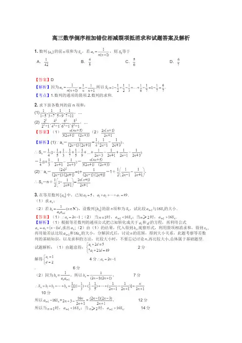
数列求和错位相减法,裂项相消法后附答案
- 格式:docx
- 大小:38.04 KB
- 文档页数:7
错位相减法[典例](2017·山东高考)已知{a n }是各项均为正数的等比数列,且a 1+a 2=6,a 1a 2=a 3.(1)求数列{a n }的通项公式;(2){b n }为各项非零的等差数列,其前n 项和为S n .已知S 2n +1=b n b n +1n 项和T n .[解](1)设{a n }的公比为q ,由题意知:a 1(1+q )=6,a 21q =a 1q 2.又a n >0,解得a 1=2,q =2,所以a n =2n .(2)由题意知,S 2n +1=(2n +1)(b 1+b 2n +1)2=(2n +1)b n +1,又S 2n +1=b n b n +1,b n +1≠0,所以b n =2n +1.令c n =b n a n ,则c n =2n +12n ,因此T n =c 1+c 2+…+c n =32+522+723+…+2n -12n -1+2n +12n ,又12T n =322+523+724+…+2n -12n +2n +12n +1,两式相减得12T n =32++122+…-2n +12n +1=32+1-1-2n +12n +1=52-2n +52n +1,所以T n =5-2n +52n .[变透练清]1.(变结论)若本例中a n ,b n 不变,求数列{a n b n }的前n 项和T n .解:由本例解析知a n =2n ,b n =2n +1,故T n =3×21+5×22+7×23+…+(2n +1)×2n ,2T n =3×22+5×23+7×24+…+(2n +1)×2n +1,上述两式相减,得,-T n =3×2+2×22+2×23+…+2×2n -(2n +1)2n +1=6+8(1-2n-1)1-2-(2n+1)2n+1=(1-2n)2n+1-2得T n=(2n-1)×2n+1+2.1.用裂项法求和的裂项原则及消项规律2.常见的拆项公式(1)1n(n+1)=1n-1n+1;(2)1(2n-1)(2n+1)=(3)1n+n+1=n+1-n;1.在等差数列{a n}中,a3+a5+a7=6,a11=8n项和为()A.n+1n+2B.nn+2C.n n+1D.2n n+1解析:选C因为a3+a5+a7=6,所以3a5=6,a5=2,又a11=8,所以等差数列{a n}的公差d=a11-a511-5=1,所以a n=a5+(n-5)d=n-3,所以1a n+3·a n+4=1n(n+1)=1n-1n+1,n项和为1-12+12-13+…+1n-1n+1=1-1n+1=nn+1,故选C.2.各项均为正数的等比数列{a n}中,a1=8,且2a1,a3,3a2成等差数列.(1)求数列{a n}的通项公式;(2)若数列{b n}满足b n=1n log2a n,求{b n}的前n项和S n.解:(1)设等比数列{a n}的公比为q(q>0).∵2a1,a3,3a2成等差数列,∴2a3=2a1+3a2,即2a1q2=2a1+3a1q,∴2q 2-3q -2=0,解得q =2或q =-12(舍去),∴a n =8×2n -1=2n +2.(2)由(1)可得b n =1n log 22n +2=1n (n +2)=∴S n =b 1+b 2+b 3+…+b n-13+12-14+13-15+…+1n -+12-1n +1-=34-=34-2n +32(n +1)(n +2).。
=1 + q 3= 9,a 1 1-q 10S 10 1— g Z = 2,金=a 11-q 51-q=1 + 25= 33.1.等比数列前 ⑴公式:S n = 数列综合练习(一)n 项和公式: a 1 1 - q a 1 - a n q , —~~ = —- qM 11 - q 1 - q na_1 q= 1 (2)注意:应用该公式时,- 定不要忽略 q= 1的情况. a 1 2•若{a n }是等比数列,且公比 qM 1,则前n 项和S =宀(1 - q n )= A(q n- 1).其中 1 — q A a 1A= ~. q — 13•推导等比数列前 n 项和的方法叫错位相减法•一般适用于求一个等差数列与一个等 比数列对应项积的前 n 项和. 4•拆项成差求和经常用到下列拆项公式:1 = 1- _J_;(1)n n+ 1 = n -n+ 1 ;、选择题S 51.设S n 为等比数列{a n }的前n 项和,8a 2 + a 5= 0,则-等于()A. 11C.- 8答案 D 解析 由 8a 2 + a 5= 0 得 8a 1q + a 1q 4= 0,S 5 a1 1 + 2••q = -2,则 S 2= c2 =- 11.S2 a 1 1 - 225 -11 2•记等比数列{a n }的前n 项和为S n ,若S 3= 2, S 6= 18,则才等于( )A. - 3 C.- 答案 31 DB . 5 D . 33 a 1 1-q 6解析由题意知公比q 丰1, S 6 = 1—gS3 = a 1 1- q 33.设等比数列{a n }的公比q= 2,前n 项和为S n ,则一等于()a 2A. 2 C. 2 答案 CB. 4f 17 D.^ 解析 方法一 由等比数列的定义, 1 2 15 得 02=1+1+q +q = 125. a 1 1— q 4,a 2 — a 1q, 1 — q 方法二 St =S 4= a 1 + a 2 + a 3+ a 4= aq + a 2+ a 2q+ a 2q 2,S 4_ 1 — q 4■ ■ a21 — q q 4.设{a n }是由正数组成的等比数列, ) 15 ^33 答案 B 解析 •••{a n }是由正数组成的等比数列,且 a 2a 4- 1, •••设{a n }的公比为q ,贝U q>0,且a 2= 1,即a 3- 1. 1 1 '•S 3— 7 ,^a 1 + a 2+ a 3 — 2+ + 1 — 7,q q即 6q 2— q — 1 — 0. 故q —1或q —— 1(舍去),1 , ••31— P — 4. q2 141 —歹 1 31 ••&= — =8(1—戶=7 1—2 5. 在数列{a n }中,a n +1 — ca n (c 为非零常数),且前n 项和为S n — 3"+匕则实数k 的值为 )A. 0 答案 解析 15 y. 31 叮f 17 C.— 1 S n 为其前n 项和,已知 a 2a 4= 1, S 3= 7,贝U S s 等 B. 1 C 当 n = 1 时,a 1 = S 1 = 3+ k, 当 n >2 时,a n = S n — S n — 1= (3n + k) — (3n —1+ k) =3n — 3n —1 = 2 3n — 1. D. 2 由题意知{a n }为等比数列,所以 a 1 = 3+ k — 2, ••k=— 1. 6.在等比数列{ a n }中,公比q 是整数,a 1+ a 4— 18, a 2+ a 3— 12,则此数列的前 8项和 )A . 514B . 513 答案 D 解析 由 a 1 + a 4 — 18 和 a 2 + a 3 —12, C. 512 D . 510… a1 - a n q 解析 S n = ------- ,•- 3411-q 1-q -■q = - 2,又■/ a n = a 1q n -1 ,•-512 = (— 2)n -1••n = 10. 10.如果数列{a n }的前n 项和S n = 2a n - 1,则此数列的通项公式a n =答案 2n -1解析 当 n = 1时,S1 = 2a 1 - 1, •a 1 = 2a 1 — 1, •a 1= 1.当 n >2 时,a n = S n - S n-1= (2a n -1)- (2a n-1 - 1) ••a n = 2a n- 1,-{a n }是等比数列, •'a n = 2n -1, n € N . 三、解答题11. a 1a n = 128, '^a3a n-2=a 1a n ,—a 1a n = 128,解方程组a 1+ a n = 66,3a 1 + a 1q = 18 得方程组 a 1q+ a 1q 2= 12 a 1 = 2,解得 q= 2 a 1= 16■-■q 为整数,••• q= 2, a 1= 2, 2 28- 1 S 8= ------- 2- 1 =29- 2= 510. 二、填空题 7•若{a n }是等比数列,且前 答案-3解析 显然qM 1,此时应有 1 1 又 S n = 3 3n+ t, ^t =- 3. &设等比数列{a n }的前n 项和为S n ,若 答案 3 n 项和为 S n = 3nF + t,贝y t=S n = A(q n- 1), a 1 = 1, S 3= 4S 3,贝U a 4 =a 1 1 - q 6解析 S 6= 4S 3? ----------- 1-q •'34= a 1 q 3= 1 X 3= 3. 9.若等比数列{a n }中,a 1= 1, 答案 10 4 a 1 1 - q 3q 1-q q 3= 3(q 3= 1不合题意,舍去).a n =- 512,前n 项和为S n =- 341 ,则n 的值是a 1= 64, a 1= 2,得① 或a n = 2,a n = 64.a 1 — a n q将①代入S n = ,可得q =②1 + 512q 在等比数列{a n }中,a i + a n = 66, a 3a n -2= 128, S n = 126,求 n 和 q.a1 - a n q将②代入S n= -------- ,可得1 - q12,由 a n= a1q n -1可解得 n= 6.-qq= 2,由 a n = a 1q n -1可解得 n=6.故 n = 6, q= 或 2.12.已知S n 为等比数列{a n }的前n 项和,S n = 54 , S 2n = 60,求S 3n . 解方法一由题意S n , S 2n - Sn, S 3n - S 2n 成等比数列, 2182 • •62= 54(S 3n — 60),.・.S 3n =. na 1 1 - q• • S n = = 541 - qa 1 1 - q 2nS 2n = = 601 - q n 1 —• q = 9, - - = —8 —, ■ •S3n=9 1 — q 813.已知数列{a n }的前n 项和S n = 2n乜一4.(1)求数列{a n }的通项公式; ⑵设b n = a n 1og 2a n ,求数列{b n }的前n 项和T n .解(1)由题意,S n = 2n + 2— 4, n>2 时,a n = S n -S n-1 = 2n + 2-2n + 1= 2n +1, 当n= 1时,a 1= S 1= 23-4 = 4,也适合上式, •••数列{a n }的通项公式为a n = 2n +1, n € N *.⑵•••b n = a n log 2a n = (n + 1) 2n +1,•••T n = 2 2?+ 3 23+ 4 24+…+n 2n+ (n + 1) 2n +1, 2T n = 2 23+ 3 24+ 4 25+ …+n •2n+ 1+ (n + 1) 2n+ 2. ②—①得,T n =- 23- 23-24- 25— (2)+ 1+ (n+ 1) 2・n+ 2231 - 2n -1=-23---- ---------- +(n+ 1) 2n + 2=- 23-23(2n -1 - 1)+ (n + 1) 2-n + 21-2 =(n + 1) 2n + 2- 23 2n —1= (n+ 1) Z"2- 2n+ 2= n 2n + 214. 已知等差数列{a n }满足:a 3= 7, a 5+ a 7= 26, {a n }的前n 项和为 (1)求 a n 及 S n ; ⑵令b n=h :(n€ N *),求数列{b n }的前n 项和T n .a n - 1 解(1)设等差数列{a n }的首项为a 1,公差为d.a i + 2d= 7 因为 a 3= 7, a 5+ a 7= 26,所以 2a i + 10d= 26,a1= 3,n n — 1解得 所以 a n = 3 + 2(n- 1)= 2n+ 1, S n = 3n+一2— X 2= n 2+2n.d = 2. 2所以,a n = 2n+ 1, S n = n ^+Qn. ⑵由(1)知 a n = 2n+ 1,1 1 1所以 b n = — = 2 = 1. 3na 1 1-q 9 X 54 1-q 10 由②电得1 + q n =9, a 1 9 X 54 182 8 (1 - 93)=—.S1.方法二由题意得az 1, a 2- 1 2n+ 1 2- 1 4n n+ 11 1nn+1 ,1 1 1 1 1 1Tn=汀-1 +1—3+…+1—苗) =1(1 ——)=一d- 4 n+ 1 4 n+ 1即数列{ b n }的前n 项和T n = 一n一.4 n+ 1 15. 设数列{a n }满足 a i = 2, a n +1 — a n = 3 22n 1.(1) 求数列{a n }的通项公式;⑵令b n = na n ,求数列{b n }的前n 项和S n .解 (1)由已知,当 nA1 时,a n+1 = [(a n+1 — a n ) + (a n — a n —1) +…+ (a 2 — a i )] + a i = 3(22n — 1+ 22n — 3+ …+ 2) + 2= 22(n + 1)— 1.而a i = 2,符合上式,所以数列{a n }的通项公式为a n = 22n — 1.(2) 由 b n = na n = n 22n — 1知Sn= 1 2+ 2 23+ 3 25+ …+ 门 22n —1,从而 22S n = 1 23+ 2 25+ 3 27+ …+n 22n +1.①一②得(1 — 22)S n = 2+ 23+ 25+ ••• + 22n — 1— n 22n+11即 S n = 9[(3n — 1)22n +1+ 2].解析 ’•&+1 = an+ In1•■an+1— a n = In 1 + n =In又 a i = 2,■'an= a i + (a 2— a i ) + (a 3 — a 2)+ (a 4— a 3)+…+ (a n — a n —i ) = 2+ [In 2 — In 1 + In3— In 2 +In 4 — In 3 + …+ In n — ln(n — 1)] = 2 + In n —In 1 = 2 + In n. 117. 已知正项数列{a n }的前n 项和Si = 4(a n + 1)2,求{a n }的通项公式.1解 当 n = 1 时,a i = S i ,所以 a i = 4(a i + 1)2,解得a i = 1.当 n A2 时,a n = S n — S n — 1 = 4(a n + 1)2— 4(a n —1 + 1)2= 4(a n — a 2— i + 2a n — 2a n —i ),a n — a n — 1 — 2(a n + a n —1)= 0, (a n + a n —1)( a n — a n —1 — 2) = 0. a n + a n — 1 >0,— a n — a n — 1 — 2 = 0. a n — a n — 1 = 2.{ a n }是首项为1,公差为2的等差数列.所以 116.在数列{a n }中,a i = 2, a n +1= a n + In 1 + :,贝U a n 等于( C. 2+ nin n A . 2+ In n 答案 A2+ (n — 1)ln n 1 + n+ In nn + 1 n = ln(n+ 1) — In n.a n= 1 + 2(n — 1) = 2n — 1.18. (12 分)在数列{a n }中,a 1= 1, a n +1 = 2a n + 2n. (1)设b n = 誥•证明:数列{b n }是等差数列; ⑵求数列{a n }的前n 项和. (1)证明 由已知a n+1= 2a n + 2n, a n2n = 2^一1 + 1 = b n + 1.(2)解由(1)知,b n = n, an一 1—n —7 = b n = n. /a n = n 2 一 Qn 一 1.•S n = 1 + 2 21+ 3 22+…+n 2n — 1两边乘以 2 得:2S n = 1 21 + 2 22+…+ (n — 1)2-n — 1+ n 2 n, 两式相减得:一 S n = 1 + 21+22+…+ 2n — 1— n 2n=2n— 1 — n •2n= (1 — n)2n — 1, .•S n = (n — 1) 2n+ 1.119. (12 分)已知数列{a n }的前 n 项和为 S n ,且 a 1 = 1, a n +1 = = 1,2,3,…). (1)求数列{a n }的通项公式;⑵当b n = log 3(3a n +1)时,求证:数列{仁亠}的前n 项和 匚=匚丄2b n b n +1 1 + n1a n +1 = gS n , 3得 a n+1 = 2a n (nA 2).3•••数列{a n }是以a 2为首项,以2为公比的等比数列.1 1 1又 a 2= 2S I = 2a 1= 2,3 n 2 .•a n = a 2X(2)n — 2(nA 2).n= 1,• a n = 1丄X 23b n = Iog2(3a n +1)=1 1b n b n+1n1 + n n 1 + n_丄丄丄」…n= b i b 2 + b 2b 3 + b 3b 4 + +11 11 11 1 1 =(1 一 2)+ (2— 3)+ (3—4) +…+ (n — 1+ n ) =1-」1 + n 1+n.•b n+ 1— b n = 1,又 b 1 = a 1=1.•■{ b n }是首项为1 , 公差为1的等差数列. a n+1 2a n + 2n得 b n+ 1 = 2n = b n b n + 1 (1 )解由已知a n =如—1(n >2),(2)证明b n b n+1X (|)n -1] = n.。
数列求和-错位相减、裂项相消◆错位相减法错位相减法是求解由等差数列a n 和等比数列b n 对应项之积组成的数列c n (即c n =a n b n )的前n 项和的方法.这种方法运算量较大,要重视解题过程的训练.在讲等比数列的时候, 我们推导过等比数列的求和公式,其过程正是利用错位相减的原理, 等比数列的通项b n 其实可以看成等差数列通项a n a n =1 与等比数列通项b n 的积.公式秒杀:S n =(A ⋅n +B )q n -B (错位相减都可化简为这种形式,对于求解参数A 与B ,可以采用将前1项和与前2项和代入式中,建立二元一次方程求解.此方法可以快速求解出结果或者作为检验对错的依据.)【经典例题1】设数列a n 的前n 项和为S n ,若a 1=1,S n =a n +1-1.(1)求数列a n 的通项公式;(2)设b n =na n +1,求数列b n 的前n 项和T n .【答案】(1)a n =2n -1n ∈N ∗ ; (2)T n =2-n +22n.【解析】(1)因为a 1=1,S n =a n +1-1.所以S 1=a 2-1,解得a 2=2.当n ≥2时,S n -1=a n -1,所以a n =S n -S n -1=a n +1-a n ,所以2a n =a n +1,即a n +1a n=2.因为a 2a 1=2也满足上式,所以a n 是首项为1,公比为2的等比数列,所以a n =2n -1n ∈N ∗ .(2)由(1)知a n +1=2n ,所以b n =n2n ,所以T n =1×12+2×12 2+3×12 3+⋯+n ×12 n⋯①12T n =1×12 2+2×12 3+⋯+(n -1)×12 n +n ×12n +1⋯②①-②得12T n =12+12 2+12 3+⋯+12 n -n ×12 n +1=121-12 n1-12-n ×12 n +1=1-1+n 2 12 n ,所以T n =2-n +22n.【经典例题2】已知等差数列a n 的前n 项和为S n ,数列b n 为等比数列,且a 1=b 1=1,S 3=3b 2=12.(1)求数列a n ,b n 的通项公式;(2)若c n =a n b n +1,求数列c n 的前n 项和T n .【答案】(1)a n =3n -2,b n =4n -1(2)T n =4+n -1 4n +1【解析】(1)设等差数列a n 的公差为d ,等比数列b n 的公比为q ,由题意得:3a 1+3d =12,解得:d =3,所以a n =1+3n -1 =3n -2,由3b 2=12得:b 2=4,所以q =a2a 1=4,所以b n =4n -1(2)c n =a n b n +1=3n -2 ⋅4n ,则T n =4+4×42+7×43+⋯+3n -2 4n ①,4T n =42+4×43+7×44+⋯+3n -2 4n +1②,两式相减得:-3T n =4+3×42+3×43+3×44+⋯+3×4n -3n -2 4n +1=4+3×16-4n +11-4-3n -2 4n +1=-12+3-3n 4n +1,所以T n =4+n -1 4n +1【经典例题3】已知各项均为正数的等比数列a n 的前n 项和为S n ,且S 2=6,S 3=14.(1)求数列a n 的通项公式;(2)若b n =2n -1a n,求数列b n 的前n 项和T n .【答案】(1)a n =2n n ∈N * (2)T n =3-2n +32n 【解析】(1)设等比数列a n 的公比为q ,当q =1时,S n =na 1,所以S 2=2a 1=6,S 3=3a 1=14,无解.当q ≠1时,S n =a 11-q n 1-q ,所以S 2=a 11-q 21-q =6,S 3=a 11-q 31-q=14.解得a 1=2,q =2或a 1=18,q =-23(舍).所以a n =2×2n -1=2n n ∈N * .(2)b n =2n -1a n =2n -12n .所以T n =12+322+523+⋯+2n -32n -1+2n -12n ①,则12T n=122+323+524+⋯+2n -32n+2n -12n +1②,①-②得,12T n =12+222+223+224+⋯+22n -2n -12n +1=12+2122+123+124+⋯+12n -2n -12n +1=12+2×141-12n -1 1-12-2n -12n +1=32-2n +32n +1.所以T n =3-2n +32n.【练习1】已知数列a n 满足a 1=1,a n +1=2a n +1n ∈N ∗ .(1)求数列a n 的通项公式;(2)求数列n a n +1 的前n 项和S n .【答案】(1)a n =2n -1(2)S n =n -1 ⋅2n +1+2【解析】(1)由a n +1=2a n +1得:a n +1+1=2a n +1 ,又a 1+1=2,∴数列a n +1 是以2为首项,2为公比的等比数列,∴a n +1=2n ,∴a n =2n -1.(2)由(1)得:n a n +1 =n ⋅2n ;∴S n =1×21+2×22+3×23+⋅⋅⋅+n -1 ⋅2n -1+n ⋅2n ,2S n =1×22+2×23+3×24+⋅⋅⋅+n -1 ⋅2n +n ⋅2n +1,∴-S n =2+22+23++2n-n ⋅2n +1=21-2n1-2-n ⋅2n +1=1-n ⋅2n +1-2,∴S n =n -1 ⋅2n +1+2.【练习2】已知数列a n 的前n 项和为S n ,且S n =2a n -1.(1)求a n 的通项公式;(2)设b n =na n ,求数列b n 的前n 项和T n .【答案】(1)a n =2n -1(2)T n =(n -1)⋅2n +1【解析】(1)令n =1得S 1=a 1=2a 1-1,∴a 1=1,当n ≥2时,S n -1=2a n -1-1,则a n =S n -S n -1=2a n -2a n -1,整理得a n =2a n -1,∴an a n -1=2,∴数列a n 是首项为1,公比为2的等比数列,∴a n =2n -1;(2)由(1)得b n =na n =n ⋅2n -1,则T n =1⋅20+2⋅21+3⋅22+⋅⋅⋅+n ⋅2n -1,2T n =1⋅21+2⋅22+3⋅23+⋅⋅⋅+n ⋅2n ,两式相减得-T n =20+21+22+23+⋅⋅⋅+2n -1-n ⋅2n =1-2n1-2-n ⋅2n ,化简得T n =1-2n +n ⋅2n =(n -1)⋅2n +1.【练习3】已知数列a n 的前n 项和为S n ,且3S n =4a n -2.(1)求a n 的通项公式;(2)设b n =a n +1⋅log 2a n ,求数列b n 的前n 项和T n .【答案】(1)a n =22n -1(2)T n =409+6n -59×22n +3【解析】(1)当n =1时,3S 1=4a 1-2=3a 1,解得a 1=2.当n ≥2时,3a n =3S n -3S n -1=4a n -2-4a n -1-2 ,整理得a n =4a n -1,所以a n 是以2为首项,4为公比的等比数列,故a n =2×4n -1=22n -1.(2)由(1)可知,b n =a n +1⋅log 2a n =2n -1 ×22n +1,则T n =1×23+3×25+⋯+2n -1 ×22n +1,4T n =1×25+3×27+⋯+2n -1 ×22n +3,则-3T n =23+26+28+⋯+22n +2-2n -1 ×22n +3=23+26-22n +41-4-2n -1 ×22n +3=-403-6n -53×22n +3.故T n =409+6n -59×22n +3.【练习4】已知数列a n 满足a 1=1,a n +1=2n +1a na n +2n(n ∈N +).(1)求证数列2n a n 为等差数列;(2)设b n =n n +1 a n ,求数列b n 的前n 项和S n .【答案】(1)证明见解析 (2)S n =n -1 ⋅2n +1+2【解析】(1)由已知可得a n +12n +1=a n a n +2n ,即2n +1a n +1=2n a n +1,即2n +1a n +1-2n a n =1,∴2n a n 是等差数列.(2)由(1)知,2n a n =2a 1+n -1 ×1=n +1,∴a n =2nn +1,∴b n =n ⋅2nS n =1⋅2+2⋅22+3⋅23+⋅⋅⋅+n ⋅2n2S n =1⋅22+2⋅23+⋅⋅⋅+n -1 ⋅2n +n ⋅2n +1相减得,-S n=2+22+23+⋅⋅⋅+2n-n⋅2n+1=21-2n1-2-n⋅2n+1=2n+1-2-n⋅2n+1∴S n=n-1⋅2n+1+2◆裂项相消法把数列的通项拆成相邻两项之差,在求和时中间的一些项可以相互抵消,从而求得其和.在消项时要注意前面保留第几项,最后也要保留相对应的倒数几项.例如消项时保留第一项和第3项,相应的也要保留最后一项和倒数第三项.常见的裂项形式:(1)1n(n+k)=1k1n-1n+k;(2)1(2n-1)(2n+1)=1212n-1-12n+1;(3)1n+k+n=1k(n+k-n);(4)2n+1n2(n+1)2=1n2-1(n+1)2;(5)2n2n-12n+1-1=12n-1-12n+1-1;(6)2n(4n-1)n(n+1)=2n+1n+1-2nn;(7)n+1(2n-1)(2n+1)2n =1(2n-1)2n+1-1(2n+1)2n+2;(8)(-1)n(n+1)(2n+1)(2n+3)=14(-1)n2n+1-(-1)n+12n+3(9)(-1)nn-n-1=(-1)n(n+n-1)=(-1)n n-(-1)n-1n-1(10)1n(n+1)(n+2)=121n(n+1)-1(n+1)(n+2).(11)n⋅n!=n+1!-n!(12)kk+1!=1k!-1k+1!【经典例题1】已知正项数列a n中,a1=1,a2n+1-a2n=1,则数列1a n+1+a n的前99项和为( )A.4950B.10C.9D.14950【答案】C【解析】因为a2n+1-a2n=1且a21=1,所以,数列a2n是以1为首项,1为公差的等差数列,所以,a2n=1+n-1=n,因为数列a n为正项数列,则a n=n,则1a n+1+a n=1n+1+n=n+1-nn+1+nn+1-n=-n+n+1,所以,数列1a n+1+a n的前99项和为-1+2-2+3-⋯-99+100=10-1=9.故选:C.【经典例题2】数列a n 的通项公式为a n =2n +1n 2n +12n ∈N *,该数列的前8项和为__________.【答案】8081【解析】因为a n =2n +1n 2n +12=1n 2-1(n +1)2,所以S 8=1-122+122-132 +⋯+182-192 =1-181=8081.故答案为:8081.【经典例题3】已知数列a n 的前n 项和为S n =n 2,若b n =1a n a n +1,则数列{b n }的前n 项和为________.【答案】n 2n +1【解析】当n =1时,a 1=S 1=12=1,当n ≥2时,a n =S n -S n -1=n 2-n -1 2=2n -1,且当n =1时,2n -1=1=a 1,故数列a n 的通项公式为a n =2n -1,b n =1a n a n +1=1(2n -1)(2n +1)=1212n -1-12n +1 ,则数列{b n }的前n 项和为:121-13 +13-15 +15-17 +⋯+12n -1-12n +1 =121-12n +1 =n 2n +1.故答案为:n2n +1【练习1】数列12n +1+2n -1的前2022项和为( )A.4043-12B.4045-12C.4043-1D.4045-1【答案】B 【解析】解:12n +1+2n -1=2n +1-2n -12n +1+2n -1 2n +1-2n -1=2n +1-2n -12记12n +1+2n -1 的前n 项和为T n ,则T 2022=123-1+5-3+7-5+⋯+4045-4043=124045-1 ;故选:B 【练习2】数列a n 的各项均为正数,S n 为其前n 项和,对于任意的n ∈N *,总有a n ,S n ,a 2n 成等差数列,又记b n =1a 2n +1⋅a 2n +3,数列b n 的前n 项和T n =______.【答案】n6n +9【解析】由对于任意的n ∈N *,总有a n ,S n ,a 2n 成等差数列可得:2S n =a 2n +a n ,当n ≥2时可得2S n -1=a 2n -1+a n -1,所以2a n =2S n -2S n -1=a 2n +a n -a 2n -1-a n -1,所以a 2n -a n -a 2n -1-a n -1=0,所以(a n +a n -1)(a n -a n -1-1)=0,由数列a n 的各项均为正数,所以a n -a n -1=1,又n =1时a 2n -a n =0,所以a 1=1,所以a n =n ,b n =1a 2n +1⋅a 2n +3=1(2n +1)(2n +3)=1212n +1-12n +3 ,T n =1213-15+15-17+⋯12n +1-12n +3 =1213-12n +3 =n 6n +9.故答案为:n6n +9.【练习3】12!+23!+34!+⋅⋅⋅+nn +1 !=_______.【答案】1-1n +1 !【解析】∵k k +1 !=k +1-1k +1 !=1k !-1k +1 !,∴12!+23!+34!+⋅⋅⋅+n n +1 !=1-12!+12!-13!+13!-14!+⋅⋅⋅+1n -1 !-1n !+1n !-1n +1 !=1-1n +1 !.故答案为:1-1n +1 !.【练习4】设数列a n 满足a 1+4a 2+⋯+(3n -2)a n =3n .(1)求a n 的通项公式;(2)求数列a n3n +1 的前n 项和T n .【答案】(1)a n =33n -2(2)T n =3n3n +1【解析】(1)解:数列a n 满足a 1+4a 2+⋯+(3n -2)a n =3n ,当n =1时,得a 1=3,n ≥2时,a 1+4a 2+⋯+(3n -5)a n -1=3(n -1),两式相减得:(3n -2)a n =3,∴a n =33n -2,当n =1时,a 1=3,上式也成立.∴a n =33n -2;(2)因为a n 3n +1=3(3n -2)(3n +1),=13n -2-13n +1,∴T n =11-14+14-17+⋯+13n -2-13n +1,=1-13n +1=3n3n +1.【练习5】已知数列a n 的前n 项和为S n ,且2S n =1-a n n ∈N ∗ .(1)求数列a n 的通项公式;(2)设b n =log 13a n ,C n =n +1-nb n b n +1,求数列C n 的前n 项和T n【答案】(1)a n =13n (2)T n =1-1n +1【解析】(1)当n =1时,2a 1=2S 1=1-a 1,解得:a 1=13;当n ≥2时,2a n =2S n -2S n -1=1-a n -1+a n -1,即a n =13a n -1,∴数列a n 是以13为首项,13为公比的等比数列,∴a n =13 n =13n .(2)由(1)得:b n =log 1313 n =n ,∴C n =n +1-n n n +1=1n -1n +1,∴T n =1-12+12-13+13-14+⋅⋅⋅+1n -1-1n +1n -1n +1=1-1n +1.【练习6】已知数列a n 中,2n a 1+2n -1a 2+⋯+2a n =n ⋅2n .(1)证明:a n 为等比数列,并求a n 的通项公式;(2)设b n =(n -1)a nn (n +1),求数列b n 的前n 项和S n .【答案】(1)证明见解析;a n =2n -1n ∈N *(2)2n n +1-1【解析】(1)解:2n a 1+2n -1a 2+⋯+2a n =n ⋅2n ,即为a 1+a 22+⋯+a n2n -1=n ·······①,又a 1+a 22+⋯+a n -12n -2=n -1,········②,①-②得a n2n -1=1,即a n =2n -1(n ≥2),又当n =1时,a 1=1=21-1,故a n =2n -1n ∈N * ;从而a n +1a n =2n2n -1=2n ∈N * ,所以a n 是首项为1,公比为2的等比数列;(2)由(1)得b n =(n -1)2n -1n (n +1)=2n n +1-2n -1n ,所以S n =212-201 +223-212 +⋯+2n n +1-2n -1n =2nn +1-1.【练习7】记S n 是公差不为零的等差数列a n 的前n 项和,若S 3=6,a 3是a 1和a 9的等比中项.(1)求数列a n 的通项公式;(2)记b n =1a n ⋅a n +1⋅a n +2,求数列b n 的前20项和.【答案】(1)a n =n ,n ∈N *(2)115462【解析】(1)由题意知a 23=a 1⋅a 9,设等差数列a n 的公差为d ,则a 1a 1+8d =a 1+2d 2,因为d ≠0,解得a 1=d又S 3=3a 1+3d =6,可得a 1=d =1,所以数列a n 是以1为首项和公差为1的等差数列,所以a n =a 1+n -1 d =n ,n ∈N *(2)由(1)可知b n =1n n +1 n +2 =121n n +1 -1n +1 n +2,设数列b n 的前n 和为T n ,则T n =1211×2-12×3+12×3-13×4+⋅⋅⋅+1n n +1 -1n +1 n +2=1212-1n +1 n +2,所以T 20=12×12-121×22 =115462所以数列b n 的前20和为115462【练习8】已知等差数列a n 满足a 3=7,a 5+a 7=26,b n =1a 2n -1(n ∈N +).(1)求数列a n ,b n 的通项公式;(2)数列b n 的前n 项和为S n ,求S n .【答案】(1)a n =2n +1,b n =14n n +1(2)S n =n 4n +1【解析】(1)由题意,可设等差数列a n 的公差为d ,则a 1+2d =72a 1+10d =26,解得a 1=3,d =2,∴a n =3+2n -1 =2n +1;∴b n =1a 2n -1=12n +1 2-1=14n 2+4n =14n n +1 ;(2)∵b n =14n n +1=141n -1n +1 ,S n =141-12+12-13+⋯+1n -1n +1 =141-1n +1 =n 4n +1.【练习9】已知正项数列a n 的前n 项和为S n ,且4、a n +1、S n 成等比数列,其中n ∈N ∗.(1)求数列a n 的通项公式;(2)设b n =4S na n a n +1,求数列b n 的前n 项和T n .【答案】(1)a n =2n -1(2)T n =n +n2n +1【解析】(1)解:对任意的n ∈N ∗,a n >0,由题意可得4S n =a n +1 2=a 2n +2a n +1.当n =1时,则4a 1=4S 1=a 21+2a 1+1,解得a 1=1,当n ≥2时,由4S n =a 2n +2a n +1可得4S n -1=a 2n -1+2a n -1+1,上述两个等式作差得4a n =a 2n -a 2n -1+2a n -2a n -1,即a n +a n -1 a n -a n -1-2 =0,因为a n +a n -1>0,所以,a n -a n -1=2,所以,数列a n 为等差数列,且首项为1,公差为2,则a n =1+2n -1 =2n -1.(2)解:S n =n 1+2n -12=n 2,则b n =4S n a n a n +1=4n 22n -1 2n +1 =4n 2-1+12n -1 2n +1 =1+12n -1 2n +1=1+1212n -1-12n +1,因此,T n =n +121-13+13-15+⋯+12n -1-12n +1 =n +n2n +1.【练习10】已知S n 是数列a n 的前n 项和,a 1=1,___________.①∀n ∈N ∗,a n +a n +1=4n ;②数列S n n 为等差数列,且S nn 的前3项和为6.从以上两个条件中任选一个补充在横线处,并求解:(1)求a n ;(2)设b n =a n +a n +1a n ⋅a n +1 2,求数列b n 的前n 项和T n .【答案】(1)条件选择见解析,a n =2n -1(2)T n =2n n +12n +12【解析】(1)解:选条件①:∀n ∈N ∗,a n +a n +1=4n ,得a n +1+a n +2=4n +1 ,所以,a n +2-a n =4n +1 -4n =4,即数列a 2k -1 、a 2k k ∈N ∗ 均为公差为4的等差数列,于是a 2k -1=a 1+4k -1 =4k -3=22k -1 -1,又a 1+a 2=4,a 2=3,a 2k =a 2+4k -1 =4k -1=2⋅2k -1,所以a n =2n -1;选条件②:因为数列S n n 为等差数列,且S nn 的前3项和为6,得S 11+S 22+S 33=3×S 22=6,所以S 22=2,所以S n n 的公差为d=S 22-S 11=2-1=1,得到Sn n =1+n -1 =n ,则S n =n 2,当n ≥2,a n =S n -S n -1=n 2-n -1 2=2n -1.又a 1=1满足a n =2n -1,所以,对任意的n ∈N ∗,a n =2n -1.(2)解:因为b n =a n +a n +1a n ⋅a n +1 2=4n 2n -1 22n +1 2=1212n -1 2-12n +1 2,所以T n =b 1+b 2+⋅⋅⋅+b n =12112-132+132-152+⋅⋅⋅+12n -1 2-12n +1 2 =121-12n +1 2 =2n n +1 2n +12.【过关检测】一、单选题1.S n=12+24+38+⋯+n2n=( )A.2n-n2n B.2n+1-n-22nC.2n-n+12n+1D.2n+1-n+22n【答案】B 【解析】由S n=12+24+38+⋯+n2n,得12S n=1×122+2×123+3×124+⋯+n⋅12n+1,两式相减得12S n=12+122+123+124+⋯+12n-n⋅12n+1=121-12n1-12-n12 n+1=1-12n-n⋅12 n+1=2n+1-n-22n+1.所以S n=2n+1-n-22n.故选:B.2.数列n⋅2n的前n项和等于( ).A.n⋅2n-2n+2B.n⋅2n+1-2n+1+2C.n⋅2n+1-2nD.n⋅2n+1-2n+1【答案】B【解析】解:设n⋅2n的前n项和为S n,则S n=1×21+2×22+3×23+⋯+n⋅2n, ①所以2S n=1×22+2×23+⋯+n-1⋅2n+n⋅2n+1, ②①-②,得-S n=2+22+23+⋯+2n-n⋅2n+1=21-2n1-2-n⋅2n+1,所以S n=n⋅2n+1-2n+1+2.故选:B.3.已知等比数列{an}的前n项和为Sn,若S3=7,S6=63,则数列{nan}的前n项和为( )A.-3+(n+1)×2nB.3+(n+1)×2nC.1+(n+1)×2nD.1+(n-1)×2n【答案】D【解析】设等比数列{an}的公比为q,易知q≠1,所以由题设得S3=a11-q31-q=7S6=a11-q61-q=63 ,两式相除得1+q3=9,解得q=2,进而可得a1=1,所以an=a1qn-1=2n-1,所以nan=n×2n-1.设数列{nan }的前n 项和为Tn ,则Tn =1×20+2×21+3×22+⋯+n ×2n -1,2Tn =1×21+2×22+3×23+⋯+n ×2n ,两式作差得-Tn =1+2+22+⋯+2n -1-n ×2n =1-2n1-2-n ×2n =-1+(1-n )×2n ,故Tn =1+(n -1)×2n .故选:D .4.已知等差数列a n ,a 2=3,a 5=6,则数列1a n a n +1的前8项和为( ).A.15B.25C.35D.45【答案】B 【解析】由a 2=3,a 5=6可得公差d =a 5-a 23=1 ,所以a n =a 2+n -2 d =n +1,因此1a n a n +1=1n +1 n +2 =1n +1-1n +2 ,所以前8项和为12-13 +13-14 +⋯+19-110 =12-110=25故选:B 5.已知数列a n 的前n 项和为S n ,S n +4=a n +n +1 2.记b n =8a n +1a n +2,数列的前n 项和为T n ,则T n 的取值范围为( )A.863,47 B.19,17C.47,+∞D.19,17【答案】A 【解析】因为数列a n 中,S n +4=a n +(n +1)2,所以S n +1+4=a n +1+n +2 2,所以S n +1+4-S n +4 =a n +1-a n +2n +3,所以a n =2n +3.因为b n =8a n +1a n +2,所以b n =82n +5 2n +7=412n +5-12n +7 ,所以T n =417-19+19-111+⋅⋅⋅+12n +5-12n +7=417-12n +7 .因为数列T n 是递增数列,当n =1时,T n =863,当n →+∞时,12n +7→0,T n →47,所以863≤T n <47,所以T n 的取值范围为863,47 .故选:A .6.已知数列满足a 1+2a 2+3a 3+⋯+na n =n 2,设b n =na n ,则数列1b n b n +1的前2022项和为( )A.40424043B.20214043C.40444045D.20224045【答案】D【解析】因为a 1+2a 2+3a 3+⋯+na n =n 2①,当n =1时,a 1=1;当n ≥2时,a 1+2a 2+3a 3+⋯+n -1 a n -1=(n -1)2②,①-②化简得a n =2n -1n ,当n =1时:a 1=2×1-11=1=1,也满足a n =2n -1n,所以a n =2n -1n ,b n =na n =2n -1,1b n b n +1=1(2n -1)(2n +1)=1212n -1-12n +1 所以1b n b n +1的前2022项和121-13+13-15+⋯+12×2022-1-12×2022+1 =121-12×2022+1 =20224045.故选:D .7.已知数列a n 满足a 1=1,且a n =1+a n a n +1,n ∈N *,则a 1a 2+a 2a 3+a 3a 4+⋯⋯+a 2020a 2021=( )A.2021 B.20202021C.122021D.22021【答案】B 【解析】∵a n =1+a n a n +1,即a n +1=a n 1+a n ,则1a n +1=1+a n a n =1a n +1∴数列1a n是以首项1a 1=1,公差d =1的等差数列则1a n =1+n -1=n ,即a n =1n∴a n a n +1=1n n +1=1n -1n +1则a 1a 2+a 2a 3+a 3a 4+⋯⋯+a 2020a 2021=1-12+12-13+...+12020-12021=20202021故选:B .8.等差数列a n 中,a 3=5,a 7=9,设b n =1a n +1+a n,则数列b n 的前61项和为( )A.7-3B.7C.8-3D.8【答案】C 【解析】解:因为等差数列满足a 3=5,a 7=9,所以d =a 7-a 37-3=1,所以a n =a 3+n -3 d =n +2,所以b n =1n +3+n +2=n +3-n +2,令数列b n 的前n 项和为S n ,所以数列b n 的前n 项和S n =4-3+5-4+⋯+n +3-n +2=n +3-3,所以S 61=8-3.故选:C .9.设数列n 22n -1 2n +1的前n 项和为S n ,则( )A.25<S 100<25.5B.25.5<S 100<26C.26<S 100<27D.27<S 100<27.5【答案】A 【解析】由n 2(2n -1)(2n +1)=14⋅4n 24n 2-1=141+14n 2-1 =141+121(2n -1)(2n +1)=14+1812n -1-12n +1,∴S n =n 4+181-13+13-15+⋅⋅⋅+12n -1-12n +1 =n 4+181-12n +1 =n (n +1)2(2n +1),∴S 100=100×1012(2×100+1)≈25.12,故选:A .10.已知数列a n 满足a n =1+2+4+⋯+2n -1,则数列2n a n a n +1 的前5项和为( )A.131B.163C.3031D.6263【答案】D 【解析】因为a n =1+2+4+⋯+2n -1=2n -1,a n +1=2n +1-1,所以2n a n a n +1=2n 2n -1 2n +1-1 =2n +1-1 -2n-1 2n -1 2n +1-1=12n -1-12n +1-1.所以2n a n a n +1 前5项和为121-1-122-1 +122-1-123-1 +⋯+125-1-126-1 =121-1-126-1=1-163=6263故选:D 11.已知数列a n 的首项a 1=1,且满足a n +1-a n =2n n ∈N * ,记数列a n +1a n +2 a n +1+2的前n 项和为T n ,若对于任意n ∈N *,不等式λ>T n 恒成立,则实数λ的取值范围为( )A.12,+∞ B.12,+∞C.13,+∞D.13,+∞【答案】C 【解析】解:因为a n +1-a n =2n n ∈N * ,所以a 2-a 1=21,a 3-a 2=22,a 4-a 3=23,⋯⋯,a n -a n -1=2n -1,所以a n -a 1=21+22+⋯+2n -1=21-2n -1 1-2=2n -2,n ≥2 ,又a 1=1,即a n =2n -1,所以a n +1=2n ,所以a n +1a n +2 a n +1+2 =2n 2n +1 2n +1+1=12n +1-12n +1+1,所以T n =121+1-122+1+122+1-123+1+⋯+12n +1-12n +1+1=13-12n +1+1<13所以λ的取值范围是13,+∞ .故选:C 12.在数列a n 中,a 2=3,其前n 项和S n 满足S n =n a n +12 ,若对任意n ∈N +总有14S 1-1+14S 2-1+⋯+14S n -1≤λ恒成立,则实数λ的最小值为( )A.1B.23C.12D.13【答案】C 【解析】当n ≥2时,2S n =na n +n ,2S n -1=n -1 a n -1+n -1 ,两式相减,整理得n -2 a n =(n -1)a n -1-1①,又当n ≥3时,n -3 a n -1=n -2 a n -2-1②,①-②,整理得n -2 a n +a n -2 =2n -4 a n -1,又因n -2≠0,得a n +a n -2=2a n -1,从而数列a n 为等差数列,当n =1时,S 1=a 1+12即a 1=a 1+12,解得a 1=1,所以公差d =a 2-a 1=2,则a n =2n -1,S n =na 1+n (n -1)2d =n 2,故当n ≥2时,14S 1-1+14S 2-1+⋯+14S n -1=122-1+142-1+⋯+12n 2-1=11×3+13×5+⋯+12n -1 2n +1=121-13+13-15+⋯+12n -1-12n +1 =121-12n +1 ,易见121-12n +1 随n 的增大而增大,从而121-12n +1 <12恒成立,所以λ≥12,故λ的最小值为12,故选:C .二、填空题13.已知正项数列{an }满足a 1=2且an +12-2an 2-anan +1=0,令bn =(n +2)an ,则数列{bn }的前8项的和等于__.【答案】4094【解析】由a 2n +1-2a 2n -a n a n +1=0,得(an +1+an )(an +1-2an )=0,又an >0,所以an +1+an >0,所以an +1-2an =0,所以an +1a n=2,所以数列{an }是以2为首项,2为公比的等比数列,所以a n =2×2n -1=2n ,所以b n =n +2 a n =n +2 ⋅2n ,令数列{bn }的前n 项的和为Tn ,T 8=3×21+4×22+⋯+9×28,则2T 8=3×22+4×23+⋯+9×29,-T 8=6+22+23+⋯+28 -9×29=6+221-271-2-9×29=2-8×29=-4094,则T 8=4094,故答案为:4094.14.已知数列{an }的前n 项和为Sn ,且Sn =2an -2,则数列n a n的前n 项和Tn =__.【答案】2-n +22n.【解析】解:∵Sn =2an -2,∴Sn -1=2an -1-2(n ≥2),设公比为q ,两式相减得:an =2an -2an -1,即an =2an -1,n ≥2,又当n =1时,有S 1=2a 1-2,解得:a 1=2,∴数列{an }是首项、公比均为2的等比数列,∴an =2n ,n a n =n2n ,又Tn =121+222+323+⋯+n2n ,12Tn =122+223+⋯+n -12n +n 2n +1,两式相减得:12Tn =12+122+123+⋯+12n -n 2n +1=121-12n1-12-n2n +1,整理得:Tn =2-n +22n.故答案为:Tn =2-n +22n .15.将1+x n (n ∈Ν+)的展开式中x 2的系数记为a n ,则1a 2+1a 3+⋅⋅⋅+1a 2015=__________.【答案】40282015【解析】1+xn的展开式的通项公式为T k +1=C k n x k ,令k =2可得a n =C 2n =n n -12;1a n =2n n -1=21n -1-1n ;所以1a 2+1a 3+⋅⋅⋅+1a 2015=21-12 +212-13 +⋯+212014-12015=21-12015 =40282015.故答案为:40282015.16.数列a n 的前项n 和为S n ,满足a 1=-12,且a n +a n +1=2n 2+2nn ∈N * ,则S 2n =______.【答案】2n 2n +1【解析】由题意,数列{a n }满足a n +a n +1=2n 2+2n,可得a 2n -1+a 2n =2(2n -1)2+2(2n -1)=2(2n -1)(2n +1)=12n -1-12n +1,所以S 2n =11-13+13-15+⋯+12n -1-12n +1=1-12n +1=2n2n +1,故答案为:2n2n +1三、解答题17.已知数列a n 满足a 1=1,2a n +1a n +a n +1-a n =0.(1)求证:数列1a n 为等差数列;(2)求数列a n a n +1 的前n 项和S n .【答案】(1)证明见解析;(2)S n =n2n +1.【解析】(1)令b n =1a n ,因为b n +1-b n =1a n +1-1a n =a n -a n +1a n ⋅a n +1=2,所以数列b n 为等差数列,首项为1,公差为2;(2)由(1)知:b n =2n -1;故a n =12n -1;所以a n a n +1=12n -1 2n +1=1212n -1-12n +1 ;所以S n =a 1a 2+a 2a 3+⋯+a n a n +1=11×3+13×5+⋯+12n -1 2n +1=121-13+13-15+⋯+12n -1-12n +1 =n 2n +1;18.已知正项数列a n 的前n 项和为S n ,a n +1-a n =3n ∈N * ,且S 3=18.(1)求数列a n 的通项公式;(2)若b n =1a n a n +1,求数列b n 的前n 项和T n .【答案】(1)a n =3n (2)T n =n9n +9【解析】(1)∵a n +1-a n =3,∴数列a n 是以公差为3的等差数列.又S 3=18,∴3a 1+9=18,a 1=3,∴a n =3n .(2)由(1)知b n =13n ×3n +1=19×1n -1n +1 ,于是T n =b 1+b 2+b 3+⋅⋅⋅+b n =191-12 +12-13 +13-14 +⋅⋅⋅+1n -1n +1 =191-1n +1 =n 9n +919.已知数列a n 的首项为3,且a n -a n +1=a n +1-2 a n -2 .(1)证明数列1a n -2 是等差数列,并求a n 的通项公式;(2)若b n =-1 n an n +1,求数列b n 的前n 项和S n .【答案】(1)证明见解析;a n =1n+2(2)-1+-1 n1n +1【解析】(1)因为a n -a n +1=a n +1-2 a n -2 ,所a n -2 -a n +1-2 =a n +1-2 a n -2 ,则1a n +1-2-1a n -2=1,所以数列1a n -2 是以13-2=1 为首项,公差等于1的等差数列,∴1a n -2=1+n -1 =n ,即a n =1n+2;(2)b n =-1 n a n n +1=-1 n 1n n +1+2n +1 =-1 n 1n +1n +1 ,则S n =-1+12 +12+13 -13+14 +⋅⋅⋅+-1 n 1n +1n +1 =-1+-1 n 1n +1;综上,a n =1n +2,S n =-1+-1 n 1n +1 .20.已知数列a n 中,a 1=-1,且满足a n +1=2a n -1.(1)求证:数列a n -1 是等比数列,并求a n 的通项公式;(2)若b n =n +11-a n +1,求数列b n 的前n 项和为T n .【答案】(1)证明见解析,a n=-2n+1(2)T n=32-n+32n+1【解析】(1)解:对任意的n∈N∗,a n+1=2a n-1,所以a n+1-1=2a n-1,且a1-1=-2,所以数列a n-1是以-2为首项,2为公比的等比数列.所以a n-1=-2n,所以a n=-2n+1.(2)解:由已知可得b n=n+11-a n+1=n+12n+1,则T n=222+323+424+⋯+n+12n+1,所以,12T n=223+324+⋯+n 2n+1+n+12n+2,两式相减得12T n=222+123+⋯+12n+1-n+12n+2=12+181-12n-11-12-n+12n+2=34-1 2n+1-n+12n+2=34-n+32n+2,因此,T n=32-n+32n+1.21.已知等比数列a n,a1=2,a5=32.(1)求数列a n的通项公式;(2)若数列a n为正项数列(各项均为正),求数列(2n+1)⋅a n的前n项和T n.【答案】(1)a n=2n或a n=2·-2n-1;(2)T n=2+(2n-1)⋅2n+1.【解析】(1)等比数列a n的公比为q,a1=2,a5=32,则q4=a5a1=16,解得q=±2,所以当q=2时,a n=2n,当q=-2时,a n=2⋅(-2)n-1.(2)由(1)知,a n=2n,则有(2n+1)⋅a n=(2n+1)⋅2n,则T n=3×21+5×22+7×23+⋯+(2n+1)⋅2n,于是得2T n=3×22+5×23+⋯+(2n-1)⋅2n+(2n+1)⋅2n+1,两式相减,得-T n=6+2×(22+23+⋯+2n)-(2n+1)⋅2n+1=6+2×22×(1-2n-1)1-2-(2n+1)⋅2n+1=-2-(2n-1)⋅2n+1,所以T n=2+(2n-1)⋅2n+1.22.已知等差数列a n满足a1=1,a2⋅a3=a1⋅a8,数列b n的前n项和为S n,且S n=32b n.(1)求数列a n,b n的通项公式;(2)求数列a n b n的前n项和T n.【答案】(1)a n=1或a n=2n-1;b n=3n;(2)若a n=1,则T n=33n-13;若a n=2n-1,则T n=n-13n+1+3.【解析】(1)设等差数列a n的公差为d,∵a1=1,a2⋅a3=a1⋅a8,∴1+d1+2d=1+7d,化简得2d2-4d=0,解得:d=0或d=2,若d=0,则a n=1;若d=2,则a n=2n-1;由数列b n的前n项和为S n=32b n-32①,当n=1时,得b1=3,当n≥2时,有S n-1=32b n-1-32②;①-②有b n=32b n-32b n-1,即b nb n-1=3,n≥2,所以数列b n是首项为3,公比为3的等比数列,所以b n=3n,综上所述:a n=1或a n=2n-1;b n=3n;(2)若a n=1,则a n b n=b n=3n,则T n=3+32+⋯+3n=31-3n1-3=33n-12,若a n=2n-1,则a n b n=2n-13n,则T n=1×3+3×32+⋯+2n-1×3n③;③×3得3T n=1×32+3×33+⋯+2n-1×3n+1④;③-④得:-2T n=3+2×32+2×33+⋯+2×3n-2n-1×3n+1=3+2×32(1-3n-1)1-3-(2n-1)×3n+1整理化简得:T n=n-13n+1+3,综上所述:若a n=1,则T n=33n-13;若a n=2n-1,则T n=n-13n+1+3.。
数列求和综合(经典总结版)含答案详解包括四种题型:分组求和、并项法、错位相减、裂项相消一、分组求和例1.求和.练1已知数列{}n x 的首项13x =,通项2n n x p n q =⋅+⋅(*n ∈N ,,p q 是常数),且145,,x x x 成等差数列.(1)求,p q 的值;(2)求数列{}n x 的前n 项和n S .例2.(奇偶性)已知等差数列{a n }中,a 1=1,且a 1,a 2,a 4+2成等比数列.(Ⅰ)求数列{a n }的通项公式及前n 项和S n ;(Ⅱ)设b n =,求数列{b n }的前2n 项和T 2n .二、并项法例1.已知数列的前项和,求,的值以及Sn 的值.练1.求,,,,…,,…的前50项之和以及前项之和.三、错位相减例1 已知数列{a n }的前n 项和为S n ,且有a 1=2,3S n =11543(2)n n n a a S n ---+≥(I )求数列a n 的通项公式; (Ⅱ)若b n =n ·a n ,求数列{b n }的前n 项和T n 。
11111232482n n ⎛⎫+++⋅⋅⋅++ ⎪⎝⎭{}n a n 1159131721...(1)(43)n n S n -=-+-+-++--15S 22S 21-2223-242(1)n n •-50S n n S练1 等比数列{a n }的前n 项和为S n .已知S 1,S 3,S 2成等差数列.若a 1-a 3=-32,求数列{n ·a n }的前n 项和T n .练2 设数列{a n }满足a 1=2,a n +1-a n =3·22n -1.(1)求数列{a n }的通项公式;(2)令b n =na n ,求数列{b n }的前n 项和S n .例2已知数列{}n a 的首项123a =,121n n n a a a +=+,1,2,3,n =…. (Ⅰ)证明:数列1{1}na -是等比数列;(Ⅱ)数列{}n n a 的前n 项和n S .练1 已知各项均为正数的数列{}n a 前n 项和为n S ,首项为1a ,且n n S a ,,21等差数列. (Ⅰ)求数列{}n a 的通项公式;(Ⅱ)若n bn a )21(2=,设nnn a b c =,求数列{}n c 的前n 项和n T .练2、已知递增的等比数列{a n }满足:a 2+a 3+a 4=28,且a 3+2是a 2,a 4的等差中项. (1)求数列{a n }的通项公式;(2)若b n =a n log 12a n ,S n =b 1+b 2+…+b n ,求S n .例3 在等比数列{a n }中,a 2a 3=32,a 5=32.(1)求数列{a n }的通项公式; (2)设数列{a n }的前n 项和为S n ,求S 1+2S 2+…+nS n .例4.已知数列{a n }的前n 项和为S n =3n ,数列{b n }满足b 1=-1,b n +1=b n +(2n -1)(n ∈N *). (1)求数列{a n }的通项公式a n ;(2)求数列{b n }的通项公式b n ;(3)若c n =a n ·b nn ,求数列{c n }的前n 项和T n .四、裂项相消裂项相消的实质是将数列中的每项(通项)分解,然后重新组合,使之能消去一些项,以达到求和的目的. 常见的裂项相消形式有: 1. 111(1)1n a n n n n ==-++ 1111()(2)22n a n n n n ==-++ ┈┈1111()()n a n n k k n n k ==-++2n p a An Bn C ⇒=++(分母可分解为n 的系数相同的两个因式)2. 1111()(21)(21)22121n a n n n n ==--+-+ 1111()(21)(23)22123n a n n n n ==-++++1111()(65)(61)66561n a n n n n ==--+-+3. 1111(1)(2)2(1)(1)(2)n a n n n n n n n ⎡⎤==-⎢⎥+++++⎣⎦4.)121121(211)12)(12()2(2+--+=+-n n n n n 5. 111211(21)(21)2121n n n n n n a ---==-++++ +1+1211(21)(21)2121nnn n n n a ==-++++122(1)111(1)2(1)22(1)2n n n n n n n n a n n n n n n -++-==⋅=-++⋅+6.=┈┈12=1k=- 例1.正项数列}{n a 满足02)12(2=---n a n a n n .(Ⅰ)求数列}{n a 的通项公式n a ; (Ⅱ)令,)1(1nn a n b +=求数列}{n b 的前n 项和n T .练1.等比数列}{n a 的各项均为正数,且6223219,132a a a a a ==+.(Ⅰ)求数列}{n a 的通项公式; (Ⅱ)设,log log log 32313n n a a a b +++= 求数列}1{nb 的前n 项和.例2.已知等差数列}{n a 满足:26,7753=+=a a a .}{n a 的前n 项和为n S .(Ⅰ)求n a 及n S ; (Ⅱ)令),(11*2N n a b n n ∈-=求数列}{n b 的前n 项和n T .例3.已知等差数列}{n a 的公差为2,前n 项和为n S ,且421,,S S S 成等比数列.(1)求数列}{n a 的通项公式;(2)令,4)1(112+--=n n n a a nb 求数列}{n b 的前n 项和n T .例4.正项数列}{n a 的前n 项和n S 满足:0)()1(222=+--+-n n S n n S n n .(1)求数列}{n a 的通项公式n a ;(2)令,)2(122n n a n n b ++=数列}{n b 的前n 项和为n T ,证明:对于,*N n ∈∀都有645<n T .练1、已知数列{}n a 是首相为1,公差为1的等差数列,21n n n b a a +=⋅,n S 为{}n b 的前n 项和,证明:1334n S ≤<.例5.已知数列{a n }是递增的等比数列,且a 1+a 4=9,a 2a 3=8.(1)求数列{a n }的通项公式; (2)设S n 为数列{a n }的前n 项和,b n =,求数列{b n }的前n 项和T n .例6. (无理型)设数列{}n a 满足01=a 且111111=---+nn a a ,(1)求{}n a 的通项公式;(2)设na b n n 11+-=,记∑==nk kn bS 1,证明:1<n S .例7.(指数型).已知数列{a n }的前n 项和为S n ,且a 2=8,S n =﹣n ﹣1.(Ⅰ)求数列{a n }的通项公式;(Ⅱ)求数列{}的前n 项和T n .例8.设{a n }是等比数列,公比大于0,其前n 项和为S n (n ∈N *),{b n }是等差数列.已知a 1=1,a 3=a 2+2,a 4=b 3+b 5,a 5=b 4+2b 6.(Ⅰ)求{a n }和{b n }的通项公式; (Ⅱ)设数列{S n }的前n 项和为T n (n ∈N *), (i )求T n ;(ii )证明=﹣2(n ∈N *)作业:1.设231()2222()n f n n N ++=++++∈,则()f n 等于( )A.21n -B.22n -C. 122n +-D. 222n +-2.满足*12121,log log 1()n n a a a n +==+∈N ,它的前n 项和为n S ,则满足1025n S >的最小n 值是( )A .9B .10C .11D .123.已知等差数列}{n a 的前n 项和为,15,5,55==S a S n 则数列}1{1+n n a a 的前100项和为( A ) A .100101 B .99101 C .99100 D .1011004.求和2345672223242526272+⨯+⨯+⨯+⨯+⨯+⨯= . 5.定义在上的函数满足, 则6.已知数列{a n }的前n 项和S n 与通项a n 满足S n =12-12a n .(1)求数列{a n }的通项公式;(2)设f (x )=log 3x ,b n =f (a 1)+f (a 2)+…+f (a n ),T n =1b 1+1b 2+…+1b n ,求T 2 012;(3)若c n =a n ·f (a n ),求{c n }的前n 项和U n .7.已知数列{a n }为公差不为零的等差数列,a 1=1,各项均为正数的等比数列{b n }的第1项,第3项,第5项分别是a 1,a 3,a 21.(1)求数列{a n }与{b n }的通项公式;(2)求数列{a n b n }的前n 项和S n .8. 已知数列{an}的前n 项和Sn =-12n 2+kn(其中k ∈N +),且S n 的最大值为8.(1)确定常数k ,并求a n ;(2)求数列⎩⎨⎧⎭⎬⎫9-2a n 2n 的前n 项和Tn.R )(x f 2)21()21(=-++x f x f )83()82()81(f f f ++67()()_______88f f +++=数列求和综合答案详解版一、分组求和例1.求和. 【解析】(1+2+3+…+n)+ =【总结升华】1. 一般数列求和,先认真理解分析所给数列的特征规律,联系所学,考虑化归为等差、等比数列或常数列,然后用熟知的公式求解.2. 一般地,如果等差数列与等比数列的对应项相加而形成的数列都用分组求和的办法来求前项之和.练1已知数列{}n x 的首项13x =,通项2n n x p n q =⋅+⋅(*n ∈N ,,p q 是常数),且145,,x x x 成等差数列.(1)求,p q 的值;(2)求数列{}n x 的前n 项和n S . 【解析】(1)232(164)2325p q p q p q p p +=⎧⎨+=+++⎩ 解得11q p =⎧⎨=⎩(2)12212(21)(22)+(2)n n S x x x n =+++=+++++………… =12(22+2)(123+n)n ++++++…………=1(1)222n n n ++-+ 例2.(奇偶性)已知等差数列{a n }中,a 1=1,且a 1,a 2,a 4+2成等比数列.(Ⅰ)求数列{a n }的通项公式及前n 项和S n ; (Ⅱ)设b n =,求数列{b n }的前2n 项和T 2n .【解答】解:(I )设等差数列{a n }的过程为d ,∵a 1=1,且a 1,a 2,a 4+2成等比数列. ∴=a 1•(a 4+2),即(1+d )2=1×(1+3d +2),化为:d 2﹣d ﹣2=0,解得d =2或﹣1.其中d =﹣1时,a 2=0,舍去.∴d =2.a n =1+2(n ﹣1)=2n ﹣1,S n ==n 2.(Ⅱ)设b n ==,∴n 为偶数时,==16,b 2=8;11111232482n n ⎛⎫+++⋅⋅⋅++ ⎪⎝⎭11111232482n n S n ⎛⎫=+++⋅⋅⋅++= ⎪⎝⎭111242n ⎛⎫++⋅⋅⋅+ ⎪⎝⎭(1)1122n n n ++-{}n a {}n b {}n n a b +n n Sn 为奇数时,==,b 1=.∴数列{b n }的奇数项是首项为,公比为.数列{b n }的偶数项是首项为8,公比为16.∴数列{b n }的前2n 项和T 2n =+=.二、并项法例1.已知数列的前项和,求,的值以及Sn 的值.【思路点拨】该数列{}n a 的特征:1(1)(43)n n a n -=--,既非等差亦非等比,但也有规律:所有奇数项构成以1为首项8为公差的等差数列,偶数项构成以-5为首项-8为公差的等差数列,因而可以对奇数项和偶数项分组求和;还有规律:1234561...4n n a a a a a a a a ++=+=+==+=-(n 为奇数),可以将相邻两项组合在一起. 【解析】(1)法1(分组)由可得,法2(并项)a1+a2=−4,a3+a4=−4(2)由∴当为奇数,时, ,Sn=( a1+a2)+ a3+a4……(a n-2-a n-1)+an=−4(n−12)+4n-3=2n-1当为偶数,时,,Sn=( a1+a2)+ a3+a4……(a n-1+an )=−4×n2=−2n 【总结升华】1.对通项公式中含有或的一类数列,在求时要注意讨论的奇偶情况.2. 对正负相间的项中的相邻两项进行恰当的组合,可能会有意料之结. 举一反三:【变式1】求,,,,…,,…的前50项之和以及前项之和.{}n a n 1159131721...(1)(43)n n S n -=-+-+-++--15S 22S 1(1)(43)n n a n -=--158(157)7(553)[19...(4153)][513...(4143)]2922S ++=+++⨯--+++⨯-=-=2211(181)11(585)[19...(4213)][513...(4223)]4422S ++=+++⨯--+++⨯-=-=-1(1)(43)n n a n -=--n n N +∈1(43)(41)4n n a a n n ++=--+=-n n N +∈1(43)(41)4n n a a n n ++=--++=n )1(-1n )1(+-n S n 21-2223-242(1)n n •-50S n n S【解析】(1)设,则数列为等差数列,且是的前25项之和, 所以.(2)当为偶数即时,.当为奇数即时,.三、错位相减例1 已知数列{a n }的前n 项和为S n ,且有a 1=2,3S n =11543(2)n n n a a S n ---+≥ (I )求数列a n 的通项公式;(Ⅱ)若b n =n ·a n ,求数列{b n }的前n 项和T n 。
高三数学倒序相加错位相减裂项抵消求和试题答案及解析1.数列的前项和为,若,则等于A.B.C.D.【答案】D【解析】因为.所以.【考点】1.数列的通项的裂项.2.数列的求和.2.求下面各数列的前n项和:(1),…(2) ,…【答案】(1)(2)【解析】(1)∵a=,n∴S=n==.==1+,(2)∵an∴S=n+n3.在等差数列中,已知,.(1)求;(2)若,设数列的前项和为,试比较与的大小.【答案】(1) ;(2)当时,;当时,.【解析】(1)根据等差数列的通项公式把已知转化成关于和的方程,再利用公式,求出;(2)由(1)的结果,代入得到,观察形式,利用裂项相消求和,得到,再用做差法比较和的大小,分解因式后,讨论的范围,得到大小关系,此题考察等差数列的基础知识,以及求和的方法,比较大小时,不要忘记讨论,再比较大小,总体属于基础题型. 试题解析:(1)由题意得: 2分解得 4分. 6分(2)因为,所以, 7分10分所以= =, 12分所以当时,;当时,. 14分【考点】1.等差数列的公式;2裂项相消;3.比较法.4.在数列中,,.(1)设,求数列的通项公式;(2)求数列的前项和.【答案】(1);(2).【解析】(1)在题中等式两边同时除以得,则,即,利用累加法得;(2)根据第(1)题求出,利用分组求和,,后面括号式子利用错位相加法求得结果.试题解析:(1)由已知得,原式同除以得,则,即,所以……累加,得所以由(1)得,所以设,①,②①-②,得所以,所以【考点】1.累加法求通项公式;2.分组求和法和错误相减法求和.5.已知数列,满足,,(1)求的值;(2)猜想数列的通项公式,并用数学归纳法证明;(3)己知,设,记,求.【答案】(1);;(2),证明见解析;(3)3..【解析】(1)这属于已知数列的递推关系式,求数列的项的问题,我们只要在已知递推关系式中依次令就可以依次求出;(2)用归纳法归纳数列的通项公式,我们可以由数列的前几项想象各项与项数之间的联系,如,,,,从而归纳出结论,然后数学归纳法证明,这里数学归纳法的基础即第一步已经不需另证了,关键是第二步,假设时,,然后由已知条件求出,那么结论就是正确的;(3)按常规方法,先求,,接着求数列的前项和,根据其通项公式的形式(它是一个等差数列所一个等比数列对应项相乘所得),求和用乘公比经错位相减法,求得,然后借助已知极限可求出极限.试题解析:(1),∴.,分别令,可得,(2)猜想数列的通项公式为.用数学归纳法证明如下:证明 (i)当时,由(1)知结论成立;当时,,结论成立.(ii)假设时,结论成立,即.当时,.所以,,即时,结论也成立.根据(i)和(ii)可以断定,结论对一切正整数都成立.(3)由(2)知,,.于是,,.所以,.【考点】(1)数列的项;(2)数学归纳法;(3)借位相减法,极限.6.设数列满足,.(1)求数列的通项公式;(2)设,求数列的前项和.【答案】(1);(2).【解析】(1)先令求出的值,然后令时,在原式中用得到一个新的等式,并将该等式与原等式作差,求出数列在时的通项公式,并对的值是否符合上述通项公式进行检验,从而最终确定数列的通项公式;(2)先求出数列的通项公式,并根据数列的通项公式结构选择裂项法求和.试题解析:(1)因为,,①所以当时,.当时,,②,①-②得,,所以.因为,适合上式,所以;(2)由(1)得,所以,所以.【考点】1.定义法求数列的通项公式;2.裂项法求和7.设,的所有非空子集中的最小元素的和为,则= .【答案】【解析】这个问题主要是研究集合中的每个元素在和中分别出现多少次,事实上,以为例,集合中比大的所有元素组成的集合的所有子集共有个,把加进这些子集里形成新的集合,每个都是最小元素为的集合的子集,而最小元素为的集合的子集也就是这些,故在中出现次,同理出现次,…,出现1次,所以有,这个和用错位相减法可求得.【考点】子集的个数,借位相减法求数列的和.8.已知数列的前项和为,且,则______________.【答案】.【解析】由题意知,所以,下式减上式得.【考点】错位相减求和9.已知数列,,,,,为数列的前项和,为数列的前项和.(1)求数列的通项公式;(2)求数列的前项和;(3)求证:.【答案】(1);(2);(3)详见解析.【解析】(1)解法一是根据数列递推式的结构选择累加法求数列的通项公式;解法二是在数列的递推式两边同时除以,然后利用待定系数法求数列的通项公式,进而求出数列的通项公式;(2)先求出数列的通项公式,然后根据数列的通项结构,选择裂项相消法求数列的前项和;(3)对数列中的项利用放缩法,然后利用累加法即可证明所要证的不等式.试题解析:(1)法一:,法二:(2)(3)证明:,.【考点】1.累加法求数列的通项公式;2.待定系数法求数列的通项公式;3.裂项相消法求数列的和;4.利用放缩法证明数列不等式10.已知数列具有性质:①为整数;②对于任意的正整数,当为偶数时,;当为奇数时,.(1)若为偶数,且成等差数列,求的值;(2)设(且N),数列的前项和为,求证:;(3)若为正整数,求证:当(N)时,都有.【答案】(1) 0或2;(2)证明见试题解析;(3)证明见试题解析.【解析】(1)根据数列具有性质,为偶数,要,这时要求,必须讨论的奇偶性,分类讨论;(2)要证不等式,最好能求出,那么也就要求出数列的各项,那么我们根据数列定义,由为奇数,则为奇数,为偶数,接下来各项都是偶数,一起到某项为1,下面一项为0,以后全部为0.实际上项为1的项是第项(成等比数列),故可求;(3)由于是正整数,要证明从某一项开始,数列各项均为0,这提示我们可首先证明为非负(这可用数学归纳法加以证明),然后由于数列的关系,可见数列在出现0之前,是递减的,下面要考虑的是递减的速度而已.当为偶数时,;当为奇数时,,因此对所有正整数,都有,依此类推有,只要,则有.试题解析:(1)∵为偶数,∴可设,故,若为偶数,则,由成等差数列,可知,即,解得,故;(2分)若为奇数,则,由成等差数列,可知,即,解得,故;∴的值为0或2.(4分)(2)∵是奇数,∴,,,依此类推,可知成等比数列,且有,又,,,∴当时,;当时,都有.(3分)故对于给定的,的最大值为,所以.(6分)(3)当为正整数时,必为非负整数.证明如下:当时,由已知为正整数,可知为非负整数,故结论成立;假设当时,为非负整数,若,则;若为正偶数,则必为正整数;若为正奇数,则必为非负整数.故总有为非负整数.(3分)当为奇数时,;当为偶数时,.故总有,所以,当时,,即.( 6分)又必为非负整数,故必有.(8分)【另法提示:先证“若为整数,且,则也为整数,且”,然后由是正整数,可知存在正整数,使得,由此推得,,及其以后的项均为0,可得当时,都有】【考点】(1)递推数列与等差数列;(2)数列的前项和;(3)数列的通项与综合问题.11.数列中,,前项的和是,且,.(1)求数列的通项公式;(2)记,求.【答案】(1);(2).【解析】(1)先利用与之间的关系对时,利用求出数列在时的表达式,然后就进行检验,从而求出数列的通项公式;(2)在(1)的基础下,先求出数列的通项公式,然后利用公式法求出数列的通项公式.试题解析:(1)当且时,由,得,上述两式相减得,,故数列是以为首项,以为公比的等比数列,;(2),.【考点】1.定义法求数列通项;2.等差数列求和12.已知数列中,前和(1)求证:数列是等差数列(2)求数列的通项公式(3)设数列的前项和为,是否存在实数,使得对一切正整数都成立?若存在,求的最小值,若不存在,试说明理由。
.裂项相消法利用列相消法求和,注意抵消后并不一定只剩下第一和最后一,也有可能前面剩两,后面剩两,再就是通公式列后,有需要整前面的系数,使列前后等式两保持相等。
( 1 )若是 {a n }等差数列,1 1 .( 11) ,1 1 .( 1 1 )a n a n 1 d a n a n 1a n a n 22d a n a n 2( 2 )111 n(n1) n n1( 3 )1k)1 ( 1n1)n(n k n k( 4 )1 1 (11)(2n 1()2n 1) 2 2n 1 2n 1( 5 )n(n12)1[1(n1] 1)( n2n(n 1)1)(n2)( 6 )1n1nn n1( 7 )11n k n) n n k(k1. 已知数列的前n和,.(1 )求数列的通公式;(2 ),求数列的前n和.[ 解析 ] (1)⋯⋯⋯⋯⋯①.,⋯⋯⋯⋯⋯②①②得 :即⋯⋯⋯⋯⋯⋯⋯⋯⋯⋯⋯⋯⋯⋯ 3 分在①中令, 有, 即,⋯⋯⋯⋯⋯⋯⋯⋯⋯⋯⋯⋯⋯⋯ 5 分故2. 已知 {a n} 是公差 d 的等差数列,它的前n 和 S n, S4=2S 2 +8 .(Ⅰ)求公差 d 的;(Ⅱ)若 a 1 =1 , T n是数列 {} 的前 n 和,求使不等式T n≥所有的n ∈N* 恒成立的最大正整数m 的;[ 解析 ] (Ⅰ)数列{a n }的公差 d ,∵ S4 =2S 2 +8 ,即 4a 1 +6d=2(2a 1 +d) +8,化得:4d=8,解得 d=2 .⋯⋯⋯⋯⋯⋯⋯⋯⋯⋯⋯⋯⋯⋯⋯⋯⋯⋯⋯⋯⋯⋯⋯⋯⋯⋯ 4 分(Ⅱ)由 a 1=1 , d=2 ,得 a n =2n-1,⋯⋯⋯⋯⋯⋯⋯⋯⋯⋯⋯⋯⋯⋯⋯⋯ 5 分∴=.⋯⋯⋯⋯⋯⋯⋯⋯⋯⋯⋯⋯⋯⋯⋯⋯ 6 分.∴ T n ===≥ ,⋯⋯⋯⋯⋯⋯⋯⋯⋯⋯⋯⋯⋯⋯⋯⋯8 分又∵ 不等式n所有的 n ∈ N* 恒成立,T ≥∴ ≥,⋯⋯⋯⋯⋯⋯⋯⋯⋯⋯⋯⋯⋯⋯⋯⋯10 分化得: m 2 -5m-6≤0 ,解得: -1 ≤m ≤6 .∴ m 的最大正整数 6 .⋯⋯⋯⋯⋯⋯⋯⋯⋯⋯⋯⋯⋯⋯⋯⋯⋯⋯⋯⋯12 分3.) 已知各均不相同的等差数列{a n } 的前四和S4 =14, 且 a 1 ,a3 ,a7成等比数列 . ( Ⅰ) 求数列 {a n } 的通公式 ;( Ⅱ)T n数列的前n和,求T2 012的.[ 答案 ] ( Ⅰ ) 公差 d, 由已知得(3 分)解得 d=1或d=0(舍去),∴a1=2. (5分)故 a n =n+1. (6分)( Ⅱ)==-,(8 分 ).∴T n= - + - + ⋯+ -= -=. (10 分 )∴T 2 012 =. (12分)4.) 已知数列 {a}是等差数列 ,- =8n+4, 数列 {|an |} 的前 n 和 S ,数列的前 nn n 和 T n .(1)求数列 {a n }的通公式 ;(2)求 : ≤T n <1.[ 答案 ] (1) 等差数列 {a n }的公差d,a n =a 1 +(n-1)d. (2分)∵- =8n+4,∴(a n+1 +a n )(a n+1 -a n )=d(2a 1 -d+2nd)=8n+4.当n=1,d(2a 1 +d)=12;当n=2,d(2a 1 +3d)=20.解方程得或(4 分)知 ,a n =2n或a n=-2n都足要求.∴a n =2n或a n=-2n. (6分)(2) 明 : 由 (1) 知 :a n =2n或a n=-2n.∴|a n |=2n..∴S n =n(n+1). (8分)∴ == -.∴T n=1- + - + ⋯+ -=1-. (10 分 )∴ ≤T n <1. (12分)5. 已知等差数列 {a n } 的公差2, 前 n 和 S n ,且 S1,S2 ,S4成等比数列 .( Ⅰ) 求数列 {a n } 的通公式 ;( Ⅱ) 令 b n =(-1)n-1,求数列 {b n }的前 n 和 T n .[ 答案 ] 看解析[ 解析 ] ( Ⅰ ) 因 S1 =a 1 ,S2=2a 1 +×2=2a1+2,S =4a1+×2=4a1+12,4由意得 (2a 1+2) 2 =a 1 (4a 1+12),解得 a 1 =1,所以 a n =2n-1.( Ⅱ)b n =(-1)n-1=(-1)n-1=(-1) n-1当 n 偶数 , T n =-=1-=.当 n 奇数 , T n =-.所以 T n =..+ ⋯ +-+ ⋯ -+++=1+=6.已知点的象上一点,等比数列的首,且前和( Ⅰ) 求数列和的通项公式;( Ⅱ) 若数列[ 解析 ] 解: (Ⅰ )因为的前项和为,问,所以的最小正整数,是多少?所以,,,又数列是等比数列,所以,所以,又公比,所以,因为,又所以数列所以所以,所以,所以构成一个首项为 1 ,公差为,当时,. ( 6 分),1 的等差数列,,,( Ⅱ) 由(Ⅰ ) 得,(10 分)由得,满足的最小正整数为 72.( 12 分)7. 在数列,中,,,且成等差数列,成等比数列() .(Ⅰ)求,,及,,,由此归纳出,的通项公式,并证明你的结论;(Ⅱ)证明:.[ 解析 ] (Ⅰ)由条件得,由此可得.猜测. ( 4分)用数学归纳法证明:①当时,由上可得结论成立.②假设当时,结论成立,即,那么当时,.所以当时,结论也成立.由①②,可知对一切正整数都成立. ( 7 分)(Ⅱ)因为.当时,由(Ⅰ)知.所以.综上所述,原不等式成立. (12分)8. 已知数列的前项和是,且.(Ⅰ)求数列的通项公式;(Ⅱ)设,,求使成立的最小.的正整数的.[ 解析 ](1)当,,由,⋯⋯⋯⋯⋯⋯⋯⋯1分当,∴是以首,公比的等比数列.⋯⋯⋯⋯⋯⋯⋯⋯4分故⋯⋯⋯⋯⋯⋯⋯ 6 分(2 )由( 1 )知,⋯⋯⋯⋯⋯⋯ 8 分,故使成立的最小的正整数的.⋯⋯⋯⋯⋯⋯12分.9.己知各均不相等的等差数列 {a n } 的前四和 S4=14 ,且 a 1, a 3, a 7成等比数列.(I)求数列 {a n } 的通公式;( II ) T n数列的前n和,若T n≤¨ 恒成立,求数的最小.[ 解析 ] 122.解得(Ⅰ)公差 d. 由已知得⋯⋯⋯⋯⋯⋯⋯⋯⋯⋯⋯,所以3 分⋯⋯⋯⋯⋯⋯⋯⋯⋯⋯⋯⋯ 6 分(Ⅱ),⋯⋯⋯⋯⋯⋯⋯⋯⋯⋯⋯⋯9 分恒成立,即恒成立10.又∴的最小⋯⋯⋯⋯⋯⋯⋯⋯⋯⋯⋯⋯⋯⋯⋯⋯⋯⋯⋯⋯⋯⋯⋯已知数列前和,首,且,,成等差数列.12 分.(Ⅰ)求数列的通公式;( II )数列足,求:,[ 解析 ] (Ⅰ)成等差数列,∴,,当,,两式相减得:.所以数列是首,公比 2 的等比数列,.(6分)( Ⅱ),( 8 分),.( 12 分)11. 等差数列 {a n } 各均正整数, a 1 =3,前n和S n,等比数列{b n}中, b1=1,且b 2 S2 =64, {} 是公比64 的等比数列 .( Ⅰ) 求 a n与 b n ;( Ⅱ) 明 : + + ⋯ + <.. [ 答案 ] ( Ⅰ ){a n } 的公差d, {b n }的公比q, d 正整数 ,a n =3+(n-1) d,b n =q n-1.依意有①由(6+d) q=64知q正有理数,又由q=知, d 6 的因子 1, 2, 3, 6之一,解①得d=2, q=8.故 a n =3+2(n-1) =2n+1, b n =8n-1.( Ⅱ) 明 :S n =3+5+⋯+(2n+1) =n(n+2) ,所以+ + ⋯+ =+++ ⋯+==<.12.等比数列{a n}的各均正数, 且 2a 1+3a 2 =1,=9a 2a 6.( Ⅰ) 求数列 {a n }的通公式 ;( Ⅱ) b n =log 3 a 1+log3a 2 +⋯+log 3 a n ,求数列的前n和.[ 答案 ] ( Ⅰ ) 数列 {a n} 的公比q.由=9a 2 a 6得=9 , 所以 q 2=.因条件可知q>0,故q=..由 2a 1 +3a 2 =1 得 2a 1 +3a 1 q=1,所以a1=.故数列 {a n } 的通公式 a n=.( Ⅱ) b n =log 3 a 1+log3a 2 +⋯+log 3 a n=-(1+2+⋯+n)=-,故=-=-2,+ + ⋯+ =-2++ ⋯ +=-.所以数列的前 n 和 -.13. 等差数列 {a n } 的各均正数,a 1=3, 其前 n 和 S n ,{b n } 等比数列 ,b 1 =1, 且b 2 S2 =16,b3 S3 =60.( Ⅰ) 求 a n和 b n ;( Ⅱ) 求+ + ⋯ +.[ 答案 ] ( Ⅰ ) {a n }的公差d, 且 d 正数 ,{b n }的公比q,a n =3+(n-1)d,b n=q n-1 ,依意有 b 2 S2 =q ·(6+d)=16,b 3 S3 =q 2·(9+3d)=60,(2分).解得 d=2,q=2.(4分)故 a n =3+2(n-1)=2n+1,b n =2n-1.(6分)( Ⅱ)S n =3+5+⋯+(2n+1)=n(n+2),(8分)所以+ + ⋯+=+++ ⋯+=(10 分 )== -.(12 分 )14. 数列 {a n } 的前 n 和 S n足 :S n =na n -2n(n-1).等比数列{b n}的前n和T n,公比a 1 ,且 T5 =T 3 +2b 5 .(1)求数列 {a n }的通公式 ;(2) 数列的前n和M n,求:≤M n<.[ 答案 ](1) ∵T5 =T 3+2b 5 ,∴b 4+b 5=2b 5,即 (a 1 -1)b 4 =0, 又 b 4≠0, ∴a1 =1.n ≥2,a n =S n -S n-1 =na n -(n-1)a n-1 -4(n-1),即(n-1)a n-(n-1)a n-1 =4(n-1).∵n-1 ≥1, ∴a n -a n-1 =4(n≥2),.∴数列{a n }是以 1 首 ,4 公差的等差数列,∴a n =4n-3. (6分)(2) 明 : ∵==·,(8 分 )∴M n =++ ⋯+==< ,(10 分 )又易知 M n增 ,故 M n≥M 1=.上所述 , ≤M n < . (12分)。
数列的求和1.直接法:即直接用等差、等比数列的求和公式求和。
(1)等差数列的求和公式:d n n na a a n S n n 2)1(2)(11-+=+=(2)等比数列的求和公式⎪⎩⎪⎨⎧≠--==)1(1)1()1(11q qq a q na S nn (切记:公比含字母时一定要讨论)3.错位相减法:比如{}{}.,,2211的和求等比等差n n n n b a b a b a b a +++ 4.裂项相消法:把数列的通项拆成两项之差、正负相消剩下首尾若干项。
常见拆项公式:111)1(1+-=+n n n n ;1111()(2)22n n n n =-++ )121121(21)12)(12(1+--=+-n n n n !)!1(!n n n n -+=⋅5.分组求和法:把数列的每一项分成若干项,使其转化为等差或等比数列,再求和。
6.合并求和法:如求22222212979899100-++-+- 的和。
7.倒序相加法:8.其它求和法:如归纳猜想法,奇偶法等 (二)主要方法:1.求数列的和注意方法的选取:关键是看数列的通项公式; 2.求和过程中注意分类讨论思想的运用; 3.转化思想的运用; (三)例题分析:例1.求和:①个n n S 111111111++++= ②22222)1()1()1(n n n xx x x x x S ++++++= ③求数列1,3+4,5+6+7,7+8+9+10,…前n 项和n S 思路分析:通过分组,直接用公式求和。
解:①)110(9110101011112-=++++==kkk k a个])101010[(91)]110()110()110[(9122n S n n n -+++=-++-+-= 8110910]9)110(10[911--=--=+n n n n ②)21()21()21(224422+++++++++=nnn x x x x x x S n xx x x x x n n 2)111()(242242++++++++=(1)当1±≠x 时,n x x x x n x x x x x x S n n n n n n 2)1()1)(1(21)1(1)1(22222222222+-+-=+--+--=+--- (2)当n S x n 4,1=±=时 ③kk k k k k k k k k a k 23252)]23()12[()]1()12[()12(2)12(2-=-+-=-+-+++++-=2)1(236)12)(1(25)21(23)21(2522221+-++⋅=+++-+++=+++=n n n n n n n a a a S n n)25)(1(61-+=n n n 总结:运用等比数列前n 项和公式时,要注意公比11≠=q q 或讨论。
数列难题专题一.解答题(共13小题)1.已知等差数列{a n}满足a2=2,a1+a4=5.(I)求数列{a n}的通项公式;(II)若数列{b n}满足:b1=3,b2=6,{b n﹣a n}为等比数列,求数列{b n}的前n 项和T n.2.已知数列{a n}的前n项和为S n满足S n=,且a1﹣1,2a2,a3+7成等差数列.(1)求数列{a n}的通项公式;(2)令b n=2log9a n(n∈N*),求数列的前n项和T n.3.已知等比数列{a n}的前n项和为S n,a1=2,a n>0(n∈N*),S6+a6是S4+a4,S5+a5的等差中项.(1)求数列{a n}的通项公式;(2)设,数列的前n项和为T n,求T n.4.已知数列{a n}的前n项和为.(1)求数列{a n}的通项公式;(2)设b n=log2a n,求.5.各项均为正数的等比数列{a n}的前n项和为S n.已知a1=3,S3=39.(Ⅰ)求数列{a n}的通项公式;(Ⅱ)设数列{c n}满足,求数列{c n}的前n项和T n.6.已知数列{a n}的前n项和为S n=n2+1,在等比数列{b n}中,b1=,公比q=;(Ⅰ)求a n;(Ⅱ)令c n=a n•b n,设T n为{c n}的前n项和,求T n.7.已知数列{a n}的前n项和是S n,且S n=1(n∈N),数列{b n}是公差d 不等于0的等差数列,且满足:b1=,b2,b5,b14成等比数列.(Ⅰ)求数列{a n}、{b n}的通项公式;(Ⅱ)设c n=a n•b n,求数列{c n}的前n项和T n.8.已知等差数列{a n}满足a3=6,前7项和为S7=49.(1)求{a n}的通项公式;(2)设数列{b n}满足,求{b n}的前n项和T n.9.已知正数等比数列{a n}的前n项和S n满足:.(1)求数列{a n}的首项a1和公比q;(2)若b n=na n,求数列{b n}的前n项和T n.10.已知等比数列{a n}的公比q>0,a2a3=8a1,且a4,36,2a6成等差数列.(1)求数列{a n}的通项公式;(2)记,求数列{b n}的前n项和T n.11.已知正项数列{a n}的前n项和为S n,且(1+a n)2=4S n+4,等比数列{b n}的首项为1,公比为q(q≠1),且3b1,2b2,b3成等差数列.(1)求{a n}的通项公式;(2)求数列{a n b n}的前n项和T n.12.已知数列{a n}的前n项和为S n,a n>0且满足a n=2S n﹣﹣(n∈N*).(Ⅰ)求数列{a n}的通项公式;(Ⅱ)求数列{}的前n项和T n.13.已知数列{a n}的前n项和为S n,且a1=2,2S n=(n+1)2a n﹣n2a n+1,数列{b n}满足b1=a1,nb n+1=a n b n.(Ⅰ)求数列{a n}和{b n}的通项公式;(Ⅱ)若数列{c n}满足c n=a n+b n(n∈N*),求数列{c n}的前n项和T n.参考答案与试题解析一.解答题(共13小题)1.已知等差数列{a n}满足a2=2,a1+a4=5.(I)求数列{a n}的通项公式;(II)若数列{b n}满足:b1=3,b2=6,{b n﹣a n}为等比数列,求数列{b n}的前n 项和T n.【分析】(Ⅰ)由题意可得,解得a1=d=1,即可求出通项公式,(Ⅱ)b1=3,b2=6,{b n﹣a n}为等比数列,求出b n=n+2n,再分组求和即可.【解答】解:(Ⅰ)等差数列{a n}满足a2=2,a1+a4=5,则,解得a1=d=1,∴a n=1+(n﹣1)=n,(Ⅱ)∵b1=3,b2=6,{b n﹣a n}为等比数列,设公比为q,∴b1﹣a1=3﹣1=2,b2﹣a2=6﹣2=4,∴q=2,∴b n﹣a n=2×2n﹣1=2n,∴b n=n+2n,∴数列{b n}的前n项和T n=(1+2+3+…+n)+(2+22+…++2n)=+=+2n+1﹣2.【点评】本题考查了等差数列和等比数列的通项公式和求和公式,考查了运算能力,属于基础题.2.已知数列{a n}的前n项和为S n满足S n=,且a1﹣1,2a2,a3+7成等差数列.(1)求数列{a n}的通项公式;(2)令b n=2log9a n(n∈N*),求数列的前n项和T n.【分析】(1)根据a n=S n﹣S n﹣1可得出{a n}的递推公式,于是{a n}为等比数列,根据a1﹣1,2a2,a3+7成等差数列解方程计算a1即可得出a n;(2)计算b n=,使用裂项法求和.【解答】解:(1)由得2S n=3a n﹣a1,由,做差得a n=3a n﹣1(n≥2),∴数列{a n}是公比为3的等比数列,又a1﹣1,2a2,a3+7成等差数列,4a2=a1+a3+6,即12a1=a1+9a1+6,解得a1=3,∴.(2)b n=2log93n=n,∴,∴.【点评】本题考查了等比数列的性质,裂项法求和,属于基础题.3.已知等比数列{a n}的前n项和为S n,a1=2,a n>0(n∈N*),S6+a6是S4+a4,S5+a5的等差中项.(1)求数列{a n}的通项公式;(2)设,数列的前n项和为T n,求T n.【分析】(1)根据S6+a6是S4+a4,S5+a5的等差中项建立关系,a1=2,即可求解数列{a n}的通项公式(2)设,将{a n}的通项公式带入化简可得{b n}的通项公式,利用裂项相消法前n项和为T n,【解答】解:(1)∵S6+a6是S4+a4,S5+a5的等差中项.∴2(S4+a4)=S4+a4+S5+a5化简得4a6=a4∵a1=2,{a n}是等比数列,设公比为q,则.∵a n>0(n∈N*),∴q>0∴q=∴数列{a n}的通项公式a n==;(2)由==2n﹣3.∴数列{b n}的通项公式b n=2n﹣3.那么:==数列的前n项和为T n=(﹣1﹣1)+(1﹣)+()+……+()=﹣1﹣=.【点评】本题考查了等比数列的通项公式与前n项和公式,考查了推理能力与计算能力,属于基础题.4.已知数列{a n}的前n项和为.(1)求数列{a n}的通项公式;(2)设b n=log2a n,求.【分析】(1)根据数列的递推公式即可求出,(2)根据对数的运算性质和裂项求和,即可求出结果.【解答】解:(1)当n≥2时,a n=S n﹣S n﹣1=(23n+1﹣2)﹣(23n﹣2﹣2)=23n﹣2,当n=1时,a1=S1=23×1﹣2,符合上式∴a n=23n﹣2,(n∈N*).(2)由(1)得b n=log2a n=3n﹣2,∴==(﹣),∴=[(1﹣)+(﹣)+…+(﹣)]=(1﹣)=【点评】本题考查了数列的递推公式和裂项求和,考查了运算能力,属于中档题5.各项均为正数的等比数列{a n}的前n项和为S n.已知a1=3,S3=39.(Ⅰ)求数列{a n}的通项公式;(Ⅱ)设数列{c n}满足,求数列{c n}的前n项和T n.【分析】(Ⅰ)由a1=3,S3=39,知q2+q﹣12=0.故q=3,或q=﹣4,由此能求出,(Ⅱ)根据等差数列和等比数列的求和公式计算即可.【解答】解:(Ⅰ)设{a n}的公比为q,由a1=3,S3=39得,于是q2+q﹣12=0,解得q=3(q=﹣4不符合题意,舍去)故.(Ⅱ)由(Ⅰ)得,则,则…=.【点评】本题考查数列的通项及前n项和,考查等比数列的求和公式,属于中档题.6.已知数列{a n}的前n项和为S n=n2+1,在等比数列{b n}中,b1=,公比q=;(Ⅰ)求a n;(Ⅱ)令c n=a n•b n,设T n为{c n}的前n项和,求T n.【分析】(Ⅰ)由数列{a n}的前n项和为S n=n2+1,利用,由此能求出a n.(Ⅱ)利用等比数列{b n}中,b1=,公比q=,求出=()n,从而c n=a n•b n=,由此利用错位相减法能求出T n.【解答】解:(Ⅰ)∵数列{a n}的前n项和为S n=n2+1,∴a1=S1=12+1=2,当n≥2时,a n=S n﹣S n﹣1=(n2+1)=[(n﹣1)2+1]=2n,当n=1时,a n=2=a1,∴a n=2n.(Ⅱ)∵在等比数列{b n}中,b1=,公比q=,∴=()n,∴c n=a n•b n=,∴{c n}的前n项和:T n=+,①=+6×+…+2n×()n+1,②①﹣②,得:=2[+…+()n]﹣2n×()n+1=2×﹣2n×()n+1=1﹣(1+)×()n,∴T n=﹣(n+)×()n.【点评】本题考查数列的通项公式、前n项和公式的求法,考查等比数列、错位相减法等基础知识,考查运算求解能力,考查函数与方程思想,是中档题.7.已知数列{a n}的前n项和是S n,且S n=1(n∈N),数列{b n}是公差d 不等于0的等差数列,且满足:b1=,b2,b5,b14成等比数列.(Ⅰ)求数列{a n}、{b n}的通项公式;(Ⅱ)设c n=a n•b n,求数列{c n}的前n项和T n.【分析】(I)S n=1(n∈N),n≥2时,S n﹣1+a n﹣1=1,相减可得:a n﹣a n﹣1=0,化为:a n=a n﹣1.利用等比数列的通项公式可得a n.数列{b n}是公差d不等于0的等差数列,且满足:b1==1.由b2,b5,b14成等比数列.可得=b2•b14,(1+4d)2=(1+d)(1+13d),d≠0.解得d.即可得出.(Ⅱ)设c n=a n•b n=.利用错位相减法即可得出.【解答】解:(I)S n=1(n∈N),n≥2时,S n﹣1+a n﹣1=1,相减可得:a n﹣a n﹣1=0,化为:a n=a n﹣1.n=1时,a1+=1,解得a1=.∴数列{a n}是等比数列,首项为,公比为.∴a n==2×.数列{b n}是公差d不等于0的等差数列,且满足:b1==1.∵b2,b5,b14成等比数列.∴=b2•b14,∴(1+4d)2=(1+d)(1+13d),d≠0.解得d=2.∴b n=1+2(n﹣1)=2n﹣1.(Ⅱ)设c n=a n•b n=.求数列{c n}的前n项和T n=+……+.=+……++,相减可得:T n=+4﹣=+4×﹣,化为:T n=2﹣.【点评】本题考查了数列递推关系、等差数列与等比数列的通项公式与求和公式、错位相减法,考查了推理能力与计算能力,属于中档题.8.已知等差数列{a n}满足a3=6,前7项和为S7=49.(1)求{a n}的通项公式;(2)设数列{b n}满足,求{b n}的前n项和T n.【分析】(1)根据等差数列的求和公式和等差数列的性质即可求出,(2)根据错位相减法即可求出.【解答】解:(1)由,得a4=7∵a3=6,∴d=1,∴a1=4,∴a n=n+3(2)=n•3n,∴T n=1×31+2×32+3×33+…+n×3n,∴3T n=1×32+2×33+3×34+…+n×3n+1,∴﹣2T n=3+32+33+34+…+3n﹣n×3n+1=﹣n×3n+1,∴T n=【点评】本题考查了等差数列的求和公式和等差数列的性质以及错位相减法,属于中档题9.已知正数等比数列{a n}的前n项和S n满足:.(1)求数列{a n}的首项a1和公比q;(2)若b n=na n,求数列{b n}的前n项和T n.【分析】(1)利用数列的递推关系式,求出数列的公比,然后求解数列的首项;(2)利用错位相减法求解数列的和即可.【解答】解:(1)∵,可知,,两式相减得:,∴,而q>0,则.又由,可知:,∴,∴a1=1.(2)由(1)知.∵,∴,.两式相减得=.∴.【点评】本题考查数列的递推关系式的应用,数列求和,考查计算能力.10.已知等比数列{a n}的公比q>0,a2a3=8a1,且a4,36,2a6成等差数列.(1)求数列{a n}的通项公式;(2)记,求数列{b n}的前n项和T n.【分析】(1)利用等差数列以及等比数列的通项公式列出方程组,求出数列的首项与公比,然后求解数列的通项公式.(2)化简通项公式,利用错位相减法求解数列的和即可.【解答】(本题满分12分)解:(1)由a2a3=8a1得:a1q3=8 即a4=8又因为a4,36,2a6成等差数列所以a4+2a6=72将a4=8代入得:a6=42从而:a1=1,q=2所以:a n=2n﹣1…….(6分)(2)b n==2n•()n﹣1T n=2×()0+4×()1+6×()2+…+2(n﹣1)•()n﹣2+2n•()n﹣1……………………①T n=2×()1+4×()2+6×()3+…+2(n﹣1)•()n﹣1+2n•()n……………………②①﹣②得:T n=2×()0+2(()1+()2+…+()n﹣1)﹣2n•()n =2+2×﹣2n•()n=4﹣(n+2)•()n﹣1∴T n=8﹣(n+2)•()n﹣2………………………………………………….(12分)【点评】本题考查等差数列以及等比数列的应用,数列求和的方法,考查转化首项以及计算能力.11.已知正项数列{a n}的前n项和为S n,且(1+a n)2=4S n+4,等比数列{b n}的首项为1,公比为q(q≠1),且3b1,2b2,b3成等差数列.(1)求{a n}的通项公式;(2)求数列{a n b n}的前n项和T n.【分析】(1)利用递推关系式求出数列的通项公式.(2)利用乘公比错位相减法求出数列的和.【解答】解:(1)当n=1时,且(1+a1)2=4S1+4,即:,因为:a n>0,所以:a1=3,当n≥2时,(1+a n)2=4S n+4,①则:(1+a n﹣1)2=4S n﹣1+4,②①﹣②得:(a n+a n﹣1)(a n﹣a n﹣1)=2(a n+a n﹣1),所以:a n﹣a n﹣1=2.所以数列{a n}是首项为3,公差为2的等差数列,所以:a n=2n+1(2)因为等比数列{b n}的首项为1数列,公比为q的等比数列,且3b1,2b2,b3成等差数列.所以:4b2=3b1+b3,所以:4q=3+q2,解得:q=3或1(舍去)所以:q=3.故:则:.所以:T n=3•30+5•31+…+(2n+1)•3n﹣1③,3T n=3•31+5•32+…+(2n+1)•3n④,③﹣④得:﹣2T n=3+2(31+32+…+3n﹣1)﹣(2n+1)•3n,解得:,=n•3n.【点评】本题主要考查:利用a n与S n的递推关系求数列的通项公式以及错位相减法求和,考查运算求解能力,考查函数与方程思想、转化与化归思想等..12.已知数列{a n}的前n项和为S n,a n>0且满足a n=2S n﹣﹣(n∈N*).(Ⅰ)求数列{a n}的通项公式;(Ⅱ)求数列{}的前n项和T n.【分析】(Ⅰ)由已知数列递推式求得a1=1,且得到,则,两式联立可得(a n+1+a n)(a n+1﹣a n﹣2)=0,进一步得到a n﹣1﹣a n=2,说明数列{a n}是以1为首项,以2为公差的等差数列,则数列{a n}的通项公式可求;(Ⅱ)直接利用错位相减法求数列{}的前n项和T n.【解答】解:(Ⅰ)当n=1时,,解得a1=1;由a n=2S n﹣﹣,整理得,①∴,②②﹣①得:,∴(a n+1+a n)(a n+1﹣a n﹣2)=0,∵a n>0,∴a n+1﹣a n﹣2=0,即a n﹣1﹣a n=2.∴数列{a n}是以1为首项,以2为公差的等差数列,则a n=1+2(n﹣1)=2n﹣1;(Ⅱ)=,③,④③﹣④得:==.∴.【点评】本题考查数列递推式,考查了等差关系的确定,训练了错位相减法求数列的前n项和,是中档题.13.已知数列{a n}的前n项和为S n,且a1=2,2S n=(n+1)2a n﹣n2a n+1,数列{b n}满足b1=a1,nb n+1=a n b n.(Ⅰ)求数列{a n}和{b n}的通项公式;(Ⅱ)若数列{c n}满足c n=a n+b n(n∈N*),求数列{c n}的前n项和T n.【分析】(I)由2S n=(n+1)2a n﹣n2a n+1,可得:2S n+1=(n+2)2a n+1﹣(n+1)2a n+2,两式相减可得:2a n+1=a n+2+a n,可得数列{a n}是等差数列,2S1=22a1﹣a2,a1=2,解得a2.可得公差d,即可得出a n.由b1=a1=2,nb n+1=a n b n.可得b n+1=2b n,利用等比数列的通项公式可得b n.(II)c n=a n+b n=2n+2n,利用等差数列与等比数列的求和公式即可得出.【解答】解:(I)由2S n=(n+1)2a n﹣n2a n+1,可得:2S n+1=(n+2)2a n+1﹣(n+1)2a n+2,两式相减可得:2a n+1=(n+2)2a n+1﹣(n+1)2a n+2﹣(n+1)2a n+n2a n+1,∴2a n+1=a n+2+a n,∴数列{a n}是等差数列,2S1=22a1﹣a2,a1=2,解得a2=4.∴d=4﹣2=2.∴a n=2+2(n﹣1)=2n.由b1=a1=2,nb n+1=a n b n.∴b n+1=2b n,∴数列{b n}是等比数列,首项与公比都为2.∴b n=2n.(II)c n=a n+b n=2n+2n,∴数列{c n}的前n项和T n=+=2n+1+n2+n﹣2.【点评】本题考查了数列递推关系、等比数列与等差数列的通项公式求和公式及其性质,考查了推理能力与计算能力,属于中档题.。
高三数学倒序相加错位相减裂项抵消求和试题答案及解析1. 设等比数列{a n }的前n 项和为S n .已知a n+1=2S n +2() (1)求数列{a n }的通项公式;(2)在a n 与a n+1之间插入n 个数,使这n+2个数组成一个公差为d n 的等差数列,①在数列{d n }中是否存在三项d m ,d k ,d p (其中m,k,p 成等差数列)成等比数列?若存在,求出这样的三项,若不存在,说明理由; ②求证:.【答案】(1) (2)见解析【解析】(1)利用S n 与a n 之间的关系,即可得到关于a n+1,a n 的递推式,证明a n 为等比数列,且可以知道公比,当n=1时,可以得到a 1与a 2之间的关系,在根据a n 等比数列,可以消掉a 2得到首项的值,进而得到通项公式. (2)根据等差数列公差与项之间的关系(),可以得到,带入a n 得到d n 的通项公式.①假设存在,d m ,d k ,d p 成等比数列,可以得到关于他们的等比中项式子,把d n 的通项公式带入计算可以得到,则m,k,p 既成等差数列也是等比数列,所以三者相等,与数列{d n }中是否存在三项d m ,d k ,d p (不相等)矛盾,所以是不存在的. ②利用(2)所得求出的通项公式,再利用错位相减可以求得,利用不等式的性质即可得到证明原式.试题解析: (1)由, 可得:, 两式相减:. 2分 又, 因为数列是等比数列,所以,故.所以. 4分 (2)由(1)可知, 因为:,故:. 6分 ①假设在数列中存在三项(其中成等差数列)成等比数列,则:,即:,(*) 8分 因为成等差数列,所以,(*)可以化简为,故,这与题设矛盾. 所以在数列中不存在三项(其中成等差数列)成等比数列.10分②令,,11分两式相减:13分. 14分【考点】等比数列错位相减法不等式等差等比中项2.对于数列,把作为新数列的第一项,把或()作为新数列的第项,数列称为数列的一个生成数列.例如,数列的一个生成数列是.已知数列为数列的生成数列,为数列的前项和.(1)写出的所有可能值;(2)若生成数列满足的通项公式为,求.【答案】(1)(2)【解析】(1)列举出数列所有可能情况,共种,分别计算和值为,本题目的初步感观生成数列,(2)分段函数求和,注意“间断的周期性”. 因为,所以间断的周期为3,每3个作为一个“大元素”,所以先求.再利用求及的.因为,所以当时,当,试题解析:解:(1)由已知,,,∴,由于,∴可能值为. 3分(2)∵.∴时,..时,;时,;13分注:若有其它解法,请酌情给分】【考点】数列求和3.已知数列的前n项和为,且满足,.(1)求数列的通项公式;(2)设为数列{}的前n项和,求;(3)设,证明:.【答案】(1) (2)(3)见解析【解析】(1)当带入式子结合即可得到的值,当时,利用与的关系()即可得到是一个常数,即可得到数列为等差数列,但是需要验证是否符合,进而证明为等差数列,即可求的通项公式.(2)把(1)中得到的的通项公式带入可得,即为等差数列与等比数列的乘积,故需要利用错位相减法来求的前n项和.(3)把(1)得到的带入,观察的通项公式为分式,为求其前n项和可以考虑利用裂项求和法.进行裂项,在进行求和就可以得到的前n项和为,利用非负即可证明原不等式.试题解析:(1)由题意,当时,有,(1分)两式相减得即. (2分)由,得.所以对一切正整数n,有,(3分)故,即. (4分)(2)由(1),得,所以①(5分)①两边同乘以,得②(6分)①-②,得,(7分)所以,(8分)故. (9分)(3)由(1),得(12分)(13分). (14分)【考点】裂项求和错位相减不等式4.数列{an }的前n项和为Sn,若an=,则S4=________.【答案】【解析】an =,∴S4=1-+-+-+-=.5.数列的前项和为,且是和的等差中项,等差数列满足(1)求数列、的通项公式(2)设=,求数列的前项和.【答案】(1),(2)【解析】(1)由与的关系可得及,两式相减可得数列的通项公式,在使用与的关系时要注意与的情况讨论;(2)的通项公式是由一个等差数列与一个等比数列比值的形式,求其和时可用错位相减法.两式相减时要注意下式的最后一项出现负号,等比求和时要数清等比数列的项数,也可以使用这个求和公式,它可以避免找数列的数项;最终结果化简依靠指数运算,要保证结果的成功率,可用作为特殊值检验结果是否正确.试题解析:(1)由题意知,,故又时,由得,即故是以1为首项以2为公比的等比数列,所以.因为,所以的公差为2,所以(2)由=,得①②-②得所以【考点】1、与的关系;2、错位相减法求数列和.6.已知数列,满足,,(1)求的值;(2)猜想数列的通项公式,并用数学归纳法证明;(3)己知,设,记,求.【答案】(1);;(2),证明见解析;(3)3..【解析】(1)这属于已知数列的递推关系式,求数列的项的问题,我们只要在已知递推关系式中依次令就可以依次求出;(2)用归纳法归纳数列的通项公式,我们可以由数列的前几项想象各项与项数之间的联系,如,,,,从而归纳出结论,然后数学归纳法证明,这里数学归纳法的基础即第一步已经不需另证了,关键是第二步,假设时,,然后由已知条件求出,那么结论就是正确的;(3)按常规方法,先求,,接着求数列的前项和,根据其通项公式的形式(它是一个等差数列所一个等比数列对应项相乘所得),求和用乘公比经错位相减法,求得,然后借助已知极限可求出极限.试题解析:(1),∴.,分别令,可得,(2)猜想数列的通项公式为.用数学归纳法证明如下:证明 (i)当时,由(1)知结论成立;当时,,结论成立.(ii)假设时,结论成立,即.当时,.所以,,即时,结论也成立.根据(i)和(ii)可以断定,结论对一切正整数都成立.(3)由(2)知,,.于是,,.所以,.【考点】(1)数列的项;(2)数学归纳法;(3)借位相减法,极限.7.已知数列的前项和(为正整数)(1)令,求证数列是等差数列,并求数列的通项公式;(2)令,,试比较与的大小,并予以证明【答案】(1)见解析;(2)见解析【解析】(1)由题意数列的前项和表达式,先根据求数列的通项的递推关系式,再求数列是等差数列,根据等差数列的通项求数列的通项;(2)由(1)所求数列的通项先得,再利用错位相减法求得表达式,再把与作差比较大小,可利用数学归纳法证明试题解析:(I)在中,令n=1,可得,即当时,,又数列是首项和公差均为1的等差数列于是(II)由(I)得,所以由①-②得于是确定的大小关系等价于比较的大小由可猜想当证明如下:证法1:(1)当n=3时,由上验算显示成立。
数列求和考试要求 1.熟练掌握等差、等比数列的前n 项和公式.2.掌握非等差数列、非等比数列求和的几种常见方法.知识梳理数列求和的几种常用方法 1.公式法直接利用等差数列、等比数列的前n 项和公式求和. (1)等差数列的前n 项和公式:S n =n a 1+a n 2=na 1+n n -12d .(2)等比数列的前n 项和公式:S n =⎩⎪⎨⎪⎧na 1,q =1,a 1-a n q 1-q=a 11-q n1-q ,q ≠1.2.分组求和法与并项求和法(1)若一个数列是由若干个等差数列或等比数列或可求和的数列组成,则求和时可用分组求和法,分别求和后相加减.(2)形如a n =(-1)n·f (n )类型,常采用两项合并求解. 3.错位相减法如果一个数列的各项是由一个等差数列和一个等比数列的对应项之积构成的,那么这个数列的前n 项和即可用此法来求,如等比数列的前n 项和公式就是用此法推导的. 4.裂项相消法(1)把数列的通项拆成两项之差,在求和时中间的一些项可以相互抵消,从而求得其和. (2)常见的裂项技巧 ①1n n +1=1n -1n +1.②1n n +2=12⎝ ⎛⎭⎪⎫1n -1n +2.③12n -12n +1=12⎝ ⎛⎭⎪⎫12n -1-12n +1.④1n +n +1=n +1-n .思考辨析判断下列结论是否正确(请在括号中打“√”或“×”) (1)若数列{a n }为等比数列,且公比不等于1,则其前n 项和S n =a 1-a n +11-q.( √ ) (2)当n ≥2时,1n 2-1=12⎝ ⎛⎭⎪⎫1n -1-1n +1.( √ )(3)求S n =a +2a 2+3a 3+…+na n时,只要把上式等号两边同时乘a 即可根据错位相减法求得.( × )(4)求数列⎩⎨⎧⎭⎬⎫12n +2n +3的前n 项和可用分组转化法求和.( √ ) 教材改编题1.数列{a n }的通项公式是a n =(-1)n(2n -1),则该数列的前100项之和为( ) A .-200 B .-100 C .200 D .100答案 D解析 S 100=(-1+3)+(-5+7)+…+(-197+199)=2×50=100.2.等差数列{a n }中,已知公差d =12,且a 1+a 3+…+a 99=50,则a 2+a 4+…+a 100等于( )A .50B .75C .100D .125 答案 B解析 a 2+a 4+…+a 100=(a 1+d )+(a 3+d )+…+(a 99+d ) =(a 1+a 3+…+a 99)+50d =50+25=75. 3.在数列{a n }中,a n =1n n +1,若{a n }的前n 项和为20222023,则项数n =________.答案 2022 解析 a n =1nn +1=1n -1n +1, ∴S n =1-12+12-13+…+1n -1n +1=1-1n +1=n n +1=20222023, ∴n =2022.题型一 分组求和与并项求和例1 (2022·衡水质检)已知各项都不相等的等差数列{a n },a 6=6,又a 1,a 2,a 4成等比数列. (1)求数列{a n }的通项公式;(2)设b n =2n a+(-1)na n ,求数列{b n }的前2n 项和T 2n . 解 (1)∵{a n }为各项都不相等的等差数列,a 6=6,且a 1,a 2,a 4成等比数列. ∴⎩⎪⎨⎪⎧a 6=a 1+5d =6,a 1+d 2=a 1a 1+3d ,d ≠0,解得a 1=1,d =1,∴数列{a n }的通项公式a n =1+(n -1)×1=n .(2)由(1)知,b n =2n +(-1)nn ,记数列{b n }的前2n 项和为T 2n , 则T 2n =(21+22+ (22))+(-1+2-3+4-…+2n ). 记A =21+22+ (22),B =-1+2-3+4-…+2n , 则A =21-22n1-2=22n +1-2,B =(-1+2)+(-3+4)+…+[-(2n -1)+2n ]=n .故数列{b n }的前2n 项和T 2n =A +B =22n +1+n -2.延伸探究 在本例(2)中,如何求数列{b n }的前n 项和T n ? 解 由本例(2)知b n =2n +(-1)nn . 当n 为偶数时,T n =(21+22+ (2))+[-1+2-3+4-…-(n -1)+n ]=2-2n +11-2+n 2=2n +1+n2-2;当n 为奇数时,T n =(21+22+…+2n )+[-1+2-3+4-…-(n -2)+(n -1)-n ]=2n +1-2+n -12-n=2n +1-n 2-52. 所以T n=⎩⎪⎨⎪⎧2n +1+n2-2,n 为偶数,2n +1-n 2-52,n 为奇数.教师备选(2020·新高考全国Ⅰ)已知公比大于1的等比数列{a n }满足a 2+a 4=20,a 3=8. (1)求{a n }的通项公式;(2)记b m 为{a n }在区间(0,m ](m ∈N *)中的项的个数,求数列{b m }的前100项和S 100. 解 (1)由于数列{a n }是公比大于1的等比数列,设首项为a 1,公比为q ,依题意有⎩⎪⎨⎪⎧a 1q +a 1q 3=20,a 1q 2=8,解得⎩⎪⎨⎪⎧a 1=32,q =12(舍)或⎩⎪⎨⎪⎧a 1=2,q =2,所以{a n }的通项公式为a n =2n,n ∈N *. (2)由于21=2,22=4,23=8,24=16,25=32, 26=64,27=128,所以b 1对应的区间为(0,1],则b 1=0;b 2,b 3对应的区间分别为(0,2],(0,3],则b 2=b 3=1,即有2个1;b 4,b 5,b 6,b 7对应的区间分别为(0,4],(0,5],(0,6],(0,7], 则b 4=b 5=b 6=b 7=2,即有22个2;b 8,b 9,…,b 15对应的区间分别为(0,8],(0,9],…,(0,15],则b 8=b 9=…=b 15=3,即有23个3;b 16,b 17,…,b 31对应的区间分别为(0,16],(0,17],…,(0,31],则b 16=b 17=…=b 31=4,即有24个4;b 32,b 33,…,b 63对应的区间分别为(0,32],(0,33],…,(0,63],则b 32=b 33=…=b 63=5,即有25个5;b 64,b 65,…,b 100对应的区间分别为(0,64],(0,65],…,(0,100],则b 64=b 65=…=b 100=6,即有37个6.所以S 100=1×2+2×22+3×23+4×24+5×25+6×37=480.思维升华 (1)若数列{c n }的通项公式为c n =a n ±b n ,且{a n },{b n }为等差或等比数列,可采用分组求和法求数列{c n }的前n 项和. (2)若数列{c n }的通项公式为c n =⎩⎪⎨⎪⎧a n ,n 为奇数,b n ,n 为偶数,其中数列{a n },{b n }是等比数列或等差数列,可采用分组求和法求{c n }的前n 项和.跟踪训练1 (2022·重庆质检)已知等差数列{a n }的前n 项和为S n ,a 5=9,S 5=25. (1)求数列{a n }的通项公式及S n ;(2)设b n =(-1)nS n ,求数列{b n }的前n 项和T n . 解 (1)设数列{a n }的公差为d , 由S 5=5a 3=25得a 3=a 1+2d =5, 又a 5=9=a 1+4d , 所以d =2,a 1=1, 所以a n =2n -1,S n =n 1+2n -12=n 2.(2)结合(1)知b n =(-1)n n 2,当n 为偶数时,T n =(b 1+b 2)+(b 3+b 4)+(b 5+b 6)+…+(b n -1+b n )=(-12+22)+(-32+42)+(-52+62)+…+[-(n -1)2+n 2]=(2-1)(2+1)+(4-3)(4+3)+(6-5)(6+5)+…+[n -(n -1)][n +(n -1)] =1+2+3+…+n =n n +12.当n 为奇数时,n -1为偶数,T n =T n -1+(-1)n ·n 2=n -1n2-n 2=-n n +12.综上可知,T n =-1nn n +12.题型二 错位相减法求和例2 (10分)(2021·全国乙卷)设{a n }是首项为1的等比数列,数列{b n }满足b n =na n3.已知a 1,3a 2,9a 3成等差数列.(1)求{a n }和{b n }的通项公式;[切入点:设基本量q ](2)记S n 和T n 分别为{a n }和{b n }的前n 项和.证明:T n <S n 2.[关键点:b n =n ·⎝ ⎛⎭⎪⎫13n]教师备选(2020·全国Ⅰ)设{a n}是公比不为1的等比数列,a1为a2,a3的等差中项.(1)求{a n}的公比;(2)若a1=1,求数列{na n}的前n项和.解(1)设{a n}的公比为q,∵a1为a2,a3的等差中项,∴2a1=a2+a3=a1q+a1q2,a1≠0,∴q2+q-2=0,∵q≠1,∴q=-2.(2)设{na n}的前n项和为S n,a1=1,a n=(-2)n-1,S n=1×1+2×(-2)+3×(-2)2+…+n(-2)n-1,①-2S n=1×(-2)+2×(-2)2+3×(-2)3+…+(n-1)·(-2)n-1+n(-2)n,②①-②得,3S n=1+(-2)+(-2)2+…+(-2)n-1-n(-2)n=1--2n1--2-n(-2)n=1-1+3n-2n3,∴S n =1-1+3n -2n9,n ∈N *.思维升华 (1)如果数列{a n }是等差数列,{b n }是等比数列,求数列{a n ·b n }的前n 项和时,常采用错位相减法.(2)错位相减法求和时,应注意:①在写出“S n ”与“qS n ”的表达式时应特别注意将两式“错项对齐”,以便于下一步准确地写出“S n -qS n ”的表达式.②应用等比数列求和公式必须注意公比q 是否等于1,如果q =1,应用公式S n =na 1. 跟踪训练2 (2021·浙江)已知数列{a n }的前n 项和为S n ,a 1=-94,且4S n +1=3S n -9(n ∈N *).(1)求数列{a n }的通项公式;(2)设数列{b n }满足3b n +(n -4)a n =0(n ∈N *),记{b n }的前n 项和为T n .若T n ≤λb n ,对任意n ∈N *恒成立,求实数λ的取值范围.解 (1)因为4S n +1=3S n -9, 所以当n ≥2时,4S n =3S n -1-9, 两式相减可得4a n +1=3a n ,即a n +1a n =34. 当n =1时,4S 2=4⎝ ⎛⎭⎪⎫-94+a 2=-274-9, 解得a 2=-2716,所以a 2a 1=34.所以数列{a n }是首项为-94,公比为34的等比数列,所以a n =-94×⎝ ⎛⎭⎪⎫34n -1=-3n +14n .(2)因为3b n +(n -4)a n =0,所以b n =(n -4)×⎝ ⎛⎭⎪⎫34n.所以T n =-3×34-2×⎝ ⎛⎭⎪⎫342-1×⎝ ⎛⎭⎪⎫343+0×⎝ ⎛⎭⎪⎫344+…+(n -4)×⎝ ⎛⎭⎪⎫34n,①且34T n =-3×⎝ ⎛⎭⎪⎫342-2×⎝ ⎛⎭⎪⎫343-1×⎝ ⎛⎭⎪⎫344+0×⎝ ⎛⎭⎪⎫345+…+(n -5)×⎝ ⎛⎭⎪⎫34n +(n -4)×⎝ ⎛⎭⎪⎫34n +1,② ①-②得14T n =-3×34+⎝ ⎛⎭⎪⎫342+⎝ ⎛⎭⎪⎫343+…+⎝ ⎛⎭⎪⎫34n -(n -4)×⎝ ⎛⎭⎪⎫34n +1=-94+916⎣⎢⎡⎦⎥⎤1-⎝ ⎛⎭⎪⎫34n -11-34-(n -4)×⎝ ⎛⎭⎪⎫34n +1=-n ×⎝ ⎛⎭⎪⎫34n +1,所以T n =-4n ×⎝ ⎛⎭⎪⎫34n +1.因为T n ≤λb n 对任意n ∈N *恒成立,所以-4n ×⎝ ⎛⎭⎪⎫34n +1≤λ⎣⎢⎡⎦⎥⎤n -4×⎝ ⎛⎭⎪⎫34n 恒成立,即-3n ≤λ(n -4)恒成立,当n <4时,λ≤-3n n -4=-3-12n -4,此时λ≤1;当n =4时,-12≤0恒成立,当n >4时,λ≥-3n n -4=-3-12n -4,此时λ≥-3.所以-3≤λ≤1.题型三 裂项相消法求和例3 (2022·咸宁模拟)设{a n }是各项都为正数的单调递增数列,已知a 1=4,且a n 满足关系式:a n +1+a n =4+2a n +1a n ,n ∈N *. (1)求数列{a n }的通项公式; (2)若b n =1a n -1,求数列{b n }的前n 项和S n . 解 (1)因为a n +1+a n =4+2a n +1a n ,n ∈N *, 所以a n +1+a n -2a n +1a n =4, 即(a n +1-a n )2=4,又{a n }是各项为正数的单调递增数列, 所以a n +1-a n =2, 又a 1=2,所以{a n }是首项为2,公差为2的等差数列, 所以a n =2+2(n -1)=2n ,所以a n =4n 2. (2)b n =1a n -1=14n 2-1=12n -12n +1=12⎝ ⎛⎭⎪⎫12n -1-12n +1,所以S n =b 1+b 2+…+b n =12⎝ ⎛⎭⎪⎫1-13+12⎝ ⎛⎭⎪⎫13-15+…+12⎝ ⎛⎭⎪⎫12n -1-12n +1=12⎝ ⎛⎭⎪⎫1-12n +1=n2n +1. 教师备选设数列{a n }的前n 项和为S n ,且2S n =3a n -1. (1)求{a n }的通项公式; (2)若b n =3na n +1a n +1+1,求{b n }的前n 项和T n ,证明:38≤T n <34.(1)解 因为2S n =3a n -1, 所以2S 1=2a 1=3a 1-1, 即a 1=1.当n ≥2时,2S n -1=3a n -1-1, 则2S n -2S n -1=2a n =3a n -3a n -1, 整理得a na n -1=3, 则数列{a n }是以1为首项,3为公比的等比数列,故a n =1×3n -1=3n -1.(2)证明 由(1)得b n =3n3n -1+13n+1=32×⎝ ⎛⎭⎪⎫13n -1+1-13n +1, 所以T n =32×⎣⎢⎡⎦⎥⎤⎝ ⎛⎭⎪⎫130+1-131+1+⎝ ⎛⎭⎪⎫131+1-132+1+⎝ ⎛⎭⎪⎫132+1-133+1+…+⎝ ⎛⎭⎪⎫13n -1+1-13n +1,即T n =32×⎝ ⎛⎭⎪⎫12-13n +1=34-323n +1,所以T n <34,又因为T n 为递增数列, 所以T n ≥T 1=34-38=38,所以38≤T n <34.思维升华 利用裂项相消法求和的注意事项(1)抵消后不一定只剩下第一项和最后一项,也有可能前面剩两项,后面也剩两项. (2)将通项裂项后,有时需要调整前面的系数,如:若{a n }是等差数列,则1a n a n +1=1d ⎝ ⎛⎭⎪⎫1a n -1a n +1, 1a n a n +2=12d ⎝ ⎛⎭⎪⎫1a n -1a n +2. 跟踪训练3 (2022·河北衡水中学模拟)已知数列{a n }满足a 1=4,且当n ≥2时,(n -1)a n=n (a n -1+2n -2).(1)求证:数列⎩⎨⎧⎭⎬⎫a n n 是等差数列;(2)记b n =2n +1a 2n,求数列{b n }的前n 项和S n .(1)证明 当n ≥2时, (n -1)a n =n (a n -1+2n -2), 将上式两边都除以n (n -1), 得a n n =a n -1+2n -2n -1,即a n n -a n -1n -1=2,所以数列⎩⎨⎧⎭⎬⎫a n n 是以a 11=4为首项,2为公差的等差数列.(2)解 由(1)得a n n=4+2(n -1)=2n +2, 即a n =2n (n +1),所以b n =2n +1a 2n =14⎣⎢⎡⎦⎥⎤1n 2-1n +12, 所以S n =14⎩⎨⎧ ⎝ ⎛⎭⎪⎫1-122+⎝ ⎛⎭⎪⎫122-132+⎭⎬⎫…+⎣⎢⎡⎦⎥⎤1n2-1n +12=14⎣⎢⎡⎦⎥⎤1-1n +12=n 2+2n 4n +12. 课时精练1.已知在等差数列{a n }中,S n 为其前n 项和,且a 3=5,S 7=49. (1)求数列{a n }的通项公式;(2)若b n =2n a+a n ,数列{b n }的前n 项和为T n ,且T n ≥1000,求n 的取值范围. 解 (1)由等差数列性质知,S 7=7a 4=49, 则a 4=7,故公差d =a 4-a 3=7-5=2, 故a n =a 3+(n -3)d =2n -1. (2)由(1)知b n =22n -1+2n -1,T n =21+1+23+3+…+22n -1+2n -1=21+23+…+22n -1+(1+3+…+2n -1) =21-22n +11-4+n 1+2n -12=22n +13+n 2-23.易知T n 单调递增,且T 5=707<1 000,T 6=2 766>1 000,故T n ≥1 000,解得n ≥6,n ∈N *.2.(2020·全国Ⅲ改编)设数列{a n }满足a 1=3,a n +1=3a n -4n .(1)计算a 2,a 3,猜想{a n }的通项公式;(2)求数列{2n a n }的前n 项和S n .解 (1)由题意可得a 2=3a 1-4=9-4=5,a 3=3a 2-8=15-8=7,由数列{a n }的前三项可猜想数列{a n }是以3为首项,2为公差的等差数列,即a n =2n +1.(2)由(1)可知,a n ·2n =(2n +1)·2n,S n =3×2+5×22+7×23+…+(2n -1)·2n -1+(2n +1)·2n ,① 2S n =3×22+5×23+7×24+…+(2n -1)·2n +(2n +1)·2n +1,② 由①-②得,-S n =6+2×(22+23+…+2n )-(2n +1)·2n +1=6+2×22×1-2n -11-2-(2n +1)·2n +1=(1-2n )·2n +1-2,即S n =(2n -1)·2n +1+2.3.(2022·合肥模拟)已知数列{a n }满足:a 1=2,a n +1=a n +2n.(1)求{a n }的通项公式;(2)若b n =log 2a n ,T n =1b 1b 2+1b 2b 3+…+1b n b n +1,求T n .解 (1)由已知得a n +1-a n =2n,当n ≥2时,a n =a 1+(a 2-a 1)+(a 3-a 2)+…+(a n -a n -1)=2+2+22+…+2n -1=2+21-2n -11-2=2n .又a 1=2,也满足上式,故a n =2n.(2)由(1)可知,b n =log 2a n =n ,1b n b n +1=1n n +1=1n -1n +1,T n =1b 1b 2+1b 2b 3+…+1b n b n +1=⎝ ⎛⎭⎪⎫1-12+⎝ ⎛⎭⎪⎫12-13+…+⎝ ⎛⎭⎪⎫1n -1n +1 =1-1n +1=n n +1,故T n =n n +1.4.(2022·济宁模拟)已知数列{a n }是正项等比数列,满足a 3是2a 1,3a 2的等差中项,a 4=16.(1)求数列{a n }的通项公式;(2)若b n =(-1)n log 2a 2n +1,求数列{b n }的前n 项和T n .解 (1)设等比数列{a n }的公比为q ,因为a 3是2a 1,3a 2的等差中项,所以2a 3=2a 1+3a 2,即2a 1q 2=2a 1+3a 1q ,因为a 1≠0,所以2q 2-3q -2=0,解得q =2或q =-12, 因为数列{a n }是正项等比数列,所以q =2.所以a n =a 4·q n -4=2n. (2)方法一 (分奇偶、并项求和)由(1)可知,a 2n +1=22n +1, 所以b n =(-1)n ·log 2a 2n +1=(-1)n ·log 222n +1=(-1)n·(2n +1), ①若n 为偶数,T n =-3+5-7+9-…-(2n -1)+(2n +1)=(-3+5)+(-7+9)+…+[-(2n -1)+(2n +1)]=2×n2=n ; ②若n 为奇数,当n ≥3时, T n =T n -1+b n =n -1-(2n +1)=-n -2,当n =1时,T 1=-3适合上式,综上得T n =⎩⎪⎨⎪⎧ n ,n 为偶数,-n -2,n 为奇数 (或T n =(n +1)(-1)n -1,n ∈N *).方法二 (错位相减法)由(1)可知,a 2n +1=22n +1,所以b n =(-1)n ·log 2a 2n +1=(-1)n ·log 222n +1=(-1)n ·(2n +1), T n =(-1)1×3+(-1)2×5+(-1)3×7+…+(-1)n ·(2n +1), 所以-T n =(-1)2×3+(-1)3×5+(-1)4×7+…+(-1)n +1(2n +1), 所以2T n =-3+2[(-1)2+(-1)3+…+(-1)n ]-(-1)n +1(2n +1) =-3+2×1--1n -12+(-1)n (2n +1) =-3+1-(-1)n -1+(-1)n (2n +1)=-2+(2n +2)(-1)n ,所以T n =(n +1)(-1)n -1,n ∈N *.5.(2022·重庆调研)在等差数列{a n }中,已知a 6=12,a 18=36.(1)求数列{a n }的通项公式a n ;(2)若________,求数列{b n }的前n 项和S n , 在①b n =4a n a n +1,②b n =(-1)n ·a n ,③b n =2n a n a ⋅这三个条件中任选一个补充在第(2)问中,并对其求解.解 (1)由题意知⎩⎪⎨⎪⎧ a 1+5d =12,a 1+17d =36,解得d =2,a 1=2.∴a n =2+(n -1)×2=2n .(2)选条件①.b n =42n ·2n +1=1n n +1, 则S n =11×2+12×3+ (1)n +1 =⎝ ⎛⎭⎪⎫11-12+⎝ ⎛⎭⎪⎫12-13+…+⎝ ⎛⎭⎪⎫1n -1n +1 =1-1n +1=n n +1. 选条件②.∵a n =2n ,b n =(-1)n a n =(-1)n·2n , ∴S n =-2+4-6+8-…+(-1)n ·2n , 当n 为偶数时, S n =(-2+4)+(-6+8)+…+[-2(n -1)+2n ]=n 2×2=n ;当n 为奇数时,n -1为偶数, S n =n -1-2n =-n -1. ∴S n =⎩⎪⎨⎪⎧ n ,n 为偶数,-n -1,n 为奇数. 选条件③.∵a n =2n ,b n =2n a n a ⋅, ∴b n =22n ·2n =2n ·4n , ∴S n =2×41+4×42+6×43+…+2n ·4n ,① 4S n =2×42+4×43+6×44+…+2(n -1)·4n +2n ·4n +1,② ①-②得-3S n =2×41+2×42+2×43+…+2×4n -2n ·4n +1=41-4n1-4×2-2n ·4n +1=81-4n-3-2n ·4n +1, ∴S n =89(1-4n )+2n 3·4n +1.。
专题07 数列求和-错位相减、裂项相消答案◆错位相减法【经典例题1】【答案】(1)()12n n a n -*=∈N ; (2)222n nn T +=-. 【解析】(1)因为111,1n n a S a +==-.所以121S a =-,解得22a =.当2n ≥时,11n n S a -=-, 所以11n n n n n a S S a a -+=-=-,所以12n n a a +=,即12n na a +=. 因为212a a =也满足上式,所以{}n a 是首项为1,公比为2的等比数列,所以()12n n a n -*=∈N .(2)由(1)知12nn a +=,所以2n n n b =,所以2311111232222nn T n ⎛⎫⎛⎫⎛⎫=⨯+⨯+⨯++⨯ ⎪ ⎪ ⎪⎝⎭⎝⎭⎝⎭…①2311111112(1)22222n n n T n n +⎛⎫⎛⎫⎛⎫⎛⎫=⨯+⨯++-⨯+⨯ ⎪ ⎪ ⎪ ⎪⎝⎭⎝⎭⎝⎭⎝⎭…②①-②得231111111222222n n n T n +⎛⎫⎛⎫⎛⎫⎛⎫=++++-⨯ ⎪ ⎪ ⎪ ⎪⎝⎭⎝⎭⎝⎭⎝⎭11112211212nn n +⎡⎤⎛⎫-⎢⎥ ⎪⎝⎭⎢⎥⎛⎫⎣⎦=-⨯ ⎪⎝⎭-11122n n ⎛⎫⎛⎫=-+ ⎪⎪⎝⎭⎝⎭,所以222n nn T +=-. 【经典例题2】【答案】(1)32n a n =-,14n n b -= (2)()1414n n T n +=+-【解析】(1)设等差数列{}n a 的公差为d ,等比数列{}n b 的公比为q ,由题意得:13312a d +=,解得:3d =, 所以()13132n a n n =+-=-,由2312b =得:24b =,所以214a q a ==,所以14n n b -= (2)()1324n n n n c a b n +==-⋅,则()2344474324n n T n =+⨯+⨯++-①,()2341444474324n n T n +=+⨯+⨯++-②,两式相减得:()23413434343434324n n n T n +-=+⨯+⨯+⨯++⨯--()()111164433241233414n n n n n +++-=+⨯--=-+--,所以()1414n n T n +=+-【经典例题3】【答案】(1)()*2n n a n =∈N (2)2332n nn T +=-【解析】(1)设等比数列{}n a 的公比为q ,当1q =时,1n S na =,所以2126S a ==,31314S a ==,无解.当1q ≠时,()111n n a q S q -=-,所以()()21231316,1114.1a q S q a q S q ⎧-⎪==-⎪⎨-⎪==⎪-⎩解得12a =,2q 或118a =,23q =-(舍).所以()1*222n n n a n -=⨯=∈N .(2)21212n n n n n b a --==.所以231135232122222n n nn n T ---=+++++①,则234111352321222222n nn n n T +--=+++++②, ①-②得,2341112222212222222n n n n T +-=+++++-234111111212222222nn n +-⎛⎫=+++++- ⎪⎝⎭1111111213234221222212-++⎛⎫- ⎪-+⎝⎭=+⨯-=--n n n n n .所以2332n n n T +=-.【练习1】【答案】(1)21nn a =- (2)()1122n n S n +=-⋅+【解析】(1)由121n n a a +=+得:()1121n n a a ++=+,又112a +=,∴数列{}1n a +是以2为首项,2为公比的等比数列,12n n a ∴+=,21n n a ∴=-.(2)由(1)得:()12nn n a n +=⋅;()1231122232122n n n S n n -∴=⨯+⨯+⨯+⋅⋅⋅+-⋅+⋅,()23412122232122n n n S n n +=⨯+⨯+⨯+⋅⋅⋅+-⋅+⋅,()()2311121222222212212n n n n n n S n n n +++-∴-=++++-⋅=-⋅=-⋅--,()1122n n S n +∴=-⋅+.【练习2】【答案】(1)12n na (2)(1)21n n T n =-⋅+【解析】(1)令1n =得11121S a a ==-,∴11a =,当2n ≥时,1121n n S a --=-,则1122n n n n n a S S a a --=-=-, 整理得12n n a a -=,∴12nn a a -=,∴数列{}n a 是首项为1,公比为2的等比数列,∴12n na ;(2)由(1)得12n n n b na n -==⋅,则01211222322n n T n -=⋅+⋅+⋅+⋅⋅⋅+⋅,12321222322nn T n =⋅+⋅+⋅+⋅⋅⋅+⋅,两式相减得0123112222222212n n nn n T n n ---=++++⋅⋅⋅+-⋅=-⋅-,化简得122(1)21n n nn T n n =-+⋅=-⋅+.【练习3】【答案】(1)212n n a -= (2)234065299n n n T +-=+⨯ 【解析】(1)当1n =时,1113423S a a =-=,解得12a =.当2n ≥时,()113334242n n n n n a S S a a --=-=---,整理得14n n a a -=,所以{}n a 是以2为首项,4为公比的等比数列,故121242n n n a --=⨯=.(2)由(1)可知,()2112log 212n n n n b a a n ++=⋅=-⨯,则()35211232212n n T n +=⨯+⨯++-⨯,()572341232212n n T n +=⨯+⨯++-⨯, 则()368222332222212n n n T n ++-=++++--⨯()62432323224065*********n n n n n +++--=+--⨯=--⨯-.故234065299n n n T +-=+⨯. 【练习4】【答案】(1)证明见解析 (2)()1122n n S n +=-⋅+【解析】(1)由已知可得1122n n n n n a a a ++=+,即11221n n n n a a ++=+,即11221n nn n a a ++-=,2n n a ⎧⎫∴⎨⎬⎩⎭是等差数列. (2)由(1)知,()122111n n n n a a =+-⨯=+,21n n a n ∴=+,2nn b n ∴=⋅231222322=⋅+⋅+⋅+⋅⋅⋅+⋅n n S n()23121222122n n n S n n +=⋅+⋅+⋅⋅⋅+-⋅+⋅相减得,()23111121222222222212n n n n n n n S n n n ++++--=+++⋅⋅⋅+-⋅=-⋅=--⋅-()1122n n S n +∴=-⋅+◆裂项相消法【经典例题1】【答案】C 【解析】因为2211n n a a +-=且211a =,所以,数列{}2n a 是以1为首项,1为公差的等差数列,所以,211na n n =+-=,因为数列{}n a 为正项数列,则n a n 则()()1111111n n n nn n a an n n nn n ++-==-+++++++-11n n a a +⎧⎫⎨⎬+⎩⎭的前99项和为1223991001019--+=-=.故选:C.【经典例题2】【答案】8081【解析】因为()22222111(1)1n n a n n n n +==-++, 所以822222111111801()()1223898181S =-+-++-=-=.故答案为:8081.【经典例题3】【答案】21n n +【解析】当1n =时,21111a S ===, 当2n ≥时,()221121n n n a S S n n n -=-=--=-,且当1n =时,1211n a -==,故数列{}n a 的通项公式为21n a n =-,111111(21)(21)22121n n n b a a n n n n +⎛⎫===- ⎪-+-+⎝⎭, 则数列{}n b 的前n 项和为:1111111113352215721n n ⎡⎤⎛⎫⎛⎫⎛⎫⎛⎫-+-+-++- ⎪ ⎪ ⎪ ⎪⎢⎥+⎝⎭⎝⎭⎝⎝⎭⎣-⎭⎦11122121n n n ⎡⎤=-=⎢⎥++⎣⎦.故答案为:21n n +【练习1】【答案】B 【解析】()()21212121212121212121n n n n n n n n n n +--+--==++-++-+--记2121n n ⎨++-⎩的前n 项和为n T , 则(20221315375404540432T =+)1404512=;故选:B【练习2】【答案】69n n +【解析】由对于任意的*N n ∈,总有n a ,n S ,2n a 成等差数列可得:22n n n S a a =+, 当2n ≥时可得21112n n n S a a ---=+,所以22111222n n n n n n n a S S a a a a ---=-=+--,所以22110n n n n a a a a -----=,所以11()(1)0n n n n a a a a --+--=,由数列{}n a 的各项均为正数,所以11n n a a --=,又1n =时20n n a a -=,所以11a =,所以n a n =,212311111()(21)(23)22123n n n b a a n n n n ++===-⋅++++,1111111111()()235572123232369n nT n n n n =-+-+-=-=++++.故答案为:69n n +. 【练习3】【答案】()111!n -+【解析】()()()11111!1!!1!k k k k k k +-==-+++,()()()12311111111112!3!4!1!2!2!3!3!4!1!!!1!n n n n n n ∴+++⋅⋅⋅+=-+-+-+⋅⋅⋅+-+-+-+()111!n =-+.故答案为:()111!n -+.【练习4】【答案】(1)332n a n =-(2)331=+n nT n 【解析】(1)解:数列{}n a 满足124(32)3n a a n a n +++-=,当1n =时,得13a =,2n ≥时,1214(35)3(1)n a a n a n -+++-=-,两式相减得:(32)3n n a -=,∴332n a n =-, 当1n =时,13a =,上式也成立.∴332n a n =-; (2)因为331(32)(31)n a n n n =+-+113231n n =--+, ∴11111114473231n T n n =-+-++--+1313131nn n =-=++.【练习5】【答案】(1)13n na =(2)11n T n =+【解析】(1)当1n =时,111221a S a =-=,解得:113a =;当2n ≥时,1122211n n n n n a S S a a --=-=--+,即113n n a a -=,∴数列{}n a 是以13为首项,13为公比的等比数列,1133nn n a ⎛⎫∴== ⎪⎝⎭. (2)由(1)得:131log 3nn b n ⎛⎫== ⎪⎝⎭,()111n n n C n n n n +-∴==++1122334111n T n n n n n ∴=⋅⋅⋅=-++ 【练习6】【答案】(1)证明见解析;()1*2n n a n -=∈N (2)211nn -+【解析】(1)解:1122222n n n n a a a n -+++=⋅,即为21122nn a a a n -+++=·······①, 又1212122n n a a a n --+++=-,········②, ①-②得112nn a -=,即12(2)n n a n -=,又当1n =时,11112a -==,故()1*2n n a n -=∈N ;从而()*11222nn n n a n a +-==∈N , 所以{}n a 是首项为1,公比为2的等比数列; (2)由(1)得11(1)222(1)1n n n n n b n n n n---==-++,所以1021122222221321-⎛⎫⎛⎫⎛⎫=-+-++- ⎪ ⎪ ⎪+⎝⎭⎝⎭⎝⎭n n n S n n 211=-+n n . 【练习7】【答案】(1)n a n =,*N n ∈ (2)115462【解析】(1)由题意知2319a a a =⋅,设等差数列{}n a 的公差为d ,则()()211182a a d a d +=+,因为0d ≠,解得1a d =又31336S a d =+=,可得11a d ==,所以数列{}n a 是以1为首项和公差为1的等差数列, 所以()11n a a n d n =+-=,*N n ∈ (2)由(1)可知()()()()()1111122112n b n n n n n n n ⎛⎫==- ⎪ ⎪+++++⎝⎭, 设数列{}n b 的前n 和为n T ,则()()()1111111212232334112n T n n n n ⎛⎫=-+-+⋅⋅⋅+- ⎪ ⎪⨯⨯⨯⨯+++⎝⎭ ()()1112212n n ⎛⎫=- ⎪ ⎪++⎝⎭, 所以20111115222122462T ⎛⎫=⨯-=⎪⨯⎝⎭ 所以数列{}n b 的前20和为115462【练习8】【答案】(1)21n a n =+,()141n b n n =+ (2)()41n n S n =+【解析】(1)由题意,可设等差数列{}n a 的公差为d ,则112721026a d a d +=⎧⎨+=⎩,解得13a =,d =2,∴()32121n a n n =+-=+;∴()()222111114441211n nb a n n n n n ====-+++-; (2)∴()11114141n b n n n n ⎛⎫==- ⎪++⎝⎭,()1111111111422314141n n S n n n n ⎛⎫⎛⎫=-+-+⋯+-=-=⎪ ⎪+++⎝⎭⎝⎭. 【练习9】【答案】(1)21n a n =- (2)21n nT n n =++ 【解析】(1)解:对任意的N n *∈,0n a >,由题意可得()224121n n n n S a a a =+=++.当1n =时,则211114421a S a a ==++,解得11a =,当2n ≥时,由2421n n n S a a =++可得2111421n n n S a a ---=++,上述两个等式作差得2211422n n n n n a a a a a --=-+-,即()()1120n n n n a a a a --+--=,因为10n n a a ->+,所以,12n n a a --=,所以,数列{}n a 为等差数列,且首项为1,公差为2,则()12121n a n n =+-=-. (2)解:()21212n n n S n +-==,则()()()()()()2214441111111121212121212122121n n n n S n n b a a n n n n n n n n +-+⎛⎫====+=+- ⎪-+-+-+-+⎝⎭, 因此,11111112335212121n nT n n n n n ⎛⎫=+-+-++-=+ ⎪-++⎝⎭. 【练习10】【答案】(1)条件选择见解析,21n a n =- (2)()()22121n n n T n +=+【解析】(1)解:选条件①:n *∀∈N ,14n n a a n ++=,得1241n n a a n ,所以,()24144n n a a n n +-=+-=,即数列{}21k a -、{}()2N k a k *∈均为公差为4的等差数列,于是()()21141432211k a a k k k -=+-=-=--,又124a a +=,23a =,()()224141221k a a k k k =+-=-=⋅-,所以21n a n =-; 选条件②:因为数列n S n ⎧⎫⎨⎬⎩⎭为等差数列,且n S n ⎧⎫⎨⎬⎩⎭的前3项和为6,得3122361232S S S S ++=⨯=,所以222S=,所以n S n ⎧⎫⎨⎬⎩⎭的公差为2121121S S d =-=-=',得到()11nS n n n=+-=,则2n S n =,当2n ≥,()221121n n n a S S n n n -=-=--=-.又11a =满足21n a n =-,所以,对任意的N n *∈,21n a n =-. (2)解:因为()()()()()12222214111221212121n n n n n a a nb a a n n n n ++⎡⎤+===-⎢⎥⋅-+-+⎢⎥⎣⎦, 所以()()122222*********213352121n n T b b b n n ⎡⎤=++⋅⋅⋅+=-+-+⋅⋅⋅+-⎢⎥-+⎢⎥⎣⎦ ()()()222111122121n n n n ⎡⎤+=-=⎢⎥++⎢⎥⎣⎦.。