函数的周期性 经典例题
- 格式:doc
- 大小:232.50 KB
- 文档页数:5
函数的周期性练习题函数是数学中的重要概念之一,它描述了输入和输出之间的对应关系。
在数学中,周期性函数是一类特殊的函数,它们具有周期性的特征。
本文将为大家介绍一些与函数周期性相关的练习题,以帮助大家更好地理解和应用函数的周期性。
练习题1:正弦函数的周期性考虑函数y = sin(x)。
我们知道正弦函数是一个周期为2π的函数,即在区间[0, 2π]内完整地重复自身。
请回答以下问题:1. 在区间[0, π]内,sin(x)的取值范围是多少?2. 在区间[π, 2π]内,sin(x)的取值范围是多少?3. 在区间[0, 4π]内,sin(x)的取值范围是多少?4. 在区间[0, 8π]内,sin(x)的取值范围是多少?练习题2:余弦函数的周期性考虑函数y = cos(x)。
余弦函数也是一个周期为2π的函数,它与正弦函数在图像上有类似的特点。
请回答以下问题:1. 在区间[0, π]内,cos(x)的取值范围是多少?2. 在区间[π, 2π]内,cos(x)的取值范围是多少?3. 在区间[0, 4π]内,cos(x)的取值范围是多少?4. 在区间[0, 8π]内,cos(x)的取值范围是多少?练习题3:周期性函数的图像变换现在考虑函数y = sin(x) + 1。
这个函数是对正弦函数进行了图像上的平移。
请回答以下问题:1. 在区间[0, 2π]内,sin(x) + 1的取值范围是多少?2. 在区间[0, 4π]内,sin(x) + 1的取值范围是多少?3. 在区间[0, 8π]内,sin(x) + 1的取值范围是多少?练习题4:周期性函数的复合考虑函数y = sin(2x)。
这个函数是对正弦函数进行了图像上的压缩。
请回答以下问题:1. 在区间[0, π]内,sin(2x)的取值范围是多少?2. 在区间[0, 2π]内,sin(2x)的取值范围是多少?3. 在区间[0, 4π]内,sin(2x)的取值范围是多少?练习题5:周期性函数的复合和平移考虑函数y = cos(2x - π)。
f x-【详解】(2由条件可知函数在区间)(252f=函数在区间[0,4C .(sin)(cos )33f f ππ> D .33(sin )(cos )22f f >【答案】B 【解析】因为()()2f x f x =+,所以()f x 周期为2,因为当[]3,4x ∈时, ()2f x x =-单调递增,所以[]()1,0?,x f x 时∈- 单调递增,因为()f x 偶函数,所以[]()0,1,x f x ∈时 单调递减,因为110sin cos 122<<<,1sin1cos10,>>> 1> sin cos 033ππ>>,331sin cos 022>>> 所以11sin cos 22f f ⎛⎫⎛⎫> ⎪ ⎪⎝⎭⎝⎭, ()()sin1cos1f f <, sin cos 33f f ππ⎛⎫⎛⎫<⎪ ⎪⎝⎭⎝⎭ ,33sin cos 22f f ⎛⎫⎛⎫< ⎪ ⎪⎝⎭⎝⎭.6.已知()f x 是在R 上的奇函数,满足()()2f x f x =-,且[]0,1x ∈时,函数()21x f x =-,函数()()log (1)a g x f x x a =->恰有3个零点,则a 的取值范围是( )A .10,9⎛⎫ ⎪⎝⎭B .11,95⎛⎫ ⎪⎝⎭C .()1,5D .()5,9【答案】D【解析】由题得,令()log ah x x =,定义域为0x >,()()log (1)a g x f x x a =->恰有3个零点,即()f x 和()h x 的图像在定义域内有3个交点,()(2)(2)[2(2)](4)(4)f x f x f x f x f x f x =-=--=---=--=-,故函数()f x 的一个周期是4,又[]0,1x ∈时,函数()21x f x =-,且图像关于轴x=1对称,由此可做出函数(),()f x h x 图像如图,若两个函数有3个交点,则有log 51log 91a a <⎧⎨>⎩,解得59a <<,则a 的取值范围是(5,9).7.已知函数()y f x =的定义域为R ,且满足下列三个条件:∵任意[]12,4,8x x ∈,当12x x <时,都有。
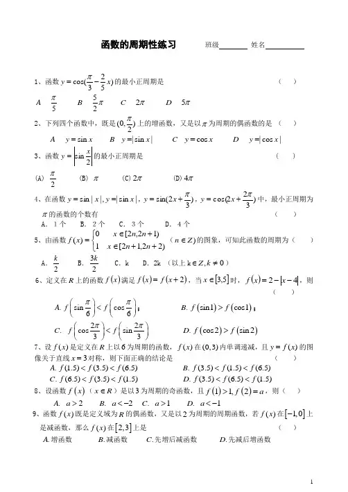
函数的周期性练习 班级 姓名1、函数2cos()35y x π=-的最小正周期是 ( )A5π B 52π C 2π D 5π 2、下列四个函数中,既是(0,)2π上的增函数,又是以π为周期的偶函数的是 ( ) A sin y x = B |sin |y x = C cos y x = D |cos |y x =3、函数2sin x y =的最小正周期是 ( ) (A) 2π (B) π (C)π2 (D)π4 4、在函数|sin ||,|sin x y x y ==,)32sin(π+=x y ,)322cos(π+=x y 中,最小正周期为π的函数的个数有 ( ) A .1个 B .2个 C .3个 D .4个5、由函数⎩⎨⎧++∈+∈=)22,12[1)12,2[0)(n n x n n x x f ()Z n ∈的图象,可知此函数的周期为( ) A .2k B .23k C .k D .2k (以上k 0,≠∈k Z ) 6、定义在R 上的函数()x f 满足()()2+=x f x f ,当[]5,3∈x 时,()42--=x x f ,则( ).A sin cos 66f f ππ⎛⎫⎛⎫< ⎪ ⎪⎝⎭⎝⎭; .B ()()sin1cos1f f >; .C 22cos sin 33f f ππ⎛⎫⎛⎫< ⎪ ⎪⎝⎭⎝⎭ .D ()()cos2sin2f f > 7、设()f x 是定义在R 上以6为周期的函数,()f x 在(0,3)内单调递减,且()y f x =的图像关于直线3x =对称,则下面正确的结论是 ( ) .A (1.5)(3.5)(6.5)f f f << .B (3.5)(1.5)(6.5)f f f << .C (6.5)(3.5)(1.5)f f f << .D (3.5)(6.5)(1.5)f f f << 8、设函数()f x (x R ∈)是以3为周期的奇函数,且()()11,2f f a >=,则( ) .A 2a > .B 2a <- .C 1a > .D 1a <-9、函数()f x 既是定义域为R 的偶函数,又是以2为周期的周期函数,若()f x 在[]1,0-上 是减函数,那么()f x 在[]2,3上是 ( ) .A 增函数 .B 减函数 .C 先增后减函数 .D 先减后增函数10、已知函数()f x 是以2为周期的周期函数,且当()0,1x ∈时,()21x f x =-,则 2(log 10)f 的值为 ( ).A 35 .B 85 .C 38- .D 53 11、定义在R 上的函数)(x f 既是偶函数又是周期函数,若)(x f 的最小正周期是π,且当]2,0[π∈x 时,x x f sin )(=,则)35(πf 的值为 ( ) .A 21- .B 21 .C 23- .D 23 12、已知定义在R 上的奇函数()f x 满足(2)()f x f x +=-,则(6)f 的值为 ( ) .A 1- .B 0 .C 1 .D 213、若函数()f x 满足(1)()f x f x -=,则函数()y f x =的一个周期是______________.14、若函数cos()(0)6y x πωω=->最小正周期为5π,则ω= . 15、已知函数)34sin()(π+=x k x f 的周期不大于2,则正整数k 的最小值是_______. 16、若存在常数0p >,使得函数()f x 满足()()2p f px f px =-()x R ∈, ()f x 的一个正周期为17、已知)(x f 是奇函数,)(1)(1)1(x f x f x f -+=+,,1)1(=-f 则)3(f =____________. 18、函数()f x 对于任意实数x 满足条件()()12f x f x +=,若()15f =-, 则()()5f f =19、设()f x 的最小正周期2T =且()f x 为偶函数,它在区间[]0,1上的图象如右图所示的线段AB ,则在区间[]1,2上, ()f x =。
第15课 函数的周期性◇考纲解读掌握周期函数的定义及最小正周期的意义.◇知识梳理对于函数()x f ,存在非0常数T ,使得对于其定义域内总有()()x f T x f =+,则称的常数T 为函数的周期.1.周期函数的定义:对于函数()x f ,存在非0常数T ,使得对于其定义域内总有()()x f T x f =+,则称的常数_____为函数的周期.2.周期函数的性质:① ()()x f T x f =+()f x ⇒的周期为_____;②()()()x f x f a x f ⇒-=+的周期为_____;③如()()()x f x f a x f ⇒=+1的周期为_____; ④()()()x f x f a x f ⇒-=+1的周期为_____; ⑤()()()1()1f x f x a f x f x -+=⇒+的周期为_____; ⑥()()()1()1f x f x a f x f x ++=⇒-的周期为_____; ⑦()()()f x a f x b f x +=+⇒的周期为_____;⑧如果奇函数()y f x =满足()()f a x f a x +=-()f x ⇒的周期为_____;⑨如果偶函数()y f x =满足()()f a x f a x +=-()f x ⇒的周期为_____;◇基础训练1.设f (x )是定义在R 上最小正周期为T 的函数,则f (2x +3)是( )A.最小正周期为T 的函数B.最小正周期为2T 的函数C.最小正周期为2T 的函数 D.不是周期函数 2. 设函数()f x (x R ∈)是以3为周期的奇函数,且()()11,2,f f a >=则( )A. a >2B. a <-2C. a >1D. a <-13.(2006山东)已知定义在R 上的奇函数f (x )满足f (x+2)=-f (x ),则,f (6)的值为 ( )A.-1B.0C. 1D.24.(2007深圳一模)函数f (x )是定义域为R 的偶函数,又是以2为周期的周期函数.若f (x )在[-1,0]上是减函数,那么f (x )在[2,3]上是( )A.增函数B.减函数C.先增后减的函数D.先减后增的函数 ◇典型例题例1. (安徽卷)函数()f x 对于任意实数x 满足条件()()12f x f x +=,若()15,f =-则()()5f f =__________例2. 已知函数()y f x =是定义在R 上的周期函数,周期5T =,函数()(11)y f x x =-≤≤是奇函数又知()y f x =在[0,1]上是一次函数,在[1,4]上是二次函数,且在2x =时函数取得最小值5-①证明:(1)(4)0f f +=;②求(),[1,4]y f x x =∈的解析式◇能力提升1.已知定义在R 上的函数)(x f 是偶函数,对2)3()2()2( -=--=+∈f x f x f R x ,当有都时,)2007(f 的值为( )A .2B .4C .-2D .-42.(2007安徽)定义在R 上的函数)(x f 既是奇函数,又是周期函数,T 是它的一个正周期.若将方程0)(=x f 在闭区间][T T ,-上的根的个数记为n ,则n 可能为( )A.0B.1C.3D.5 3 .(2008珠海质检理)定义在R 上的奇函数)(x f 满足:对于任意,(3)()x R f x f x ∈+=-有,若(1)2f =,(5)f =则 ____.4.(2008中山一模)设定义在R 上的偶函数f (x )满足f (x +1)+f (x )=1,且当x ∈[1,2]时,f (x )=2-x ,则)5.2004(-f =_______.5.(2007广州二模)已知函数)x (f 满足1(x)(1)2,(x 1)1(x)f f f f +=+=-,则(3)f 的值为_________, (1)(2)(3)(2007)f f f f ⋅⋅⋅⋅的值为_____________. 6.(2007北京海淀) 设函数()f x 是定义在R 上的奇函数,在1,12上单调递增,且满足()(1)f x f x ,给出下列结论:①(1)0f ;②函数()f x 的周期是2;③函数()f x 在1,02上单调递增; ④函数(1)f x 是奇函数.其中正确的命题的序号是 .第15课 函数的周期性◇知识梳理1.T .2.① T ;②a 2;③a 2;④2a ;⑤2a ;⑥a 4;⑦a b -;⑧a 4;⑨2a ; ◇基础训练1. C ,2. D ,3. B ,4. A .◇典型例题例1.解:由()()12f x f x +=得()()14()2f x f x f x +==+,所以(5)(1)5f f ==-,则()()115(5)(1)(12)5f f f f f =-=-==--+。
函数的周期性--经典例题函数的周期性周期函数的定义:对于函数f (x ),存在非0常数T ,使得对于其定义域内总有f (x +T )=f (x ),则称的常数T 为函数的周期。
周期函数的性质:1、f (x )=f (x +a ),则y =f (x )是以T =a 为周期的周期函数;2、若函数y=f(x)满足f(x+a)=-f(x)(a>0),则f(x)为周期函数且2a 是它的一个周期。
3、若函数f (x +a )=f (x -a ),则f (x )是以T =2a 为周期的周期函数4、y=f(x)满足f(x+a)=个周期。
5、若函数y=f(x)满足f(x+a)=是它的一个周期。
6、f (x +a )=1-f (x ),则f (x )是以T =2a 为周期的周期函数.1+f (x )-1(a>0),则f (x )1f (x )(a>0),则f(x)为周期函数且2a 是它的一f(x)为周期函数且2a7、f (x +a )=-1+f (x )1-f (x ),则f (x )是以T =4a 为周期的周期函数.8、若函数y=f(x)的图像关于直线x=a,x=b(b>a)都对称,则f(x)为周期函数且2(b-a )是它的一个周期。
9、函数y =f (x )(x ∈R )的图象关于两点A (a ,y 0)、B (b ,y 0)(a <b )都对称,则函数f (x )是以2(b -a )为周期的周期函数;10、函数y =f (x )(x ∈R )的图象关于A (a ,y 0)和直线x =b (a <b )都对称,则函数f (x )是以4(b -a )为周期的周期函数;11、若偶函数y=f(x)的图像关于直线x=a 对称,则f(x)为周期函数且2a 是它的一个周期。
12、若奇函数y=f(x)的图像关于直线x=a 对称,则f(x)为周期函数且4a 是它的一个周期。
13、若函数y=f(x)满足f(x)=f(x-a)+f(x+a)(a>0),则f(x)为周期函数,6a 是它的一个周期。
函数的周期性、对称性一、单选题1.(2023·全国·高三专题练习)已知函数f x =x -e 2+ln ex e -x ,若f e 2020 +f 2e2020+⋅⋅⋅+f 2018e 2020 +f 2019e 2020 =20192a +b ,其中b >0,则12a+a b 的最小值为()A.34B.54C.2D.22【答案】A【解析】因为f x =x -e 2+ln exe -x,所以f x +f e -x =x -e 2+ln ex e -x +(e -x )-e2+ln e (e -x )e -(e -x )=lnex e -x +ln e (e -x )x =ln exe -x ⋅e (e -x )x=ln e 2=2,令S =f e 2020 +f 2e 2020 +⋅⋅⋅+f 2018e 2020 +f 2019e2020 则2S =f e 2020 +f 2019e 2020 +f 2e 2020 +f 2018e 2020 +⋅⋅⋅+f 2019e 2020 +f e2020 =2×2019所以S =2019所以20192a +b =2019,所以a +b =2,其中b >0,则a =2-b .当a >0时12|a |+|a |b =12a +2-b b =12a +2b -1=12a +2b ⋅(a +b )2-1=1252+b 2a +2a b-1≥1252+2b 2a ⋅2a b -1=54当且仅当b 2a =2a b, 即 a =23,b =43 时等号成立;当a <0时 12|a |+|a |b =1-2a +-a b =1-2a +b -2b =1-2a +-2b +1=121-2a +-2b ⋅(a +b )+1=12-52+b -2a +-2ab +1≥12-52+2b -2a ⋅-2a b +1=34,当且仅当 b -2a =-2a b, 即 a =-2,b =4 时等号成立;因为34<54,所以12|a |+|a |b 的最小值为34.故选:A .2.(2023春·重庆·高三统考阶段练习)已知函数f (x )=ln x 2+1-x +1,正实数a ,b 满足f (2a )+f (b -4)=2,则4b a +a2ab +b 2的最小值为( )A.1B.2C.4D.658【答案】B【解析】f x +f -x =ln x 2+1-x +1+ln x 2+1+x +1=2,故函数f x 关于0,1 对称,又f x 在R 上严格递增;f (2a )+f (b -4)=2,∴2a +b -4=0即2a +b =4.4b a +a 2ab +b 2=4b a +a b 2a +b =4b a +a4b ≥24b a ⋅a 4b=2.当且仅当a =169,b =49时取得.故选:B .3.(2023·全国·高三专题练习)已知函数f x 的定义域为R ,f 2x +2 为偶函数,f x +1 为奇函数,且当x ∈0,1 时,f x =ax +b .若f 4 =1,则3i =1f i +12=( )A.12B.0C.-12D.-1【答案】C【解析】因为f 2x +2 为偶函数,所以f -2x +2 =f 2x +2 ,用12x +12代替x 得:f -x +1 =f x +3 ,因为f x +1 为奇函数,所以f -x +1 =-f x +1 ,故f x +3 =-f x +1 ①,用x +2代替x 得:f x +5 =-f x +3 ②,由①② 得:f x +5 =f x +1 ,所以函数f x 的周期T =4,所以f 4 =f 0 =1,即b =1,因为f -x +1 =-f x +1 ,令x =0得:f 1 =-f 1 ,故f 1 =0,f 1 =a +b =0,解得:a =-1,所以x ∈0,1 时,f x =-x +1,因为f -x +1 =-f x +1 ,令x =12,得f 12 =-f 32 ,其中f 12 =-12+1=12,所以f 32 =-12,因为f -2x +2 =f 2x +2 ,令x =14得:f -2×14+2 =f 2×14+2 ,即f 32 =f 52 =-12,因为T=4,所以f 72 =f72-4=f-12,因为f-x+1=-f x+1,令x=32得:f-12=-f52 =12,故f 72 =12,3 i=1fi+12=f32 +f52 +f72 =-12-12+12=-12.故选:C4.(2023·四川资阳·统考模拟预测)已知函数f x 的定义域为R,f x-2为偶函数,f x-2+f-x=0,当x∈-2,-1时,f x =1a x-ax-4(a>0且a≠1),且f-2=4.则13k=1f k=( )A.16B.20C.24D.28【答案】C【解析】因为f x-2是偶函数,所以f-x-2=f(x-2),所以f(x)=f(-x-4),所以函数f(x)关于直线x=-2对称,又因为f x-2+f-x=0,所以-f x-2=f-x,所以f(x)=-f(-x-2),所以f(x)关于点(-1,0)中心对称,由f(x)=f(-x-4)及f(x)=-f(-x-2)得f(-x-4)=-f(-x-2)所以f(-x-4)=-f(-x-2)=f(-x)所以函数f(x)的周期为4,因为当x∈-2,-1时,f x =1a x-ax-4(a>0且a≠1),且f-2=4,所以4=1a-2+2a-4,解得:a=2或a=-4,因为a>0且a≠1,所以a=2.所以当x∈-2,-1时,f x =12x-2x-4,所以f(-2)=4,f(-1)=0,f(-3)=f(-1)=0,f(0)=-f(-2)=-4,f(1)=f(1-4)=f(-3)=0,f(2)=f(-2)=4,f(3)=f(-1)=0,f(4)=f(0)=-4,所以f(1)+f(2)+f(3)+f(4)=8,所以13k=1f k=f(1)+3×8=24,故选:C.5.(2023·全国·高三专题练习)已知函数f(x),g(x)的定义域均为R,且f(x)+g(2-x)=5,g(x)-f(x-4)=7.若y=g(x)的图像关于直线x=2对称,g(2)=4,则22k=1f k =( )A.-21B.-22C.-23D.-24【答案】D【解析】因为y =g (x )的图像关于直线x =2对称,所以g 2-x =g x +2 ,因为g (x )-f (x -4)=7,所以g (x +2)-f (x -2)=7,即g (x +2)=7+f (x -2),因为f (x )+g (2-x )=5,所以f (x )+g (x +2)=5,代入得f (x )+7+f (x -2) =5,即f (x )+f (x -2)=-2,所以f 3 +f 5 +⋯+f 21 =-2 ×5=-10,f 4 +f 6 +⋯+f 22 =-2 ×5=-10.因为f (x )+g (2-x )=5,所以f (0)+g (2)=5,即f 0 =1,所以f (2)=-2-f 0 =-3.因为g (x )-f (x -4)=7,所以g (x +4)-f (x )=7,又因为f (x )+g (2-x )=5,联立得,g 2-x +g x +4 =12,所以y =g (x )的图像关于点3,6 中心对称,因为函数g (x )的定义域为R ,所以g 3 =6因为f (x )+g (x +2)=5,所以f 1 =5-g 3 =-1.所以∑22k =1f (k )=f 1 +f 2 +f 3 +f 5 +⋯+f 21 +f 4 +f 6 +⋯+f 22 =-1-3-10-10=-24.故选:D6.(2023·全国·高三专题练习)设函数f x =x 3+ax 2+bx +2a ,b ∈R ,若f 2+x +f 2-x =8,则下列不等式正确的是( )A.f e +f 32>8 B.f e +f 2-3 >8C.f ln7 +f 2+3 >8 D.f ln5 +f 3ln2 <8【答案】C【解析】由题(2+x )3+a (2+x )2+b (2+x )+2+(2-x )3+a (2-x )2+b (2-x )+2=8,化简整理得(6+a )x 2+2(2a +b +3)=0,于是6+a =0,2a +b +3=0⇒a =-6,b =9,所以f (x )=x 3-6x 2+9x +2,进而f (x )=3x 2-12x +9=3(x -1)(x -3),据此,f (x )在(-∞,1),(3,+∞)上单调递增,f (x )在(1,3)上单调递减,因为f (2+x )+f (2-x )=8,即f (x )+f (4-x )=8.对于A ,由f (e )+f (4-e )=8,又1<4-e <32<3,所以f (4-e )>f 32,即f (e )+f 32<8,故A 错误;对于B ,f (2-3)=(2-3)3-6(2-3)2+9(2-3)+2=4,因为1<2<e<3,所以f(2)>f(e),而f(2)=23-6×22+9×2+2=4,所以f(e)+f(2-3)<8,故B错误;对于C,f(2+3)=(2+3)3-6(2+3)2+9(2+3)+2=4,而1<ln7<2,所以f(ln7)>f(2)=4,所以f(ln7)+f(2+3)>8,故C正确;对于D,由f(ln5)+f(4-ln5)=8,因为1<3ln2<4-ln5<3,所以f(3ln2)>f(4-ln5),所以f(ln5)+f(3ln2)>8,故D错误.故选:C.7.(2023·全国·高三专题练习)定义在R上的奇函数f x 满足f2-x=f x ,且在0,1上单调递减,若方程f x =-1在0,1上所有实根之和是( )上有实数根,则方程f x =1在区间-1,11A.30B.14C.12D.6【答案】A【解析】由f2-x=f x 知函数f x 的图象关于直线x=1对称,∵f2-x=f x ,f x 是R上的奇函数,∴f-x=f x+2=-f x ,∴f x+4=f x ,∴f x 的周期为4,考虑f x 的一个周期,例如-1,3,由f x 在0,1上是增函数,上是减函数知f x 在1,2f x 在-1,0上是减函数,f x 在2,3上是增函数,对于奇函数f x 有f0 =0,f2 =f2-2=f0 =0,故当x∈0,1时,f x <f2 =0,时,f x <f0 =0,当x∈1,2当x∈-1,0时,f x >f0 =0,当x∈2,3时,f x >f2 =0,方程f x =-1在0,1上有实数根,则这实数根是唯一的,因为f x 在0,1上是单调函数,则由于f2-x上有唯一实数,=f x ,故方程f x =-1在1,2在-1,0上f x >0,和2,3则方程f x =-1在-1,0上没有实数根,和2,3从而方程f x =-1在一个周期内有且仅有两个实数根,当x∈-1,3,方程f x =-1的两实数根之和为x+2-x=2,当x∈-1,11,方程f x =-1的所有6个实数根之和为x+2-x+4+x+4+2-x+x+8+2-x+8=2+8+2+8+2+8=30.故选:A.8.(2023·全国·高三专题练习)对于三次函数f x =ax3+bx2+cx+d a≠0,给出定义:设f'x 是函数y=f x 的导数,f″x 是f'x 的导数,若方程f″x =0有实数解x0,则称点x0,f x0为函数y =f x 的“拐点”.经过探究发现:任何一个三次函数都有“拐点”;任何一个三次函数都有对称中心,且“拐点”就是对称中心.设函数g x =13x3-12x2+3x-512,则g12019+g22019+⋯+g20182019=( )A.2016B.2017C.2018D.2019【答案】C【解析】函数g x =13x3-12x2+3x-512,函数的导数g'x =x2-x+3,g'x =2x-1,由g'x0=0得2x0-1=0,解得x0=12,而g12 =1,故函数g x 关于点12,1对称,∴g x +g1-x=2,故设g12019+g22019+...+g20182019=m,则g20182019+g20172019+...+g12019=m,两式相加得2×2018=2m,则m=2018,故选C.9.(2023春·云南曲靖·高三曲靖一中校考阶段练习)定义在R上的函数f x 满足f-x+f x =0 ,f x =f2-x,且当x∈0,1时,f x =x2.则函数y=7f x -x+2的所有零点之和为( ) A.7 B.14 C.21 D.28【答案】B【解析】依题意,f x 是奇函数.又由f x =f2-x知,f x 的图像关于x=1对称.f x+4=f1+x+3=f1-x+3=f-2-x=-f2+x=-f2--x=-f-x=f x ,所以f x 是周期为4的周期函数.f2+x=f1+1+x=f1-1+x=f-x=-f x =-f2-x,所以f x 关于点2,0对称.由于y=7f x -x+2=0⇔f x =x-2 7从而函数y=7f x -x+2的所有零点之和即为函数f x 与g x =x-27的图像的交点的横坐标之和.而函数g x =x-27的图像也关于点2,0对称.画出y=f x ,g x =x-27的图象如图所示.由图可知,共有7个交点,所以函数y=7f x -x+2所有零点和为7×2=14.故选:B10.(2023·全国·高三专题练习)已知定义在R上的可导函数f x 的导函数为f (x),满足f (x)<f(x)且f x+3为偶函数,f(x+1)为奇函数,若f(9)+f(8)=1,则不等式f x <e x的解集为( )A.-3,+∞B.1,+∞C.(0,+∞)D.6,+∞【答案】C【解析】因为f x+3为偶函数,f(x+1)为奇函数,所以f x+3=f-x+3,f(x+1)+f(-x+1)=0.所以f x =f-x+6,f(x)+f(-x+2)=0,所以f(-x+6)+f(-x+2)=0.令t=-x+2,则f(t+4)+f(t)=0.令上式中t取t-4,则f(t)+f(t-4)=0,所以f(t+4)=f(t-4).令t取t+4,则f(t)=f(t+8),所以f(x)=f(x+8).所以f x 为周期为8的周期函数.因为f(x+1)为奇函数,所以f(x+1)+f(-x+1)=0,令x=0,得:f(1)+f(1)=0,所以f(1)=0,所以f(9)+f(8)=1,即为f(1)+f(0)=1,所以f(0)=1.记g x =f xe x,所以gx =f x -f xe x.因为f (x)<f(x),所以g x <0,所以g x =f xe x在R上单调递减.不等式f x <e x可化为f xe x<1,即为g x <g0 .所以x>0.故选:C11.(2023·全国·高三专题练习)设函数f x 的定义域为R,f x+1为奇函数,f x+2为偶函数,当x∈1,2时,f(x)=ax2+b.若f0 +f3 =6,则f 92 =( )A.-94B.-32C.74D.52【答案】D【解析】[方法一]:因为f x +1 是奇函数,所以f -x +1 =-f x +1 ①;因为f x +2 是偶函数,所以f x +2 =f -x +2 ②.令x =1,由①得:f 0 =-f 2 =-4a +b ,由②得:f 3 =f 1 =a +b ,因为f 0 +f 3 =6,所以-4a +b +a +b =6⇒a =-2,令x =0,由①得:f 1 =-f 1 ⇒f 1 =0⇒b =2,所以f x =-2x 2+2.思路一:从定义入手.f 92 =f 52+2 =f -52+2 =f -12 f -12 =f -32+1 =-f 32+1 =-f 52-f 52 =-f 12+2 =-f -12+2 =-f 32所以f 92 =-f 32 =52.[方法二]:因为f x +1 是奇函数,所以f -x +1 =-f x +1 ①;因为f x +2 是偶函数,所以f x +2 =f -x +2 ②.令x =1,由①得:f 0 =-f 2 =-4a +b ,由②得:f 3 =f 1 =a +b ,因为f 0 +f 3 =6,所以-4a +b +a +b =6⇒a =-2,令x =0,由①得:f 1 =-f 1 ⇒f 1 =0⇒b =2,所以f x =-2x 2+2.思路二:从周期性入手由两个对称性可知,函数f x 的周期T =4.所以f 92=f 12 =-f 32 =52.故选:D .二、多选题12.(2023春·云南·高三云南师大附中校考阶段练习)已知定义域为R 的函数f x 在-1,0 上单调递增,f 2+x =f 2-x ,且图象关于3,0 对称,则f x ( )A.周期T =4B.在0,2 单调递减C.满足f 2021 <f 2022 <f 2023D.在0,2023 上可能有1012个零点【答案】ABD【解析】A 选项:由f (2+x )=f (2-x )知f (x )的对称轴为x =2,且f (4+x )=f (-x ),又图象关于3,0 对称,即f (3+x )=-f (3-x ),故f (6+x )=-f (-x ),所以-f (4+x )=f (6+x ),即-f (x )=f (2+x ),所以f (x )=f (x +4),f (x )的周期为4,正确;B 选项:因为f (x )在-1,0 上单调递增,T =4,所以f (x )在3,4 上单调递增,又图象关于3,0 对称,所以f (x )在2,3 上单调递增,因为关于x =2对称,所以f (x )在1,2 上单调递减,f (1)=f (3)=0,故f (x )在0,2 单调递减,B 正确;C 选项:根据周期性,f (2021)=f (1),f (2022)=f (2),f (2023)=f (3),因为f (x )关于x =2对称,所以f (1)=f (3)=0,f (2)<f (1),故f (2022)<f (2021)=f (2023),错误;D 选项:在0,4 上,f (1)=f (3)=0,f (x )有2个零点,所以f (x )在0,2020 上有1010个零点,在2020,2023 上有2个零点,故f (x )在0,2023 上可能有1012个零点,正确,故选:ABD .13.(2023春·广东广州·高三统考阶段练习)已知函数f x 、g x 的定义域均为R ,f x 为偶函数,且f x +g 2-x =1,g x -f x -4 =3,下列说法正确的有( )A.函数g x 的图象关于x =1对称 B.函数f x 的图象关于-1,-1 对称C.函数f x 是以4为周期的周期函数 D.函数g x 是以6为周期的周期函数【答案】BC【解析】对于A 选项,因为f x 为偶函数,所以f -x =f x .由f x +g 2-x =1,可得f -x +g 2+x =1,可得g 2+x =g 2-x ,所以,函数g x 的图象关于直线x =2对称,A 错;对于B 选项,因为g x -f x -4 =3,则g 2-x -f -2-x =3,又因为f x +g 2-x =1,可得f x +f -2-x =-2,所以,函数f x 的图象关于点-1,-1 对称,B 对;对于C 选项,因为函数f x 为偶函数,且f x +f -2-x =-2,则f x +f x +2 =-2,从而f x +2 +f x +4 =-2,则f x +4 =f x ,所以,函数f x 是以4为周期的周期函数,C 对;对于D 选项,因为g x -f x -4 =3,且f x =f x -4 ,∴g x -f x =3,又因为f x +g 2-x =1,所以,g x +g 2-x =4,又因为g 2-x =g 2+x ,则g x +g x +2 =4,所以,g x +2 +g x +4 =4,故g x +4 =g x ,因此,函数g x 是周期为4的周期函数,D 错.故选:BC .14.(2023春·湖南长沙·高三长郡中学校考阶段练习)设定义在R 上的函数f x 与g x 的导函数分别为f x 和g x ,若f x +2 -g 1-x =2,f x =g x +1 ,且g x +1 为奇函数,则下列说法中一定正确的是( )A.g 1 =0 B.函数g x 的图象关于x =2对称C.2021k =1f k g k =0D.2022k =1g k =0【答案】AC【解析】因为g x +1 为奇函数,所以g x +1 =-g -x +1 ,取x =0可得g 1 =0,A 对,因为f x +2 -g 1-x =2,所以f x +2 +g 1-x =0;所以f x +g 3-x =0,又f x =g x +1 ,g x +1 +g 3-x =0,故g 2+x +g 2-x =0,所以函数g x 的图象关于点(2,0)对称,B 错,因为f x =g x +1 ,所以f x -g x +1 =0,所以f x -g x +1 =c ,c 为常数,因为f x +2 -g 1-x =2,所以f x -g 3-x =2,所以g x +1 -g 3-x =2-c ,取x =1可得c =2,所以g x +1 =g 3-x ,又g x +1 =-g -x +1 ,所以g 3-x =-g -x +1 ,所以g x =-g x -2 ,所以g x +4 =-g x +2 =g (x ),故函数g (x )为周期为4的函数,因为g x +2 =-g x ,所以g 3 =-g 1 =0,g 4 =-g 2 ,所以g (1)+g (2)+g (3)+g (4)=0,所以2022k =1g k =g (1)+g (2)+g (3)+g (4) +g (5)+g (6)+g (7)+g (8) +⋅⋅⋅+g (2017)+g (2018)+g (2019)+g (2020) +g (2021)+g (2022),所以2022k =1g k =505×0+ g (2021)+g (2022)=g (1)+g (2)=g (2),由已知无法确定g (2)的值,故2022k =1g k 的值不一定为0,D 错;因为f x +2 -g 1-x =2,所以f x +2 =2-g x +1 ,f x +6 =2-g x +5 ,所以f x +2 =f (x +6),故函数f (x )为周期为4的函数,f (x +4)g (x +4)=f (x )g (x )所以函数f (x )g (x )为周期为4的函数,又f (1)=2-g (0),f (2)=2-g (1)=2,f (3)=2-g (2)=2+g (0),f (4)=2-g (3)=2,所以f (1)g (1)+f (2)g (2)+f (3)g (3)+f (4)g (4)=0+2g (2)+2g (4)=0,所以2021k =1f k g k =505f (1)g (1)+f (2)g (2)+f (3)g (3)+f (4)g (4) +f (2021)g (2021)2021k =1f kg k =f (1)g (1)=0 ,C 对,故选:AC .15.(2023·全国·高三专题练习)设函数y =f (x )的定义域为R ,且满足f (x )=f (2-x ),f (-x )=-f (x -2),当x ∈(-1,1]时,f (x )=-x 2+1,则下列说法正确的是( )A.f (2022)=1B.当x ∈4,6 时,f (x )的取值范围为-1,0C.y =f (x +3)为奇函数D.方程f (x )=lg (x +1)仅有5个不同实数解【答案】BCD【解析】依题意,当-1<x<0时,0<f x <1,当0≤x≤1时,0≤f x ≤1,函数y=f(x)的定义域为R,有f(x)=f(2-x),又f(-x)=-f(x-2),即f(x)=-f(-x-2),因此有f(2-x)=-f(-x-2),即f(x+4)=-f(x),于是有f(x+8)=-f(x+4)=f(x),从而得函数f(x)的周期T=8,对于A,f2022=-f0 =-1,A不正确;=f252×8+6=f6 =f-2对于B,当4≤x≤5时,0≤x-4≤1,有0≤f(x-4)≤1,则f(x)=-f(x-4)∈[-1,0],当5≤x≤6时,-4≤2-x≤-3,0≤(2-x)+4≤1,有0≤f[(2-x)+4]≤1,f(x)=f(2-x)=-f[(2-x)+4]∈[-1,0],当x∈4,6,B正确;时,f(x)的取值范围为-1,0对于C,f(x+3)=-f[(x+3)+4]=-f(x-1)=-f[2-(x-1)]=-f(-x+3),函数y=f(x+3)为奇函数,C正确;对于D,在同一坐标平面内作出函数y=f(x)、y=lg(x+1)的部分图象,如图:方程f(x)=lg(x+1)的实根,即是函数y=f(x)与y=lg(x+1)的图象交点的横坐标,观察图象知,函数y=f(x)与y=lg(x+1)的图象有5个交点,因此方程f(x)=lg(x+1)仅有5个不同实数解,D正确.故选:BCD16.(2023·全国·高三专题练习)已知定义在R上的单调递增的函数f x 满足:任意x∈R,有f1-x+f1+x=2,f2+x=4,则( )+f2-xA.当x∈Z时,f x =xB.任意x∈R,f-x=-f xC.存在非零实数T,使得任意x∈R,f x+T=f xD.存在非零实数c,使得任意x∈R,f x -cx≤1【答案】ABD【解析】对于A,令x=1-t,则f t +f2-t=2,=2,即f x +f2-x又f2+x=4-2-f x=f x +2;=4-f2-x+f2-x=4,∴f x+2令x=0得:f1 +f1 =2,f2 +f2 =4,∴f1 =1,f2 =2,则由f x+2=f x +2可知:当x∈Z时,f x =x,A正确;对于B ,令x =1+t ,则f -t +f 2+t =2,即f -x +f 2+x =2,∴f -x =2-f 2+x =2-4-f 2-x =f 2-x -2,由A 的推导过程知:f 2-x =2-f x ,∴f -x =2-f x -2=-f x ,B 正确;对于C ,∵f x 为R 上的增函数,∴当T >0时,x +T >x ,则f x +T >f x ;当T <0时,x +T <x ,则f x +T <f x ,∴不存在非零实数T ,使得任意x ∈R ,f x +T =f x ,C 错误;对于D ,当c =1时,f x -cx =f x -x ;由f 1-x +f 1+x =2,f 2+x +f 2-x =4知:f x 关于1,1 ,2,2 成中心对称,则当a ∈Z 时,a ,a 为f x 的对称中心;当x ∈0,1 时,∵f x 为R 上的增函数,f 0 =0,f 1 =1,∴f x ∈0,1 ,∴f x -x ≤1;由图象对称性可知:此时对任意x ∈R ,f x -cx ≤1,D 正确.故选:ABD .17.(2023·全国·高三专题练习)设函数f (x )定义域为R ,f (x -1)为奇函数,f (x +1)为偶函数,当x ∈(-1,1)时,f (x )=-x 2+1,则下列结论正确的是( )A.f 72 =-34B.f (x +7)为奇函数C.f (x )在(6,8)上为减函数D.方程f (x )+lg x =0仅有6个实数解【答案】ABD【解析】f (x +1)为偶函数,故f (x +1)=f (-x +1),令x =52得:f 72 =f -52+1 =f -32,f (x -1)为奇函数,故f (x -1)=-f (-x -1),令x =12得:f -32 =-f 12-1 =-f -12,其中f -12 =-14+1=34,所以f 72 =f -32 =-f -12 =-34,A 正确;因为f (x -1)为奇函数,所以f (x )关于-1,0 对称,又f (x +1)为偶函数,则f (x )关于x =1对称,所以f (x )周期为4×2=8,故f (x +7)=f (x -1),所以f (-x +7)=f (-x -1)=-f x -1 =-f x -1+8 =-f x +7 ,从而f (x +7)为奇函数,B 正确;f (x )=-x 2+1在x ∈(-1,0)上单调递增,又f (x )关于-1,0 对称,所以f (x )在-2,0 上单调递增,且f (x )周期为8,故f (x )在(6,8)上单调递增,C 错误;根据题目条件画出f (x )与y =-lg x 的函数图象,如图所示:其中y =-lg x 单调递减且-lg12<-1,所以两函数有6个交点,故方程f (x )+lg x =0仅有6个实数解,D 正确.故选:ABD18.(2023·全国·高三专题练习)已知f (x )是定义域为(-∞,+∞)的奇函数,f (x +1)是偶函数,且当x ∈0,1 时,f (x )=-x (x -2),则( )A.f x 是周期为2的函数B.f 2019 +f 2020 =-1C.f x 的值域为-1,1D.y =f x 在0,2π 上有4个零点【答案】BCD【解析】对于A ,f x +1 为偶函数,其图像关于x 轴对称,把f x +1 的图像向右平移1个单位得到f x 的图像,所以f (x )图象关于x =1对称,即f (1+x )=f (1-x ),所以f (2+x )=f (-x ),f x 为R 上的奇函数,所以f (-x )=-f x ,所以f (2+x )=-f (x ),用2+x 替换上式中的x 得, f (4+x )=-f (x +2),所以,f (4+x )=f (x ),则f x 是周期为4的周期函数.故A 错误.对于B ,f x 定义域为R 的奇函数,则f 0 =0,f x 是周期为4的周期函数,则f 2020 =f 0 =0;当x ∈0,1 时,f x =-x x -2 ,则f 1 =-1×1-2 =1,则f 2019 =f -1+2020 =f -1 =-f 1 =-1,则f 2019 +f 2020 =-1.故B 正确.对于C ,当x ∈0,1 时,f x =-x x -2 ,此时有0<f x ≤1,又由f x 为R 上的奇函数,则x ∈-1,0 时,-1≤f x <0,f (0)=0,函数关于x =1对称,所以函数f x 的值域-1,1 .故C 正确.对于D ,∵f (0)=0,且x ∈0,1 时,f x =-x x -2 ,∴x ∈[0,1],f (x )=-x (x -2),∴x ∈[1,2],2-x ∈[0,1],f (x )=f (2-x )=-x (x -2)①∴x ∈[0,2]时,f (x )=-x (x -2),此时函数的零点为0,2;∵f (x )是奇函数,∴x ∈[-2,0],f (x )=x (x +2),②∴x ∈2,4 时,∵f (x )的周期为4,∴x -4∈-2,0 ,f x =f x -4 =x -2 x -4 ,此时函数零点为4;③∴x ∈4,6 时,∴x -4∈0,2 ,f x =f x -4 =-(x -4)(x -6),此时函数零点为6;④∴x ∈6,2π 时,∴x -4∈2,4 ,f x =f x -4 =x -6 x -8 ,此时函数无零点;综合以上有,在(0,2π)上有4个零点.故D 正确;故选:BCD19.(2023春·广东广州·高三广州市禺山高级中学校考阶段练习)已知f x 是定义域为(-∞,+∞)的奇函数,f x +1 是偶函数,且当x ∈0,1 时,f x =-x x -2 ,则( )A.f x 是周期为2的函数B.f 2019 +f 2020 =-1C.f x 的值域为[-1,1]D.f x 的图象与曲线y =cos x 在0,2π 上有4个交点【答案】BCD【解析】根据题意,对于A ,f x 为R 上的奇函数,f x +1 为偶函数,所以f (x )图象关于x =1对称,f (2+x )=f (-x )=-f (x )即f (x +4)=-f (x +2)=f (x )则f x 是周期为4的周期函数,A 错误;对于B ,f x 定义域为R 的奇函数,则f 0 =0,f x 是周期为4的周期函数,则f 2020 =f 0 =0;当x ∈0,1 时,f x =-x x -2 ,则f 1 =-1×1-2 =1,则f 2019 =f -1+2020 =f -1 =-f 1 =-1,则f 2019 +f 2020 =-1;故B 正确.对于C ,当x ∈0,1 时,f x =-x x -2 ,此时有0<f x ≤1,又由f x 为R 上的奇函数,则x ∈-1,0 时,-1≤f x <0,f (0)=0,函数关于x =1对称,所以函数f x 的值域[-1,1].故C 正确.对于D ,∵f (0)=0,且x ∈0,1 时,f x =-x x -2 ,∴x ∈[0,1],f (x )=-x (x -2),∴x ∈[1,2],2-x ∈[0,1],f (x )=f (2-x )=-x (x -2),∴x ∈[0,2],f (x )=-x (x -2),∵f (x )是奇函数,∴x ∈[-2,0],f (x )=x (x +2),∵f (x )的周期为4,∴x ∈[2,4],f (x )=(x -2)(x -4),∴x ∈[4,6],f (x )=-(x -4)(x -6),∴x ∈[6,2π],f (x )=(x -6)(x -8),设g (x )=f (x )-cos x ,当x ∈[0,2],g (x )=-x 2+2x -cos x ,g ′(x )=-2x +2+sin x ,设h(x)=g′(x),h′(x)=-2+cos x<0在[0,2]恒成立,h(x)在[0,2]单调递减,即g′(x)在[0,2]单调递减,且g′(1)=sin1>0,g′(2)=-2+sin2<0,存在x0∈(1,2),g′(x0)=0,x∈(0,x0),g′(x)>0,g(x)单调递增,x∈(x0,2),g′(x)<0,g(x)单调递减,g(0)=-1,g(1)=1-cos1>0,g(x0)>g(1)>0,g(2)=-cos2>0,所以g(x)在(0,x0)有唯一零点,在(x0,2)没有零点,即x∈(0,2],f x 的图象与曲线y=cos x有1个交点,当x∈2,4时,,g x =f x -cos x=x2-6x+8-cos x,则g′x =2x-6+sin x,h x =g′x =2x-6+sin x,则h′x =2+cos x>0,所以g′x 在2,4上单调递增,且g′3 =sin3>0,g′2 =-2+sin2<0,所以存在唯一的x1∈2,3⊂2,4,使得g′x =0,所以x∈2,x1,g′x <0,g x 在2,x1单调递减,x∈x1,4,g′x >0,g x 在x1,4单调递增,又g3 =-1-cos3<0,所以g x1<g(3)<0,又g2 =-cos2>0,g4 =-cos4>0,所以g x 在2,x1上有一个唯一的零点,在x1,4上有唯一的零点,所以当x∈2,4时,f x 的图象与曲线y=cos x有2个交点,,当x∈4,6时,同x∈[0,2],f x 的图象与曲线y=cos x有1个交点,当x∈[6,2π],f(x)=(x-6)(x-8)<0,y=cos x>0,f x 的图象与曲线y=cos x没有交点,所以f x 的图象与曲线y=cos x在0,2π上有4个交点,故D正确;故选:BCD.20.(2023·全国·高三专题练习)已知函数f2x+1的图像关于直线x=1对称,函数y=f x+1关于点1,0对称,则下列说法正确的是( )A.f1-x=f1+xB.f x 的周期为4C.f1 =0D.f x =f32-x【答案】AB【解析】f2x的图像关于直线x=32对称,f x 的图像关于x=3对称,又关于点2,0中心对称,所以周期为4,所以B正确而D错误;又f 3-x =f 3+x ,其中x 换x +1得f 2-x =f 4+x =f x ,再将x 换x +1得f 1-x =f 1+x ,但无法得到f (1)=0 所以A 正确C 错误.故选:AB .21.(2023·全国·高三专题练习)已知函数f (x )及其导函数f (x )的定义域均为R ,记g (x )=f (x ),若f 32-2x ,g (2+x )均为偶函数,则( )A.f (0)=0B.g -12 =0C.f (-1)=f (4)D.g (-1)=g (2)【答案】BC【解析】[方法一]:对称性和周期性的关系研究对于f (x ),因为f 32-2x为偶函数,所以f 32-2x =f 32+2x 即f 32-x =f 32+x ①,所以f 3-x =f x ,所以f (x )关于x =32对称,则f (-1)=f (4),故C 正确;对于g (x ),因为g (2+x )为偶函数,g (2+x )=g (2-x ),g (4-x )=g (x ),所以g (x )关于x =2对称,由①求导,和g (x )=f (x ),得f 32-x=f 32+x ⇔-f 32-x =f 32+x ⇔-g 32-x =g 32+x ,所以g 3-x +g x =0,所以g (x )关于32,0 对称,因为其定义域为R ,所以g 32=0,结合g (x )关于x =2对称,从而周期T =4×2-32 =2,所以g -12 =g 32 =0,g -1 =g 1 =-g 2 ,故B 正确,D 错误;若函数f (x )满足题设条件,则函数f (x )+C (C 为常数)也满足题设条件,所以无法确定f (x )的函数值,故A 错误.故选:BC .[方法二]:【最优解】特殊值,构造函数法.由方法一知g (x )周期为2,关于x =2对称,故可设g x =cos πx ,则f x =1πsin πx +c ,显然A ,D 错误,选BC .故选:BC .[方法三]:因为f 32-2x,g (2+x )均为偶函数,所以f 32-2x =f 32+2x 即f 32-x =f 32+x ,g (2+x )=g (2-x ),所以f 3-x =f x ,g (4-x )=g (x ),则f (-1)=f (4),故C 正确;函数f (x ),g (x )的图象分别关于直线x =32,x =2对称,又g (x )=f (x ),且函数f (x )可导,所以g 32 =0,g 3-x =-g x ,所以g (4-x )=g (x )=-g 3-x ,所以g (x +2)=-g (x +1)=g x ,所以g -12=g 32 =0,g -1 =g 1 =-g 2 ,故B 正确,D 错误;若函数f (x )满足题设条件,则函数f (x )+C (C 为常数)也满足题设条件,所以无法确定f (x )的函数值,故A 错误.故选:BC .【整体点评】方法一:根据题意赋值变换得到函数的性质,即可判断各选项的真假,转化难度较高,是该题的通性通法;方法二:根据题意得出的性质构造特殊函数,再验证选项,简单明了,是该题的最优解.22.(2023·全国·高三专题练习)定义f x 是y =f x 的导函数y =f x 的导函数,若方程f x =0有实数解x 0,则称点x 0,f x 0 为函数y =f x 的“拐点”.可以证明,任意三次函数f x =ax 3+bx 2+cx +d a ≠0 都有“拐点”和对称中心,且“拐点”就是其对称中心,请你根据这一结论判断下列命题,其中正确命题是( )A.存在有两个及两个以上对称中心的三次函数B.函数f x =x 3-3x 2-3x +5的对称中心也是函数y =tan π2x 的一个对称中心C.存在三次函数h x ,方程h x =0有实数解x 0,且点x 0,h x 0 为函数y =h x 的对称中心D.若函数g x =13x 3-12x 2-512,则g 12021+g 22021 +g 32021 +⋅⋅⋅+g 20202021 =-1010【答案】BCD【解析】对于A .设三次函数f x =ax 3+bx 2+cx +d a ≠0 ,易知y =f x 是一次函数,∴任何三次函数只有一个对称中心,故A 不正确;对于B .由f x =x 3-3x 2-3x +5,得f x =3x 2-6x -3,f x =6x -6,由6x -6=0,得x =1,函数f x 的对称中心为1,0 ,又由π2x =k π2,k ∈Z ,得x =k ,k ∈Z ,∴f x 的对称中心是函数y =tan π2x 的一个对称中心,故B 正确;对于C .设三次函数h x =ax 3+bx 2+cx +d a ≠0 ,所以h x =3ax 2+2bx +c ,h x =6ax +2b联立3ax 02+2bx 0+c =0,6ax 0+2b =0,得3ac -b 2=0,即当3ac -b 2=0时,存在三次函数h x ,方程h x =0有实数解x 0,且点x 0,h x 0 为函数y =h x 的对称中心,故C 正确.对于D .∵g x =13x 3-12x 2-512,∴g x =x 2-x ,g x =2x -1,令g x =2x -1=0,得x =12,∵g 12 =13×12 3-12×12 2-512=-12,∴函数g x =13x 3-12x 2-512的对称中心是12,-12,∴g x +g 1-x =-1,设T =g 12021+g 22021 +g 32021 +⋯+g 20202021 ,所以2T =g 12021 +g 20202021 +g 22021 +g 20192021 +⋯+g 20202021 +g 12021 =-2020所以g 12021 +g 22021 +g 32021+⋯+g 20202021 =-1010,故D 正确.故选:BCD .三、填空题23.(2023·全国·高三专题练习)设f x 的定义域为R ,且满足f 1-x =f 1+x ,f x +f -x =2,若f 1 =3,则f 1 +f 2 +f 3 +⋯+f 2022 f 2023 +f 2028 +f 2030=___________.【答案】2024【解析】因为f x +f -x =2,f 1 =3,所以f -1 =-1,f 0 =1,f 2 =f 0 =1,由f 1-x =f 1+x ,得f -x =f x +2 ,f x =f 2-x ,有f x +2 +f 2-x =2,可得f x +f 2-x -2 =2,有f x +f 4-x =2,又由f x +f -x =2,可得f 4-x =f -x ,可知函数f x 的周期为4,可得f 2023 =f -1 =-1,f 2028 =f 0 =1,f 2030 =f 2 =1,有f 2023 +f 2028 +f 2030 =1,因为f x +f -x =2,f 1 =3,所以f -1 =-1,f 0 =1由f 1-x =f 1+x 得f -x =f x +2 ,所以f x +f x +2 =2,f x +1 +f x +3 =2,即f x +f x +1 +f x +2 +f x +3 =4,所以f -1 +f 0 +f 1 +f 2 + f 3 +f 4 +⋯+f 2021 +f 2022 =4×506=2024所以f 1 +f 2 +f 3 +⋯+f 2022 =2024-f 0 -f -1 =2024-1--1 =2024.故f 1 +f 2 +f 3 +⋯+f 2022 f 2023 +f 2028 +f 2030 =2024.故答案为:202424.(2023·全国·高三专题练习)对于定义在D 上的函数f x ,点A m ,n 是f x 图像的一个对称中心的充要条件是:对任意x ∈D 都有f x +f 2m -x =2n ,判断函数f x =x 3+2x 2+3x +4的对称中心______.【答案】-23,7027【解析】因为f x =x 3+2x 2+3x +4,由于f x +f -23×2-x =x 3+2x 2+3x +4+-23×2-x 3+2-23×2-x 2+3-23×2-x +4=7027×2=14027.即m =-23,n =7027.所以-23,7027是f x =x 3+2x 2+3x +4的一个对称中心.故答案为:-23,7027 .25.(2023·全国·高三专题练习)对于三次函数f x =ax 3+bx 2+cx +d a ≠0 ,现给出定义:设f x 是函数y =f x 的导数,f x 是f x 的导数,若方程f x =0有实数解x 0,则称点x 0,f x 0 为函数f x =ax 3+bx 2+cx +d a ≠0 的“拐点”.经过探究发现:任何一个三次函数都有“拐点”,任何一个三次函数都有对称中心,且“拐点”就是对称中心.设函数g x =2x 3-3x 2+1,则g 1100+g 2100+⋯+g 99100 =____.【答案】4912【解析】依题意得,g x =6x 2-6x ,g x =12x -6,令g x =0,得x =12, ∵g 12 =12,∴函数g x 的对称中心为12,12,则g 1-x +g x =1,∵1100+99100=2100+98100=⋯=49100+51100=1,∴g 1100 +g 99100 =g 2100 +g 98100 =⋯=g 49100 +g 51100 =1∴g 1100 +g 2100+⋯+g 99100 =g 1100 +g 99100 +g 2100 +g 98100 +⋯+g 49100 +g 51100 +g 12=49+12=4912,故答案为4912.26.(2023·四川成都·成都七中校考模拟预测)已知S n 为数列a n 的前n 项和,数列a n 满足a 1=-2,且S n =32a n+n ,f x 是定义在R 上的奇函数,且满足f 2-x =f x ,则f a 2021 =______.【答案】0【解析】∵S n =32a n +n ,∴S n -1=32a n -1+n -1n ≥2 ,两式相减得,a n =32a n -32a n -1+1,即a n -1=3a n -1-1 ,∴a n -1a n -1-1=3,即数列a n -1 是以-3为首项,3为公比的等比数列,∴a n -1=-3⋅3n -1=-3n ,∴a n =-3n +1.∵f x 是定义在R 上的奇函数,且满足f 2-x =f x ,∴令x =2,则f 2 =f 0 =0,又f2-x=f x =-f(-x),∴f(2+x)=-f(x),∴f(x+4)=f(x+2+2)=-f(x+2)=-[-f(-x)]=f(x),即f(x+4)=f(x),即f x 是以4为周期的周期函数.∵a2021=-32021+1=-4-12021+1=-C020*******⋅-10+C1202142020⋅-11+⋯+C2020202141⋅-12020+C2021202140⋅-12021+1=-C020*******⋅-10+C1202142020⋅-11+⋯+C2020202141⋅-12020+2其中C020*******⋅-10+C1202142020⋅-11+⋯+C2020202141⋅-12020能被4整除,∴f a2021=f-32021+1=f2 =0.故答案为:0.27.(2023·全国·高三专题练习)已知定义域为R的奇函数f x 满足f x+1=f3-x,当x∈0,2时,f x =-x2+4,则函数y=f x -a a∈R在区间-4,8上的零点个数最多时,所有零点之和为__________.【答案】14【解析】由于定义域为R的奇函数f x 满足f x+1=f3-x,∴f-x=-f x ,f x+4=f-x,∴f x+4=-f x ,∴f x+8=-f x+4=f x ,∴函数f x 为周期函数,且周期为8,当x∈0,2时,f x =-x2+4,函数y=f x -a a∈R在区间-4,8上的零点的个数,即为函数y=f x 与y=a 的交点的个数,作出函数 y=f x ,x∈-4,8上的函数的图象,显然,当a=0 时,交点最多,符合题意,此时,零点的和为-4+-2+0+2+4+6+8=14 .28.(2023·全国·高三专题练习)已知函数f(x)满足f(x+3)=f(1-x)+9f(2)对任意x∈R恒成立,又函数f x +9 的图象关于点(-9,0)对称,且f (1)=2022,则f (45)=_________.【答案】-2022【解析】因为函数f (x )满足f (x +3)=f (1-x )+9f (2)对任意x ∈R 恒成立,所以令x =-1,即f (2)=f (2)+9f (2),解得f (2)=0,所以f (x +3)=f (1-x )对任意x ∈R 恒成立,又函数f x +9 的图象关于点(-9,0)对称,将函数f x +9 向右平移9个单位得到f (x ),所以f (x )关于点(0,0),即f (x )为R 上的奇函数,所以f (x )=-f -x ,又f (x +3)=f (1-x )对任意x ∈R 恒成立,令x =-x -3,得f (-x )=f (x +4),即-f (x )=f (x +4),再令x =x +4,得-f (x +4)=f (x +8),分析得f (x )=f (x +8),所以函数f (x )的周期为8,因为f (1)=2022,所以在f (x +3)=f (1-x )中,令x =0,得f (3)=f (1)=2022,所以f (45)=f 6×8-3 =f -3 =-f 3 =-2022.故答案为:-2022.29.(2023·全国·高三专题练习)已知f x 是定义在R 上的函数,若对任意x ∈R ,都有f (x +8)=f (x )+f (4),且函数f (x -2)的图像关于直线x =2对称,f (2)=3,则f (2022)=_______.【答案】3【解析】因为函数f (x -2)的图像关于直线x =2对称,所以函数f (x )的图像关于直线x =0对称,即函数f x 是偶函数,则有f x =f -x ;因为对任意x ∈R ,都有f (x +8)=f (x )+f (4),令x =-4,得f -4+8 =f -4 +f 4 ⇒f -4 =f 4 =0,所以对任意x ∈R ,都有f (x +8)=f (x )+f (4)=f x ,即函数f x 的周期为8,则f 2022 =f 252×8+6 =f 6 =f 6-8 =f -2 =f 2 =3,故答案为:3.30.(2023·全国·高三专题练习)已知定义在R 上的函数f (x )和函数g (x )满足2f (x )=g (x )-g (-x ),且对于任意x 都满足f (x )+f (-x -4)+5=0,则f (2021)+f (2019)=________.【答案】5050【解析】由题意知:f (x )定义域为R ,2f (-x )=g (-x )-g (x ),可得:f (x )+f (-x )=0,f (x )为奇函数,又f (-x -4)=-f (x )-5=-f (x +4),则f (x +4)=f (x )+5,可得:f (2021)+f (2019)=f (1+4×505)+f (-1+4×505)=f (1)+5×505+f (-1)+5×505=5050.故答案为:5050.31.(2023·全国·高三专题练习)已知定义域为R 的奇函数f x ,当x >0时,有f x =-log 34-x ,0<x ≤54f x -3 ,x >54,则f 2 +f 4 +f 6 +⋅⋅⋅+f 2022 =______.【答案】0【解析】R上的奇函数f x ,则有f-x=-f(x),而当x>0时,有f x =-log34-x,0<x≤5 4f x-3,x>5 4,于是有f(2)=f(-1)=-f(1)=1,f(4)=f(1)=-1,f(6)=f(3)=f(0)=0,因∀x>54,f(x)=f(x-3),则有∀n∈N∗,f(6n-4)=f(2)=1,f(6n-2)=f(1)=-1,f(6n)=f(3)=0,所以f2 +f4 +f6 +⋅⋅⋅+f2022=337f2 +f4 +f6=0.故答案为:032.(2023·全国·高三专题练习)已知函数f x =x3-3x2+9x+4,若f a =7,f b =15,则a+b=___________.【答案】2【解析】因为f x =3x2-6x+9,对称轴为x=1,所以f x 的对称中心为1,f1,即1,11,因为f x =3x2-6x+9=3(x-1)2+6>0,所以f x 在R上单调递增,所以方程f a =7,f b =15的解a,b均有且只有一个,因为f a +f b =2f1 =22,所以a,7,b,15关于对称中心1,11对称,所以a+b=2,故答案为:233.(2023·全国·高三专题练习)已知函数f x 的定义域为R,且f x 为奇函数,其图象关于直线x=2对称.当x∈0,4时,f x =x2-4x,则f2022=____.【答案】4【解析】∵f x 的图象关于直线x=2对称,∴f(-x)=f(x+4),又f x 为奇函数,∴f(-x)=-f x ,故f(x+4)=-f x ,则f(x+8)=-f(x+4)=f x ,∴函数f x 的周期T=8,又∵2022=252×8+6,∴f2022= f6 =f(-2)=-f2 =-(4-8)=4.故答案为:4.34.(2023·全国·高三专题练习)若函数f(x)=1-x2x2+ax+b,a,b∈R的图象关于直线x=2对称,则a+b=_______.【答案】7【解析】由题意f(2+x)=f(2-x),即f(x)=f(4-x),所以f(0)=f(4)f(1)=f(3),即b=-15(16+4a+b)0=-8(9+3a+b),解得a=-8b=15,此时f(x)=(1-x2)(x2-8x+15)=-x4+8x3-14x2-8x+15,f(4-x)=-(4-x)4+8(4-x)3-14(4-x)2-8(4-x)+15=-(x4-16x3+96x2-256x+256)+8(64-48x+12x2-x3)-14(16-8x+x2)-32+8x+15= -x4+8x3-14x2-8x+15=f(x),满足题意.所以a=-8,b=15,a+b=7.故答案为:7.35.(2023·全国·高三专题练习)已知函数f x =3x-5x-2,g x =2x+22x-2+1,记f(x)与g(x)图像的交点横,纵坐标之和分别为m与n,则m-n的值为________.【答案】-2.【解析】f(x)=3x-5x-2=3+1x-2在(-∞,2)和(2,+∞)上都单调递减,且关于点(2,3)成中心对称,g(x)=2x+22x-2+1=4×2x-2+22x-2+1=4-22x-2+1在(-∞,+∞)上单调递增,g(4-x)+g(x)=4-222-x+1+4-22x-2+1=8-2(2x-2+1)+2(22-x+1)(22-x+1)(2x-2+1)=8-2(2x-2+22-x+2)2+2x-2+22-x=8-2=6,所以g(x)的图像也关于点(2,3)成中心对称,所以f(x)与g(x)图像有两个交点且关于点(2,3)对称,设这两个交点为(x1,y1)、(x2,y2),则x1+x2=2×2=4,y1+y2=2×3=6,所以m=4,n=6,所以m-n=4-6=-2.故答案为:-2.。
常见结论 (约定a>0)函数关于某点对称(a,b ),f(x)=2b-f(2a-x)函数关于x=a 对称 f(a+x)=f(a-x)(1))()(a x f x f +=,则)(x f 的周期T=a ;(2)()()f x a f x +=-,或()()f x a f x +=-a 或)0)(()(1)(≠=+x f x f a x f ,或1()()f x a f x +=-(()0)f x ≠,则)(x f 的周期T=2a ; 例1:设()f x 是定义在R 上的奇函数,(4)()f x f x +=-且(3)f =5,则(21)f =-______________,(2005)f =______________例2:设()f x 是定义在R 上的偶函数,且满足1(2)()f x f x +=,当0≤x ≤1,()f x =2x ,则(7.5)f =______________例3:设()f x 是定义在R 上的奇函数,且(2)(2)f x f x -=+, (1)f =2,则(2)(7)f f +=______________练习1、函数()f x 对于任意实数x 满足条件()()12f x f x +=,若()15,f =-则()()5f f =_______________2、已知定义在R 上的奇函数f(x)满足f(x+2)=-f(x),则,f(6)的值为(A)-1 (B) 0 (C) 1 (D)23.已知函数)(x f y =是一个以4为最小正周期的奇函数,则=)2(f( )A .0B .-4C .4D .不能确定 4、 设)(x f 是),(+∞-∞上的奇函数,)()2(x f x f -=+,当10≤≤x 时,x x f =)(,则)5.47(f 等于_____5、定义在R 上的偶函数()f x 满足(2)()f x f x +=,且在[3,2]--上是减函数,若,αβ是锐角三角形的两个内角,则(sin ),(cos )f f αβ的大小关系为_________6、已知()f x 是偶函数,且(1)f =993,()g x =(1)f x -是奇函数,求(2005)f 的值7、已知定义在R 上的函数()f x 是以2为周期的奇函数,则方程()0f x =在[2,2]-上至少有__________个实数根8、已知()f x 是定义在R 上的函数,(10)(10)f x f x +=-且(20)(20)f x f x -=-+,则()f x 是( )A. 周期为20的奇函数B. 周期为20的偶函数C. 周期为40的奇函数D. 周期为40的偶函数1.定义在R 上的函数f (x )是奇函数又是以2为周期的周期函数,则f (1)+f (4)+f (7)等于( )A .-1B .0C .1D .42.已知函数f ()x 是定义域为R 的偶函数,且f ()x +2=f ()x ,若f ()x 在[]-1,0上是减函数,那么f ()x 在[]2,3上是( )A .增函数B .减函数C .先增后减的函数D .先减后增的函数3.f (x )是定义在R 上的以3为周期的偶函数,且f (2)=0,则方程f (x )=0在区间(-6,6)内解的个数的最小值是( )A .10B .8C .6D .45.(2009年深圳调研)设f (x )=1+x 1-x,又记f 1(x )=f (x ),f k +1(x )=f [f k (x )],k =1,2,…,则f 2009(x )=( )A .-1xB .x C.x -1x +1 D.1+x 1-x6.(2009年山东卷)已知定义在R 上的奇函数f (x ),满足f (x -4)=-f (x ),且在区间[0,2]上是增函数,则( )A .f (-25)<f (11)<f (80)B .f (80)<f (11)<f (-25)C .f (11)<f (80)<f (-25)D .f (-25)<f (80)<f (11)7.(2009年山东卷)已知定义在R 上的奇函数f (x ),满足f (x -4)=-f (x ),且在区间[0,2]上是增函数,若方程f (x )=m (m >0)在区间[-8,8]上有四个不同的根x 1,x 2,x 3,x 4,则x 1+x 2+x 3+x 4=________.8.已知函数f (x )的定义域为R ,且满足f (x +2)=-f (x ).(1)求证:f (x )是周期函数;(2)若f (x )为奇函数,且当0≤x ≤1时,f (x )=12x ,求使 f (x )=-12在[0,2009]上的所有x 的个数. 9.设函数f (x )在(-∞,+∞)上满足f (2-x )=f (2+x ),f (7-x )=f (7+x ),且在闭区间[0,7]上,只有f (1)=f (3)=0.(1)试判断函数y =f (x )的奇偶性;(2)试求方程f (x )=0在闭区间[-2009,2009]上的根的个数,并证明你的结论.。
第15课 函数的周期性◇考纲解读掌握周期函数的定义及最小正周期的意义.◇知识梳理对于函数()x f ,存在非0常数T ,使得对于其定义域内总有()()x f T x f =+,则称的常数T 为函数的周期.1.周期函数的定义:对于函数()x f ,存在非0常数T ,使得对于其定义域内总有()()x f T x f =+,则称的常数_____为函数的周期.2.周期函数的性质:① ()()x f T x f =+()f x ⇒的周期为_____;②()()()x f x f a x f ⇒-=+的周期为_____;③如()()()x f x f a x f ⇒=+1的周期为_____; ④()()()x f x f a x f ⇒-=+1的周期为_____;⑤()()()1()1f x f x a f x f x -+=⇒+的周期为_____; ⑥()()()1()1f x f x a f x f x ++=⇒-的周期为_____;⑦()()()f x a f x b f x +=+⇒的周期为_____;⑧如果奇函数()y f x =满足()()f a x f a x +=-()f x ⇒的周期为_____;⑨如果偶函数()y f x =满足()()f a x f a x +=-()f x ⇒的周期为_____;◇基础训练1.设f (x )是定义在R 上最小正周期为T 的函数,则f (2x +3)是( )A.最小正周期为T 的函数B.最小正周期为2T 的函数C.最小正周期为2T的函数 D.不是周期函数2. 设函数()f x (x R ∈)是以3为周期的奇函数,且()()11,2,f f a >=则( )A. a >2B. a <-2C. a >1D. a <-13.(2006山东)已知定义在R 上的奇函数f (x )满足f (x+2)=-f (x ),则,f (6)的值为 ( )A.-1B.0C. 1D.24.(2007深圳一模)函数f (x )是定义域为R 的偶函数,又是以2为周期的周期函数.若f (x )在[-1,0]上是减函数,那么f (x )在[2,3]上是( )A.增函数B.减函数C.先增后减的函数D.先减后增的函数 ◇典型例题例1. (安徽卷)函数()f x 对于任意实数x 满足条件()()12f x f x +=,若()15,f =-则()()5f f =__________例2. 已知函数()y f x =是定义在R 上的周期函数,周期5T =,函数()(11)y f x x =-≤≤是奇函数又知()y f x =在[0,1]上是一次函数,在[1,4]上是二次函数,且在2x =时函数取得最小值5-①证明:(1)(4)0f f +=;②求(),[1,4]y f x x =∈的解析式◇能力提升1.已知定义在R 上的函数)(x f 是偶函数,对2)3()2()2( -=--=+∈f x f x f R x ,当有都时,)2007(f 的值为( )A .2B .4C .-2D .-42.(2007安徽)定义在R 上的函数)(x f 既是奇函数,又是周期函数,T 是它的一个正周期.若将方程0)(=x f 在闭区间][T T ,-上的根的个数记为n ,则n 可能为( )A.0B.1C.3D.5 3 .(2008珠海质检理)定义在R 上的奇函数)(x f 满足:对于任意,(3)()x R f x f x ∈+=-有,若(1)2f =,(5)f =则 ____.4.(2008中山一模)设定义在R 上的偶函数f (x )满足f (x +1)+f (x )=1,且当x ∈[1,2]时,f (x )=2-x ,则)5.2004(-f =_______.5.(2007广州二模)已知函数)x (f 满足1(x)(1)2,(x 1)1(x)f f f f +=+=-,则(3)f 的值为_________, (1)(2)(3)(2007)f f f f ⋅⋅⋅⋅ 的值为_____________.6.(2007北京海淀) 设函数()f x 是定义在R 上的奇函数,在1,12骣÷ç÷ç÷ç桫上单调递增,且满足()(1)f x f x -=-,给出下列结论:①(1)0f =;②函数()f x 的周期是2;③函数()f x 在1,02骣÷ç-÷ç÷ç桫上单调递增; ④函数(1)f x +是奇函数.其中正确的命题的序号是 .第15课 函数的周期性◇知识梳理1.T .2.① T ;②a 2;③a 2;④2a ;⑤2a ;⑥a 4;⑦a b -;⑧a 4;⑨2a ; ◇基础训练1. C ,2. D ,3. B ,4. A .◇典型例题例1.解:由()()12f x f x +=得()()14()2f x f x f x +==+,所以(5)(1)5f f ==-,则()()115(5)(1)(12)5f f f f f =-=-==--+。
函数的周期性与常考题【知识点分析】:函数的周期性设函数y=f(x),x∈D,如果存在非零常数T,使得对任意x∈D,都有f(x+T)=f(x),则称函数f(x)为周期函数,T为函数f(x)的一个周期.(D为定义域)1. 型的周期为T。
定义:对x取定义域内的每一个值时,都有,则为周期函数,T叫函数的周期。
【相似题练习】1.定义在R上的函数f(x)满足:f(x+6)=f(x),当﹣3≤x<﹣1时,f(x)=﹣(x+2)2;当﹣1≤x<3时,f(x)=x,则f(1)+f(2)+f(3)+…+f(2019)=()A.336B.337C.338D.3391.已知定义在R上的函数y=f(x)对于任意的x都满足f(x+2)=f(x).当﹣1≤x<1时,f(x)=x3.若函数g(x)=f(x)﹣log a|x|至少有6个零点,则a的取值范围是.1.已知f(x)是定义在R上的函数,且对任意实数x有f(x+4)=﹣f(x)+2,若函数y=f(x﹣1)的图象关于直线x=1对称,则f(2014)=()A.﹣2+2B.2+2C.2D.【知识点分析】:2. 型的周期为。
证明:。
特别得:f(x-a)=f(x+a)型,的周期为2a。
【相似题练习】2.已知偶函数y=f(x)满足条件f(x+1)=f(x﹣1),且当x∈[﹣1,0]时,f(x)=3x+,则f(5)的值等于.1.已知函数f(x)的定义域为R.当x<0时,f(x)=x3﹣1;当﹣1≤x≤1时,f(﹣x)=﹣f(x);当时,,则f(2019)=()A.﹣2B.﹣1C.0D.2【知识点分析】:3. 型的周期为2a。
证明:【相似题练习】1.已知定义在R上的函数f(x﹣1)的对称中心为(1,0),且f(x+2)=﹣f(x),当x∈(0,1]时,f(x)=2x﹣1,则f(x)在闭区间[﹣2014,2014]上的零点个数为.1.设函数f(x)是定义在R上的奇函数,满足f(x+1)=﹣f(x﹣1),若f(﹣1)>1,f(5)=a2﹣2a﹣4,则实数a的取值范围是()A.(﹣1,3)B.(﹣∞,﹣1)∪(3,+∞)C.(﹣3,1)D.(﹣∞,﹣3)∪(1,+∞)1.已知函数f(x)对任意x∈R都有f(x+6)+f(x)=2f(3),y=f(x﹣1)的图象关于点(1,0)对称,且f (4)=4,则f(2012)=()A.0B.﹣4C.﹣8D.﹣161.已知定义在R上的函数f(x)的图象关于点(﹣,0)成中心对称图形,且满足,f(﹣1)=1,f(0)=﹣2,则f(1)+f(2)+…+f(2015)的值为()A.1B.2C.﹣1D.﹣2【知识点分析】:4. 型的周期为2a。
周期性类型一:判断周期函数1.求下列函数是否为周期函数(1),满足(2),满足(3),满足(4),满足答案:(1)令∴∴∴T=2周期函数(2)∴T=4周期函数(3)∴T=4(4)∴T=8类型二:求值1.已知函数f(x)是定义在(-∞,+∞)上的奇函数,若对于任意的实数x≥0,都有f(x +2)=f(x),且当x∈[0,2)时f(x)=log2(x+1),则f(-2 013)+f(2 014)的值为() A.-1 B.-2C.2 D.1解析:选A因为f(x)是奇函数,且周期为2,所以f(-2 013)+f(2 014)=-f(2 013)+f(2 014)=-f(1)+f(0).又当x∈[0,2)时,f(x)=log2(x+1),所以f(-2 013)+f(2 014)=-1+0=-1.2.若偶函数y=f(x)为R上的周期为6的周期函数,且满足f(x)=(x+1)(x-a)(-3≤x≤3),则f(-6)等于________.(对定义域的运用)解析:∵y=f(x)为偶函数,且f(x)=(x+1)(x-a)(-3≤x≤3),∴f(x)=x2+(1-a)x-a,1-a=0.∴a=1.f (x )=(x +1)(x -1)(-3≤x ≤3). f (-6)=f (-6+6)=f (0)=-1. 答案:-13.定义在R 上的函数f (x )满足f (x )=⎩⎪⎨⎪⎧3x -1, x ≤0,f (x -1)-f (x -2), x >0,则f (2 016)=________.解析:x >0时,f (x )=f (x -1)-f (x -2),f (x +1)=f (x )-f (x -1),相加得f (x +1)=-f (x -2),即f (x +3)=-f (x ),所以f (x +6)=-f (x +3)=f (x ),进而f (2 016)=f (336×6)=f (0)=3-1=13. 答案:134.已知函数f (x )的定义域为R ,当x <0时,f (x )=x 3-1;当-1≤x ≤1时,f (-x )=-f (x );当x >12时,f ⎝⎛⎭⎫x +12=f ⎝⎛⎭⎫x -12,则f (6)=______. (转化) 答案 2解析 当x >12时,f ⎝⎛⎭⎫x +12=f ⎝⎛⎭⎫x -12,即f (x )=f (x +1),∴T =1,∴f (6)=f (1).当x <0时,f (x )=x 3-1,且-1≤x ≤1,f (-x )=-f (x ),∴f (6)=f (1)=-f (-1)=2.5.定义在R 上的函数f (x )满足f (-x )=-f (x ),f (x -2)=f (x +2),且x ∈(-1,0)时,f (x )=2x +15,则f (log 220)=________. (利用周期和奇函数改变范围)押题依据 利用函数的周期性、奇偶性求函数值是高考的传统题型,较好地考查学生思维的灵活性. 答案 -1解析 由f (x -2)=f (x +2)⇒f (x )=f (x +4),因为4<log 220<5,所以0<log 220-4<1,-1<4-log 220<0.又因为f (-x )=-f (x ),所以f (log 220)=f (log 220-4)=-f (4-log 220)=-f ⎝⎛⎭⎫log 245=-1. 6.设f(x)是定义在R 上的奇函数,且f(x+2)= -f(x),当0≤x ≤1时,f (x) = x ,则f (7.5 ) = ( ) (A) 0.5 (B) -0.5 (C) 1.5 (D) -1.5 解:∵y = f (x)是定义在R 上的奇函数,∴点(0,0)是其对称中心;又∵f (x+2 )= -f (x) = f (-x),即f (1+ x) = f (1-x), ∴直线x = 1是y = f (x) 对称轴,故y = f (x)是周期为4的周期函数。
函数周期性分类解析X,使f(X T) f (x)恒成立一.定义:若T为非零常数,对于定义域内的任则f(x)叫做周期函数,T叫做这个函数的一个周期。
二.重要结论1、f x f x a,则y f x是以T a为周期的周期函数;2、若函数y=f(x)满足f(x+a)=-f(x)(a>0),则f(x)为周期函数且2a是它的一个周期3、若函数fxa f x a,贝U f x是以T 2a为周期的周期函数14、y=f(x)满足f(x+a)= (a>0)则f(x)为周期函数且2a是它的一个周期f x15、若函数y=f(x)满足f(x+a)= ——(a>0)则f(x)为周期函数且2a是它的一个周f x期。
6 f(x a) 1 f(x),则f x是以T 2a为周期的周期函数.1 f(x)7、f(x a)吃,则fx是以T 4a为周期的周期函数8、若函数y=f(x)满足f(x+a)= 1一型(x € R, a>0)则f(x)为周期函数且4a是它的1 f (x)一个周期9、若函数y=f(x)的图像关于直线x=a,x=b(b>a都对称,则f(x)为周期函数且2(b-a) 是它的一个周期。
10、函数y f (x) x R的图象关于两点A a,y0、B b,y0 a b都对称,则函数f(x)是以2 b a为周期的周期函数;11、函数y f(x) x R的图象关于A a, y0和直线x b a b都对称,则函数f(x)是以4 b a为周期的周期函数;12、若偶函数y=f(x)的图像关于直线x=a对称,则f(x)为周期函数且2a是它的一个周期13、若奇函数y=f(x)的图像关于直线x=a对称,则f(x)为周期函数且4 a是它的一个周期。
14、若函数y=f(x)满足f(x)=f(x-a)+f(x+a)a>0)则f(x)为周期函数,6a是它的一个周期。
15、若奇函数y=f(x)满足f(x+T)=f(xXx € R, T M 0),则f(T)=0.函数的周期性练习题高一一•选择题(共15小题)1 .定义在 R 上的函数 f (x )满足 f (- x ) = - f (x ), f (x - 2) =f (x+2)且 x € (-1, 0)时,f (x ) =2x + ,则 f (Iog 220)=()5 52. 设偶函数f (x )对任意x€R ,都有f (x+3) = - ■,且当x €[ - 3,- 2]f ⑴时,f (x ) =4x ,则 f (107.5) = () A . 10 B .丄 C .- 10 D .-丄10 103.设偶函数f (x )对任意x€R 都有f (x )=-- 且当x €[ - 3,- 2]时ff 3J(x ) =4x ,则 f (119.5) = () A . 10 B .- 10 C.丄 D .—丄10 104. 若f (x )是R 上周期为5的奇函数,且满足f (1) =1, f (2) =3,则f (8) -f (4)的值为( )A . - 1 B . 1 C .- 2 D . 25. 已知f (x )是定义在R 上周期为4的奇函数,当x €( 0, 2]时,f (x ) =2x +log 2x ,则 f (2015) = () A . - 2 B . - C . 2 D . 5 6 .设f (x )是定义在R 上的周期为3的周期函数,如图表示该函数在区间(- 2, 1]上的图象,贝U f (2014) +f (2015) = ()A . 3B . 2C . 1D . 07.已知f (x )是定义在R 上的偶函数,并满足: —'一一f (我)二-一 ,当 2 強 W, f (x ) =x ,则 f (5.5)' r =f一 J —一一一. ()A . 5.5B . - 5.5 C . - 2.5 D . 2.5------ --------------8. 奇函数 f (x )满足 f (x+2) =-f (x ),当 x € (0, 1)时,f (x ) =3x 4,则 A . -2 B .-舟C . + D . 2 & 69. 定义在R 上的函数f (x )满足f (- x ) +f (x ) =0,且周期是4,若f (1)A . 1B .C . - 1D .-f (log 354)=()=5,则f (2015) ( ) A . 5 B . - 5 C . 0 D . 310 . f (x)对于任意实数x满足条件f (x+2) = 1,若f (1) =-5,贝Uf IxJf (f (5)) = ( ) A . - 5 B .-_ 15C二D . 511 .已知定义在R上的函数f (x) 满足f(x+5) =f (x - 5), 且0強屿时,f (x) =4 - x,则f (1003)=( ) A.- 1 B . 0 C . 1 D . 212 •函数f(x)是R上最小正周期为2的周期函数,当0喊V 2时f (x) =x2- x, 则函数y=f (x)的图象在区间[0, 6]上与x轴的交点个数为( )A. 6B. 7C. 8D. 913. 已知函数f (x)是定义在(-3 +〜上的奇函数,若对于任意的实数x刃, 都有f (x+2) =f (x),且当x €[0, 2)时,f (x) =log2 (x+1),则f (2014) +f(-2015) +f (2016)的值为( )A . - 1 B.- 2 C . 2 D. 114. 已知f (x)是定义在R上且周期为3的函数,当x €[0, 3)时,f (x) =|2x2 -4x+1|,则方程 f (x)=丄在[-3, 4]解的个数( )A . 4B. 8C. 9 D . 1015. 已知最小正周期为2的函数f (x)在区间[-1, 1]上的解析式是f (x) =x2, 则函数f (x)在实数集R上的图象与函数y=g (x) =|log5x|的图象的交点的个数是( )A. 3 B.4 C.5 D. 6二 .填空题(共10小题)16. 已知定义在R上的函数f (x),满足f (1)二,且对任意的x都有f (x+3)= -,则f (2014) = ______________ .- f (真丿17 .若y=f (x)是定义在R上周期为2的周期函数,且f (x)是偶函数,当x €[0,1]时,f (x) =2x- 1,则函数g (x) =f (x)- Iog5|x|的零点个数为 _______________ .T logo (8 - x) ,18 .定义在R上的函数f (x)满足f (x),则[£(x-O -f (M-2),K>0f (2013)的值为______________ .19. 定义在R上的函数f (x)的图象关于点(-三,0)对称,且满足f (x)=4-f (x+土), f (1) =1, f (0) =- 2,则 f (1) +f (2) +f (3) +-+f (2010) 的值为= .20. 定义在R上的函数f (x)满足:f (对¥,当x€ (0, 4)时,1+f I K Jf (x) =x2- 1,则f (2011) = _____________ .21 .定义在R上的函数f (x)满足f (x+6) =f (x).当-3喊V- 1时,f (x)= -(x+2) 2,当-1 強V3 时,f (x) =x .贝Uf (1) +f (2) +f (3) +-+f (2012) = _______________ .22 .若函数f (x)是周期为5的奇函数,且满足f (1) =1, f (2) =2,则f (8) -f (14) =.23 .设f (x)是定义在R上的以3为周期的奇函数,若f (2)> 1, f (2014)则实数a的取值范围是24.设f (x )是周期为2的奇函数,当0喊勻时,f (x) =2x (1 - x),则…Ifsinx, nn TT25•若f(x+2 )= ’,、一,则f(斗+2)?f(- 14)= .log2\ - s) p 尺QL 4三.解答题(共5小题)26. 设f (x)是定义在R上的奇函数,且对任意实数x恒有f (x+2) = - f (x), 当x q0,2]时,f (x) =2x - x2(1)求证:f (x)是周期函数;(2)当x €[2,4]时,求f (x)的解析式;(3)计算:f (0) +f (1) +f (2) + --+f (2004).27. 函数f (x)是以2为周期的偶函数,且当x如,1]时,f (x) =3x- 1.(1)求f (x)在[-1, 0]上的解析式;(2)求f 的值.328. 已知定义域为R的函数f (x)为奇函数,且满足f (x+4) =f (x),当x q0,1]时,f (x) =2x- 1.(1)求f (x)在[-1, 0) 上的解析式;(2)求 f [24)的值.I29. 已知函数f (x)既是奇函数又是周期函数,周期为=x2- 3,且x €[0,1]时,f (x)x+2,求f (-2014)的值.30•定义在R上的奇函数f (x)有最小正周期2, 且当x € (0, 1)时,f (x) =2x+2「x.(1)求f (x)在[-1, 0) 上的解析式;(2)判断f (x)在(-2,- 1) 上的单调性,并给予证明.函数的周期性练习题高一参考答案与试题解析 一•选择题(共15小题)1.【解答】解:•••定义在R 上的函数f (x )满足f (- x ) =-f (x ), •••函数f (x )为奇函数又••• f (x - 2) =f (x+2)•••函数f (x )为周期为4是周期函数 又 T Iog 232> Iog 220> Iog 2l6 ••• 4v Iog 220v 5••• f (Iog 220) =f (Iog 220 - 4) =f (logQ ) = - f (-logQ ) = - f (logi )2【解答】解:因为 f( x+3) = -.「,故有 f(x+6 ) = -. • =- 「 =ff IxJf t - £一 f G)(x ).函数f (x )是以6为周期的函数.(6X 17+5.5) =f (5.5)=-=-1 .1 4X i £5) '10f (107.5) =f 故选B3.【解答】解:•••函数f (x )对任意x€R 都有f (x )=-1 f (x-3),• f (x+3)则 f (x+6) 即函数f (x )的周期为6,• f (119.5) =f (20X5-0.5) =f (- 0.5)=-又•••偶函数f (x ), 当 x € - 3,- 2]时,有 f (x ) =4x , 1 • f (119.5)=- f (2.5)~ f ( - 2. 5)11 f ( - 0.訐3)f (2.5)111 i.故选: 4X ( -2. 5)=1C .4.【解答】解:f (x )是R 上周期为5的奇函数,f (- x ) = - f (x ), ••• f (1)= - f (- 1),可得 f (- 1) =-f (1) =- 1, 因为 f (2) =-f (2),可得 f (- 2) = - f (2) =-3,• f (8) =f (8- 5) =f (3) =f (3- 5) =f (-2) =-3, f (4) =f (4 - 5) =f (- 1) = - 1, • f (8)- f (4) =- 3-( - 1) =-2,故选 C ; 5.【解答】解:T f (x )的周期为4, 2015=4X504- 1, • f (2015) =f (- 1),又••• x € (- 1, 0)时,f (x ) • f (険)=1故 f (Iog 220) = - 1故选 C又f (x )是定义在R 上的奇函数,所以 f (2015) =-f (1) =-21 - log 2l=- 2,故选:A . 6•【解答】解:由图象知f (1) =1, f (- 1) =2, ••• f (x )是定义在R 上的周期为3的周期函数, ••• f (2014) +f (2015) =f (1) +f (- 1) =1+2=3, 故选:A 7. 【解答】解:(x )f (x+4) =f (x ),即函数f (x )的一个周期为4 ••• f (5.5) =f (1.5+4) =f (1.5) ••• f (x )是定义在R 上的偶函数••• f (5.5) =f (1.5) =f (- 1.5) =f (- 1.5+4) =f (2.5) ■/ 当 2^x <3, f (x ) =x ••• f (2.5) =2.5 ••• f (5.5) =2.5 故选 D 8. 【解答】解:T f[ (x+2) +2]=- f (x+2) =f (x ), ••• f (x )是以4为周期的奇函数, 又f (log 354) =f (log^3) =f (4+1 堆誇)=f ( log 3|) =f (- log 3|)二-f ( log 3|)9. 【解答】解:在R 上的函数f (x )满足f (- x ) +f (x ) =0 则:f (- x ) = - f (x )所以函数是奇函数 由于函数周期是4,所以 f (2015) =f (504X4- 1) =f (- 1) =- f (1) = - 5 10. 【解答】解::f (x+2) =f (:) • f (x+2+2) =「: { =f (x )• f (x )是以4为周期的函数 • f (5) =f (1+4) =f (1) = - 5••• f (log 354) = — 2,故选:A .= 1 - 1 =1 f (- 1+25 ] f ⑴f (f (5)) =f (- 5) =f (- 5+4) =f (- 1)又••• f (- 1)故选:B f (工+4)=- ---------- ---f 〔戒)=f则函数f (x )是周期为10的周期函数,则 f (1003) =f (1000+3) =f (3) =4 - 3=1, 故选: 12. 【解答】解:当v 2时,f (x ) =x 2- x=0解得x=0或x=1, 因为f (x )是R 上最小正周期为2的周期函数, 故f (x ) =0在区间[0, 6)上解的个数为6,又因为f (6) =f (0) =0,故f (x ) =0在区间[0, 6]上解的个数为7, 即函数y=f (x )的图象在区间[0, 6]上与x 轴的交点的个数为7,故选:B .13. 【解答】 解:T f (x+2) =f (x ), • f (2014) =f (2016) =f (0) =log 21=0, ••• f (x )为 R 上的奇函数,• f (- 2015) =-f (2015) =-f (1) =- 1. • f (2014) +f (- 2015) +f (2016) =0 - 1+0= - 1 .故选 A .14. 【解答】解:由题意知,f (x )是定义在R 上且周期为3的函数, 当 x q 0, 3)时,f (x ) =|2x 2- 4x+1|,由图象可知:函数y=f (x )与y==在区间[-3, 4]上有10个交点(互不相同),所以方程f (x ) — 在[ - 3, 4]解的个数是10个,故选:D . 15. 【解答】解:•••函数f (x )的最小正周期为2, • f (x+2) =f (x ),••• f (x ) =x , y=g (x ) =|log 5x| •作图如下:二f (f (5)) =-* 故选B11.【解答】解:T f(x+5) =f (x - 5), ••• f (x+10) =f (x ),C . 在同一坐标系中画出函数 f (x )与、七的图象如下图:•函数f (x)在实数集R上的图象与函数y=g (x) =|log5x|的图象的交点的个数为5,故选:C二•填空题(共10小题)16. 【解答】解:•••对任意的x都有f (x+3)=-f1f (x+6)= =f (x),-f C K+3)•函数f (x)为周期函数,且周期T=6 , • f (2014) =f (335>6+4) =f (4)=f (1+3) =----------- = - 5 故答案为:-517【解答】解:当x €[0, 1]时,f (x) =2x- 1,函数y=f (x)的周期为2,x €[ - 1, 0]时,f (x) =2-x- 1,可作出函数的图象;图象关于y轴对称的偶函数y=log5|x|.函数y=g (x)的零点,即为函数图象交点横坐标,当x >5时,y=log5|x|> 1,此时函数图象无交点,如图:又两函数在x >0上有4个交点,由对称性知它们在x v 0上也有4个交点,且它们关于直线y轴对称,可得函数g (x) =f (x) - log5|x|的零点个数为8;故答案为8;f (x+1) =f (x ) - f (x — 1) =f (x - 1)- f (x - 2)- f (x - 1), ••• f (x+1) =- f (x -2), 即 f (x+3) = - f (x ),• f (x+6) =f (x ),即当x >0时,函数的周期是6.• f (2013) =f (335>6+3) =f (3) =-f (0) =- log 2 (8-0) =- log 28=- 3, 故答案为:-3.19.【解答】解:由f (x ) =- f (x+一)得f=f (x ).所以可得f (x )是最小正周期T=3的周期函数;由f (x )的图象关于点(-仝,0)对称,知(x , y )的对称点是(-卫-x ,- 4 2y ).即若 y=f (x ),则必-y=f (-弓-x ),或 y= - f (-专-x ). (-x ) =f (x ),故知f (x )又是R 上的偶函数. 于是有:f (1) =f (- 1)=1; f (2) =f (2-3) =f (- 1) =1; f (3) =f (0+3)=f (0) = - 2 ;• f (1) +f (2) +f (3) =0,以下每连续3项之和为0. 而 2010=3>670,于是 f (2010) =0;•函数f (x )是周期函数且T=4 , • f (2011) =f (4 >502+3) =f (3),•••当 x € (0, 4)时,f (x ) =x 2- 1, • f (3) =8.即 f (2011) =8.故答案为: 8. 21. 【解答】解:•••当-3喊V- 1 时,f (x ) =-(x+2) 2,••• f (- 3) =- 1, f (- 2) =0, •••当—1 <X V 3 时,f (x ) =x ,-f (X - 2),(x+E ),故 f (-呂-x ) =f而已知f (x ) =-f今以x 代x+一,得f 故答案为0.20.【解答】解:由题意知,则令x=x+2代入得,=f (x - 1) (x+3) =f[-f ( (x),--'j 1+f (Q ,••• f (- 1) =- 1, f (0) =0, f (1) =1, f (2) =2,又■/ f (x+6) =f (x).故 f (3) =- 1, f (4) =0, f (5) =- 1, f (6) =0,又••• 2012=335^3+2,故f (1) +f (2) +f (3) +・・+f (2 012) =335>{f (1) +f (2) +f (3) +f (4) +f (5) +f (6) ]+f (1) +f (2) =335+1+2=338,故答案为:33822. 【解答】解:由题意可得,f (8) =f (8- 10) =f (- 2) =-f (2) =-2,f (14) =f (14 - 15) =f (- 1) = - f (1) = - 1, 故有f (8)- f (14) =-2-( - 1) =- 1,故答案为-1.23. 【解答】解:解:由f (x)是定义在R上的以3为周期的奇函数,则 f (x+3) =f (x), f (- x) = - f (x),••• f (2014) =f (3 >672 - 2) =f (- 2) =-f (2),又 f (2)> 1 ,••• f (2014)V- 1 ,即—1V- 1,即为「计V 0 ,a+1 a+1即有(3a- 2) (a+1)v 0,解得,-1V avg ,故答案为:- !<a<^."-1324. 【解答】解:T f (x)是周期为2的奇函数,当0喊<1时,f( x) =2x (1-x), •••f〔-鲁)=f (£) =-f 垮)=-2> (1,)=退,故答案为:-言.25. 【解答】解:由题意可得f ( +2) =sin二J 4=sin (6n-色、=-si=-渥,4 4 2同理可得 f (- 14) =f (- 16+2) =log216=4 ,•f (二^+2) ?f (- 14)=-省>=一也,故答案为:三.解答题(共5小题)26. 【解答】(1)证明::f (x+2) =-f (x),•f (x+4) =- f (x+2) =f (x),•f (x )是周期为4的周期函数;(2)解:当x€[ - 2 , 0]时,-x €[0 , 2],由已知得 f (- x) =2 (- x)-( - x) 2=- 2x - x2, 又f (x)是奇函数,•f (- x) = - f (x) = - 2x - x2,•f (x) =x2+2x ,又当x €[2 , 4]时,x - 4q - 2 , 0],• f (x - 4) = (x - 4) 2+2 (x - 4), 又f (x)是周期为4的周期函数,•f (x) =f (x - 4) = (x - 4) 2+2 (x - 4) =x2- 6x+8 , 从而求得x 耳2, 4]时,f (x) =x2- 6x+8;(3)解:f (0) =0, f (2) =0, f (1) =1, f (3) =- 1,又f (x)是周期为4的周期函数,••• f (0) +f (1) +f (2) +f (3) =f (4) +f (5) +f (6) +f (7) = -=f (2 000) +f (2 001) +f (2 002) +f (2 003) =0.••• f (0) +f (1) +f (2) +-+f (2 004) =0+f (2004) =0.27. 【解答】解:(1)当x €[ - 1, 0]时,-x€[0, 1],又f (x)是偶函数则F 4)二f (-J 二3 = 二诘厂- 1,x €[ - 1, 0].(2)logj^ - lo g36= -1 - la g32 f (lo gl6) =f (-l-la g32) =f (l-log32) 33•••1- Iog32€[0, 1],go 唧)即f (lo S16)斗28. 【解答】解:(1) 令x €[ - 1, 0),则-x€ (0, 1], ••• f (- x) =2-x- 1.又• f (x)是奇函数,••• f (- x) =- f (x),/• - f (x) =f (- x) =2 x- 1,f 二-〔*) *十1, xE [- 1. 0).(2) • f (x+4) =f (x), • f (x)是以4为周期的周期函数,Lag124= - lo ( - 5, - 4),2 lo S124+^6 ( - 1, 0),f (ld gl24)=f (1O£124H)=-(|) 1H-l=- 24X^1=1 229. 【解答】解:••函数f (x)的周期为3,•f (- 2014) =f (- 671X3 - 1) =f (- 1),••函数f (x)是奇函数,•f (- 1) =- f (1) = -( 12- 1+2) =- 2,•f (- 2014) =- 2.30. 【解答】解;(1)因为奇函数f (x)的定义域为R,周期为2 ,所以 f (- 1) =f (- 1+2) =f (1),且 f (- 1) =-f (1),于是 f (- 1) =0.… (2分)当x € ( - 1 , 0)时,-x € (0 , 1), f (x) = - f (- x) =-( 2-x+2x) =-2x- 2 乂.…(5分)❻(x= -所以f( x)在[-1,0)上的解析式为f(K)二¥- 厂巴(-1<K<O)f 7分)f2)f fx)在(-2,- 1)上是单调增函数.•••(9分)先讨论f f x)在(0, 1)上的单调性.设0V X1V X2V 1,则-f (七)=小十厂」小十厂2二(小-尹)(1-^7^)2 1 2因为0v X1< X2V1,所以- - ■ ■-,于是2叭_ 2H2<Q, 1 - ——>0 ,从而f f X1)- f f X2)< 0,所以f f x)在(0, 1)上是单调增函数.…f 12分)因为f f x)的周期为2,所以f f x)在(-2,- 1)上亦为单调增函数.•••(14 分)。
J例—设/(x)是定义在虫上的奇函数,/( %• 4- f (Afi /(3) - 5 ,则/(- 2 T -------------------------- ,7(200 5) = -------------------------例2:设/\x)是定义在R上的偶函数,且满足/(X - 2) - -^―,当OWxWl, /(x) - 2x, fW则Z(7.5) = _______________例3=设/(x)是定义在人上的奇函数,且/(x- 2)= /(x - 2) > /(I) = 2 »则/(2>/ ______________________ 练习1、函数对于任意实数*満足条件八:—打=广:,若门1)=一5贝」/(/(5))- --------------------2、已知定义在R上的奇函数f (x)满定f仗+2) =-f (x),则,f⑹的值为(A)-l (B) 0 (C) 1 (D)23、已知函数y = /(x)杲一个以4为最小正周期的奇函数,则/(2)= ()A. 0B. —4C. 4D.不能确定4、设/(x)是(-30,7)上的奇函数,/(x・ 2) - -/(x),当OSxSl 时,/(x) - x ,则/(47.5)等于 ______5、定义在尺上的偶函数/⑴満足./(x ・2)・/(x),且在[-3,-2]上是减函数,若zQ是锐角二角彫的两个内角,则/(sin a), /(cos P)的大小关系为______________6、已知/(X;是偶函数,且/(I) =993, g(x) = /(x-l)是奇函数,求/(2005)的值7、已知定义在R上的函数/(x)杲以2为周期的奇函数,则方程/(X)- 0在[-2,2]上至少有_________ 个实数根8、已知/(对杲定义在*上的函数,/(10^x)= /(10-x)且/Q0-x) = -/(20-x),则r(x).<()A.周期为20的奇函数B.周期为20的偶函数C.周期为40的哥函数D.周期为40的偶函数1.定义在R上的函数人x)是奇函数又是以2为周期的周期函麹则人1)+用)+刃)等于()A. -1B. 0C. 1D. 42.已知函数Xx)是定义域为R的偶函埶且Xv+2)=X.x),若HQ在[一1,0]上是减函瓠那么兀)在[2, 3]上是()A.増函数B.减函数C.先増后减的函数D.先减后増的函数3.加)是定义在R上的以3为周期的偶函数,且几2)=0,则方程夬x)=0在区间(一6,6)內解的个数的最小值杲()A. 10B. 8C. 6D. 45. (2009年深勿训研)设爪)=]_]又记/Kx)=Xx),尼心尸厲怠)],^=12,…,则上血(x)6.(2009年山东卷)已知定义在R上的奇函数爪),满足Hx—4)=Tx),且在区间[0,2]±是増函数,则()A. /(-25)<AH)</(80)B. 口80)勺11)勺一25)C. /(11)</<80)</<-25)D. X-25)<7(SO)</(11)7.(2009 山东卷)已知定义在R上的奇函数用),满足人x—4丿=一金),且在区间[02]上是増函数,若方程加)=«(加>0疮区间[—8,8]上有四个不同的槻Xi,X:, X4,则Xl+x:+xs+忌= ________ .S.已知函数人x)的定义域为&且满定爪+2)= —朋).⑴求证:介丿是周期函数;⑵若血为奇函数,且当00勿时,用)=冬,求使金)=二在[0』009]上的所有x的个数.9.设函数介)在(一8, +8)上满足X2-x)=/(2+x>人7—x)=/(7+x),且在闭区间[0:7]上, 只有八1)=几3)=0.⑴试判断函数_)=几)的奇偶性;(2)试求方程朋)=0在闭区间[-2009,2009]上吊根的个数,并证明你的结论.—、选环题1.已知定义在R上的奇函数㈱淹足心-2A-f(Q贝J贞6)笊值対(A. -1B. 0C. 1D. 22・已知函数>=/(x)是一个以4为眾小正司期的奇函数卩则/(2)= ()A. 0B. -4C. 4D.不能确定3. (29CO江阿已知跚:/(x)是(ax)上的偶刃数,若对干30, 2)-/(x),且当xu [0,2)时,/(x) - tcg:(x +1),则/(-2008)-/(200$)的值为( 〉A. -2B. -1C. 1D. 24函^f(i)对干仟意买敷x满尼圣件f(x・ 2) = — .若:(1)・-5・则f(f(、))等于() f(x)1 1A. 5 B -5 C - D ——5 55 /(“)杲定义在W上的曲数./(10-r) = /(10-r)且/(:0")=一/(“士巧・则/⑴是() A 周用为?0的奇压儼B周手为?0的渦冈费C.周期为40的奇函数D.周期为40的偶躅6 •偶函数fg是以2为周期的函数,且当Je 0,1)时,/ x)= 2X-1 ,则/(log:10)的值为(4 3 3. - C.-- D.-5 5 87 •已知•禺函数v =f(x)满足f(x -1) = f(x_l),且当x € [-1,0]时,f(x) = 3x + -, 9 则片(心门)的值等于()50 45S.设八x)是定义在人上以6为周期的函数,f (x)在03)内单调谨减,且y=/3的图象关于直逵对称.则下面正确的結论是()A. /(1.5)</(3.5)</(«5)B. /(3.5)</(1.5)</(6.5)C・.・:「—\)<八1二 D. /(3.5)</-6.5)</(1.5)9 (07安釵)定义在R上函数/ x;既是苛鹹,又是周播函驗I是它的一个正盾期若得方程/(x) - 0 在囲区「叫-八门上的根的个荻记为",则4可能为( )A.OB.l C3 D510・/(x)是定义在K二的以3为匮期的苛匪数,且/〔2).0衣区间(0,0)内解的个荻的就小追()A. 6B. 7C. 4D. 511.已知定义在*上的函較八)的图象关于成中心对称,且满;.7(-1 -1.4 2/(0) = -2.则/⑴〒/(2)・・・・*(2010)的童为( )C. 0D. 1【答累】BACDC二、蝮空题1.函数门・1对丁任意实数,荷足金件八一!—,若/|1)■・5则/(/| 5)]■ __________________________ 2虫丄的函数/⑴是収2为周軀的奇函数,贝烧程八x)=J 在]-2.2]丄至少有 ______________ 个实数根. 3 fCO 为 R 上的奇因敢•对 eR.5) - /(x) = 0 S/(2) = b /(200S) - ____________ 4. 设函数y = /(x)定义在R 上笊奇函数,且)=/仗)图像关于直纭“:对称,皿 F(l) + f(2) + f(3) + F(4) + f(5) = __________________ ・5设画数F(J 為R 上的奇因数.且f(翼) 心 3)-0.若f( 1)・f(2)<lo a 2 •則a 的取信范1围是 ___________6 定义在(-X,- X )上的I 禺因数f(x)荷足f(x ・l) = - f(x),且在[-1,0]上是增画瓠 下面是关于f(x)的判断^①f(x)是周期函数' ③f(X)在[0, 1]上定増鹹; 具中正碉的判断罡_____________ 7.设函敦/")是定义在;?上的奇函数.对于任意的"八 都有一门“儿 1T(K )当 0 < r < 1 时,/(w)・2x,则/(11.5)-【答宾】1. : 2. 5: 3 "1: 4 0: 5.0cd€—.a>l :6 (D ①④:7.・1・5 2 【.碱/(门定义在R 上.目満足/(x.2)[l-/;r)]=1-/(x).八1) = 12.求/(2DH)的洎.*)2.已知函数/'(X )的图象关于点--:0 I 对称,且wR/(x) = -/(X+^-),又/(T 4,/(0)=-2> 求 f(l)-/(2)-/•⑶一 ...-/(200G)的值。
数学课程函数周期性练习题及答案本文将为大家提供一些数学课程中关于函数周期性的练习题及其答案。
函数周期性是数学中的一个重要概念,在数学中广泛应用于各种实际问题的建模和解决过程中。
通过这些练习题的训练,我们能够更好地理解和应用函数周期性的概念。
下面将为大家提供一些练习题及其答案,供大家学习参考。
1. 练习题:给定函数 f(x) = sin(2x),请问这个函数的周期是多少?答案:根据三角函数的性质,sin函数的周期是2π,由于这里定义的函数中2x作为参数,所以周期缩短为π。
因此,这个函数的周期是π。
2. 练习题:给定函数g(x) = 3cos(4x),请问这个函数的周期是多少?答案:同上,根据三角函数的性质,cos函数的周期是2π,由于这里定义的函数中4x作为参数,所以周期缩短为π/2。
因此,这个函数的周期是π/2。
3. 练习题:给定函数 h(x) = tan(x),请问这个函数的周期是多少?答案:tan函数的周期是π,因此这个函数的周期是π。
4. 练习题:根据给定的函数 f(x) = sin(x) + cos(x),求函数的最小正周期。
答案:根据三角函数的和差化积公式,sin(x) + cos(x)可以化简为sqrt(2)sin(x + π/4),其中sqrt(2)是常数。
根据sin函数的周期是2π,因此这个函数的最小正周期是2π。
5. 练习题:根据给定的函数 g(x) = 2cos(3x) - sin(6x),求函数的最小正周期。
答案:注意到函数中的3x和6x这两个参数,对应的周期分别为2π/3和2π/6,两者的最小公倍数是2π,因此这个函数的最小正周期是2π。
通过上述的练习题及其答案,我们可以加深对函数周期性的理解,并学会灵活应用周期性概念解决实际问题。
希望大家通过不断练习,掌握函数周期性的特点与应用,提高数学解题能力。
祝愿大家在学习数学的道路上取得更好的成绩!。
函数的周期性周期函数的定义:对于函数f X,存在非0常数T,使得对于其定义域内总有f x T二f x,贝卩称的常数T为函数的周期。
周期函数的性质:1、f x二f x a,则y=f x是以T=a为周期的周期函数;2、若函数y=f(x)满足f(x+a)=-f(x) (a>0),则f(x)为周期函数且2a是它的一个周期。
3、若函数f x v =f x-a,则f x是以T =2a为周期的周期函数4、y=f(x)满足f(x+a) = — (a>0),则f(x)为周期函数且2a是它的一个f(X )周期。
5、若函数y=f(x)满足f(x+a)= 一丄(a>0),则f(x)为周期函数且2a是f(X )它的一个周期。
6、f(x a)二匕卫,则fx是以T=2a为周期的周期函数.1 +f(x)7、f(x.a)—」0,则f x是以T=4a为周期的周期函数.1 -f(x)8若函数y=f(x)的图像关于直线x=a,x=b(b>a)都对称,则f(x)为周期函数且2 (b-a)是它的一个周期。
9、函数厂f(x) R的图象关于两点A a,y。
、B b,y。
a ::: b都对称,贝恼数f(x)是以2 b-a为周期的周期函数;10、函数y = f (x) x R的图象关于A a, y°和直线x = b a : b都对称,则函数f(x)是以4 b—a为周期的周期函数;11、若偶函数y=f(x)的图像关于直线x=a对称,则f(x)为周期函数且2a是它的一个周期。
12、若奇函数y=f(x)的图像关于直线x=a对称,则f(x)为周期函数且4a是它的一个周期。
13、若函数y=f(x)满足f(x)=f(x-a)+f(x+a)( a>0),则f(x)为周期函数,6a是它的一个周期。
14、若奇函数y=f(x)满足f(x+T)=f(x) (x € R, T H 0),则f(T)=0.【试题举例】例1、(2006年山东卷)已知定义在R上的奇函数f(x)满足f(x+2)= -f(x),则,f(6)的值为(B)(A) - 1 (B) 0 (C) 1(D)2【考点分析】本题考查函数的周期性和奇偶性,基础题。
函数的周期性。
经典例题函数的周期性周期函数的定义:对于函数f(x),存在非常数T,使得对于其定义域内总有f(x+T)=f(x),则常数T为函数的周期。
周期函数的性质:1.若f(x)=f(x+a),则y=f(x)是以T=a为周期的周期函数。
2.若函数y=f(x)满足f(x+a)=-f(x)(a>0),则f(x)为周期函数且2a是它的一个周期。
3.若函数f(x+a)=f(x-a),则f(x)是以T=2a为周期的周期函数。
4.若函数y=f(x)满足f(x+a)=f(x),则a为它的一个周期。
5.若函数y=f(x)满足f(x+a)=f(x-a),则2a为它的一个周期。
6.若f(x+a)= (1-f(x))/(1+f(x))(a>0),则f(x)是以T=2a为周期的周期函数。
7.若f(x+a)=-(1+f(x))/(1-f(x))(a>0),则f(x)是以T=4a为周期的周期函数。
8.若函数y=f(x)的图像关于直线x=a,x=b(b>a)都对称,则f(x)为周期函数且2(b-a)是它的一个周期。
9.函数y=f(x)(x∈R)的图象关于两点A(a,y)、B(b,y)(a<b)都对称,则函数f(x)是以2(b-a)为周期的周期函数。
10.函数y=f(x)(x∈R)的图象关于A(a,y)和直线x=b(a<b)都对称,则函数f(x)是以4(b-a)为周期的周期函数。
11.若偶函数y=f(x)的图像关于直线x=a对称,则f(x)为周期函数且2a是它的一个周期。
12.若奇函数y=f(x)的图像关于直线x=a对称,则f(x)为周期函数且4a是它的一个周期。
13.若函数y=f(x)满足f(x)=f(x-a)+f(x+a)(a>0),则f(x)为周期函数,6a是它的一个周期。
14.若奇函数y=f(x)满足f(x+T)=f(x)(x∈R,T≠0),则f(x)=0.例1、(2006年山东卷)已知定义在R上的奇函数f(x)满足f(x+2)=2-f(x),则f(6)的值为(B)。
函数的周期性
周期函数的定义:对于函数()x f ,存在非0常数T ,使得对于
其定义域内总有()()x f T x f =+,则称的常数T 为函数的周期。
周期函数的性质:
1、()()f x f x a =+,则()y f x =是以T a =为周期的周期函数;
2、若函数y=f(x)满足f(x+a)=-f(x)(a>0),则f(x)为周期函数且2a 是它
的一个周期。
3、若函数()()f x a f x a +=-,则()x f 是以2T a =为周期的周期函数
4、y=f(x)满足f(x+a)=
()x f 1 (a>0),则f(x)为周期函数且2a 是它的一个周期。
5、若函数y=f(x)满足f(x+a)=
()x f 1-(a>0),则f(x)为周期函数且2a 是
它的一个周期。
6、1()()1()f x f x a f x -+=+,则()x f 是以2T a =为周期的周期函数.
7、1()
()1()f x f x a f x ++=--,则()x f 是以4T a =为周期的周期函数.
8、若函数y=f(x)的图像关于直线x=a,x=b(b>a)都对称,则f(x)为周期
函数且2(b-a )是它的一个周期。
9、函数()y f x =()x R ∈的图象关于两点()0,A a y 、()0,B b y ()a b <都对称,
则函数()f x 是以()2b a -为周期的周期函数;
10、函数()y f x =()x R ∈的图象关于()0,A a y 和直线x b =()a b <都对称,
则函数()f x 是以()4b a -为周期的周期函数;
11、若偶函数y=f(x)的图像关于直线x=a 对称,则f(x)为周期函数且2a 是它的一个周期。
12、若奇函数y=f(x)的图像关于直线x=a 对称,则f(x)为周期函数且4a 是它的一个周期。
13、若函数y=f(x)满足f(x)=f(x-a)+f(x+a)(a>0),则f(x)为周期函数,6a
是它的一个周期。
14、若奇函数y=f(x)满足f(x+T)=f(x)(x ∈R ,T≠0), 则f(2T )=0.
【试题举例】
(2006年山东卷)已知定义在R 上的奇函数f (x )满足f (x+2)=-f (x ),则,f (6)的值为 (B)
(A)-1 (B) 0 (C) 1
(D)2
【考点分析】本题考查函数的周期性和奇偶性,基础题。
解析:由()()()()()x f x f x f x f x f =+-=+⇒-=+242
由()x f 是定义在R 上的奇函数得()00=f ,∴
()()()()002246=-==+=f f f f ,故选择B 。
【窥管之见】本题用到两重要性质:①()()()x f x f a x f ⇒-=+的周
期为a 2;②如()x f 是定义在R 上的奇函数,则()00=f 。
(2005天津卷)设f (x )是定义在R 上的奇函数,且()x f y =的图
象关于直线21
=x 对称,则f (1)+ f (2)+ f (3)+ f (4)+ f
(5)=_0_______________.
【考点分析】本题考查函数的周期性
解析:()()00f f -=-得()00f =,假设()0f n =
因为点(n -,0)和点(1,0n +)关于1
2x =对称,所以
()()()10f n f n f n +=-=-=
因此,对一切正整数n 都有:()0f n =
从而:()()()()()123450f f f f f ++++=。
本题答案填写:0
(2006福建卷)已知()f x 是周期为2的奇函数,当01x <<时,()lg .f x x =
设63(),(),52a f b f ==5(),2
c f =则
(A )a b c << (B )b a c << (C )c b a << (D )c a b << 解:已知()f x 是周期为2的奇函数,当01x <<时,()lg .f x x = 设644()()()555a f f f ==-=-,311()()()222b f f f ==-=-,51()()22
c f f ==<0,∴c a b <<,选D.
(2006年安徽卷理)函数()f x 对于任意实数x 满足条件()()12f x f x +=,若()15,f =-则()()5f f =__________。
【考点分析】本题考查函数的周期性与求函数值,中档题。
解析:由()()12f x f x +=得()()
14()2f x f x f x +==+,所以(5)(1)5f f ==-,则()()115(5)(1)(12)5
f f f f f =-=-==--+。
【窥管之见】函数的周期性在高考考查中除了在三角函数中较为直接考查外,一般都比较灵活。
本题应直观理解()()12f x f x +=
“只要加2,则变倒数,加两次则回原位” 则一通尽通也。
1996全国,15)设()f x 是()+∞∞-,上的奇函数,()()x f x f -=+2,当0≤x ≤1时,()x x f =,则f (7.5)等于( )
A.0.5
B.-0.5
C.1.5
D.-1.5
解析:由()()()()()()()5.05.15.35.55.72-=-==-=⇒-=+f f f f f x f x f ,又()f x 是奇函数,故()()5.05.05.0-=-=-f f ,故选择B 。
(2005福建卷)(x f 是定义在R 上的以3为周期的偶函数,且
0)2(=f ,则方程)(x f =0在区间(0,6)内解的个数的最小值是 ( B )
A .5
B .4
C .3
D .2
解析:由)(x f 的周期性知,()()()()04115)2(=-=-=-==f f f f f
即至少有根1,2,4,5。
故选择B 。
05广东卷)设函数()f x 在(,)-∞+∞上满足(2)(2)f x f x -=+,(7)(7)f x f x -=+,且在闭区间[0,7]上,只有(1)(3)0f f ==.
(Ⅰ)试判断函数()y f x =的奇偶性;
(Ⅱ)试求方程()f x =0在闭区间[-2005,2005]上的根的个数,并证明你的结论.
.解:由f(2-x)=f(2+x),f(7-x)=f(7+x)得函数)(x f y =的对称轴为72==x x 和,
从而知函数)(x f y =不是奇函数,
由)14()4()14()()4()()7()7()2()2(x f x f x f x f x f x f x f x f x f x f -=-⇒⎩
⎨⎧-=-=⇒⎩⎨⎧+=-+=- )10()(+=⇒x f x f ,从而知函数)(x f y =的周期为10=T 又0)7(,0)0()3(≠==f f f 而,故函数)(x f y =是非奇非偶函数; (II)由)14()4()14()()4()()7()7()2()2(x f x f x f x f x f x f x f x f x f x f -=-⇒⎩
⎨⎧-=-=⇒⎩⎨⎧+=-+=- )10()(+=⇒x f x f
(II) 又0)9()7()13()11(,0)0()3(=-=-====f f f f f f
故f(x)在[0,10]和[-10,0]上均有有两个解,从而可知函数)(x f y =在
[0,2005]上有402个解,在[-2005.0]上有400个解,所以函数)(x f y =在
[-2005,2005]上有802个解.。