对多值解析函数的理解与认识
- 格式:pdf
- 大小:1.99 MB
- 文档页数:2
函数知识点总结(经典版)编制人:__________________审核人:__________________审批人:__________________编制单位:__________________编制时间:____年____月____日序言下载提示:该文档是本店铺精心编制而成的,希望大家下载后,能够帮助大家解决实际问题。
文档下载后可定制修改,请根据实际需要进行调整和使用,谢谢!并且,本店铺为大家提供各种类型的经典范文,如职场文书、合同协议、总结报告、演讲致辞、规章制度、自我鉴定、应急预案、教学资料、作文大全、其他范文等等,想了解不同范文格式和写法,敬请关注!Download tips: This document is carefully compiled by this editor. I hope that after you download it, it can help you solve practical problems. The document can be customized and modified after downloading, please adjust and use it according to actual needs, thank you!Moreover, our store provides various types of classic sample essays for everyone, such as workplace documents, contract agreements, summary reports, speeches, rules and regulations, self-assessment, emergency plans, teaching materials, essay summaries, other sample essays, etc. If you want to learn about different sample essay formats and writing methods, please stay tuned!函数知识点总结函数知识点总结总结是在某一特定时间段对学习和工作生活或其完成情况,包括取得的成绩、存在的问题及得到的经验和教训加以回顾和分析的书面材料,它是增长才干的一种好办法,是时候写一份总结了。
初等多值函数知识点总结1. 多值函数的定义多值函数是指其自变量的不同取值对应了多个因变量的函数。
也就是说,对于同一个自变量的值,可能存在多个因变量的值与之对应。
多值函数的定义如下:设有函数 $f: X\rightarrow Y$,若对于 $x \in X$,通过 $f(x)$ 可以确定 $Y$ 中不止一个元素,即$f(x)$ 对应多个 $y \in Y$,则称 $f(x)$ 为多值函数。
2. 多值函数的表示多值函数的表示方法有很多种,其常见的表示方法包括集合表示、图像表示和数学表达式表示。
a) 集合表示:通过集合的方式来表示多值函数,通常表示为 $f(x) = \{ y_1, y_2, \ldots, y_n \}$,其中 $y_1, y_2, \ldots, y_n$ 是 $f(x)$ 对应的多个因变量的值。
b) 图像表示:通过绘制多值函数的图像来表示,但由于多值函数的复杂性,其图像可能不是一个简单的曲线或者曲面,通常需要使用多种色彩或者虚线来表示不同的取值情况。
c) 数学表达式表示:通过数学表达式或者符号来表示多值函数的关系,这种表示方式通常需要特殊的符号或者标记来表示多个因变量。
3. 多值函数的性质多值函数与单值函数相比,具有一些特殊的性质,主要体现在定义域、值域和解的情况上。
a) 定义域和值域:多值函数的定义域和值域通常比较复杂。
因为多值函数的自变量可以对应多个因变量的值,所以其定义域和值域可能是多个集合的并集或者交集。
b) 解的情况:多值函数的解通常会有多个解或者无解的情况。
因为对于同一个自变量的值,可能对应多个因变量的值,所以在求解多值函数的方程或者不等式时,需要考虑多个解的情况。
4. 多值函数的运算多值函数与单值函数一样,也可以进行加减乘除等基本运算,并且可以进行复合函数、反函数等复杂的运算。
但是由于多值函数的复杂性,其运算可能会涉及到多个因变量的组合,因此需要特别注意多值函数运算时的特殊性。
对多值解析函数的理解与认识摘要本文运用教学实践经验和案例的方法浅谈对多值解析函数的理解和认识。
关键词数学分析;多值解析函数;积分数学分析中计算定积分的方法随着学习的深入和实际的应用有很大的极限性,但是如果用复分析的角度来看,某些在数学分析中计算麻烦或几乎不可能计算的积分却可容易求出。
而要学习复分析中计算实积分的方法,对初等多值解析函数的理解是其中一个坎。
本文先谈谈多值解析函数在教学中的一些体会;紧接着讨论函数的相关问题。
如何教好初等多值函数中的根式函数对我们这些担任师范专科数学教育的教师来说是一个巨大的挑战,现本人根据多年的教学经验,避开文字理论而用实例分析设计教学如下。
1) 让学生动手解(其中a为正实数),并动手作图学生很快做出复平面上的3条射线,这3条射线把整个复平面分为3块区域,为了方便,我们把这3个区域分别记为。
而且知道一个-a对应着3个w,一对多,即为多值函数。
2) 让学生动手求解并作图这会儿学生就看出分别在各有3个不同的点。
3)从原点起割破负实轴这样中的z的幅角只能在(-π,π)之间取值,而且当z取定后,就能算出3个分别位于区域的,如果z任意取值,则称为的3个单值解析分支函数(这几个函数的自变量是z的幅角和z的模r)。
即,(k=0,1,2;在实数域内开方,下同),并且这3个分支位于不同的区域,即被分开了。
如果复平面不被割破,那么也是z的幅角,这时3个分支就可写成,处于Tk 区域的第k支Wk就变成了处于Tk+1区域的第k+1支wk+1,只要复平面不被割破,z就可绕着原点按顺逆时针旋转n周,都是它的幅角,那么我们不可能把分成3个独立的单值解析分支,它们在原点连接起来,抖不散了。
下面对“”的错误进行分析。
(1)关于这一符号的理解既表示两个单值解析函数的总体,也可以表示某一特定的单值分支。
(2)准确把握多值解析函数中“三支定两支”的观点例:取下半虚轴为支割线,则在割开z的平面区域G内可以定义、及的单值解析分支。
多元函数驻点的定义-概述说明以及解释1.引言1.1 概述概述部分的内容:多元函数是指在多个自变量下,具有一个或多个因变量的函数。
多元函数的研究在实际问题中具有重要意义,它能够描述多个变量之间的关系,帮助人们分析和解决复杂的问题。
驻点是多元函数中的一个重要概念,它代表了函数在某一点上的特殊性质。
驻点可以是函数的最值点、临界点或者鞍点等。
具体而言,驻点的定义是指函数在该点的梯度为零或不存在,即函数在该点的导数为零或不存在。
驻点不仅可以帮助我们找到多元函数的极值,还可以提供关于函数的其他重要信息。
本文将首先介绍多元函数的定义,包括自变量和因变量的概念以及函数的定义域和值域。
随后,将重点讨论驻点的概念与特性,包括如何求解函数的梯度以及如何判断一个点是否为驻点。
最后,我们将总结多元函数驻点的定义,并探讨其在实际问题中的应用和意义。
通过研究多元函数的驻点,我们可以更深入地理解函数的性质和特点,为我们解决实际问题提供有力的工具和方法。
希望本文能够对读者理解多元函数驻点的概念和应用有所帮助,进一步拓展对多元函数的认识。
文章结构部分的内容可以参考如下所示:1.2 文章结构本文将按照以下结构进行阐述多元函数驻点的定义:第一部分:引言在引言部分,我们将对多元函数驻点的定义进行一个概述,明确本文的目的,并介绍文章的结构。
第二部分:正文在正文部分,我们将首先给出多元函数的定义,包括自变量与因变量的概念,并介绍多元函数的性质和特点。
接下来,我们将引入驻点的概念,详细解释什么是驻点,以及驻点和函数的关系。
我们将介绍驻点的数学表达式和计算方法,并提供实例来帮助读者更好地理解驻点的含义。
第三部分:结论在结论部分,我们将对多元函数驻点的定义进行一个总结,强调其重要性和应用价值。
我们还将探讨驻点在实际问题中的应用,并说明其在数学和其他领域中的意义。
通过以上结构的安排,本文将全面介绍多元函数驻点的定义,帮助读者深入理解该概念,并展示其在实践中的重要作用和广泛应用。
解析函数的理解高中的函数知识点中有一块是讲解析函数,它是由不同的函数相加而得到的,具有这样特征的函数就是解析函数。
其实,解析函数应该是一类函数的统称,它的基本性质也很重要,让我们进一步认识它吧!定义:设;当x=a x^2+bx+c时,设;f(a)=x^2+bx+c,1、对于有理函数,解析式与自变量的取值无关;2、对于一般的解析函数,若自变量x的连续可导,则解析式的值域为全体实数,反之亦然。
此外,由于解析函数自变量x的取值范围是其定义域的子集,所以对于非解析函数来说,自变量x的取值范围通常都不会是整个定义域。
2、在一般意义下,解析函数满足:如果f(a)是x在[a, +∞)上的可导函数,则称f是(沿)解析函数。
3、我们把函数y=f(x), y=f(x^n), y=f(x^m),y=f(x^n)+f(x)-f(x^m), y=f(x^n)+f(x)并且图像关于y轴对称的函数叫做隐函数。
隐函数的表达式是由隐函数f=f(x)及f的定义而得到的, f=f(x)是函数,它是在一个集合X中选择一个元素y,使得f(y)=f(x)+c。
f(x)是x的函数,我们称它为f的原函数。
4、一般地,如果函数y=f(x), y=f(x^n), y=f(x^m), y=f(x^n)+f(x)并且图像关于y轴对称,那么就称函数y为y=f(x)+c的一般形式。
5、设f(x): f(x)与函数f:有两种表示法,即原函数及一般形式。
6、函数与其图像在某点有无数多对应点,并且对应点坐标满足f(x) = 0,则称此函数为可去奇点的函数,可去奇点的函数没有实际意义。
7、对于任何解析函数,当它的图像关于原点对称时,图像总过原点;反之,当它的图像关于原点的某一固定点对称时,图像总不过原点。
8、设: f:可以是不连续的,但一定是解析的。
9、设f(x)是f的图像,是f在x处的一条“虚线”。
如果图像的函数在x处可导,则称此函数为解析函数。
对函数的进一步认识 合作与讨论1.怎样判断一个解析式是否是函数?要判断一个解析式表达的是否为函数,利用定义法便可解决.即对定义域中的任何一个值,在值域中都有唯一的函数值与它对应.2.函数y =x 2与S =t 2是同一函数吗?函数的确定只与定义域与对应关系有关,而与所表示的字母无关,因此y =x 2与S =t 2表示的是同一个函数.因此并非字母不同便是不同的函数.这是由函数的本质决定的.3.如何判断一个对应是否为映射?根据定义即可,称为定义法.对于一个A 到B 的对应,A 中的任何一个元素都对应B 中的唯一一个元素,或A 中的多个元素对应B 中的一个元素,这样的对应都是映射,而A 中的一个元素对应月中的多个元素的对应就不是映射. 可以简单地说:“一对一”“多对一”的对应是映射,“一对多”的对应不是映射.4.无究大∞是一个数吗?无穷大∞仅是一个记号,不是一个数.用-∞,+∞作为区间一端或两端的区间称为无穷区间,如{x |a <x <+∞}可用区间表示为(a ,+∞).5.如何理解符号y =f (x )中的“f ”?符号y =f (x )中的“f ”表示对应法则,在不同的具体函数中,“f ”的含义不一样,可以形象地把函数的对应法则“f ”看作一个“暗箱”.例如y =f (x )=x 2,可以将其看作输入x ,输出x 2,于是“暗箱”相当于一个“平方机”的作用(如下图),则显然应该有f (a )=a 2,f (m +1)=(m +1)2,f (x +1)=(x +1)2.【例题】已知函数.<,=,>=)0()0()0(02)(2x x x x x f ⎪⎩⎪⎨⎧ 求f (2),f (-3),f [f (-3)]的值.解:f (2)=22=4,f (-3)=0,f [f (-3)]=f (0)=2.点评:函数的定义域的求法.(1)由函数的解析式确定函数的定义域.在函数的解析式中,自变量可能因为参与某种运算而使其取值范围受到限制.由这种限制要求就可以确定自变量只能取值的范围,也就求得了函数的定义域.这类限制主要有:①分式的分母不能为零.②开偶次方时,被开方数必须为非负数.③对数的真数必须大于零,底数必须为非1的正数.④一些特殊函数对自变量的规定(以后学习).(2)由实际问题确定函数的定义域.有许多函数是反映生产生活的实际问题的,因而定义域除受解析式的制约外,还必须符合实际问题的情况与要求.如有些问题要求自变量只能取正数(某些图形的边长、面积等),有些问题又要求自变量只能取正整数(以件为单位的物品或人数等).6.函数的表示法有几种?函数的表示方法有三种,即解析法、列表法、图象法.中学里研究的函数主要是用解析式表示的函数,对解析法比较容易理解.列表法、图象法也是表示函数的方法.用列表法表示函数关系的优点是:不必通过计算就知道当自变量取某些值时的对应值.图象法的优点是能直观形象地表示出函数的变化情况.7.函数的图象都是连续的曲线吗?这不一定,一般来说,如果自变量的取值是连续的,那么它的图象是连续的,如一次函数、二次函数,但如果自变量的取值不是连续的,那么它的图象就是一些孤立点.例如:y=5x,(x {1,2,3,4}).有时函数的图象是由几段线段组成.8.如何由实际问题写出函数表达式?(1)阅读理解,要读懂题意,理解实际背景,领悟其数学实质.(2)数学建模.即将应用题的材料陈述转化成数学问题,这就要抽象、归纳其中的数量关系,并恰当地把这种关系用数学式子表示出来.分段函数是一个函数还是几个函数?分段函数仍是一个函数,只不过是根据自变量的不同范围,函数的表达式不同而已.本节内容中主要包括:函数的概念、函数的表示方法、映射.突破思路1.函数是中学数学中最重要的基本概念之一,高中对函数内容的学习是初中函数知识的深化和延伸,本节中,在学习集合的基础上,用集合对应的语言对函数重新加以定义,从根本上揭示了函数的本质:由定义域、值域、对应法则三要素构成的整体,从而使学生认识到初中变量观点F定义的限制和重新认识函数的必要性.概念的教学是非常重要的,尤其是学生刚接触一种新的概念,教师给学生讲清楚,并通过师生的共同讨论,帮助学生深刻理解变得更为重要,要在学生的思想上、知识结构中打上深刻的烙印,否则后面的学习将会产生困难.2.函数是由其定义域、值域、对应法则三要素构成的整体,并可用抽象符号f(x)来表示,由于f 所代表的对应法则不一定能用解析式表示,故本节介绍了函数的表示方法,除了解析法还有列表法和图象法,这三种表示函数的方法之间具有内在的联系.比如本节例3的数据可以用列表法给出,教学中可引导学生先列表,再求解析式,最后画图象.例4在本质上则是训练由图象求解析式的过程等,认识函数的三种表示方法之间的联系并能相互转化,是对函数概念深化理解的重要步骤.3.映射是一种特殊的对应,学习这一定义时,应注意以下几点:(1)映射是由集合A,B以及从A到B的对应关系f所确定的.(2)在映射中,集合A中的“任一元素”在集合B中都有“唯一”的象,即不会存在集合A中的某一元素a在集合B中没有象,或者不止一个象的情况.(3)在映射中,集合A与B的地位是不对等的.一般地,在映射中我们不要求B中的每一个元素都与A中的唯一元素相对应.因此,从A到B的映射与从B到A的映射是具有不同的要求的.本节由实际问题引出了对分段函数的认识,即对于自变量不同的取值范围,用不同的解析式表示同一个函数关系,故分段函数是一个函数而不是几个函数,教学中可举一些例子帮助学生理解.根据实际问题中的条件列出函数解析式的训练,是建立函数模型、研究实际问题的关键步骤,这种应用意识的培养和应用能力的提高应不断贯穿于以后的教学过程中.规律总结1.函数的三种表示法的比较(1)用解析法表示函数关系的优点是:函数的关系清楚,容易从自变量的值求出其对应的函数值,便于用解析式来研究函数的性质.缺点是:函数值的对应关系必须通过计算才能得到,有时其计算量较大,而且并不是所有的函数关系都能用解析法表示出来.(2)用列表法表示函数关系的优点是:不必通过计算就知道当自变量取某些值时的函数的对应数值.缺点是:有时只能表示一部分的自变量与函数值的对应关系,而不能把所有的对应关系一一表示出来,而且有时所有表示的函数的性质较为隐蔽,不利于研究函数的性质.(3)用图象法表示函数关系的优点是:能直观形象地表示出函数的变化情况.缺点是:不能精确地表示自变量,对应的函数值的对应关系.2.映射是一种特殊的对应,它是研究函数的基础和工具.映射是现代数学的基本语言(如同集合一样),用它来叙述问题简洁明了.因此对于映射的学习重在准确理解和把握映射的概念............上,即抓住“取元任意性、成象唯一性”这两点.映射是在函数的基础上引申、扩展的,而函数则是一个特殊的映射.一方面,我们要善于利用函数与映射这一关系来理解和解决问题,如以函数作为特例不难理解映射的概念;反过来,运用映射的语言来叙述问题就简洁明了得多.另一方面,函数与映射的这一关系正是人类对客观事物认识由低级向高级飞跃的一个缩影.因此我们应掌握这种将低级认识扩展到高级认识的思维方法,掌握了这种方法也就掌握了发明和创造的方法.3.基本方法(1)函数及其同一性(两函数“相同”)的判定两个函数当且仅当它们的定义域和对应关系完全相同时,才是同一个函数.判断函数的同一性,重要的是定义域和对应关系的实质,而不是表示它们的公式的外貌.(2)求函数定义域及定义域的应用定义域是函数的关键性特征,对于每个确定的函数,其定义域是确定的.但是,未必每个解析式都能在实数集R 上定义一个函数.例如,21x y --= 就不能在R 上定义出函数来.又如x y -=1也不是定义域为R 的函数,然而它可以定义为R 的子集(-∞,1]上的函数,这就产生了求定义域的问题.在实际寻找函数的定义域时,应当遵循下列规则:①分式的分母不应该是零;②偶次根式的根号里面的式子应该为非负数;③对数的真数应该是正的;④有限个函数的四则运算得到的函数,其定义域是这有限个函数的定义域的交集(作除法时还要排除使除式为零的x 值);⑤对于由实际问题建立的函数,其定义域还应该受实际问题的具体条件制约.关于定义域的应用,常见的有如下几个方面:①求值域或确定函数值的变化范围;②解析式的变形或化简;③解不等式或解方程;④求函数的最值.(3)求函数的值域及值域的应用最直接的方法是由函数的定义域通过对应关系求值域,有时也可根据具体情况采用下列适当的方法或技巧:①化为二次函数,利用二次函数的最值确定所给函数的值域;②利用二次三项式的判别式求值域;③由图象,运用数形结合的方法求值域;④利用某些已知函数的值域,通过解不等式求得所给函数的值域;⑤采用换元法求值域;⑥在建立反函数概念后,可利用互为反函数的定义域与值域的互换关系求值域.(4)求函数表达式与函数记号的运用通常会遇到下列各种情形:①对于已知函数f(x)、ϕ(x),求形如f[ϕ(x)]的表达式;②已知函数表达式的类型,根据函数所具有的某些性质或约束条件确定表达式中的待定参数;③根据函数对应关系所满足的某些条件,求函数的表达式.在上述各种情形中,正确理解和运用函数记号,常常是疏通思路的关键.④函数的表示法通常有:解析法、列表法、图象法三种.⑤求函数的解析式的方法有:直接法、配凑法、换元法、消去法、定义法、待定系数法及特殊法等.(5)求函数值与画函数图象求函数值是学习函数概念必须掌握的最基本的但却是最重要的方法.例如画函数图象首先就要求函数值.一个函数y=f(x)可看成有序实数对(x,y)的集合.在直角坐标系中给出以每个有序实数对为其坐标的点,所有这些点的集合就是函数的图象.函数的图象表示法奠定了数形结合的基础.。
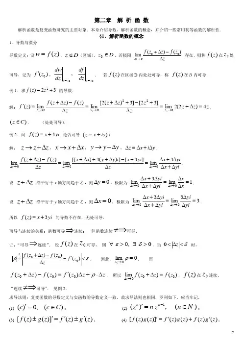
第二章解析函数(Analytic function)第一讲授课题目:§2.1解析函数的概念§2.2解析函数与调和函数的关系教学内容:复变函数的导数、解析函数的概念与求导法则、函数解析的充分必要条件、调和函数的概念、共轭调和函数、解析函数与调和函数的关系.学时安排:2学时教学目标:1、切实理解掌握解析函数的概念2、掌握函数解析的充分必要条件,判断函数的解析性3、了解复变函数导数的定义教学重点:函数解析的充分必要条件教学难点:解析函数与调和函数的关系教学方式:多媒体与板书相结合P思考题:1、2、习题二:1-12作业布置:51板书设计:一、解析函数的概念二、函数解析的充分必要条件三、解析函数与调和函数的关系参考资料:1、《复变函数》,西交大高等数学教研室,高等教育出版社.2、《复变函数与积分变换学习辅导与习题全解》,高等教育出版.3、《复变函数论》,(钟玉泉编,高等教育出版社,第二版)2005年5月.4、《复变函数与积分变换》苏变萍陈东立编,高等教育出版社,2008年4月.课后记事:1、解析函数的概念基本掌握2、函数解析的充分必要条件掌握不太好3、已知调和函数,求作解析函数的方法不灵活4、加强课后辅导教学过程:§2.1 解析函数的概念(The conception of analytic function )一、复变函数的导数(Derivative of complex function ) 定义(Definition )2.1 设)(z f w =是在0z 的某邻域内有定义,对于邻域内任一点z z ∆+0.如果zz f z z f o z ∆-∆+→∆)()(lim 00 存在有限的极限值复数A ,则称)(z f 在0z 处可导,极限A 称为)(z f 在0z 处的导数,记作)('0z f ,或0z z dz dw=. 即z z f z z f z f z ∆∆∆)()(lim )('0000-+=→0)z ( |)(|)('0→+=∆∆∆∆z o z z f w 由此可得()()()dzz f z df z z f z z f z z f 00000 )()(''=记作处可微。
初等解析函数和多值函数的解析分⽀定义2.4.1 \ (多值函数的连续分⽀) Ω区域, F(z)为Ω上的多值函数, 若f(z)在Ω上连续, 且对于任意的z∈Ω, f(z)∈F(z), 则称f(z)为F(z)在区域Ω上的连续分⽀.定义2.4.2 \ (多值函数的解析分⽀) Ω区域, F(z)为Ω上的多值函数, 若f(z)在Ω上解析, 且对于任意的z∈Ω, f(z)∈F(z), 则称f(z)为F(z)在区域Ω上的解析分⽀.例2.4.3 指数函数的性质(1) ∀z=x+iy∈C,e z=e x(cos y+i sin y).(2) z=x∈R, e z与通常实指数函数的定义⼀致.(3) |e z|=e x>0.(4) e z在z平⾯上解析, 且(e z)′=e z.(5) e z1+z2=e z1e z2.(6) e z以2iπ为基本周期.定义2.4.4 规定对数函数是指数函数的反函数, 即若z≠0,∞,满⾜z=e w的复数w称为z的对数值, z的⼀切对数值的集合称为z的对数, 记作Lnz.具体地, Lnz={ln|z|+i arg z+i2kπ,k∈Z}.若把ln|z|+i arg z称为主值, 记作ln z, 则Lnz={ln z+i2kπ,k∈Z}.注:若把z看作⾮零复数, Lnz的定义域为C−{0}.Ln(z1z2)=Lnz1+Lnz2,Ln(z1z2)=Lnz1−Lnz2.定理2.4.5 \ (解析函数的对数解析分⽀) Ω单连通区域, f(z)在Ω中解析且处处⾮零, 则Lnf(z)在Ω上有解析分⽀g(z), 满⾜e g(z)=f(z),且Lnf(z)在Ω上的所有解析分⽀⼀定是g(z)+2ikπ,k∈Z,即Lnf(z)={g(z)+i2kπ,k∈Z}.从⽽Lnf(z)在Ω上有⽆穷多个解析分⽀, 且任意两个解析分⽀相差2π的整数倍.注:(1)定理2.4.5 表明, 若Lnf(z)在单连通区域Ω上的任意两个解析分⽀在z0∈Ω上的值相等, 则这两个解析分⽀恒相等.(2) 为⽅便, Lnf(z)在Ω上的解析分⽀g(z)有时简记为ln f(z), 若强调是特定的⼀⽀, 要给定z0∈Ω, 确定出ln f(z)在z0的值.例2.4.6 (对数函数的解析分⽀) \ Ω单连通区域, z0∉Ω,则Ln(z−z0)在Ω上有解析分⽀lnΩ(z−z0), 满⾜e lnΩ(z−z0)=z−z0, 且Ln(z−z0)在Ω上所有的解析分⽀⼀定是lnΩ(z−z0)+2kπi,k∈Z.证明:令f(z)=z−z0, 则f(z)在Ω上解析, 处处不为零, 由定理2.4.5, 成⽴.例2.4.7 (多值辐⾓函数的连续分⽀) Ω单连通区域, z0∉Ω, 则Arg(z−z0)在Ω内有连续分⽀argΩ(z−z0), 在Ω上, 对x,y有各阶偏导数, 且Arg(z−z0)={argΩ(z−z0)+2kπ,k∈z}.从⽽Arg(z−z0)在Ω中有⽆穷多连续分⽀, 任意两个相差2π的整数倍.注:arg(z−z0)不解析.注:设Γ:z=γ(t),t∈[a,b]是⼀条分段光滑的有向曲线(简称路径), 若0∉Γ, 即γ(t)在[a,b]上不取零值, 则存在ρ(t)=|γ(t)|,θ(t),t∈[a,b],分段光滑实函数, 使得γ(t)=ρ(t)e iθ(t).定理2.4.8 (解析函数的n⽅根的解析分⽀) 设n≥2, Ω单连通区域, f(z)在Ω内解析, 处处不为零, 则(f(z))1/n在区域D内有解析分⽀g(z), 且(f(z))1/n的所有解析分⽀是g(z)e2kπi/n,k=0,1,...,n−1的形式.定理2.4.9 (连续函数为n⽅根的解析分⽀的判定定理) n≥2是整数, Ω区域, f(z)在Ω中解析且处处不为零, g(z)为(f(z))1/n的连续分⽀,z∈Ω, 则g(z)为(f(z))1/n在Ω上的解析分⽀.例2.4.10 证明多值函数(z2(1−z)3)1/5在z-平⾯上割去线段[0,1]的区域D上可以分出5个解析分⽀. 求出在(0,1)的上沿取正值的那个单值解析分⽀g0(z)在点z=−1处的值g0(−1)以及g′0(−1),g0″.Loading [MathJax]/jax/element/mml/optable/GeneralPunctuation.js。
第二章 解 析 函 数解析函数是复变函数研究的主要对象.本章介绍导数、解析函数的概念,并介绍一些常用初等函数的解析性.§1.解析函数的概念1.导数与微分 导数定义:设)(z f w=,D z ∈(区域),D z ∈0.若极限zz f z z f z ∆-∆+→∆)()(lim000存在,则称)(z f 在0z 处可导,记为)(0z f ',00 ,z z z z dz dfdz dw ==.若)(z f 在区域D 内处处可导,称 )(z f 在D 内可导.例1.求32)(2+=z z f 的导数.解:z z z zz z z z z f z z f z f z z z 4)Δ2(2 lim ]32[]3)(2[lim )()(lim )(0 220 0 =+=∆+-+∆+=∆-∆+='→∆→∆→∆,)(C z ∈.(处处可导).例2.问 yi x z f 3)(+= 是否可导 )(iy x z +=?解:z z z ∆+→,x x x ∆+→,y y y ∆+→,y i x z ∆+∆=∆.yix yix z yi x i y y x x z z f z z f z z z ∆+∆∆+∆=∆+-∆++∆+=∆-∆+→∆→∆→∆3 lim ]3[])(3)[(lim )()(lim0 0 0. 设z z ∆+ 沿平行于x 轴方向趋于z ,则0=∆y ,极限为 1lim 3lim 0 0 =∆∆=∆+∆∆+∆→∆→∆x xyi x yi x x z ;设z z ∆+ 沿平行于y 轴方向趋于z ,则0=∆x ,极限为33lim 3 lim 0 0 =∆∆=∆+∆∆+∆→∆→∆yiyi yi x yi x y z . 所以yi x z f 3)(+= 的导数不存在,无处可导.可导与连续的关系:函数可导⇒连续; 但函数连续≠⇒可导.证:“可导⇒连续”. 设)(z f 在0z 可导, 则 0 0, >∃>∀δε,当 δ<∆<z 0 时,ερ<'-∆-∆+=∆)()()(000z f zz f z z f . 因此,0lim 0 =→∆ρz . 而z z z f z f z z f ∆⋅+∆'=-∆+ρ)()()(000, 所以 )()(lim 000z f z z f z =∆+→∆,)(z f 在0z 连续. “连续≠⇒可导”. 见例2.求导法则:复变函数的导数定义与实函数的导数定义一致,故求导法则也相同.罗列如下,应当牢记. (1) )( ,0)(C c c ∈='; (2) ) ( , )(1N n z n z n n ∈='-;(3))()(])()([z g z f z g z f '±'='±; (4) )()()()(])()([z g z f z g z f z g z f '+'=';(5) ) 0)g( ( ,)()()()()()()(2≠'-'='⎥⎦⎤⎢⎣⎡z z g z g z f z g z f z g z f ; (6))()(})]([{z g w f z g f ''=',其中)(z g w =;(7) )(1)(z f w '='ϕ, 其中)(z f w =是)(w z ϕ= 的反函数,0)(≠'z f .微分:若)(z f 在0z 可导, 则 )()()()(000z o z z f z f Δz z f w ∆⋅+∆'=-+=∆, 定义dz z f dw )(0'=.2.解析函数 定义:(a ) 若)(z f 在0z 的某一邻域) ,(0δz U 内可导,称)(z f 在0z 处解析; (b ) 若)(z f 在区域D 内的每一点解析,称)(z f 在D 内解析;(c ) 若)(z f 在0z 不解析,称0z 为)(z f 的一个奇点.注:函数在区域内解析与可导等价.但可导与解析并不等价.函数在一点 0z 处可导,并不意味着在0z 处解析.例1.讨论32)(21+=z z f 和 yi x z f 3)(2+= 的解析性.解:)( ,4)(11z f z z f =' 在复平面上解析,称为全纯函数;)(2z f 处处不可导,无处解析. y例2.讨论函数 )1(1+=z z w 的解析性. 解:当1 0-≠≠z z 及 时, w 可导:22)1()12(++-=z z z dz dw . x 所以,在除0=z 及1-=z 外的复平面上,)(z f w = 解析.而1 0-==z z 和 是w 的两个奇点. 称函数)(z f w = 为亚纯函数.定理.两个解析函数的和、差、积、商(分母不为零)仍然是解析函数;解析函数的复合函数也是解析函数. 结论:多项式在C 内处处解析;有理分式函数)()()(z Q z P z f = 在分母不为零的区域内解析.§2.函数解析的充要条件判断复函数) ,() ,()(y x iv y x u z f += 是否解析,有如下的充要条件.定理.函数) ,() ,()(y x iv y x u z f += 在iy x z += 处可导的充要条件是:) ,(y x u 、) ,(y x v 在点 ) ,(y x 处可微,并且满足Riemann Cauchy- 方程: xvy u y v x u , ∂∂-=∂∂∂∂=∂∂.此时,有导数公式x y y x v i v iu u z f )(+=-='. (证略)注:(1) 若) ,(y x u 、) ,(y x v 在D 内具有一阶连续偏导数,且满足R C -方程,则)(z f 解析;(2) 将点改成区域D ,便得)(z f 在D 内解析的充要条件.例1.判断下列函数是否解析. (1)z z f =)(;(2))sin (cos )(y i y e z f x +=.解:(1)iy x z z f -==)(,y v x u -== ,. 100 ,1-====y x y x , v , v u u .y x v u ≠,不满足R C -方程, 故z z f =)( 无处可导, 无处解析.(2)y e u x cos =,y e v x sin =. 由于⎪⎩⎪⎨⎧-=-===x x yy xx v y e u v y e u sin cos , )(z f 处处解析,全纯函数. 例2.证明:若在区域D 内0)(='z f ,则 c z f ≡)((复常数).证:000 )( i v i v iu u z f x y y x +==+=-=',故0====y x y x v v u u21 c , v c u ≡≡⇒ c ic c z f Δ=+≡⇒21)( .例3.函数 iy x z f -=2)( ) (iy x z += 在何处连续?何处可导?何处解析?解:y v x u-== ,2,二元初等函数,处处连续,所以)(z f 处处连续. -⎪⎩⎪⎨⎧=-==-===0012x y y x v u v x u R , y x ∈-=⇒21. 故)(z f 仅在直线 21-=x 上可导,1)(-='z f . 但直线不含邻域,所以)(z f 无处解析.§3.初 等 函 数1.指数函数: 复变数指数函数:)sin (cos exp )( y i y e e e e e z z f x y i x y i x z +=⋅====+.它等价于关系式:x z e e = 及 πk y e Arg z2)(+=. 故0≠z e .z e z f =)( 具有性质:(1))()(z f z f =',)(z f 在C 内解析;(2) 若0)Im(==z y ,x e z f =)(; 若 0)Re(==z x ,y i y e z f i y sin cos )(+==;(3)ze服从加法定理:2121z z z z ee e+=⋅,2121z z z z e e e -=;(4) ze以i k 2π为周期:) ( , 2 2Z k e e e ez i k z ik z ∈=⋅=+ππ.例1.计算 22πi e+. 大写整数集Z解:22222sin 2cos ie i e ei =⎪⎭⎫ ⎝⎛+=+πππ.2.对数函数 定义:指数函数 0)( ,≠=z z e w 的反函数称为对数函数.记作) ,() ,()(y x iv y x u z f w +==, 而 θi re z =.则θi iv u re e =+, 故θ===r, v u e r u ln ,.这样,对数函数为 ) 0( , ln ≠=+=∆z z Ln iArgz z w (多值函数).若Argz 取主值,记 z i z z arg ln ln +=, 称为 z Ln 的主值.其它分支可表为 ) 0 ( , 2ln ≠∈+=Z, z k i k z z Ln π. 称为z Ln 的单值分支.特别,当x z x z ln ln , 0=>=时 (实对数函数).运算性质:2121 )(Lnz z Ln z z Ln +=,2121Lnz z Ln z z Ln -=.例1.求3 Ln ,)1( -Ln ,i Ln 以及相应的主值.解:i k Ln 23ln 3π+=,)(Z k ∈;主值为3ln ;i k iArg Ln )12()1(1ln )1( π+=-+=-,)(Z k ∈; 主值为i )1ln(π=-;i k iArgi i i Ln )212( ln π+=+=,)(Z k ∈;主值为i i 2ln π=. 对数函数的连续性与解析性: 对于z i z zarg ln ln +=,当 0≠z 时,z ln 连续,而z arg 则在原点与负实轴上不连续,故除原点与负实轴外,z ln 处处连续.w e z = 在区域 ππ<<-z arg 的反函数z w ln =单值,由反函数的求导法,有:ze dw de dz dw z w w11)(ln 1==⎪⎪⎭⎫ ⎝⎛=='-.因此,在除去原点与负实轴的复平面内 z ln 解析, z ln 的每个单值分支也解析,且 zLnz 1)(='. 3.幂函数定义:)(ln z iArg z Lnz z Ln ee ez w +====αααα, (α0,≠z 为复常数).由z Ln 的多值性,i k z Lnz e e e w 2ln απαα⋅==, )(Z k ∈. 可见,αz 也是多值函数(当α不是整数),幂函数的解析性:由于Lnz 的每一单值分支在除去原点与负实轴的复平面内解析,由复合函数的解析性知,αz 的每一单值分支在除去原点与负实轴的复平面内解析,且111 )()(---⋅=⋅=⋅='='ααααααααz z z z e e z Lnz z Ln .例1.求21和i i )1( - 的值.解:ik iArg Ln e ee 22)1 1(ln 21221π===+,)(Z k ∈.)2ln sin 2ln (cos )1(2 4) 2ln 2 4()4i 22ln ( )1( i eeeei k i k i k i i Ln i i +====--+--+-ππππππ,)(Z k ∈.4.三角函数与双曲函数由⎪⎪⎩⎪⎪⎨⎧-=+=⇒⎪⎩⎪⎨⎧-=+=---)(21sin )(21cos sin cos sin cos θθθθθθθθθθθθi i i i i i e e i e e i e i e , 称为Euler 公式.定义:)(21sin ),(21cos z i z i z i z i e e iz e e z ---=+=. zz z cos sin tan =;zzctg sin cos =;z z cos 1sec =; zz s i n 1c s c =.z z cos )(sin =',z z sin )(cos -=',处处解析. 大多数三角公式对于z z cos ,sin 成立.双曲余弦:)(21cosh zz e e chz z -+==;双曲正弦:)(21sinh z ze e shz z --==; 双曲正切:zz zz e e e e chz shz thz z --+-===tanh .以上函数均在定义域(分母不为零处)内可导并且解析. 5.反三角函数与反双曲函数 三角函数的反函数称为反三角函数.w z sin = 的反函数称为反正弦函数.下求之.由)(21sin iw iw e e iw z --==, 得 iwe 的二次方程:012)(2=--iw iw ize e , 根为:21z iz e w i -+=, (21z - 为双值函数). 所以)1( sin 2z iz Ln i z Arc w -+-==.反余弦函数:)1( cos 2-+-=z z Ln i z Arc ; 反正切函数:izizLn i Arctgz -+-=112.双曲函数的反函数称为反双曲函数. 它们是: 反双曲正弦:)1( 2++=z z Ln Arshz ; 反双曲余弦:)1( 2-+=z z Ln Archz ;反双曲正切:z1z 1 21-+=Ln Arthz . 它们都是多值函数.在复变函数中,常值函数、指数函数、对数函数、幂函数、三角函数、双曲函数、反三角函数等七类函数称为复基本初等函数.复初等函数:由复基本初等函数经过有限次加、减、乘、除和复合运算,能由一个式子表示的函数称为复初等函数. 如:ze z tgz w +=2,z e w z ln sin +=,等等.。
本文将为大家介绍一份名为《多元函数的概念与实践探究设计》的教案设计,通过该教案设计的实施,学生将可以全面、深入地了解多元函数的概念和实践应用,从而为他们未来的大学学习和职业发展打下一个坚实的基础。
1.教学目标本教案的教学目标为:1)让学生全面、深入地了解多元函数的概念和特性。
2)帮助学生掌握多元函数的基本运算法则和实践应用方法。
3)激发学生对多元函数理论和实践应用的兴趣和热情。
4)提高学生的数学思维能力和问题解决能力。
2.教学内容本教学以多元函数为主要内容,包括以下三个主要方面:1)多元函数的概念和性。
2)多元函数的基本运算法则和实践应用。
3)多元函数实例分析和问题解决方法。
具体来说,本教学将涵盖如下内容:1)多元函数的定义和解析方式。
2)多元函数的连续性和偏导数。
3)多元函数的高阶导数和泰勒展开式。
4)多元函数的极值和最值问题。
5)多元函数在微积分、数学建模、物理等领域的应用。
3.教学方法本教学采取多种教学方法,包括如下几个方面:1)讲授法:通过讲解多元函数的概念、性质和运算法则,来帮助学生全面了解多元函数的基本知识。
2)实践法:通过学生实际操作,并解决多元函数的实际应用问题来加深学生对多元函数知识的理解。
3)讨论法:通过与学生的互动交流,让学生在讨论中深入探究多元函数的理论和应用。
4)实例分析法:通过分析多元函数的实例,来帮助学生更加深入地理解多元函数的运算法则和应用方法。
4.教学步骤本教学将按照如下的步骤进行:1)讲授多元函数的概念和性质。
通过讲解多元函数的定义、解析方式、连续性等方面,来帮助学生全面认识多元函数的概念和特性。
2)讲授多元函数的基本运算法则和实践应用。
通过讲解多元函数的偏导数、高阶导数、泰勒展开式、极值和最值等方面,来帮助学生掌握多元函数的基本运算法则和实践应用方法。
3)通过分析实例,来帮助学生更加深入地理解多元函数的运算法则和应用方法。
例如,通过分析各种不同的多元函数实例、微积分问题等,来帮助学生更好地理解多元函数的实际应用。
高中数学 14种函数图像和性质知识解析新人教A版必修1高中不得不掌握的函数图像与常用性质高中常用函数有14种,它们是:1.正比例函数;2.反比例函数;3.根式函数;4一次函数;5.二次函数;6双勾函数.;7..双抛函数;8.指数函数;9对数函数;10.三角函数;11分段函数.;12.绝对值函数;13.超越函数;14.抽象函数。
而函数的性质常见的有:1.定义域;2.值域;3.单调性;4.奇偶性;5.周期性;6.对称性;7.有界性;8.反函数;9.连续性.高中都是从函数解析式入手画出函数图像,再利用函数图像研究其性质,下面我们就函数的图像和性质做归纳总结。
1.正比例函数解析式图像定义域:值域:单调性:奇偶性:反函数:2.反比例函数解析式图像性质定义域:值域:单调性:奇偶性:反函数:对称性:定义域:值域:单调性:对称性:3根式函数解析式图像定义域:值域:单调性:奇偶性:反函数:4一次函数解析式图像定义域:值域:1 性质性质性质用心爱心专心单调性:反函数:5二次函数解析式图像定义域:值域:单调性:对称性:定义域:值域:单调性:对称性:6.双勾函数解析式图像定义域:值域:单调性:奇偶性:对称性:定义域:值域:单调性:奇偶性:对称性:7.双抛函数解析式图像定义域:值域:单调性:奇偶性:对称性:定义域:性质性质性质用心爱心专心值域:单调性:奇偶性:对称性:8.指数函数解析式图像定义域:值域:单调性:9.对数函数解析式图像定义域:值域:单调性:10.三角函数解析式图像单调性:周期性:奇偶性:有界性:对称性:定义域:值域:单调性:周期性:奇偶性:有界性:对称性:定义域:值域:单调性:周期性:奇偶性:有界性:对称性:定义域:值域:单调性:周期性:奇偶性:有界性:对称性:11.分段函数分段函数是在其定义域的不同子集上,分别用几个不同的式子来表示对应关系的函数,它是一类较特殊的函数。
其图像的画法是按定义域的划分分别作图。
§3 初等多值函数一、教学目标或要求:掌握 基本的初等多值函数的定义、性质; 二、教学内容(包括基本内容、重点、难点): 基本内容:基本的初等多值函数的定义、性质; 重点:基本的初等多值函数的定义、性质; 难点:支点的概念 三、教学手段与方法: 讲授、练习四、思考题、讨论题、作业与练习: 21-26(习题课检查)§3 初等多值函数1.根式函数定义2.9 设)0(e i ≠=θr z ,规定根式函数为幂函数的反函数。
(1)根式函数为多值函数,它不是解析函数.对于每一个确定的)0(e i ≠=θr z ,都有n 个不同的w 与之对应,即有 n nr w θi0e = nn r w π2i1e +=θnn nn r w π)1(2i1e-+-=θ因为根式函数是多值函数,所以,它不是解析函数.(2)根式函数在从原点起沿正实轴剪开的复平面上可分出n 个单值函数. 设函数)(z F w =为多值函数,若当变点z 从起始点0z 出发绕一条包围点a 的简单闭曲线连续变动一周再回到起始点0z 时,函数)(z F 从一个支变到另一个支,则称点a为函数)F的支点.(z(3)根式函数n zw 的每个单值支在从原点起始沿正实轴剪开的复平面上为解析函数.根式函数它是一个多值函数,出现多值性的原因是由于确定后,其幅角并不唯一确定(可以相差的整数倍)。
为分出单值解析分支,在平面上从原点到引一条射线,将平面割破,割破了的平面构成一个以此割线为边界的区域。
在内随意指定一点,并指定的一个幅角值,则在内任意的点,皆可根据的幅角依连续变化而唯一确定的幅角。
假定从原点其割破负实轴,是内过的一条简单闭曲线,即不穿过负实轴,它的内部不包含原点,则当变点从其绕一周时,的象点各画出一条闭曲线而各回到它原来的位置。
因此,在区域内可得到的个不同的单值连续分支函数,,利用极坐标形式的柯西-黎曼条件,可以证明,这个分支函数在区域内是解析的,且有,,在上面分出的单值解析分支过程中,有一个重要的基本概念:支点。
对多值解析函数的研究摘要:本文主要分析了复变函数多值性的问题,先从实变函数的反函数对应关系类比推理到复变函数的单值性,研究了一些关键名词的定义,再对几种常见的多值复变函数进行了分析,探讨了多值函数单值化的一般方法,最后讨论了函数多值性的一些具体应用。
关键词: 复变函数; 多值性; 幅角; 单值解解析0 引言在学习复变函数的过程中,函数的多值性是复变函数中非常重要的一部分。
为了深入研究复数域中解析函数及其应用,在多值函数的研究中,就必须在复数域中透过初等函数多值性的本质,分解出其单值分支,这样才能达到想要的结果。
幅角函数的多值性是引起初等复变函数多值性的根本原因。
因此,要弄清楚复变函数的多值性问题,就必须以幅角函数为切入点。
本文的讨论都是基于一个复数的幅角的不唯一性,这种不确定性,使复变函数除了具有多对一的情形,还有一对多的复杂情况。
不论是多对一还是一对多的映射,当然都不如一一映射讨论起来方便、清晰。
所以,对于多对一的映射(函数),类似实变函数中为了求得反函数而划分出单值区间,我们总是要将其定义域分成一些区域的和,使得在分出的每个区域上,原来的多对一映射简单地成为一一映射。
单值函数:在实变函数中,我们所定义的单值函数是:一个x∈A,有唯一的一个y∈R 与之对应。
按此定义,表达式:, x≥0并不给出函数,于是我们可以将其看做两个函数和,x≥0的合写,总之,在实分析中,函数f(x)总是单值的。
但是,实分析中定义的函数允许多对一,如y=sinx,x∈R就是无穷多个x与一个y对应。
在复变函数中,函数的定义允许一对多,即一个z∈E可以有多个w与之对应,这种情况我们称w是z的多值函数,就是双值的,比如对于z=i,w的值可以是以及,形成上述原因的根本问题在于复数自身固有的特性,就是模长相等,幅角相差2kπ的两个复数是相等的。
或者说,复数的表示不是唯一的。
1 几种常见的复变函数的多值性探讨1.1复数的幅角函数幅角的定义: 把复平面上的原点作为起点,向量z作为终点, 那么该向量与实轴正向之间的夹角就称为复数z的幅角,记为Argz,然而在此基础上±2kπ(K为任意整数)得到的角也称为复数的幅角,换言之,幅角有无数多个,其中的-π<argz≤π称为幅角主值,即Argz = argz ±2kπ。
对多值解析函数的理解与认识
多值解析函数是一类允许参数有多种可能的解析函数。
这类函数
可以通过调整参数来确定单个参数是否具有独特属性,或者如何表现
在原始函数上。
一个常见的例子就是机器学习中常用的sigmoid函数,通过调整参数来优化函数性能,以便能够对不同的数据表现出不同的
趋势。
此外,多值解析函数还可以探索数据之间的复杂关系,使研究
人员能够直观地理解各项因素的影响程度。
多值解析函数的基本思想是利用参数来反映数据的特性,可以将
多维数据表述成一维参数集合,以便能够对函数进行调整、估计参数
之间的关系,以及综合评估函数性能。
与其他解析方法相比,多值解
析函数可以很好地满足较低维度的数据需求,而且参数之间的关系也
更容易理解,从而实现函数调整的准确性和效率。
总而言之,多值解析函数可以帮助更好地理解数据,对参数有更
直观的认识,有助于高效的函数调整和高维度数据的探索,最终达到
优化函数性能的目的。
数据库设计中的多值依赖与函数依赖问题解析在数据库设计中,多值依赖(Multivalued Dependency)和函数依赖(Functional Dependency)是两个重要的概念。
理解和处理这些依赖关系对于设计出高效、规范的数据库结构至关重要。
本文将对多值依赖和函数依赖进行详细解析,并探讨在数据库设计中如何处理和避免出现问题。
多值依赖是指在一个关系模式中,存在一组属性对(X, Y, Z...),X与Y之间存在依赖关系(X->>Y),即当给定某一个X值时,可能存在多个Y值与之对应。
这种依赖关系在关系型数据库中无法用单个表表示,会导致数据冗余和不一致。
一个典型的例子是学生课程表,一个学生可能选择多门课程,而每门课程都有多个教师授课,因此学生和课程之间、课程和教师之间都存在多值依赖,这时的学生-课程-教师模式需要拆分为三个独立的关系。
函数依赖是指在一个关系模式中,一个属性的值完全依赖于其他属性的值。
假设有一张员工表,其中包含员工ID、姓名、部门、工资等属性。
如果我们确定了员工ID,就只存在唯一的姓名、部门和工资。
这时,姓名、部门和工资对于员工ID构成了函数依赖,即{员工ID} -> 姓名、部门、工资。
函数依赖可以帮助我们进行数据规范化和消除冗余。
在数据库设计中,我们通常追求减少属性之间的函数依赖,以避免冗余数据引起的更新异常和数据一致性问题。
在处理多值依赖和函数依赖问题时,规范化(Normalization)是常用的设计方法。
规范化通过拆分关系模式,使每个关系符合某一正则形式,从而消除或最小化冗余和数据不一致。
一般来说,常用的规范化形式有1NF(第一规范化形式)、2NF(第二规范化形式)和3NF(第三规范化形式)。
在1NF中,关系模式的每个属性都是不可再分的最小数据单元,不允许出现重复组。
2NF要求关系模式的非主属性完全依赖于主属性,即不存在部分函数依赖。
3NF则要求关系模式除了满足2NF的要求外,还应该消除传递依赖,即不存在传递函数依赖。