广东财经大学09-10微积分2期末试题
- 格式:pdf
- 大小:155.49 KB
- 文档页数:2
《微积分Ⅱ》课外练习题一、选择:1. 函数在闭区间上连续是在上可积的. ( )A.必要而不充分条件 B.充分而不必要条件C.充要条件 D.无关条件2. 二元函数定义域是. ( ) B.D.比较大小:. ( )B. C. D.不确定4.微分方程的阶数是. ( )A.5 B.3 C.2 D.15.下列广义积分发散的是. ( )A. B. C. D.6.是级数收敛的条件. ( )A.必要非充分 B.充分非必要 C.充分必要 D.无关7.如果点为的极值点,且在点处的两个一阶偏导数存在,则点必为的. ( )最大值点 B.驻点 C.最小值点 D.以上都不对微分方程是微分方程. ( )A.一阶线性非齐次 B. 一阶齐次 C. 可分离变量的 D. 一阶线性齐次9 .设是第一象限内的一个有界闭区域,而且。
记,,,则的大小顺序是. ( )C. D.10. 函数的连续区域是. ( )B.D.1. . ( )B. C. D.12.下列广义收敛的是. ( ) A. B. C. D..下列方程中,不是微分方程的是. ( ) A. B. C. D..微分方程的阶数是. ( )A.5 B.3 C.2 D.1.二元函数的定义域是. ( )A. B.C. D..设,则 ( )A. B. C. D..= 其中积分区域D为区域:. ( )A. B. C. D.18.下列等式正确的是. ( ) A.B.C.D.19.二元函数的定义域是. ( )A. B.C. D.20.曲线在上连续,则曲线与以及轴围成的图形的面积是.( )A.B.C.D.||.. ( )A. B. C. D.22.= 其中积分区域D为区域:. ( )A. B. C. D.23.下列式子中正确的是. ( )A. B.C. D.以上都不对24. 二元函数的定义域是 ( )A. B.C. D.25.二元函数在点的某一邻域内有连续的偏导数是函数在点的.( )A.必要而不充分条件 B.充分而不必要条件C.充要条件 D.无关条件26.设,则. ( )A. B. C. D.. . ( )A. B. C. D.. = 其中积分区域D为区域:. ( )A. B. C. D.29. . ( )A. B. C. D.30. 则=. ( )A. B. C. D.31.函数的连续区域是. ( )A. B.C. D.32. . ( )A. B. C. D.33.差分方程的阶数为. ( )A. B. C. D.34.微分方程的阶数是 ( )A. B. C. D.35.函数的定义域是. ( )A. B.C. D.36.级数的部分数列有界是该级数收敛的. ( )A.必要而不充分条件 B.充分而不必要条件C.充要条件 D.无关条件37. ,其中积分区域D为区域. ( )A. B. C. D.38.微分方程的阶是. ( )A.一阶 B. 二阶 C.三阶 D.以上均不对 39.. ( )A. B. C. D.40.二元函数的定义域是 ( )A. B.C. D.以上都不对41.设,则 ( )A. B. C. D.42.下列式子中正确的是. ( )A. B. C. D.以上都不对43., ( )A. B. C. D.44.微分方程是. ( )A.一阶线性非齐次微分方程 B.一阶齐次微分方程C.可分离变量的微分方程 D.不可分离变量的微分方程45. 设是第二象限内的一个有界闭区域,而且。
广东商学院试题试题参考答案及评分标准2009-2010学年第二学期课程名称 微积分II (A 卷)课程代码100013 课程负责人 彭求实 共2页…………………………………………………………………………………………………一, 填空题(每小题3分,共30分)1,{}x y y x ≤),( 2,xxln 2 3,发散 4,0 5,dy ydx x)11()11(-++6,y=cx 7,收敛 8,R(x)=x 3+1000x9, 10,2二, 单选题(每小题3分,共15分) 1,B 2,B 3,C 4,C 5,D 三, 计算题(每小题8分,共32分)1、 解:分)2(11101/1)1()()()(⎰⎰⎰+-=-=dxx x f dx x f x xf dx x xf 令分)4(22,1,1tdtdx t x t x =-==+分)8(10/分)6(21213分)4(2134267)23234()1()(23234)232()1(21⎰⎰⎰-=--=∴-=-=-=+f dx x xf t t dtt dx x x2、分)8(分)6(14103分)4(1022分)2(021281812121=====⎰⎰⎰⎰⎰⎰x dxx dxy x dydxy x yd x x xDσ3、整理方程得:分)2(0),,(=+++=y z e e z y x F xy z分)4(1,1,+=∂∂+=∂∂=∂∂z zy xy e zFxe yFy e x F分)8(分)6(11,1++-=∂∂∂∂-=∂∂+-=∂∂∂∂-=∂∂zzy z xy e xe zF y Fy z e ye zF x Fx z 4、先用比值判别法判别∑∞=1!3nnn 的敛散性, (2分) ⎰⎰----111122),(y y dxdy y x f分)6(分)4(111013lim 3!.)!1(3lim lim <=+=+=∞→+∞→+∞→n n n u u n n n n nn n ∑∞=1!3nn n 收敛,所以∑∞=-1n !3)1(n n n 绝对收敛。
广东金融学院期末考试试题 (B )2009—2010 学年 第二学期《微积分II 》答案一、填空题、 (每小题3分,共15分) 1.{}41,),((22<+≤>y xx y y x ; 2. 2;3.⎰⎰ydx y dy 0210sin ; 4. ),(11-; 5、3ln 23ln -.二、选择题(每小题3分,共15分)6.D7.B8.D9.B 10.C 三、求解下列各题(每小题5分,共40分) 11. 解;ye ye xz xy +=∂∂ ----------(2分) .2ye xye e yx z xy xy ++=∂∂∂ ---------(5分) 12、两边求全微分03)(=+---dz e dz xy d ez xy-------------- (2’)03)(=+-+--dz e dz xdy ydx ez xy----------------------(3’)3)(-+=-z xy e xdy ydx e dz -----------------------------------(5’)13. 解 设,,22xy v y x u =-= 则),(v u f z = -------------- (1分)则;221yf xf xz+=∂∂ -------------- (3分) ;222xf yf yz+-=∂∂ -------------- (5分) 14.解:dxdy x xI D⎰⎰=sin ⎰⎰=xdy xxdx 01sin ----------------------( 2分 ) ⎰⋅=10sin dx x y xx-------------( 3分 ) ⎰=10sin xdx ----------------------( 4分 ).1cos 1-= ----------------------( 5分 )15.解:⎰⎰⎰⎰-+-=Dr Dyx rdrd edxdy eθ22)2( ---------------------------( 2分 )⎰⎰-=2202r d re d r πθ --------------------------------( 3分) ⎰--=πθ2002)21(2d e r ---------------------------( 4分 )).1(4--=e π ---------------------------------( 5分 )16.解:因为1221331-∞→+∞→+=n n n nn n n )n (lim u u lim , ------------- (2 分)2231n )n (lim n +=∞→ ----------------------(3分) 131<= ----------------------(4分) 故级数绝对收敛. ---------------------(5分)17. 212)1(2lim lim 11=+⋅=+∞→+∞→n n n nn n n n a a , 故收敛半径为2. ------------ (2分) 又2=x 时, 级数∑∑∞=∞==⋅11122n n nn nn 发散, ----------- (3分) 2-=x 时, 级数()∑∑∞=∞=-=⋅-11)1(22n n nn nnn 收敛, ----------- (4分) 故收敛域为),[22- ----------------------------------(5分)18. 解22-⋅=x x e e e ---------- ----------- (2分) ∑∞=-⋅=02!)2(n nn x e ----------------------(4分) 收敛区间为 ),(+∞-∞ ------------------------(5分) 四、应用题(每小题8分,共24分)19.解 y z x x z y x 6,632-=-=, ----------- (2分)由,0==y x z z 得驻点),0,2(),0,0( ----------- (3分),6,0,66-==-=yy xy xx z z x z ----------- (4分)∴在()0,0点,,6,0,6-==-=C B A ,02<-AC B ----------- (5分)有极大值,0)0,0(=f ----------- (6分) 在()0,2点,,6,0,6-===C B A ,02>-AC B 无极值 ------ (8分) 20. 求由曲面222y x z +=和2226y x z --=所围成的立体的体积。
09级高数(下)期末考试题及参考答案一、选择题(每小题2分, 共计12分) 1. 微分方程 是( B )(A )可分离变量方程 (B )齐次方程 (C )一阶线性方程 (D )伯努利方程2. 函数 的定义域是( A )(A )}1),{(22<+=y x y x D (B )}1),{(22≥+=y x y x D (C )}1),{(22=+=y x y x D (D )}1),{(22≤+=y x y x D 3. 对于函数 , 在点 处下列陈述正确的是( C )(A )偏导数存在⇒连续 (B )可微⇔偏导数存在 (C )可微⇒连续 (D )可微⇔偏导数连续4. 设 : 则三重积分 等于( B )(A )4⎰⎰⎰202013cos sin ππρϕϕρϕθd d d (B )⎰⎰⎰ππρϕϕρϕθ202013cos sin d d d(C )⎰⎰⎰2012sin ππρϕρϕθd d d (D )⎰⎰⎰ππρϕϕρϕθ2013cos sin d d d5. 设有界闭区域D 由分段光滑曲线L 所围成, L 取负方向, 函数 在D 上具有一阶连续偏导数, 则 A (A )⎰⎰∂∂-∂∂Ddxdy x Q y P )((B )⎰⎰∂∂-∂∂Ddxdy x P y Q )( (C )⎰⎰∂∂-∂∂D dxdy y Q x P )( (D )⎰⎰∂∂-∂∂D dxdy y P x Q )( 二、填空题(每小题2分, 共计12分) 1. 微分方程 的通解为___ ____.2. 设函数 , 则 。
3. 交换积分次序后, ____ ____4. 设平面区域D : , 则5.设曲线L 是连接 和 的直线段, 则曲线积分 ____ 6. 函数 在 处的泰勒级数为____ _____. 三、求解下列问题(每题7分, 共63分) 1. 求微分方程 的通解 解:令 , 则 , , 分离变量: 两边积分, 得 即 , , 2.设 , 求222y xy x y x x z +++=∂∂,222y xy x y x y z +++=∂∂所以 =∂∂+∂∂y z y x z x 2222y xy x xy x +++2222yxy x y xy ++++2= 3. 设 , 且 具有二阶连续偏导数.求 解: , ,)(2221212112xf f y f xf f yx z++++=∂∂∂2221211)(xyf f f y x f ++++= 4. 求椭球面 在点(1, 1, 1)处的切平面方程和法线方程。
微积分Ⅱ期末考试试卷1一、填空题(将正确答案写在答题纸的相应位置. 答错或未答,该题不得分.每小题3分,共15分.)1.若c x g dx x f +=⎰)()(,则=⎰dx x xf )(cos sin ________.2.极限=⎰→xtdt xx 020cos lim________.3.已知xy z =而)tan(t s x +=,)cot(t s y +=则=∂∂sz________. 4.设{}10,10),(≤≤≤≤=y x y x D 则=⎰⎰Dxy d xe σ________.5.微分方程02=+''y y 的通解为________.二、单项选择题(从下列各题四个备选答案中选出一个正确答案,并将其代码写在答题纸的相应位置.答案选错或未选者,该题不得分.每小题3分,共15分.) 1.设⎰=+21xdx ________.A. c x +arctanB. c x x +++)1ln(2C. c x ++212D. c x ++)1ln(212.2.下列积分值为0的是________.A. ⎰+∞+0211dx xB. ⎰-1121dx xC. ⎰-++ππdx x x x )cos 1sin (2D. ⎰--1121dx x . 3.函数),(y x f z =在点),(00y x 处可微的充分条件是函数在该点处________. A.有极限 B.连续 C.偏导数存在 D.有连续的偏导数. 4. =⎰⎰10),(xdy y x f dx ________.A. ⎰⎰1010),(dx y x f dy B. ⎰⎰y dx y x f dy 01),(C. ⎰⎰100),(y dx y x f dy D. ⎰⎰101),(ydx y x f dy .5.下列级数收敛的是________.A .∑∞=-+-12123n n n n B. nn n n∑∞=+1)1(C . ∑∞=⎥⎦⎤⎢⎣⎡-1)32(1n n n D. ∑∞=1!n n nn .三、(计算题请写出主要步骤及结果,每小题6分,共18分.) 1. ⎰dx e x x 2 2. ⎰+41)1(x x dx 3.请给出第七章(定积分)的知识小结.四、(请写出主要计算步骤及结果,6分.) 已知方程z x e z xy +=+ 确定函数),(y x z z = 求dz . 五、(请写出主要计算步骤及结果,8分.)求⎰⎰++Dd y x σ)1ln(22,其中D 为圆周122=+y x 围成的区域.六、(请写出主要计算步骤及结果,8分.) 求初值问题的解⎩⎨⎧=+==0)2(0x y dx y x dy 七、(请写出主要计算步骤及结果,8分.) 求幂级数∑∞=-0)1(n nnnx 的收敛半径,收敛区间.并求∑∞=03n nn的和. 八、(请写出主要计算步骤及结果,8分.)求由2x y =与2y x =所围成的平面图形的面积,并求此平面图形分别绕x 轴,y 轴旋转所成的体积.九、经济应用题(请写出主要计算步骤及结果,8分.)某厂生产某种产品的生产函数为y x Q 2005.0=,若甲、乙两种原料的单价分别为1万元和5万元,现用150万元购原料,求两种原料各购多少时,能使生产量最大?最大生产量为多少? 十、证明题(请写出推理步骤及结果,6分.)设)(x f 在],[b a 上连续,在),(b a 内可导,且有M x f ≤'(及0)(=a f ,试证:⎰-≥b adx x f b a M )()(22微积分Ⅱ期末考试试卷1答案一、1.c x g +-)(cos 2.1 3.)(csc )tan()cot()(sec 22t s t s t s t s ++-++4.2-e5.x c x c y 2sin 2cos 21+= 二、1.B 2.C 3.D 4.D 5.D三、1. ce xe e x dxe xe e x xde e x dx xe e x de x dx ex xxxx x x x x x x x x++-=+-=-=-==⎰⎰⎰⎰⎰2222222222222. x t =2t x =⎰⎰⎰=-=+=+-=+=+41212121234ln 221ln 232ln 21ln 2)111(2)1(2)1(t t dt t t t t tdt x x dx四、z x e z xy z y x F +-+=),,(z x x e y F +-= x F y = z x z e F +-=111-+--=---=-=∂∂++z xy zxy y e e y F F x z zx z x Z x 11-+=--=-=∂∂+z xy xe x F F y z z x Z y dy z xy xdx z xy z xy y dy y z dx x z dz 11-++-+--=∂∂+∂∂=五、⎰⎰⎰⎰+=++Drdr r d d y x 122022)1ln()1ln(πθσ⎥⎦⎤⎢⎣⎡+-+=+=⎰⎰⎰1022210221022201)1ln()1ln(21dr r r r r dr r d πθπ 1021021022)1ln(2ln )111ln(2ln r r dr r ++-=⎥⎦⎤⎢⎣⎡+--=⎰ππππ )12ln 2(2ln 22ln 2ln -=-=+-=ππππππ六、x y y 2=-'⎥⎦⎤⎢⎣⎡+⎰=⎰---c dx xe e y dx dxf )1()1(2[]c dx xe exx +=⎰-2[][]⎰⎰++-=+-=---c dx e xee c xde e x xxxx222x ce x +--=22因为00==x y 所以c =2 所求特解为)1(2--=x e y x七、111=+==+n na a R n n 当1±=x 时∑±nn )1(发散 收敛区间为)1,1(- 设∑∑∞=-∞===10)(n n n nnx x nxx S设∑∞=-=1)(n n nxx T则xx xdx nxdx x T n n x n n x n n x-====∑∑⎰∑⎰∞=∞=∞=-11)(012)1(1)(x x T -=所以2)1()()(x xx xT x S -==31=x 时 439431)311(31)31(320==-==∑∞=S n n n 八、31)(102=-=⎰dx x x S()dx x x V x ⎰⎥⎦⎤⎢⎣⎡-=10222)(ππ103=()ππ103)(10222=⎥⎦⎤⎢⎣⎡-=⎰dy y yV y九、解 )1502(005.0),,(2-++=y x y x y x F λλ 0001.0=+=λxy F x02005.02=+=λx F y ⎩⎨⎧==⇒25100y x01502=-+=y x F λ ==25*100*005.02Q 十、b a a x f a f x f x f <<-'=-=ξξ))(()()()(M x f ≤')()()(a x M x f -≤22)(212)()()(a b M a x M dx a x M dx x f baba b a-=-⋅=-≤⎰⎰dx x f dx x f b ab a⎰⎰≥)()(2)(2)(a b Mdx x f b a-≤⎰dx x f b a M b a⎰-≥)()(22微积分Ⅱ期末考试试卷 2一、填空题(将正确答案写在答题纸的相应位置. 答错或未答,该题不得分.每小题3分,共15分.)1.已知cos()z xy =,而()y x ϕ=可导,则dzdx=________. 2.若2()1f x xdx c x x =++⎰,则()f x =________.3.p ________时,广义积分22111(1)p dx x --⎰发散.4.若20cos (1),(,)(2)!nnn x x x n ∞==-∈-∞+∞∑,则函数2sin x 的麦克劳林级数等于________. 5.微分方程0y ay y '''+-=的通解为12x x y c e c e -=+,则a =________.二、单项选择题(从下列各题四个备选答案中选出一个正确答案,并将其代码写在答题纸的相应位置.答案选错或未选者,该题不得分.每小题3分,共15分.)1.设xy z xe =,则'x z =________.A.xy xyeB.xy e x 2C.xy eD.xy e xy )1(+ . 2.=________.A.x c + B. arcsinc +C.c +3x c +.3.下列结论正确的个数是________.(1)11230x dx x dx <⎰⎰ (2)22211x e e dx e ---<<⎰(3)cos 0x xdx ππ-=⎰(4)2221[sin ]2sin x t dt x x '=⎰A.0B.1C.2D.3. 4.1200(cos ,sin )d f r r rdr πθθθ=⎰⎰ ________.A. 110(,)dy f x y dx ⎰⎰ B. 10(,)dx f x y dy ⎰⎰C. 110(,)dx f x y dy ⎰⎰ D. 1(,)dy f x y dx ⎰⎰.5.微分方程1y y '-=的通解是________. A .x y ce = B. 1x y ce =+ C .1x y ce =- D. (1)x y c e =+.三、(请写出主要计算步骤及结果,每小题8分,共16分.) 1. arctan x xdx ⎰ 2. 41⎰.四、(请写出主要计算步骤及结果,8分.)已知方程sin xy x z yz += 确定函数(,)z f x y = ,求dz . 五、(请写出主要计算步骤及结果,8分.)求2()Dx y d σ-⎰⎰,其中D 是由直线2y =,y x =及2y x =围成的区域.六、(请写出主要计算步骤及结果,8分.)求由y =与3y x =所围成的平面图形的面积,并求此平面图形绕x 轴旋转所形成的立体的体积.七、(请写出主要计算步骤及结果,8分.)判断级数n ∞=的敛散性.八、(请写出主要计算步骤及结果,8分.)求幂级数1(1)nn n e x n∞=-∑的收敛半径,收敛区间.九、经济应用题(请写出主要计算步骤及结果,8分.)某工厂生产A 、B 两种产品,单位成本分别为2元和14元,需求量分别为1Q 件和2Q 件,价格分别为1P 元和2P 元,且满足关系式1214()Q P P =-,2128048Q P P =+-,试求A 、B 两种产品的价格1P ,2P ,使该厂总利润最大(要求利用极值的充分条件). 十、证明题(请写出推理步骤及结果,6分.) 设)(x f 为连续函数,试证:()()(())x x tf t x t dt f u du dt -=⎰⎰⎰.微积分Ⅱ期末考试试卷2答案一、填空题(每小题3分,共15分)1.sin[()][()()]x x x x x ϕϕϕ'-+2. 21x x ⎛⎫ ⎪+⎝⎭ 3.1p ≥4.()()1212121,(2)!n n n n x x n --∞=-∈-∞+∞∑ 5.0二、单项选择题(每小题3分,共15分) 1.D 2.C 3.B 4.B 5.C三、(请写出主要计算步骤及结果,每小题8分,共16分.)1.2222222221arctan arctan (1211arctan (32211111arctan (5221111arctan arctan 22211(1)arctan (822x xdx xdx x x x dx x x x x dx x x x x x c x x x c ==-++-=-+=-++=+-+⎰⎰⎰⎰分)分)分)分)2.44114141(2(42ln(1(632ln(82===+=⎰⎰⎰分)分)分)分).四、(请写出主要计算步骤及结果,8分.)sin (1sin cos (4sin (5cos (6cos sin (8cos cos x y z x z y z F xy x z yz F y z F x z F x z y F z y z x F x z yF z x z y F x z y y z x zdz dx dyx z y x z y=+-'''=+=-=-'∂+=-='∂-'∂-=-='∂-+-=+--分),,分)分)分)分)五、(请写出主要计算步骤及结果,8分.)图(1分)22222220222303420()()(31()(5231()(68211()(7881(8yy Dy y x y d dy x y dx x xy dyy y dy y y σ-=-=-=-=-=-⎰⎰⎰⎰⎰⎰分)分)分)分)分)六、(请写出主要计算步骤及结果,8分.)图(1分)130341201260)(321()(4345(512](75(814x S x dxx x V x dx ππ=-=-==-=⎰⎰分)分)分)分)分)七、(请写出主要计算步骤及结果,8分.)1(4n =分)由比较判别法的极限形式知级数3121,n n n∞∞==∑敛散性相同,因为3121,n n∞=∑所以0n ∞=收敛。
浙江大学2007-2008学年春季学期 《微积分Ⅱ》课程期末考试试卷一 、填空题(每小题5分.共25分.把答案填在题中横线上) 1.点M (1,-1, 2)到平面2210x y z -+-=的距离d = . 2.已知2a =,3b =,3a b ⋅=,则a b += . 3.设(,)f u v 可微.(,)yxz f x y =,则dz = .4.设()f x 在[0.1]上连续.且()f x >0, a 与b 为常数.()}{,01,01D x y x y =≤≤≤≤,则()()()()Daf x bf y d f x f y σ++⎰⎰= .5.设(,)f x y 为连续函数.交换二次积分次序2220(,)x x dx f x y dy -=⎰⎰.二 、选择题(每小题5分.共20分.在每小题给出的四个选项中只有一个是符合题 目要求的.把所选字母填入题后的括号内)6.直线l 1:155121x y z --+==-与直线l 2:623x y y z -=⎧⎨+=⎩的夹角为 (A )2π . (B )3π . (C )4π . (D )6π. [ ] 7.设(,)f x y 为连续函数.极坐标系中的二次积分cos 2d (cos ,sin )d f r r r r πθθθθ⎰⎰可以写成直角坐标中的二次积分为(A)100(,)dy f x y dx ⎰⎰ (B)100(,)dy f x y dx ⎰⎰(C)10(,)dx f x y dy ⎰⎰(D)10(,)dx f x y dy ⎰⎰[ ]8.设1, 02()122, 12x x f x x x ⎧≤≤⎪⎪=⎨⎪-≤⎪⎩ ()S x 为()f x 的以2为周期的余弦级数.则5()2S -=(A )12. (B )12-. (C )34. (D )34-. [ ] <9.设,)(0,0),(,)0, (,)(0,0),x y f x y x y ≠==⎩则(,)f x y 在点O (0,0)处(A )偏导数存在.函数不连续 (B )偏导数不存在.函数连续(C )偏导数存在.函数连续 (D )偏导数不存在.函数不连续 [ ] 三、解答题10.(本题满分10分)求曲线L :2222222393x y z z x y⎧++=⎪⎨=+⎪⎩在其上点M (1.-1.2)处的切线方程与法平面方程.11.(本题满分10分)设F 可微.z 是由F (x y -,,)0y z z x --=确定的可微函数.并设23F F ''≠.求z zx y∂∂+∂∂. 12.(本题满分10分)设D 是由曲线3y x =与直线y x =围成的两块有界闭区域的并集.求2[e sin()]d xDx y σ++⎰⎰. 13.(本题满分10分)求空间曲线L :222920335x y z x y z ⎧+-=⎨++=⎩上的点到xOy 平面的距离最大值与最小值.14.(本题满分10分)设平面区域D ={}(,)01,01x y x y ≤≤≤≤.计算二重积分22 1 d Dx y σ+-⎰⎰.15.(本题满分5分)设当y >0时(,)u x y 可微.且已知222222(,)()(2)y x du x y xy dx x y y dy x y x y=++-++++. 求(,)u x y .浙江大学2007-2008学年春季学期《微积分II 》课程期末考试试卷答案一、填空题(每小题5分.共25分) 1.231421=-++=d .2.22()()2496a b a b a b a b a b +=+⋅+=++⋅=++=3.()()dy xy f x x f dx y y f yx f dz x y x y 121211ln ln --'+⋅'+'+⋅'=4.()()()()()()()()⎰⎰⎰⎰++=++=D Dd x f y f x bf y af d y f x f y bf x af I σσ. ()()⎰⎰+=+=+=∴Db a I b a d b a I 21,2σ.5.()()2220111,,x x dx f x y dy dy f x y dx --=⎰⎰⎰⎰或 ()0111,dy f x y dx -⎰⎰或 ()1101,dy f x y dx -⎰⎰.二、选择题(每小题5分.共20分) 6.选(B ).l 1的方向向量{}1,2,1-.l 2的方向向量{}2,1,1--.{}{}3,2163662,1,11,2,1cos πθθ===--⋅-=.7.选(D ). 积分区域(){}0,,22≥≤+=y x y x y x D .化成直角坐标后故知选(D ).8.选(C ). 511111113()()()((0)(0))(1)222222224S S S f f -=-==-++=+=.9.选(A ). ()()0000,0lim0,0,00x y x f f x→-''===.偏导数存在. 取kx y =.()4411lim,lim kk kk kx x f x x +=+=→→随k 而异.所以不连续.三、解答题(10~14每题10分.15题5分.共55分) 10.由L .视x 为自变量.有⎪⎩⎪⎨⎧=-+=++.0226,0264dx dz z dx dy y x dx dz z dx dy y x 以()()2,1,1,,-=z y x 代入并解出dxdzdx dy ,.得 87,45==dx dz dx dy . 所以切线方程为87245111-=+=-z y x .法平面方程为()()()57112048x y z -+++-=.即0127108=-++z y x .11.133212232332,,1y x z z F F F F F F F F z z z z x F F F y F F F x y F F ''''''''--+∂∂∂∂=-=-=-=-+==''''''''∂-+∂-+∂∂-.12.D 在第一象限中的一块记为D 1.D 在第三象限中的一块记为D 2.()()()()⎰⎰⎰⎰⎰⎰⎰⎰⎰⎰+++++=++2122122sin sin sin D D DD x D x x d y x d y x d e d e d y x eσσσσσ.32222312101xx x x x xxxD D e d e d dx e dy dx e dy σσ-+=+⎰⎰⎰⎰⎰⎰⎰⎰ ()()()()222210103333011x x x x x x e dx xx e dx x x e dx xx e dx -=-+-=-+-⎰⎰⎰⎰()2111130021()112x u u u u x x e dx e du ue du e ue e e e =-=-=---=--=-⎰⎰⎰()()()()3312101sin sin sin sin x x xxD D x y d x y d dx x y dy dx x y dy σσ-+++=+++⎰⎰⎰⎰⎰⎰⎰⎰()()()()103301cos cos cos cos x x x x dx x x x x dx -⎡⎤⎡⎤=-+-+-+-+⎣⎦⎣⎦⎰⎰ ()()()()13301cos cos cos cos 0x x x x dx x x x x dx ⎡⎤⎡⎤=-+-+++-+=⎣⎦⎣⎦⎰⎰ 所以.原式2-=e .13.L 上的点到平面xoy 的距离为z .它的最大值点.最小值点与2z 的一致.用拉格朗日乘数法.设()()()53329,,,,2222-+++-++=z y x zy x z z y x F μλμλ.求偏导数.并令其为零有:20F x x λμ∂=+=∂.1830F y x λμ∂=+=∂. 2430F z z z λμ∂=-+=∂.22920Fx y z x∂=+-=∂ . 3350Fx y z μ∂=++-=∂ . 解之得两组解()()1215,,(1,,1);,,(5,,5)33x y z x y z ==--. 所以当31,1==y x 时.1=z 最小;当35,5-=-=y x 时.5=z 最大.14.将分成如图的两块.41的圆记为D 1.另一块记为D 2()⎰⎰⎰⎰--=-+DD d y x d y x 1222211σσ+()⎰⎰-+2122D d y x σ ()()()σσσd y x d y x d y xD DD ⎰⎰⎰⎰⎰⎰-+--++--=11111222222()()()()1222211122220211211211()43343D Dx y d x y d d r rdr dy xy dx πσσθππ=--++-=-++-=+-+=-⎰⎰⎰⎰⎰⎰⎰⎰15.由()222222,()(2)y x du x y xy dx x y y dy x y x y =++-++++.有222xy y x y x u ++=∂∂.从而知()()y y x y x y x u ϕ++=2221arctan,.又由y y x yx x y u 2222+++-=∂∂.推知 ()22222221()xx y x y y x y y x x y y ϕ-'++=-++++. ()()22,y y y y C ϕϕ'==+所以.()2221,arctan2x u x y x y y C y =+++. 注:若用凑的办法亦可:222222()(2)y x xy dx x y y dy x y x y++-++++()()22222211221()ydx xdy ydx xdy xy ydx xdy ydy d xy dy x x y y y--=+++=++++ ()221(arctan)2x d xy y y =++ 所以.()C y y x y x y x u +++=22221arctan,. ()()u f u F ='.浙江大学2006–2007学年春季学期 《 微积分Ⅱ 》课程期末考试试卷开课学院: 理学院 考试形式:闭卷 考试时间: 年 月 日 所需时间:120 分钟 考生姓名: _____学号: 专业: ________一、 填空题(每小题5分.满分30分) 1. 直线63321-==+z y x 在平面0522=--+z y x 上的投影直线方程为.2. 数量场2),,(zye z y x g x +=在)0,3,1(P 点的梯度为 .=u函数)ln(),,(22z y x z y x f ++=在P 点沿u的方向导数为 .3. 设ϕϕ,),2,3(),,(f y x x u u x f z+== 具有二阶连续偏导数.则=∂∂∂yx z 2.4. 设}1,11|),{(3≤≤≤≤-=y x x y x D.则=+⎰⎰+Dy xy x e y x x d d )(222.5. 已知曲面1=z y x 与椭球面193222=++z y x 在第一卦限内相切.则切点坐标为 .公共切平面方程为.6. 设函数⎪⎩⎪⎨⎧<≤<≤=121,210,)(2x x x x x f .∑∞=+=10cos 2)(n n x n a a x S π.其中,2,1,0,d cos )(210==⎰n x x n x f a n π.则.)27(=S二、 (满分10分)求直线 ⎩⎨⎧=-++=-+-022012z y x z y x 绕x 轴旋转一周所得的旋转曲面方程.1002 22dd x yex y.三、(满分10分)计算⎰⎰-四、 (满分15分)已知),(y x z z =由方程013=++zxe z y 确定.试求1022==∂∂y x x z.五、 (满分15分)设平面),,(,1:z y x d y x =+π为曲线⎪⎩⎪⎨⎧=++=++014222z y x z y x 上的点),,(z y x 到平面π的距离.求),,(z y x d 的最大.最小值 .六、 (满分15分)如图是一块密度为ρ(常数)的薄板的平面图形(在一个半径为R 的半圆直 径上拼上一个矩形.矩形的另一边为h ),已知平面图形的形心位于原点(0, 0). 试求:1. 长度 h ;2.薄板绕x 轴旋转的转动惯量.七、 (满分5分) 求证:当0,1≥≥s t 时.成立不等式 s e t t t ts +-≤ln .参考解答:一.1.⎩⎨⎧=--+=+-0522043z y x z y x ; 2. 21},0,,3{e e ;3. )3(2))(3(2222122222122212ϕϕϕϕϕϕ''+''⋅'+'+'⋅'⋅''+'''f f f ; 4.;32 5. ;03313,3,1,31=-++⎪⎭⎫⎝⎛z y x 6. 83.二.直线:t z t y t x -=-==1,1,曲面上点→),,(z y x P 直线上点00000001,1),,,(x z x y z y x -=-=22222020220)1()1(,,x x z y z y z y x x -+-=+⇒+=+=则旋转曲面方程:222)1(2x z y -=+三.⎰⎰10222d d xy ex y -⎰⎰⎰-==--212212220142)d 41(d d y y e x e y 2y yy2120202020221d d d d 212212212212212------=-+=+=⎰⎰⎰⎰e y e ey y e e y y e yy y y y四.,1)1,0(-=z ,032=∂∂++∂∂⋅x z xe e x z z y z z ex z y x 3110-=∂∂∴== ,02632222222=∂∂+⎪⎪⎭⎫ ⎝⎛∂∂+∂∂+⎪⎪⎭⎫ ⎝⎛∂∂⋅+∂∂⋅x z xe x z xe x z e x z z y x z z y z z z 2102294ex zy x =∂∂∴== 五.|1|21),,(-+=y x z y x d )14()()1(2222-++++++-+=z y x z y x y x L μλ⎪⎪⎪⎪⎩⎪⎪⎪⎪⎨⎧=-++='=±===++='==+='-==⇒≠=++-+='=⇒==++-+='014,01302,002)1(20,002)1(22223231221z y x L z y x z y x L x z L xz x y y y x L x y x L z y xμλμλμμλλμμλ,无解最小距离:2236),,(323131-=-d .最大距离:2236),,(323131+=--d六.形心:01,0=⇒==⎰⎰⎰⎰DDxdxdy xdxdyx y σ即0d cos d d d 220=⋅+⎰⎰⎰⎰---ππθθRhRRr r r y x xR h R h R 320312)21(232=⇒=⋅+-⋅ ⎰⎰=Dxdxdy y I 2302202)832(d θsin d d d 22R R h r r r y y x RhRR πθππ+=⋅+=⎰⎰⎰⎰--- 七.设0)0,1(,ln ),(=-+-=F ts e t t t s t F s.ln ,0),(t s e t t e s t F s s s ==⇒=-=' 且对固定的1>t . 当,0),(,ln 0<'<<s t F t s s 当,0),(,ln >'>s t F t ss所以.t s ln =取得最小值且为0.则 0),(≤s t F .即s e t tt ts +-≤ln1、已知22(,)yf x y x y x +=-,则=),(y x f _____________.2、已知,则=⎰∞+--dx e x x21___________.π=⎰∞+∞--dx e x 23、函数22(,)1f x y x xy y y =++-+在__________点取得极值. 4、已知y y x x y x f arctan )arctan (),(++=,则=')0,1(x f ________.5、以x e x C C y 321)(+=(21,C C 为任意常数)为通解的微分方程是____________________. 6 知dxexp ⎰∞+- 0)1(与⎰-ep x x dx11ln 均收敛,则常数p 的取值范围是( c ).(A) 1p > (B) 1p < (C) 12p << (D) 2p >7 数⎪⎩⎪⎨⎧=+≠++=0 ,0 0,4),(222222y x y x y x x y x f 在原点间断,是因为该函数( b ).(A) 在原点无定义 (B) 在原点二重极限不存在 (C) 在原点有二重极限,但无定义(D) 在原点二重极限存在,但不等于函数值 8、若2211x y I +≤=⎰⎰,22212x y I ≤+≤=⎰⎰,22324x y I ≤+≤=⎰⎰,则下列关系式成立的是( a).(A)123I I I >> (B)213I I I >> (C)123I I I << (D)213I I I <<9、方程xe x y y y 3)1(596+=+'-''具有特解( d ). (A) b ax y += (B) x e b ax y 3)(+= (C) x e bx ax y 32)(+= (D) x e bx ax y 323)(+=10、设∑∞=12n na收敛.则∑∞=-1)1(n nna ( d ).(A) 绝对收敛 (B) 条件收敛 (C) 发散 (D) 不定 一、填空题(每小题3分,共15分)1、2(1)1x y y -+. 2、、)32,31(-. 4、1. 5、"6'0y y y -+=. 11、求由23x y =,4=x ,0=y 所围图形绕y 轴旋转的旋转体的体积.解:32y x =的函数为23,0x y y =>。
C 、d edr raθπ-⎰⎰2; D 、d erdr raθπ-⎰⎰22;5.在第一卦限中,由曲面221z x y =--和平面y x =,y =及0z =所围立体的体积可表示成二次积分A 、12300d (1)d r r r πθ-⎰⎰; B 、12304d (1)d r r r ππθ-⎰⎰;C 、1240d (1)d r r r πθ-⎰⎰; D 、1223d (1)d r r r ππθ-⎰⎰。
6.若级数∑∞=1n n u 发散,则()01≠∑∞=a au n nA 、一定发散;B 、可能发散,也可能收敛。
C .0>a 时收敛,0<a 时发散;D 、a <1时收敛,a >1时发散。
7.下列级数为绝对收敛的是A 、11(1)nn n ∞=-∑; B .31arctan n n n∞=∑; C .11sinn n n∞=∑; D.1(1)nn ∞=-∑。
8.设10(1,2)n a n n≤<= ,则下列级数中肯定收敛的是A 、1n n a ∞=∑; B 、1(1)nn n a ∞=-∑; C、1n ∞=∑D 、21(1)n n n a ∞=-∑。
9. 微分方程cos y y x x ''+=的一个特解形式为A 、()cos ax b x +;B 、()cos ()sin x ax b x x cx d x +++;C 、()sin x ax b x +D 、()cos ()sin ax b x cx d x +++。
10. 若011()d ()22x f t t f x =-⎰,则()f x =A 、2e x; B 、1e 2x ; C 、2ex; D 、211e22x-。
三、解答题(本题共2小题,每小题10分,满分20分。
解答应写出文字说明、证明过程或演算步骤)1. 设2231x y z z x y z z ⎧+++=⎪⎨+++=⎪⎩,求,dz dy dx dx 。
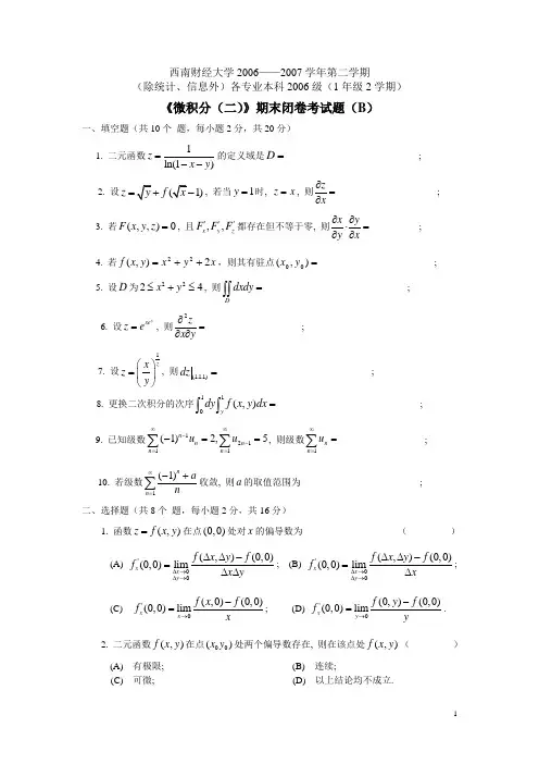
西南财经大学2006——2007学年第二学期(除统计、信息外)各专业本科2006级(1年级2学期)《微积分(二)》期末闭卷考试题(B )一、填空题(共10个 题,每小题2分,共20分) 1. 二元函数1ln(1)z x y =--的定义域是=D ____________________________;2.设1)z f =, 若当1y =时, z x =, 则zx∂=∂_____________________; 3. 若(,,)0F x y z =, 且''',,x y z F F F 都存在但不等于零, 则x yy x∂∂⋅=∂∂__________; 4. 若x y x y x f 2),(22++=,则其有驻点=),(00y x ________________________; 5. 设D 为2224x y ≤+≤, 则Ddxdy =⎰⎰______________________________;6. 设yxe z e=, 则2z x y∂=∂∂____________________;7. 设1zx z y ⎛⎫=⎪⎝⎭, 则(1,1,1)dz =________________________________; 8. 更换二次积分的次序11(,)y dy f x y dx =⎰⎰______________________________;9. 已知级数12111(1)2,5n n n n n u u ∞∞--==-==∑∑, 则级数1n n u ∞==∑__________________;10. 若级数1(1)n n an ∞=-+∑收敛, 则a 的取值范围为_________________________;二、选择题(共8个 题,每小题2分,共16分)1. 函数(,)z f x y =在点(0,0)处对x 的偏导数为 ( ) (A) '00(,)(0,0)(0,0)limx x y f x y f f x y ∆→∆→∆∆-=∆∆; (B) '00(,)(0,0)(0,0)lim x x y f x y f f x ∆→∆→∆∆-=∆;(C) '0(,0)(0,0)(0,0)l i m x x f x f f x →-=; (D) '0(0,)(0,0)(0,0)lim x y f y f f y→-=. 2. 二元函数(,)f x y 在点00()x y 处两个偏导数存在, 则在该点处(,)f x y ( ) (A) 有极限; (B) 连续;(C) 可微; (D) 以上结论均不成立.3. 若函数(),()x g y ϕ都为可微函数, 但22F fx y x y∂∂≠∂∂∂∂, 则(,)F x y = ( ) (A) (,)()f x y x ϕ+; (B) (,)()f x y g y +; (C) (,)()()f x y x g y ϕ++; (D) (,)()()f x y x g y ϕ+.4. 若cos 202(,)(cos ,sin )a Df x y dxdy d f r r rdr πθπθθθ-=⎰⎰⎰⎰, 则积分区域为( )(A) 222x y a +≤; (B) 222,0x y a x +≤≥;(C) 22,0x y ax a +≤>; (D) 22,0x y ax a +≤<.5. 二次积分11(,)dx f x y dy -=⎰( )(A) 110(,)dy f x y dx -⎰; (B)1(,)dy f x y dx ⎰;(C)1110(,)dy f x y dx -⎰⎰; (D)1(,)dy f x y dx ⎰.6. 已知()4dz x ay dx ydy =++, 且22z z x y y x∂∂=∂∂∂∂, 则a 的值为 ( ) (A) 1; (B) 4; (C) 3; (D) 0. 7. 已知lim n n u a →∞=, 则11()nn n uu ∞+=-=∑ ( )(A) 收敛于0; (B) 收敛于a ; (C) 收敛于1u a -; (D) 发散.8. 若级数1()nn n uv ∞=+∑收敛, 则 ( )(A)11,nnn n u v∞∞==∑∑均收敛; (B)11,n nn n u v∞∞==∑∑至少有一个收敛;(C)11,nnn n u v∞∞==∑∑不一定收敛; (D)1nn n uv ∞=+∑收敛.三、计算题(共6个 题,每小题8分,共48分)1. 设函数323421z x y x y x =-+-, 求222222,,,.z z z zx y x y y x∂∂∂∂∂∂∂∂∂∂.2. 设(,,)u f x y y z t z =---, 求u u u ux y z t∂∂∂∂+++∂∂∂∂. 3. 求由方程zx y z e ++=所确定的函数(,)z z x y =的全微分, 以及2zx y∂∂∂.4.计算二重积分112111224y y xxydy dx dy dx +⎰⎰⎰.5. 计算二重积分22(1)Dx y dxdy --⎰⎰, 其中D 是221,0,0x y x y +≤≥≥的公共部分. 6. 判别级数1!10n n n ∞=∑的敛散性. 四、应用题(10分)某公司可通过电台及报纸两种方式做销售某种商品的广告, 根据统计资料, 销售收入R (万元)与电台广告费用1x (万元)及报纸广告费用2x (万元)之间的关系有如下的经验公式:221212121514328210R x x x x x x =++--- (1) 在广告费用不限的情况下, 求最优广告策略.(2) 若提供的广告费用为1.5万元, 求相应的最优广告策略. 五、证明题(6分) 设级数21nn a∞=∑,21nn b∞=∑收敛, 则级数1n nn a b∞=∑绝对收敛.。
2009 — 2010 学年第 2 学期 课程名称 微积分B 试卷类型 期末A 考试形式 闭卷 考试时间 100 分钟 命 题 人 2010 年 6 月10日 使用班级教研室主任 年 月 日 教学院长 年 月 日姓 名 班 级 学 号,一、填充题(共5小题,每题3分,共计15分)1.2ln()d x x x =⎰ . 2.cos d d xx =⎰ .3.312d x x --=⎰.4.函数22x y z e+=的全微分d z = .5.微分方程ln d ln d 0y x x x y y +=的通解为 .二、选择题(共5小题,每题3分,共计15分)1.设()1xf e x '=+,则()f x = ( ). /(A) 1ln x C ++ (B) ln x x C +(C) 22x x C++ (D) ln x x x C -+2.设2d 11xk x +∞=+⎰,则k = ( ).(A) 2π(B) 22π(C) 2 (D) 24π3.设()z f ax by =+,其中f 可导,则( ).(A)z z ab x y ∂∂=∂∂ (B) z z x y ∂∂=∂∂ (C)z z ba x y ∂∂=∂∂ (D) z z xy ∂∂=-∂∂ 4.设点00(,)x y 使00(,)0x f x y '=且00(,)0y f x y '=成立,则( ) ;(A) 00(,)x y 是(,)f x y 的极值点 (B) 00(,)x y 是(,)f x y 的最小值点 (C) 00(,)x y 是(,)f x y 的最大值点 (D) 00(,)x y 可能是(,)f x y 的极值点 5.下列各级数绝对收敛的是( ).(A) 211(1)nn n ∞=-∑(B)1(1)nn ∞=-∑(C) 13(1)2nnn n ∞=-∑ (D) 11(1)nn n ∞=-∑三、计算(共2小题,每题5分,共计10分) 】 1.2d x x e x ⎰2.40⎰四、计算(共3小题,每题6分,共计18分)1.设arctany z x =,求2,.z z z x y x y ∂∂∂∂∂∂∂, 2.设函数vz u =,而222,23u x y v x y =+=+,求,z zx y ∂∂∂∂.3.设方程xyz =确定隐函数(,)z f x y =,求,.z z x y ∂∂∂∂五、计算二重积分sin d d Dxx y x ⎰⎰其中D 是由三条直线0,,1y y x x ===所围成的闭区域.(本题10分) 六、(共2小题,每题8分,共计16分)1.判别正项级数12nn n∞=∑的收敛性.、2. 求幂级数1(1)2nnn x n ∞=-⋅∑收敛区间(不考虑端点的收敛性).七、求抛物线22y x =与直线4y x =-所围成的图形的面积(本题10分)八、设102()101x x x f x x e ⎧≥⎪⎪+=⎨⎪<⎪+⎩,求2(1)d f x x-⎰.(本题6分)徐州工程学院试卷2009 — 2010 学年第 2 学期 课程名称 微积分B试卷类型 期末B 考试形式 闭卷 考试时间 100 分钟命 题 人 杨淑娥 2010 年 6 月10日 使用班级 09财本、会本、信管等 教研室主任 年 月 日 教学院长 年 月 日姓 名 班 级 学 号,一、填充题(共5小题,每题3分,共计15分)1. 2cos d 2x x ⎰ .2.22d dt d x txe x =⎰ .3.212d x x -=⎰.4.函数z =的全微分d z = . :5.微分方程11d d 0x y y x +=的通解为 .二、选择题(共5小题,每题3分,共计15分) 1.设(ln )1f x x '=+,则()f x = ( ).(A) xx e C ++ (B)212x e x C ++(C) 21ln (ln )2x x C ++ (D) 212x x e e C++2.下列广义积分发散的是 ( ).(A)1+∞⎰ (B) 1d xx +∞⎰(C)21d x x +∞⎰(D)1+∞⎰3. 设22()z f x y =+,且f 可微,则z z yx x y ∂∂-=∂∂ .(A) 2z (B) z (C) x y + (D) 0:4.函数32(,)6121f x y y x x y =-+-+的极大值点为( ) (A) (1,2) (B) (2,1) (C) (3,2)- (D) (3,2)-- 5.下列级数绝对收敛的是( ). (A)1(1)nn ∞=-∑ (B)11(1)nn n ∞=-∑ (C)1(1)nn n∞=-∑ (D)311(1)nn n ∞=-∑三、计算(共2小题,每题5分,共计10分) 1.sin d x x x⎰^2.0x⎰四、计算(共3小题,每题6分,共计18分)1.设z =,求2,.z z z x y x y ∂∂∂∂∂∂∂,2. 设函数2ln z u v =,而,32u xy v x y ==-,求,z zx y ∂∂∂∂.3.设方程22220x y z xyz ++-=确定隐函数(,)z f x y =,求,.z z x y ∂∂∂∂五、计算二重积分2d d Dx y x y ⎰⎰,其中D 是由三条直线0,0x y ==与221x y +=所围成的位于第一象限的图形.(本题10分)六、(共2小题,每题8分,共计16分)1. 判别正项级数11(21)!n n ∞=+∑的收敛性.2. 求幂级数21(2)n n x n ∞=-∑收敛区间(不考虑端点的收敛性).七、求由曲线y x =与2y x =所围成的平面图形的面积. (本题10分))八、设210()0xx x f x e x ⎧+<=⎨≥⎩,求31(2)d f x x -⎰.(本题6分)徐州工程学院试卷2010 — 2011 学年第 二 学期 课程名称 微积分 试卷类型 期末A 考试形式 闭卷 考试时间 100 分钟 命 题 人 张娅 2011 年 5 月 20日 使用班级教研室主任 年 月 日 教学院长 年 月 日姓 名 班 级 学 号一、填充题(共 5 小题,每题 3 分,共计15 分) 1. 函数()ln z y x =-+的定义域为 。
微积分II 期末模拟试卷1(满分:100分;测试时间:100分钟) 一、填空题(3X5=15)1、幂级数∑∞=-112n n n n x 的收敛区间为__________2、由曲线23x y -=及直线x y 2=所围成平面区域的面积是____________ 3、改变⎰⎰--21222x x xfdy dx 的积分次序_______________________4、微分方程02=-'+''y y y 的通解=y5、设dx x xa n n nn n +=⎰+-123101, 则极限n n na ∞→lim 等于____________ 二、选择题(3X5=15) 6、定积分()dx ex x x⎰-+22的值是( )。
(A ) 0 ; (B ) 2 ; (C ) 2e 2+2; (D ) 26e7、一曲线在其上任意一点),(y x 处的切线斜率等于yx2-,这曲线是( ) (A)直线; (B)抛物线; (C)圆; (D)椭圆 8、设函数()xy f xyz =,其中f 可微,则=∂∂+∂∂y z x z y x ( ) (A ))('2xy yf (B ))('2xy yf -(C ))(2xy f x (D ))(2xy f x- 9、设函数(),z f x y =的全微分为dz xdx ydy =+,则点()0,0( )()A 不是(),f x y 的连续点. ()B 不是(),f x y 的极值点.()C 是(),f x y 的极大值点. ()D 是(),f x y 的极小值点10、设级数10nn na∞==∑,且()11n n n n a a ∞-=-∑收敛,则级数1n n a ∞=∑( )(A )收敛 (B ) 发散 (C )不定 (D ) 与n a 有关 三、计算题(5X10=50)11、计算下列定积分 (1)⎰-2234dx x x ;(2)求抛物线342-+-=x x y 及其在)3,0(-和)0,3(处的切线所围成图形的面积。
微积分下期末试题及答案下面是微积分下期末试题及答案的内容:一、单选题(每题2分,共20分)1. 在一个封闭的矩形区域内,下列函数中一定存在一个绝对值最大的点的是:A. f(x) = 2x + 3B. f(x) = -x^2 + 5x + 1C. f(x) = sin(x)D. f(x) = e^x答案:B2. 设函数f(x) = x^3,则f'(x) = ?A. 3x^2B. 4x^3C. 2x^3D. x^2答案:A3. 曲线y = 2x^2 - 3x + 1的切线斜率为:A. 2B. -2C. 3D. -3答案:C4. 若f(x) = x^2 + 2x,则f''(x) = ?A. 2B. 4C. 0D. 6答案:A5. 设y = 3x - 1为直线L1上一点,曲线y = 2x^2 + 1上一点为(x0, y0),则L1与曲线的切线平行于x轴的条件是:A. x0 = -1B. x0 = 0C. x0 = 1D. y0 = -1答案:D6. 函数f(x) = ln(x)的反函数为:A. f(x) = e^xB. f(x) = xC. f(x) = e^(-x)D. f(x) = x^2答案:A7. 函数f(x) = 3x^2 + 2在区间[1, 2]上的平均值为:A. 4B. 5C. 8/3D. 10/3答案:C8. 若f(x) = sin(x),则f''(x) = ?A. -cos(x)B. cos(x)C. -sin(x)D. sin(x)答案:D9. 由函数f(x) = x^3 - 3x求得的原函数为:A. x^4/4 - 3x^2/2 + CB. x^4 + 3x^2 + CC. x^3 - 3x + CD. x^4 - x^2 + C答案:A10. 函数y = ax^2 (a ≠ 0)与直线y = 2x - 3相切的条件是:A. a = 4B. a = 2C. a = 1D. a = 3答案:B二、计算题(每题10分,共30分)1. 设函数f(x) = 2x^3 + 3x^2 - 12x + 1,求f'(2)的值。
微积分II真题含答案微积分II真题含答案一、填空题(每题3分,共30分)1、函数的定义域是____________.2、设,则________________.3、广义积分的敛散性为_____________.4、____________.5、若.6、微分方程的通解是____.7、级数的敛散性为.8、已知边际收益R/(某)=3某2+1000,R(0)=0,则总收益函数R(某)=____________.9、交换的积分次序=.10、微分方程的阶数为_____阶.二、单选题(每题3分,共15分)1、下列级数收敛的是()A,B,C,D,2、,微分方程的通解为()A,B,C,D,3、设D为:,二重积分=()A,B,C,D,04、若A,B,C,D,5、=()A,0B,1C,2D,三、计算下列各题(本题共4小题,每小题8分,共32分)1.已知2.求,其中D是由,某=1和某轴围成的区域。
3.已知z=f(某,y)由方程确定,求4.判定级数的敛散性.四、应用题(本题共2小题,每小题9分,共18分): 1.求由和某轴围成的图形的面积及该图形绕某轴旋转所得旋转体的体积。
2.已知某表示劳动力,y表示资本,某生产商的生产函数为,劳动力的单位成本为200元,,每单位资本的成本为400元,总预算为100000元,问生产商应如何确定某和y,使产量达到最大?。
五、证明题(5分)一、填空题(每小题3分,共30分)1,2,3,发散4,05,6,y=c某7,收敛8,R(某)=某3+1000某9,10,2二、单选题(每小题3分,共15分)1,B2,B3,C4,C5,D三、计算题(每小题8分,共32分)1、解:令2、3、整理方程得:4、先用比值判别法判别的敛散性,(2分)收敛,所以绝对收敛。
(交错法不行就用比较法)(8分)四、应用题(每小题9分,共18分)1、解:2、解:约束条件为200某+400y-100000=0(2分)构造拉格朗日函数,(4分),求一阶偏导数,(6分)得唯一解为:,(8分)根据实际意义,唯一的驻点就是最大值点,该厂获得最大产量时的某为40,y为230.(9分)五、证明题(5分)证明:设对等式两边积分,得:(2分)(4分)解得:题设结论得证。