启功硬笔书法小楷字帖(千字文)完整版
- 格式:docx
- 大小:1.04 MB
- 文档页数:10
启功的《千字文》内容如下:天地玄黄,宇宙洪荒。
日月盈昃,辰宿列张。
寒来暑往,秋收冬藏。
闰余成岁,律吕调阳。
云腾致雨,露结为霜。
金生丽水,玉出昆冈。
剑号巨阙,珠称夜光。
果珍李柰,菜重芥姜。
海咸河淡,鳞潜羽翔。
龙师火帝,鸟官人皇。
始制文字,乃服衣裳。
推位让国,有虞陶唐。
吊民伐罪,周发殷汤。
坐朝问道,垂拱平章。
爱育黎首,臣伏戎羌。
遐迩一体,率宾归王。
鸣凤在竹,白驹食场。
化被草木,赖及万方。
盖此身发,四大五常。
恭惟鞠养,岂敢毁伤。
女慕贞洁,男效才良。
知过必改,得能莫忘。
罔谈彼短,靡恃己长。
信使可覆,器欲难量。
墨悲丝染,诗赞羔羊。
景行维贤,克念作圣。
德建名立,形端表正。
空谷传声,虚堂习听。
祸因恶积,福缘善庆。
尺璧非宝,寸阴是竞。
资父事君,曰严与敬。
孝当竭力,忠则尽命。
临深履薄,夙兴温清。
似兰斯馨,如松之盛。
川流不息,渊澄取映。
容止若思,言辞安定。
笃初诚美,慎终宜令。
荣业所基,籍甚无竟。
学优登仕,摄职从政。
存以甘棠,去而益咏。
乐殊贵贱,礼别尊卑。
上和下睦,夫唱妇随。
外受傅训,入奉母仪。
诸姑伯叔,犹子比儿。
孔怀兄弟,同气连枝。
交友投分,切磨箴规。
仁慈隐恻,造次弗离。
节义廉退,颠沛匪亏。
性静情逸,心动神疲。
守真志满,逐物意移。
坚持雅操,好爵自縻。
都邑华夏,东西二京。
背邙面洛,浮渭据泾。
宫殿盘郁,楼观飞惊。
图写禽兽,画彩仙灵。
丙舍旁启,甲帐对楹。
肆筵设席,鼓瑟吹笙。
升阶纳陛,弁转疑星。
右通广内,左达承明。
既集坟典,亦聚群英。
杜稿钟隶,漆书壁经。
府罗将相,路侠槐卿。
户封八县,家给千兵。
高冠陪辇,驱毂振缨。
世禄侈富,车驾肥轻。
策功茂实,勒碑刻铭。
猕猿哀鸣,求其故林后断根绝,传遗杂居直性狭中直下曲故须察情深貌寝意在失托寄渐祸淫辞穷临察谬妄承间伺间微哉累益匪徒体尤节夫龙隐叶爪凤隐鸾鸣销化草木径塞河梁。
Blffi 具10页天地玄黄壬]至宙決訂壬Q 月盈煲辰宿列jfflH亠• •■— ■ ・•■ • - — < — i ・■■ ■• -— ^― — ..d — • -、■厶— • — ▲ --4・ •, ■・•寒来采往秋收夬藏分腾致雨雷秸為需 金些丽水…去码愼內龙华履E 週番巫H 觅制文字乃服东裳 推位让国卜+l 审陳购唐闰余咸岁律呂调阴圧 殊称夜£港羽单Blffi具10页伐罪周找殷汤«2Jlt 英10页赖及万刘凹大乞常亦划滴知过必改罔谨彼短信便可眾墨恙纟染1行傩赏伤亡心-■一-一-・.J.--一毀才莫乙敢效山乙男能恃得糜器欲4ftt 蜡赞羔衽E 克念作衣FFM10JT 徳車名I•划…f…]形端表任]土空鸟附声EJ虚堂习听匸2 祸因惡材王福傑善庆+ 尺壇菲宝H…出朋是ffiEW[竭力H…虑剧脊4ffi 鬧深圏斛+“t巒岡清[+…! 似卜基斷皋卜彳…I*屜•吐厲|“+彳川流不隐MT洲澄卑映三家正]并思卜讨•言辞妾赶耳笃初诚美|慎铃宜4^ | 傑此所基r纭硏学优>餐仕撮耶从闵第5见知顶丫" ■・r ■■「■■・・“■■■■~)±1±宫殿盘祁楼现屯惊…:…图写侖尊画彩仲灵右通鬥由H…期迭困明□ 既集坎典;亦衆群美)社稿钟隶漆书曙径卉罗林湘跄侠槐卿户孑阿县1洽千兵离疑陪華・• ••傀•• • •1马区毂赧纓►• • • •.• • • • 4世禄侈當丰驾肥轻策囲茂赶E勒稗刻铭 --- :•・・・£盘馔俨刑壬佐吋阿衡r ・■・ 丫 ▼微旦孰管Ji樞公匡4-| . 济弱扶倾徐回汉惠:说> 感武丁 俊义無•刎F 多士实宁假途灭號 何遂旳法 起翦颇牧宣感沙謨L ■ X A ■ ■ ■X ■ ■ ■ ^ ■ a九州希迹 去宗泰負赵魏困横 裁土 盟“ #韦并徵<泰^^^Utli-IATmt^^^i-洽翩悴M 亠…菲建世寻a Mg甘議芮濤丽} I I ■■ ■■ ( ] 7 iI I ]卜 I ■ I " • ................................................. ]—• I {潮品尹莺 籍瀝潮呻•u1_; __屈•>'辭^盘睾澆>^-^i i ^^^^l B ^^^i ^^^i i -^l l i H H i i l ^i i a i i H B H i i ^r H H a B i l i i l ^l v B l i i i i ^a H i l i i ^v i ^i B i ii i B i i B ^i i i B i i H B i l ^-l i l i i B B H i i ^-i -i m ^H i i i a l -^^i i i i H I l h ^^l i i i i B ^a i i H H H I ^i i ^a -l a B B i H ^i ^^H^m f l w ^-I U K V ^L君护邈<EESke-曲 洞一+泳滋論豪居闲处欣奏剽畫机页.英10页沉默寂装ES饱饥冷「饥厌稽糠:亲战故io3±2ffilM3 妾御债如侍巾惟房「f資牒算要圧祯费详EE 骸垢憩浴圧执热虑|劇…卜•] 册舅濮特骇跣超鑿诛折贼盗EE摘获扳还g布射僚丸嵇来阮箫怅笔伦祗:钧巧任钓辭纷利俗EEfffi皆住妙AioM 毛施淑婪工筆噺笑年矢浚傕曦晖朗囉磁巩悬斡唤魄坏跪措薪修祜永簽吉劭矩步引领俯仰廊庙束爭矜注徘徊瞻眺孤陋事闻懑蒙等材谓语助升焉哉子也。
天地玄黄,宇宙洪荒。
日月盈昃,辰宿列张。
寒来暑往,秋收冬藏。
闰余成岁,律吕调阳。
云腾致雨,露结为霜。
金生丽水,玉出昆冈。
剑号巨阙,珠称夜光。
果珍李柰,菜重芥姜。
海咸河淡,鳞潜羽翔。
龙师火帝,鸟官人皇。
始制文字,乃服衣裳。
推位让国,有虞陶唐。
吊民伐罪,周发殷汤。
坐朝问道,垂拱平章。
爱育黎首,臣伏戎羌。
遐迩一体,率宾归王。
鸣凤在竹,白驹食场。
化被草木,赖及万方。
盖此身发,四大五常。
恭惟鞠养,岂敢毁伤。
女慕贞洁,男效才良。
知过必改,得能莫忘。
罔谈彼短,靡恃己长。
信使可覆,器欲难量。
墨悲丝染,诗赞羔羊。
景行维贤,克念作圣。
德建名立,形端表正。
空谷传声,虚堂习听。
祸因恶积,福缘善庆。
尺璧非宝,寸阴是竞。
资父事君,曰严与敬。
孝当竭力,忠则尽命。
临深履薄,夙兴温凊。
似兰斯馨,如松之盛。
川流不息,渊澄取映。
容止若思,言辞安定。
笃初诚美,慎终宜令。
荣业所基,籍甚无竟。
学优登仕,摄职从政。
存以甘棠,去而益咏。
乐殊贵贱,礼别尊卑。
上和下睦,夫唱妇随。
外受傅训,入奉母仪。
诸姑伯叔,犹子比儿。
孔怀兄弟,同气连枝。
交友投分,切磨箴规。
仁慈隐恻,造次弗离。
节义廉退,颠沛匪亏。
性静情逸,心动神疲。
守真志满,逐物意移。
坚持雅操,好爵自縻。
都邑华夏,东西二京。
背邙面洛,浮渭据泾。
宫殿盘郁,楼观飞惊。
图写禽兽,画彩仙灵。
丙舍旁启,甲帐对楹。
肆筵设席,鼓瑟吹笙。
升阶纳陛,弁转疑星。
右通广内,左达承明。
既集坟典,亦聚群英。
杜稿钟隶,漆书壁经。
府罗将相,路侠槐卿。
户封八县,家给千兵。
高冠陪辇,驱毂振缨。
世禄侈富,车驾肥轻。
策功茂实,勒碑刻铭。
盘溪伊尹,佐时阿衡。
奄宅曲阜,微旦孰营。
桓公匡合,济弱扶倾。
绮回汉惠,说感武丁。
俊义密勿,多士实宁。
晋楚更霸,赵魏困横。
假途灭虢,践土会盟。
何遵约法,韩弊烦刑。
起翦颇牧,用军最精。
宣威沙漠,驰誉丹青。
九州禹迹,百郡秦并。
岳宗泰岱,禅主云亭。
雁门紫塞,鸡田赤诚。
昆池碣石,钜野洞庭。
旷远绵邈,岩岫杳冥。
治本于农,务兹稼穑。
天地玄黄宇宙洪荒日月盈昃辰宿列张寒来暑往秋收冬藏闰馀成岁律吕调阳云腾致雨露结为霜金生丽水玉出昆冈剑号巨阙珠称夜光果珍李柰菜重芥姜海咸河淡鳞潜羽翔龙师火帝鸟官人皇始制文字乃服衣裳推位让国有虞陶唐吊民伐罪周发殷汤坐朝问道垂拱平章爱育黎首臣伏戎羌遐迩一体率宾归王鸣凤在竹白驹食场化被草木赖及万方盖此身发四大五常恭惟鞠养岂敢毁伤女慕贞洁男效才良知过必改得能莫忘罔谈彼短靡恃己长信使可复器欲难量墨悲丝染诗赞羔羊景行维贤克念作圣德建名立形端表正空谷传声虚堂习听祸因恶积福缘善庆尺璧非宝寸阴是竞资父事君曰严与敬孝当竭力忠则尽命临深履薄夙兴温清似兰斯馨如松之盛川流不息渊澄取映容止若思言辞安定笃初诚美慎终宜令荣业所基籍甚无竟学优登仕摄职从政存以甘棠去而益咏乐殊贵贱礼别尊卑上和下睦夫唱妇随外受傅训入奉母仪诸姑伯叔犹子比儿孔怀兄弟同气连枝切磨箴规仁慈隐恻造次弗离节义廉退颠沛匪亏性静情逸心动神疲守真志满逐物意移坚持雅操好爵自縻都邑华夏东西二京背邙面洛浮渭据泾宫殿盘郁楼观飞惊图写禽兽画彩仙灵丙舍傍启甲帐对楹肆筵设席鼓瑟吹笙升阶纳陛弁转疑星右通广内左达承明既集坟典亦聚群英杜稿钟隶漆书壁经府罗将相路侠槐卿户封八县家给千兵高冠陪辇驱毂振缨世禄侈富车驾肥轻策功茂实勒碑刻铭溪伊尹佐时阿衡奄宅曲阜微旦孰营桓公匡合济弱扶倾绮回汉惠说感武丁俊密勿多士宁晋楚更霸赵魏困横假途灭虢践土会盟何遵约法韩弊烦刑起翦颇牧用军最精宣威沙漠驰誉丹青九州禹迹百郡秦并岳宗泰岱禅主云亭雁门紫塞鸡田赤城昆池碣石巨野洞庭旷远绵邈岩岫杳冥治本于农务资稼穑载南亩我艺黍稷税熟贡新劝赏黜陟孟轲敦素史鱼秉直庶几中庸劳谦谨敕聆音察理鉴貌辨色贻厥嘉猷勉其祗植省躬讥诫宠增抗极殆辱近耻林皋幸即两疏见机解组谁逼索居闲处沉默寂寥求古寻论散虑逍遥欣奏累遣戚谢欢招渠荷的历园莽抽条枇杷晚翠梧桐蚤凋陈根委翳落叶飘摇游独运凌摩绛霄耽读玩市寓目囊箱易攸畏属耳垣墙具膳餐饭适口充肠饱饫烹宰饥厌糟糠亲戚故旧老少异粮妾御绩纺侍巾帷房纨扇圆洁银烛炜煌昼眠夕寐蓝笋象床弦歌酒宴接杯举觞矫手顿足悦豫且康嫡后嗣续祭祀蒸尝稽颡再拜悚惧恐惶笺牒简要顾答审详骸垢想浴执热愿凉驴骡犊特骇跃超骧诛斩贼盗捕获叛亡布射僚丸嵇琴阮啸恬笔伦纸钧巧任钓释纷利俗并皆佳妙毛施淑姿工颦妍笑年矢每催曦晖朗曜璇玑悬斡晦魄环照指薪修祜永绥吉劭矩步引领俯仰廊庙束带矜庄徘徊瞻眺孤陋寡闻愚蒙等诮谓语助者焉哉乎也。
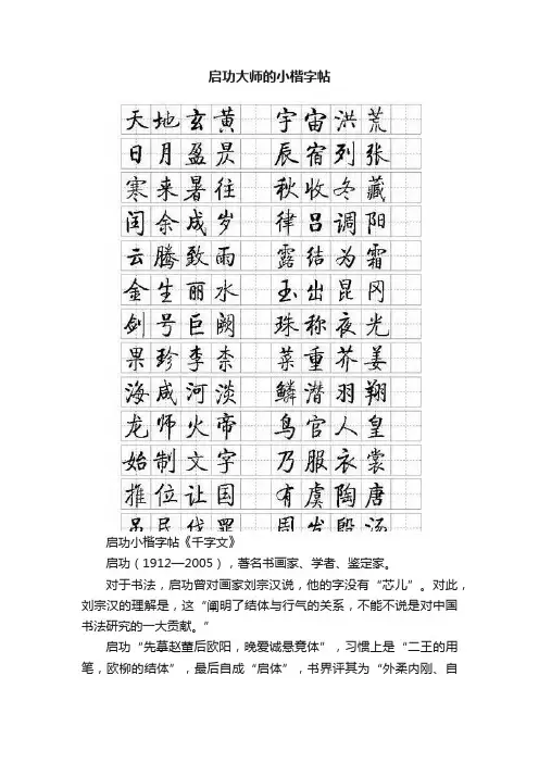
启功大师的小楷字帖
启功小楷字帖《千字文》
启功(1912—2005),著名书画家、学者、鉴定家。
对于书法,启功曾对画家刘宗汉说,他的字没有“芯儿”。
对此,刘宗汉的理解是,这“阐明了结体与行气的关系,不能不说是对中国书法研究的一大贡献。
”
启功“先摹赵董后欧阳,晚爱诚悬竟体”,习惯上是“二王的用笔,欧柳的结体”,最后自成“启体”,书界评其为“外柔内刚、自
然洒脱、清隽儒雅而妩媚华美”。
启功小楷字帖《千字文》
启功小楷字帖《千字文》
启功小楷字帖《千字文》
启功小楷字帖《千字文》
启功小楷字帖《千字文》
启功小楷字帖《千字文》
启功小楷字帖《千字文》
启功小楷字帖《千字文》
启功小楷字帖《千字文》。
启功《千字⽂》⾼清版启功(1912.7.26—2005.6.30),中国书法家,书画鉴定家。
字元伯,⼀作元⽩。
满族。
姓爱新觉罗,雍正帝九世孙。
长于古典⽂学、古⽂字学的研究,曾在辅仁⼤学任教。
1949年后任北京师范⼤学教授、故宫博物院顾问、国家⽂物鉴定委员会主任委员、中国书法家协会主席、中国佛教协会常务理事等职。
著《古代字体论稿》、《诗⽂声律论稿》、《启功丛稿》、《论书绝句百⾸》等,出版《启功书画留影集》以及多种书法选集。
因病于2005年6⽉30⽇2时25分逝世,享年93岁。
【1】《千字⽂》敕员外散骑侍郎周兴嗣次韵。
天地⽞黄,宇宙洪荒。
⽇⽉盈昃,⾠宿【2】列张。
寒来暑往,秋收冬藏。
闰余成岁,律吕调阳。
云腾致⾬,露结为霜。
⾦⽣【3】丽⽔,⽟出崐岗。
剑号巨阙,珠称夜光。
果珍李柰,菜重芥姜。
海咸河淡,鳞潜【4】⽻翔。
龙师⽕帝,鸟官⼈皇。
始制⽂字,乃服⾐裳。
推位让国,有虞陶唐。
吊民【5】伐罪,周发殷汤。
坐朝问道,垂拱平章。
爱育黎⾸,⾂伏戎羌。
遐迩⼀体,率宾【6】归王。
鸣凤在树,⽩驹⾷场。
化被草⽊,赖及万⽅。
盖此⾝发,四⼤五常。
恭惟【7】鞠养,岂敢毁伤。
⼥慕贞洁,男效才良。
知过必改,得能莫忘。
罔谈彼短,靡恃【8】⼰长。
信使可覆,器欲难量。
墨悲丝染,诗赞羔⽺。
景⾏维贤,克念作圣。
德建【9】名⽴,形端表正。
空⾕传声,虚堂习听。
祸因恶积,福缘善庆。
尺璧⾮宝,⼨阴【10】是竞。
资⽗事君,⽈严与敬。
孝当竭⼒,忠则尽命。
临深履薄,夙兴温清。
似兰【11】斯馨,如松之盛。
川流不息,渊澄取映。
容⽌若思,⾔辞安定。
笃初诚美,慎终【12】宜令。
荣业所基,籍甚⽆竟。
学优登仕,摄职从政。
存以⽢棠,去⽽益咏。
乐殊【13】贵贱,礼别尊卑。
上和下睦,夫唱妇随。
外受傅训,⼊奉母仪。
诸姑伯叔,犹⼦【14】⽐⼉。
孔怀兄弟,同⽓连枝。
交友投分,切磨箴规。
仁慈隐恻,造次弗离。
节义【15】廉退,颠沛匪亏。
性静情逸,⼼动神疲。
守真志满,逐物意移。
坚持雅操,好爵【16】⾃縻。
今人书法丨启功楷书《千字文》,高清书艺咀华shuyijuhua-W秉承“分享书法知识,交流学书经验,体悟书写乐趣,传递艺术能量”理念,开设【古贴大观】、【书家精论】、【书苑杂言】等40余专栏,倾情服务,等您订阅!书艺咀华Q 群:48010723启功先生兼擅楷、行、草诸体,尤工于行、楷。
主旨有晋唐书风,逸兴有元明神采。
在熔铸前贤,取法众美的基础上,自成一家,世称“启体”,被称为中国传统文人书法在现代的最后代表。
启功书风结体多取纵势,单字如玉树临风,通篇似秀林浴露。
惯于藏锋而风神内敛,少用露锋以避张扬;中锋平运而端严挺拔,转圜圆笔而委婉浏丽。
一笔之用而含刚柔兼济之妙,一画之下而行节律得宜之畅。
精谨中有灵动之姿,端严中有和合之气。
即便枯笔飞白也是润而不燥。
笔墨有温良恭端之态,诚为帖学君子风度。
到上世纪五十年代初,启功的字虽然早就有了自己的体式,仍不懈临帖,希望再加功夫。
启功的字,是在临习欧阳询、赵孟頫、柳公权、董其昌、智永等诸家基础上,“经过不断地融会贯通和独自创造”,“最终形成了自己的一家之风”(启功自述)。
到上世纪五十年代初,启功的字虽然早就有了自己的体式,仍不懈临帖,希望再加功夫。
启功的字,是在临习欧阳询、赵孟頫、柳公权、董其昌、智永等诸家基础上,“经过不断地融会贯通和独自创造”,“最终形成了自己的一家之风”(启功自述)。
因为出身世家,又一直浸淫在大学者、艺术家的圈子里,启功习字的一个特点是见识高超。
启功早期写字,就追求方严结体,瘦硬精神。
启功的字,在近代文人、书家里,是少有的结字精严,用笔讲究。
今人喜欢说启功是帖学代表,其实启功的字有三大来源:法帖、名碑和唐人写经。
不过,这些向传统经验里面去寻找的,都是“师笔不师刀”。
启功字的风貌属“清妍”一路。
历史上有翰墨癖嗜的人,最后大概都会走上这条路。
最著名的当为宋徽宗,有“瘦金书”传世。
吴说的“游丝书”癖嗜更过,其印刷品令人以为是钢笔书就。
这些书家标榜“髙蹈”,多用笔锋,号称“锋杪书”。
启功《千字文》高清版启功(1912.7.26—2005.6.30),中国书法家,书画鉴定家。
字元伯,一作元白。
满族。
姓爱新觉罗,雍正帝九世孙。
长于古典文学、古文字学的研究,曾在辅仁大学任教。
1949年后任北京师范大学教授、故宫博物院顾问、国家文物鉴定委员会主任委员、中国书法家协会主席、中国佛教协会常务理事等职。
著《古代字体论稿》、《诗文声律论稿》、《启功丛稿》、《论书绝句百首》等,出版《启功书画留影集》以及多种书法选集。
因病于2005年6月30日2时25分逝世,享年93岁。
【1】《千字文》敕员外散骑侍郎周兴嗣次韵。
天地玄黄,宇宙洪荒。
日月盈昃,辰宿【2】列张。
寒来暑往,秋收冬藏。
闰余成岁,律吕调阳。
云腾致雨,露结为霜。
金生【3】丽水,玉出崐岗。
剑号巨阙,珠称夜光。
果珍李柰,菜重芥姜。
海咸河淡,鳞潜【4】羽翔。
龙师火帝,鸟官人皇。
始制文字,乃服衣裳。
推位让国,有虞陶唐。
吊民【5】伐罪,周发殷汤。
坐朝问道,垂拱平章。
爱育黎首,臣伏戎羌。
遐迩一体,率宾【6】归王。
鸣凤在树,白驹食场。
化被草木,赖及万方。
盖此身发,四大五常。
恭惟【7】鞠养,岂敢毁伤。
女慕贞洁,男效才良。
知过必改,得能莫忘。
罔谈彼短,靡恃【8】己长。
信使可覆,器欲难量。
墨悲丝染,诗赞羔羊。
景行维贤,克念作圣。
德建【9】名立,形端表正。
空谷传声,虚堂习听。
祸因恶积,福缘善庆。
尺璧非宝,寸阴【10】是竞。
资父事君,曰严与敬。
孝当竭力,忠则尽命。
临深履薄,夙兴温清。
似兰【11】斯馨,如松之盛。
川流不息,渊澄取映。
容止若思,言辞安定。
笃初诚美,慎终【12】宜令。
荣业所基,籍甚无竟。
学优登仕,摄职从政。
存以甘棠,去而益咏。
乐殊【13】贵贱,礼别尊卑。
上和下睦,夫唱妇随。
外受傅训,入奉母仪。
诸姑伯叔,犹子【14】比儿。
孔怀兄弟,同气连枝。
交友投分,切磨箴规。
仁慈隐恻,造次弗离。
节义【15】廉退,颠沛匪亏。
性静情逸,心动神疲。
守真志满,逐物意移。
坚持雅操,好爵【16】自縻。