2015年华侨港澳台联考数学真题
- 格式:doc
- 大小:260.50 KB
- 文档页数:2
绝密★启用前2015年中华人民共和国普通高等学校 联合招收华侨、港澳地区、台湾省学生入学考试数 学一、选择题:本大题共12小题;每小题5分,共60分。
在每小题给出的四个选项中,只有一项是符合题目要求的。
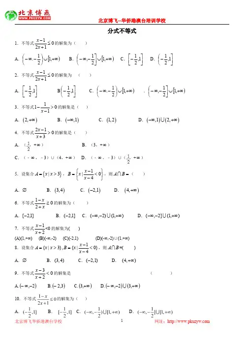
(1)sin 225=( )(A )2-(B )2(C )12-(D )12(2)设平面向量(1,2)a =-,(3,2)b =-,则2a b +=( )(A )(1,0) (B )(1,2)(C )(2,4)(D )(2,2)(3)设集合{1,2,3,4}A ⊆,若A 至少有3个元素,则这样的A 共有( )(A )2个(B )4 个(C )5 个 (D )7个(4)设()y f x =是212xxy --=+的反函数,则1()5f =( )(A )4 (B )2(C )12 (D )14(5)设函数212log (45)yx x =++在区间(,)a +∞是减函数,则a 的最小值为( )(A )2 (B )1 (C )1-(D )2-(6)不等式24x x ++<的解集为( )(A ){|1}x x < (B ){|61}x x -<<(C ){|4}x x <(D ){|0}x x <(7)已知函数sin (0)y x ωω=>的图象关于直线3x π=对称,则ω的最小值为( )(A )2(B )32(C )23(D )12(8)函数cos()23x yπ=+的图象按向量ω平移后,所得图象对应的函数为( )(A )cos 2x y=(B )cos 2xy=-(C )sin 2x y=(D )sin 2x y=-(9)函数(sin cos 1)(sin cos 1)y x x x x =+-的最大值为( )(A )1(B )34(C )34-(D )1- (10)直线l 与椭圆2213618x y +=相交于A ,B 两点,线段AB 的中点为(2,1),则l 的斜率为()(A(B)(C )1(D )1-(11)设等比数列{}n a 的前n 项和为n S ,11a =公比为q ,且1q <,若1l i m 33n n nS S →∞+=--,则q =( ) (A )23-(B )12-(C )12(D )23(12)有5本数学书、3本文学书和4本音乐书,从这三类书中随机抽取3本,每题都有1本的概率为( )(A )311(B )411(C )511(D )611二、填空题:本大题共6小题;每题5分。
2015年中华人民共和国普通高等学校联合招收华侨、港澳地区、台湾省学生入学考试数学满分150分,考试用时120分钟 (A ) xy = cos-2x(B ) y - - cos-2(C ) y.x =sin 2 (D ).x y = — si n2 (9)函数 y = sin: xcosx 1 sin xcosx 「1的最大值为( )3(A ) 1(B ) 4(C )—(D )-12 2(10)直线l 与椭圆-y1相交于A,B 两点,线段AB 的中点为(2,),则l 的斜率为()36 18、选择题:每个小题选对给 5分,不选、选错或者选出的代号超过一个, 一律给分。
(1) sin225° =( (A) 2 ( B ) -'、2(C )1(D ) -1(A) 21(C ) -一 2(D )(11)设等比数列的前n 项和为S n ,a^1,公比为q ,且qS +1::1,若 lim n 3 , 屮 Sn — 3(2)设平面向量 a =(-1,2),b =:(3,-2),贝U 2a+b =((A)112(B ) -一(C ) 一(D )-2 2 3(A ) (1,0) (B )(1,2) (C ) (2,4)(D )(2, 2)(12)有5本数学书、3本文学书和4本音乐书,从这三类书中随机抽取 3本,每类都有1(3)设集合A ;= 11,2,3,4?,若A 至少有 3个元素,则这样的 A 共有(本的概率为()(A ) 2 个 (B )4 个 (C ) 5 个 (D )(A)3 1111(D)6 11-X 2(4 )设y =f(x)是"厂2亠1 的反函数,贝U f(2) = 5、填空题:本大题共6小题;每小题5分。
(A ) 4 (5)设函数y 1 (C)- 22"ogdx ■ 4x 5)在区间(a, •::)是减函数, 2 (B )2 1 4a 的最小值为( (D )(A) 2 (B) 1 (C ) -1 (D) -2 (6)不等式x + x+2 :::4的解集为( (13)点(3, -1)关于直线x+y=0的对称点为 _____________________ (14)曲线y=xe x 在点(0,0)处的切线方程为 ___________________3十i-(15)复数z= 3 |的共轭复数z= __________________i(1 + i)(A) x :: 1:(B) -6 x :: 1f (C ) \x x 4: (D) (7)已知函数y 二sin 「x(「・0)的图像关于直线 x 对称,则,的最小值为( 3 2 (C)-3(A) 23 (B)-21 (D)-2(16) A,B,C 为球O 的球面上三点, AB_ AC ,若球O 的表面积为64 , O 到AB,AC 的距离均为3,则O 到平面ABC 的距离为 __________________ (17)在空间直角坐标系中,过原点作平面 __________ 2x-z-2=0的垂线,垂足为(18)若多项式 p(x^ xx 3 axb^(? p(1^ 2,用x 2+1除p(x)的余式为2,则x 兀(8)函数^cos(x -)的图像按向量na={,0)平移后,所得图像对应的函数为( 3P(-1) = ___________三、解答题:本大题共4小题;每小题15分•解答应写出文字说明,证明过程或演算步骤。
2015年台湾省中考数学试卷(I)参考答案与试题解析一、选择题(共25小题,每小题3分,满分75分)1.(3分)(2015•台湾)算式(﹣1)×(﹣3)×之值为何?()B××,2.(3分)(2015•台湾)已知直线L的方程式为x=3,直线M的方程式为y=﹣2,判断下列B3.(3分)(2015•台湾)下列各选项中的盒状图分别呈现出某班四次小考数学成绩的分布情.B..D.4.(3分)(2015•台湾)算式(﹣3)4﹣72﹣之值为何?()=815.(3分)(2015•台湾)如图,AB为圆O的直径,BC为圆O的一弦,自O点作BC的垂线,且交BC于D点.若AB=16,BC=12,则△OBD的面积为何?()6BD=CD=OD=2BD=CD=×AB=8=2,OD××.6.(3分)(2015•台湾)计算多项式﹣2x(3x﹣2)2+3除以3x﹣2后,所得商式与余式两者7.(3分)(2015•台湾)将图1的正四角锥ABCDE沿着其中的四个边剪开后,形成的展开图为图2.判断下列哪一个选项中的四个边可为此四个边?().=34=(﹣5)3=32×55=(﹣3)2×(﹣、9.(3分)(2015•台湾)如图为某餐厅的价目表,今日每份餐点价格均为价目表价格的九折.若恂恂今日在此餐厅点了橙汁鸡丁饭后想再点第二份餐点,且两份餐点的总花费不超过200元,则她的第二份餐点最多有几种选择?(),10.(3分)(2015•台湾)如图,AB切圆O1于B点,AC切圆O2于C点,BC分别交圆O1、圆O2于D、E两点.若∠BO1D=40°,∠CO2E=60°,则∠A的度数为何?()=70EC=11.(3分)(2015•台湾)如图是P1、P2、…、P10十个点在圆上的位置图,且此十点将圆周分成十等分.今小玉连接P1P2、P1P10、P9P10、P5P6、P6P7,判断小玉再连接下列哪一条线段后,所形成的图形不是轴对称图形?()12.(3分)(2015•台湾)怡君手上有24张卡片,其中12张卡片被画上O记号,另外12张卡片被画上X记号.如图表示怡君从手上拿出6张卡片放在桌面的情形,且她打算从手上剩下的卡片中抽出一张卡片.若怡君手上剩下的每张卡片被抽出的机会相等,则她抽出O 记号卡片的机率为何?()B记号卡片的机率为;13.(3分)(2015•台湾)已知甲、乙为两把不同刻度的直尺,且同一把直尺上的刻度之间距离相等,耀轩将此两把直尺紧贴,并将两直尺上的刻度0彼此对准后,发现甲尺的刻度36会对准乙尺的刻度48,如图1所示.若今将甲尺向右平移且平移过程中两把直尺维持紧贴,使得甲尺的刻度0会对准乙尺的刻度4,如图2所示,则此时甲尺的刻度21会对准乙尺的哪一个刻度?()14.(3分)(2015•台湾)判断一元二次方程式x2﹣8x﹣a=0中的a为下列哪一个数时,可的值一一代入得到是正整数即可得,,此选项不对;,此选项不对;=12,15.(3分)(2015•台湾)如图,坐标平面上有A(0,a)、B(﹣9,0)、C(10,0)三点,其中a>0.若∠BAC=95°,则△ABC的外心在第几象限?()x=17.(3分)(2015•台湾)已知A地在B地的西方,且有一以A、B两地为端点的东西向直线道路,其全长为400公里.今在此道路上距离A地12公里处设置第一个广告牌,之后每往东27公里就设置一个广告牌,如图所示.若某车从此道路上距离A地19公里处出发,往东直行320公里后才停止,则此车在停止前经过的最后一个广告牌距离A地多少公里?(),18.(3分)(2015•台湾)如图,△ABC中,BC>AB>AC.甲、乙两人想在BC上取一点P,使得∠APC=2∠ABC,其作法如下:(甲)作AB的中垂线,交BC于P点,则P即为所求(乙)以B为圆心,AB长为半径画弧,交BC于P点,则P即为所求对于两人的作法,下列判断何者正确?()19.(3分)(2015•台湾)如图为甲、乙、丙三根笔直的木棍平行摆放在地面上的情形.已知乙有一部分只与甲重迭,其余部分只与丙重迭,甲没有与乙重迭的部分的长度为1公尺,丙没有与乙重迭的部分的长度为2公尺.若乙的长度最长且甲、乙的长度相差x公尺,乙、丙的长度相差y公尺,则乙的长度为多少公尺?()20.(3分)(2015•台湾)如图,△ABC、△ADE中,C、D两点分别在AE、AB上,BC与DE相交于F点.若BD=CD=CE,∠ADC+∠ACD=114°,则∠DFC的度数为何?()21.(3分)(2015•台湾)坐标平面上,二次函数y=﹣x2+6x﹣9的图形的顶点为A,且此函数图形与y轴交于B点.若在此函数图形上取一点C,在x轴上取一点D,使得四边形ABCD22.(3分)(2015•台湾)已知甲校原有1016人,乙校原有1028人,寒假期间甲、乙两校人数变动的原因只有转出与转入两种,且转出的人数比为1:3,转入的人数比也为1:3.若23.(3分)(2015•台湾)如图为两正方形ABCD、BEFG和矩形DGHI的位置图,其中G、F两点分别在BC、EH上.若AB=5,BG=3,则△GFH的面积为何?()===GF,24.(3分)(2015•台湾)将甲、乙、丙三个正分数化为最简分数后,其分子分别为6、15、,即化简后的甲为;所以化简后的乙是,丙是,,25.(3分)(2015•台湾)如图的灰色小三角形为三个全等大三角形的重迭处,且三个大三角形各扣掉灰色小三角形后分别为甲、乙、丙三个梯形.若图中标示的∠1为58°,∠2为62°,∠3为60°,则关于甲、乙、丙三梯形的高的大小关系,下列叙述何者正确?()二、解答题(共2小题,满分25分)26.(10分)(2015•台湾)大冠买了一包宣纸练习书法,每星期一写1张,每星期二写2张,每星期三写3张,每星期四写4张,每星期五写5张,每星期六写6张,每星期日写7张.若大冠从某年的5月1日开始练习,到5月30日练习完后累积写完的宣纸总数已超过120张,则5月30日可能为星期几?请求出所有可能的答案并完整说明理由.×27.(15分)(2015•台湾)如图,四边形ABCD中,AC为∠BAD的角平分线,AB=AD,E、F两点分别在AB、AD上,且AE=DF.请完整说明为何四边形AECF的面积为四边形ABCD 的一半.。
绝密★启用前2013年中华人民共和国普通高等学校联合招收华侨、港澳地区、台湾省学生入学考试数学试题一、选择题:本大题共12小题,每小题5分,共60分。
在每小题给出的四个选项中,只有一项是符合题目要求的,请把所选出的字母填在题后的括号内。
1.若多项式32x x c -+有因式1,x -则c =______A.–3B.–1C.1D.32.z=-i 22设,z=-i 22设,则│z │=_____A.2B.1C.D.3.斜率为k (k >0)的直线沿x 轴的正方向平移5个单位,平移后的直线与原直线之间的距离为4,则k=____A.53 B.43 C.34 D.354.设f (x )=x 2–2x –3在(a,+∞)上为增函数.则a 的取值范围为_____A.[1,+∞)B.(–∞,3]C.[–1,+∞)D.(–∞,–3]5.已知tan x =221aa -,其中常数()0,,cos =___a x π∈则A .221a a -+ B.221a a + C.2211a a -+ D.2211a a -++6.3位男同学与2位女同学排成一列,其中女同学相邻的不同排法共有______A.48种B.36种C.24种D.18种7.已知向量,OA OB 不共线,1,3BM BA = 则向量OM =_____A.1433OA OB -B.2133OA OB +C.1233OA OB -D.1233OA OB+8.焦点为(2,0),准线为x=–1的抛物线方程为_____A.263y x =-+B.263y x =+C.263y x =--D.263y x =-9.等比数列的前n 项和,,,nn s ab c a b c =+其中为常数,则______A.a+b=0B.b+c=0C.a+c=0D.a+b+c=010.3种颇色的卡片各5张,从中随机抽取3张,则3张卡片颜色相同的概率为____A.691 B.1291 C.8273 D.1627311.设函数f (x )=cos(sin x ).则下列结论正确的是_____A.f (x )的定义域是[–1,1]B.f (x )的值域是[–1,1]C.f (x )是奇函数D.f (x )是周期为π的函数12.把正方形ABCD 沿对角线AC 折起,当以A,B,C,D 为项点的三棱锥体积最大时,直线BD 和平面ABC 所成的大小为_____A.30。
导数的应用知识点讲解一.导数的运算导数的定义如果当0→∆x 时,xy∆∆有极限,我们就说函数y=f(x)在点x 0处可导,并把这个极限叫做f (x )在点x 0处的导数,记作f′(x 0)或y′|0x x =。
即f′(x 0)=0lim →∆x x y∆∆=0lim→∆x xx f x x f ∆-∆+)()(00。
说明:(1)函数f (x )在点x 0处可导,是指0→∆x 时,x y ∆∆有极限。
如果xy∆∆不存在极限,就说函数在点x 0处不可导,或说无导数。
(2)x ∆是自变量x 在x 0处的改变量,0≠∆x 时,而y ∆是函数值的改变量,可以是零。
由导数的定义可知,求函数y=f (x )在点x 0处的导数的步骤:①求函数的增量y ∆=f (x 0+x ∆)-f (x 0)②求平均变化率x y ∆∆=xx f x x f ∆-∆+)()(00③取极限,得导数f’(x 0)=xyx ∆∆→∆0lim(在极限存在的前提下。
若极限不存在,则导数不存在)连续就是左值等于右值;可导是“左值等于右值,且左导等于右导”例1.⎩⎨⎧>+≤==11)(2x bax x x x f y 在1=x 处可导,则=a =b 几个结论:(1)奇函数的导函数是偶函数。
(2)偶函数的导函数是奇函数。
(3)周期函数的导函数是周期函数,且周期不变。
(4)轴对称函数在对称轴处的导数为零(特别的偶函数有()00f '=),奇函数没有此性质。
1.常见函数的导数(1)0C '=(C 为常数)(2)()1m m x mx -'=(m Q ∈)(3)()x xe e '=(4)()ln x x a a a '=(5)()1ln x x'=(6)()11log log ln a a x e x a x'==(7)()sin cos x x '=(8)()cos sin x x'=-2.两个函数和、差、积、商的导数若()f x 、()g x 的导数都存在,则(1)()f g f g '''±=±(2)()f g f g f g '''=+ (3)()20f f g f g g g g '''⎛⎫-=≠ ⎪⎝⎭3.复合函数的导数设()u g x =在点x 处可导,()y f u =在()u g x =处可导,则复合函数()f g x ⎡⎤⎣⎦在点x 处可导,且()()()()f g x f u g x '''=⎡⎤⎣⎦ 。
2015年中华人民共和国普通高等学校联合招收华侨、港澳地区、台湾省学生入学考试物理一、选择题:本大题共13小题,每小题4分,共52分。
在每小题给出的四个选项中,只有一项是符合题目要求的。
1.甲、乙两车沿同一条平直公路同方向行驶,速度—时间图像如图所示,图中0~t 1,t 1~t 2,t 2~t 3等间隔。
已知t=t 1时刻两车相遇。
假定两车在行进中所受阻力相同,且为常量,则( )A .t 3时刻两车再次相遇B .0~t 3时间内两车的位移相同C .0~t 1时间内两车靠近,t 1~t 3时间内两车远离D .0~t 3时间内乙车发动机所做的功一定比甲车的大2.如图所示,在半径为R 的圆形区域内有垂直于图所在平面的匀强磁场,一边长为R 的正方形线圈,在外力作用下从图示位置向下匀速平移通过磁场区域,直到线圈全部离开磁场。
运动过程中线圈的对称轴始终沿圆的竖直直径方向。
以逆时针方向作为线圈回路的正方向,下列四幅表示线圈中感应电流的图像可能正确的是( )A B C D3.U 23892经过若干次α衰变和若干次β衰变,可能变成的原子核是( )A .Po 21684 B. Rn 21986 C. Rn 22286 D. Ra 225884.如图,曲线甲、乙为用两个不同的光电管甲、乙做光电效应实验得到的实验曲线,横坐标U 表示光电管上所加电压,纵坐标i 表示光电流。
两个实验所用的照射光频率相同。
下列结论正确的是( )A.光电管甲阴极材料的逸出功比光电管乙的小B.实验乙中光电子的最大初动能比实验甲中的小C.实验甲中照射光的强度一定比实验乙中的小D.光电管乙的截止频率比光电管甲的小5.如图,一理想变压器绕有三组线圈,初级线圈匝数n 1=1100匝,灯泡L 1的额定电压为36V ,额定功率为40W ,灯泡L 2的额定电压为6V ,额定功率为4W ,与它连接的线圈匝数n 2=30匝。
等输入端接正弦交变电压时,两个灯泡均正常发光。
三年级 第1页 三年级 第2页绝密★启用前第四届海峡两岸数学邀请赛地方初赛(2015年4月)温馨提示:1、本卷共三部分,第一部分:填空题,共计60分;第二部分:计算题,共计24分;第三部分:解答题,共计66分。
2、答题前请将自己的地区、学校、姓名、赛场、参赛证号码写在规定的位置。
3、比赛时不能使用计算工具。
4、比赛完毕时试卷和草稿纸将被收回。
三年级试题(A卷)(本试卷满分150分 ,考试时间90分钟 )一、填空。
(每题6分,共计60分)1、小说《达·芬奇密码》中的一个故事里出现了一串神秘排列的数:1,1,2,3,5,8,…,则这列数的第8个数是________。
2、王老师最近搬进了教师宿舍大楼,一天,王老师站在阳台上,往下看,下面有3个阳台,往上看,上面有5个阳台,教师宿舍大楼一共有_______层。
3、如图所示,图中阴影部分面积占整个图形的()()。
4、一只蜗牛沿枯藤爬行,1分钟爬1分米,10分钟才爬到枯藤的一半,该枯藤有______米。
5、足球比赛分上下两个半场,上下半场各45分钟,中场休息15分钟,小雷20:30到达足球场时,下半场正好开始,足球赛开始的时间是________。
6、中央电视台2套“开心辞典”栏目中,有一期的题目如图所示,两个天平都平衡,则2个球体的重量等于________个正方体的重量。
7、班里共有42名学生,站成一圈做游戏,现在从悦悦开始数,东东是顺时针数第27个,琪琪是逆时针数第31个,东东和琪琪之间有________名同学。
8、一天,年轻人到童鞋店买一双鞋子。
这双鞋成本是38元,标价68元。
这个年轻人掏出100元要买这双鞋。
童鞋店老板当时没有零钱,用那个100元向隔壁店老板换了100元的零钱,找给年轻人32元。
后来隔壁老板发现那100元是假钞,童鞋店老板无奈之下,还了隔壁店老板100。
这次交易童鞋店损失________元。
9、一块三角形稻田的三条边均为20米,为了防止鸟类偷吃稻谷,农民伯伯在三个顶点各竖立一个假人,三条边上每隔2米也竖立一个假人,一共要竖立_______个假人。
2015年中华人民共和国普通高等学校联合招收
华侨、港澳地区、台湾省学生入学考试
数 学
满分150分,考试用时120分钟
一、选择题:每个小题选对给5分,不选、选错或者选出的代号超过一个,一律给0分。
(1)0
sin 225= ( ) (A )
2-
(B
)2 (C ) 12- (D ) 1
2
(2)设平面向量(1,2),(3,2)a b =-=-,则2+a b =( )
(A ) (1,0) (B )(1,2) (C ) (2,4) (D ) (2,2) (3)设集合{}1234A ⊆,,,,若A 至少有3个元素,则这样的A 共有( ) (A ) 2个 (B )4个 (C ) 5个 (D ) 7个
(4)设()y f x =是212x x
y --=+的反函数,则1
()5
f =( ) (A ) 4 (B )2 (C ) 12 (D ) 1
4
(5)设函数212
log (45)y x x =++在区间(,)a +∞是减函数,则a 的最小值为( )
(A ) 2 (B )1 (C ) 1- (D ) 2- (6)不等式24x x ++<的解集为( )
(A ) {}1x x < (B ){}61x x -<< (C ) {}4x x < (D ) {}
0x x < (7)已知函数sin (0)y x ωω=>的图像关于直线3
x π
=
对称,则ω的最小值为( )
(A ) 2 (B )32 (C ) 23 (D ) 1
2
(8)函数cos()23x y π=+的图像按向量(,0)3
a π
=-平移后,所得图像对应的函数为( )
(A )cos
2x y = (B )cos 2x y =- (C ) sin 2x y = (D ) sin 2
x y =- (9)函数()()sin cos 1sin cos 1y x x x x =+-的最大值为( ) (A ) 1 (B )
34 (C ) 3
4
- (D ) 1- (10)直线l 与椭圆22
13618
x y +=相交于A,B 两点,线段AB 的中点为(21),,则l 的斜率为( ) (A )
(B
) (C ) 1 (D ) 1-
(11)设等比数列{}n a 的前n 项和为n S ,11a =,公比为q ,且1q <,若1
lim
33n n n
S S →∞+=--,
则q = ( ) (A )23-
(B )12- (C ) 12 (D ) 2
3
(12)有5本数学书、3本文学书和4本音乐书,从这三类书中随机抽取3本,每类都有1
本的概率为( ) (A ) 311 (B )411 (C ) 511 (D ) 611
二、填空题:本大题共6小题;每小题5分。
(13)点(31),-关于直线0x y +=的对称点为_____________ (14)曲线x
y xe =在点(00),处的切线方程为_____________ (15)复数3(1)
i
z i i +=
+的共轭复数z =_____________
(16)A,B,C 为球O 的球面上三点,AB AC ⊥,若球O 的表面积为64π,O 到AB,AC 的
距离均为3,则O 到平面ABC 的距离为_____________
(17)在空间直角坐标系中,过原点作平面220x z --=的垂线,垂足为_____________
(18)若多项式4
3
2
(),(1)2p x x x ax bx c p =++++=,用2
+1x 除()p x 的余式为2,则
(1)p -=_____________
三、解答题:本大题共4小题;每小题15分.解答应写出文字说明,证明过程或演算步骤。
(19)设ABC ∆的内角A,B,C 的对边分别为,,a b c ,已知=1,sin 2sin ,2a C A B A ==,
求b 和B .
(20)设函数2()2x a
f x x
=
+,当1x =时()f x 取得极值 (Ⅰ) 求a ;
(Ⅱ)求()f x 的单调区间.
(21)已知数列{}n a 的前n 项和2
142
n n n S a -=--
(Ⅰ) 证明:数列{}
2n n a 是等差数列; (Ⅱ)求{}n a 的通项公式.
(22)设()11,A x y 和()22,B x y 是抛物线2
:C y x =上的两点,且12+=10x x
(Ⅰ) 若1=1y ,求直线AB 的方程;
(Ⅱ)证明:当点,A B 在C 上运动时,线段AB 的垂直平分线过定点.。