数学期望及其性质共15页
- 格式:ppt
- 大小:1.26 MB
- 文档页数:15
均值、方差和协方差的定义和基本性质1 数学期望(均值)的定义和性质定义:设离散型随机变量X 的分布律为{}, 1,2,k k P X x p k === 若级数1k k k xp ∞=∑绝对收敛,则称级数1k k k xp ∞=∑的和为随机变量X 的数学期望,记为()E X 。
即()1k k k E X x p ∞==∑。
设连续型随机变量X 的概率密度为()f x ,若积分()xf x dx ∞−∞⎰ 绝对收敛,则称积分()xf x dx ∞−∞⎰的值为随机变量X 的数学期望,记为()E X 。
即 ()()E X xf x dx ∞−∞=⎰ 数学期望简称期望,又称为均值。
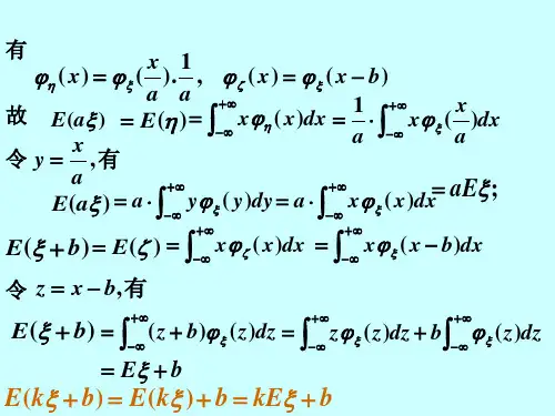
性质:下面给出数学期望的几个重要的性质(1)设C 是常数,则有()E C C =;(2)设X 是一个随机变量,C 是常数,则有()()E CX CE X =;(3)设X 和Y 是两个随机变量,则有()()()E X Y E X E Y +=+,这一性质可以推广至任意有限个随机变量之和的情况;(4)设X 和Y 是相互独立的随机变量,则有()()()E XY E X E Y =。
2 方差的定义和性质定义:设X 是一个随机变量,若(){}2E X E X −⎡⎤⎣⎦存在,则称(){}2E X E X −⎡⎤⎣⎦为X的方差,记为()D X 或()Var X ,即性质:下面给出方差的几个重要性质(1)设C 是常数,则有()0D C =;(2)设X 是一个随机变量,C 是常数,则有()()2D CX C D X =,()()D X C D X +=;(3)设X 和Y 是两个随机变量,则有()()()()()()(){}2D X Y D X D Y E X E X Y E Y +=++−−特别地,若X 和Y 相互独立,则有()()()D X Y D X D Y +=+ (4)()0D X =的充分必要条件是以概率1取常数()E X ,即(){}1P X E X ==。