电路分析答案第三章
- 格式:doc
- 大小:1.15 MB
- 文档页数:12
第三章习题3.1 如题3.1图所示梯形电路。
⑴ 已知24u V =,求1u 、i 和S u 。
⑵ 已知27S u V =,求1u 、2u 和i 。
⑶ 已知 1.5i A =,求1u 和2u 。
解:根据线性电路的性质,设:211u k u = 22u k i = 23s u k u =令: 2V u 2= 可推出 6V u 2= 1A i = 27V u s = 因而可得: 3k 1= 0.5k 2= 27/2k 3= ⑴ 当24u V =时,有: 12V 43u 1=⨯= 2A 40.5i =⨯= 56V 4227u s =⨯=⑵ 当27S u V =时,有: 2V 27272u k 1u s 32=⨯==1A 20.5u k i 22=⨯== 6V 23u k u 211=⨯== ⑶ 当 1.5i A =时,有: 3V 1.50.51i k 1u 22=⨯==9V 33u k u 211=⨯==3.2 如题3.2图所示电路,已知9S u V =,3S i A =,用叠加定理求电路i 。
解:S u 单独作用时,有: 1163Su i A ==+ S i 单独作用时,有: 23163S i i A =-=-+根据叠加定理可得: 12110i i i =+=-=3.3 如题3.3图所示电路,求电压u 。
如独立电压源的值均增至原值的两倍,独立电流源的值下降为原值的一半,电压u 变为多少?解:根据KVL 列一个回路113132(32)4u i V A A i =Ω⨯++⨯Ω+-⨯Ω两个电压源支路可列方程:1131(3)610i i +=-+由此可得: 13i A =代入上式得: 33132(323)44u V =⨯++⨯+-⨯⨯=若独立电压源的值均增至原值的两倍,独立电流源的值下降为原值的一半,由上式可知:1132(1.5)620i i +=-+ 解得 13i A = 有: 332 1.52(1.523)44u V =⨯++⨯+-⨯⨯=-3.4 如题3.4图所示电路,N 为不含独立源的线性电路。
2、串联负反馈都是电流负反馈,并联负反馈都是电压反馈。
(错)3、将负反馈放大器的输出端短路,则反馈信号也随之消失。
(错)4、在瞬时极性法判断中,+表示对地电压为正,—表示对地电压为负。
(错)5、在串联反馈中,反馈信号在输入端是以电压形式出现,在并联反馈中,反馈信号在输入端是以电流形式出现。
(对)三、选择题1、反馈放大短路的含义是(C )。
A.输入与输出之间有信号通路 B.电路中存在反向传输的信号通路C.除放大电路外,还有反向传输的信号通路2.图3-1-1所示为某负反馈放大电路的一部分,Re1引入(C ),Re2引入(B )。
A.交流反馈B.直流反馈C.交直流反馈3、判断是串联反馈还是并联反馈的方法是(C )。
A.输出端短路法B.瞬时极性法C.输入端短路法4、将放反馈放大器的输出端短路,若反馈信号仍存在则属(B )。
A.电压负反馈B.电流负反馈C.串联负反馈D.并联负反馈5.电路如图3-1-2a所示,反馈类型为(D )。
A.电压并联直流负反馈B.电压并联交直流负反馈C.电流串联交直流负反馈D.电流并联交直流负反馈6、电路如图3-1-2b所示,反馈类型为(C )。
A.电流串联负反馈B.电压并联正反馈C.电压串联负反馈D.电流并联正反馈四、简答题1、什么是正反馈?什么是负反馈?主要用途是什么?略2、图3-1-3所示电路中,所引入的分别是直流单奎还是交流反馈?是正反馈还是负反馈?3、图2-1-4所示电路中,在不增加电路元件的情况下,如何改变接线方式,可达到稳定静态工作点,减小失真的目的?4、在图3-1-5所示各电路中,指出哪些是反馈元件?判断个电路的反馈类型(如系多级放大器,只判断级间反馈类型)。
设图中所有电容对交流信号均可视为短路。
§3-2负反馈对放大器性能影响一、填空题1、放大器引入负反馈使得放大器的放大倍数下降,放大倍数的稳定性提高,非线性失真减小,同频带展宽,改变了放大器的输入输出电阻。
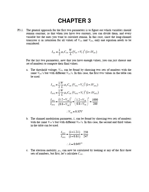
CHAPTER 3P3.1. The general approach for the first two parameters is to figure out which variables shouldremain constant, so that when you have two currents, you can divide them, and every variable but the ones you want to calculate remain. In this case, since the long-channel transistor is in saturation for all values of V GS and V DS , only one equation needs to be considered:()()2112DS N OX GS T DS W I C V V V Lμλ=-+ For the last two parameters, now that you have enough values, you can just choose oneset of numbers to compute their final values.a. The threshold voltage, V T0, can be found by choosing two sets of numbers with the same V DS ’s but with different V GS ’s. In this case, the first two values in the table can be used.()()()()()()211122222201022001121121.2 1.210000.82800.8DS N OX GS T DS DS N OX GS T DS T DS T DS T T W I C V V V L W I C V V V LV I V I V V μλμλ=-+=-+-⎛⎫-===⎪--⎝⎭ 00.35V T V ∴=b. The channel modulation parameter, λ, can be found by choosing two sets of numberswith the same V GS ’s but with different V DS ’s. In this case, the second and third values in the table can be used.()()221 1.225010.8247DS DS I I λλ+==+ -10.04V λ∴=c. The electron mobility, µn , can now be calculated by looking at any of the first three sets of numbers, but first, let’s calculate C OX .631062-31m 10μm22?.210μm1m 10 0.0351 1.610/2.210OX OX t C F cm--=⨯⨯===⨯Now calculate the mobility by using the first set of numbers.()()()()()()()()()()()()22111021262101111 1.21 1.222210002cm 348V-s 1.610(4.75)1.20.3510.04 1.21DS N OX GS T DS N OX T DS N OX GS T DS W W I C V V V C V L LA I W C V V V L μλμλμμλ-=-+=-+===⨯-+-+d. The body effect coefficient gamma, γ, can be calculated by using the last set of numbers since it is the only one that has a V SB greater than 0V.()()()()244124414411221 1.20.468VDS N OX GS T DS DS GS T N OX DS GS T T GS W I C V V V LI V V W C V LV V V V μλμλ=-+-=+-==-==12000.6VT T T T V V V V γγγ=+-====P3.2. The key to this question is to identify the transistor’s region of operation so that gatecapacitance may be assigned appropriately, and the primary capacitor that will dischargedat a rate of V It C ∂∂= by the current source may be identified. Then, because the nodes arechanging, the next region of operation must be identified. This process continues until the transistor reaches steady state behavior. Region 1:Since 0V GS V = the transistor is in the cutoff region. The gate capacitance is allocated to GB C . Since no current will flow through the transistor, all current will come from the source capacitor and the drain node remains unchanged.68-151010V V 6.67100.6671510s nsSB V I I t C C -∆⨯====⨯=∆⨯ The source capacitor will discharge until 1.1V GS T V V == when the transistor enters thesaturation region. This would require that the source node would be at 3.3 1.1 2.2V S G GS V V V =-=-=.()15961510 3.3 2.2 1.6510s 1.65ns 1010C t V I ---⨯∆=∆=-=⨯=⨯ Region 2:The transistor turns on and is in saturation. The current is provided from the capacitor atthe drain node, while the source node remains fairly constant. The capacitance at the drain node is the same as the source node so the rate of change is given by:68-151010V V 6.67100.6671510s nsSB V I I t C C -∆⨯====⨯=∆⨯ Since the transistor is now in the saturation region, GS V can be computed based on thecurrent flowing through the device.()22 1.1 1.37V 3.3 1.37 1.93VGS T GST S G GS kW I V V LV V V V V =-==+==-=-=This is where the source node settles. This means that most of the current is discharged through the transistor until the drain voltage reaches a value that puts the transistor at the edge of saturation.3.3 1.1 2.2VDS GS TD G T V V V V V V =-=-=-=If we assume that all the current comes from the transistor, and the source node remains fixed, the drain node will then discharge at a rate equal to that of the source node in the first region. Region 3:The transistor is now in the linear region the gate capacitance is distributed equally to both GS C and GD C . and both capacitors will discharge at approximately the same rate.-151510V0.28621510510nsV I A t C μ-∆===∆⨯⨯+⨯The graph is shown below.00.511.522.533.5024681012Time (ns)V o l t a g e (V )P3.3. The gate and drain are connected together so that DS GS V V = which will cause thetransistor to remain in saturation. This is a dc measurement so capacitances are not required. Connect the bulk to ground and run SPICE. P3.4. Run SPICE. P3.5. Run SPICE. P3.6. Run SPICE. P3.7. Run SPICE.P3.8. First, let’s look at the various parameters and identify how they affect V T .∙ L – Shorter lengths result in a lower threshold voltage due to DIBL. ∙ W – Narrow width can increase the threshold voltage.∙ V SB – Larger source-bulk voltages (in magnitude) result in a higher threshold voltage. ∙ V DS –Larger drain-source voltages (in magnitude) result in a lower threshold voltage due to DIBL. The transistor with the lowest threshold voltage has the shortest channel, larger width, smallest source-bulk voltage and largest drain-source voltage. This would be the first transistor listed.The transistor with the highest threshold voltage has the longest channel, smallest width,largest source-bulk voltage and smallest drain-source voltage. This would be the last transistor listed. P3.9. Run SPICE.P3.10. Run SPICE. The mobility degradation at high temperatures reduces I on and the increasemobile carriers at high temperatures increase I off . P3.11. The issues that prompted the switch from Al to Cu are resistance and electromigration.Copper wires have lower resistances and are less susceptible to electromigration problems. Copper on the other hand, reacts with the oxygen in SiO 2 and requires cladding around the wires to prevent this reaction.For low-k dielectrics, the target value future technologies is 2.High-k dielectrics are being developed as the gate-insulator material of MOSFET’s. This is because the current insulator material, SiO 2, can not be scaled any longer due to tunneling effects.P3.12. Self-aligned poly gates are fabricated by depositing oxide and poly before the source anddrain regions are implanted. Self-aligned silicides (salicides) are deposited on top of the source and drain regions using the spacers on the sides of the poly gate. P3.13. To compute the length, simply use the wire resistance equation and solve for L .LR TWRTWL ρρ==First convert the units of ρ to terms of μm. Aluminum:2.7μΩρ=cm 6Ω10μΩ⨯610μm100cm ⨯()()()0.027Ωμm1000.812963μm 2.96mm0.027RTWL ρ=====Copper:1.7μΩρ=cm 6Ω10μΩ⨯610μm100cm ⨯()()()0.017Ωμm1000.814706μm 4.71mm0.017RTWL ρ=====P3.14. Generally, the capacitance equation in terms of permittivity constants and spacing is:k C WL tε=a. 4k = ()()()()230048.8510 3.541100SiO k k C WL TL t S S Sεε-====b. 2k = ()()()()30028.8510 1.771100k k C WL TL t S SSεε-====The plots are shown below.Capacitance vs. Spacing01234567800.511.522.533.544.555.5Spacing (um)C a p a c i t a n c e (f F)。
相量图形:1、下图中,R 1=6Ω,L=0.3H ,R 2=6.25Ω,C=0.012F,u (t)=)10cos(210t ,求稳态电流i 1、i 2和i 3,并画出电路的相量图。
解:V U0010∠= R 2和C 的并联阻抗Z 1= R 2//(1/j ωC )=(4-j3)Ω, 输入阻抗 Z = R 1+j ωL +Z 1 =10Ω,则:A Z U I 0010110010∠=∠== A R Z I I 0211287.368.0-∠== A U C j I 02313.536.0∠== ω 所以:A t i )10cos(21=A t i )87.3610cos(28.02ο-= A t i )13.5310cos(26.02ο+=相量图见上右图2、下图所示电路,A 、B 间的阻抗模值Z 为5k Ω,电源角频率ω=1000rad/s ,为使1U 超前2U 300,求R 和C 的值。
解:从AB 端看进去的阻抗为Cj R Z ω1+=, I213其模值为:Ω=+=k CR Z 5)1(22ω (1) 而2U /1U =)arctan()(112CR CR ωω-∠+由于1U 超前2U 300,所以ωCR =tan300=31 (2)联列(1)、(2)两式得R =2.5k Ω,C =0.231μF3、测量阻抗Z 的电路如下图所示。
已知R=20Ω,R 2=6.5Ω,在工频(f =50Hz)下,当调节触点c 使R ac =5Ω时,电压表的读数最小,其值为30V ,此时电源电压为100V 。
试求Z 及其组成的元件的参数值。
(注意:调节触点c ,只能改变cd U 的实部,电压表读数最小,也就是使实部为零,cd U 为纯虚数,即cdU =±j30V)解:UZR R U R R U ac cd++-=22调节触点c ,只能改变cd U 的实部,其值最小,也就是使实部为零,cd U 为纯虚数,即cdU =±j30V , 因此上式可表示为:±j 30=-25+(100⨯6.5)/(6.5+Z ) 解得:Z=(4.15±j 12.79)Ω 故:R Z =4.15ΩL =40.7mHC =249μF4、电路如下图所示,已知f =1kHz ,U =10V ,U 1=4V ,U 2=8V 。
第三章 电阻电路的一般分析一、是非题 (注:请在每小题后[ ]内用"√"表示对,用"×"表示错).1. 利用节点KCL方程求解某一支路电流时,若改变接在同一节点所有其它已知支路电流的参考方向,将使求得的结果有符号的差别。
[×] .2. 列写KVL方程时,每次一定要包含一条新支路才能保证方程的独立性。
[√] .3. 若电路有n个节点,按不同节点列写的n-1个KCL方程必然相互独立。
[√] .4. 如图所示电路中,节点A的方程为: (1/R 1 +1/ R 2 +1/ R 3)U =I S +US /R 3 [×]解:关键点:先等效,后列方程。
图A 的等效电路如图B :节点A的方程应为: 332)11(R U I U R R S S A +=+ .5. 在如图所示电路中, 有 12232/1/1/S S A I U R U R R +=+ [√]解:图A 的等效电路如图B :.6. 如图所示电路,节点方程为:12311()S S G G G U GU I ++-=; 3231S G U G U I -=; 13110GU GU -=. [×]解:图A 的等效电路如图B :S S U G I U G G 1121)(+=+.7. 如图所示电路中,有四个独立回路。
各回路电流的取向如图示, 则可解得各回路 电流为: I1=1A;I2=2A; I3=3A;I4=4A。
[×] 解:;11A I = ;22A I =;33A I = ;7344A I =+=二、选择题(注:在每小题的备选答案中选择适合的答案编号填入该题空白处,多选或不选按选错论).1.对如图所示电路,下列各式求支路电流正确的是 C_。
(A) 12112E E I R R -=+; (B) 222E I R =(C) AB L LUI R =.2. 若网络有b 条支路、n 个节点,其独立KCL方程有_C_个,独立KVL方程有_D__个,共计为_A_个方程。
第三章双极型三极管基本放大电路3-1 选择填空1.晶体管工作在放大区时,具有如下特点______________。
a. 发射结正偏,集电结反偏。
b. 发射结反偏,集电结正偏。
c. 发射结正偏,集电结正偏。
d. 发射结反偏,集电结反偏。
2.晶体管工作在饱和区时,具有如下特点______________。
a. 发射结正偏,集电结反偏。
b. 发射结反偏,集电结正偏。
c. 发射结正偏,集电结正偏。
d. 发射结反偏,集电结反偏。
3.在共射、共集、共基三种基本组态放大电路中,电压放大倍数小于1的是______组态。
a. 共射b. 共集c. 共基d. 不确定4.对于题3-1图所示放大电路中,当用直流电压表测得U CE ≈V CC 时,有可能是因为______,测得U CE ≈0时,有可能是因为________。
题3-1图ccR La.R B 开路b. R C 开路c. R B 短路d. R B 过小5.对于题3-1图所示放大电路中,当V CC =12V ,R C =2k Ω,集电极电流I C 计算值为1mA 。
用直流电压表测时U CE =8V ,这说明______。
a.电路工作正常b. 三极管工作不正常c. 电容C i 短路d. 电容C o 短路 6.对于题3-1图所示放大电路中,若其他电路参数不变,仅当R B 增大时,U CEQ 将______;若仅当R C 减小时,U CEQ 将______;若仅当R L 增大时,U CEQ 将______;若仅更换一个β较小的三极管时,U CEQ 将______;a.增大b. 减小 c . 不变 d. 不确定 7.对于题3-1图所示放大电路中,输入电压u i 为余弦信号,若输入耦合电容C i 短路,则该电路______。
a.正常放大b. 出现饱和失真c. 出现截止失真d. 不确定 8. 对于NPN 组成的基本共射放大电路,若产生饱和失真,则输出电压_______失真;若产生截止失真,则输出电压_______失真。
电路分析基础习题第三章答案(史健芳)第3章3.1 选择题1.必须设立电路参考点后才能求解电路的方法是( C )。
A.支路电流法B.回路电流法C.节点电压法D.2b法2.对于一个具有n个结点、b条支路的电路,他的KVL独立方程数为( B )个。
A.n-1 B.b-n+1 C.b-nD.b-n-13.对于一个具有n个结点、b条支路的电路列写结点电压方程,需要列写( C )。
A.(n-1)个KVL方程B.(b-n+1)个KCL方程C.(n-1)个KCL方程D.(b-n-1)个KCL方程4.对于结点电压法中的无伴电压源,下列叙述中,( A )是错误的。
A.可利用电源等效变换转化为电流源后,再列写结点电压方程B.可选择该无伴电压源的负极性端为参考结点,则该无伴电压源正极性端对应的结点电压为已知,可少列一个方程C.可添加流过该无伴电压源电流这一新的未知量,只需多列一个该无伴电压源电压与结点电压之间关系的辅助方程即可D.无伴受控电压源可先当作独立电压源处理,列写结点电压方程,再添加用结点电压表示控制量的补充方程5.对于回路电流法中的电流源,下列叙述中,( D )是错误的。
A.对于有伴电流源,可利用电源等效变换转化为电压源后,再列写回路电流方程B.对于无伴电流源,可选择合适的回路,使只有一个回路电流流过该无伴电流源,则该回路电流为已知,可少列一个方程C.对于无伴电流源,可添加该无伴电流源两端电压这一新的未知量,只需多列一个无伴电流源电流与回路电流之间关系的辅助方程即可D.电流源两端的电压通常为零6.对于含有受控源的电路,下列叙述中,( D )是错误的。
A.受控源可先当作独立电源处理,列写电路方程B.在结点电压法中,当受控源的控制量不是结点电压时,需要添加用结点电压表示控制量的补充方程C.在回路电流法中,当受控源的控制量不是回路电流时,需要添加用回路电流表示控制量的补充方程D.若采用回路电流法,对列写的方程进行化简,在最终的表达式中互阻始终是相等的,即:R ij=R ji3.2 填空题1.对于具有n个结点b条支路的电路,可列出 n-1 个独立的KCL方程,可列出 b-n+1 个独立的KVL方程。
电路分析知到章节测试答案智慧树2023年最新上海电力大学第一章测试1.图示电路中,节点A和B之间的电压UAB为()V。
参考答案:-162.图示电路中I= 0 时,电位UA=()V。
参考答案:603.通常所说负载增加,是指负载()增加。
参考答案:功率4.图示电路中S断开时I1= 0A,I=2A。
S闭合时I1=( )A,I=( )A。
()参考答案:0;65.图示电路中,当IS=10A 时,电压U为()V,当IS=8A时电压U为()V。
()参考答案:12;166.电路理论分析的对象是电路模型而不是实际电路。
()参考答案:对7.欧姆定律可表示成U=RI,也可表示成U=-RI,这与采用的参考方向有关。
()参考答案:对8.在节点处各支路电流的方向不能均设为流向节点,否则将只有流入节点的电流而无流出节点的电流。
()参考答案:错9.在电压近似不变的供电系统中,负载增加相当于负载电阻减少。
()参考答案:对10.理想电压源的端电压是由它本身确定的,与外电路无关,因此流过它的电流则是一定的,也与外电路无关。
()参考答案:错第二章测试1.图示电路AB间的等效电阻为()。
参考答案:14Ω2.电路如图所示,A、B端的等效电阻R=()。
参考答案:4Ω3.电路如图所示,可化简为()参考答案:3Ω电阻4.如图所示电路中,当电阻R2增加时电流I将()。
参考答案:增加5.图示电路中,就其外特性而言,()。
参考答案:b、c等效6.两只额定电压为110V的电灯泡串联起来总可以接到220V的电压源上使用。
()参考答案:错7.电流相等的两个元件必属串联,电压相等的两个元件必属并联。
()参考答案:错8.一个不含独立源的电阻性线性二端网络(可以含受控源)总可以等效为一个线性电阻。
()参考答案:对9.一个含独立源的电阻性线性二端网络(可以含受控源)总可以等效为一个电压源与一个电阻串联或一个电流源与一个电阻并联。
()参考答案:对10.已知图示电路中A、B两点电位相等,则AB支路中必然电流为零。
第3章3.1 选择题1.必须设立电路参考点后才能求解电路的方法是( C )。
A.支路电流法B.回路电流法C.节点电压法D.2b法2.对于一个具有n个结点、b条支路的电路,他的KVL独立方程数为( B )个。
A.n-1 B.b-n+1 C.b-n D.b-n-13.对于一个具有n个结点、b条支路的电路列写结点电压方程,需要列写( C )。
A.(n-1)个KVL方程B.(b-n+1)个KCL方程C.(n-1)个KCL方程D.(b-n-1)个KCL方程4.对于结点电压法中的无伴电压源,下列叙述中,(A )是错误的。
A.可利用电源等效变换转化为电流源后,再列写结点电压方程B.可选择该无伴电压源的负极性端为参考结点,则该无伴电压源正极性端对应的结点电压为已知,可少列一个方程C.可添加流过该无伴电压源电流这一新的未知量,只需多列一个该无伴电压源电压与结点电压之间关系的辅助方程即可D.无伴受控电压源可先当作独立电压源处理,列写结点电压方程,再添加用结点电压表示控制量的补充方程5.对于回路电流法中的电流源,下列叙述中,( D )是错误的。
A.对于有伴电流源,可利用电源等效变换转化为电压源后,再列写回路电流方程B.对于无伴电流源,可选择合适的回路,使只有一个回路电流流过该无伴电流源,则该回路电流为已知,可少列一个方程C.对于无伴电流源,可添加该无伴电流源两端电压这一新的未知量,只需多列一个无伴电流源电流与回路电流之间关系的辅助方程即可D.电流源两端的电压通常为零6.对于含有受控源的电路,下列叙述中,( D )是错误的。
A.受控源可先当作独立电源处理,列写电路方程B.在结点电压法中,当受控源的控制量不是结点电压时,需要添加用结点电压表示控制量的补充方程C.在回路电流法中,当受控源的控制量不是回路电流时,需要添加用回路电流表示控制量的补充方程D .若采用回路电流法,对列写的方程进行化简,在最终的表达式中互阻始终是相等的, 即:R ij =R ji3.2 填空题1.对于具有n 个结点b 条支路的电路,可列出 n-1 个独立的KCL 方程,可列出 b-n+1 个独立的KVL 方程。
第三章 电路的暂态分析含有电感或电容储能元件的电路,在换路时会出现暂态过程。
本章研究了暂态过程中电压与电流的变化规律。
主要内容:1.暂态过程的基本概念。
2.换路定则:在换路瞬间,电容电流和电感电压为有限值的情况下,电容电压 和电感电流在换路前后的瞬间保持不变。
3.RC 电路的零输入响应、零状态响应和全响应。
4.RL 电路的零输入响应、零状态响应和全响应。
5.一阶线性电路暂态分析的三要素法:一阶线性电路在直流激励下的全响应零、 输入响应和零状态响应都可以用三要素法τte f f f t f -+∞-+∞=)]()0([)()(来求出。
6.暂态过程的应用:对于RC 串联电路,当输入矩形脉冲,若适当的选择参数 和输出,可构成微分电路或积分电路。
[练习与思考]解答3-1-1什么是稳态?什么是暂态?解:当电路的结构、元件参数及激励一定时,电路的工作状态也就一定,且电流和电压为某一稳定的值,此时电路所处的工作状态就称为稳定状态,简称为稳态。
在含有储能元件的电路中,当电路的发生换路时,由于储能元件储的能量的变化,电路将从原来的稳定状态经历一定时间变换到新的稳定状态,这一变换过程称为过渡过程,电路的过渡过程通常是很短的,所以又称暂态过程。
3-1-2什么是暂态过程?产生暂态过程的原因是什么?解:含有储能元件的电路从一个稳态转变到另一个稳态的所需的中间过程称为电路的暂态过程(过渡过程)。
暂态过程产生的内因是电路中含有储能元件,外因是电路发生换路。
3-2-1 初始值和稳态值分别是暂态过程的什么时刻的值?解:初始值是暂态过程的+=0t 时刻的值,稳态值是暂态过程的∞=t 时刻的值。
3-2-2 如何求暂态过程的初始值?解:求暂态过程初始值的步骤为:⑴首先画出换路前-=0t 的等效电路,求出-=0t 时刻电容电压)0(-C u 和电感电流)0(-L i 的值。
对直流电路,如果换路前电路处于稳态,则电容相当于开路,电感相当于短路。
第三章习题3.1 如题3.1图所示梯形电路。
⑴ 已知24u V =,求1u 、i 和S u 。
⑵ 已知27S u V =,求1u 、2u 和i 。
⑶ 已知 1.5i A =,求1u 和2u 。
解:根据线性电路的性质,设:211u k u = 22u k i = 23s u k u =令: 2V u 2= 可推出 6V u 2= 1A i = 27V u s = 因而可得: 3k 1= 0.5k 2= 27/2k 3= ⑴ 当24u V =时,有: 12V 43u 1=⨯= 2A 40.5i =⨯= 56V 4227u s =⨯=⑵ 当27S u V =时,有: 2V27272u k 1u s 32=⨯==1A 20.5u k i 22=⨯== 6V 23u k u 211=⨯== ⑶ 当 1.5i A =时,有: 3V1.50.51i k 1u 22=⨯==9V 33u k u 211=⨯==3.2 如题3.2图所示电路,已知9S u V =,3S i A =,用叠加定理求电路i 。
解:S u 单独作用时,有:1163S u i A ==+Si 单独作用时,有: 23163S i i A=-=-+根据叠加定理可得: 12110i i i =+=-=3.3 如题3.3图所示电路,求电压u 。
如独立电压源的值均增至原值的两倍,独立电流源的值下降为原值的一半,电压u 变为多少?解:根据KVL 列一个回路113132(32)4u i V A A i =Ω⨯++⨯Ω+-⨯Ω两个电压源支路可列方程:1131(3)610i i +=-+由此可得: 13i A =代入上式得: 33132(323)4u V =⨯++⨯+-⨯⨯=若独立电压源的值均增至原值的两倍,独立电流源的值下降为原值的一半,由上式可知:1132(1.5)620i i +=-+ 解得 13i A = 有: 3321.52(1.523)4u V =⨯++⨯+-⨯⨯=-3.4 如题3.4图所示电路,N 为不含独立源的线性电路。
已知:当12S u V =、4S i A =时,0u V=;当12S u V =-、2S i A =-时,1u V =-;求当9S u V =、1S i A=-时的电压u 。
解:根据线性电路的叠加定理,有:12S Su k u k i =+将已知数据代入,有:120124k k =+ 121122k k -=-- 联立解得: 116k = 212k =-因而有: 1162S Su u i =-将9S u V =、1S i A =-代入可得: 119(1)262u V=--=3.5 如题3.5图所示电路,已知当开关S 在位置1时,I=40mA ;当S 在位置2时,I=-60mA ;求当S 在位置3时的I 解:设电源S U 和S I 对电流I 的贡献为I 根据线性电路的叠加定理,有:/I I kU=+其中U 为开关外接电源的作用。
开关S 在位置1时,有 /400I k =+⨯ 此时可将U 视为0开关S 在位置2时,有/604I k -=- 由上可解得: 25k = /40I = 当S 在位置3时,6U V =,则有:/40256190I I k U m A =+=+⨯=3.6 如题3.6图所示电路,若/8x i i =,求电阻x R解:运用置换定理将电路变为如下图所示。
根据叠加定理电压x u 可看成电流源8x i 和x i 共同 作用,即 ///x x xu u u =+/x u 由电流源8x i 单独作用,//xu 电流源x i 单独作用。
根据分流关系,有:/158108552416815101510x x xx x x i i u i i i ⨯⨯=⨯-⨯=-=++//1510[(105)//(55)]61510x x x xu i i i ⨯=-++⨯=-⨯=-+因而有:///862x x x x x xu u ui i i =+=-=故得: 2x x xu R i ==Ω3.7 如题3.7图所示电路,当L R 分别为1Ω、2Ω和5Ω时,求其上电流L I 分别为多少?解:将电流源变换为电压源形式,再根据 叠加原理,有:22//R 2//R 222//R 2//R 10U U U L L L L L2L1L +++=+=整理可得: LLL R 16RU +=当Ω=1R 时,有: 3A R 16R U I LL L L =+==当Ω=2R 时,有: 2A R 16R U I LL L L =+==当Ω=1R 时,有: 1A R 16R U I LLL L =+==3.8 如题 3.8图所示电路,N 为不含独立源的线性电路,已知输出电压/2S u u =;若在输出端接上5Ω电阻,则/3S u u =。
问在输出端接3Ω电阻时,输出电压u 与输入电压S u 的关系如何?解:从输出端进行戴文宁等效,有/s Ls L u R R R u +=当∞→L R 时,/2S u u =,可得 /2u u s /s = 当Ω=5R L 时,/3S u u =,代入上式可求得:Ω=52.R s 因此,当Ω=3R L 时,有s s /s Ls L u 1132u 2.533u R R R u =⨯+=+=3.9 如题3.9图所示电路,当R=12Ω时其上电流为I 。
若要求I 增至原来值的3倍,而电路中除R 外的其他部分均不变,则此时的电阻R 为多少?解:从R 两端进行戴文宁等效,可得等效 电源 s /s u 61u -=,等效电阻Ω=3R 0根据等效电路,当Ω=12R 有 s 0/su 901-RR uI =+=而 0/s R Iu R -=,若3I I →,则有:Ω=-⨯=23u 9013-u 61-R ss解:对图(a)电路进行诺顿等效,求ab 两端的短路电流,如图可知: 21OC I I I += 而 6A 424I 1==A16333//6624I 2=+⨯+=可得: 7A I I I 21OC =+=求电压源短路时,ab 两端的等效电阻: Ω=+=28//)63//6//(4R 0 对图(b)电路进行戴文宁等效,3.11 如题3.11(a)图所示线性有源二端电路N ,其伏安关系如题3.11(b)图所示。
试求它的戴维宁等效电路。
解:根据戴文宁等效电路,端口 电压、电流的约束关系为:OC0u u +R i= 当i 0=时,有 O C u -15V = 当u 0=时,有 O C 0u R =0.5i=Ω3.12 如题3.12图所示线性时不变电阻电路,已知当2cos(10)S i t A =、2L R =Ω时,电流[4(10)2]L i cod t A =+;当4S i A =、4L R =Ω时,电流8L i A =;问当5S i A =、10L R =Ω时,电流L i 为多少?解:从负载两端进行诺顿等效,根据线性 电路的齐次性,等效电流源为:SSC ki i =则有: S L00SC L00L ki R R R i R R R i +=+=t=0时,2A i S =,6A i L =,2L R =Ω代入上式 有 k 2R R 2600+= ①再将4S i A =、4L R =Ω时,8L i A =代入上式 有 k 4R R 4800+= ②联解①式和②式,可得: 6k = Ω=2R 0因而有: S LL i R 226i +=当5S i A =,10L R =Ω时,可得5A510226i L =+=3.13 如题3.13图所示电路,已知8u V =,求电阻R 。
解:从电阻R 两端进行戴文宁等效,其 开路电压为:OC 3(24)//62u =18183+2+43(24)//62412V+⨯+⨯⨯+++ =()//6等效电阻为:0R =4//(26//3)2+=Ω则可得:R RR O Cu u =+解得: R 4=Ω3.14 如题 3.14图所示电路,N 为含有独立源的线性电阻电路。
已知当9L R =Ω时其上获得最大功率为1W ,求N 的戴维宁等效电路。
解:将电路等效为如图所示,根据功率 最大传输定理,有:0L 0010R R R //1010R ==+可解得: 0R 90=Ω 又有: 2Lm a xLuP 4R =u 为L R 两端的开路电压,可解得:L u =6V=± 根据等效电路可知: O C 010u u -10+10R +10=()解得: O C u -30V = 或 OC u -150V =3.15 如题3.15图所示电路,L R 可任意改变,问L R 等于多大时其上获得最大功率,并求出该最大功率。
解:对L R 两端进行戴文宁等效,首先 求开路电压OC U ,有:O C R U =25U +20⨯+而 R R U =2-0.1U 10⨯()解得 R U =10V 可得:OC U =40V 再求等效电阻0R ,如右图所示,有:RU =5IU⨯+ 而此时 R R U =I-0.1U 10⨯() 解得 R U =5I 故得 0U R ==10IΩ根据最大功率传输定理,当L 0R =R =10Ω时, 可获得最大功率,为:22O m a x LU 40P ===40W4R 410C ⨯3.16 如题3.16图所示电路,S U 、S I 均未知,已知当4L R =Ω时电流2L I A =。
若L R 可任意改变,问L R 等于多大时其上获得最大功率,并求出该最大功率。
解:从L R 两端进行戴文宁等效可知 0R 2//2+1=2=Ω 又有 O C L 0Lu I R +R =代入已知数据可得: O C u 12V =根据最大功率传输定理,有当 L 0R R =2=Ω 时可获得最大功率 为 2O C L m ax Lu 12P ==18W4R 42=⨯3.17 如题3.17图所示电路,N 为含独立源的线性电阻电路。
已知当受控电流源系数1β=时,电压20u V =;当1β=-时,电压12.5u V =。
求β为何值时外部电路从N 获得最大功率,并求出该功率。
解:将电路N 进行戴文宁等效,并将受控源 转换为电压源形式,有O C 110u -10I I 20+10+Rβ=得: O C10u I 30+10+Rβ=又有: 11u 10I +(20+10)I β= 得: 1uI 10+30β=可得:OCu u 30+10+R10+30ββ=将1β=,20u V =;1β=-,12.5u V =代入,有O C 0u 2040+R40=和O C 0u 12.520+R20=联立求解可得: O C u 50V = 0R 60=Ω 再求电路N 的等效电阻L R11u-10I I 20+10β=可求得: L 1u R =30+10I β=当L 0R R =60=Ω 时可获得最大功率,则有: L R =30+10=60β解得:=3β 最大功率为: 2O C L m ax Lu 50P ==10.42W4R 460=⨯3.18如题3.18图所示电路,R N 仅由线性电阻组成。