第四版运筹学部分课后习题解答
- 格式:doc
- 大小:5.87 MB
- 文档页数:23
运筹学部分课后习题解答P47 1.1 用图解法求解线性规划问题a)12121212min z=23466 ..424,0x xx xs t x xx x++≥⎧⎪+≥⎨⎪≥⎩解:由图1可知,该问题的可行域为凸集MABCN,且可知线段BA上的点都为最优解,即该问题有无穷多最优解,这时的最优值为min 3z=23032⨯+⨯=P47 1.3 用图解法和单纯形法求解线性规划问题a)12121212max z=10x5x349 ..528,0x xs t x xx x++≤⎧⎪+≤⎨⎪≥⎩解:由图1可知,该问题的可行域为凸集OABCO,且可知B点为最优值点,即112122134935282xx xx x x=⎧+=⎧⎪⇒⎨⎨+==⎩⎪⎩,即最优解为*31,2Tx⎛⎫= ⎪⎝⎭这时的最优值为max335z=101522⨯+⨯=单纯形法: 原问题化成标准型为121231241234max z=10x 5x 349..528,,,0x x x s t x x x x x x x +++=⎧⎪++=⎨⎪≥⎩ j c →105B CB Xb 1x2x3x4x0 3x 9 3 4 1 0 04x8[5] 2 0 1 j j C Z -105 0 0 0 3x 21/5 0 [14/5] 1 -3/5 101x8/51 2/5 0 1/5 j j C Z -1 0 -2 5 2x 3/2 0 1 5/14 -3/14 101x11 0 -1/72/7j j C Z --5/14 -25/14所以有*max 33351,,1015222Tx z ⎛⎫==⨯+⨯= ⎪⎝⎭P78 2.4 已知线性规划问题:1234124122341231234max24382669,,,0z x x x x x x x x x x x x x x x x x x x =+++++≤⎧⎪+≤⎪⎪++≤⎨⎪++≤⎪≥⎪⎩求: (1) 写出其对偶问题;(2)已知原问题最优解为)0,4,2,2(*=X ,试根据对偶理论,直接求出对偶问题的最优解。
运筹学基础及应用习题解答z 3。
(b)用图解法找不到满足所有约束条件的公共范围,所以该问题无可行解。
(a)约束方程组的系数矩阵12 3 6 3 0A 8 1 4 0 23 0 0 0 0基基解是否基可行解目标函数值X1 X2 X3 X4 X5 X6P1 P2 P3163 7-60 0 0否P1 P2 P4 0 10 0 7 0 0 是10P1 P2 P50 3 0 0 72是 3习题一P46x i1-的所有X i,X2,此时目标函数值o(b)约束方程组的系数矩阵A 12 3 4A2 2 12⑻(1)图解法基 基解 是否基可行解 目标函数值X 1X 2X 3X 4P 1P 24 11否"2P 1P 3 2 0 110 是435 ~5~5P 1P 4111否—36P 2P 312是52P 2P 41否22P 3P 40 0 1 1是5最优解xT2 11 5吋omax z 10x 1 5x 2 0x 3 0x 4 3x i 4X 2 X 3st. 5x 1 2x 2 x 48 9 8 12。
min—,— — 5 3 5C j 105 0 0 C B基b X 1X 2X 3X 421143 0 X 3— 1—"5"5582110X 11C j 105 0 0 C B 基bX 1 X 2 X 3 X 4 0 X 3 9 341 0 0X 48[5] 20 1 C j Z j105令 X iX 20,0,9,8,由此列出初始单纯形表最优解即为3x1 4x2 9的解x5x 1 2x 2 81,-,最大值z 竺 2 2(2)单纯形法首先在各约束条件上添加松弛变量,将问题转化为标准形式则P 3,P 4组成一个基。
得基可行解xC j Z j0 1221 8320,min14 22新的单纯形表为C j 105 0 0 C B基b X 1X 2X 3X 435 3 5X 2— 01— —2141410X 11121—7525c jZ j14 143*35x i 1, x 2 - , X 3 0, X 4 0。
[运筹学第四版课后答案]课后答案课后答案一:《蜀道难》课后题答案《蜀道难》课后题答案一、这是一首乐府诗,以七言为主,却有不少杂言句,节奏多变化,与散文句法相似。
试给下面的诗句划分节奏,朗读几遍,说说它们对本诗的风格起什么作用。
1.噫吁戏,危乎高哉!蜀道之难,难于上青天!2.上有六龙回日之高标,下有冲波逆折之回川。
3.其险也如此,嗟尔远道之人胡为乎来哉!4.剑阁峥嵘而崔嵬,一夫当关,万夫莫开。
解题指导这首诗较长,且内容有一定难度所以先设计此题,目的是使你初步适应这首诗节奏的变化。
在完成本题时你一定要朗读几遍,读出一点韵味来。
但要注意:不要把这些句子读成散文,这对领会诗人炽烈奔放的感情和飘逸的风格极为必要。
这是一首杂言体诗,但跟其他诗人的这类体裁作品和李白的另一些这类体裁作品(如《将进酒》《梁甫吟》《庐山谣寄卢待御虚舟》等)相比,都有显著的不同。
这不同就在于:其中的某些句子,如练习中所列举的,如果孤立地看,确属散文句。
但我们不这样称它们,因为它们毕竟是诗的整体中的一部分,只能说它们是散文化的诗句,或句法与散文近似。
这当然不能随意而为,没有李白那样的气概,那样的英才,是驾驭不了的。
参考答案这些诗句都仿佛是诗人在炽烈感情的驱动下,不能自已,脱口而出,生动地表现了诗人奔放豪迈的风格。
二、“蜀道之难,难于上青天”这句诗有什么含义它重复出现三次,有什么作用解题指导这道题是为鉴赏诗的内容设计的。
重点是前一问,后一问是对前一问的补充,意思是可以从形式入手鉴赏诗的内容。
因此在完成本题时,你可以先思考后一问,然后分析“蜀道之难”一句的含义。
此题有一定的难度,你最好先理清课文的结构层次并了解诗的大意,在此基础上完成本题。
李白善于从民歌中吸取养料。
这首诗中“一咏三叹”的写法,明显地是对《诗经》中复沓形式的继承,同时又有很大的发展。
这一特点同你已学过的《君子于役》《无衣》等相同。
参考答案诗人创造性地继承了古代民歌中常见的复沓形式(又称反复),主旨句凡三见:开头、中间、结尾各出现一次。
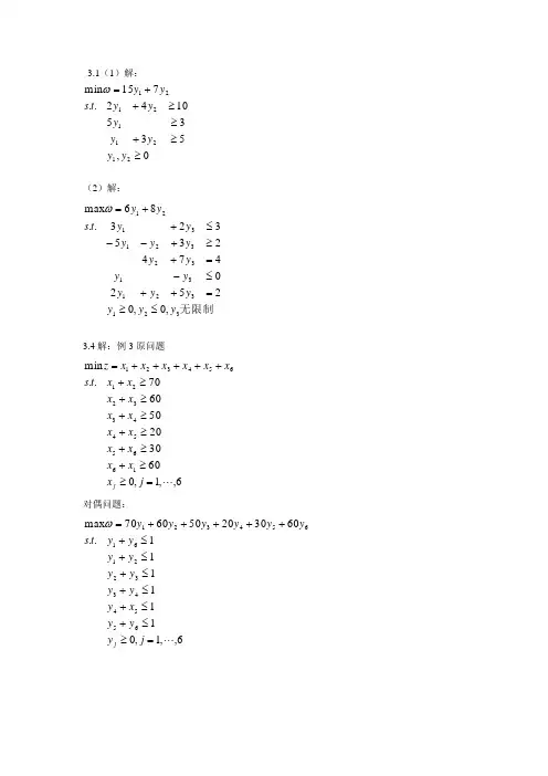
3.1(1)解:, 53351042..715min 212112121≥≥+≥≥++=y y y y y y y t s y y ω(2)解:无限制32132131323213121,0,0 2520474235323..86max y y y y y y y y y y y y y y y t s y y ≤≥=++≤-=+≥+--≤++=ω3.4解:例3原问题6,,1,0603020506070..min 166554433221654321 =≥≥+≥+≥+≥+≥+≥++++++=j x x x x x x x x x x x x x t s x x x x x x z j对偶问题:6,,1,0111111..603020506070max 655443322161654321 =≥≤+≤+≤+≤+≤+≤++++++=j y y y x y y y y y y y y y t s y y y y y y j ω3.5解:(1)由最优单纯形表可以知道原问题求max ,其初始基变量为54,x x ,最优基的逆阵为⎪⎪⎪⎪⎭⎫ ⎝⎛-=-31610211B 。
由P32式(2.16)(2.17)(2.18)可知b B b 1-=',5,,1,,1 ='-=='-j P C c P B P j B j j j j σ,其中b 和j P 都是初始数据。
设⎪⎪⎭⎫ ⎝⎛=21b b b ,5,,1,21 =⎪⎪⎭⎫⎝⎛=j a a P j j j ,()321,,c c c C =,则⎪⎪⎪⎪⎭⎫⎝⎛=⎪⎪⎭⎫ ⎝⎛⎪⎪⎪⎪⎭⎫ ⎝⎛-⇒='-25253161021211b b b B b ,即⎪⎩⎪⎨⎧=+-=2531612521211b b b ,解得⎩⎨⎧==10521b b ⎪⎪⎪⎪⎭⎫⎝⎛-=⎪⎪⎭⎫ ⎝⎛⎪⎪⎪⎪⎭⎫⎝⎛-⇒='-0211121031610212322211312111a a a a a a P B P j j ,即 ⎪⎪⎪⎪⎪⎪⎩⎪⎪⎪⎪⎪⎪⎨⎧=+-=-=+-==+-=03161121213161212113161021231313221212211111a a a a a a a a a ,解得⎪⎪⎪⎪⎩⎪⎪⎪⎪⎨⎧==-====121130231322122111a a a a a a()()()⎪⎪⎪⎪⎭⎫⎝⎛---=---⇒'-=31612102121,0,0,2,4,4132c c c P C c j B j j σ,即 ⎪⎪⎪⎩⎪⎪⎪⎨⎧-=--=+--=+-2314612142121113132c c c c c c ,解得⎪⎩⎪⎨⎧==-=6102132c c c所以原问题为:,, 10352..1026max 32132132321≥≤+-≤++-=x x x x x x x x t s x x x z 对偶问题为:, 102263..105min 212121221≥≥+-≥-≥+=y y y y y y y t s y y ω(2)由于对偶问题的最优解为()()()2,4,,5454*=-=-=σσσc c C Y IB IB3.6解:(1)因为3x 的检验数0353≤⨯-c ,所以3c 的可变范围是153≤c 。
.⎨= 0.6《管理运筹学》第四版课后习题解析(上)第2章 线性规划的图解法1.解:(1)可行域为OABC 。
(2)等值线为图中虚线部分。
(3)由图2-1可知,最优解为B 点,最优解 x =12,x15 1727图2-1 ;最优目标函数值 69。
72.解:(1)如图2-2所示,由图解法可知有唯一解 x 10.2,函数值为3.6。
x 2图2-2(2)无可行解。
(3)无界解。
(4)无可行解。
.⎨(5)无穷多解。
x(6)有唯一解 1203 ,函数值为 92 。
8 3 x 233.解:(1)标准形式max f3x 12x 20s 10s 20s 39x 1 2x 2 s 1 30 3x 1 2x 2 s 2 13 2x 12x 2s 39x 1, x 2 , s 1, s 2 , s 3 ≥ 0(2)标准形式min f4x 16x 20s 10s 23x 1 x 2s 1 6 x 12x 2s 210 7x 1 6x 24x 1, x 2 , s 1, s 2 ≥ 0(3)标准形式minfx 12x 22x 20s 1 0s23x 1 5x 25x 2s1702x 15x 25x250 3x 12x 22x 2s 230x 1, x 2, x 2, s 1, s 2 ≥ 04.解:.标准形式max z 10x1 5x2 0s1 0s2 3x1 4x2s1 95x1 2x2 s2 8x1, x2 , s1, s2 ≥0.≤松弛变量(0,0)最优解为 x 1 =1,x 2=3/2。
5.解:标准形式min f11x 18x 20s 10s 20s 310x 1 2x 2 s 1 20 3x 1 3x 2 s 2 18 4x 19x 2s 336x 1, x 2 , s 1, s 2 , s 3 ≥ 0剩余变量(0, 0, 13) 最优解为 x 1=1,x 2=5。
6.解:(1)最优解为 x 1=3,x 2=7。
《管理运筹学》第四版课后习题解析(上)第2章 线性规划的图解法1.解:(1)可行域为OABC 。
(2)等值线为图中虚线部分。
(3)由图2-1可知,最优解为B 点,最优解1x =127,2157x =;最优目标函数值697。
图2-12.解:(1)如图2-2所示,由图解法可知有唯一解120.20.6x x =⎧⎨=⎩,函数值为3.6。
图2-2(2)无可行解。
(3)无界解。
(4)无可行解。
(5)无穷多解。
(6)有唯一解 1220383x x ⎧=⎪⎪⎨⎪=⎪⎩,函数值为923。
3.解:(1)标准形式12123max 32000f x x s s s =++++1211221231212392303213229,,,,0x x s x x s x x s x x s s s ++=++=++=≥(2)标准形式1212min 4600f x x s s =+++12112212121236210764,,,0x x s x x s x x x x s s --=++=-=≥(3)标准形式12212min 2200f x x x s s ''''=-+++ 1221122122212212355702555032230,,,,0x x x s x x x x x x s x x x s s '''-+-+=''''-+=''''+--=''''≥4.解: 标准形式1212max 10500z x x s s =+++1211221212349528,,,0x x s x x s x x s s ++=++=≥ 松弛变量(0,0) 最优解为 1x =1,x 2=3/2。
5.解:标准形式12123min 118000f x x s s s =++++121122123121231022033184936,,,,0x x s x x s x x s x x s s s +-=+-=+-=≥剩余变量(0, 0, 13) 最优解为 x 1=1,x 2=5。
第四版运筹学部分课后习题解答篇一:运筹学基础及应用第四版胡运权主编课后练习答案运筹学基础及应用习题解答习题一P461.1(a)41的所有?x1,x2?,此时目标函数值2该问题有无穷多最优解,即满足4x1?6x2?6且0?x2?z?3。
(b)用图解法找不到满足所有约束条件的公共范围,所以该问题无可行解。
1.2(a)约束方程组的系数矩阵?1236300A??81?4020??30000?1最优解x??0,10,0,7,0,0?T。
(b) 约束方程组的系数矩阵?1234?A2212?????211?最优解x??,0,,0?。
5??5T1.3(a)(1) 图解法最优解即为??3x1?4x2?935?3?的解x??1,?,最大值z?5x?2x?822??2?1(2)单纯形法首先在各约束条件上添加松弛变量,将问题转化为标准形式max z?10x1?5x2?0x3?0x4?3x?4x2?x3?9s.t. ?1?5x1?2x2?x4?8则P3,P4组成一个基。
令x1?x2?0得基可行解x??0,0,9,8?,由此列出初始单纯形表?1??2。
??min?,89??53?8 5?2?0,??min??218?3,??142?2?335?1,?2?0,表明已找到问题最优解x1?1, x2?,x3?0 ,x4?0。
最大值z*?22(b)(1) 图解法6x1?2x2x1?x2?最优解即为??6x1?2x2?2417?73?的解x??,?,最大值z?2?22??x1?x2?5(2) 单纯形法首先在各约束条件上添加松弛变量,将问题转化为标准形式max z?2x1?x2?0x3?0x4?0x5?5x2?x3?15?s.t. ?6x1?2x2?x4?24?x?x?x?5?125则P3,P4,P5组成一个基。
令x1?x2?0得基可行解x??0,0,15,24,5?,由此列出初始单纯形表?1??2。
??min??,??245?,??461?3?3?15,24,??2?2?5?2?0,??min?新的单纯形表为篇二:运筹学习题及答案运筹学习题答案第一章(39页)1.1用图解法求解下列线性规划问题,并指出问题是具有唯一最优解、无穷多最优解、无界解还是无可行解。
运筹学清华大学第四版答案【篇一:运筹学作业2(清华版第二章部分习题)答案】s=txt>2.1 题(p. 77)写出下列线性规划问题的对偶问题:????(1)?????maxz?2x1?2x2?4x3s.t.x1?3x2?4x3?22x1?x2?3x3?3x1?4x2? 3x3?5x1?0,x2?0,x3无约束;解:根据原—对偶关系表,可得原问题的对偶规划问题为:?maxw?2y1?3y2?5y3?s.t.y1?2y2?y3?2??3y1?y2?4y3?2 ? ?4y1?3y2?3y3?4?y1?0,y2?0,y3?0??mn?minz???cijxij?i?1j?1?n???cijxij?ai,i?1,?,m(2)? j?1?n??cijxij?bj,j?1,?,n?j?1???xij?0,i?1,?,m;j?1,?,n解:根据原—对偶关系表,可得原问题的对偶规划问题为:mn??maxw??aiui??bjvji?1j?1??ui?vj?cij ??i?1,?,m;j?1,?,n???ui无约束,vj无约束2.2判断下列说法是否正确,为什么?(1)如果线性规划的原问题存在可行解,则其对偶问题也一定存在可行解;答:错。
因为:若线性规划的原问题存在可行解,且其对偶问题有可行解,则原问题和可行问题都将有最优解。
但,现实中肯定有一些问题是无最优解的,故本题说法不对。
maxz?3x1?x2例如原问题s.t.?x1?x2?1?x2?3??x?0,x?02?1有可行解,但其对偶问题minw?y1?3y2s.t.?3?y1?y2?1?y1??y?0,y?02?1无可行解。
(2)如果线性规划的对偶问题无可行解,则原问题也一定无可行解;答:错,如(1)中的例子。
(3)在互为对偶的一对原问题与对偶问题中,不管原问题是求极大或求极小,原问题可行解的目标函数值一定不超过其对偶问题可行解的目标函数值。
答:错。
正确说法是:在互为对偶的一对原问题与对偶问题中,求极大的问题可行解的目标函数值一定不超过求极小的问题可行解的目标函数值。
运筹学清华大学第四版答案【篇一:运筹学作业2(清华版第二章部分习题)答案】s=txt>2.1 题(p. 77)写出下列线性规划问题的对偶问题:????(1)?????maxz?2x1?2x2?4x3s.t.x1?3x2?4x3?22x1?x2?3x3?3x1?4x2? 3x3?5x1?0,x2?0,x3无约束;解:根据原—对偶关系表,可得原问题的对偶规划问题为:?maxw?2y1?3y2?5y3?s.t.y1?2y2?y3?2??3y1?y2?4y3?2 ? ?4y1?3y2?3y3?4?y1?0,y2?0,y3?0??mn?minz???cijxij?i?1j?1?n???cijxij?ai,i?1,?,m(2)? j?1?n??cijxij?bj,j?1,?,n?j?1???xij?0,i?1,?,m;j?1,?,n解:根据原—对偶关系表,可得原问题的对偶规划问题为:mn??maxw??aiui??bjvji?1j?1??ui?vj?cij ??i?1,?,m;j?1,?,n???ui无约束,vj无约束2.2判断下列说法是否正确,为什么?(1)如果线性规划的原问题存在可行解,则其对偶问题也一定存在可行解;答:错。
因为:若线性规划的原问题存在可行解,且其对偶问题有可行解,则原问题和可行问题都将有最优解。
但,现实中肯定有一些问题是无最优解的,故本题说法不对。
maxz?3x1?x2例如原问题s.t.?x1?x2?1?x2?3??x?0,x?02?1有可行解,但其对偶问题minw?y1?3y2s.t.?3?y1?y2?1?y1??y?0,y?02?1无可行解。
(2)如果线性规划的对偶问题无可行解,则原问题也一定无可行解;答:错,如(1)中的例子。
(3)在互为对偶的一对原问题与对偶问题中,不管原问题是求极大或求极小,原问题可行解的目标函数值一定不超过其对偶问题可行解的目标函数值。
答:错。
正确说法是:在互为对偶的一对原问题与对偶问题中,求极大的问题可行解的目标函数值一定不超过求极小的问题可行解的目标函数值。
11.1解:4=λ人/小时,10660==μ人/小时,4.0104===μλρ,属于M/M/1排队模型。
(1)仓库管理员空闲的概率,即为6.04.0110=-=-=ρP(2)仓库内有4个工人的概率即为()()01536.04.04.011444=⨯-=-=ρρP(3)至少有2个工人的概率为16.024.06.01110=--=--P P(4)领工具的工人平均数人6667.0644104==-=-=λμλs L (5)排队等待领工具工人的平均数人2667.066.141044.0==-⨯=-=λμρλq L (6)平均排队时间分钟小时40667.064.04104.0===-=-=λμρq W (7)待定11.2解: 32060==λ人/小时,41560==μ人/小时,75.043===μλρ,属于M/M/1排队模型。
(1)不必等待概率,即为25.075.0110=-=-=ρP(2)不少于3个顾客排队等待的概率,即系统中有大于等于4个(或大于3个)顾客的概率,为3164.01055.01406.01875.025.0113210=----=----P P P P(3)顾客平均数人313343==-=-=λμλs L (4)平均逗留时间小时13411=-=-=λμs W (5)λλμ-=-=<4115.1s W 小时,即小时人/333.3>λ。
平均到达率超过3.333人时,店主才会考虑增加设备或理发员。
11.3解:4=λ人/小时,10660==μ人/小时,4.0104===μλρ,属于M/M/1/3排队模型。
(1)仓库内没有人领工具的概率,即为6158.04.014.0111410=--=--=+N P ρρ (2)工人到达必须排队等待的概率,即为仓库内有1个、2个和3个工人的概率和 ()()3842.04.014.014.04.04.011432132321=--⨯++=--++=+++N P P P ρρρρρ (3)新到工人离去的概率为0394.04.014.014.01143133=--⨯=--=+N P ρρρ (4)领工具的工人平均数()=-⨯--=-+--=++44114.014.044.014.0111N N s N L ρρρρ(5)排队等待领工具工人的平均数人2667.066.141044.0==-⨯=-=λμρλq L (6)平均排队时间分钟小时40667.064.04104.0===-=-=λμρq W。
运筹学基础及应用习题解答习题一P461.1(a)x244x1 2 x243210123x14x1 6 x26该问题有无量多最优解,即满足 4 x16x26且0x21x1 ,x2,此时目标函数值的所有2z 3 。
(b)x232014x1用图解法找不到满足所有拘束条件的公共范围,因此该问题无可行解。
1.2(a)拘束方程组的系数矩阵1236300A814020300001基基解可否基可行解目标函数值x1x2x3x4x5x6p1p 2p30167000否3-6p1p 2p 40 100700是10p1p 2p503007是3 2p1p 2p 67400021否44p1p3p4005800否2p1p3p5003080是3 2p1p3p6101003否2p1p 4p50 00350是0p1p 4p 65002015否44最优解 x0,10,0,7,0,0T。
(b)拘束方程组的系数矩阵1 2 34A2 2 12基基解x1x2x3x4p1p241100 2p1p3201155p1p41001136p2p30120 2p2p 40102 2p3p 40011211T,0最优解 x,0,。
551.3(a)(1)图解法可否基可行解目标函数值否是435否是5否是5x 24 3 2 1 0123x 1最优解即为3x 1 4x 29的解 x1,3,最大值 z355x 1 2 x 2 822(2) 单纯形法第一在各拘束条件上增加废弛变量,将问题转变为标准形式 max z10x 1 5x 2 0 x 3 0x 43x 1 4x 2 x 39 s.t.5x 1 2x 2x 48则 P 3 , P 4 组成一个基。
令 x 1 x 2 0 得基可行解 x 0,0,9,8 ,由此列出初始单纯形表c j105 0 0c B 基 bx 1x 2x 3x 40 x 3 9 3410 x 4 8[ 5] 2 0 1 c jz j10512。
min 8 ,985 35c j105 0 0 c B 基bx 1x 2x 3x 4x 321 0143551510x 18 12 01 555c j z j0 1 0 20 ,21 8 32min ,214 2新的单纯形表为c j105 0 0 c B基b x 1x 2x 3x 45x 23 015 3 2141410x 1111 277c jz j5 2514141 ,2 0 ,表示已找到问题最优解 x 1 1, x 23 , x 3 0 , x4 0 。
运筹学基础及丨、V:用习题解答习题一 P461.1(a)2 = 3。
(b)用亂解法找+到满足所打约柬条仲的公:it•范W,所以该问题无可行解。
1.2(a)约束方程组的系数矩阵最优解A.=(o,i a o,7,o,o)r(b)约束方程组的系数矩阵 f I 2 3 4、4 = l2 2 I 2,最优解1 = (^,0,11,0^ V55 )"1.3(a)(1)图解法⑵单纯形法首先在各约朿条件上添加松弛变铽,将问题转化为标准形式max z = 10a-, +5a'2 +0x3 +0a4[3a-. +4 义2 + A3 = 9 si.<[5a-j + 2X2 + a'4 = 8则A,P4组成个猫《=令 A = ;c2 = 0得-站可行解a_ = (0.0.9,8),山此列出初始单纯形表cr 2 >0, 0 - minj 2Ax2xi =~,a-3 =0, a 4最优解即为严+2X2=24的解x =卩,2V 最大值z : IA"i + X y =5I 2 2 /新的单纯形农为A', Xo X A14 14_5_ _25M ~T?q.qcO ,表明已找到问题垴优解.(b)(1)图解法17(2)单纯形法苘先在外约朿条件.h 添加松弛变M ,将问题转化为标准形式 max z = 2.v, + x 2 + Ox 3 + 0.v 4 + Oa 5 5a'2 + = 15 6.y, + 2x 2 + .v 4 = 240 00 --2 *^4o A :5、Q 0 一4(7,^2 <0,表明已找到问题最优解^ =1,X 2=- , A-32L估• 17Hi Z =——21.6(a)在约朿条件中添加松弛变量或剩余变量,且令k = jc 2 -a :; (a*2 > 0,.v ; > o)Xx = ~X->该问题转化为max z' = -3a, - x 2 + .v 2 - 2a 3 + 0.v 4 + (Xv 5 2x | + 3a -2 - 3a 2+ 4a 3 +a 4 =12攀 M I4a'| +x 2 -A*2 -2a*3 —^5 =8 3a*, -X 2 +X 2 — 3a*3 = 6A*,, A '2,X 2, x 3,A-4 , A 3 ^ 0-K 约朿系数矩陴为23 -34 I 0 4 丨-1-20-13 -丨丨一3 0 0在A 屮人为地添加两列单位向虽/>7,2 3 -3 4 1 0 0 0 4 丨-1 -2 t) -1 丨 0 3-1 I -3 0 0 0 1令 max z'= -3a -i - x 2 +x 2- 2.v 3 + Oa:., + 0.v 5 - Mx 6 - Mx 7 得初始单纯形表15最大a 4 = 0,x 5SS ^ Xi x 2x 4 x 5 x 6-2 0 0M -M4 10 -I 0 00 0 0-3 + 7M -J 1 -2-5M 0 -M 0 0-I-5(b)在约朿条件中添加松弛变M 或剩余变M ,.R 令a:3 (jc 3>0,.x ;>0)该问题转化为max z • = 一3^ - 5.v 2 + x ?- x ? + 0,v 4 + Ox 5 x, + 2X 2 + x^- x^-x 4 =6 2.v, + x 2- 3jc 3 - 3^:3 + a*5 = 16 x 2+ 5 a*3 一 5a*3= 10 •v p A :2,“x 4,A 5^0艽约柬系数矩阵为213-30-1 115-50 0v/ft A 屮人为地添加两列单位向觉p 7, 121-1-1010、2 13-30 100 115 -5 0 0 01、 /令 max z , = -3a*, 一 5,v 2 + .v 3 一 x 3 + 0x 4 + 0x s 一 Mx b - Mx 1衍初始单纯形表0 0 -M - M X. X, X,X, X, X, X, x n-A/ x 616-M x 7 10-3 + 2A/ 5 + 3M 1+6M -1-6M -M 0 0 0(a)解1:大\1法在上述线性规划问题中分别减去剩余变萤x 4,x 6,〜再加上人工变蛩15,17,',得max z = 2x t - x2 + 2x3 + 0,v4 - Mx s + 0,v6 - Mx7 + 0a8- Mx^-3 + 7M -J 1 -2-5M 0 -M 0 0A', + X 2 + A :3 - + JC 5 = 6 -2x l + jc 3 — a*6 + x 1 —2 2x z — j c 3 - a *8+ j c 9 =0a-,,.v 2,a*3,j:4,a:5,^6,x 7,x 8,a-9 >0,r,其中MS 个任意人的正数-据此可列出单纯形表22MMMjc, x 2x 4X5 X6 A-M x s 6 -M x 7一2 —Ma 、00 0 0[2]0 M 02-M 3A/-1 2 + A/ -M 1/2 -1/2 0 0-1/2 -1/2x s-M x,—Ix\ [1]1/2^ 5M 3 … ^… A/ I 1 3A/ 2-M0 ----- + — - M0 -M 0 ------------------ 一十 ---2 2 2 2 2 2-M jr 5 3 2 .v 3 2 -I x 2 I 3/2 -3/2 1/2 -1/2 -11-1/2 1/2 -1/2 1/20 0 0 1 1 03/40 0?>M +3 -5M -3 M-3M4Af+5 0 ■M22 2x, 3/4 A 3 7/2 7/40 00 1 0| 43/8 - 8 8-5/4 -M8山单纯形表计算结果可以ft 出,ct 4 >0且%<0(/ =丨,2,3),所以该线性规划问题有无界解 解2:两阶段法。
运筹学部分课后习题解答P47 1.1 用图解法求解线性规划问题a)12121212min z=23466 ..424,0x xx xs t x xx x++≥⎧⎪+≥⎨⎪≥⎩解:由图1可知,该问题的可行域为凸集MABCN,且可知线段BA上的点都为最优解,即该问题有无穷多最优解,这时的最优值为min 3z=23032⨯+⨯= P47 1.3 用图解法和单纯形法求解线性规划问题a)12121212max z=10x5x349 ..528,0x xs t x xx x++≤⎧⎪+≤⎨⎪≥⎩解:由图1可知,该问题的可行域为凸集OABCO,且可知B点为最优值点,即112122134935282xx xx x x=⎧+=⎧⎪⇒⎨⎨+==⎩⎪⎩,即最优解为*31,2Tx⎛⎫= ⎪⎝⎭这时的最优值为max335z=101522⨯+⨯=单纯形法: 原问题化成标准型为121231241234max z=10x 5x 349..528,,,0x x x s t x x x x x x x +++=⎧⎪++=⎨⎪≥⎩ j c →105B CB X b 1x2x3x4x0 3x 9 3 4 1 0 04x8[5] 2 0 1 j j C Z -105 0 0 0 3x 21/5 0 [14/5] 1 -3/5 101x8/51 2/5 0 1/5 j j C Z -1 0 -2 5 2x 3/2 0 1 5/14 -3/14 101x11 0 -1/72/7j j C Z --5/14 -25/14所以有*max 33351,,1015222Tx z ⎛⎫==⨯+⨯= ⎪⎝⎭P78 2.4 已知线性规划问题:1234124122341231234max24382669,,,0z x x x x x x x x x x x x x x x x x x x =+++++≤⎧⎪+≤⎪⎪++≤⎨⎪++≤⎪≥⎪⎩求: (1) 写出其对偶问题;(2)已知原问题最优解为)0,4,2,2(*=X ,试根据对偶理论,直接求出对偶问题的最优解。
解:(1)该线性规划问题的对偶问题为:1234124123434131234min8669223411,,,0w y y y y y y y y y y y y y y y y y y y =+++++≥⎧⎪+++≥⎪⎪+≥⎨⎪+≥⎪≥⎪⎩(2)由原问题最优解为)0,4,2,2(*=X ,根据互补松弛性得:12412343422341y y y y y y y y y ++=⎧⎪+++=⎨⎪+=⎩把)0,4,2,2(*=X 代入原线性规划问题的约束中得第四个约束取严格不等号,即4224890y ++=<⇒=从而有12123322341y y y y y y +=⎧⎪++=⎨⎪=⎩得123443,,1,055y y y y ====所以对偶问题的最优解为*43(,,1,0)55T y =,最优值为min 16w =P79 2.7 考虑如下线性规划问题:123123123123123min 6040803224342223,,0z x x x x x x x x x x x x x x x =++++≥⎧⎪++≥⎪⎨++≥⎪⎪≥⎩(1)写出其对偶问题;(2)用对偶单纯形法求解原问题; 解:(1)该线性规划问题的对偶问题为:123123123123123max 2433426022403280,,0w y y y y y y y y y y y y y y y =++++≤⎧⎪++≤⎪⎨++≤⎪⎪≥⎩(2)在原问题加入三个松弛变量456,,x x x 把该线性规划问题化为标准型:123123412351236max 60408032243422230,1,,6j z x x x x x x x x x x x x x x x x j =------+=-⎧⎪---+=-⎪⎨---+=-⎪⎪≥=⎩*max (,,0),604080063633T x z ==⨯+⨯+⨯=P81 2.12 某厂生产A 、B 、C 三种产品,其所需劳动力、材料等有关数据见下表。
要求:(a )确定获利最大的产品生产计划;(b )产品A 的利润在什么范围内变动时,上述最优计划不变;(c )如果设计一种新产品D ,单件劳动力消耗为8单位,材料消耗为2单位,每件可获利3元,问该种产品是否值得生产? (d ) 如果劳动力数量不增,材料不足时可从市场购买,每单位0.4 元。
问该厂要不要购进原材料扩大生产,以购多少为宜。
解:由已知可得,设j x 表示第j 种产品,从而模型为:123123123123max 3463545..34530,,0z x x x x x x s t x x x x x x =++++≤⎧⎪++≤⎨⎪≥⎩a) 用单纯形法求解上述模型为:得到最优解为*(5,0,3)T x =;最优值为max 354327z =⨯+⨯=b )设产品A 的利润为3λ+,则上述模型中目标函数1x 的系数用3λ+替代并求解得:要最优计划不变,要求有如下的不等式方程组成立20310533053λλλ⎧-+≤⎪⎪⎪--≤⎨⎪⎪-+≤⎪⎩解得:3955λ-≤≤ 从而产品A 的利润变化范围为:393,355⎡⎤-+⎢⎥⎣⎦,即242,455⎡⎤⎢⎥⎣⎦C )设产品D 用6x 表示,从已知可得16661/5B c c B P σ-=-='1661128334122555P B P -⎡⎤-⎡⎤⎢⎥⎡⎤⎢⎥===⎢⎥⎢⎥⎢⎥-⎣⎦⎢⎥-⎣⎦⎢⎥⎣⎦把6x 加入上述模型中求解得:从而得最优解*(0,0,5,0,0,5/2)T x =;最优值为max 45327.5272z =⨯+⨯=> 所以产品D 值得生产。
P101 3.1已知运输问题的产销量与单位运价如下表所示,用表上作业法求各题的最优解及最小运费。
表3-35B 1 B 2 B 3 B 4 产量 A 1 A 2 A 3 10 12 2 2 7 14 20 9 16 11 20 18 15 25 5 销量5151510产地 销地解:因为∑∑===4131j j i i b a ,即产销平衡.所以由已知和最小元素法可得初始方案为B1 B2 B3 B4 产量 A1A2 A3 5 15 0 15 0 10 15 25 5 销量5151510检验:由于有两个检验数小于零,所以需调整,调整一:B1 B2 B3 B4 产量 A1 A2 A3 5 15 0 15 10 0 15 25 5 销量5151510检验:由于还有检验数小于零,所以需调整,调整二:产地 销地产地销地B1 B2 B3 B4 产量 A1A2 A3 5 5 10 15 10 0 15 25 5 销量5151510检验:从上表可以看出所有的检验数都大于零,即为最优方案 最小运费为:min 25257109151110180335z =⨯+⨯+⨯+⨯+⨯+⨯=表 B 1 B 2 B 3 B 4 产量 A 1 A 2 A 3 8 6 5 4 9 3 1 4 4 2 7 3 7 25 26 销量10102015解:因为34115855i j i j a b ===>=∑∑,即产大于销,所以需添加一个假想的销地,销量为3,构成产销平衡问题,其对应各销地的单位运费都为0。
B1 B2B3B4B5 产量 A1A2 A3 8 6 54 9 31 4 42 7 30 0 0 7 25 26 销量 10 10 20 153由上表和最小元素法可得初始方案为产地 销地产地 销地 产地 销地B1 B2 B3 B4 B5 产量 A1A2 A3 9 1 10 7 13 15 3 7 25 26 销量101020153检验:从上表可以看出所有的检验数都大于零,即为最优方案最小运费为:min 69513101741331503193z =⨯+⨯+⨯+⨯+⨯+⨯+⨯=表3-37B1 B2 B3 B4 B5 产量 A1A2 A3 8 5 6 6 M 3 3 8 9 7 4 6 5 7 8 20 30 30 销量2525201020解:因为351180100i j i j a b ===<=∑∑,即销大于产,所以需添加一个假想的产地,产量为20,构成产销平衡问题,其对应各销地的单位运费都为0。
B1 B2 B3 B4 B5 产量 A1A2 A3 A4 8 5 6 0 6 M 3 0 3 8 9 0 7 4 6 0 5 7 8 0 20 30 30 20 销量2525201020产地 销地产地 销地产地 销地由上表和最小元素法可得初始方案为 B1 B2 B3 B4 B5 产量 A1A2 A3 A4 5 20 25 20 0 10 15 5 20 30 30 20 销量2525201020检验:由于有两个检验数小于零,所以需调整,调整一:B1 B2 B3 B4 B5 产量 A1 A2 A3 A420 5 25 20 0 10 5 15 20 30 30 20 销量 25 25201020检验:产地 销地产地销地由于还有检验数小于零,所以需调整,调整二: B1 B2 B3 B4 B5 产量 A1 A2 A3 A420 5 25 20 0 10 0 20 20 30 30 20 销量 2525201020检验:从上表可以看出所有的检验数都大于零,即为最优方案最小运费为:min 320520410653258002000305z =⨯+⨯+⨯+⨯+⨯+⨯+⨯+⨯=P127 4.8 用割平面法求解整数规划问题。
a ) 12121212max 7936735,0,z x x x x x x x x =+-+≤⎧⎪+≤⎨⎪≥⎩且为整数解:该问题的松弛问题为:12121212max 7936735,0z x x x x x x x x =+-+≤⎧⎪+≤⎨⎪≥⎩则单纯形法求解该松弛问题得最后一单纯形表为:产地销地割平面1为:234(31/2)(07/22)(01/22)x x x +=++++3421713022222x x x ⇒--=-≤34571122222x x x ⇒+-=割平面2为:145(44/7)(01/7)(16/7)x x x +=+++-+451541640777x x x x ⇒--=--≤456164777x x x ⇒+-=()*4,3Tx =,最优值为max 749355z =⨯+⨯=P144 5.3 用图解分析法求目标规划模型c )解:由下图可知,满足min d 1-的满意解为区域X2CDX1;满足min d 2+的满意解为闭区域BCDEB ; 满足min 2d 3-的满意解为图中的A 点,满足min d 4-的满意解为图中的A 点,所以该问题的满意解为图中的点A (24,x 1 + x 2 + d 1- - d 1+= 40x 1 + x 2 + d 2- - d 2+= 40+10=50 x 1 + d 3- - d 3+= 24 x 2 + d 4- - d 4+= 30min Z = P 1 d 1-+ P 2 d 2++ P 3(2d 3- +1d 4-)s.t.x 1 、x 2 、d 1+、d 1-、d 2+、d 2- 、d 3+、d 3- 、d 4+、d 4- ≥ 026) 。