量子力学基本公式
- 格式:docx
- 大小:35.46 KB
- 文档页数:1
量子力学操控能量计算公式量子力学是描述微观世界中粒子行为的理论框架,它提供了一种全新的理解能量和物质交互的方式。
在量子力学中,能量的计算公式是非常重要的,它可以帮助我们理解和预测微观粒子的行为。
本文将介绍量子力学操控能量计算公式的基本原理和应用。
首先,让我们回顾一下经典物理学中的能量计算公式。
在经典物理学中,能量可以通过质量和速度的乘积来计算,即E=1/2mv^2。
这个公式描述了物体的动能,即由运动产生的能量。
然而,在微观世界中,粒子的行为并不总是遵循经典物理学的规律,因此我们需要量子力学来描述和计算微观粒子的能量。
在量子力学中,能量的计算公式可以通过薛定谔方程来推导。
薛定谔方程是量子力学中描述粒子波函数演化的基本方程,它可以用来计算粒子的能量和动力学行为。
薛定谔方程的一般形式为:HΨ = EΨ。
其中H是哈密顿算符,Ψ是波函数,E是能量。
哈密顿算符描述了粒子的动能和势能之间的相互作用,它可以通过经典力学中的动能和势能来推导得到。
波函数Ψ描述了粒子的位置和动量分布,它是描述粒子量子态的数学工具。
通过求解薛定谔方程,我们可以得到粒子的能量E和对应的波函数Ψ。
除了薛定谔方程,量子力学中还有许多其他描述能量的计算公式。
例如,能级和谐振子模型描述了原子和分子内部的能级结构和振动行为,它可以用来计算原子和分子的能级和光谱。
另外,量子力学中还有许多近似方法和数值计算技术,可以用来处理复杂系统的能量计算问题。
量子力学操控能量计算公式的应用非常广泛。
在材料科学中,我们可以利用量子力学计算方法来设计新型材料的能带结构和电子态密度,从而预测材料的电子传输和光学性质。
在化学反应动力学中,我们可以利用量子力学计算方法来模拟分子的能量面和反应路径,从而理解化学反应的机理和动力学行为。
在量子计算和量子通信中,我们可以利用量子力学的量子态叠加原理来实现量子比特的操控和信息传输,从而实现超高速和超安全的计算和通信。
总之,量子力学操控能量计算公式是描述微观世界中能量行为的重要工具,它可以帮助我们理解和预测微观粒子的行为。
普朗克函数反函数普朗克函数 (Planck function) 是物理学中一个用于描述热辐射的函数,它由德国物理学家普朗克 (Max Planck) 创立。
普朗克函数的反函数也是物理学研究中的一个重要部分。
一、普朗克函数的定义普朗克函数是指一个与温度,波长和辐射强度相关的函数。
它通常用于描述黑体辐射过程中的能量分布和辐射强度的密度。
普朗克函数被广泛地应用于天体物理学、气象学、空间科学、核物理学等领域,因为它能帮助科学家们更好地理解和解释物质的热量特性。
二、普朗克函数的特性普朗克函数被定义为:$$B(\nu, T) =\frac{2h\nu^3}{c^2}\cdot\frac{1}{e^{\frac{h\nu}{k_bT}}-1}$$其中,$B(\nu, T)$ 表示在温度为 $T$ 的黑体内,频率为 $\nu$ 的辐射强度密度,$h$ 表示普朗克常数,$c$ 表示光速,$k_b$ 表示玻尔兹曼常数。
普朗克函数有以下几个特点:1. 频率越高,辐射强度密度越大。
2. 在短波长处,普朗克函数函数值急剧上升,而且在极短波长处,函数值趋近于无穷大。
3. 随着温度的升高,普朗克函数曲线向短波长方向移动,且曲线最大值也会向短波长方向移动。
三、普朗克函数反函数的意义普朗克函数反函数,也称为辐射定律,是指一个从辐射强度密度到温度之间的关系式。
它是普朗克函数的逆运算,意义重大。
普朗克函数反函数的求解可以帮助我们在物理学领域中解决很多实际的问题。
例如,它可以被用来计算太阳辐射的温度、判断天体运动的情况等等。
四、普朗克函数反函数的公式普朗克函数反函数字面上的意思是一个可以将辐射强度密度转化为温度的函数。
它可以用下面这个公式进行求解:$$T = \frac{h\nu}{k_b{ln(\frac{2h\nu^3}{Ic^2}+1)}}$$其中,$T$ 表示温度,$I$ 表示辐射强度密度,$\nu$ 表示频率,$h$ 表示普朗克常数,$c$ 表示光速,$k_b$ 表示玻尔兹曼常数。
量子力学公式
量子力学中的一些常见公式包括:
1. 薛定谔方程式:描述了量子物理学的宏观世界,即微观粒子如何随着时间的推移而演变。
其一般形式为:iℏ∂Ψ/∂t=HΨ,其中i是虚数单位,ℏ是普
朗克常数的约化常数,Ψ是波函数,H是哈密顿算符。
2. 波粒二象性:描述了物质粒子的波动性质和粒子性质之间的相互作用关系。
其表达式为λ=h/p,其中λ是波长,h是普朗克常数,p是粒子的动量。
3. 测量理论:物理量的测量和观测结果有一定的概率性和不确定性。
测量理论采用概率统计的方法来描述这种不确定性。
最常见的公式是海森堡不确定性原理:ΔxΔp≥h/4π,其中Δx和Δp分别表示位置和动量的不确定度,h 是普朗克常数。
4. 费米-狄拉克统计和玻色-爱因斯坦统计:描述了物质粒子的统计行为。
费米-狄拉克统计用于描述费米子(如电子、质子等)的行为,玻色-爱因斯坦统计用于描述玻色子(如光子、声子等)的行为。
5. 波函数的复共轭:Ψ^(r,t)。
6. 归一化条件:∫Ψ(r,t)^2d3r=1。
7. 位置算符:x。
8. 动量算符:-iℏ∇。
9. 能量算符:iℏ∂/∂t。
10. 完备性条件:∫ψn^(r)ψm(r)d3r=δnm。
以上公式仅供参考,如需更准确的信息,建议查阅量子力学相关的书籍或咨询专业人士。
量子力学角动量公式量子力学中的角动量公式,就像是一把神奇的钥匙,能为我们打开微观世界的神秘大门。
在我们日常生活的宏观世界里,对于物体的转动和角动量的理解相对直观。
比如说,一个旋转的陀螺,我们能清楚地看到它的转动。
但在微观世界中,角动量的概念和表现可就大不相同啦。
咱先来说说量子力学角动量的基本公式:$J^2 = j(j + 1)\hbar^2$ 以及 $J_z = m_j\hbar$ 。
这里的 $j$ 代表角量子数,$m_j$ 则是磁量子数,而 $\hbar$ 是约化普朗克常数。
记得有一次,我给学生们讲解这个公式的时候,有个小家伙一脸迷茫地问我:“老师,这东西看不见摸不着的,学它有啥用啊?”我笑着跟他们说:“同学们,就好比你们在玩拼图,每一块拼图看起来没啥特别,但当它们都拼在一起,就能呈现出一幅完整美丽的画面。
量子力学的角动量公式也是这样,虽然单个看起来有点复杂和抽象,但当它和其他的知识结合起来,就能让我们理解原子、分子,甚至是整个微观世界的运行规律。
”那咱们再深入一点聊聊这个公式。
在量子力学里,角动量不再是像宏观世界那样连续变化的,而是离散的、量子化的。
这就好比上楼梯,你只能站在特定的台阶上,而不能处于两个台阶之间的位置。
比如说氢原子中的电子,它的角动量就遵循这些公式。
电子的状态不是随意的,而是由特定的角量子数和磁量子数决定。
这就决定了电子能处于哪些特定的轨道,从而影响着原子的化学性质和物理性质。
再举个例子,在研究晶体结构的时候,角动量公式也发挥着重要作用。
晶体中的原子或者离子的排列方式,与它们的角动量特性息息相关。
想象一下,我们就像是微观世界的探险家,而角动量公式就是我们手中的地图和指南针。
它指引着我们在这个充满神秘和奇妙的微观领域中前行,让我们能够揭示那些隐藏在微小尺度下的奥秘。
总之,量子力学角动量公式虽然看似复杂难懂,但它却是我们探索微观世界的有力工具。
只要我们用心去理解,去探索,就能发现它背后所蕴含的无尽奥秘和美妙。
海森堡公式海森堡公式是量子力学中的一个基本公式,由德国物理学家海森堡于1925年提出。
它描述了物理量的变化与时间的关系,是量子力学中的基本原理之一。
海森堡公式的数学表达是:ΔAΔB≥h/2π,其中ΔA和ΔB分别表示物理量A和B的不确定度,h为普朗克常数,π为圆周率。
这个公式表明,对于量子系统来说,无法同时精确地测量两个不对易的物理量,其不确定度存在一定的下限。
海森堡公式的提出,揭示了量子世界的基本规律,与经典物理学中的牛顿定律有着本质的区别。
在经典物理学中,我们可以精确地测量物体的位置和动量,这两个物理量是对易的。
而在量子力学中,海森堡公式告诉我们,对于量子粒子来说,位置和动量是不对易的,无法同时精确地测量。
海森堡公式的意义不仅仅在于揭示了物理量的测量限制,还为量子力学提供了一种全新的解释和理解方式。
根据海森堡公式,我们知道测量的过程会对系统产生干扰,从而使得测量结果不确定。
这一观点引发了著名的“测不准原理”,即测量的不确定性是量子力学的本质特征之一。
海森堡公式也为量子力学的发展提供了理论基础。
在实际应用中,海森堡公式可以用来推导各种物理量之间的关系,帮助我们理解和解释实验现象。
例如,在核物理中,海森堡公式可以用来推导能量和时间的不确定关系,从而解释核反应的过程。
除了在理论研究中的应用,海森堡公式在实际技术中也有重要的作用。
例如,在核磁共振成像技术中,海森堡公式可以用来解释和优化图像的分辨率。
通过调节测量的物理量,可以在一定程度上提高图像的清晰度。
海森堡公式是量子力学中的一个基本公式,揭示了物理量测量的不确定性,并为量子力学的发展提供了理论基础。
它不仅在理论研究中有重要应用,还在实际技术中发挥着重要作用。
通过深入理解和应用海森堡公式,我们可以更好地理解和解释量子世界的规律。
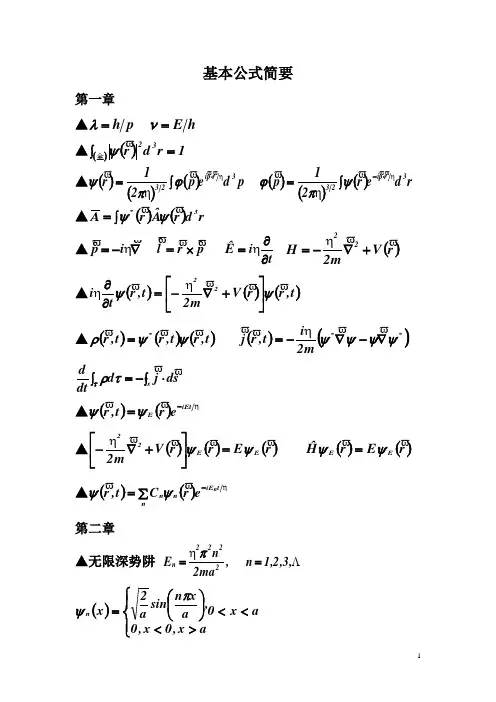
基本公式简要第一章▲p h =λ h E =ν▲()()1r d r 32=⎰全 ψ▲()()()p d e p 21r 3r p i 23 ⋅⎰=ϕπψ ()()()r d e r 21p 3r p i 23 ⋅-⎰=ψπϕ ▲()()r d r Aˆr A 3* ψψ⎰= ▲∇-= i p ˆ p ˆr l ˆ ⨯= t i E ˆ∂∂= ()r V m2H 22+∇-=▲()()()t ,r r V m 2t ,r ti 22ψψ⎥⎦⎤⎢⎣⎡+∇-=∂∂ ▲()()()t ,r t ,r t ,r *ψψρ= ()()**m2i t ,r j ψψψψ∇-∇-=⎰⋅-=⎰s s d j d dtdτρτ ▲()() iEt E e r t ,r -=ψψ▲()()()r E r r V m 2E E 22 ψψ=⎥⎦⎤⎢⎣⎡+∇- ()()r E r H ˆE E ψψ=▲()()t iE n nn n e r C t ,r -∑=ψψ第二章▲无限深势阱 ,3,2,1n ,ma2nE 2222n ==π()a x 0ax ,0x ,0,a x n sin a 2x n <<⎪⎩⎪⎨⎧><⎪⎭⎫ ⎝⎛=πψ▲方势垒的反射与透射反射系数=i r j j透射系数i t j j T =()E V ,E V m 200>-= κ1a >>κ,()()(),E V m 2a 2exp V E V E 16T 020 ---≈ ▲方势阱的反射,透射(),E V m 2k 0 +=',V E 1V E 4a k sin 1T 002⎥⎥⎥⎥⎦⎤⎢⎢⎢⎢⎣⎡⎪⎭⎫ ⎝⎛+'+= 共振透射 ,3,2,1n ,n a k =='π,1T =, ,3,2,1n ,ma2n V E 22220n =+-=π▲δ势()x ψ'的跃变条件 ()()()02002ψγψψm ='-'-+ δ势阱()()x x V γδ-= ()0>γ中的束缚态()LxeL 1x -=ψ222m Eγ-= γm L 2 =▲一维谐振子()22x 21x V μω=()ω 21+==n E E n ,,,2,1,0 =n()()x H e A x n 2x n n 22αψα-=,()()mnnmdx x x δψψ=⎰+∞∞-,()()()x x nnnψψ1-=-第三章▲[]αββαδ i p x =ˆ, [],x i x ,l ˆγαβγβαε =[]γαβγβαεp i p ,l ˆ= []γαβγβαεl ˆi l ˆ,l ˆ = ▲,i lˆz ϕ∂∂-= .sin 1sin sin 1l ˆ22222⎪⎪⎭⎫ ⎝⎛∂∂+∂∂∂∂-=ϕθθθθθ 222r 22222222222mr2lˆm 2p ˆmr 2l ˆr r r 1m 2mr 2l ˆr r r r 1m 2T ˆ +=+∂∂-=+∂∂∂∂-= 径向动量算符⎪⎭⎫⎝⎛+∂∂-=r r i p r 1ˆ▲1A ˆA ˆA ˆA ˆ11==-- ().BˆB ˆA ˆ111A ˆ---= ▲转置算符*A ˆd Aˆ~*d ψτϕϕτψ⎰=⎰,()~A ˆ~B ˆB ˆA ˆ~=. ▲Aˆ厄米共轭算符+A ˆ ()()ϕψϕψ,A ˆA ˆ,=+,*ˆ~ˆAA=+()++++=A B C AC B A ˆˆˆˆˆˆˆ ▲ 厄米算符()()ϕψϕψ,A ˆAˆ,=, 或AˆAˆ=+().,m n n m δψψ=▲力学量A ˆ涨落()()⎰-=-=τψψ∆d A A ˆA A ˆA 2*22▲ϕ∂∂-= i l ˆz本征函数()ϕπϕψim e 21=, ,2,1,0±±=mx i p x ∂∂-= ˆ 本征态()()x p i x p xxe x ''=πψ21x p ':+∞<'<∞-x p (连续变化) ()()()x x p *p p p dx x x xx''-'='+∞∞-'⎰δψψ()z 2l ,l的正交归一共同本征函数()()()()()()ϕθπϕθim m l mlm e cos P !m l !m l 41l 21,Y +-⋅+-=. lm Y 称为球谐函数,它们满足()lm 2lm 2Y 1l l Y l ˆ +=, ,Y m Y l ˆlm lm z = ,l ,1l ,,1l ,l m ,,2,1,0l -+--==,Y Y d sin d m m l l m l *lm20''''=⎰⎰δδθθϕππ▲不确定关系()()[]B ˆ,A ˆ21B A 22≥∆∆ []B ˆ,A ˆ21B A ≥∆∆ 2p x x ≥∆∆▲∑=αααψψa , ()ψψαα,a =▲()()xx ik 0e dk 21x x -∞+∞-⎰=-πδ,()()()()⎰='-''∞+∞-'-''x p p i x e d21p p πδ▲箱归一化LnhL n 2p p n ===π , ()Lnx i x ip p eL1e L 1x nnπψ==第四章▲()[]tAH ,A i 1t A dt d ∂∂+== ▲位力定理V r p m1T 22∇⋅==▲对称变换Q :I QQ Q Q ==++1Q Q -+=平移x δ的算符()[],p ˆx i exp x x exp x D x δδδ-=⎥⎦⎤⎢⎣⎡∂∂-=空间旋转δϕ算符()[],l ˆi exp exp R z δϕϕδϕδϕ-=⎥⎦⎤⎢⎣⎡∂∂= ▲ψψ+=ij P (ψ称为对称波函数) ψψ-=ij P (ψ称为反对称波函数)()()()()()[]()()(),q q P 121q q q q 21q ,q 2k 1k 121k 2k 2k 1k 21S k k 21212121ϕϕϕϕϕϕψ+=+=()()()()()[]()()()()()()().q q P 121q q q q 21q q q q 21q ,q 2k 1k 122k 1k 2k 1k 1k 2k 2k 1k 21Ak k 212211212121ϕϕϕϕϕϕϕϕϕϕψ-==-=第五章 ▲哈密顿量()()()r V r2l r r r 2r V r 2l 2p r V 2H 22222222r 22++∂∂-=++=+∇-=μμμμμ ▲能量本征方程:()ψψμμE r V r 2lr r r 222222=⎥⎦⎤⎢⎣⎡++∂∂- 径向波函数()r R l 满足的方程:()()()()()()0r R r 1l l r V E 2dr r dR r 2dr r R d l 22l 2l 2=⎪⎭⎫⎝⎛+--++ μ ()1l 2f l+=()()r r r R l l χ= ()()()()()0r r 1l l r V E 2r l 22l =⎪⎭⎫⎝⎛+--+"χμχ ▲质心运动()()R E R M2CT 2R 2φφ=∇-相对运动()()()C T 22E E E ,r E r r V 2-==⎥⎦⎤⎢⎣⎡+∇-ψψμ▲无限深球方势球 s 态()0l =: ()()()()0r r V E 2r l 2l =-+"χμχ(),000=χ().0a 0=χ (),2,1,0n ,a21n E r 22r 220n r =+=μπ()(),a r 0,ar 1n sin a 2r r 0n r ≤≤+=πχ ()[]1dr r 2a0n r =⎰χ0l ≠情况: ()(),a k ,r k j C r R l n l n l n l l n l n r r r r r ξ==球贝塞尔函数()()ρρπρ21l l J 2j +=()().dr r r R r R a 0n n 2R l n r r l r n r ⎰=''δ,,2,1,0n ,a2E r 2ln 22l n r r==ξμ ▲ 三维各向同性谐振子 ()22r 21x V μω=()()22r 2r ll n r ,23l ,n F er ~r R 22r αα+--().,2,1,0l ,n ,23N E E r N =+==ωl n 2N r +=()()2N 1N 21f N ++=▲ 氢原子 ()()ξξξ,2l 2,1l n F N r R 2l nl nl +++-=-e()()()ϕθϕθψ,Y r R ,,r lm nl nlm =,,3,2,1n ,n 1a 2e n12e E E 22224n =-=-==μ2n nf =径向概率密度()r P =()2nl r χ1n l -=,称为“圆轨道”:无节点0n r =.,nar n 1n ,n er --∝χ, 最可几半径n r :()21nn r -χ极大值所在的位置为,,3,2,1n ,a n r 2n ==[][] i ,i l ,z =∂∂-=ϕϕϕ绕z 轴的环电流密度2nlm sin r 1me j ψθμϕ -=磁矩m c 2m e M B z μμ-=-= c2e B μμ=1g l -≡l zg m M =若取c 2e μ为单位,则l zg m M =. 类氢离子()r Ze r V 2-= ,,3,2,1n ,nZ 2e E 2224n =-=μ径向波函数与氢原子径向波函数形式相同,只是将波尔半径a 换成Z a .。
量子计算精确计算公式量子计算是一种基于量子力学原理的计算模型,它利用量子比特的叠加和纠缠特性来进行计算,相比传统计算模型,量子计算具有更强的并行性和计算能力。
在量子计算中,精确计算公式是非常重要的,它可以帮助我们准确地描述量子系统的演化和性质。
本文将介绍一些常见的量子计算精确计算公式,并讨论它们在量子计算中的应用。
1. 薛定谔方程。
薛定谔方程是描述量子系统演化的基本方程,它可以用来计算量子系统的波函数随时间的演化。
薛定谔方程的一般形式为:iħ∂Ψ/∂t = HΨ。
其中,Ψ是系统的波函数,H是系统的哈密顿量,i是虚数单位,ħ是普朗克常数。
薛定谔方程可以精确地描述量子系统的演化,包括系统的能级结构、波函数随时间的演化等。
2. 波函数的归一化条件。
在量子力学中,波函数的归一化条件是非常重要的,它可以帮助我们确定量子系统的态。
波函数的归一化条件可以用来计算系统的概率分布,以及系统的平均性质。
波函数的归一化条件的一般形式为:∫|Ψ|²dV = 1。
其中,Ψ是系统的波函数,dV是系统的体积元。
波函数的归一化条件可以帮助我们确定系统的态,并计算系统的性质。
3. 哈密顿量的本征值方程。
在量子力学中,哈密顿量的本征值方程是描述系统能级结构的重要方程。
哈密顿量的本征值方程可以用来计算系统的能级和能级之间的跃迁。
哈密顿量的本征值方程的一般形式为:HΨ = EΨ。
其中,H是系统的哈密顿量,Ψ是系统的波函数,E是系统的能级。
哈密顿量的本征值方程可以帮助我们确定系统的能级结构,以及计算系统的能级。
4. Heisenberg不确定性原理。
Heisenberg不确定性原理是量子力学中的基本原理之一,它描述了位置和动量之间的不确定性关系。
Heisenberg不确定性原理可以用来计算系统的不确定性,以及系统的测量误差。
Heisenberg不确定性原理的一般形式为:ΔxΔp ≥ħ/2。
其中,Δx是位置的不确定性,Δp是动量的不确定性,ħ是普朗克常数。
普朗克常数公式(二)普朗克常数公式•描述普朗克常数(Planck’s constant),通常用符号h 表示,是一种基本的物理常数,用于量子力学领域的计算和描述。
它在量子力学中具有重要的作用,可用于计算粒子的能量和频率之间的关系。
•公式普朗克常数的数值为× 10^-34 J·s。
在公式中,普朗克常数用于计算光子的能量。
1.常规公式:E = hf•E:光子的能量•h:普朗克常数•f:光子的频率2.波长公式:E = hc/λ•E:光子的能量•h:普朗克常数•c:光速•λ:光子的波长•示例解释1.常规公式:E = hf•示例:如果一个光子的频率为2 × 10^15 Hz,利用该公式可以计算其能量。
•解释:将频率带入公式,E = ( × 10^-34 J·s) ×(2 × 10^15 Hz) = × 10^-18 J。
因此,该光子的能量为× 10^-18 J。
2.波长公式:E = hc/λ•示例:如果一个光子的波长为500 nm,利用该公式可以计算其能量。
•解释:将波长带入公式,E = ( × 10^-34 J·s) ×(3 × 10^8 m/s) / (500 × 10^-9 m) = × 10^-19J。
因此,该光子的能量为× 10^-19 J。
这些公式是普朗克常数在量子力学中的应用示例,它们帮助我们计算光子的能量和频率以及波长之间的关系。
普朗克常数在量子力学的研究中扮演着重要的角色,对于理解和描述微观世界的现象具有巨大的意义。
量子力学常用计算公式1. 哈密顿算符(Hamiltonian Operator)哈密顿算符在量子力学中用于描述系统的总能量。
它的一般形式为:H = K + V其中,K表示动能算符,V表示势能算符。
2. 薛定谔方程(Schrödinger Equation)薛定谔方程是量子力学的基本方程,描述了量子系统的时间演化。
其一维形式为:iℏ∂ψ/∂t = -ℏ^2/(2m) ∂^2ψ/∂x^2 + Vψ其中,i表示虚数单位,ℏ为约化普朗克常数,m为粒子的质量,ψ为波函数,V为势能。
3. 波函数归一化(Normalization of Wavefunction)波函数必须满足归一化条件,即在整个空间积分后等于1。
对一维情况而言,归一化条件表示为:∫|ψ|^2 dx = 14. 物理量期望值(Expectation Value of Physical Quantity)物理量的期望值表示在量子态中对该物理量进行测量得到的平均值。
对一个可观测量A而言,其期望值定义为:<E[A]> = ∫ψ*Aψ dx其中,A表示物理量算符,ψ为波函数,*表示复共轭。
5. 不确定度原理(Uncertainty Principle)不确定度原理描述了同时测量一对共轭物理量(如位置和动量)的限制。
其数学表达为:ΔxΔp >= ℏ/2其中,Δx表示位置测量精度,Δp表示动量测量精度,ℏ为约化普朗克常数。
6. 一维势阱(One-dimensional Potential Well)一维势阱是一个常见的量子力学模型,用于探讨粒子在势能为零或有限的区域内的行为。
在无穷深势阱中,粒子的波函数为定态波函数,表示为:ψ_n(x) = sqrt(2/L) * sin(nπx/L)其中,L表示势阱的长度,n为正整数。
7. 自旋(Spin)自旋是粒子的固有属性,在量子力学中用于描述粒子的角动量。
自旋算符的本征态表示自旋的量子态,常用的自旋算符包括Sx、Sy和Sz。
不确定量计算公式量子力学
量子力学是描述微观世界中粒子行为的物理学理论,它使用数
学公式来描述粒子的运动和性质。
其中一个重要的公式是不确定性
原理,由海森堡于1927年提出。
不确定性原理指出,无法同时准确
测量粒子的位置和动量,或者能量和时间。
数学上,不确定性原理
可以用数学公式表示为Δx Δp ≥ ħ/2,其中Δx代表位置的不
确定度,Δp代表动量的不确定度,而ħ是普朗克常数。
这个公式
表明,当我们试图减小对粒子位置的不确定度时,将会增加对其动
量的不确定度,反之亦然。
这个公式揭示了微观世界的一种固有的
不确定性,它对我们理解微观粒子行为的影响非常深远。
另一个重要的量子力学公式是薛定谔方程,由奥地利物理学家
薛定谔于1926年提出。
薛定谔方程描述了波函数随时间和空间的演化,它是量子力学的基本方程之一。
薛定谔方程可以写成一个偏微
分方程的形式,它提供了粒子的波函数如何随时间演化的数学描述。
薛定谔方程的解可以给出粒子的能级和波函数的形式,从而揭示了
微观粒子的行为规律。
除了以上提到的公式,量子力学还涉及到许多其他的数学公式,如哈密顿量、波函数的归一化条件、测量算符等等。
这些数学工具
和公式为我们理解微观世界提供了重要的数学框架,帮助我们揭示了微观粒子的奇特行为。
总的来说,量子力学的数学公式为我们提供了一种描述微观世界的强大工具,它们帮助我们理解了微观世界中粒子的行为规律,同时也引领着现代科学技术的发展。
相对论和量子力学的基本原理和公式相对论和量子力学是现代物理学两个最为重要的分支,分别探究了微观和宏观世界。
本文将从基本原理和公式的角度探讨这两个物理学分支的相关内容。
一、相对论的基本原理和公式相对论是阐述空间、时间、质量和能量之间相互关系的一种物理理论。
它是由爱因斯坦于1905年提出的,随后经过多次修正和扩充已经发展成为了一个完整的理论体系。
相对论的基本原理有两个:相对性原理和光速不变原理。
相对性原理认为,一切物理现象是相对的,即不同惯性系中的物理现象是等效的;而光速不变原理则指光速在任何惯性系中都保持不变。
这两个原理构成了相对论理论最核心的基础。
相对论的公式中最为著名的是相对论质能公式 E=mc²,其中 E表示物体的能量,m 表示物体的质量,c 表示光速。
这个公式表明,物体的质量和能量是相互转化的,并且质量越大,需要的能量越大。
相对论还有两个著名的公式——洛伦兹变换和质心公式。
洛伦兹变换是用来描述不同惯性系之间时空坐标的转换关系的公式,它是相对论的基本工具之一。
质心公式则描述了两个物体在碰撞之后合并形成的质心的质量和速度。
二、量子力学的基本原理和公式量子力学是描述微观世界规律的一种物理理论。
它是基于光子、电子等微观粒子的运动规律和量子现象而建立的。
量子力学的基本原理有三个:波粒二象性、不确定性原理和超越性原理。
波粒二象性指微观粒子既有粒子的特征,也有波动的特征。
不确定性原理则描述了测量微观粒子时会产生的测量误差以及对系统状态的影响,它反映了微观粒子性质难以确定的本质。
超越性原理则指微观粒子之间具有纠缠和跨越现象,即两个粒子之间的状态可以不受时空距离的限制而相互影响。
量子力学中的公式比较多,其中最为基础的是薛定谔方程。
薛定谔方程描述了系统的波函数随时间的演化。
根据薛定谔方程可以得到能量本征值以及波函数。
波函数描述了系统的粒子在不同位置处的概率分布。
另外,量子力学还有一些著名的公式,如海森堡不等式、波浪方程以及波粒对偶等。
量子力学十大物理公式量子力学是现代物理学中的重要分支,描述微观粒子行为的理论框架。
它通过一系列的数学公式来表达和解释微观世界的现象。
下面将介绍十大量子力学公式,带您一窥量子世界的奥秘。
一、薛定谔方程薛定谔方程是量子力学的基本方程,描述了量子体系的时间演化。
它以波函数Ψ为核心,通过偏微分方程形式表达。
薛定谔方程揭示了微观粒子的波粒二象性,以及它们在不同势场下的行为。
二、不确定关系不确定关系是由海森堡提出的,表明了位置和动量、能量和时间等物理量之间的测量不确定性。
不确定关系揭示了量子世界的测量困难和观测的局限性,深刻影响了我们对微观粒子的认识。
三、波粒二象性波粒二象性揭示了微观粒子既具有粒子性又具有波动性的特征。
它由德布罗意关系给出,表明了微观粒子的动量与波长之间的关系。
波粒二象性是量子力学的核心概念之一,对于解释干涉、衍射等现象具有重要意义。
四、量子力学的统计解释量子力学的统计解释是由波尔和狄拉克等提出的一种解释方法,用概率的形式描述微观粒子的行为。
它通过密度矩阵、统计算符等工具,描述了微观粒子的集体行为和统计规律。
五、量子力学的测量理论量子力学的测量理论描述了在测量微观粒子时,测量结果的统计规律和可能的扰动。
它通过投影算符、本征值等概念,给出了测量算符的表达和测量结果的概率分布。
六、量子力学的变分原理量子力学的变分原理是通过变分法求解薛定谔方程的一种方法。
它通过最小化能量泛函,得到精确的波函数和能量本征值。
变分原理在量子化学、固体物理等领域有广泛应用。
七、量子力学的量子力学力学守恒定律量子力学的力学守恒定律描述了微观粒子的动量、角动量和能量等守恒规律。
它通过对应的算符和守恒量的对易关系,给出了守恒定律的数学表达。
八、量子力学的微扰理论量子力学的微扰理论是处理微观粒子在外界扰动下的行为的一种方法。
它通过对薛定谔方程引入微扰项,展开波函数的级数解,得到微扰态的修正。
微扰理论在原子物理、核物理等领域有广泛应用。
薛定谔方程公式
薛定谔方程公式:c1+c2=1c2。
薛定谔方程,又称薛定谔波动方程,是由奥地利物理学家薛定谔提出的量子力学中的一个基本方程,也是量子力学的一个基本假定。
量子力学,为物理学理论,是研究物质世界微观粒子运动规律的物理学分支,主要研究原子、分子、凝聚态物质,以及原子核和基本粒子的结构、性质的基础理论。
它与相对论一起构成现代物理学的理论基础。
量子力学不仅是现代物理学的基础理论之一,而且在化学等学科和许多近代技术中得到广泛应用。