分函数的等式方程【通用方法】①初值②求导题型考点24反常积分的计算【通用方法】在瑕点处拆开,直接按定积分计算.题型考点25反常积分敛散性的判定【通用方法】根据比较审敛法的极限形式,与P 积分进行比较判断.题型考点26定积分的几何应用【通用方法】微元法(1)求平面图形的面积① dxx y x y S ba121② d r S2221③dtt t ydx S ba3(2)求旋转体的体积① dxx fV bax2②bay dxx xf V2③d y V Dx(3)求平面曲线的弧长d r r dt t y t x dxx y ds 222221(仅数一、二要求)(4)求旋转体的侧面积ydsd S 2 侧(仅数一、二要求)题型考点27定积分的物理应用(仅数一、二要求)【通用方法】微元法(1)变力沿曲线做功①FSW ②maF (2)静水侧压力①PS F ②ghP(3)引力问题①221r m m GF 万②221r Q Q kF 库题型考点28微分方程的求解【通用方法】根据各类微分方程的固定求解步骤进行即可.(1)一阶微分方程①可分离变量的方程②齐次方程③一阶线性微分方程(2)可降阶的微分方程①不显含y 的微分方程②不显含x 的微分方程(3)二阶常系数线性微分方程①二阶常系数线性齐次方程②二阶常系数线性非齐次方程(4)伯努利方程、欧拉方程(仅数一)通过换元化为常见方程求解题型考点29微分方程的物理应用(仅数一、二要求)【通用方法】从问题出发,找两个变量,列微分方程.题型考点30多元复合函数求偏导【通用方法】①画出复合函数关系图②从外往内逐层求偏导题型考点31多元隐函数求偏导【通用方法】①直接求②公式法③一阶微分形式不变性(全微分法)题型考点32偏积分【通用方法】注意对x 积分时加)(y C ,对y 积分时加)(x C .题型考点33多元函数极值【通用方法】①令偏导数等于0解得驻点②根据充分条件判断极值题型考点34多元函数条件极值【通用方法】①代入法②拉格朗日乘数法题型考点35多元函数求闭区域上的最值【通用方法】①开区域内求极值②边界上求条件极值③比大小题型考点36各类积分比大小【通用方法】①不等式性质②对称性③格林公式、高斯公式(仅数一)题型考点37二重积分的计算【通用方法】①画D②观察对称性③选择坐标系和积分次序④化为累次积分计算题型考点38数项级数敛散性的判断(仅数一、三)【通用方法】(1)正项级数①比较审敛法(极限形式)②比值(根植)审敛法(2)交错级数①加绝对值后判断是否绝对收敛②莱布尼兹判别法(3)一般级数①加绝对值后判断是否绝对收敛②级数敛散性的性质题型考点39幂级数的收敛域及和函数(仅数一、三)【通用方法】(1)收敛域比值法(2)和函数逐项积分,逐项求导(3)函数展开成幂级数①逐项积分,逐项求导②常见泰勒级数题型考点40函数展开成傅里叶级数(仅数一)【通用方法】(1)周期为 2的傅里叶级数①10sin cos 2~)(n n n nx b nx a a x f ,其中,2,1,sin )(1,)(1,2,1,cos )(1n nxdx x f b dx x f a n nxdx x f a n n.②余弦级数若)(x f 为偶函数,则10cos 2~)(n n nx a a x f ,其中.0,)(2,2,1,cos )(200n n b dx x f a n nxdx x f a③正弦级数若)(x f 为奇函数,则1sin ~)(n nnx bx f ,其中,2,1,sin )(2,2,1,0,00n nxdx x f b n a n n(2)周期为l 2的傅里叶级数10sincos 2~)(n n n lxn b l x n a a x f ,其中 l l n l l n dx lxn x f l b dx l x n x f l a sin )(1,cos )(1.(3)狄里克雷收敛定理设)(x f 是周期为 2的可积函数,且满足①)(x f 上],[ 连续或只有有限个第一类间断点;②)(x f 上],[ 只有有限个单调区间,则)(x f 的以 2为周期的傅里叶级数收敛,且2)0()0()(000x f x f x S .题型考点41空间解析几何(仅数一)【通用方法】(1)平面与直线①平面点法式②直线点向式(2)曲面与曲线①旋转曲面轨迹法②投影曲线消元法(3)空间曲面的切平面与空间曲线的切线①曲面的法向量),,(z y x F F F ②曲线的切向量))(),(),((t z t y t x 或))(),(,1(x z x y 等.题型考点42三重积分的计算(仅数一)【通用方法】①投影法②截面法③柱面坐标④球面坐标题型考点43曲线积分的计算(仅数一)【通用方法】(1)第一类曲线积分①对称性②参数法(2)第二类曲线积分①对称性②参数法③积分与路径无关④格林公式题型考点44曲面积分的计算(仅数一)【通用方法】(1)第一类曲面积分①对称性②一投二代三计算(2)第二类曲面积分①对称性②一投二代三定号③轮换投影法④高斯公式题型考点45多元积分学的应用(仅数一)【通用方法】(1)质心、形心①质心横坐标D Dd y x f d y x xf x),(),(;dVz y x f dV z y x xf x ),,(),,(;LL dsy x f ds y x xf x ),(),(;dSz y x f dS z y x xf x ),,(),,(.②形心横坐标(数二、三的同学要求掌握平面图形的形心)DDd xd x;dVxdV x ;L Ldsxds x ;dSxdSx .(2)转动惯量2mr I 题型考点46场论公式(仅数一)【通用方法】(1)方向导数①定义),()cos ,cos (lim 00000y x f y x f l.②可微函数cos cos y x f f l.(2)梯度),(),(y x f f y x gradf (3)散度zR y Q x P A div(4)旋度Qy j A rot题型考点47经济学应用(仅数三)【通用方法】(1)边际)(x f dxdy(2)弹性xdx y dy E yx《线性代数部分》题型考点01数值型行列式的计算【通用方法】边化零,边展开题型考点02抽象行列式的计算【通用方法】①化为乘法②特征值的乘积题型考点03方阵的幂【通用方法】(1)找规律(2)若1)( A r ,则A A 1n nl,其中)(A tr l .(3)若1A P ΛP ,则P ΛP A nn1.题型考点04矩阵的秩【通用方法】①化行阶梯形②利用秩的9个结论题型考点05具体方程组的求解【通用方法】①化行阶梯形②化行最简形③写出同解方程组④写出通解题型考点06抽象方程组的求解【通用方法】解的结构(1)齐次方程组的基础解系:①是解②无关③个数()n r A (2)非齐次方程组的通解: 通通特非齐非题型考点07向量组的线性相关性【通用方法】①秩②定义题型考点08向量组的线性表示【通用方法】①秩②定义题型考点09向量组的极大无关组【通用方法】①部分组②无关③个数()r A .题型考点10相似对角化【通用方法】(1)解0 E A 得特征值123,, ;(2)解()0x E A 得特征向量123,,ααα;(3)令123(,,) P ααα,则1P AP Λ.题型考点11正交变换法化二次型为标准形【通用方法】(1)解0 E A 得特征值123,, ;(2)解()0x E A 得特征向量123,,ααα;(3)正交化得:123,,βββ;(4)单位化得:123,,γγγ;(5)令123(,,) Q γγγ,则在正交变换x y Q 下,二次型的标准形为222112233y y y .题型考点12配方法化二次型为标准形【通用方法】①优先配交叉项少的变量②所用变换必须为可逆变换题型考点13二次型的正定型【通用方法】等价条件:①0,0Tx x x A ;②特征值均大于0;③正惯性指数为n ;④顺序主子式均大于0.《概率统计部分》题型考点01概率计算公式【通用方法】(1)加法公式()P A B C 加奇减偶(2)减法公式()()()P AB P A P AB (3)乘法公式()(|)()(|)()P AB P A B P B P B A P A (4)条件概率()(|)()P AB P A B P B(5)全概率公式1()(|)()nk k k P A P A B P B (6)贝叶斯公式(|)()(|)()k k k P A B P B P B A P A题型考点02概率密度与分布函数【通用方法】(1)概率密度①()1f x dx;(,)1xoyf x y d ②()0f x ;(,)0f x y (2)分布函数①规范性()0,()1F F ②右连续性00(0)()F x F x ③单调不减性题型考点03常见分布【通用方法】题型考点04二维连续型随机变量的分布【通用方法】(1)边缘概率密度()(,),()(,)X Y f x f x y dy f y f x y dx(2)条件概率密度(,)()()X Y Y f x y f x y f y(3)独立性若(,)()()X Y f x y f x f y ,则,X Y 独立(4)事件概率{(,)}(,)DP X Y D f x y d题型考点05随机变量函数的分布【通用方法】(1)一维连续型随机变量函数的概率密度分布函数法:①定义②代入③讨论④求导(2)一维连续型随机变量函数的概率密度分布函数法:①定义②代入③讨论④求导公式法:()(,(,))Z y f z f x y x z dx z(3)离散型+连续型随机变量函数的概率密度分布函数法:①定义②代入③全概率公式④讨论⑤求导题型考点06数字特征【通用方法】(1)随机变量的数字特征①期望 取值概率②方差性质化简,公式计算③协方差性质化简,公式计算④相关系数性质化简,公式计算(2)统计量的数字特征①E X EX②1D X DX n③2ES DX④2()E n n⑤2()2D n n题型考点07二维正态分布的性质【通用方法】若221212(,)~(,;,;)X Y N ,则:(1)边缘分布都是服从一维正态分布,即 221122~,,~,X NY N .(2)X 和Y 任意的非零线性组合aX bY 服从一维正态分布.(3)X 和Y 相互独立的充要条件是相关系数0 .(4)若12,Z Z 是,X Y 的非零线性组合,则 12,Z Z 也服从二维正态分布.题型考点08三大抽样分布【通用方法】(1)2分布:222212()nn X X X (2)F 分布:22()(,)()m mF m n n n(4)t 分布:()t n(5)若12,,,n X X X 为来自正态总体2~(,)X N 的简单随机样本,则:~(0,1)X N②222(1)~(1)n S n ~(1)X t n 题型考点09点估计【通用方法】(1)矩估计总体的矩等于样本的矩(2)最大似然估计①离散型1()()n i i L P X X ;1()ln(())ni i LnL P X X ②连续型1()()ni i L f x ;1()ln(())ni i LnL f x 题型考点10估计量的评选标准【通用方法】(1)无偏性 ()E(2)有效性若 12()()D D ,则 1 比 2更有效(3)一致性P。
考研数学660题型分布摘要:一、考研数学概述二、考研数学题型及分值分布1.高等数学2.线性代数3.概率论与数理统计三、具体题型解析1.选择题2.填空题3.解答题(包括证明题)四、针对不同题型的解题策略与技巧五、如何合理安排复习时间与提高备考效率正文:一、考研数学概述考研数学是每个考研学生的必考科目,分为基础数学和专业数学两部分。
其中,基础数学包括高等数学、线性代数和概率统计,而专业数学则是各个专业的相关内容。
考研数学试题旨在考察学生的数学基础和应用能力,为我国高等教育选拔具备扎实数学功底的人才。
二、考研数学题型及分值分布1.高等数学:高等数学是考研数学的重中之重,涉及到的题型比较广泛,包括微积分、极限、导数、积分等。
在考试中,高等数学的题目占有相当大的分值比重。
2.线性代数:线性代数在考试中的题目相对较少,但仍然不能忽视。
主要考察的内容包括矩阵运算、线性方程组、向量空间、线性变换等。
3.概率论与数理统计:概率论与数理统计在考试中的题目也相对较少,主要考察内容包括概率分布、随机变量、数理统计等。
三、具体题型解析1.选择题:选择题是考研数学中的一种常见题型,通常包括8小题,每题4分,共计32分。
学生在回答选择题时,应熟练掌握基本概念、公式和定理,善于运用排除法和猜测法进行解题。
2.填空题:填空题共6小题,每题4分,共计24分。
填空题主要考察学生的基本运算能力和数学思维,学生在回答填空题时,应注重细节,避免粗心大意。
3.解答题(包括证明题):解答题共9小题,占总分值的94分。
解答题是考研数学中分值最高的题型,要求学生具备较高的分析和解决问题的能力。
在解答过程中,学生应注重步骤的清晰和逻辑性,力求做到简洁明了。
四、针对不同题型的解题策略与技巧1.选择题:善用排除法和猜测法,提高解题速度。
2.填空题:注重基本概念和运算能力,细心回答,避免失误。
3.解答题:明确解题思路,注重步骤和逻辑性,善于运用公式和定理。
高数一、选择题2009:1、讨论函数的连续性与确定间断点的类型2、无穷小量与它的阶3、函数不等式证明4、变限定积分及其应用2008:1、讨论函数的连续性与确定间断点的类型2、定积分的概念与计算3、偏导数与全微分4、在直角坐标系与极坐标系中计算二重积分2007:1、无穷小量与它的阶2、导数与微分概念3、定积分的概念与计算4、变换累次积分的次序与坐标系的转换5、导数的经济意义及最大值最小值应用问题6、利用导数研究函数的性态2006:7、利用导数研究函数的性态8、导数与微分概念9、常数项级数10、一阶微分方程11、极值与条件极值,最值及其应用问题2005:7、利用导数研究函数的性态8、二重积分的概念与性质9、常数项级数10、利用导数研究函数的性态11、微分学中值定理及其在函数或导数零点存在性问题上的应用2004:7、函数的概念与性质8、讨论函数的连续性与确定间断点的类型9、利用导数研究函数的性态10、常数项级数11、导数与微分概念2003:1、讨论函数的连续性与确定间断点的类型2、极值与条件极值,最值及其应用问题3、常数项级数2002:1、微分学中值定理及其在函数或导数零点存在性问题上的应用2、幂级数的收敛特性2001:1、利用导数研究函数的性态2、反常积分的概念与计算2000:1、求未定式的极限与等价无穷小因子代换2、导数与微分概念二、填空题2009:9、求未定式的极限与等价无穷小因子代换10、偏导数与全微分11、幂级数的收敛特性12、导数的经济意义及最大值最小值应用问题2008:9、讨论函数的连续性与确定间断点的类型10、定积分的概念与计算11、二重积分的简化计算12、一阶微分方程2007:11、求未定式的极限与等价无穷小因子代换12、求各类一元函数的导数与微分13、多元复合函数微分法14、一阶微分方程2006:1、求未定式的极限与等价无穷小因子代换2、求各类一元函数的导数与微分3、多元复合函数微分法2005:1、求未定式的极限与等价无穷小因子代换2、一阶微分方程3、偏导数与全微分2004:1、确定极限式中的参数2、偏导数与全微分3、定积分的概念与计算2003:1、导数与微分概念2、切线问题3、在直角坐标系与极坐标系中计算二重积分2002:1、求未定式的极限与等价无穷小因子代换2、变换累次积分的次序与坐标系的转换2001:1、导数的经济意义及最大值最小值应用问题2、微分方程的简单应用2000:1、多元复合函数微分法2、反常积分的概念与计算三、解答题2009:15、极值与条件极值,最值及其应用问题16、不定积分的计算17、二重积分的简化计算18、微分学中值定理及其在函数或导数零点存在性问题上的应用19、微分方程的简单应用2008:15、求未定式的极限与等价无穷小因子代换16、多元隐函数微分法17、二重积分的简化计算18、有关定积分的证明题19、级数求和2007:17、利用导数研究函数的性态18、二重积分的简化计算19、微分学中值定理及其在函数或导数零点存在性问题上的应用20、函数的幂级数展开式2006:15、求未定式的极限与等价无穷小因子代换16、在直角坐标系与极坐标系中计算二重积分17、函数不等式的证明18、微分方程的简单应用19、级数求和2005:15、求未定式的极限与等价无穷小因子代换16、多元复合函数微分法17、二重积分的简化计算18、级数求和19、有关定积分的证明题2004:15、求未定式的极限与等价无穷小因子代换16、在直角坐标系与极坐标系中计算二重积分17、有关定积分的证明题18、导数的经济意义及最大值最小值应用问题19、级数求和2003:三、讨论函数的连续性与确定间断点的类型四、多元复合函数微分法五、在直角坐标系与极坐标系中计算二重积分六、级数求和七、一阶微分方程八、微分学中值定理及其在函数或导数零点存在性问题上的应用2002:三、变限定积分及其应用四、多元隐函数微分法五、不定积分的计算六、定积分的应用七、级数求和八、有关定积分的证明题2001:三、多元隐函数微分法四、微分学中值定理及其在函数或导数零点存在性问题上的应用五、二重积分的简化计算六、定积分的应用七、有关定积分的证明题八、级数求和2000:三、二阶常系数线性微分方程四、在直角坐标系与极坐标系中计算二重积分五、极值与条件极值,最值及其应用问题六、利用导数研究函数的性态七、级数求和八、有关定积分的证明题线性代数一、选择题2009:5、伴随矩阵6、初等变换2008:5、可逆矩阵6、合同矩阵2007:7、向量组的线性相关问题8、合同矩阵2006:12、向量组的线性相关问题13、初等变换2005:12、伴随矩阵13、向量组的线性相关问题2004:12、初等变换13、齐次方程组有非零解、基础解系、通解等问题2003:4、矩阵的秩5、向量组的线性相关问题2002:3、齐次方程组有非零解、基础解系、通解等问题4、矩阵的特征值、特征向量的概念与计算2001:3、初等变换4、有解判定及解的结构2000:3、有解判定及解的结构4、公共解、同解二、填空题2009:13、相似拒阵与相似对角化2008:13、抽象型行列式的计算2007:15、矩阵的秩2006:4、抽象型行列式的计算2005:4、向量组的线性相关问题2004:4、二次型的概念及标准形2003:4、可逆矩阵2002:3、向量组的线性相关问题2001:3、矩阵的秩2000:3、抽象型行列式的计算三、解答题2009:20、非齐次线性方程组的求解21、二次型的概念及标准形2008:20、I数字型行列式的计算II、III非齐次线性方程组的求解21、向量组的线性相关问题2007:21、公共解、同解22、实对称矩阵的特征值与特征向量2006:20、向量组的极大线性无关组与秩21、实对称矩阵的特征值与特征向量2005:20、公共解、同解21、二次型的正定性2004:20、向量的线性表出21、相似矩阵与相似对角化2003:九、齐次方程组有非零解、基础解系、通解等问题十、二次型的概念及标准形2002:九、齐次方程组有非零解、基础解系、通解等问题十、实对称矩阵的特征值与特征向量2001:九、实对称矩阵的特征值与特征向量十、合同矩阵2000:九、向量的线性表出十、二次型的正定性概率论一、选择题2009:7、随机事件的关系与运算8、随机变量函数的分布2008、7、随机变量函数的分布8、随机变量的数字特征2007:9、事件的独立性与独立重复试验10、随机变量的独立性与相关性2006:14、常见随机变量的概率分布及其应用2005:14、无2004:14、常见随机变量的概率分布及其应用2003:6、事件的独立性与独立重复试验2002:5、数理统计的基本概念2001:5、随机变量的独立性与相关性2000:5、随机事件的关系与运算二、填空题2009:14、参数估计2008、14、随机变量的数字特征2007:16、随机事件的关系与运算2006:5、随机变量函数的分布6、参数估计2005:5、概率与条件概率的性质和基本公式6、随机变量的联合分布、边缘分布与条件分布2004:5、、常见随机变量的概率分布及其应用6、参数估计2003:5、随机变量的数字特征6、大数定律与中心极限定理2002:4、随机变量的数字特征5、参数估计2001:4、大数定律与中心极限定理5、数理统计的基本概念2000:4、连续型随机变量的概率密度5、随机变量的数字特征三、解答题2009:22、随机变量的联合分布、边缘分布与条件分布23、随机变量的联合分布、边缘分布与条件分布2008:22、随机变量函数的分布23、参数估计2007:23、随机变量函数的分布24、参数估计2006:22、随机变量的联合分布、边缘分布与条件分布23、参数估计2005:22、随机变量函数的分布23、参数估计2004:22、随机变量的联合分布、边缘分布与条件分布23、参数估计2003:十一、随机变量函数的分布十二、随机变量函数的分布2002:十一、随机变量的联合分布、边缘分布与条件分布十二、随机变量函数的分布2001:十一、大数定律与中心极限定理十二、随机变量函数的分布2000:十一、无十二、随机变量的独立性与相关性。
第一讲求极限的各种方法第四讲 微积分中存在性问题的证明方法微积分中存在性问题的证明问题涉及闭区间上连续函数的性质、微分中值定理、积分中值定理和泰勒公式,是历年考试的重点,一定熟练掌握。
这一问题的突破点是选择正确的解题思路并合理构造辅助函数,有时辅助函数需要借助微分方程来寻找寻找。
1.基本结论(1)有界性:若()[,]0,[,],()f x C a b M x a b f x M ∈⇒∃>∀∈≤。
(2)最值性:若()[,]f x C a b ∈,则()f x 在[,]a b 能取到最大值和最小值。
(3)零点定理:若()[,]f x C a b ∈,且()()0f a f b <,则在(,)a b 内至少存在一点c ,使()0f c =。
(4)介值性:若()[,]f x C a b ∈,,M m 分别是()f x 在[,]a b 上的最大值和最小值,则[,]m M ξ∀∈,在[,]a b 至少存在一点c ,使()f c ξ=。
(5)罗尔定理 如果函数)(x f 满足:(1)在闭区间],[b a 上连续 (2)在开区间),(b a 内可导 (3)在区间端点处的函数值相等,即)()(b f a f = 那么在),(b a 内至少在一点)(b a <<ξξ 使得函数)(x f 在该点的导数等于零,即0)('=ξf(6)拉格朗日中值定理 如果函数)(x f 满足(1)在闭区间],[b a 上连续 (2)在开区间),(b a 内可导 那么在),(b a 内至少有一点)(b a <<ξξ 使得等式))(()()('a b f a f b f -=-ξ(7)柯西中值定理 如果函数)(x f 及)(x F 在闭区间],[b a 上连续,在开区间),(b a 内可导,且)('x F 在),(b a 内每一点均不为零,那末在),(b a 内至少有一点)(b a <<ξξ,使等式)()()()()()(''ξξF f a F b F a f b f =--成立2.证明思路(1)设)(x f 在[a,b]上连续,条件中不涉及到导数或可微,证明存在],[b a ∈ξ,使得c x f =)(,一般用介值定理或根的存在性定理。
考研数学题型总结与分类在备考考研数学时,理解各种数学题型的特点和解题思路是非常关键的。
借助分类整理不同类型的数学题目可以帮助考生更好地把握难题的本质,从而提高解题的效率。
本文将对考研数学题型进行总结与分类,帮助考生更好地复习备考。
一、解析几何题型解析几何是考研数学中的重点和难点之一。
在解析几何题型中,考生需要熟悉直线、圆、抛物线、椭圆、双曲线等的性质和表示方法,掌握求直线与曲线的交点、直线或曲线的方程、曲线的参数方程等技巧。
在几何题型中,常见的题目包括:点到直线的距离、两直线夹角、两曲线交点等。
解决这些题目需要考生结合直线的一般式、点斜式、两点式等知识点来解答。
另外,还有求两条曲线的公共切线、曲线与圆的交点等题型,考生可以利用解析几何的性质和公式进行解答。
二、高等数学题型高等数学题型主要涉及微积分和常微分方程。
其中微积分是考研数学的基础,在备考过程中,考生需要掌握微分与导数、积分与不定积分、定积分和无穷积分等知识点。
在微积分题型中,常见的题目包括求函数的导数、极值、最大值最小值、弧长、曲率等。
考生需要掌握函数求导法则、曲线的切线和曲率等概念,结合具体题目进行计算。
在常微分方程题型中,主要涉及常微分方程的基本概念、求解一阶常微分方程和二阶常微分方程等。
考生需要了解常微分方程的分类和解法,运用相应的求解方法进行计算。
三、线性代数题型线性代数是考研数学中的一门重要课程,涉及矩阵、向量和线性方程组等内容。
在备考过程中,考生需要熟悉行列式的性质,掌握矩阵的运算及其逆矩阵的求解方法。
在线性代数题型中,常见的题目包括矩阵的乘法、转置、逆运算,行列式的求解、特征值和特征向量等。
考生需要通过灵活运用矩阵运算的性质和定义,解决具体的题目。
四、数学分析题型数学分析是考研数学中比较综合性的一门课程,主要涉及极限、连续与间断、一元函数积分和级数等内容。
在备考过程中,考生需要理解极限的定义、性质和运算法则,熟悉函数的连续性和间断性的判定方法。
考研数学常考的十种题型总结
导读:本文考研数学常考的十种题型总结,仅供参考,如果能帮助到您,欢迎点评和分享。
近年来考研数学常考的题型也就那么几种,大家在复习的过程中要注意总结各种题型,把常见的题型弄明白。
2014数学考研大纲没有什么变化,高数、线代、概率三个科目是常考的,大家用要根据考研大纲注意各大考点,要把各大要点过一遍,一定要做到心中有数。
把考研数学常考的十种题型总结如下,以期对2014考研学子有所帮助。
一、运用洛必达法则和等价无穷小量求极限问题,直接求极限或给出一个分段函数讨论基连续性及间断点问题。
二、运用导数求最值、极值或证明不等式。
三、微积分中值定理的运用,证明一个关于“存在一个点,使得……成立”的命题或者证明不等式。
四、重积分的计算,包括二重积分和三重积分的计算及其应用。
五、曲线积分和曲面积分的计算。
六、幂级数问题,计算幂级数的和函数,将一个已知函数用间接法展开为幂级数。
七、常微分方程问题。
可分离变量方程、一阶线性微分方程、伯努利方程等的通解、特解及幂级数解法。
八、解线性方程组,求线性方程组的待定常数等。
九、矩阵的相似对角化,求矩阵的特征值,特征向量,相似矩阵等。
十、概率论与数理统计。
求概率分布或随机变量的分布密度及一些数字特征,参数的点估计和区间估计。