数学物理方程与特殊函数课后答案
- 格式:pdf
- 大小:3.88 MB
- 文档页数:61
数学物理方程第二版答案第一章.颠簸方程§ 1 方程的导出。
定解条件4. 绝对柔嫩逐条而平均的弦线有一端固定,在它自己重力作用下,此线处于铅垂均衡地点,试导出此线的细小横振动方程。
解:如图 2,设弦长为l ,弦的线密度为,则 x 点处的张力 T ( x) 为T ( x)g(lx)且 T( x) 的方向老是沿着弦在 x 点处的切线方向。
仍以 u( x, t) 表示弦上各点在时辰 t 沿垂直于 x 轴方向的位移,取弦段 ( x, xx), 则弦段两头张力在 u 轴方向的投影分别为g(l x) sin ( x); g (l( xx)) sin (xx)此中 (x) 表示 T (x) 方向与 x 轴的夹角又sintgux.于是得运动方程x2u[l( xx)]u∣xxg [lx]u∣x gt 2xx利用微分中值定理,消去x ,再令 x0 得2ug[( l x) ut 2] 。
x x5. 考证u( x, y,t )t 21在锥 t 2 x 2 y 2 >0 中都知足颠簸方程x 2 y 22u2u2u证:函数 u( x, y,t )1在锥 t 2x 2 2内对变量 t 2x 2 y 2t 2 x 2y >0y 2x, y, t 有u3二阶连续偏导数。
且(t2x 2 y 2) 2 tt2u35(t2x2y 2) 23(t2x2y2) 2 t2t23(t 2x 2y 2) 2 (2t 2x2y 2)u3x2 y 2)2 x(t2x2u35t2x2y223 t2x2y22 x 2x25 t2x2y22 t22 x2y22 u5同理t2x2y22 t2x22y2y22 u 2u52u .所以t 2 x 2y 2 2 22x 2 y 2x2y2tt2即得所证。
§2 达朗贝尔公式、波的传抪3.利用流传波法,求解颠簸方程的特点问题(又称古尔沙问题)2ua 22ut 2x 2u x at 0(x) (0)(0)u x at( x).解: u(x,t)=F(x-at)+G(x+at)令 x-at=0得 ( x) =F ( 0) +G ( 2x )令 x+at=0得( x) =F (2x ) +G(0)所以F(x)=( x) -G(0).2G ( x ) = ( x) -F(0).2且F ( 0) +G(0)= (0) (0).所以u(x,t)=(xat) + ( x at ) - (0).22即为古尔沙问题的解。
数学物理方程与特殊函数09级试题选讲一、求解定解问题22200,0,(0,0)x x lt u u a t x u u x l t xx u x ===ì¶¶=ï¶¶ï¶¶ï==<<>í¶¶ïï=ïî)()(),(t T x X t x u =)()()()(2t T x X a t T x X ¢¢=¢22)()()()(b -=¢¢=¢x X x X t T a t T 0>b 设,代入原方程得,则)()(22=+¢t T a t T b 0)()(2=+¢¢x X x X b 则,0x x lu u xx==¶¶==¶¶'(0)'()0X X l Þ==又因为得固有值问题2()()0'(0)'()0X x X x X X l b ¢¢ì+=í==î22)(ln pb =()cos 0,1,2,n n n xX x A n lp ==则固有值固有函数,数学物理方程与特殊函数09级试题选讲)()()(2=+¢t T la n t T p 2()()n a tl n T t C ep -Þ=2()01(,)cosn a tln n n x u x t C C elp p ¥-==+å从而0t ux==有因为01cosnn n x x C C lp ¥==+å所以220022[(1)1]cos 12n ln l n x l C x dx l l nl C xdx lp p --====òò2()2212(1)1(,)cos 2n a ntln l l n xu x t enlp p p¥-=--=+å数学物理方程与特殊函数09级试题选讲二、求解定解问题2222,,0(),0(),0(0)(0)t x t x u ut x t t t x ux x u x x =-=ì¶¶=-<<>ï¶¶ïï=F £íï=Y ³ïïF =Y î解:特征变换为x t x tx h =-ìí=+î2u x h¶=¶¶原方程化为12()()u f f x h =+则它的通解为00(),()()(),()()2222t xt x ux u x u u h x x h x h x h=-====F =Y +-Þ=F =F =Y =Y 又因为数学物理方程与特殊函数09级试题选讲1212(0)()()2()(0)()2f f f f h h xx +=Y +=F 2112()()(0)2()()(0)2f f f f h h x x ì=Y -ïïÞíï=F -ïî12()()((0)(0))22()()(0)22u f f x t x tx h=F +Y -+-+=F +Y -F 则它的解为三、求解定解问题)0,(,0,3,03202022222>+¥<<-¥ïïïîïïíì=¶¶==¶¶-¶¶¶+¶¶==y x y ux u y uy x u x u y y 解:原方程的特征方程为22()23()0dy dydx dx --=13C x y +=2C x y +-=,则特征线为3x y x yx h =-ìí=+î特征变换20ux h¶=¶¶原方程化为12()()u f f x h =+则它的通解为数学物理方程与特殊函数09级试题选讲12(,)(3)()u x y f x y f x y =-++即203,y y u ux y==¶==¶又因为21212(3)()3(3)()0f x f x xf x f x ì+=í¢¢-+=î则可得C x x f¢-=2149)3(C x x f ¢+=2243)(C x x f¢-=2141)(222234)(34)3(),(yx y x y x y x u +=++-=22()()C Du vv u u v d v u ds n n s ¶¶Ñ-Ñ=-¶¶òòò 四、证明平面上的格林公式其中n 为曲线的外法线向量。
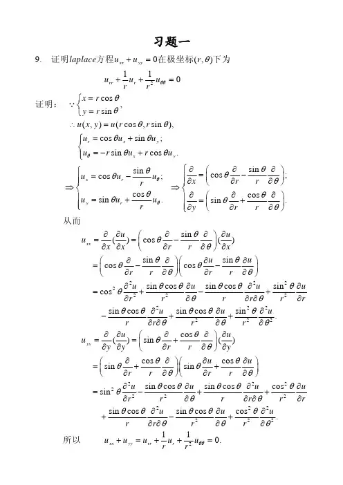
1.证明二维laplace 方程 在极坐标下 证:2.长为l 的均匀杆,侧面绝缘,一端温度为零,另一端有恒定热流q 进入(即单位时间内通过单位截面积流入的热量为q ), 杆的初始温度分布为x (l-x ) / 2 ,试写出相应的定解问题。
解:对于杆上的一个微元d x ,流入的热量为:温度变化所需的热量为:两式相等:定解问题为:02222=∂∂+∂∂y u x u 22,arctan y x x y+==ρθθρθρρθθρθθsin ,cos 221cos ,sin /1122222=∂∂=⋅+=∂∂=∂∂-=-⋅+=∂∂y x y x x y x y x y x 2222222222222sin cos cos 2sin sin ρθθρθρρθθρθρθθρ∂∂-∂∂+∂∂+∂∂∂+∂∂=∂∂u u u u u y u x u x u x u ∂∂∂∂+∂∂∂∂=∂∂θθρρ2222222222222sin sin sin 2sin cos ρθθρθρρθθρθρθθρ∂∂+∂∂+∂∂+∂∂∂-∂∂=∂∂u u u u u x u ρρθρρ∂∂+∂∂+∂∂=∂∂+∂∂u u u y u x u 11222222222ρθθθρθθρρcos sin ∂∂+∂∂=∂∂∂∂+∂∂∂∂=∂∂u u y u y u y u 011222=∂∂+⎪⎪⎭⎫ ⎝⎛∂∂∂∂=θρρρρρu u ρθθθρsin cos ∂∂-∂∂=u u 02222=∂∂+∂∂y ux u 011222=∂∂+⎪⎪⎭⎫ ⎝⎛∂∂∂∂θρρρρρu u3.设弦的两端固定于x=0及x=l,弦的初始位移如图所示,初速度为零,又没有外力作用,求弦作横向振动时的位移函数u(x,t)。
解如果琴弦像上图的方法来放置,是不是边界条件将不再是齐次的。
4.解下列问题解:⎪⎪⎪⎩⎪⎪⎪⎨⎧≤≤=>=∂∂=∂∂><<∂∂=∂∂lxxxutxt luxtut lxxuatu),()0,(,0),(,0),0(,,222ϕ)()(),(tTxXtxu=XTaXT''='2XXTaT''='22=+'=+''TaTXXλλ⎩⎨⎧='='<<=+'')(,0)0(lXXlxXXλ)()(),()()0(),0(='=∂∂='=∂∂tTlXxt lutTXxtu)(,0)0(='='lXX,3,2,1,22=⎪⎭⎫⎝⎛==nlnnnπβλsin)(=-='lBlXββ)0(=='βAXxlnBXnnπcos=lnnπβ=xBxAXββcossin+=2=+''XXβ2>=βλBX=BAxX+==''X=λ==BAll eBeAlXββββ--=')()0(=-='ββBAXxx BeAeXββ-+=2=-''XXβ2<-=βλ2=+'TaTλ=λ0='T00T A=>λ02222=+'nnTlnaTπtlnanneAT2222π-=nnnTXu=xlneC tlnanππcos2222-=CAB==∑∑∞=-∞=+==1cos2222ntlnannnxlneCCuuππTXu=xlneBA tlnannππcos2222-=001()d2l lC x xlϕ==⎰022()cos d2(1)1()lnnnC x x xl llnπϕπ=⎡⎤=--⎣⎦⎰xx=)(ϕ5.达朗贝尔公式推导 解:做如下代换得:所以 因为所以所以 又因为 因为 所以所以得:即因此⎪⎪⎩⎪⎪⎨⎧+∞<<∞-=∂∂=>+∞<<∞-∂∂=∂∂x x t x u x x u t x x u a t u ),()0,(),()0,(0,,22222ψϕ⎪⎭⎫ ⎝⎛∂∂⋅-∂∂=t a x 121⎪⎭⎫ ⎝⎛∂∂⋅+∂∂=t a x 121)()(21at x f at x f u -++=ηηη∂∂∂∂+∂∂∂∂=∂∂t t x x ξξξ∂∂∂∂+∂∂∂∂=∂∂t t x x a t 2ηξ-=2ηξ+=x at x -=ηat x +=ξ)()(21ηξf f u +=)(ξξf u =∂∂02=⎪⎪⎭⎫ ⎝⎛∂∂∂∂=∂∂∂ηξηξu u t a x ∂∂⋅-∂∂=∂∂1ηt a x ∂∂⋅+∂∂=∂∂1ξ011=⎥⎦⎤⎢⎣⎡∂∂⋅-∂∂⎥⎦⎤⎢⎣⎡∂∂⋅+∂∂u t a x t a x 0122=⎥⎥⎦⎤⎢⎢⎣⎡⎪⎭⎫ ⎝⎛∂∂⋅-⎪⎭⎫ ⎝⎛∂∂u t a x 0122222=⎪⎪⎭⎫ ⎝⎛∂∂⋅-∂∂u t a x 0122222=∂∂⋅-∂∂t u a x u )()()()0,(21x x f x f x u ϕ=+=)()()()0,(21x x f a x f a t x u ψ='-'=∂∂C a x f x f x +=-⎰021d )(1)()(ξξψ2d )(21)(21)(01C a x x f x ++=⎰ξξψϕ2d )(21)(21)(02Ca x x f x --=⎰ξξψϕ2d )(21)(212d )(21)(2100C a at x C a at x u at x at x ---++++=⎰⎰-+ξξψϕξξψϕ[]11()()()d 22x atx at u x at x at a ϕϕψξξ+-=++-+⎰6.解定解问题解:令所以因为 所以得7.P81T1求方程0,1,22>>=∂∂∂y x y x yx u满足边界条件y y u x x u cos ),1(,)0,(2==的解解:用积分法求解:对y 进行积分)(2122x g y x x u ==∂∂,再对x 积分)()(612123y f x f y x u ++=利用边界条件得 ,再用一次边界条件用积分变换法求解:对y 取拉普拉斯变换利用边界条件 得22d 2d d 3d y x y x --x y +=η2=∂∂∂ηξu )()3()0,(21x f x f x x u +-==)()3(0)0,(21x f x f y x u '+-'==∂∂Cx f x f =+--)()3(3121Cx x f 4343)3(1-=-C x x f 4341)(21-=C x x f 4343)(2+=()2222343)(4343341y x C y x C y x u +=+++--=(d 3d )(d d )0y x y x =-+=)()3(21x y f x y f ++-=x y 3-=ξ)()(21ηξf f u +=y y f f y y u x f x f x u cos )()1(61),1(,)0()()0,(212221=++=+=⎪⎪⎩⎪⎪⎨⎧+∞<<∞-=∂∂=+∞<<-∞>=∂∂-∂∂∂+∂∂x y x u x x u x y y u y x u x u ,0)0,(,)0,(,0,032222228.推导空间格林公式由高斯公式⎰⎰⎰⎰⎰ΓΩ++=∂∂+∂∂+∂∂dS x n R y n Q x n P dV z R y Q x P )],cos(),cos(),cos([)(推导 证:设函数u(x,y,z)和υ(x,y,z)在Γ+Ω上具有一阶连续偏导数,在Ω内具有连续的所有二阶偏导数。
习 题 2.14. 一根长为L 、截面面积为1的均匀细杆,其x=0端固定,以槌水平击其x=L 端,使之获得冲量I 。
试写出定解问题。
解:由题意可知定解问题为:⎪⎪⎩⎪⎪⎨⎧<<-=-<<===========)(,)/(,)0(,0,00,0)/(000002L x L I u L x u u u u u a u Y u t t t t t x x x xx xxtt εερερ习 题 2.23. 设物体表面的绝对温度为u ,它向外辐射出去的热量,按斯特凡—玻尔兹曼定律正比于u 4,即d Q =k u 4d S d t ,设物体与周围介质之间,只有热辐射而无热传导,周围介质的绝对温度为已知函数 ),,,(t z y x ϕ。
试写出边界条件。
解:由题意可知:dsdt u dsdt nuk)(44ϕσ-=∂∂- ∴边界条件为:)(44ϕσ--=∂∂u knu s习 题 2.34. 由静电场Gauss 定理⎰⎰⎰⎰⎰=⋅VSV S E d 1d 0ρε,求证:0▽ερ=⋅E ,并由此导出静电势u 所满足的Poisson 方程。
证明:由题意可知由静电场高斯定理:⎰⎰⎰⎰⎰⎰⎰⎰==⋅VSVV V divE S E d 1d d 0ρε∴ 00▽ερερ=⋅⇒=E divE 习 题 2.42. (1) 032=-+yy xy xx u u u 解:由题意可知:△=12-1×(-3)=4﹥0 => 双曲型03d d 2d d 2=--⎪⎭⎫⎝⎛x y x y => 3d d =x y 或 -1 令 ⎩⎨⎧+=-=yx yx ηε3则 ⎥⎦⎤⎢⎣⎡-=⎥⎥⎦⎤⎢⎢⎣⎡=1113 y x y x Q ηηεε => ⎥⎦⎤⎢⎣⎡=⎥⎦⎤⎢⎣⎡-⎥⎦⎤⎢⎣⎡-⎥⎦⎤⎢⎣⎡-=⎥⎦⎤⎢⎣⎡=⎥⎦⎤⎢⎣⎡''''08801113311111132212121122121211 T Q a a a a Q a a a a 00b 0b 21='='=-='=-='f c c L c L ηηεε∴ )()3()()(016y x g y x f g f u u ++-=+=⇒=ηεεη (5) 031616=++yy xy xx u u u 解:由题意可知:△=82-16×3=16﹥0 => 双曲型03d d 16d d 162=+-⎪⎭⎫⎝⎛x y x y =>43d d =x y 或 41 令 ⎩⎨⎧-=-=y x yx 443ηε则 ⎥⎦⎤⎢⎣⎡--=⎥⎥⎦⎤⎢⎢⎣⎡=4143y x y x Q ηηεε => ⎥⎦⎤⎢⎣⎡--=⎥⎦⎤⎢⎣⎡--⎥⎦⎤⎢⎣⎡⎥⎦⎤⎢⎣⎡--=⎥⎦⎤⎢⎣⎡=⎥⎦⎤⎢⎣⎡''''03232044133881641432212121122121211 T Q a a a a Q a a a a 00b 0b 21='='=-='=-='f c c L c L ηηεε∴ )4()43()()(064y x g y x f g f u u -+-=+=⇒=-ηεεη习 题 2.52.试证明:若),,(τt x V 是定解问题⎪⎩⎪⎨⎧====><<=-====),(,00,0,0,002ττττx f V V V V t L x V a V t t t L x x xx tt的解,则⎰=td t x V t x u 0);,(),(ττ是定解问题⎪⎩⎪⎨⎧====><<=-====0,00,00,0),,(0002t t t L x x xx tt u u u u t L x t x f u a u的解。
10---11-2 数学物理方程与特殊函数(A 卷)参考答案一.填空题1,自由项,齐次方程,非齐次方程,初值条件,(第三类)边界条件,初边值(混合)问题; 2,函数()t z y x u u ,,,= 1),具有二阶连续偏导函数;2),满足方程; 3,()xt t x w =,;4,)cos(t x π-;5,[]1,1-,t x t ≤≤-;6,4122≤+<y x ;122<+y x ; 7,()x x 35213-;()32331481-x dxd ;无界的; 8,⎪⎩⎪⎨⎧=+≠;,122,,0n m n n m ()()().,2,1,021211 =+⎰-n dx x P x f n n 二.解:相应方程的特征方程为:0)(2)(322=-+dt dxdt dx ,即:31=dt dx ,1-=dtdx。
由此得积分曲线:13C t x =-,2C t x =+。
作特征变换:t x -=3ξ,t x +=η,则:ηξ∂∂+∂∂-=∂∂u u t u ,ηξ∂∂+∂∂=∂∂u u x u 3;22222222ηηξξ∂∂+∂∂∂-∂∂=∂∂u u u t u , 22222223ηηξξ∂∂+∂∂∂+∂∂-=∂∂∂u u u x t u ,222222239ηηξξ∂∂+∂∂∂+∂∂=∂∂uu u x u 。
代入原方程,整理得:02=∂∂∂ηξu,则通解为:()()ηξ21f f u +=,其中21,f f 是任意两个连续二次可微函数。
因此原方程通解为: ()()()t x f t x f t x u ++-=213,。
由初值条件有: ()()22133x x f x f =+,()()0321='+'-x f x f 。
由微分方程有:()()C x f x f =-2133 因此 ()449321Cx x f +=,()44121C x x f +=,()44322C x x f -=。
数学物理方程 李明奇主编 电子科技大学出版社2-3章部分习题答案习题2.14.一根长为L 、截面面积为1的均匀细杆,其x=0端固定,以槌水平击其x=L 端,使之获得冲量I 。
试写出定解问题。
解:由Newton 定律: tt x x Sdxu t x YSu t dx x SYu ρ=-+),(),(,其中,Y 为杨氏模量,S 为均匀细杆的横截面积,x u 为相对伸长率。
化简之后,可以得到定解问题为:⎪⎪⎩⎪⎪⎨⎧-==========)(|,0|0|,0|)/(0002L x Iu u u u u a u Y u t t t L x x x xx xx tt δρρ。
习题2.23.设物体表面的绝对温度为u ,它向外辐射出去的热量,按斯特凡-波尔兹曼定律正比于4u ,即dSdt ku dQ 4=,设物体与周围介质之间,只有热辐射而无热传导,周围介质的绝对温度为已知函数),,,(t z y x ϕ,。
试写出边界条件。
解:由Fourier 热传导实验定律dSdt nuk dQ ∂∂-=1,其中1k 称为热传导系数。
可得dSdt u k dSdt nuk )(441ϕ-=∂∂-,即可得边界条件:)(441ϕ--=∂∂u k k nus。
习题2.34.由静电场Gauss 定理⎰⎰⎰⎰⎰⋅=⋅VsdV dS E ρε01,求证:0ερ=⋅∇E ,并由此导出静电势u 所满足的Poisson 方程。
证明:⎰⎰⎰⎰⎰⎰⎰⎰⋅=⋅=⋅VVsdV dV divE dS E ρε01,所以可以得到:0ερ=divE 。
由E divE ⋅∇=与u E -∇=,可得静电势u 所满足的Poisson 方程:2ερ-=∇u 。
习题2.42.求下列方程的通解:(2):;032=-+yy xy xx u u u (5):;031616=++yy xy xx u u u解:(2):特征方程:03)(2)(2=--dx dy dx dy解得:1-=dx dy 和3=dxdy。
29.0(,)11cos ,sin (,)(cos ,sin ),cos sin ;sin cos .sin cos ;s xx yy rr r r x y x y x r y laplace u u r u u u r rx r y r u x y u r r u u u u r u r u u u u ru θθθθθθθθθθθθθθθ+=++==⎧⎨=⎩∴==+⎧⎪⎨=−+⎪⎩=−⇒=∵ 证明方程在极坐标下为 证明: sin cos ;cos cos in .sin .sin ()cos ()sin sin cos cos r xx x r r u u r y r r u u u x x r r x u u r r r r θθθθθθθθθθθθθθθθθθ⎧∂∂∂⎛⎞⎧=−⎜⎟⎪⎪∂∂∂⎝⎠⎪⎪⇒⎨⎨∂∂∂⎛⎞⎪⎪+=+⎜⎟⎪⎪⎩∂∂∂⎝⎠⎩∂∂∂∂∂⎛⎞==−⎜⎟∂∂∂∂∂⎝⎠∂∂∂∂⎛⎞⎛=−−⎜⎟⎜∂∂∂∂⎝⎠⎝ 从而2222222222222sin cos sin cos sin cos sin cos sin cos sin .cos ()sin ()sin yy u u u u r r r r r r u u ur r r r u u u y y r r y θθθθθθθθθθθθθθθθθθθ⎞⎟⎠∂∂∂∂=+−+∂∂∂∂∂∂∂∂−++∂∂∂∂∂∂∂∂∂⎛⎞==+⎜⎟∂∂∂∂∂⎝⎠= 2222222222222cos cos sin sin cos sin cos cos sin sin cos sin cos cos .1u u r r r r u u u u r r r r r r u u ur r r r u u u u θθθθθθθθθθθθθθθθθθθθθθ∂∂∂∂⎛⎞⎛⎞++⎜⎟⎜⎟∂∂∂∂⎝⎠⎝⎠∂∂∂∂=−++∂∂∂∂∂∂∂∂+−+∂∂∂∂+=+ 所以 10.u +=21.(01,0),(0,)(1,)0,1,0.(2)2(,0)11,1,2(,0)(1);tt xx tu a u x t u t u t x x u x x x u x x x ⎧=<<>⎪==⎪⎪⎧⎪<≤⎪⎨⎪=⎨⎪⎪⎪−<<⎪⎩⎪⎪=−⎩求下列问题的解22(,)()().()()0,()()0.(0)(1)0.()()0,(0)(1)0.(),()si n n n u x t X x T t T t a T t X x X x X X X x X x X X n X x B λλλλπ=′′+=′′+===′′+=⎧⎨==⎩==解:应用分离变量法,令 代入方程分离变量,得 由边界条件分离变量,得 求解固有值问题得, 111212202n (1,2,).()cos sin (1,2,).(,)(cos sin )sin .42sin (1)sin sin .2n n n n n n n n x n T t C an t D an t n u x t a an t b an t n x n a x n xdx x n xdx n ππππππππππ∞===+==+⎡⎤=+−=⎢⎥⎣⎦∑∫∫ 代入另一常微分方程,得则其中 ()()14402244124(1)sin 11.44(,)(sin cos 11sin )sin .2nn nn b x x n xdx an n a n u x t an t an t n x n n a πππππππππ∞=⎡⎤=−=−−⎣⎦⎡⎤=+−−⎣⎦∫∑ 因此,所求定解问题的解为2(0,0),(0,)(,)0,(3)35(,0)3sin6sin ,22(,0)0.tt xx x t u a u x l t u t u l t x xu x l l u x ππ⎧=<<>⎪==⎪⎪⎨=+⎪⎪=⎪⎩ ()22(,)()().()()0,()()0.(0)()0.()()0,(0)()0.21(),(2n n u x t X x T t T t a T t X x X x X X l X x X x X X l n X l λλλπλ=′′+=′′+=′==′′+=⎧⎨′==⎩+=解:应用分离变量法,令 代入方程分离变量,得 由边界条件分离变量,得 求解固有值问题得, ()()()()()()121)sin (0,1,2,).22121()cossin (0,1,2,).22212121(,)(cossin )sin .222235(3sin6sin 22n n n n n n n n n x B x n la n a n T t C t D t n l la n a n n u x t a tb t x l l l x x a l l ππππππππ∞=+==++=+=+++=+=+∑ 代入另一常微分方程,得则 其中 ()03,1;21)sin 6,2;20,12.0.3355(,)3cos sin 6cos sin .2222l n n n xdx n l l n b a a u x t t x t x l l l lπππππ=⎧+⎪==⎨⎪≠⎩==+∫、 因此,所求定解问题的解为3.4(0,0),(2)(0,)0,(,)0,(,0)().t xx x x u u x l t u t u l t u x x l x =<<>⎧⎪==⎨⎪=−⎩求下列定解问题的解:2(,)()().()4()0,()()0.(0)()0.()()0,(0)()0.(),()n n u x t X x T t T t T t X x X x X X l X x X x X X l n X x A lλλλπλ=′+=′′+=′′==′′+=⎧⎨′′==⎩==解:应用分离变量法,令 代入方程分离变量,得 由边界条件分离变量,得 求解固有值问题得, 222()2()012000cos (0,1,2,).()(0,1,2,).1(,)cos .222().62()cos n n t ln n n t ln n l l n n x n l T t D e n n u x t a a e x l l a x l x dx l n a x l x xd l l πππππ−∞−=====+=−==−∑∫∫ 代入另一常微分方程,得则 其中 2222222()2212[1(1)].2[1(1)](,)cos .6n n n t ln l x n l l n u x t e x n lππππ∞−=−−+−=−−+−=+∑ 因此,所求定解问题的解为2110(01),,0,(1,)0,.,.rr r u u u r r r A u A θθθαθαθπα⎧++=<<⎪⎪⎨⎧≤≤⎪⎪=⎨⎪<≤⎪⎩⎩其中为已知常数22(,)()().()()()0,()()0.()()0,()(2).(),()cos sin n n n n u r R r r R r rR r R r n X x A n B n θθλθλθθλθθθπλθθ=Φ′′′+−=′′Φ+Φ=′′Φ+Φ=⎧⎨Φ=Φ+⎩==+解:应用分离变量法,令 代入方程分离变量,得求解固有值问题得,()2010(0,1,2,).()()()0,(0).()(0,1,2,).1(,)cos sin .212n n n n n n n n n r R r rR r R r R R r C r n u r a a n b n r Aa Ad a ααλθθθαθππ∞=−=′′′⎧+−=⎨<+∞⎩===++==∑∫ 代入另一常微分方程的定解问题得, 则 其中 112cos sin ,1sin 0.2(,)sin cos .n nn AA n d n n b A n d A A u x t r n n n ααααθθαππθθπααθππ−−∞======+∫∫∑ 因此,所求定解问题的解为0(0,0),(0,)0,(,)0(0),(,0)(1),lim (,)0(0),.xx yy y u u x l y u y u l y y x u x A u x y x l l A →∞⎧+=<<<<∞⎪⎪==≤<∞⎨⎪⎪=−=<<⎩其中为已知常数 2(,)()().()()0,()()0.(0)()0.()()0,(0)()0.(),()sin n n n u x y X x Y y X x X x Y y Y y X X l X x X x X X l n X x B lλλλπλ=′′+=′′−===′′+=⎧⎨==⎩==解:应用分离变量法,令 代入方程分离变量,得 由边界条件分离变量,得 求解固有值问题得, 10(1,2,).()(1,2,).(,)sin.22()sin .lim (,)0n n y y lln n n n n y y l ln n n l n n y n x n l Y y C e D e n n u x y a e b e x l x n A a b A l xdx l l l n u x y a ππππππππ−∞−=→∞==+=⎛⎞=+⎜⎟⎝⎠+=−==⇒∑∫ 代入另一常微分方程,得则 其中 10.2(,)sin .n n y l n A n u x t e x n l πππ∞−===∑因此,所求定解问题的解为()22228.-10.cos ,sin ,111(0),0.{cos sin }.,()xx yy x y a rr r r an a u u u x r y r u u u r a r r u A n B n u r a r θθθθθθθ+==+====⎧++=−<<⎪⎨⎪=⎩+= 在以原点为心,为半径的圆内,试求泊松方程 的解,使它满足边界条件解:令作极坐标变换,得由固有函数法,相应的固有函数系为 因此,设方程的解为[]()()()()()()()0002222cos ()sin .11,110,0210,323()0()n n n n n n n n n nn n nn n n n b r n a a r n a a a n r r nb b b r r a r A r B r n b r C r D θθ∞=−+⎧′′′+=−⎪⎪⎪′′′+−=≠⎨⎪⎪′′′+−=⎪⎩=+≠=+∑ 代入方程,得方程,的通解:, ()()2000(0),()0;(0),()0.()00()0.11()ln ,4(0),()n n n n n n n n r a a a b b a a r n b r a r A r B r a a a −<+∞=<+∞==≠==+−<+∞=. 由有界性条件及边界条件,得 , 方程的通解: 由有界性条件及边界条件,()()()()()220222220.1().41,.41,.a r a r u r a r u x y a x y θ=−=−⎡⎤=−+ 得 则定解问题的解为 化成直角坐标,则得21210.sin ,(2)(0,)0,(,)0(0),(,0)0,(,0)0(0);{sin }.(,)()sin .tt xx tn n n u a u t x l u t u l t t u x u x x l n x ln u x t u t x l n a u u l ππππ∞=⎧=+⎪⎪==≥⎨⎪==≤≤⎪⎩=⎛⎞′′+⎜⎟⎝⎠∑求下列问题的解:解:由固有函数法,相应的固有函数系为 设方程的解为 代入原方程,得()2111020(1),.(0)(0)0(1,2,),1()0;1()sin sin .n n n n t n a u u t l u u n n u t l an u t t d al l l a t t a a l ππτττππππ=≠⎛⎞′′+=⎜⎟⎝⎠′===≠===−⎛⎞⎛⎞=−⎜⎟⎜⎟⎝⎠⎝⎠∫"" 由初始条件,得当时, 当时, 2(,)sin sin l l a u x t t t x a a l l ππππ⎛⎞⎛⎞=−⎜⎟⎜⎟⎝⎠⎝⎠ 故所求的解为2110(0,0),(3)(0,)0,(,)0,(,0)0.,{sin}.(,)()sin .sin 22sin [1(t xx n n n n l n u a u A x l t u t u l t u x n x ln u x t u t x l n A A A x l n A A A xdx l l n πππππ∞=∞=⎧=+<<>⎪==⎨⎪=⎩====−∑∑∫ 解:由固有函数法相应的固有函数系为 设方程的解为 并将展为: ,其中 222()023321)].2[1(1)],(0)0.2()[1(1)]2[1(1)][1].(,n n n n n n a t tn l n n a t n ln a A u u l n u Au t e d n Al e n au x πτπππτππ⎛⎞−−⎜⎟⎝⎠⎛⎞−⎜⎟⎝⎠−⎧⎛⎞′+=−−⎪⎜⎟⎨⎝⎠⎪=⎩=−−=−−−∫ 代入原方程可得得: 故所求的解为2233212)[1(1)][1]sin .n a tnl n Al n t e x n alπππ⎛⎞∞−⎜⎟⎝⎠==−−−∑()2211.224sin cos ,(2)(0,)0,(,)(0),(,0),(,0)()(0).(,)(,)().224sin cos ,(0,)(0ttxx t ttxx u a u x x l lu t u l t B t Bu x x u x x l x x l l u x t v x t w x v a v w x x l lv t w ππππ⎧=+⎪⎪==≥⎨⎪⎪==−≤≤⎩=+′′=+++求下列问题的解解:设问题的解为 将其代入上面的定解问题,得22222)0,(,)(),(,0)(),(,0)().224sincos 0,(0)0().4()sin.8(0,)0,(,)0,(,0)t tt xx v l t w l B Bv x w x x v x x l x l a w x x l lw w l B B l w t x x l a l v a v v t v l t v x ππππ⎧⎪⎪=+=⎨⎪⎪+==−⎩⎧′′+=⎪⎨⎪==⎩=+==== 化成下面两个问题:(1) , 解得: (2) 12222022340(),(,0)().(,)cos sin sin .0,4;24sin sin 8, 4.824()sin t n n n l n l n Bx w x v x x l x l n a n a n v x t a t b t x l l l n l n a x xdx l l a l l n an l b x l x xdx n a l n ππππππππππ∞=⎧⎪⎪⎨⎪⎪−=−⎩⎛⎞=+⎜⎟⎝⎠≠⎧⎪=−⋅=⎨−=⎪⎩=−⋅=∑∫∫ 解得: 其中, ()()43222441222[11].4[11]44(,)cos sin sin sin .844(,)(,)()1cossin 8nn n al l a n a n v x t t x t x a l l n a l l B l a u x t v x t w x x t x l a l l πππππππππ∞=−−−−=−+⎛⎞=+=+−⎜⎟⎝⎠∑ 则 因此,原问题的解为14..0,(2)(-)(),(-)().0().:0X X X X X X X x Be Ae Be A B λππππλ′′+=⎧⎨′′==⎩<=++=+−=−==⇒求下列问题的固有值与固有函数解:当时,方程的通解为 由边界条件,有, ; 得0()0.0().-0.:().0().sin ,X x X x Ax B A B A B A X x C X x A B A B A Bλππλ===++=+⇒==>=+−=++=− 当时,方程的通解为 由边界条件,有 得当时,方程的通解为 由边界条件,有22sin ;()0sin 0(1,2,);()cos sin .(0,1,2,),()cos sin .n n n n n n n n X x n n X x A nx B nx n n X x A nx B nx λλ+====+===+"""" 要不恒等于,则,得故,固有值 固有函数222()()0,(3)(1)()0.ln ,()0.0()00:x y x xy x y y y e x e x d y y d y x Be Bx A B Be τλτλττλ′′′⎧++=⎨==⎩==+=<=+=++=+=解:方程通过自变量代换 或 得: 当时,方程的通解为 由边界条件,有 , ; 得))0()0.0()ln .0,0.:()0.0()cos ln sin ln .0,A B y x y x A B A x B B A y x y x A B A x B x A λτλ==⇒===+=+===>=+=+= 当时,方程的通解为 由边界条件,有 得当时,方程的通解为 由边界条件,有()()2220;()00(1,2,);()sin ln .(1,2,),()sin ln .n n n n n n B y x n n y x B n x n n y x B n x λππλπ========"""" 要不恒等于,则,得 故,固有值 固有函数。
数学物理方程 李明奇主编 电子科技大学出版社2-3章部分习题答案习题2.14.一根长为L 、截面面积为1的均匀细杆,其x=0端固定,以槌水平击其x=L 端,使之获得冲量I 。
试写出定解问题。
解:由Newton 定律: tt x x Sdxu t x YSu t dx x SYu ρ=-+),(),(,其中,Y 为杨氏模量,S 为均匀细杆的横截面积,x u 为相对伸长率。
化简之后,可以得到定解问题为:⎪⎪⎩⎪⎪⎨⎧-==========)(|,0|0|,0|)/(0002L x I u u u u u a u Y u t t t L x x x xx xx tt δρρ。
习题2.23.设物体表面的绝对温度为u ,它向外辐射出去的热量,按斯特凡-波尔兹曼定律正比于4u ,即dSdt ku dQ 4=,设物体与周围介质之间,只有热辐射而无热传导,周围介质的绝对温度为已知函数),,,(t z y x ϕ,。
试写出边界条件。
解:由Fourier 热传导实验定律dSdt nuk dQ ∂∂-=1,其中1k 称为热传导系数。
可得dSdt u k dSdt n uk )(441ϕ-=∂∂-,即可得边界条件:)(441ϕ--=∂∂u k k nus。
习题2.34.由静电场Gauss 定理⎰⎰⎰⎰⎰⋅=⋅VsdV dS E ρε01,求证:0ερ=⋅∇E ,并由此导出静电势u 所满足的Poisson 方程。
证明:⎰⎰⎰⎰⎰⎰⎰⎰⋅=⋅=⋅VVsdV dV divE dS E ρε01,所以可以得到:0ερ=divE 。
由E divE ⋅∇=与u E -∇=,可得静电势u 所满足的Poisson 方程:02ερ-=∇u 。
习题2.42.求下列方程的通解:(2):;032=-+yy xy xx u u u (5):;031616=++yy xy xx u u u 解:(2):特征方程:03)(2)(2=--dxdydx dy 解得:1-=dx dy 和3=dxdy。
数学物理方法习题解答一、复变函数部分习题解答第一章习题解答1、证明Re z 在z 平面上处处不可导。
证明:令Re z u iv =+。
Re z x =,,0u x v ∴==。
1ux∂=∂,0v y ∂=∂,u v x y ∂∂≠∂∂。
于是u 与v 在z 平面上处处不满足C -R 条件, 所以Re z 在z 平面上处处不可导。
2、试证()2f z z=仅在原点有导数。
证明:令()f z u iv =+。
()22222,0f z z x y u x y v ==+ ∴ =+=。
2,2u u x y x y ∂∂= =∂∂。
v vx y∂∂ ==0 ∂∂。
所以除原点以外,,u v 不满足C -R 条件。
而,,u u v vx y x y∂∂∂∂ , ∂∂∂∂在原点连续,且满足C -R 条件,所以()f z 在原点可微。
()0000x x y y u v v u f i i x x y y ====⎛⎫∂∂∂∂⎛⎫'=+=-= ⎪ ⎪∂∂∂∂⎝⎭⎝⎭。
或:()()()2*000lim lim lim 0z z x y z f z x i y z∆→∆→∆=∆=∆'==∆=∆-∆=∆。
22***0*00limlim lim()0z z z z z z zzz z z z z z z z z=∆→∆→∆→+∆+∆+∆∆==+−−→∆∆∆。
【当0,i z z re θ≠∆=,*2i z e z θ-∆=∆与趋向有关,则上式中**1z zz z∆∆==∆∆】3、设333322()z 0()z=00x y i x y f z x y ⎧+++≠⎪=+⎨⎪⎩,证明()z f 在原点满足C -R 条件,但不可微。
证明:令()()(),,f z u x y iv x y =+,则()33222222,=00x y x y u x y x y x y ⎧-+≠⎪=+⎨+⎪⎩, 33222222(,)=00x y x y v x y x y x y ⎧++≠⎪=+⎨+⎪⎩。