港澳台联考数学真题及答案PDF版
- 格式:pdf
- 大小:887.60 KB
- 文档页数:7
2024年华侨、港澳、台联考高考数学试卷A.{3}B.{0,1}C.{-2,-1,2}D.{-2,-1,0,1,2,3}A.1-2i B.1+2i C.-1-2i D.-1+2i A.1B.C.2D.-2(2024•香港)已知集合A={-2,-1,0,1,2},B={-2,-1,2,3},则A∩B=( )答案:C解析:结合交集的定义,即可求解.解答:解:A={-2,-1,0,1,2},B={-2,-1,2,3},则A∩B={-2,-1,2}.故选:C.(2024•香港)计算=( )3+4i 1-2i答案:D解析:直接利用复数代数形式的乘除运算化简得答案.解答:解:===-1+2i .故选:D.3+4i 1-2i (3+4i )(1+2i )(1-2i )(1+2i )-5+10i 5(2024•香港)函数y=sinx+cosx的最大值是( )√3√6答案:C 解析:利用两角和的正弦公式即可化为asinx+bcosx=sin(x+θ),进而利用正弦函数的单调性、最值即可得出.√+a 2b 2解答:解:∵y=sinx+cosx=2(sinx+cosx)=2sin(x+).∵-1≤sin(x+)≤1,√312√32π3π3A.y=±3x B.y=±2x C.y =±x D.y =±x A.“x=1,y=-2”是“a ∥b ”的必要条件B.“x=1,y=-2”是“a ∥b ”的充分条件C.“x=1,y=-2”是“a ⊥b ”的必要条件D.“x=1,y=-2”是“a ⊥b ”的充分条件∴当sin(x+)=1时,函数y取得最大值2.故选:C.π3(2024•香港)已知双曲线C:-=1(a >0,b >0)的离心率为,则双曲线C的渐近线方程为( )x 2a 2y 2b 2√101312答案:A 解析:利用双曲线的离心率,得到a,b关系式,然后求解双曲线的渐近线方程.解答:解:双曲线C:-=1(a >0,b >0)的离心率为,可得=,即=10,可得=3.双曲线C的渐近线方程为:y=±3x.故选:A.x 2a 2y 2b 2√10c a √10+a 2b 2a 2b a (2024•香港)已知平面向量a =(1,1),b =(x+1,y),则( )→→→→→→→→→→答案:D解析:根据已知条件,结合向量平行、垂直的性质,即可求解.解答:解:对于A,若a ∥b ,则1•y=1•(x+1),即y=x+1,充分性不成立,错误,对于B,当x=1,y=-2时,则b =(2,-2),a ∥b 不成立,错误,→→→→→A.f(x)是奇函数,不是增函数B.f(x)是增函数,不是奇函数C.f(x)既是奇函数,也是增函数D.f(x)既不是奇函数,也不是增函数A.1B.C.-D.-1对于C,若a ⊥b ,则x+1+y=0,必要性不成立,故错误,对于D,当x=1,y=-2时,则b =(2,-2),a •b =2-2=0,a ⊥b ,充分性成立,故D正确.故选:D.→→→→→→→(2024•香港)已知函数f (x )=ln (+x ),则( )√+1x 2答案:C解析:结合基本初等函数及复合函数的单调性及函数奇偶性即可判断.解答:解:函数的定义域为R,f(-x)+f(x)=ln(-x)+ln(+x)=ln(1+x 2-x 2)=0,所以f(-x)=-f(x),所以f(x)为奇函数,B,D错误;当x≥0时,t=+x单调递增,根据奇函数的单调性可知,t=+x在R上单调递增,根据复合函数单调性可知,f(x)为增函数,A错误,C正确.故选:C.√1+x 2√1+x 2√1+x 2√1+x 2(2024•香港)若(a+x)4的展开式中x的系数是-,则a=( )121212答案:C解析:根据二项式定理,建立方程,即可求解.A.2x-3y+2=0B.3x+2y+2=0C.3x+2y-2=0D.2x-3y-2=0A.4B.2C.1D.解答:解:∵(a+x)4的展开式中x的系数是•=-,∴a=-.故选:C.C 41a 31212(2024•香港)圆x 2+(y+2)2=4与圆(x+2)2+(y-1)2=9交于A,B两点,则直线AB的方程为( )答案:D 解析:将两圆的方程相减,即可求解.解答:解:圆x 2+(y+2)2=4,即x 2+y 2+4y=0①,圆(x+2)2+(y-1)2=9,即x 2+4x+y 2-2y=4②,②-①可得,化简整理可得,2x-3y-2=0,故直线AB的方程为2x-3y-2=0.故选:D.(2024•香港)已知x =和x =都是函数f(x)=sin(ωx+φ)(ω>0)的极值点,则ω的最小值是( )π4π212答案:A 解析:根据x=和x=都是函数f(x)的极值点,得出函数的周期T≤2×(-),由此求解即可.π4π2π2π4解答:解:因为x=和x=都是函数f(x)=sin(ωx+φ)(ω>0)的极值点,所以周期为T≤2×(-)=,所以≤,所以ω≥4,即ω的最小值是4.故选:A.π4π2π2π4π22πωπ2A.2B.1C.D.A.2B.(2024•香港)抛物线C:y 2=2px(p>0)的焦点为F,C上的点到F的距离等于到直线x=-1的距离,则p=( )1214答案:A 解析:求得抛物线的焦点和准线方程,由抛物线的定义和点到直线的距离公式,解得p,可得抛物线的方程;解答:解:抛物线C:y 2=2px(p>0)的焦点F(,0),准线方程为x=-,C上的点到F的距离等于到直线x=-1的距离,可得=1,解得p=2,故选:A.p 2p 2p 2(2024•香港)正四棱柱的八个顶点都在一个半径为1的球O的球面上,O到该正四棱柱侧面的距离为,则该正四棱柱的体积是( )12√2√223答案:B解析:根据题意可正四棱柱的体对角线即为其外接球的直径2R=2,再建立方程求出正四棱柱的,最后代入体积公式,即可求解.解答:解:∵正四棱柱的八个顶点都在一个半径为1的球O的球面上,O到该正四棱柱侧面的距离为,∴正四棱柱的底面边长为1,设正四棱柱的高为h,则正四棱柱的体对角线即为其外接球的直径2R=2,∴(2R)2=12+12+h 2,即4=2+h 2,∴h=,∴该正四棱柱的体积为1×1×=.故选:B.12√2√2√2(2024•香港)已知偶函数f(x)的图像关于直线x=1对称,当0≤x≤1时,f(x)=x 2+2x,则当2≤x≤3时,f(x)=( )A.x 2+2xB.x 2-2x C.-x 2+2x D.-x 2-2x答案:B 解析:根据题意,分析可得f(x+2)=f(x),当2≤x≤3时,有0≤x-2≤1,结合函数的解析式分析可得答案.解答:解:根据题意,f(x)为偶函数,则f(-x)=f(x),又由f(x)的图像关于直线x=1对称,则f(-x)=f(2+x),则有f(x+2)=f(x),当2≤x≤3时,有0≤x-2≤1,则f(x-2)=(x-2)2+2(x-2)=x 2-2x,则有f(x)=f(x-2)=x 2-2x.故选:B.(2024•香港)用1,2,…,9这9个数字,组成没有重复数字的三位数,其中奇数共有 280个.答案:280.解析:根据排列数公式,先排个位,再排其余,即可求解.解答:解:∵1,2,…,9这9个数字中奇数共有5个,∴用1,2,…,9这9个数字,组成没有重复数字的三位数,其中奇数共有•=280个.故答案为:280.A 51A 82(2024•香港)记等差数列{a n }的前n项和为S n ,若S 2=16,S 4=24,则a 8=-5.答案:-5.解析:根据等差数列的前n项和公式即可得.解答:解:设等差数列{a n }的首项为a 1,公差为d,由S 2=16,S 4=24,得,即,解得.所以等差数列{a n }的通项公式为a n =11-2n,a 8=11-16=-5.故答案为:-5.⎧⎨⎩2+d =164+d =24a 12×12a 14×32{2+d =162+3d =12a 1a 1{=9d =-2a 1.答案:[-2,].23解析:将不等式两边同时平方,再结合一元二次不等式的解法,即可求解.解答:解:2|x|≤|x-2|,则4x 2≤x 2-4x+4,化简整理可得,(3x-2)(x+2)≤0,解得-2≤x ≤,故所求解集为[-2,].故答案为:[-2,].232323(2024•香港)函数f(x)=e x -2x的最小值为2-2ln2.答案:见试题解答内容解析:f′(x)=e x -2,令f′(x)=e x -2=0,解得x=ln2.利用单调性即可得出.解答:解:f′(x)=e x -2,令f′(x)=e x -2=0,解得x=ln2.可得:函数f(x)在(-∞,ln2)上单调递减,在(ln2,+∞)上单调递增.∴x=ln2时,函数f(x)取得极小值即最小值,f(ln2)=2-2ln2.故答案为:2-2ln2.(2024•香港)已知函数f(x)的定义域为R,若f(x-1)f(x+1)=x 2+4x+3,f(1)=3,则f(9)=11.答案:11.解析:利用函数的解析式,依次能求出f(3),f(5),f(7),f(9)的值.解答:解:函数f(x)的定义域为R,f(x-1)f(x+1)=x 2+4x+3,f(1)=3,∴f(1)f(3)=4+8+3=15,∴f(3)=5,f(3)f(5)=16+16+3=35,∴f(5)=7,f(5)(7)=36+24+3=63,∴f(7)=9,f(7)f(9)=64+32+3=99,则f(9)=11.故答案为:11.(2024•香港)已知二面角α-AB-β的大小为90°,正方形ABCD在α内,等边三角形ABF在β内,则异面直线AC与BF所成角的余弦值为 .√244解析:由题意建立空间直角坐标系,设正方形的边长,求出直线BF,AC的方向向量BF ,AC 的坐标,进而求出两个向量的夹角的余弦值,进而求出异面直线所成的角的余弦值.→→解答:解:过F作FO⊥AB,在平面α过O作y轴⊥AB,因为二面角α-AB-β的大小为90°,所以FO⊥平面α,设正方形的边长为2,由题意OF=,可得F(0,0,),B(1,0,0),A(-1,0,0),C(1,2,0),则BF =(-1,0,),AC =(2,2,0),所以BF •AC =-1×2+0×2+×0=-2,|BF |==2,|AC |==2,所以cos<BF ,AC >==所以异面直线AC与BF所成角的余弦值为|cos<BF ,AC故答案为:.√3√3→√3→→→√3→√(-1++()202√3)2→√++222202√2→→BF •AC →→|BF |•|AC |→→4→→4√24(2024•香港)已知△ABC中,A =,AC=ABtanB.(1)求B;(2)求sinA+sinB+sinC.π3答案:(1);(2).π12+√3√62解析:(1)由题设及正弦定理,可得cosB=sinC,再根据诱导公式进行代换,即可求得角B;(2)根据角A,B,C的值,利用两角和的正弦公式即可求解.解答:解:(1)由AC=ABtanB,可得tanB =,由正弦定理,可得=,又B∈(0,π),sinB≠0,所以cosB=sinC,由诱导公式,可得cosB=sin(A+B)=cos[-(A +B )],所以B =-(A +B )+2kπ或B =(A +B )-+2kπ,k∈Z,又A =,所以B =+kπ,k∈Z,又B∈(0,π),故B=;(2)由(1)知,A =,B=,则C =,sin +sin =+sin (-)+sin (+)=+2sin cos2=.b csinB cosB sinB sinC π2π2π2π3π12π12ππ127π122π127π12√3πππ3π4√32π3π4222+√3√62(2024•香港)在一个工作日中,某工人至少使用甲、乙两仪器中的一个,该工人使用甲仪器的概率为0.6,使用乙仪器的概率为0.5,且不同工作日使用仪器的情况相互独立.(1)求在一个工作日中该工人既使用甲仪器也使用乙仪器的概率;(2)记X为在100个工作日中,该工人仅使用甲仪器的天数,求E(X).答案:(1)0.1;(2)50.解析:(1)利用概率的性质求解;(2)利用二项分布的期望公式求解.解答:解:(1)设事件A表示“在一个工作日中该工人既使用甲仪器也使用乙仪器”,则P(A)=0.6+0.5-1=0.1;(2)因为在一个工作日中该工人仅使用甲仪器的概率为0.6-0.1=0.5,A.{3}B.{0,1}C.{-2,-1,2}D.{-2,-1,0,1,2,3}A.1-2i B.1+2i C.-1-2i D.-1+2i A.1B.C.2D.-2则X~B(100,0.5),所以E(X)=100×0.5=50.(2024•香港)已知集合A={-2,-1,0,1,2},B={-2,-1,2,3},则A∩B=( )答案:C解析:结合交集的定义,即可求解.解答:解:A={-2,-1,0,1,2},B={-2,-1,2,3},则A∩B={-2,-1,2}.故选:C.(2024•香港)计算=( )3+4i 1-2i答案:D解析:直接利用复数代数形式的乘除运算化简得答案.解答:解:===-1+2i .故选:D.3+4i 1-2i (3+4i )(1+2i )(1-2i )(1+2i )-5+10i 5(2024•香港)函数y=sinx+cosx的最大值是( )√3√6答案:C 解析:利用两角和的正弦公式即可化为asinx+bcosx=sin(x+θ),进而利用正弦函数的单调性、最值即可得出.√+a 2b 2A.y=±3x B.y=±2x C.y =±x D.y =±x A.“x=1,y=-2”是“a ∥b ”的必要条件B.“x=1,y=-2”是“a ∥b ”的充分条件C.“x=1,y=-2”是“a ⊥b ”的必要条件D.“x=1,y=-2”是“a ⊥b ”的充分条件解答:解:∵y=sinx+cosx=2(sinx+cosx)=2sin(x+).∵-1≤sin(x+)≤1,∴当sin(x+)=1时,函数y取得最大值2.故选:C.√312√32π3π3π3(2024•香港)已知双曲线C:-=1(a >0,b >0)的离心率为,则双曲线C的渐近线方程为( )x 2a 2y 2b 2√101312答案:A 解析:利用双曲线的离心率,得到a,b关系式,然后求解双曲线的渐近线方程.解答:解:双曲线C:-=1(a >0,b >0)的离心率为,可得=,即=10,可得=3.双曲线C的渐近线方程为:y=±3x.故选:A.x 2a 2y 2b 2√10c a √10+a 2b 2a 2b a (2024•香港)已知平面向量a =(1,1),b =(x+1,y),则( )→→→→→→→→→→答案:D解析:根据已知条件,结合向量平行、垂直的性质,即可求解.A.f(x)是奇函数,不是增函数B.f(x)是增函数,不是奇函数C.f(x)既是奇函数,也是增函数D.f(x)既不是奇函数,也不是增函数A.1B.D.-1解答:解:对于A,若a ∥b ,则1•y=1•(x+1),即y=x+1,充分性不成立,错误,对于B,当x=1,y=-2时,则b =(2,-2),a ∥b 不成立,错误,对于C,若a ⊥b ,则x+1+y=0,必要性不成立,故错误,对于D,当x=1,y=-2时,则b =(2,-2),a •b =2-2=0,a ⊥b ,充分性成立,故D正确.故选:D.→→→→→→→→→→→→(2024•香港)已知函数f (x )=ln (+x ),则( )√+1x 2答案:C解析:结合基本初等函数及复合函数的单调性及函数奇偶性即可判断.解答:解:函数的定义域为R,f(-x)+f(x)=ln(-x)+ln(+x)=ln(1+x 2-x 2)=0,所以f(-x)=-f(x),所以f(x)为奇函数,B,D错误;当x≥0时,t=+x单调递增,根据奇函数的单调性可知,t=+x在R上单调递增,根据复合函数单调性可知,f(x)为增函数,A错误,C正确.故选:C.√1+x 2√1+x 2√1+x 2√1+x 2(2024•香港)若(a+x)4的展开式中x的系数是-,则a=( )1212C.-A.2x-3y+2=0B.3x+2y+2=0C.3x+2y-2=0D.2x-3y-2=0A.4B.2C.1D.12答案:C解析:根据二项式定理,建立方程,即可求解.解答:解:∵(a+x)4的展开式中x的系数是•=-,∴a=-.故选:C.C 41a 31212(2024•香港)圆x 2+(y+2)2=4与圆(x+2)2+(y-1)2=9交于A,B两点,则直线AB的方程为( )答案:D 解析:将两圆的方程相减,即可求解.解答:解:圆x 2+(y+2)2=4,即x 2+y 2+4y=0①,圆(x+2)2+(y-1)2=9,即x 2+4x+y 2-2y=4②,②-①可得,化简整理可得,2x-3y-2=0,故直线AB的方程为2x-3y-2=0.故选:D.(2024•香港)已知x =和x =都是函数f(x)=sin(ωx+φ)(ω>0)的极值点,则ω的最小值是( )π4π212答案:A 解析:根据x=和x=都是函数f(x)的极值点,得出函数的周期T≤2×(-),由此求解即可.π4π2π2π4A.2B.1C.D.A.2B.解答:解:因为x=和x=都是函数f(x)=sin(ωx+φ)(ω>0)的极值点,所以周期为T≤2×(-)=,所以≤,所以ω≥4,即ω的最小值是4.故选:A.π4π2π2π4π22πωπ2(2024•香港)抛物线C:y 2=2px(p>0)的焦点为F,C上的点到F的距离等于到直线x=-1的距离,则p=( )1214答案:A 解析:求得抛物线的焦点和准线方程,由抛物线的定义和点到直线的距离公式,解得p,可得抛物线的方程;解答:解:抛物线C:y 2=2px(p>0)的焦点F(,0),准线方程为x=-,C上的点到F的距离等于到直线x=-1的距离,可得=1,解得p=2,故选:A.p 2p 2p 2(2024•香港)正四棱柱的八个顶点都在一个半径为1的球O的球面上,O到该正四棱柱侧面的距离为,则该正四棱柱的体积是( )12√2√223答案:B解析:根据题意可正四棱柱的体对角线即为其外接球的直径2R=2,再建立方程求出正四棱柱的,最后代入体积公式,即可求解.解答:解:∵正四棱柱的八个顶点都在一个半径为1的球O的球面上,O到该正四棱柱侧面的距离为,∴正四棱柱的底面边长为1,设正四棱柱的高为h,则正四棱柱的体对角线即为其外接球的直径2R=2,∴(2R)2=12+12+h 2,即4=2+h 2,∴h=,12√2A.x 2+2xB.x 2-2x C.-x 2+2x D.-x 2-2x∴该正四棱柱的体积为1×1×=.故选:B.√2√2(2024•香港)已知偶函数f(x)的图像关于直线x=1对称,当0≤x≤1时,f(x)=x 2+2x,则当2≤x≤3时,f(x)=( )答案:B解析:根据题意,分析可得f(x+2)=f(x),当2≤x≤3时,有0≤x-2≤1,结合函数的解析式分析可得答案.解答:解:根据题意,f(x)为偶函数,则f(-x)=f(x),又由f(x)的图像关于直线x=1对称,则f(-x)=f(2+x),则有f(x+2)=f(x),当2≤x≤3时,有0≤x-2≤1,则f(x-2)=(x-2)2+2(x-2)=x 2-2x,则有f(x)=f(x-2)=x 2-2x.故选:B.(2024•香港)用1,2,…,9这9个数字,组成没有重复数字的三位数,其中奇数共有 280个.答案:280.解析:根据排列数公式,先排个位,再排其余,即可求解.解答:解:∵1,2,…,9这9个数字中奇数共有5个,∴用1,2,…,9这9个数字,组成没有重复数字的三位数,其中奇数共有•=280个.故答案为:280.A 51A 82(2024•香港)记等差数列{a n }的前n项和为S n ,若S 2=16,S 4=24,则a 8=-5.答案:-5.解析:根据等差数列的前n项和公式即可得.解答:解:设等差数列{a n }的首项为a 1,公差为d,由S 2=16,S 4=24,得,即,解得.所以等差数列{a n }的通项公式为a n =11-2n,a 8=11-16=-5.故答案为:-5.⎧⎨⎩2+d =164+d =24a 12×12a 14×32{2+d =162+3d =12a 1a 1{=9d =-2a 1.答案:[-2,].23解析:将不等式两边同时平方,再结合一元二次不等式的解法,即可求解.解答:解:2|x|≤|x-2|,则4x 2≤x 2-4x+4,化简整理可得,(3x-2)(x+2)≤0,解得-2≤x ≤,故所求解集为[-2,].故答案为:[-2,].232323(2024•香港)函数f(x)=e x -2x的最小值为2-2ln2.答案:见试题解答内容解析:f′(x)=e x -2,令f′(x)=e x -2=0,解得x=ln2.利用单调性即可得出.解答:解:f′(x)=e x -2,令f′(x)=e x -2=0,解得x=ln2.可得:函数f(x)在(-∞,ln2)上单调递减,在(ln2,+∞)上单调递增.∴x=ln2时,函数f(x)取得极小值即最小值,f(ln2)=2-2ln2.故答案为:2-2ln2.(2024•香港)已知函数f(x)的定义域为R,若f(x-1)f(x+1)=x 2+4x+3,f(1)=3,则f(9)=11.答案:11.解析:利用函数的解析式,依次能求出f(3),f(5),f(7),f(9)的值.解答:解:函数f(x)的定义域为R,f(x-1)f(x+1)=x 2+4x+3,f(1)=3,∴f(1)f(3)=4+8+3=15,∴f(3)=5,f(3)f(5)=16+16+3=35,∴f(5)=7,f(5)(7)=36+24+3=63,∴f(7)=9,f(7)f(9)=64+32+3=99,则f(9)=11.故答案为:11.(2024•香港)已知二面角α-AB-β的大小为90°,正方形ABCD在α内,等边三角形ABF在β内,则异面直线AC与BF所成角的余弦值为 .√244解析:由题意建立空间直角坐标系,设正方形的边长,求出直线BF,AC的方向向量BF ,AC 的坐标,进而求出两个向量的夹角的余弦值,进而求出异面直线所成的角的余弦值.→→解答:解:过F作FO⊥AB,在平面α过O作y轴⊥AB,因为二面角α-AB-β的大小为90°,所以FO⊥平面α,设正方形的边长为2,由题意OF=,可得F(0,0,),B(1,0,0),A(-1,0,0),C(1,2,0),则BF =(-1,0,),AC =(2,2,0),所以BF •AC =-1×2+0×2+×0=-2,|BF |==2,|AC |==2,所以cos<BF ,AC >==所以异面直线AC与BF所成角的余弦值为|cos<BF ,AC√3√3→√3→→→√3→√(-1++()202√3)2→√++222202√2→→BF •AC →→|BF |•|AC |→→4→→44(2024•香港)已知△ABC中,A =,AC=ABtanB.(1)求B;(2)求sinA+sinB+sinC.π3答案:(1);(2).π12+√3√62解析:(1)由题设及正弦定理,可得cosB=sinC,再根据诱导公式进行代换,即可求得角B;(2)根据角A,B,C的值,利用两角和的正弦公式即可求解.解答:解:(1)由AC=ABtanB,可得tanB =,由正弦定理,可得=,又B∈(0,π),sinB≠0,所以cosB=sinC,由诱导公式,可得cosB=sin(A+B)=cos[-(A +B )],所以B =-(A +B )+2kπ或B =(A +B )-+2kπ,k∈Z,又A =,所以B =+kπ,k∈Z,又B∈(0,π),故B=;(2)由(1)知,A =,B=,则C =,sin +sin =+sin (-)+sin (+)=+2sin cos2=.b csinB cosB sinB sinC π2π2π2π3π12π12ππ127π122π127π12√3πππ3π4√32π3π4222+√3√62(2024•香港)记数列{a n }的前n项和为S n ,已知a 1=4,=(-1).(1)证明:数列{}是等比数列;(2)求{a n }的通项公式.a n +14(n +1)2n -1S n -1S n 2n -1答案:(1)证明见解答;(2)a n =4n•3n-1,n∈N *.解析:(1)根据数列的和与项的转化关系,等比数列的定义,即可证明;(2)根据数列的和与项的转化关系,分类讨论,即可求解.解答:解:(1)证明:∵=(-1),∴-=(-1),∴(2n-1)S n+1-(2n-1)S n =4(n+1)S n -4(n+1),∴(2n-1)S n+1=(6n+3)S n -4(n+1),∴(2n-1)(S n+1-1)=(6n+3)S n -(6n+3),∴(2n-1)(S n+1-1)=3(2n+1)(S n -1),∴=3(),又=a 1-1=3,∴数列{}是以首项为3,公比为3的等比数列;(2)由(1)可得=,∴-1=(2n -1)×①,当n≥2时,-1=(2n -3)×②,①-②可得=(2n -1)×-(2n -3)×=4n•3n-1(n≥2),又a 1=4,也满足上式,∴a n =4n•3n-1,n∈N *.a n +14(n +1)2n -1S n S n +1S n 4(n +1)2n -1S n -1S n +12n +1-1S n 2n -1-1S 12×1-1-1S n 2n -1-1S n 2n -13n S n 3n S n -13n -1a n 3n 3n -1(2024•香港)已知椭圆C :+=1(a >b >0)的左焦点为F,点A(-a,0),B(0,b),过F的直线x-y+1=0交C于B,P两点.(1)求P的坐标;(2)若点R(-2,y 0)在直线AB上,证明:FR是∠PFA的角平分线.x 2a 2y 2b 2答案:(1)P(-,-).(2)证明详情见解答.4313解析:(1)直线方程中x-y+1=0,分别令y,x为0,解得b,c,由a 2=b 2+c 2,解得a,即可得出椭圆的方程,联立直线x-y+1=0与椭圆的方程,即可得出答案.(2)由(1)知A(-,0),B(0,1),写出直线AB的方程,进而可得Q点坐标,推出tan2∠RFA=tan∠RFA,即可得出答案.√2解答:解:(1)因为直线x-y+1=0过焦点F和点B,所以令y=0,得x=-1,即-c=-1,则c=1,令x=0,得y=1,即b=1,又a 2=b 2+c 2=2,所以椭圆的方程为+y 2=1,联立,解得x=0或x=-,所以x P =-,y P =x P +1=(-)+1=-,所以P(-,-).(2)证明:由(1)知A(-,0),B(0,1),令x=-2,得y=1-,所以R(-2,1-),tan∠RFA==-1,tan2∠RFA==因为直线x-y+1=0的斜率为1,所以tan∠RFA=1,所以tan2∠RFA=tan∠RFA,所以FR是∠PFA的角平分线.x 22{x -y +1=0+=1x 22y 2434343134313√2√2√2|1-|√2-1-(-2)√22tan ∠RFA 1-ta ∠n 2√2。
2024年华侨、港澳、台联考高考数学试卷一、选择题:本题共12小题,每小题5分,共60分。
在每小题给出的四个选项中,只有一项是符合题目要求的。
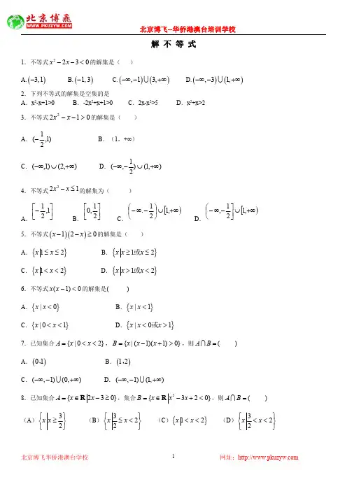
1.已知集合,,0,1,,,,2,,则 {2A =-1-2}{2B =-1-3}(A B = )A .B .,{3}{01}C .,,D .,,0,1,2,{2-1-2}{2-1-3}2.计算 34(12ii +=-)A .B .C .D .12i -12i+12i --12i-+3.函数的最大值是 sin y x x =+()A .1B C .2D .2-4.已知双曲线的渐近线方程为 2222:1(0,0)x y C a b a b-=>>C ()A .B .C .D .3y x =±2y x =±13y x =±12y x=±5.已知平面向量,,则 (1,1)a =(1,)b x y =+ ()A .“,”是“”的必要条件1x =2y =-//a bB .“,”是“”的充分条件1x =2y =-//a bC .“,”是“”的必要条件1x =2y =-a b ⊥D .“,”是“”的充分条件1x =2y =-a b ⊥6.已知函数,则 ())f x ln x =+()A .是奇函数,不是增函数()f x B .是增函数,不是奇函数()f x C .既是奇函数,也是增函数()f x D .既不是奇函数,也不是增函数()f x 7.若的展开式中的系数是,则 4()a x +x 12-(a =)A .1B .C .D .1212-1-8.圆与圆交于,两点,则直线的方程为 22(2)4x y ++=22(2)(1)9x y ++-=A B AB ()A .B .C .D .2320x y -+=3220x y ++=3220x y +-=2320x y --=9.已知和都是函数的极值点,则的最小值是 4x π=2x π=()sin()(0)f x x ωϕω=+>ω()A .4B .2C .1D .1210.抛物线的焦点为,上的点到的距离等于到直线的距离,则 2:2(0)C y px p =>F C F 1x =-(p =)A .2B .1C .D .121411.正四棱柱的八个顶点都在一个半径为1的球的球面上,到该正四棱柱侧面的距离为,则该正O O 12四棱柱的体积是 ()A .BC D12.已知偶函数的图像关于直线对称,当时,,则当时, ()f x 1x =01x 2()2f x x x =+23x ()(f x =)A .B .C .D .22x x +22x x -22x x -+22x x--二、填空题:本题共6小题,每小题5分,共30分。
绝密★启用前
2013年中华人民共和国普通高等学校联合招收
华侨、港澳地区、台湾省学生入学考试
数学试题
一、选择题:本大题共12小题,每小题5分,共60分。
在每小题给出的四个选项中,只有一项是符合题目要求的,请把所选出的字母填在题后的括号内。
1.若多项式32x x c -+有因式1,x -则c =______
A.–3
B.–1
C.1
D.3
2.z=-i 22设,z=-i 22设,则│z │=_____
A.2
B.1
C.
D.3.斜率为k (k >0)的直线沿x 轴的正方向平移5个单位,平移后的直线与原直线之间的距离为4,则k=____A.5
3 B.4
3 C.3
4 D.3
5
4.设f (x )=x 2–2x –3在(a,+∞)上为增函数.则a 的取值范围为_____
A.[1,+∞)
B.(–∞,3]
C.[–1,+∞)
D.(–∞,–3]
5.已知tan x =221a
a -,其中常数()0,,cos =___
a x π∈则A .221a a -+ B.221a a + C.2
21
1a a -+ D.221
1
a a -++6.3位男同学与2位女同学排成一列,其中女同学相邻的不同排法共有______
A.48种
B.36种
C.24种
D.
18种
7.已知向量,OA OB 不共线,1,3
BM BA = 则向量OM =_____A.1433OA OB -
B.2133OA OB +
C.1233OA OB -
D.1233OA OB
+
8.焦点为(2,0),准线为x=–1的抛物线方程为_____
A.263y x =-+
B.263y x =+
C.263y x =--
D.263
y x =-9.等比数列的前n 项和,,,n
n s ab c a b c =+其中为常数,则______
A.a+b=0
B.b+c=0
C.a+c=0
D.a+b+c=0
10.3种颇色的卡片各5张,从中随机抽取3张,则3张卡片颜色相同的概率为____A.691 B.1291 C.8273 D.16273
11.设函数f (x )=cos(sin x ).则下列结论正确的是_____
A.f (x )的定义域是[–1,1]
B.f (x )的值域是[–1,1]
C.f (x )是奇函数
D.f (x )是周期为π的函数
12.把正方形ABCD 沿对角线AC 折起,当以A,B,C,D 为项点的三棱锥体积最大时,直线BD 和平面ABC 所成的大小为_____
A.30。
B.45。
C.60。
D.90。
二、填空题:本大题共6小题,每小题5分,共30分。
把答案填在题中横线上。
13.设数列{}n a 的前n 项和2n n s =2n -2n a =,则____________.
14.不等式2lg 2x x -(-)
>1的解集为____________________15.设长方形ABCD –A 1B 1C 1D 1的体积为1,E,F,G 分别为AB,AD,AA 1的中点,则三棱锥A-EFG 的体积为___________
16.曲线,y=x cos x 在点(0,0)处的切线方程为_______________
17.关于x 的方程x 2+ax+2=0与x 2–2x –a =0有且仅有一个公共的实根,则a =_________
18.在空间直角坐标系中,已知A (3,0,a ),B (0,3,–2),C (1,1,–1),若平面ABC 过坐标原点,则a =_________________
三:解答题:本大题共4小题;每小题15分.解答应写出文字说明,证明过程或演算步骤。
19.设ABC A 的内角、B、C的对边分别为a 、b 、c ,cos sin ,cos sin A B B A
=且a <b (1)证明ABC 为直角三角形
(2)若CD 为AB 边上的高,且CD ,AD =2DB ,求a 、b 、c
20.数列{}n a 满足1a =1,且123
n n a a +=+(1)证明{}n a 3+是等比数列
(2)设2211log (3)log (3)
n n n b a a +=++,求数列{}n b 的前n 项和S n 21.设椭圆C 的中心在坐标原点,一个焦点为F
,0),C 与x 轴正半轴焦点为A ,与y 轴正半轴焦点为B ,5
BF =(1).求C 的方程
(2).求C 上一点P ,使得△ABP 的面积为3
22.设函数f(x)=2e x (x –1)–ax 2
(1)若对任意x ≥0,f’(x)≥0,求a 的取值范围
(2)求f(x)的极值
2013年中华人民共和国普通高等学校联合招收
华侨、港澳地区、台湾省学生入学考试
数学参考答案
说明:
1.本解答案给出了一种或几种解法供参考,如果考生的解法与本解答不同,可根据试题的主要考查内容比照评分参考制定相应的评分细则
2.对计算题,当考生的解答在某一步出现错误时,如果后继部分的解答为改变该题的内容和难度。
可视影响的程度决定后继部分的给分,但不得超过该部分正确解答应得分数的一半;如果后继部分的解答有较严的错误就不再给分。
3.解答右端所注分数,表示考生正确做到这一步应得的累加分数.
4.只给整数分数.选择题和填空题不给中间分.
选择题
1.C 2.B
3.B
4.A
5.C
6.A.
7.D
8.D
9.C 10.A 11.D 12.B 填空题
13.44
n a n =-14.{43}x x x ><-│或 15.116.y=x 17.318.–119.
20.
由“裂项法”得
11
1 bn
n n
=-
+
21.
即点P到直线AB
26
22.
.
值。