(完整word版)数学分析—极限练习题及详细答案
- 格式:doc
- 大小:437.87 KB
- 文档页数:12
第三章 函数极限与连续函数习 题 3.1 函数极限1. 按函数极限的定义证明:⑴ lim x →2x 3=8; ⑵ lim x →4x = 2; ⑶ limx →3x x -+11= 12;⑷ limx →∞x x +-121 = 12; ⑸ lim ln x x →+0=-∞;⑹ lim x →+∞e -x =0; ⑺ lim x →+2242xx -=+∞; ⑻ lim x →-∞x x 21+=-∞。
证 (1)先取12<-x ,则31<<x ,219)2)(42(823-<-++=-x x x x x ,于是对任意的0>ε,取019,1min >⎭⎬⎫⎩⎨⎧=εδ,当δ<-<20x 时,成立ε<-<-21983x x ,所以lim x →2x 3=8。
(2)首先函数x 的定义域为0≥x ,且421242-≤+-=-x x x x ,于是对任意的0>ε,取{}02,4m i n >=εδ,当δ<-<40x 时,成立ε<-≤-4212x x ,所以lim x →4x = 2。
(3)先取13<-x ,则42<<x ,)1(232111+-=-+-x x x x 361-<x ,于是对任意的0>ε,取{}06,1m i n >=εδ,当δ<-<30x 时,成立2111-+-x x ε<-<361x ,所以 limx →3x x -+11=12。
(4)先取1>x ,则x x ≥-12,21121--+x x 1223-=x x23≤,于是对任意的0>ε,取023,1max >⎭⎬⎫⎩⎨⎧=εX ,当X x >时,成立21121--+x x ε<≤x 23,所以limx →∞x x +-121=12。
(5)对任意的0>G ,取0>=-G e δ,当δ<<x 0时,成立G x -<ln ,所以lim ln x x →+0=-∞。
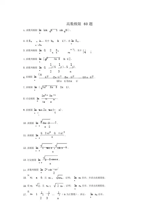
高数极限 60 题1. 求数列极限 lim (sin n1 sin n ) 。
n2. 设 S nn k ,其中 b k (k 1)! ,求 lim S n 。
k1 b k n3. 求数列极限 lim (123 2n 1) ,其中q。
nqqnq14.求数列极限 lim [ n 24n 5 (n 1)] 。
n5. 求数列极限 lim (112 )(112 )...(112)。
n 23n6. 求极限 lim( x1)2(2x 1) 2 (3x 1)2 ... (10 x 1)2 。
x(10 x 1)(11x 1)7. 求极限 lim (4x 28x 5 2x 1) 。
x2e 3 x 3e2 x8. 讨论极限 lim3xx4e e2x。
9. 求极限 lim tan 2xtan( x) 。
x4410. 求极限 lim33x 2 2 。
x2x 211. 求极限 lim (1 2 x)5 (1 4 x) 3x。
x 012. 求极限 lim1 tan x 3 sin x 1 。
xx13. 讨论极限 lim2 2 cos x 。
x 0x14. 求数列极限 lim 2nsin2n 1。
n15.设x 1a 0,且 x n 1ax n ,证明: lim x n 存在,并求出此极限值。
n16. 设 x 12 ,且 x n 12 x n ,证明: lim x n 存在,并求出此极限值。
n17.设 x n 1 1 1 ... 1 ( n 为正整数),求证: lim x n 存在。
2 222 3 n n18. 求数列极限 lim2n。
nn!19. 求极限lim ln( 2 3e 2 x )3 x。
xln( 3 2e )20. 求极限 lim xx xx。
xx21. 无限循环小数 0.9 的值 (A) 不确定 (B) 小于 1 (C)等于 1 (D) 无限接近 1222. 求数列极限 lim (sec )n 。
nn23. 应用等价无穷小性质,求极限lim arctan(1x 01124.(1 4x)2(1 6x) 3 求极限 limx。
极限练习题及答案一. 选择题1.设F是连续函数f的一个原函数,”M?N”表示“M 的充分必要条件是N”,则必有.F是偶函数?f)是奇函数.F是奇函数?f是偶函数. F是周期函数?f是周期函数. F是单调函数?f是单调函数.设函数f?1x,则ex?1?1x?0,x x?0,x?1都是f?1都是f的第一类间断点. 的第二类间断点x?0是f的第一类间断点,x?1是f的第二类间断点. x?0是f的第二类间断点,x3.设f?x??x?1x?1是f的第一类间断点.1,则f[,x?0、,1f]?1A) 1?xB) 1?x4.下列各式正确的是 C)XD) x1+ )?exx11lim??elimC) D)?exxA) limx?0?1x?1B)limx?01x?x?xx??x??5.已知lim?9,则a?。
A.1;B.?;C.ln3;D.2ln3。
.极限:lim x??2A.1;B.?;C.e7.极限:lim; D.e。
2x??x3?2= x3A.1;B.?;C.0;D.2.8.极限:limx?0x?1?1x=A.0;B.?;C 1; D.2.29. 极限:lim=x???A.0;B.?;C.2;D. 1.2sinx10.极限: limtanx?=x?0sin2xA.0;B.?;C.二. 填空题 11.极限limxsinx??116; D.16.2xx?12= ; 12. limarctanx= ;x?0x13. 若y?f在点x0连续,则lim[f?f]= ; x?x?14. limsin5xxx?0?;15. limn?;16. 若函数y?x?1x?3x?222,则它的间断点是17. 绝对值函数?x,x?0;?f?x??0,x?0;??x,x?0.?其定义域是,值域是。
?1,x?0;?18.符号函数 f?sgnx??0,x?0;其定义域是,值域是三个点的集合。
??1,x?0.?19无穷小量是。
20. 函数y?f在点x0连续,要求函数y?f满足的三个条件是。
一、选择题1.若0()lim1sin x x xφ→=,则当x 0→时,函数(x)φ与( )是等价无穷小。
A.sin ||xB.ln(1)x -C.11.【答案】D 。
2.设f(x)在x=0处存在3阶导数,且0()lim 1tan sin x f x x x→=-则'''f (0)=( )A.5B.3C.1D.0 2.【答案】B.解析由洛必达法则可得30002()'()''()limlimlim1tan sin 2cos sin sin cos cos x x x f x f x f x x x x x xx x -→→→==-+-42200''()''()lim lim 16cos sin 2cos cos 21x x f x f x x x x x --→→===-++++可得'''f (0)3= 3.当x 0→时,与1x 133-+为同阶无穷小的是( ) A.3xB.34x C.32xD.x3.【答案】A.解析.12233312332000311(1)1133lim lim (1)3313x x x x x x x ---→→→-+⋅==+=选A 。
4.函数2sin f ()lim 1(2)nn xx x π→∞=+的间断点有( )个A.4B.3C.2D.14.【答案】C.解析.当0.5x >时,分母→∞时()0f x =,故20.5sin 12lim1(2(0.5))2n x π→--=-+⨯-, 20.5sin12lim1(20.5)2n x π→=+⨯,故,有两个跳跃间断点,选C 。
5.已知()bx xf x a e=-在(-∞,+∞)内连续,且lim ()0x f x →∞=,则常数a ,b 应满足的充要条件是( )A.a>0,b>0B.a ≤0,b>0C.a ≤0,b<0D.a>0,b<05.【答案】B 。
《极限部分练习题》参考答案1. 42lim416--→x x x解1 ()()()()()()84244x 48422lim 42lim4424344243416416++++-++++-=--→→x x x x x x x x x x x x x()()()()84216x 416lim4424316+++-+-=→x x x x x x 418888448424lim4424316=++++=++++=→x x x x x .解2 ()()4122121lim 222lim 42lim41644416416=+=+=+--=--→→→x x x x x x x x x . 【注】解1中是分子、分母同乘分子24-x 的共轭根式84244243+++x x x ,解2中是分子、分母同乘分母4-x 的共轭根式4+x ,显然解2比解1简单.2. 求a 的值,使得411lim =⎪⎭⎫ ⎝⎛-∞→xx x a解 a aa xx aa xx xx e x a x a x a ---∞→--∞→∞→=⎥⎥⎦⎤⎢⎢⎣⎡⎪⎭⎫ ⎝⎛-+=⎥⎥⎦⎤⎢⎢⎣⎡⎪⎭⎫⎝⎛-+=⎪⎭⎫ ⎝⎛-1lim 1lim 1lim Θ,41=∴-a e ,即4=ae ,取对数得2ln 24ln ==a . 3. ⎪⎭⎫ ⎝⎛+∞→x x x x x sin 11sinlim 解 101sin 1lim 11sinlim sin 1lim 1sin lim sin 11sin lim =+=⎪⎭⎫ ⎝⎛⋅+=+=⎪⎭⎫ ⎝⎛+∞→∞→∞→∞→∞→x x xx x x x x x x x x x x x x x .【注】解题中求极限xx x 1sin lim ∞→时应用了第一个重要极限,而求极限x x x sin 1lim ∞→时则应用了无穷小量的性质(无穷小量与有界变量的乘积仍为无穷小量).4. 当∞→n 时,n 1sin2与k n1等价,则=k ? 解 Θ当∞→n 时k n n 1~1sin 2,111sin lim2=∴∞→k n n n ,而111sin lim 11sin lim 11sin lim =⎪⎪⎪⎪⎭⎫ ⎝⎛=⎪⎪⎪⎪⎭⎫ ⎝⎛=∞→∞→∞→kn kn k k n n n n n n n ,2=∴k .5. xx x x ⎪⎭⎫ ⎝⎛-+∞→1212lim 解1 e e e x x x x x x x x x x xx x xx x x x x ==⎥⎥⎦⎤⎢⎢⎣⎡⎪⎭⎫ ⎝⎛-+⎥⎥⎦⎤⎢⎢⎣⎡⎪⎭⎫ ⎝⎛+=⎥⎥⎦⎤⎢⎢⎣⎡⎪⎭⎫ ⎝⎛-+⎥⎥⎦⎤⎢⎢⎣⎡⎪⎭⎫ ⎝⎛+=⎪⎪⎪⎪⎭⎫ ⎝⎛-+=⎪⎭⎫ ⎝⎛-+---∞→∞→--∞→∞→∞→2121212212212212211lim 211lim 211211lim 211211lim 1212lim . 解2 ⎪⎭⎪⎬⎫⎪⎩⎪⎨⎧⎪⎭⎫ ⎝⎛-+⋅⎥⎥⎦⎤⎢⎢⎣⎡⎪⎭⎫ ⎝⎛-+=⎪⎭⎫ ⎝⎛-+=⎪⎭⎫ ⎝⎛-+-∞→∞→∞→2121212211221lim 1221lim 1212lim x x x x x x x xx xxe e x x x x x =⋅=⎥⎦⎤⎢⎣⎡⎪⎭⎫ ⎝⎛-+⋅⎪⎭⎫ ⎝⎛-+=∞→-∞→11221lim 1221lim 21212. 6. ⎪⎭⎫⎝⎛-⎪⎭⎫ ⎝⎛-⎪⎭⎫ ⎝⎛-∞→22211311211lim n n Λ 解 ⎪⎭⎫ ⎝⎛-⎪⎭⎫⎝⎛-⎪⎭⎫ ⎝⎛-∞→22211311211lim n n Λ⎪⎭⎫⎝⎛+⎪⎭⎫ ⎝⎛-⎪⎭⎫⎝⎛+⎪⎭⎫ ⎝⎛-⎪⎭⎫ ⎝⎛+⎪⎭⎫ ⎝⎛-=∞→n n n 1111311311211211lim Λ 21121lim 1134322321lim =⎪⎭⎫ ⎝⎛+⋅=⎪⎭⎫ ⎝⎛+⋅-⋅⋅⋅=∞→∞→n n n n n n n n Λ. 7. 设()3222+-=+x x x f ,则()[]=2f f ?解 在()3222+-=+x x x f 中令0=x ,得()32=f ,从而()[]()32f f f =;再在()3222+-=+x x x f 中令1=x ,得()23=f ,即()[]22=f f .8. xxx 3sin 11lim0--→解1 ()()()()xx xx x x x x x x x x -+=-+-+--=--→→→113sin lim113sin 1111lim 3sin 11lim000 ()()616111131lim 3sin 3lim 11313sin 3lim 000=⨯=-+⋅=⎥⎦⎤⎢⎣⎡-+⋅=→→→x x x x x x x x x . 解2 注意,当0→x 时,x x 3~3sin ,且()2~1111xx x ---+=--,所以当0→x 时,()2~1111x x x ---=--,于是由无穷小量替换法得613lim 3sin 11lim 00==--→→x 2xx x x x .9. xx x x ⎪⎭⎫⎝⎛-+∞→12lim 解1 31212212211lim 21lim 1121lim 1121lim 12lim e e e x x x x x x x x x x xx x x x xx x x ==⎥⎥⎦⎤⎢⎢⎣⎡⎪⎭⎫ ⎝⎛-+⎥⎥⎦⎤⎢⎢⎣⎡⎪⎭⎫ ⎝⎛+=⎥⎥⎦⎤⎢⎢⎣⎡⎪⎭⎫ ⎝⎛-+⎥⎥⎦⎤⎢⎢⎣⎡⎪⎭⎫ ⎝⎛+=⎪⎪⎪⎪⎭⎫ ⎝⎛-+=⎪⎭⎫ ⎝⎛-+---∞→∞→--∞→∞→∞→. 解2 ⎪⎭⎪⎬⎫⎪⎩⎪⎨⎧⎪⎭⎫ ⎝⎛-+⋅⎥⎥⎦⎤⎢⎢⎣⎡⎪⎭⎫ ⎝⎛-+=⎪⎭⎫ ⎝⎛-+=⎪⎭⎫ ⎝⎛-+-∞→∞→∞→131131lim 131lim 12lim 331x x x x x x x xx xx333311131lim 131lim e e x x x x x =⋅=⎪⎭⎫ ⎝⎛-+⋅⎥⎥⎦⎤⎢⎢⎣⎡⎪⎭⎫ ⎝⎛-+=∞→-∞→. 10. ⎪⎭⎫ ⎝⎛+→x x x x x sin 11sinlim 0解 110sin lim 1sin lim sin 11sinlim 000=+=+⎪⎭⎫ ⎝⎛⋅=⎪⎭⎫ ⎝⎛+→→→x x x x x x x x x x x .【注】解题中求极限⎪⎭⎫⎝⎛⋅→x x x 1sin lim 0时应用了无穷小量的性质(无穷小量与有界变量的乘积仍为无穷小量).11. 623lim 2232--++-→x x xx x x解 ()()()()()5231lim 2321lim 623lim 222232-=-+=+-++=--++-→-→-→x x x x x x x x x x x x x x x x .12. hx h x h 330)(lim -+→解1 ()()2220322033333lim 33lim limx h xh x hh xh h x hx h x h h h =++=++=-+→→→. 解2 ()()()[]()()[]2220220333lim lim limx x x h x h x hx x h x h x h hx h x h h h =++++=++++=-+→→→.【注】解1中分子是直接将二项式()3h x +展开再减3x ,而解2中分子是直接对()33xh x -+应用立方差公式. 13. 321lim3--+→x x x解 ()()()()()()41211lim 2133lim 2132121lim 321lim3333=++=++--=++-++-+=--+→→→→x x x x x x x x x x x x x x . 14. ()x x x x -+++∞→)2)(1(lim解 ()()()[]()()[]()()xx xx x x x x x x x x x x ++++++-++=-+++∞→+∞→212121lim )2)(1(lim()()()()23123123lim2323lim 2121lim222=++++=++++=+++-++=+∞→+∞→+∞→x x x xx x x x x x x x x x x x . 【注】仿上步骤可知,()()()[]()()[]()()xx xx x x x x x x x x x x ++++++-++=-++-∞→-∞→212121lim )2)(1(lim()()()()+∞=+++-+=++++=+++-++=-∞→-∞→-∞→123123lim2323lim 2121lim222x x xxx x x x x x x x x x x x ,即极限()x x x x -++-∞→)2)(1(lim不存在,所以()x x x x -++∞→)2)(1(lim 也不存在,故将原题改为()x x x x -+++∞→)2)(1(lim .15. xx xx x e e e e 2223lim ++-+∞→解1 21231lim 23lim 322=++=++--+∞→-+∞→x x x x x x x x e e e e e e .解2 令xe u =,则当+∞→x 时,+∞→u ,故由无穷小量分出法,有212311lim 231lim23lim32222=++=++=+++∞→+∞→-+∞→uu u u u u e e e e u u x x xx x .16. xxx x 3sin sin 2tan 2lim+-+→ 解 ()()()xx x xx x x xxx x x sin 2tan 2sin sin 2tan 2sin 2tan 2lim sin sin 2tan 2lim3030+++++++-+=+-+→→ ()()xx x x x x x x x x x sin 2tan 2sin 1cos 1lim sin 2tan 2sin sin tan lim 2030+++-=+++-=→→ ⎪⎭⎫⎝⎛+++⋅⋅-=→x x x x x x sin 2tan 21cos 1sin cos 1lim 20(以下分3种作法) ① 原式⎪⎪⎪⎪⎭⎫ ⎝⎛+++⋅⋅=→x x x x x x sin 2tan 21cos 1sin 2sin 2lim 220 ⎪⎪⎪⎪⎪⎪⎪⎪⎪⎭⎫ ⎝⎛+++⋅⋅⋅⋅=→x x x x x x x xxx sin 2tan 21cos 1sin 242sinlim 2222220 241221111121sin 2tan 21lim cos 1lim sin lim 22sin lim21002020=⨯⨯⨯⨯=+++⋅⋅⎪⎭⎫ ⎝⎛⎪⎪⎪⎪⎭⎫⎝⎛⋅=→→→→x x x x x x x x x x x .② 原式⎪⎪⎭⎫ ⎝⎛+++⋅⋅+⋅-=→x x x x x x x sin 2tan 21cos 1cos 11sin cos 1lim 220 ⎪⎭⎫⎝⎛+++⋅⋅+=→x x x x x sin 2tan 21cos 1cos 11lim 0 2412211121sin 2tan 21lim cos 1lim cos 11lim000=⨯⨯⨯=+++⋅⋅+=→→→x x x x x x x .③ Θ当0→x 时,2~cos 12x x -,且22~sin x x ,∴由无穷小量替换法,原式⎪⎪⎪⎪⎭⎫ ⎝⎛+++⋅⋅=→x x x x x x sin 2tan 21cos 12lim 220⎪⎭⎫ ⎝⎛+++⋅⋅=→x x x x sin 2tan 21cos 121lim 0 2412211121sin 2tan 21lim cos 1lim 2100=⨯⨯⨯=+++⋅⋅=→→x x x x x . 17. xx x x⎪⎪⎭⎫⎝⎛-∞→1lim 22解 x x xx x x x ⎪⎭⎫ ⎝⎛-=⎪⎪⎭⎫ ⎝⎛-∞→∞→222111lim 1lim xx x x x x x x x x ⎪⎭⎫ ⎝⎛+⋅⎥⎥⎦⎤⎢⎢⎣⎡⎪⎭⎫ ⎝⎛-+=⎪⎭⎫ ⎝⎛+⋅⎪⎭⎫ ⎝⎛-=--∞→∞→11111lim 11111lim 1 1111lim 11lim 111=⋅=⎪⎭⎫⎝⎛+⋅⎥⎥⎦⎤⎢⎢⎣⎡⎪⎭⎫ ⎝⎛-+=-∞→--∞→ee x x xx xx . 18. ()xx x 3sin 21ln lim 0+→ 解1 ()()()xx x xx x x x x x x x x x x 33sin 21ln lim 32333sin 221ln 21lim 3sin 21ln lim 21000+=⋅⋅+=+→→→()x x x x xx 33sin lim 21ln lim 320210→→+= ()321ln 3233sin lim 21lim ln 320210=⋅=⎥⎦⎤⎢⎣⎡+=→→e x x x x x x . 解2 ()3232lim 3sin 21ln lim 00==+→→x x x x x x (Θ当0→x 时,x x 2~)21ln(+,且x x 3~3sin ).19. 9lim =⎪⎭⎫⎝⎛-+∞→xx a x a x ,求=a ?解 Θa a a a a x x aa xx a a x aa x x xx x x e e e x a x a x a x a x a x a a x a x 21lim 1lim 11lim 11lim lim ==⎥⎥⎦⎤⎢⎢⎣⎡⎪⎭⎫⎝⎛-⎥⎥⎦⎤⎢⎢⎣⎡⎪⎭⎫ ⎝⎛+=⎥⎥⎦⎤⎢⎢⎣⎡⎪⎭⎫ ⎝⎛-⎥⎥⎦⎤⎢⎢⎣⎡⎪⎭⎫ ⎝⎛+=⎪⎪⎪⎪⎭⎫ ⎝⎛-+=⎪⎭⎫ ⎝⎛-+---∞→∞→--∞→∞→∞→. ∴92=a e ,两边取对数,得3ln 29ln 2==a ,3ln =a .20. ()x x xx ++-∞→100lim2解 ()()()xx x xx xxx xx x x x x -+-+++=++-∞→-∞→100100100lim100lim 22225011001100lim100100lim100100lim2222-=-+-=-+=-+-+=-∞→-∞→-∞→xxx x x xx x x x x x x x .【注】解题过程中要特别注意的是,由于-∞→x ,故x <0,于是作到第3步骤后,分母中的根式x x x x x x 1001100110022+-=⎪⎭⎫⎝⎛+=+(同样的情况前面也有遇到,请参见第14题【注】的第4步骤).。
第一章 函数、极限与连续(A)1.区间[)+∞,a 表示不等式( )A .+∞<<x aB .+∞<≤x aC .x a <D .x a ≥ 2.若()13+=t t ϕ,则()=+13t ϕ( )A .13+tB .26+tC .29+tD .233369+++t t t 3.设函数()()x x x x f arcsin 2513ln +-++=的定义域是( )A .⎪⎭⎫ ⎝⎛-25,31B .⎪⎭⎫ ⎝⎛-25,1C .⎪⎭⎫⎝⎛-1,31 D .()1,1-4.下列函数()x f 与()x g 相等的是( )A .()2x x f =,()4x x g =B .()x x f =,()()2x x g =C .()11+-=x x x f ,()11+-=x x x g D . ()112--=x x x f ,()1+=x x g 5.下列函数中为奇函数的是( )A .2sin xx y = B .xxe y 2-= C .x x x sin 222-- D .x x x x y sin cos 2+= 6.若函数()x x f =,22<<-x ,则()1-x f 的值域为( ) A .[)2,0 B .[)3,0 C .[]2,0 D .[]3,0 7.设函数()x e x f =(0≠x ),那么()()21x f x f ⋅为( )A .()()21x f x f +B .()21x x f +C .()21x x fD .⎪⎪⎭⎫⎝⎛21x x f8.已知()x f 在区间()+∞∞-,上单调递减,则()42+x f 的单调递减区间是( ) A .()+∞∞-, B .()0,∞- C .[)+∞,0 D .不存在 9.函数()x f y =与其反函数()x fy 1-=的图形对称于直线( )A .0=yB .0=xC .x y =D .x y -=10.函数2101-=-x y 的反函数是( ) A .2lg-=x x y B .2log x y = C .xy 1log 2= D .()2lg 1++=x y 11.设函数()⎩⎨⎧=是无理数是有理数x x a x f x ,0,10<<a ,则( )A .当+∞→x 时,()x f 是无穷大B .当+∞→x 时,()x f 是无穷小C .当-∞→x 时,()x f 是无穷大D .当-∞→x 时,()x f 是无穷小 12.设()x f 在R 上有定义,函数()x f 在点0x 左、右极限都存在且相等是函数()x f 在点0x 连续的( )A .充分条件B .充分且必要条件C .必要条件D .非充分也非必要条件13.若函数()⎩⎨⎧<≥+=1,cos 1,2x x x a x x f π在R 上连续,则a 的值为( )A .0B .1C .-1D .-2 14.若函数()x f 在某点0x 极限存在,则( ) A . ()x f 在0x 的函数值必存在且等于极限值 B .()x f 在0x 函数值必存在,但不一定等于极限值 C .()x f 在0x 的函数值可以不存在 D .如果()0x f 存在的话,必等于极限值15.数列0,31,42,53,64,…是( )A .以0为极限B .以1为极限C .以n n 2-为极限 D .不存在在极限 16.=∞→xx x 1sin lim ( )A .∞B .不存在C .1D .017.=⎪⎭⎫ ⎝⎛-∞→xx x 211lim ( )A .2-eB .∞C .0D .21 18.无穷小量是( )A .比零稍大一点的一个数B .一个很小很小的数C .以零为极限的一个变量D .数零19.设()⎪⎩⎪⎨⎧≤≤-<≤<≤-=31,110,201,2x x x x x f x 则()x f 的定义域为 ,()0f = ,()1f = 。
极限练习题及解析一、概述极限是微积分的基本概念之一,用于描述数列、函数等在某一点或无穷趋近某一点时的表现。
极限练习题在数学学习中起到了重要的训练和应用作用。
本文将介绍几个经典的极限练习题,并提供详细的解析过程。
二、经典练习题1. 问题描述:求极限$\lim_{n\to\infty}\frac{n}{n+1}$。
解析:由于分子和分母的次数相同,我们可以利用最高次项的系数进行极限求解。
根据极限的性质,我们可以忽略分子和分母中低阶的项,只保留最高次项。
因此,$\lim_{n\to\infty}\frac{n}{n+1} =\lim_{n\to\infty}\frac{1}{1+\frac{1}{n}} = \frac{1}{1+0} = 1$。
2. 问题描述:求极限$\lim_{x\to2}\frac{x^3-8}{x-2}$。
解析:这是一个分式极限问题,我们可以尝试进行因式分解。
由于$x^3-8 = (x-2)(x^2+2x+4)$,我们可以将分子进行因式分解。
然后可以约掉公因式$(x-2)$,即得到$\lim_{x\to2}\frac{x^3-8}{x-2} =\lim_{x\to2}(x^2+2x+4)$。
将$x$代入结果得到$2^2+2\times2+4 = 12$。
3. 问题描述:求极限$\lim_{x\to0}\frac{\sin x}{x}$。
解析:这是一个常见的三角函数极限问题,我们可以利用泰勒级数展开对$\sin x$进行拆解。
泰勒级数展开为$\sin x = x-\frac{x^3}{3!}+\frac{x^5}{5!}-\frac{x^7}{7!}+...$。
将展开式带入极限,得到$\lim_{x\to0}\frac{\sin x}{x} = \lim_{x\to0}\frac{x-\frac{x^3}{3!}+\frac{x^5}{5!}-\frac{x^7}{7!}+...}{x}$。
函数极限习题及答案函数极限习题及答案函数极限是微积分中一个重要的概念,它在数学的各个领域中都有广泛的应用。
通过研究函数在某一点的极限,我们可以了解函数在该点附近的变化规律,进而推导出一些重要的结论。
本文将通过几个习题来讨论函数极限的相关概念和计算方法,并给出详细的解答。
1. 求函数f(x) = 2x + 3在x = 1处的极限。
解答:要求函数在某一点的极限,可以直接将该点的值代入函数进行计算。
将x = 1代入函数f(x) = 2x + 3中,得到f(1) = 2(1) + 3 = 5。
因此,函数f(x)在x = 1处的极限为5。
2. 求函数g(x) = (x^2 - 1)/(x - 1)在x = 1处的极限。
解答:当直接代入x = 1时,函数g(x)的分母为0,无法计算。
此时,我们可以通过化简来求解。
将函数g(x)的分子进行因式分解,得到g(x) = (x - 1)(x + 1)/(x - 1)。
分子的(x - 1)与分母的(x - 1)相约,得到g(x) = x + 1。
再将x = 1代入该函数,得到g(1) = 1 + 1 = 2。
因此,函数g(x)在x = 1处的极限为2。
3. 求函数h(x) = sin(x)/x在x = 0处的极限。
解答:当直接代入x = 0时,函数h(x)的分母为0,无法计算。
此时,我们可以利用极限的性质来求解。
首先,我们可以观察到当x接近0时,sin(x)也接近0。
因此,我们可以猜测函数h(x)在x = 0处的极限为1。
为了证明这个猜测,我们可以利用泰勒级数展开来近似计算。
根据泰勒级数展开,sin(x)可以表示为x -x^3/3! + x^5/5! - ...。
将这个级数代入函数h(x),得到h(x) = (x - x^3/3! +x^5/5! - ...)/x。
分子中的x与分母的x相约,得到h(x) = 1 - x^2/3! + x^4/5! -...。
当x接近0时,x^2、x^4等项的值都会趋近于0,因此,我们可以得到h(x)在x = 0处的极限为1。
极限必做150解答033002020001021111.lim ()x sin tan tan sin tan (1cos )1lim lim 2ln()ln()2ln 2.lim1121lim lim 22()()l x x x x x x x x x ax x x x x x x x a x a x a x x a x a x x x a x a x a→→→→→→→→→---===++----+-===-+-===00002201tan 6.lim(sin lim ln(1)ln(1x x )7.lim secx cosxl x ax ax a x x x x x x mxm nx mx m nx n x x →→→→→→→→→+=+==-==+++-+-=、n 为正整数)=2224222002020ln (1)im lim 1sec (1cos )1..8.lim ln()1111121lim ....2x x x x nxx x x nx x x x x x x x xe e e x n e e e n n x nn n n n n →→→→⎡⎤+-+⎣⎦==-+++⎛⎫---+=+++=+++= ⎪⎝⎭)22(1)22(1)6(1)lim2312li 9.limsinlim(1))lim(1)03210.lim 346lim 1312111.lim 212lim 121n n nnn n n n n n n n n n n nn nn n n n ee n n n e n π→∞→∞→∞→∞+→∞+-+-+→∞→∞→∞=--=-=⎛⎫- ⎪+⎝⎭⎛⎫=-== ⎪+⎝⎭+⎛⎫ ⎪-⎝⎭⎛⎫=+= ⎪-⎝⎭2m 21ln ln lim lim ()2211(2)(2)22(2)(2)2(2)(2)(2)(2200012.lim 13.lim 212lim lim lim 2n n n n n nn a ba bn n n nn nn t t t t t t t t t e ee en e e e t ne e e e e e e t t →∞→∞→∞-→∞++⎝⎭+-→∞+-+-+-→→→=⎝⎭====⎡⎤+-⎢⎥⎣⎦=+--+===令)21lim 1lim 1214.lim 1 (a ln lim ln 15.lim 1n n n n n n nn n n e n a a n a nn eeee →∞→∞→∞→∞→∞⎫⎪⎪-⎝⎭⎝⎭=⎡⎤-⎢⎥⎣⎦=⎛ ⎪+⎝⎭====为整数)=[]211lim21116.lim ln()ln()2ln 1,n17.lim lim (1)lim 1118.lim (1)19.lim ln(1)ln 1lim ln lim n n a bn n n abnn n n nn n n n n n n a a a n n t n e e n e n e a b e n ne n e e nn n n n n n →∞→∞→∞→∞→∞→∞→∞→∞⎡⎤++--⎢⎥⎣⎦=⎛⎫- ⎪⎝⎭⎛⎫=---=- ⎪⎝⎭⎛⎫+ ⎪⎝⎭=+-=+-+⎛⎫== ⎪⎝⎭令同第二题[]211120201ln(1)1120.limln (1)(1)(1)(1)limlim 2ln()(1)21.lim ln(1)ln(1)122lim ln()lim ln(1)lim 2111ln cos 22.limln(1cosx 1)lim li x x x x x x x x x n n x x x x x x x x x x xx xx x x x x xx x →∞→-→-→-→+∞→+∞→+∞→+∞→→+=-+-+-===--++--+==+==---+-==[]2022cos 11m 223.lim (2)ln(2)2(1)ln(1)ln 2lim ln(2)ln(1)ln ln(1)2ln()121lim ln ln 2lim ln(1)221111(1)x x x x x x x x x x x x x xx x x x x x x x x x x x x x x x x x x x →→+∞→+∞→+∞→+∞-=-++-++++⎡⎤=+-++-++⎢⎥+⎣⎦+⎡⎤=++=-+=-=⎢⎥+++⎣⎦)00010110112lim 2cot 0sin()cos()44limcos()tan cos()sin()244424.lim26.lim tan()427.lim sin x x x x xx xx x xxx x x x x x x x xe ee eex e e x ππππππ→→→→→→→--→---------→+=====⎡⎤-⎢⎥⎣⎦===()22222221sin cos 1cos 1limlim1tan2sin 1cos limlim12cos cos 2222122lim 1lim 2121cos 28.lim(sin )2129.lim 21x x x x x x xx x x xxxx x x x xxx x x x x x x x x x x eeex e eex x x x eeπππ→→→→→∞→∞+--+→---→∞⎛⎫-+-+⎛⎫- ⎪ ⎪ +-+-⎝⎭⎝⎭+======⎛⎫-+ ⎪+-⎝⎭==132lim 3621122130.lim 212lim(1)2131.lim(12)x xx x x x xx e x x e e x x e →∞⎪-→∞⎛⎫⎪+⎝⎭→∞-→=+⎛⎫⎪-⎝⎭=+=+-=22lim cos1lim()221cos cos sinlim limtancos()cos0002232.lim coscos33.limcosln()ln()2ln134.lim35.limx xx a x axxx xxx ax ax a xaa x a axxe e exae e ex x x x xx xππ→+∞→+∞→→→+∞⎡⎤⎫-⎢⎪⎥-⎭⎣⎦-→----→→+===⎛⎫⎪⎝⎭===++--+同第二题-[]00011211121ln(1)ln(1)ln(1)lim ln(1)lim lim1ln(sec tan)36.limsinln(1sin)cos ln(1sin)ln coslim lim lim137.lim()lim(axax axaxaxx x xxx x xx xxxxbexb b e abee abx x ex xxx x x xx x xx a ax a a∞→+∞→+∞→+∞→→→→+→+∞+→+∞+++=+===++++==+=-=22122111(ln ln) 0005111)lim()ln lim ln ln1(1)138.lim111lim explim explim1(1)139.lim5x xx xx xxxx x x x x xxa bx xx x xxxxx a a ax x x xxaxbxa xb a b a b aexb x xb x x bex-+→+∞→+∞→-→→→→-=-==++⎛⎫+⎪+⎝⎭⎛⎫----===-== ⎪++⎝⎭-=20000tan 30tan 300300240.lim 1111lim lim lim 12222241.lim sin 11lim lim 132142.lim 3ln lim 3ln 43.lim()lim lim x x x x x x x x x x x x x x x x x x x x x a x a a x a x a x e e x e e e e x x x e e x e e x x a x x a a xa a x a a a x a -→--→→→→→→→→→-→→+----==-=+=---=-=-=--==--==-0000100101000()ln ln ln ln 144.lim145.lim11(1)1lim lim 46.lim 2112x 47.lim()11explim explim a a a x x n x n t t xxxx bx x x bx bx a bx x a x a a a a x a x x x x x x x x tt nt n t t a b t ax e ax e e a e x x→→→→→→+→→-=--=----=+-===⎛⎫+ ⎪⎝⎭=++--==+=令令,如题31148.ln 1 n ()ln(1)1()10,[0,)11()[0,)()(0),[0,)11ln(1)0ln(1)ln(1)()32,()(x 1),()n n nf x x xxf x x x xf x f x f x x x x x n nx x x x c c x αβα⎛⎫+< ⎪⎝⎭=+--'=-=≤∈+∞+++∞<∈+∞+-<⇒+<⇒+<=-+=-→证明不等式:其中为正整数解:令当所以在递减 所以即证毕49.设确定及n,使当x 1时,3211111211~()()3233lim 1lim 1lim 1()(1)(1)3(1)(x 1)3(1)lim1lim 1(1)(1)612,c 350.()(),A ()~()l n n x x x n n x x kx x x x x x c x cn x x x cn x cn x n cn Af xg x f x g x x βαβ-→→→--→→-+-=⇒=⇒=--+-+⇒=⇒=--=⇒====→∞解:所以n-2=0,设确定K 及,使当x +,解:1212()im1lim1()~()lim1lim 1()lim11111,,1,224k x x k x x kx f x g x Ax x f x g x Axk A A-→+∞→+∞-→+∞→+∞-=⇒==-=→∞=⇒=⇒===--==-所以k+4。
极限150题答案解析第1这个系列一共分成六部分发出所有题目的解析均为笔者现做现发,时间较为匆忙,如果有错误之处还请读者在评论区指出如果有不懂的地方也欢迎在评论区留言讨论,也可以加入我主页的数学群讨论问题在纠错或提问之前,请务必自己做计算在一些解题过程中,省略了加减乘除等不重要的化简运算。
不自己算,可能会跳过解题步骤,或者误以为分析错了光看对提高数学水平没有帮助以下为150题链接:极限必做150题1\lim\limits_{x\to0}\frac{1}{x}\left( \frac{1}{\sin x}-\frac{1}{\tan x} \right)=\lim\limits_{x\to0}\frac{\tan x-\sin x}{x\tan x\sin x}=\lim\limits_{x\to0}\frac{\tan x\left( 1-\cos x\right)}{x^{3}}=\lim\limits_{x\to0}\frac{x\frac{1}{2}x ^{2}}{x^{3}}=\frac{1}{2}2\lim\limits_{x\to0}\frac{\ln\left( a+x\right)+\ln\left( a-x \right)-2\ln a}{x^{2}}=\lim\limits_{x\to0}\frac{\ln\left( 1+\frac{x}{a}\right)+\ln\left( 1-\frac{x}{a} \right)}{x^{2}}=\lim\limits_{x\to0}\frac{\left( \frac{x}{a} -\frac{1}{2}\frac{x^{2}}{a^{2}}\right)+\left( -\frac{x}{a}-\frac{1}{2}\frac{x^{2}}{a^{2}}\right)+o\left( x^{2}\right)}{x^{2}}=-\frac{1}{a^{2}}3\lim\limits_{x\to0}\frac{\sqrt{1-\cos x^{2}}}{1-\cos x}=\lim\limits_{x\to0}\frac{\sqrt{\frac{1}{2}x^{4}}}{\ frac{1}{2}x^{2}}=\sqrt{2}本题与第77题类似,但第77题的结果却是极限不存在,请读者思考原因4\lim\limits_{x\to a}\frac{\sqrt{x}-\sqrt{a}+\sqrt{x-a}}{\sqrt{x^{2}-a^{2}}}=\lim\limits_{x\to a}\frac{\sqrt{x}-\sqrt{a}}{\sqrt{x^{2}-a^{2}}}+\lim\limits_{x\toa}\frac{\sqrt{x-a}}{\sqrt{x^{2}-a^{2}}}=\lim\limits_{x\to a}\frac{x-a}{\left( \sqrt{x}+\sqrt{a} \right)\sqrt{x^{2}-a^{2}}}+\lim\limits_{x\to a}\frac{1}{\sqrt{x+a}}=\lim\limits_{x\to a}\frac{\sqrt{x-a}}{\left( \sqrt{x}+\sqrt{a}\right)\sqrt{x+a}}+\frac{1}{\sqrt{2a}}=\frac{1}{\sqrt{2a}}5\lim\limits_{x\to0}\frac{\sqrt{1+x}-\sqrt{1+x^{2}}}{\sqrt{1+x}-1}=\lim\limits_{x\to0}\frac{\left( 1+\frac{1}{2}x+o\left ( x \right) \right)-\left( 1+\frac{1}{2}x^{2}+o\left( x^{2} \right)\right)}{\frac{1}{2}x}=\lim\limits_{x\to0}\frac{x-x^{2}+o\left( x\right)}{x}=16\lim\limits_{x\to0}\frac{\tan mx}{\sinnx}=\lim\limits_{x\to0}\frac{mx}{nx}=\frac{m}{n}7\lim\limits_{x\to0}\frac{\ln\left( 1+x+x^{2}\right)+\ln\left( 1-x+x^{2} \right)}{\sec x-\cos x}=\lim\limits_{x\to0}\frac{\cos x}{1+\cosx}\frac{\ln\left( 1+x+x^{2} \right)+\ln\left( 1-x+x^{2} \right)}{1-\cos x}=\lim\limits_{x\to0}\frac{\left[ \left(x+x^{2} \right) -\frac{1}{2}\left( x+x^{2} \right)^{2}+o\left( x^{2}\right)\right]+\left[ \left( x^{2} -x\right) -\frac{1}{2}\left( x^{2} -x\right)^{2}+o\left( x^{2} \right)\right] }{x^{2}}=\lim\limits_{x\to0}\frac{x^{2}+o\left( x^{2}\right)}{x^{2}}=18\lim\limits_{x\to0}\frac{1}{x}\ln\frac{e^{x}+e^{2x}+\c dots+e^{nx}}{n}=\lim\limits_{x\to0}\frac{\ln\left( e^{x}+e^{2x}+\cdots+e^{nx} \right)-\ln n}{x}=\lim\limits_{x\to0}\frac{e^{x}+2e^{2x}+\cdots+ne^{nx} }{e^{x}+e^{2x}+\cdots+e^{nx}}=\frac{\frac{n\left( n+1 \right)}{2}}{n}=\frac{n+1}{2} 9\lim\limits_{n\to\infty}\sin\left( \sqrt{n^{2}+a^{2}}\pi \right)=\left( -1 \right)^{n}\lim\limits_{n\to\infty}\sin\pi\left( \sqrt{n^{2}+a^{2}} -n\right)=\left( -1 \right)^{n}\lim\limits_{n\to\infty} \sin \left( \frac{a^{2}\pi}{\sqrt{n^{2}+a^{2}}+n} \right)=\left( -1 \right)^{n}\lim\limits_{n\to\infty}\frac{a^{2}\pi}{\sqrt{n^{2}+a^{2}}+n}=010\lim\limits_{n\to\infty}\left( \frac{3n^{2}-2}{3n^{2}+4} \right)^{n\left( n+1\right)}=\lim\limits_{n\to\infty}e^{n\left( n+1\right)\ln\left(1 -\frac{6}{3n^{2}+4} \right)}=\lim\limits_{n\to\infty} e^{n\left( n+1\right)\left( -\frac{6}{3n^{2}+4} \right)}=e^{-2}11\lim\limits_{n\to\infty}\left( \frac{2n+1}{2n-1}\right)^{n}=\lim\limits_{n\to\infty}e^{n\ln\left( 1+\f rac{2}{2n-1} \right)}=\lim\limits_{n\to\infty}e^{\frac{2n}{2n-1}}=e12\lim\limits_{n\to\infty}\left( \frac{\sqrt[n]{a}+\sqrt [n]{b}}{2} \right)^{n}=\lim\limits_{n\to\infty}e^{n\ln\left( 1+\frac{\sqrt[n ]{a}+\sqrt[n]{b}}{2}-1 \right)}=\lim\limits_{n\to\infty}e^{n\frac{\sqrt[n]{a}+\sqrt[n ]{b}-2}{2}}=e^{\lim\limits_{n\to\infty}n\frac{e^{\frac{1}{n}\ln a}-1}{2}+\lim\limits_{n\to\infty}n\frac{e^{\frac{1}{n}\ln b}-1}{2}}=e^{\frac{\ln a+\ln b}{2}}=\sqrt{ab}13\lim\limits_{n\to\infty}n^{2}\left[ e^{2+\frac{1}{n}} +e^{2-\frac{1}{n}}-2e^{2}\right]=\lim\limits_{n\to\infty}n^{2}e^{2}\left[ \left( 1+\fr ac{1}{n} +\frac{1}{2}\frac{1}{n^{2}}\right) +\left( 1-\frac{1}{n}+\frac{1}{2}\frac{1}{n^{2}}\right)+o\left( \frac{1}{n^{2}}\right)-2\right]=e^{2}14\lim\limits_{n\to\infty}n\left( a^{\frac{1}{n}}-1\right)=\lim\limits_{n\to\infty}n\left( e^{\frac{1}{n} \ln a}-1 \right)=\lim\limits_{n\to\infty}n\frac{1}{n}\ln a=\ln a15\lim\limits_{n\to\infty}\left( \frac{\sqrt{n^{2}+1}}{n +1} \right)^{n}=\lim\limits_{n\to\infty}\left( \sqrt{\frac{n^{2}+1}{n ^{2}+1+2n}} \right)^{n}=\lim\limits_{n\to\infty}\left( 1-\frac{2n}{n^{2}+1+2n} \right)^{\frac{n}{2}}=\lim\limits_{n\to\infty}e^{\frac{n}{2}\ln\left( 1-\frac{2n}{n^{2}+1+2n} \right)}=\lim\limits_{n\to\infty}e^{\frac{n}{2}\left( -\frac{2n}{n^{2}+1+2n} \right)}16解法参考第2题答案为: -\frac{1}{a^{2}}17\lim\limits_{n\to\infty}n\left( e^{\frac{a}{n}}-e^{\frac{b}{n}} \right)=\lim\limits_{n\to\infty}ne^{\xi}\frac{a-b}{n} , \xi 介于 \frac{a}{n} 和 \frac{b}{n} 之间=\lim\limits_{\xi\to0}\left( a-b \right)e^{\xi}=a-b本题用等阶无穷小和洛必达也可解(略)本题拓展练习,请点击链接18\lim\limits_{n\to\infty}\left( \frac{1}{n}+e^{\frac{1}{n}}\right)^{n}=\lim\limits_{n\to\infty}e^{n\ln\left( \frac{1}{n}+e^{ \frac{1}{n}} \right)},t=\frac{1}{n}=\lim\limits_{t\to0}e^{\frac{\ln\left( t+e^{t}\right)}{t}}=\lim\limits_{t\to0}e^{\frac{1+e^{t}}{t+e^{t}}}19\lim\limits_{n\to\infty}n\left[ \ln\left( n+1 \right)-\ln n \right]=\lim\limits_{x\to+\infty}x\left[ \ln\left( x+1\right)-\ln x\right]=\lim\limits_{x\to+\infty}x\frac{1}{\xi}\left( x+1-x \right) , \xi 介于 x 和 x+1 之间=1本题用洛必达和等价无穷小也可解(略)20\lim\limits_{x\to-1}\frac{x^{2}-1}{\ln \left| x\right|}=\lim\limits_{x\to-1}\frac{x^{2}-1}{\ln\left(- x\right)}=\lim\limits_{x\to-1}\frac{2x}{\frac{1}{x}}=221\lim\limits_{x\to+\infty}x\left[ \ln\left( x+1\right)-\ln\left( x -1\right) \right]=\lim\limits_{x\to+\infty}x\frac{1}{\xi}\left[ \left( x+1 \right)-\left( x-1 \right) \right] , \xi 介于 x 和 x+1 之间=2本题用洛必达和等价无穷小也可解(略)22\lim\limits_{x\to0}\frac{\ln\cos x}{x^{2}}=\lim\limits_{x\to0}\frac{\cos x-1}{x^{2}}=\lim\limits_{x\to0}\frac{-\frac{1}{2}x^{2}}{x^{2}}=-\frac{1}{2}23\lim\limits_{x\to+\infty}x\left[ \left( x+2\right)\ln\ left( x+2 \right) -2\left( x+1 \right)\ln\left( x+1 \right)+x\ln x\right]=\lim\limits_{x\to+\infty}x\left\{ \left[ \left( x+2 \right) \ln\left( x+2 \right)-\left( x+1\right)\ln\left( x+1 \right)\right] -\left[ \left( x +1\right) \ln\left( x+1 \right)-x\lnx\right]\right\}=\lim\limits_{x\to+\infty}x\ln\left( 1 +\frac{1}{\xi} \right)\left[ \left( x+1 \right) -\left( x \right)\right], \xi 介于 x 和 x+1 之间=\lim\limits_{x\to +\infty}x\frac{1}{\xi}=1本题用洛必达和泰勒展开也可解(略)24\lim\limits_{x\to0}\left( \sqrt{x^{2}+1}+x\right)^{\frac{1}{x}}=\lim\limits_{x\to0}e^{\frac{\ln\left( \sqrt{x^{2}+1}+ x \right)}{x}}=\lim\limits_{x\to0}e^{\frac{\frac{x}{\sqrt{x^{2}+1}}+ 1}{\sqrt{x^{2}+1}+x}}=e25\lim\limits_{x\to0}\left( \cos \sqrt{x}\right)^{\frac{1}{x}}=\lim\limits_{x\to0}e^{\frac{\ln \cos\sqrt{x}}{x}}=\lim\limits_{x\to0}e^{\frac{\cos\sqrt{x}-1}{x}}=\lim\limits_{x\to0}e^{\frac{-\frac{1}{2}x}{x}}=e^{-\frac{1}{2}}。
极限练习题含答案极限是数学分析中的一个重要概念,它描述了当自变量趋近于某个值时,函数值的行为。
下面是一些极限练习题及其答案,供同学们学习和练习。
练习题1:求极限\[ \lim_{x \to 0} \frac{\sin x}{x} \]答案1:根据洛必达法则或者直接使用三角函数的性质,我们可以知道:\[ \lim_{x \to 0} \frac{\sin x}{x} = 1 \]练习题2:求极限\[ \lim_{x \to \infty} \frac{3x^2 + 2x + 1}{x^2 - 3x + 2} \]答案2:分子和分母同时除以\( x^2 \),得到:\[ \lim_{x \to \infty} \frac{3 + \frac{2}{x} +\frac{1}{x^2}}{1 - \frac{3}{x} + \frac{2}{x^2}} = 3 \]练习题3:求极限\[ \lim_{x \to 0} (1 + x)^{1/x} \]答案3:这是e的极限定义,即:\[ \lim_{x \to 0} (1 + x)^{1/x} = e \]练习题4:求极限\[ \lim_{x \to 1} \frac{1}{x - 1} \]答案4:这是一个无穷小量的倒数,当\( x \)趋近于1时,\( x - 1 \)趋近于0,所以:\[ \lim_{x \to 1} \frac{1}{x - 1} \text{ 不存在} \]练习题5:求极限\[ \lim_{x \to 0} \frac{\sin 2x}{\sin 3x} \]答案5:分子分母同时除以\( \sin x \),得到:\[ \lim_{x \to 0} \frac{2}{3} \cdot \frac{\sin x}{x} \cdot\frac{\sin 2x}{\sin 3x} = \frac{2}{3} \cdot 1 \cdot 1 =\frac{2}{3} \]练习题6:求极限\[ \lim_{x \to 0} x \cdot \tan x \]答案6:使用洛必达法则或者直接利用三角函数的性质,我们可以得到:\[ \lim_{x \to 0} x \cdot \tan x = \lim_{x \to 0} \frac{\sin x}{\cos x} = 0 \]练习题7:求极限\[ \lim_{x \to \infty} \frac{\sin x}{x} \]答案7:当\( x \)趋近于无穷大时,\( \sin x \)的值在-1和1之间波动,但相对于\( x \)来说,它趋近于0,所以:\[ \lim_{x \to \infty} \frac{\sin x}{x} = 0 \]练习题8:求极限\[ \lim_{x \to 0} \frac{e^x - 1}{x} \]答案8:这是e的导数的极限定义,即:\[ \lim_{x \to 0} \frac{e^x - 1}{x} = 1 \]以上练习题和答案可以帮助同学们更好地理解和掌握极限的概念和求解方法。
高数极限习题50题分步骤详解1. 求极限)]12ln()12[ln(lim --+∞→n n n n解:依题意,对算式进行变形,得到原式=1212ln lim -+∞→n n n n=12212ln lim -+-∞→n n n n =)1221ln(lim -+∞→n n n 【注:当∞→n 时,122~)1221ln(--+n n 】 =122lim -∞→n nn =12. 求极限xx x e x x sin 1lim 3202--→解:本题为0型未定式,可运用洛必达法则求极限。
因为 )0(~sin 43→x x x x所以 原式=4201lim 2x x e x x --→=30422lim 2x xxe x x -→ (洛必达法则)=2021lim 2x e x x -→=x xe xx 42lim 2∞→ (洛必达法则)=2lim 20xx e →=213. 求极限2sin 0cos )21(lim x xx x x -+→解:本题属于“幂指函数”,不适合直接应用洛必达法则求导。
应先对算式适当变形,再求极限。
过程如下:原式=2sin 0)1(cos ]1)21[(lim xx x x x ---+→ (注:表达式的分子加1减1,恒等变形。
) =2sin 01)21(lim x x x x -+→-201cos lim x x x -→ (注:和差的极限,等于极限的和差。
) =20sin 2lim xx x x →-2202lim x x x -→ =2202lim x x x →+21 =25 (注:当时0→x ,.2~1cos ,2~sin 2~1)21(22sin x x x x x x x---+)4. 求极限x xe e x x x cos 1320lim ----→解:本题看似很复杂,其实完全可以通过两次运用洛必达法则求出极限,具体过程如下:因为 )0(2~cos 12→-x x x 所以 原式=23220lim x xe e x x x ---→ =x e e x x x 3220lim -+-→ (第一次运用洛必达法则)=1420lim xx x e e -→- (第二次运用洛必达法则)=35. 求极限)1ln(2)cos(sin 12lim x x x +-→ 解:本题可运用洛必达法则,但建议优先采用等价无穷小替换。
练习题1. 极限xx x x x x x x xx x x x x x 1lim)4(11lim)3(15865lim )2(31lim )1(2312232---+-+-+++-∞→→→∞→(5) 已知011lim 2=⎪⎪⎭⎫⎝⎛--++∞→b ax x x x , 求常数a , b .(6) x x x x sin 1sin lim 20→ (7) 211lim 22x x x x ⎪⎪⎭⎫⎝⎛+-∞→(8) xx x21lim 0-→ (9)x x x sin )31ln(lim 0-→(10)⎪⎪⎭⎫⎝⎛-∞→1lim 1xx e x2. 函数的连续性(1) 确定b 的值, 使函数⎩⎨⎧<≥+==-002)(1x e x b x x f y x 在x =0点连续.(2) 确定a , b 的值, 使函数1lim)(2212+-+==-∞→nn n x bxax xx f y 在整个实数轴上连续.(3) 讨论下列函数的连续性, 并判断其间断点的类型.①x xx f sin )(=② ⎪⎪⎩⎪⎪⎨⎧=≠+-=0001212)(11x x x f xx3. 连续函数的性质 (1) 设1)(1-+++=-x xx x f n n ,证明:)(x f 有一个不大于1的正根.(2) 若),()(∞+-∞∈C x f , 且A x f x =∞→)(lim , 证明: ),()(∞+-∞在x f 内有界.提高1º),()(∞+-∞在x f 内至少有一个最值存在. 2º 对于最值与A 间的任意值C , 存在21,ξξ, 使得C f f ==)()(21ξξ.2. 函数的连续性(1) 确定b 的值, 使函数⎩⎨⎧<≥+==-002)(1x ex b x x f y x在x =0点连续.解:1)(lim )(lim )0(-→→====-+e x f b x f f x x(2) 确定a , b 的值, 使函数1lim)(2212+-+==-∞→nn n x bxax xx f y 在整个实数轴上连续.解:⎪⎪⎪⎪⎩⎪⎪⎪⎪⎨⎧-=++-=-+<->==121121111)(2x b a x ba x bx ax x x x f yb a x f x f b a f x x -====-+=-+→→)(lim 1)(lim 21)1(11 b a x f x f b a f x x +==-==++-=--→-→-)(lim 1)(lim 21)1(_111,0-==b a(3) 讨论下列函数的连续性, 并判断其间断点的类型.①x x x f sin )(=解: x =0为可去间断点.②⎪⎪⎩⎪⎪⎨⎧=≠+-=0001212)(11x x x f xx解:1)(lim 1)(lim 0-=≠=-+→→x f x f x x , x =0为跳跃间断点.3. 连续函数的性质 (1) 设1)(1-+++=-x xx x f n n ,证明:)(x f 有一个不大于1的正根.解: 若n=1, 则显然有解x =1. 若n>1, 则01)1(,01)0(>-=<-=n f f , 由零点定理可知在(0, 1)内至少有一个根..(2) 若),()(∞+-∞∈C x f , 且A x f x =∞→)(lim , 证明: ),()(∞+-∞在x f 内有界.解: 由A x f x =∞→)(lim 可知: 0>∃X , 当X x >时, 1)(<-A x f , 故1)(+<A x f由),()(∞+-∞∈C x f 可知]1,1[)(+--∈X X C x f , 故01>∃M ,当1+<X x 时, 1)(M x f <取}1,max{1+=A M M 即可.提高1º),()(∞+-∞在x f 内至少有一个最值存在. 2º 对于最值与A 间的任意值C , 存在21,ξξ, 使得C f f ==)()(21ξξ.证明: 若A x f ≡)(, 则显然结论成立.设存在A x f >)(0, 则存在X >0, 当X x ≥时, 有2)()(0Ax f A x f -<- 于是: )(2)()(00x f A x f x f <+< 由],[)(X X C x f -∈, 可知存在],[X X -∈ξ{})(],[:)(max )(0x f X X x x f f ≥-∈=ξ从而),()(∞+-∞在x f 内有最大值)(ξf .对于任意的C , )(ξf C A <<, 存在X 1>0, 当1X x ≥时, 有 C AC x f <+<2)( 于是有CAC X f <+<±2)(1. 分别在闭区间],[],,[11X X ξξ-上使用介值定理即可得结论2º.。
数学分析—极限练习题及详细答案一、选择题1.若0()lim1sin x x xφ→=,则当x 0→时,函数(x)φ与( )是等价无穷小。
A.sin ||xB.ln(1)x -C.1 1.【答案】D 。
2.设f(x)在x=0处存在3阶导数,且0()lim 1tan sin x f x x x→=-则'''f (0)=( )A.5B.3C.1D.02.【答案】 B.解析由洛必达法则可得30002()'()''()limlimlim1tan sin 2cos sin sin cos cos x x x f x f x f x x x x x xx x -→→→==-+-42200''()''()lim lim 16cos sin 2cos cos 21x x f x f x x x x x --→→===-++++可得'''f (0)3= 3.当x 0→时,与1x 133-+为同阶无穷小的是( ) A.3xB.34x C.32xD.x3.【答案】A.解析.1223331233200311(1)1133lim lim (1)3313x x x x x x x ---→→→-+⋅==+=选A 。
4.函数2sin f ()lim 1(2)nn xx x π→∞=+的间断点有( )个A.4B.3C.2D.14.【答案】C.解析.当0.5x >时,分母→∞时()0f x =,故20.5sin 12lim1(2(0.5))2n x π→--=-+⨯-, 20.5sin12lim 1(20.5)2n x π→=+⨯,故,有两个跳跃间断点,选C 。
5.已知()bx xf x a e=-在(-∞,+∞)内连续,且lim ()0x f x →∞=,则常数a ,b 应满足的充要条件是( )A.a>0,b>0B.a ≤0,b>0C.a ≤0,b<0D.a>0,b<05.【答案】B 。
函数极限习题与解析[5篇范例]第一篇:函数极限习题与解析函数与极限习题与解析(同济大学第六版高等数学)一、填空题1、设f(x)=2-x+lglgx,其定义域为。
2、设f(x)=ln(x+1),其定义域为。
3、设f(x)=arcsin(x-3),其定义域为。
4、设f(x)的定义域是[0,1],则f(sinx)的定义域为。
5、设y=f(x)的定义域是[0,2],则y=f(x2)的定义域为。
x2-2x+k=4,则k=。
6、limx→3x-3x有间断点,其中为其可去间断点。
sinxsin2x8、若当x≠0时,f(x)=,且f(x)在x=0处连续,则f(0)=。
xnnn+2+Λ+2)=。
9、lim(2n→∞n+1n+2n+n7、函数y=10、函数f(x)在x0处连续是f(x)在x0连续的条件。
(x3+1)(x2+3x+2)=。
11、limx→∞2x5+5x312、lim(1+)n→∞2nkn=e-3,则k=。
x2-113、函数y=2的间断点是。
x-3x+214、当x→+∞时,1是比x+3-x+1的无穷小。
x15、当x→0时,无穷小1-1-x与x相比较是无穷小。
16、函数y=e在x=0处是第类间断点。
31x17、设y=x-1,则x=1为y的间断点。
x-118、已知f 1π⎛π⎫⎪=3,则当a为时,函数f(x)=asinx+sin3x在x=处连续。
33⎝3⎭⎧sinxx<0⎪2x19、设f(x)=⎨若limf(x)存在,则a=。
1x→0⎪(1+ax)xx>0⎩x+sinx-2水平渐近线方程是。
20、曲线y=x221、f(x)=4-x2+1x-12的连续区间为。
⎧x+a,x≤022、设f(x)=⎨在x=0连续,则常数cosx,x>0⎩a=。
二、计算题1、求下列函数定义域(1)y=(3)y=e ;2、函数f(x)和g(x)是否相同?为什么?(1)f(x)=lnx(2)f(x)=x(3)f(x)=1, 21 ;(2)y=sinx ; 1-x21x,g(x)=2lnx ; ,g(x)=x2 ;g(x)=sec2x-tan2x ;3、判定函数的奇偶性(1)y=x2(1-x2);(2)y=3x2-x3 ;(3)y=x(x-1)(x+1);4、求由所给函数构成的复合函数(1)y=u2(2)y=u(3)y=u2,u=sinv,v=x2 ; ,u=1+x2 ; ,u=ev,v=sinx ;5、计算下列极限(1)lim(1+n→∞1111+2+3+Λ+(n-1)++Λ+n);(2)lim ;n→∞242n2x2+5x2-2x+1(3)lim ;(4)lim ; 2x→1x→2x-3x-111x3+2x2(5)lim(1+)(2-2);(6)lim ; 2x→∞x→2xx(x-2)1x2-1(7)limxsin ;(8)lim ; 2x→0x(9)2xlim→+∞x(x+1-x);6、计算下列极限(1)limsinwxx→0x ;(3)limx→0xcotx ;(5)limx+1x→∞(x-1)x-1 ;7、比较无穷小的阶(1)x→0时,2x-x2与x2-x3 ;(2)x→1时,1-x与1(1-x22);x→13-x-1+x2)limsin2xx→0sin5x ;4)lim(xx→∞1+x)x ; 16)lim(1-x)xx→0 ;(((8、利用等价无穷小性质求极限tanx-sinxsin(xn)(1)lim ;(2)limx→0x→0(sinx)msinx39、讨论函数的连续性(n,m是正整数);⎧x-1,x≤1 f(x)=⎨在x=1。
(完整word版)数学分析—极限练习题及详细答案⼀、选择题1.若0()lim1sin x x xφ→=,则当x 0→时,函数(x)φ与()是等价⽆穷⼩。
A.sin ||xB.ln(1)x -C.11.【答案】D 。
2.设f(x)在x=0处存在3阶导数,且0()lim 1tan sin x f x x x→=-则'''f (0)=()A.5B.3C.1D.0 2.【答案】B.解析由洛必达法得30002()'()''()limlimlim1tan sin 2cos sin sin cos cos x x x f x f x f x x x x x xx x -→→→==-+-42200''()''()lim lim 16cos sin 2cos cos 21x x f x f x x x x x --→→===-++++可得'''f (0)3= 3.当x 0→时,与1x 133-+为同阶⽆穷⼩的是() A.3x B.34x C.32xD.x3.【答案】A.解析.12233312332000311(1)1133lim lim (1)3313x x x x x x x ---→→→-+?==+=选A 。
4.函数2sin f ()lim 1(2)nn xx x π→∞=+的间断点有()个A.4B.34.【答案】C.解析.当0.5x >时,分母→∞时()0f x =,故20.5sin 12lim1(2(0.5))2n x π→--=-+?-, 20.5sin12lim1(20.5)2n x π→=+?,故,有两个跳跃间断点,选C 。
5.已知()bx xf x a e=-在(-∞,+∞)内连续,且lim ()0x f x →∞=,则常数a ,b 应满⾜的充要条件是()A.a>0,b>0B.a ≤0,b>0C.a ≤0,b<0D.a>0,b<05.【答案】B 。
极限连续试题及答案1. 定义极限请简述函数在某一点处极限的定义。
答案:函数f(x)在某一点x=a处的极限是指,当x趋近于a时,f(x)趋近于某个确定的值L,即对于任意的正数ε,存在一个正数δ,使得当0 < |x-a| < δ时,有|f(x) - L| < ε。
2. 极限的运算法则请列出极限的加法、减法、乘法和除法法则。
答案:- 加法法则:如果lim(x→a) f(x) = A 且lim(x→a) g(x) = B,则lim(x→a) [f(x) + g(x)] = A + B。
- 减法法则:如果lim(x→a) f(x) = A 且lim(x→a) g(x) = B,则lim(x→a) [f(x) - g(x)] = A - B。
- 乘法法则:如果lim(x→a) f(x) = A 且lim(x→a) g(x) = B,则lim(x→a) [f(x) * g(x)] = A * B。
- 除法法则:如果lim(x→a) f(x) = A 且lim(x→a) g(x) = B,且B ≠ 0,则lim(x→a) [f(x) / g(x)] = A / B。
3. 连续性的定义请解释函数在某一点连续的定义。
答案:函数f(x)在某一点x=a处连续,当且仅当lim(x→a) f(x)= f(a)。
4. 连续函数的性质请列举连续函数的几个基本性质。
答案:- 连续函数的和、差、积、商(分母不为零)仍然是连续的。
- 连续函数的复合函数在定义域内是连续的。
- 连续函数的极限等于函数在该点的值。
5. 间断点的分类请说明函数的间断点有哪些类型。
答案:函数的间断点分为以下几类:- 第一类间断点:左极限和右极限都存在但不相等。
- 第二类间断点:左极限或右极限至少有一个不存在。
- 无穷间断点:左极限或右极限为无穷大。
- 振荡间断点:函数值在左极限和右极限之间无限振荡。
6. 连续函数的介值定理请简述连续函数的介值定理。
一、选择题1.若0()lim1sin x x xφ→=,则当x 0→时,函数(x)φ与( )是等价无穷小。
A.sin ||xB.ln(1)x -C.11.【答案】D 。
2.设f(x)在x=0处存在3阶导数,且0()lim 1tan sin x f x x x→=-则'''f (0)=( )A.5B.3C.1D.0 2.【答案】B.解析由洛必达法则可得30002()'()''()limlimlim1tan sin 2cos sin sin cos cos x x x f x f x f x x x x x xx x -→→→==-+-42200''()''()lim lim 16cos sin 2cos cos 21x x f x f x x x x x --→→===-++++可得'''f (0)3= 3.当x 0→时,与1x 133-+为同阶无穷小的是( ) A.3xB.34x C.32xD.x3.【答案】A.解析.12233312332000311(1)1133lim lim (1)3313x x x x x x x ---→→→-+⋅==+=选A 。
4.函数2sin f ()lim 1(2)nn xx x π→∞=+的间断点有( )个A.4B.3C.2D.14.【答案】C.解析.当0.5x >时,分母→∞时()0f x =,故20.5sin 12lim1(2(0.5))2n x π→--=-+⨯-, 20.5sin12lim1(20.5)2n x π→=+⨯,故,有两个跳跃间断点,选C 。
5.已知()bx xf x a e=-在(-∞,+∞)内连续,且lim ()0x f x →∞=,则常数a ,b 应满足的充要条件是( )A.a>0,b>0B.a ≤0,b>0C.a ≤0,b<0D.a>0,b<05.【答案】B 。
解析:0lim ()lim 0,0bbxbx x x a e b x f x a a e be ∞→∞→∞⎧-=∞>⎧⎪==⇒⎨⎨≤--=∞⎪⎩⎩。
6.关于曲线y x = ) A.只有水平渐近线,没有斜渐近线 B.既没有水平渐近线,也没有斜渐近线 C.只有斜渐近线,没有水平渐近线D.既有水平渐近线,又有斜渐近线6.【答案】C 。
解析:由题意可知,无水平渐近线;()lim 2,lim[()]lim[2]11],222x x x x x x f x a b f x ax x x x x y x →∞→∞→∞→∞→∞====-====-=-。
7.若f(x)在x=a 处为二阶可导函数,则'20()()()lim h f a h f a hf a h→+--=( ) A.f"(a)/2B.f"(a)C.2f"(a)D.-f"(a)7.【答案】A 。
解析:'''''200()()()()()()lim lim 22h h f a h f a hf a f a h f a f a h h →→+--+-==。
8.设()232xxf x =+-,则当x 趋近于0时,有( ) A.f (x )是x 的等价无穷小B.f (x )与x 同阶但非等价无穷小C.f (x )是比x 高阶的无穷小D.f (x )是比x 高阶的无穷小8.【答案】B 。
解析:0232()232,limln 2ln 3x x xxx f x x→+-=+-=+,所以()232x x f x =+-与x 是同阶但非等价的无穷小。
9.22223n n n a n ++=-,则lim n n a →∞的值为( )A.2B.3C.4D.59.【答案】A 。
解析:2222414limlim lim 2322n n n n n n n n →∞→∞→∞+++===-。
10.已知函数237()23x f x x x +=--的间断点( )A.X=7B.X=-73C.X=-1或X=3D.X=1或X=-310.【答案】C 。
解析:237()23x f x x x +=--,2230,3,1x x x --==-,所以3,-1是函数的间断点。
11.设当x (0,)∈+∞时1f ()sin x x x=则在(0,+∞)内( ) A.f ()x 与'f ()x 都无界 B.f ()x 有界,'f ()x 无界 C.f ()x 与'f ()x 都有界D.f ()x 无界,'f ()x 有界11.【答案】B.解析01lim ()lim sin0x x f x x x →→==,01lim ()lim sin 0x x f x x x→∞→==故f(x)有界,111'()sin cos f x x x x=-,0lim '()x f x →=∞,无界,选B. 12.在区间[0.1]上,函数nf ()(1)x nx x =-的最大值记为M (n ),则lim ()n M n →∞的值为( ) A.1e -B.eC.2eD.3e12.【答案】A.解析.211'()(1)(1)(1)(1)nn n f x n x xn x n x x nx --=---=---所以f(x)的驻点有两个,分别是x=1和11x n =+,且11x n =+是极大值点又因为是闭区间[0,1],所以11x n =+也是最大值点,所以(1)(1)11()()()(1)111n n n M n f n n n ++===-+++所以当n →∞时. (1)(1)11lim ()lim()lim(1)11n n n n n n M n n n e++→∞→∞→∞==-=++所以极限为1/e 。
选A 。
13. ( )A.B.0C.1D.13.【答案】D 。
解析:由,故选D 。
14.计算:( ). A. B. C.D. 14.【答案】B2+1lim [123...]x n n →∞++++=∞12()22+1112lim [123...]lim 2x x n n n n n →∞→∞+++++==332321lim 752x x x x x →∞+-=-+1237322515.已知=2,其中a.b ,则a-b 的值为( ) A.6B.-6C.2D.-215.【答案】C.解析:由=2可得,所以16.设f(x)=sinx/x ,则x=0是函数f(x)的( ) A .连续点B.跳跃间断点C.第二类间断点D.可去间断点16.【答案】D 。
解析:,存在极限值,且在该点无定义,所以为可去间断点。
17.设,则x=0是函数f(x)的( ). A.可去间断点B.无穷间断点C.连续点D.跳跃间断点17.【答案】D18.设函数f (x )在x =0处连续,且220)(lim nn f n →=2,则( ) A.f (0)=1且f ˊ(0)=2 B. f (0)=0且f ˊ(0)=2 C. f (0)=1且f +ˊ(0)=2D. f (0)=0且f +ˊ(0)=218.【答案】B .【解析】2'2'200()2()lim lim (0)2,(0)02n n f n nf n f f n n→→====,答案选B 。
19.设函数f (x )=x 2+t ,且2lim ()1x f x →=,则t=( )A.-3B.-1C.1D.319.【答案】A .【解析】2lim ()1,(2)1,(2)41,3x f x f f t t →===+==-。
20.计算极限:0lim →x (l+ 2x)x 1,正确的结果为( )。
A .0B.1C.eD.e 220.【答案】D.解析:22210])21[(lim e x x x =+→.故选择D. 21.x=O 为函数f(x)=sinx.sin x1的( ) A.可去间断点B .跳跃间断点C.无穷间断点D.振荡间断点⎪⎪⎭⎫⎝⎛--+∞→b ax x x x 12lim 2R ∈22222lim lim 11x x x x ax ax bx bax b x x →∞→∞⎛⎫------= ⎪++⎝⎭2,2a a b =--=0, 2.b a b =-=0sin lim1x xx→=0()0 0x f x x ≠=⎪=⎩21.【答案】A.解析:有界函数与无穷小量的乘积仍为无穷小量,即01sinsin lim 0=⋅→xx x . 但是x=0是函数没有定义.因此x=0为函数f(x)=sinx.sinx1的可去间断点. 22.设函数f (x )=1x 21-e asinxx 0x =≠在x=0处连续,则常数a 的值为( )。
A. 1B. 2C. 3D. 422.【答案】B.解析:由题设可知1x 21-e lim asinx 0=→x .当0→x 时,有0sin →x a ,则12sin sin 1lim sin 0=⋅-→xxa x a e x a x ,即满足12=a ,所以2=a .故选择B. 23.已知f (x )=12sin x e ot dt -⎰,g (x )=33x +44x ,则当x →0时,f (x )是g (x )的( )A.高阶无穷小B.低阶无穷小C.等价无穷小D.同阶但非等价无穷小23.【答案】C 。
解析:()()()()()000'lim 0,lim lim 'x x x f x f x f x g x g x →→→=∴=,()()2'sin 1x x f x e e =-, ()22232300sin 1limlim 1x xxx x e e x e x x x x→→-==++,()f x ∴是g(x)的等价无穷小。
24.如果222lim 2x x ax bx x →++--=2,则ab 的值为( )A .2B .-4C .8D .-1624.【答案】D 。
解析:222lim 2x x ax bx x →++--= 22lim (2)(1)x x ax b x x →++-+因为x 趋向于2,所以要消去x-2,即2x ax b ++可分解为(2)()x x c -+的格式即22lim (2)(1)x x ax b x x →++-+=2lim 21x x c x →+=+,所以c=4,所以2(2)(4)28x x x x -+=+-,所以a=2,b=-8,所以ab=-16。
25.设f (x )在x =0的某个邻域内连续,f (0)=0,02()lim12sin2x f x x→=,则f (x )在x =0处( )A .可导B .可导且f '(0)≠0C .取得极大值D .取得极小值25.【答案】D 。