线性代数几何代数历年试题_周建华
- 格式:doc
- 大小:2.64 MB
- 文档页数:82
20XX 年线性代数与空间解析几何试题(A )一. 填空题(每小题3分,共15分)1.设矩阵⎥⎥⎥⎦⎤⎢⎢⎢⎣⎡=200540321A ,⎥⎥⎥⎦⎤⎢⎢⎢⎣⎡-=132015001B ,则行列式=AB .2.设⎥⎥⎥⎦⎤⎢⎢⎢⎣⎡-=t A 23402211,若3阶非零方阵B 满足0=AB ,则=t .3.已知3阶方阵A 的行列式3||=A ,则行列式=--|2|1A4.设3阶方阵A 的三个特征值分别为1、2、3,又方阵E A A B +-=22,则方阵B 的特征值为.5.若矩阵⎥⎥⎥⎦⎤⎢⎢⎢⎣⎡=a a A 0001012为正定矩阵,则a 的取值范围是.二. 单项选择题(每小题3分,共15分)1. 齐次线性方程组0=Ax 有非零解的充分必要条件【 】(A)A 的行向量组线性相关; (B) A 的列向量组线性相关;(C) A 的行向量中有一个为零向量; (D)A 为方阵且其行列式为零.2. 设n 维行向量)21,0,,0,21( =α,矩阵ααT -=I A ,ααT 2+=I B ,其中I 为 n 阶单位阵,则=AB 【 】(A) 0; (B)I -; (C)I ; (D) ααT +I .3. 设321,,ααα是齐次方程组0=Ax 的基础解系,则下列向量组中也可作为0=Ax 的基础解系的是【 】(A)32132212,,ααααααα++++; (B) 133221,,αααααα-++;(C) ;(D) .4. 已知线性方程组有无穷多个解,则【 】 (A) 2; (B) ; (C) 1; (D).5. 设矩阵的秩,下述结论中正确的是.【 】(A)的任意个列向量必线性无关;(B)的任意一个阶子式不等于零;(C)齐次方程组只有零解;(D)非齐次方程组必有无穷多解.321211,,αααααα+++3221,0,αααα--⎥⎥⎥⎦⎤⎢⎢⎢⎣⎡-=⎥⎥⎥⎦⎤⎢⎢⎢⎣⎡⎥⎥⎥⎦⎤⎢⎢⎢⎣⎡211111111321x x x a a a =a 2-1-n m A ⨯n m A r <=)(A m A m 0=Ax b Ax =三. (10分)已知方阵,试求行列式及逆矩阵. 四.(10分)设方阵,已知,求.五. (12分)讨论为何值时,方程组(1)有唯一解?(2)无解?(3)有无穷多解?并在有无穷多解时求出其通解.六.(10分)设向量组:,,,,试求此向量组秩和一个极大无关组,并将其余向量用极大无关组线性表示.七. (12分)用正交变换化二次型为标准型,并求出所用的正交变换及的标准型.八. (8分)已知3阶方阵满足:,,其中为元素的代数余子式,求九.(8分)设两向量组:,的秩为,证明:向量组的秩为3.⎥⎥⎥⎥⎦⎤⎢⎢⎢⎢⎣⎡=2000011202310216A ||A 1-A ⎥⎥⎥⎦⎤⎢⎢⎢⎣⎡=310120002A BA A ABA +=26B λ⎪⎩⎪⎨⎧=+++=+++=+++λλλλ321321321)1(3)1(0)1(x x x x x x x x x T 1)1,1,1(-=αT 2)2,4,3(-=αT 3)0,4,2(=αT 4)1,1,0(=α322322213214332),,(x x x x x x x x f +++=f )(ij a A =ij ij A a =011≠a ij A ij a .||A 321,,)I (ααα421,,)II (ααα3)II (,2)I (==r r 4321,,αααα+20XX 年线性代数与空间解析几何试题(B )一、填空题(每小题3分,共15分)1.设矩阵,,则行列式.2.设,若3阶非零方阵满足,则.3.齐次线性方程组的基础解系为_. 4.曲线绕轴旋转一周所得旋转面的方程为. 5.若矩阵为正定矩阵,则的取值范围是.二. 单项选择题(每小题3分,共15分)1. 齐次线性方程组有非零解的充分必要条件是【 】(A)的行向量组线性相关; (B) 的列向量组线性相关;(C) 的行向量中有一个为零向量; (D)为方阵且其行列式为零.2. 设维行向量,矩阵,,其中为阶单位阵,则【 】(A) 0; (B);(C); (D) .3. 设是齐次方程组的基础解系,则下列向量组中也可作为的基础解系的是【 】(A); (B) ;(C) ;(D) .6. 已知线性方程组有无穷多个解,则【 】(A) 2; (B) ; (C) 1; (D).7. 设矩阵的秩,下述结论中正确的是【 】(A)的任意个列向量必线性无关;(B)的任意一个阶子式不等于零;(C)齐次方程组只有零解;(D)非齐次方程组必有无穷多解.⎥⎥⎥⎦⎤⎢⎢⎢⎣⎡=200540321A ⎥⎥⎥⎦⎤⎢⎢⎢⎣⎡-=132015001B =AB ⎥⎥⎥⎦⎤⎢⎢⎢⎣⎡-=t A 23402211B 0=AB =t ⎥⎥⎥⎦⎤⎢⎢⎢⎣⎡=⎥⎥⎥⎦⎤⎢⎢⎢⎣⎡⎥⎦⎤⎢⎣⎡-000201421321x x x ⎩⎨⎧≤≤==)31( 0x z e x yox ⎥⎥⎥⎦⎤⎢⎢⎢⎣⎡=a a A 0001012a 0=Ax A A A A n )21,0,,0,21( =αααT -=I A ααT 2+=I B I n =AB I -I ααT +I 321,,ααα0=Ax 0=Ax 32132212,,ααααααα++++133221,,αααααα-++133221,,αααααα+++3221,0,αααα--⎥⎥⎥⎦⎤⎢⎢⎢⎣⎡-=⎥⎥⎥⎦⎤⎢⎢⎢⎣⎡⎥⎥⎥⎦⎤⎢⎢⎢⎣⎡211111111321x x x a a a =a 2-1-n m A ⨯n m A r <=)(A m A m 0=Ax b Ax =三. (10分)已知3阶方阵可逆且,试求的伴随矩阵的逆矩阵.四.(12分)证明直线与直线在同一平面上,并求与交点的坐标,及平面的方程.五. (12分)设向量,,,,,问取何值时,向量可由向量组线性表示?并在可以线性表示时求出此线性表示式.六.(8分)设两向量组:,的秩为,证明:向量组的秩为3.七. (10分)已知方阵的特征值为(1) 求的值;(2) 是否可以对角化?若可以,求可逆矩阵及对角矩阵,使得.一. (12分)用正交变换化二次型为标准型,并求出所用的正交变换及的标准型九. 证明题(6分)(两题中选做一题)1. 设3维欧几里德有两个标准正交基,.已知可由线性表示为,试证:矩阵为正交矩阵. 2. 设为阶方阵,表示矩阵的秩,试证:A ⎥⎥⎥⎦⎤⎢⎢⎢⎣⎡=-3330221011A A 112131:1+=+=+z y x L 243514:2-=-+=-z y x L π1L 2L πT 1)4 ,2 ,1 ,1(-=αT 2)2 ,3 ,1 ,0(=αT 3)14 ,10 ,2 ,3(+-=a αT 4)5 ,2 ,1 ,1(+-=a αT )10 ,6 ,1 ,2(+-=b βb a ,β4321,,,αααα321,,)I (ααα421,,)II (ααα3)II (,2)I (==r r 4321,,αααα+⎥⎥⎥⎦⎤⎢⎢⎢⎣⎡-=3000201a b A .0,3321===λλλb a ,A P D D AP P =-1323121232221321828878),,(x x x x x x x x x x x x f +-++-=f V 321,,)I (ααα321,,)II (βββ)II ()I (⎪⎩⎪⎨⎧++=++=++=333223113333222211223312211111αααβαααβαααβa a a a a a a a a 33)(⨯=ij a A A n )(A R A ).()(1+=n n A R A R20XX 年线性代数与空间解析几何试题(C )一. 填空题(每小题3分,共30分)1. 已知3阶方阵的行列式,则行列式.2. 已知3阶方阵,其中为的列向量组,若行 列式,则行列式.3. 已知阶方阵,满足,为单位阵,则.4.设矩阵,为的伴随阵,则_____.5.设,若3阶非零方阵满足,则____.6. 设向量组:,,线性相关,则___.7.设是维向量,令,,,则 向量组的线性相关性是.8. 设为的矩阵且秩为2,又3维向量是方程组的两个 不等的解,则对应的齐次方程组的通解为.9. 设3阶可逆方阵有特征值2,则方阵必有一个特征值为.10. 若二次型为正定二次型,则的取值范围是______________.二. (8分)已知方阵,试求行列式. 三.(12分)设方阵,又已知,求以及.四. (12分)讨论为何值时,方程组(1) 有唯一解?(2) 无解?(3) 有无穷多解?并在此时求出其通解. 五.(10分)设向量组:,,,,试求此向量组的秩和一个极大无关组,并将其余向量用极大无关组线性表示.六. (12分)用正交变换化二次型为标准型,并求出所用的正交变换及的标准型.A 0||≠=a A =-|2|A ),,(321βββ=B 321,,βββB 2||-=B =-|,3,2|1213ββββn A 02=--E A A E =-1A ⎥⎥⎥⎦⎤⎢⎢⎢⎣⎡-=100010321A *A A =-*1)(A ⎥⎥⎥⎦⎤⎢⎢⎢⎣⎡-=12032211t A B 0=AB =t T 1)0,0,1(=αT 2)4,2,0(=αT 3),3,1(t -=α=t 21,ααn 1212ααβ-=211ααβ+=211ααβ-=321,,βββA 34⨯21,ηηb Ax =0=Ax A 12)(-A 212322213212)1(2),,(x x x x x x x x f --++=λλλ⎥⎥⎥⎥⎦⎤⎢⎢⎢⎢⎣⎡-+-+=y x x x x x y x x x x x y x x x x x y x A 322||A ⎥⎥⎥⎦⎤⎢⎢⎢⎣⎡=⎥⎥⎥⎦⎤⎢⎢⎢⎣⎡--=200010002,100011021B A BA AX =X A ,1-5X λ⎪⎩⎪⎨⎧=+++=+++=+++λλλλ321321321)1(3)1(0)1(x x x x x x x x x T 1)1,1,1(-=αT 2)2,4,3(-=αT 3)0,4,2(=αT 4)1,1,0(=α32232221321222),,(x x x x x x x x f +++=f七. (8分)设方阵为阶正交阵且,为阶单位阵,试求行列式八.(8分)设两向量组:,的秩为,证明:可由向量组线性表出.A n 0||<A E n .||E A +321,,)I (ααα4321,,,)II (αααα3)II ()I (==r r 4α321,,ααα20XX 年线性代数与空间解析几何试题(A )符号说明:)det(A 指方阵A 的行列式;*A 指方阵A 的伴随矩阵;TA 指矩阵A 的转置矩阵;r )(A 指矩阵A 的秩;I 为单位矩阵;n x ]F[指次数不超过n 的一元多项式全体构成的线性空间. 一、填空题 (每小题3分,共12分)(1) 若3阶方阵A 、B 的行列式分别为3)det(,2)det(==B A ,则=--)2det(*1B A __________.(2) 设4阶可逆方阵A 按列分块为][4321αααα =A ,方阵][2314αααα =B ,已知线性方程组b Bx =有唯一解为T ) , , 753,1(=x ,则方程组b Ax =的解为x =__________ .(3) 设3阶实对称矩阵A 的特征值为1,221-===3 λλλ,T )3,2,1(1=α及T )4,3,2(2=α均为A 的对应于特征值2的特征向量,则A 的对应于特征值1-的特征值向量为_________________.(4) 设矩阵A ⎥⎥⎥⎦⎤⎢⎢⎢⎣⎡=⎥⎥⎥⎦⎤⎢⎢⎢⎣⎡--=301,22310321b t p ,已知线性方程组b Ax =无解,则常数p 与t 满足的关系式是____________.二、单项选择题(每小题3分,共12分)(1) 设m 阶方阵A 的秩为m ,n m ⨯矩阵B 的秩为s ,则(A) (r AB s <). (B) (r AB s >).(C) (r AB s =). (D) (r AB n >). 【 】(2) 设方阵A 与B 相似,即存在可逆方阵P ,使B AP P =-1,已知ξ为A 的对应于特征值λ的特征向量,则B 的对应于特征值λ的特征向量为(A) ξP . (B) ξT P . (C) ξ. (D)ξ1-P . 【 】 (3) 设A 为实对称矩阵,则0)det(>A 是A 为正定矩阵的(A) 充分而非必要条件. (B) 必要而非充分条件.(C) 充分必要条件. (D) 既非充分又非必要的条件. 【 】(4) 设321 , ,ααα是齐次线性方程组0=Ax 的基础解系,则向量组(A) 133221 , , αααααα+++不能作为0=Ax 的基础解系.(B) 133221 , ,αααααα++-可作为0=Ax 的基础解系.(C) 133221 , , αααααα--+可作为0=Ax 的基础解系.(D) 132121 , , αααααα++-不能作为0=Ax 的基础解系. 【 】三、(12分) 已知方阵=A 33)(⨯ij a 的第1行元素分别为111=a ,212=a ,113-=a ,且知⎥⎥⎥⎦⎤⎢⎢⎢⎣⎡----=524735947*A ,求)det(A 及A . 四、(12分)设有向量组(I):T 1)5 ,3 ,1 ,2(-=α,T 2)4,3 ,2 ,3(-=α,T 3)3,1,3 ,4(-=α,T 4)17 ,15 ,1 ,4(-=α.问向量T )0 ,7 ,6 ,7(-=β能否表示成向量组(I)的线性组合?若能,求出此表示式.五、(12分)求直线L :z y x -==-11在平面π:12=+-z y x 上的投影直线0l (即L 上各点在π上的垂足点全体所形成的直线)的方程.六、(13分) 已知矩阵=A ⎥⎥⎥⎥⎦⎤⎢⎢⎢⎢⎣⎡a b 32132143214321相似于对角矩阵⎥⎥⎥⎥⎦⎤⎢⎢⎢⎢⎣⎡=00010D . (1) 求常数a 、b 的值;(2) 求一个可逆矩阵P ,使D AP P =-1.七、(13分)求一个正交变换,将二次型323121321222),,(x x x x x x x x x f ++=化成标准形,并指出二次曲面0),,(321=x x x f 的名称.八、(8分)(注意:学习过第8章“线性变换”者做第2题,其余的做第1题).1. 设矩阵⎥⎦⎤⎢⎣⎡-=31211A ,⎥⎦⎤⎢⎣⎡-=41102A ,⎥⎦⎤⎢⎣⎡--=101013A ,⎥⎦⎤⎢⎣⎡-=62734A . 证明:元素组321,,A A A 线性无关,而4321,,,A A A A 线性相关,并指出数域F 上线性空间1{k W = +1A +4k 4A |}4,,1 F, =∈i k i 的基与维数.2. 设T 为3]F[x 上的线性算子,定义为() )()1()(x f x f x f T -+=,3]F[)( x x f ∈∀ 求T 在3]F[x 的基:32 , , ,1x x x 下的矩阵,并指出T 的秩及T 的零度.九、(6分)设n 阶方阵A 的秩为1-n . 证明:A 的伴随矩阵*A 相似于对角矩阵的充要条件是02211≠+++nn A A A ,其中ii A 为)det(A 的),(i i 元素的代数余子式.20XX 年线性代数与空间解析几何试题(B )符号说明:)det(A 指方阵A 的行列式;*A 指方阵A 的伴随矩阵;TA 指矩阵A 的转置矩阵;r )(A 指矩阵A 的秩;I 为单位矩阵;n x ]F[指次数不超过n 的一元多项式全体构成的线性空间. 一、填空题 (每小题3分,共12分)(1) 若3阶方阵A 的行列式为2)det(=A ,则1*det(2)A A --=________.(2) 设A 为43⨯的矩阵,秩3)(=A r ,已知方程组b Ax =有两个不等的特解21,ηη,则方程组0=Ax 的通解为x =__________ .(3) 设3阶实对称矩阵A 的特征值为2,1321===λλλ,又T )0,0,2(1=α为A 的对应于特征值1的特征向量,则A 为_________________.(4) 设A ⎥⎥⎥⎦⎤⎢⎢⎢⎣⎡--=t 22310321,已知非零矩阵B 满足0=AB ,则t =_________.二、单项选择题(每小题3分,共12分)(1) 设m 阶方阵A 的秩为2-m ,则矩阵*A 的秩为(A) 2-m . (B)2. (C) 1. (D) 0. 【 】(2) 设三阶方阵A 可逆,且各行元素之和均为2,则A 必有特征值(A) 1. (B) 2. (C) -1. (D) -2. 【 】(3) 2=a 是T 3T 2T 1),2,2,1( ,,0)(1,0, ,(1,1,-1,1)a a ===ααα线性无关的(A) 充分而非必要条件. (B) 必要而非充分条件.(C) 充分必要条件. (D) 既非充分又非必要的条件. 【 】(4) 设A 为n m ⨯矩阵且n m <,则下述结论正确的是(A) )0(≠=b b Ax 必有解. (B) 0=Ax 必有无穷多组解.(C) 0=Ax 只有零解. (D) )0(≠=b b Ax 必无解. 【 】三、(12分) 已知⎥⎥⎥⎦⎤⎢⎢⎢⎣⎡-=⎥⎥⎥⎦⎤⎢⎢⎢⎣⎡=100000001,410530602B A ,又三阶方阵X 满足X AB B XA +=+,求101X .四、(12分)已知方程组⎪⎩⎪⎨⎧=+-+=+++=+++122242432143214321x x x x ax x x x b x x x x ,讨论b a ,为何值时方程组(1) 有解?(2)无解?并在有解时求出其通解.五、(12分)求过点(1,2,3)且与直线L :z y x -==-11垂直相交的直线方程.六、(13分) 已知矩阵=A ⎥⎥⎥⎥⎦⎤⎢⎢⎢⎢⎣⎡210012003204321t 可以相似于对角矩阵, (1) 求常数t 的值;(2) 求一个可逆矩阵P ,使AP P 1-为对角阵.七、(13分)求一个正交变换,将二次型31212221321222),,(x x x x x x x x x f -++=化成标准形,并指出二次曲面1),,(321=x x x f 的名称.八、(8分)(注意:学习过第8章“线性变换”者做第2题,其余的做第1题).1.设矩阵⎥⎦⎤⎢⎣⎡-=31211A ,⎥⎦⎤⎢⎣⎡-=41102A ,⎥⎦⎤⎢⎣⎡=70113A ,⎥⎦⎤⎢⎣⎡--=12314A . 试求数域F 上线性空间1{k W = +1A +4k 4A |}4,,1 F, =∈i k i 的基与维数.。
第一章随堂检测1.已知行列式333231232221131211a a a a a a a a a D = 展开式的六项中含有,则i+j=( )A.1B.2C.4D.6我的答案:D2.某二阶行列式的所有元素都是整数,则该行列式的结果( ) A.一定是整数 B.一定不是零 C.一定是正数 D.一定是负数 我的答案:A3.[单选题] 行列式=bb a a ( )A.0B.b a 22- C.b a 22+ D.2ab我的答案:A4.[单选题] 方程组⎩⎨⎧=-=+2121212x x x x 的解是( )A.⎩⎨⎧==0121x x B.⎩⎨⎧==1121x xC.⎩⎨⎧==1021x xD.⎩⎨⎧==0021x x 我的答案:A 5.[单选题] 行列式34-43的结果是( )A.0B.7C.10D.25我的答案:D6.[单选题] 某三阶行列式的所有元素都是4,则该行列式的值是( ) A.3 B.4 C.7 D.0我的答案:D7.[单选题] 关于三阶行列式说法正确的是( )A.若行列式的所有元素都等于零,则行列式的结果一定等于零B.若行列式的所有元素都等于零,则行列式的结果一定不等于零C.若行列式的所有元素都不等于零,则行列式的结果一定等于零D.若行列式的所有元素都不等于零,则行列式的结果一定不等于零 我的答案:A8.[单选题]行列式101010102( )A.0B.1C.2D.4我的答案:B9.[单选题] 一元一次方程1211x =的解是( )A.x=1B.x=2C.x=3D.x=4我的答案:A10.[单选题] 已知行列式,3333333331=D ,5555555552=D 则( )A.4B.2C.8D.0我的答案:D11.[单选题] 若a 、b 、c 、d 的绝对值都是1,则行列式dc ba 的最大值是( )A.1B.2C.3D.4我的答案:B12.[单选题] 若某二阶行列式的结果为零,则关于该行列式的以下说法正确的是( )A.至少有一行元素为零B.至少有一列元素为零C.至少有一个元素为零D.以上答案都不对 我的答案:D1.[单选题] 三级排列321的逆序数是( ) A.3 B.2 C.1 D.0我的答案:A2.[单选题] 以下四个4级排列中,逆序数为零的是( ) A.1234 B.4231 C.1324 D.1423我的答案:A3.[单选题] 一个偶排列的逆序数可能是( )A.1B.3C.4D.5我的答案:C4.[单选题] 已知由1、2、3、4、5组成的某个5级排列中,数字5排在最前面,则该排列的逆序数至少是( )A.1B.3C.4D.5我的答案:C5.[单选题] 关于逆序数说法正确的是( )A.相同的排列一定有相同的逆序数B.相同的排列一定有不同的逆序数C.不同的排列一定有相同的逆序数D.不同的排列一定有不同的逆序数我的答案:A6.[单选题] D是四阶上三角行列式,主对角线元素分别是1、2、3、4,则该行列式的值是( )A.2B.6C.10D.24我的答案:D7.[单选题] 某对角行列式结果等于1,说明该行列式( )A.主对角线上所有元素都等于1B.主对角线上所有元素都大于1C.主对角线上所有元素都小于1D.主对角线上所有元素乘积为1我的答案:D8.[单选题] D是四阶行列式,且结果不等于零,则该行列式的非零元素个数可能是( )A.1B.2C.3D.4我的答案:D9.[单选题] 若某四阶行列式所有元素都是奇数,则该行列式的结果( ) A.一定是奇数 B.可能是奇数 C.一定是正数 D.一定是偶数 我的答案:D10.[单选题] D 是五阶行列式,且位于前三数行和前三列交叉点处的9个元素都是0,而位于其它位置的16个元素都是1,该行列式的值是( ) A.4 B.16 C.25 D.0我的答案:D1.[单选题] 某三阶该行列式共有三个元素为零,则以下说法正确的是( ) A.该行列式的结果一定为零B.若三个零元素在同一行,则该行列式的结果为零C.若三个零元素都在主对角线上,则该行列式的结果为零D.若三个零元素都在副对角线上,则该行列式的结果为零 我的答案:B2.[单选题] 已知行列式13332312322211312111==a a a a a a a a a D 则==3332312322211312112a a a a a a a a a D ( )A.1B.2C.4D.6我的答案:A3.[单选题] 已知222112111a a a a D =,,121122212a a a a D =,且a D D ==21,则a=( )A.0B.1C.2D.4我的答案:A4.[单选题] 行列式ab bb a b a ab a b a ------+( ) A.0 B.b a 22- C.b a 22+ D.2ab我的答案:A5.[单选题] 已知行列式13332312322211312111==a a a a a a a a a D ,==333231223222121341241182a a a a a a a a a D ( ) A.1B.2C.4D.8我的答案:D6.[单选题] 行列式=11-1-111-111( )A.0B.2C.8D.4我的答案:D7.[单选题] 关于行列式说法正确的是( ) A.交换行列式的两行,行列式的结果不变 B.交换行列式的两列,行列式的结果不变C.交换行列式的两行,然后交换行列式的两列,行列式的结果不变D.交换行列式的两行,然后交换行列式的两列,行列式变号 我的答案:C8.[单选题] 行列式987654321=( )A.2B.0C.8D.4我的答案:B9.[单选题] 行列式30219910132121-1=( ) A.2 B.0 C.8 D.4我的答案:B10.[单选题] 若dc bD a =,则=D T( )A. B. C. D.我的答案:B1.[单选题] 在下列四个二阶行列式中,不满足a A ijij =(i,j=1,2,)的是( )A.1111B.111-1C.1001D.2002我的答案:A2.[单选题] 已知行列式,1333231232221131211==a a a a a a a a a D ,则=++231322122111a a a A A A ()A.1B.2C.3D.0我的答案:D3.[单选题] 对于二阶行列式D,中若a 2a 2112=,则有( )A.A 1212a =B.A 2121a =C.A 2A 2112=D.A 2A 1221=我的答案:D4.[单选题] 已知行列式1333231232221131211==a a a a a a a a a D ,则下列式子结果为1的是( )A.M a M a M a 232322222121++B.M a M a M a 333332323131++C.A a A a A a 131312121111++D.A a A a A a 131312121111+-我的答案:C5.[单选题] 对于二阶行列式D,中若a a 21211=,则有( )A.A 2A 1112=B.A 2A 1211=C.A1211A =D.以上都不对我的答案:D6.[单选题] 行列式300220111=D ,则A A A 131211++( )A.0B.2C.4D.6我的答案:D7.[单选题] 满足122211211====AAAA 的二阶行列式是( )A.1111B.1111----C.1111--D.1111--我的答案:D8.[单选题] 行列式694432111=( )A.2B.0C.8D.4我的答案:A9.[单选题] 行列式c b a D c ba 2221111=,)()()(1112222111111++++++=c b a D c b a ,则( )A.由D D 21=可得a+c=bB.由D D 21=可得a-c=bC.由D D 21=可得a ·c=bD.以上答案都不对我的答案:D10.[单选题] 若D 是二阶对角行列式,且202211=AA,则D=( )A.2B.1C.8D.4我的答案:A1.[单选题] 若b >a ,则线性方程组⎩⎨⎧=+=+c cax bx bx ax 2121解的情况与c 的关系是( )A.当等于零时,方程组无解B.当不等于零时,方程组无解C.当时,方程组无解D.在任何情况下,方程组都有解 我的答案:D2.[单选题] 若方程组⎪⎩⎪⎨⎧=++=++=++b x a x a x a b x a x a x a b x a x a x a 333323213123232221211313212111无解,则行列式==333231232221131211a a a a a a a a a D( ) A.1 B.2 C.3 D.0我的答案:D3.[单选题] 对于⎪⎩⎪⎨⎧=+=+=++000-42-622-53121321x x x x x x x )()()(λλλ有非零解,则不可能取的值是( ) A.5B.8C.2D.6我的答案:D4.[单选题] 方程组⎪⎩⎪⎨⎧=++=++=++000333232131323222121313212111x a x a x a x a x a x a x a x a x a 解的情况是( )A.一定有解B.一定无解C.可能无解D.当系数行列式为零时无解 我的答案:A5.[单选题] 若齐次线性方程组有一个非零解,则该方程组一定( ) A.有无穷多解 B.恰有两个非零解 C.没有零解 D.恰有三个解 我的答案:A6.[单选题] 在平面直角坐标系中,直线CB A Y X 1111:l =+与直线C B A Y X 2222:l =+相交,则线性方程组⎩⎨⎧=+=+C B A C B A Y X Y X 222111解的情况是( ) A.有无穷多解B.恰有一个解C.恰有两个解D.恰有三个解 我的答案:B7.[单选题] 关于X 、Y 、Z 的齐次线性方程组⎩⎨⎧=++=++0ey 0fz dx cz by ax 解的情况是( )A.无解B.有非零解C.没有零解D.只有零解 我的答案:B8. [单选题] 已知方程组⎩⎨⎧=+=+24622y x y ax 无解,则a=( )A.1B.2C.3D.0我的答案:C9.[单选题] 已知方程组⎩⎨⎧=++=+p y x p y 3225x 3的解满足x+y=2,则p=( )A.1B.2C.3D.4我的答案:D10.[单选题] 若cx a x 2bx )(f ++=,f(d)=f(e)=f(g)=0,且d 、e 、g 两两不等,则关于a 、b 、c 的取值情况是( ) A.a=0,b ≠0,c=0 B.a=0,b=0,c=0 C.a ≠0,b=0,c=0 D.a=0,b ≠0,c ≠0 我的答案:B作业1计算行列式 ____正确答案:132计算行列式 ____正确答案:13计算行列式 ____正确答案: 04计算行列式____正确答案:-275计算行列式____正确答案:06解方程,结果是____正确答案:47解方程,结果是或____正确答案:38解方程,结果是或____正确答案:-21在六阶行列式中,元素乘积应取什么符号____(本节课习题凡是涉及符号问题的,正号请在横线上填“+;正;正号;➕”,负号请在横线上填“-;负;负号;➖”)正确答案:+;正;正号;➕2在六阶行列式中,元素乘积应取什么符号____正确答案:-;负;负号;➖3在六阶行列式中,元素乘积应取什么符号____正确答案:+;正;正号;➕4在六阶行列式中,元素乘积应取什么符号____正确答案:-;负;负号;➖5项是不是五阶行列式中的一项____(是/不是),若是,它的符号是____.(若不是,第二个空不用填)正确答案:第一空:是第二空:+;正;正号;➕6项是不是五阶行列式中的一项____(是/不是),若是,它的符号是____.(若不是,第二个空不用填)正确答案:不是7项是不是五阶行列式中的一项____,若是,它的符号是____.(若不是,第二个空不用填)正确答案:第一空:是第二空:-;负;负号;➖8四阶行列式中乘积前应冠以什么符号? ____ 正确答案:-;负;负号;➖9计算行列式____正确答案:2410计算行列式____正确答案:1某三阶该行列式共有三个元素为零,则以下说法正确的是( )A、该行列式的结果一定为零B、若三个零元素在同一行,则该行列式的结果为零C、若三个零元素都在主对角线上,则该行列式的结果为零D、若三个零元素都在副对角线上,则该行列式的结果为零正确答案: B2已知行列式,则( )A、1B、2C、4D、6正确答案: A3已知,,且,则( )A、0B、1C、2D、4正确答案: A4行列式( )A、0B、C、D、正确答案: A5已知行列式,则( )A、1B、2C、4D、8正确答案: D6行列式( )A、0B、2C、8D、4正确答案: D7关于行列式说法正确的是( )A、交换行列式的两行,行列式的结果不变B、交换行列式的两列,行列式的结果不变C、交换行列式的两行,然后交换行列式的两列,行列式的结果不变D、交换行列式的两行,然后交换行列式的两列,行列式变号正确答案: C8行列式( )A、2B、0C、8D、4正确答案: B9行列式( )A、2B、0C、8D、4正确答案: B10若,则( )A、B、C、D、正确答案: B1用行列式的性质计算行列式的值____正确答案:40131002用行列式的性质计算行列式的值____正确答案:53用行列式的性质计算行列式的值____正确答案:84已知,求行列式的值____ 正确答案:125已知,求行列式的值____ 正确答案:-486计算行列式的值____正确答案:607计算行列式的值____正确答案:-218计算行列式的值____正确答案:09计算行列式的值____正确答案:n!10计算行列式的值____正确答案:-2(n-2)!1求行列式中元素-4的代数余子式(计算出结果).____正确答案:102若某四阶行列式第三行元素依次为,,,,对应的余子式依次为,,,,求此行列式的值.____正确答案:-113计算行列式的值____正确答案:44计算行列式的值____正确答案:435计算行列式的值____正确答案:-246计算行列式的值____正确答案:-277计算行列式的值____正确答案:278计算行列式的值____正确答案:481已知4阶行列式,则中的系数是____正确答案:-4;➖42设4阶行列式,则=____,其中为元素的代数余子式.正确答案:0;零3设4阶行列式,则第一列各元素的代数余子式之和____正确答案:0;零4设5阶行列式,则____ 和____,其中为的第四行第列元素的代数余子式.正确答案:第一空:-9;➖9第二空:185用克莱姆法则求解线性方程组的解为____ ,____,____ .正确答案:第一空: 1第二空: 2第三空: 36用克莱姆法则求解线性方程组的解为____ ,____,____ ,____ .正确答案:第一空:-8;➖8第二空: 3第三空: 6第四空:07用克莱姆法则求解线性方程组的解为____ ,____,____ ,____ .正确答案:第一空:0第二空: 2第三空:0第四空:08用克莱姆法则求解线性方程组的解为____ ,____,____ ,____ ,____ .正确答案:第一空: 1第二空:-1;➖1第三空: 1第四空:-1;➖1第五空: 19当____ 或____时,齐次线性方程组有非零解.(小数在前,大数在后)正确答案:第一空:-2;➖2第二空: 1二.判断题(共1题,10.0分)1判断:齐次线性方程组仅有零解( ) .正确答案:√1已知行列式展开式的六项中含有,则( )A、1B、2D、6我的答案:D2某二阶行列式的所有元素都是整数,则该行列式的结果( )A、一定是整数B、一定不是零C、一定是正数D、一定是负数我的答案:A3行列式( )A、0B、C、D、我的答案:A4方程组的解是( )A、B、C、D、我的答案:A5行列式的结果是( )A、0C、10D、25我的答案:D6某三阶行列式的所有元素都是4,则该行列式的值是( )A、3B、4C、7D、0我的答案:D7关于三阶行列式说法正确的是( )A、若行列式的所有元素都等于零,则行列式的结果一定等于零B、若行列式的所有元素都等于零,则行列式的结果一定不等于零C、若行列式的所有元素都不等于零,则行列式的结果一定等于零D、若行列式的所有元素都不等于零,则行列式的结果一定不等于零我的答案:A8行列式( )A、B、1C、2D、4我的答案:B9一元一次方程的解是( )A、B、C、D、我的答案:A10已知行列式,,则( )A、4B、2C、8D、0我的答案:D11若、、、的绝对值都是1,则行列式的最大值是( )A、1B、2C、3D、4我的答案:B12若某二阶行列式的结果为零,则关于该行列式的以下说法正确的是( )A、至少有一行元素为零B、至少有一列元素为零C、至少有一个元素为零D、以上答案都不对我的答案:D第二章随堂检测1【单选题】已知矩阵是二阶单位矩阵,则( )A、1B、2C、3D、0我的答案:A2【单选题】已知矩阵的四个元素中任意两个都互为相反数,则该矩阵是( )A、单位矩阵B、四阶矩阵C、负矩阵D、零矩阵我的答案:D3【单选题】下列四个矩阵中是单位矩阵的是( )A、B、C、D、我的答案:B4【单选题】关于矩阵说法正确的是( )A、该矩阵是3阶单位矩阵B、该矩阵是9阶单位矩阵C、该矩阵是27阶单位矩阵D、该矩阵不是单位矩阵我的答案:D5【单选题】关于矩阵的行数与列数说法正确的是( )A、四行八列B、八行四列D、两行三列我的答案:D6【单选题】下列关于单位矩阵、对角矩阵以及数量矩阵说法正确的是( )A、对角矩阵是单位矩阵B、单位矩阵是数量矩阵C、对角矩阵是数量矩阵D、以上说法都不对我的答案:B7【单选题】四阶单位矩阵所有元素的和等于( )A、1B、2C、4D、16我的答案:C8【单选题】下列关于零矩阵说法正确的是( )A、所有元素都是零B、未必所有元素都是零,但第一行的元素一定都是零C、未必所有元素都是零,但所有元素的和一定等于零D、未必所有元素都是零,但所有元素的乘积一定等于零我的答案:A9【单选题】一个3×4矩阵和一个4×3矩阵的共同点是( )A、行数相同B、列数相同C、行数及列数都相同D、所含元素的个数相同我的答案:D10【单选题】某方阵共有16个元素,则它的行数是( )A、2B、4C、8D、16我的答案:B1【单选题】在矩阵等式中,已知和都是二行三列,则是( )A、二行三列B、三行二列D、六行六列我的答案:A2【单选题】已知是非零常数,是非零矩阵,则是否是零矩阵( )A、一定是B、一定不是C、可能是D、不确定我的答案:B3【单选题】已知,,则( )A、B、C、D、我的答案:D4【单选题】矩阵不可能是( )A、两个单位矩阵的和B、两个上三角矩阵的和C、两个下三角矩阵的和D、两个对角矩阵的和我的答案:A5【单选题】已知是负数,是上三角矩阵,则是( )A、下三角矩阵B、上三角矩阵C、数量矩阵D、对角矩阵我的答案:B6【单选题】已知矩阵是六行九列,则矩阵是( )A、十八行二十七列B、两行三列C、六行九列D、九行六列我的答案:C7【单选题】当取何值时,矩阵等式成立( )A、1B、2C、3D、不论取何值,等式都不成立我的答案:D8【单选题】是二阶单位矩阵,则( )A、B、C、D、以上答案都不对我的答案:D1【单选题】,,则( )A、B、C、D、我的答案:D2【单选题】在矩阵等式中,若是上三角矩阵,是下三角矩阵,,则关于的说法正确的是( )A、一定是上三角矩阵B、一定是下三角矩阵C、一定是对角矩阵D、以上答案都不对我的答案:D3【单选题】二阶方阵乘以二阶方阵等于( )A、四阶方阵B、四行四列矩阵C、行数和列数相等且含有十六个元素的方阵D、二阶方阵我的答案:D4【单选题】在矩阵等式中,和的元素都是负数,则的元素符号( )A、都是正数B、都是负数C、正负交替出现D、不确定,与矩阵的行数与列数有关我的答案:A5【单选题】关于矩阵和,以下说法不正确的是( )A、若有意义,则必有的行数等于的行数B、若有意义,则必有的行数等于的列数C、若有意义,则必有的列数等于的行数D、若有意义,则必有的行数等于的列数我的答案:B6【单选题】某矩阵既是对称矩阵又是反对称矩阵,则关于该矩阵说法正确的是( )A、是上三角矩阵,但未必是对角矩阵B、是下三角矩阵,但未必是对角矩阵C、是对角矩阵,但未必是零矩阵D、是零矩阵我的答案:D7【单选题】已知矩阵等式成立,则有( )A、,B、,C、,D、,我的答案:A8【单选题】,,,,则在,,,四个矩阵中,对称矩阵的个数是( )A、1B、2C、3D、4我的答案:D9【单选题】是阶方阵,,则( )A、B、C、D、4我的答案:C10【单选题】如果,则( )A、B、C、D、我的答案:A11【单选题】如果是同阶方阵,则以下说法正确的是( )A、若,则B、若,则C、若,则D、若,则我的答案:D12【单选题】,,且第列的元素和是(,,),则( )A、B、C、D、我的答案:A13【单选题】矩阵的结果是零矩阵,说明( )A、的行数等于的列数B、的列数等于的行数C、和至少有一个是零矩阵D、我的答案:D1【单选题】和是同阶可逆矩阵,则( )A、若,则B、若,则C、若,则D、若,则我的答案:A2【单选题】若,则( )A、可逆,且B、可逆,且C、可逆,且逆矩阵不唯一D、未必可逆我的答案:A3【单选题】逆矩阵不唯一的三阶可逆矩阵有( )个A、0B、1C、2D、3我的答案:A4【单选题】若,且,则( )A、B、C、D、我的答案:A5【单选题】是可逆矩阵,且,若,则( ) A、B、C、D、我的答案:A6【单选题】、、是同阶可逆矩阵,且,则( )A、B、C、D、我的答案:A7【单选题】是阶矩阵,是的伴随矩阵,以下说法正确的是( )A、可逆时,也可逆B、可逆时,不可逆C、不可逆时,可逆D、可逆时,不可逆我的答案:A8【单选题】,则的伴随矩阵( )A、B、C、D、我的答案:B9【单选题】是阶方阵,以下说法正确的是( )A、当可逆时,有B、当是数量矩阵时,有C、当是对角矩阵时,有D、当不可逆时,有我的答案:B10【单选题】、是同阶可逆矩阵,则下列矩阵未必可逆的是( ) A、B、C、D、我的答案:B1【单选题】是3阶初等矩阵,则的值不可能是( )A、3B、2C、1D、0我的答案:D2【单选题】下列关于初等矩阵的说法正确的是( )A、初等矩阵一定是可逆矩阵B、可逆矩阵一定是初等矩阵C、初等矩阵的行列式可能为零D、初等矩阵可能是退化矩阵我的答案:A3【单选题】已知矩阵是一行三列,矩阵是三行四列,则的结果是( )A、矩阵的第一列B、矩阵的第一行C、矩阵的第一列D、矩阵的第一行我的答案:B4【单选题】方阵经过一次初等变换后得到方阵,且,则( )A、0B、1C、2D、不确定我的答案:D5【单选题】交换方阵的第一、二行得到矩阵,交换方阵的第一、二列得到矩阵,则下列说法正确的是( )A、与不等价,且B、与不等价,且C、与等价,且D、与等价,且我的答案:C6【单选题】,则( )A、B、C、D、我的答案:A7【单选题】,则的标准形是( )A、B、C、D、我的答案:D8【单选题】,且已知矩阵可以经过行初等变换得到矩阵,其中,,则( )A、B、C、D、我的答案:A9【单选题】某初等矩阵一共有三行,则该矩阵一共有( )列A、27B、9C、3D、1我的答案:C10【单选题】四阶方阵的标准形中含元素1的个数最多是( )个A、2B、4C、1D、3我的答案:B1【单选题】,,则矩阵方程的解是( ) A、B、C、D、我的答案:B2【单选题】,,则矩阵方程的解是( ) A、B、C、D、我的答案:A3【单选题】可逆,且,则( )A、B、C、D、我的答案:C4【单选题】是阶方阵,且,则有( )A、不可逆B、可逆且C、可逆且D、可逆且我的答案:B5【单选题】是三阶可逆方阵,且,,则矩阵方程的解( )A、B、C、D、我的答案:D1【单选题】A是n阶矩阵,是非零常数,则一定有( )A、B、C、D、我的答案:B2【单选题】A=,则有( )A、B、C、D、我的答案:C3【单选题】A是n阶可逆矩阵,则下列结论正确的是( )A、B、C、D、我的答案:D4【单选题】一个六行八列矩阵的秩可能是( )A、6B、8C、66D、88我的答案:A5【单选题】矩阵A是m行n列且,若,则( )A、1B、2C、3D、4我的答案:D6【单选题】A是一个矩阵,则“是零矩阵”是“”的( )条件A、充分不必要B、必要不充分C、充分必要D、不充分不必要我的答案:C7【单选题】A是n阶矩阵,,,则有( )A、B、C、D、以上答案都错我的答案:A8【单选题】k是常数,,则不可能是( )A、1B、2C、3D、4我的答案:B9【单选题】,则有( )A、B、C、D、我的答案:A10【单选题】矩阵经过3次初等变换得到矩阵,,则( )A、8B、2C、5D、15我的答案:C作业1已知矩阵,、是常数且,则____正确答案:第一空: 12已知,满足,则常数____正确答案:第一空: 43矩阵,(),且,则____正确答案:第一空:504矩阵,及常数,满足,则____正确答案:05,是常数,,是未知数,且矩阵方程组有无穷多组解,则常数____正确答案:101某数量矩阵第四行的非零元素是2,则该矩阵第二行的非零元素是4( ) 正确答案:×2对角矩阵主对角线上的元素都不等于零( )正确答案:×3既是上三角矩阵又是下三角矩阵的矩阵是零矩阵( )正确答案:×4非负矩阵的行数不超过列数( )正确答案:×5五阶方阵的每个元素不小于5( )正确答案:×6数量矩阵不可能是单位矩阵( )正确答案:×7上三角矩阵第一行的元素都不等于零( )正确答案:×8某矩阵共四行,且所有元素都是4,则该矩阵是四阶方阵( )正确答案:×9下三角矩阵的行数不等于列数( )正确答案:×10数量矩阵的所有元素都相等( )正确答案:×1已知矩阵,且,则____正确答案:32已知且,是方阵,则是____阶方阵正确答案:4;四3矩阵,,且,又,则主对角线上所有元素的和等于____正确答案:34矩阵是行3列矩阵,是3行列矩阵,且,则____正确答案:35、、、、、是六个矩阵,且,,, 则矩阵所有元素的和等于____正确答案:06,,其中是单位矩阵,,则____正确答案: 27是反对称矩阵,则____正确答案:08二阶方阵、满足,且,, 则____正确答案:109,,则____正确答案:010是矩阵,是矩阵,的行数与列数相等,则____正确答案:81已知矩阵,且是的逆矩阵,则____正确答案:12是反对称矩阵且可逆,则主对角线上元素的和等于____正确答案:03矩阵可逆且,,则____正确答案:24矩阵是8阶方阵,则是 ____阶方阵正确答案:8;八5,是退化矩阵,则常数____正确答案:26方阵不可逆,则____正确答案:07方阵,且可逆,则____正确答案:18方阵,则____正确答案:29可逆矩阵的逆矩阵,若,则____ 正确答案:410矩阵,且,则____正确答案:01方阵经过初等变换后得到方阵,且,则的值不可能是____正确答案:02是四阶方阵且,是的标准形,则____正确答案:13矩阵,若,则____正确答案:24矩阵与等价,且是3行5列,是行列,则____正确答案:85矩阵,,,,,则____正确答案:36矩阵,,,则____正确答案:7矩阵,,,则____正确答案:18、是同阶方阵且,,则将矩阵的第二行乘以____就能得到矩阵正确答案:29在、、,三个矩阵中,逆矩阵等于自身的有____个正确答案:310矩阵,且矩阵序列,实数序列。
线性代数考试题及答案一、选择题(每题2分,共20分)1. 向量空间中,线性无关的向量集合的最小维度是:A. 1B. 2C. 3D. 向量的数量答案:D2. 矩阵A的行列式为0,这意味着:A. A是可逆矩阵B. A不是可逆矩阵C. A的所有行向量线性相关D. A的所有列向量线性无关答案:B3. 线性变换T: R^3 → R^3,由矩阵[1 2 3; 4 5 6; 7 8 9]表示,其特征值是:A. 1, 2, 3B. 0, 1, 2C. -1, 1, 2D. 0, 3, 6答案:D4. 矩阵A与矩阵B相乘,结果矩阵的秩最多是:A. A的秩B. B的秩C. A和B的秩之和D. A的秩和B的列数中较小的一个答案:D5. 给定两个向量v1和v2,它们的点积v1·v2 > 0,这意味着:A. v1和v2垂直B. v1和v2平行或共线C. v1和v2的夹角小于90度D. v1和v2的夹角大于90度答案:C6. 对于任意矩阵A,下列哪个矩阵总是存在的:A. 伴随矩阵B. 逆矩阵C. 转置矩阵D. 特征矩阵答案:C7. 线性方程组AX=B有唯一解的充分必要条件是:A. A是方阵B. A的行列式不为0C. B是零向量D. A是可逆矩阵答案:D8. 矩阵的特征值和特征向量之间的关系是:A. 特征向量对应于特征值B. 特征值对应于特征向量C. 特征向量是矩阵的行向量D. 特征值是矩阵的对角元素答案:A9. 一个矩阵的迹(trace)是:A. 所有元素的和B. 主对角线上元素的和C. 所有行的和D. 所有列的和答案:B10. 矩阵的范数有很多种,其中最常见的是:A. L1范数B. L2范数C. 无穷范数D. 所有上述范数答案:D二、简答题(每题10分,共20分)1. 请解释什么是基(Basis)以及它在向量空间中的作用是什么?答:基是向量空间中的一组线性无关的向量,它们通过线性组合可以表示空间中的任何向量。
线性代数试题(完整试题与详细答案)一、单项选择题(本大题共10小题,每小题2分,共20分)1.行列式111101111011110------第二行第一列元素的代数余子式21A =( )A .-2B .-1C .1D .22.设A 为2阶矩阵,若A 3=3,则=A 2( ) A .21 B .1 C .34 D .23.设n 阶矩阵A 、B 、C 满足E ABC =,则=-1C ( ) A .AB B .BA C .11--B AD .11--A B4.已知2阶矩阵⎪⎪⎭⎫ ⎝⎛=d c b a A 的行列式1-=A ,则=-1*)(A ( ) A .⎪⎪⎭⎫⎝⎛----d c b aB .⎪⎪⎭⎫⎝⎛--a c b dC .⎪⎪⎭⎫ ⎝⎛--a cb d D .⎪⎪⎭⎫ ⎝⎛d c b a5.向量组)2(,,,21≥s s ααα 的秩不为零的充分必要条件是( ) A .s ααα,,,21 中没有线性相关的部分组 B .s ααα,,,21 中至少有一个非零向量 C .s ααα,,,21 全是非零向量D .s ααα,,,21 全是零向量6.设A 为n m ⨯矩阵,则n 元齐次线性方程组0=Ax 有非零解的充分必要条件是( )A .n r =)(AB .m r =)(AC .n r <)(AD .m r <)(A 7.已知3阶矩阵A 的特征值为-1,0,1,则下列矩阵中可逆的是( ) A .A B .AE - C .A E -- D .A E -2 8.下列矩阵中不是..初等矩阵的为( )A .⎪⎪⎪⎭⎫ ⎝⎛101010001B .⎪⎪⎪⎭⎫⎝⎛-101010001C .⎪⎪⎪⎭⎫⎝⎛100020001D .⎪⎪⎪⎭⎫⎝⎛1010110019.4元二次型4332412143212222),,,(x x x x x x x x x x x x f +++=的秩为( ) A .1B .2C .3D .410.设矩阵⎪⎪⎪⎭⎫ ⎝⎛=001010100A ,则二次型Ax x T 的规范形为( )A .232221z z z ++ B .232221z z z ---C .232221z z z --D .232221z z z -+二、填空题(本大题共10小题,每小题2分,共20分)请在每小题的空格中填上正确答案。
线性代数试题及答案线性代数(试卷⼀)1、填空题(本题总计20分,每⼩题2分)1. 排列7623451的逆序数是。
2. 若,则3. 已知阶矩阵、和满⾜,其中为阶单位矩阵,则。
4. 若为矩阵,则⾮齐次线性⽅程组有唯⼀解的充分要条件是_________5. 设为的矩阵,已知它的秩为4,则以为系数矩阵的齐次线性⽅程组的解空间维数为__2___________。
6. 设A为三阶可逆阵,,则7.若A为矩阵,则齐次线性⽅程组有⾮零解的充分必要条件是8.已知五阶⾏列式,则9. 向量的模(范数)。
10.若与正交,则⼆、选择题(本题总计10分,每⼩题2分)1. 向量组线性相关且秩为s,则(D)A.B.C.D.2. 若A为三阶⽅阵,且,则(A)A.B.C.D.3.设向量组A能由向量组B线性表⽰,则( d )A.B.C.D.4. 设阶矩阵的⾏列式等于,则等于。
c5. 设阶矩阵,和,则下列说法正确的是。
则 ,则或三、计算题(本题总计60分。
1-3每⼩题8分,4-7每⼩题9分)1. 计算阶⾏列式。
2.设A为三阶矩阵,为A的伴随矩阵,且,求.3.求矩阵的逆4. 讨论为何值时,⾮齐次线性⽅程组①有唯⼀解;②有⽆穷多解;③⽆解。
5. 求下⾮齐次线性⽅程组所对应的齐次线性⽅程组的基础解系和此⽅程6.已知向量组、、、、,求此向量组的⼀个最⼤⽆关组,并把其余向量⽤该最⼤⽆关组线性表⽰.7. 求矩阵的特征值和特征向量.四、证明题(本题总计10分)设为的⼀个解,为对应齐次线性⽅程组的基础解系,证明线性⽆关。
(答案⼀)、填空题(本题总计20分,每⼩题 2 分)15;2、3;3、;4、;5、2;6、;7、;8、0;9、3;10、1。
.⼆、选择题(本总计 10 分,每⼩题 2分 1、D;2、A;3、D;4、C;5、B、计算题(本题总计60分,1-3每⼩题8分,4-7他每⼩题9分)1、解: ------3分-------6分----------8分此题的⽅法不唯⼀,可以酌情给分。
《线性代数与空间解析几何》期末试卷A 标准答案一、单项选择题1. B 2. A 3. D 4. C 5. C 二、 判断题6. 交换行列式的两列,行列式的值不变 ( × ).7. 设P 是m 阶可逆矩阵,A 是任一m ×n 矩阵,若PA = B ,则R(A )=R(B ) ( √ ).8. 已知矩阵⎪⎪⎪⎭⎫ ⎝⎛=323122211211a a a a a a A ,))((32E 是第二种初等矩阵,则⎪⎪⎪⎭⎫ ⎝⎛=3231222112113332a a a a a a ))((A Ε ( × ).9. 齐次线性方程组Ax =0的一组线性无关的解就是一个基础解系( × ). 10. 相似矩阵有相同的特征值 ( √ ).三 、填空题(5小题, 每小题3分, 共15分)11. 已知A 是4阶方阵且可逆,A *为A 的伴随矩阵,且 |A *| = 8,则=--||12A8 .12. 设A 为4阶方阵,且|A |=2,把A 进行列分块后A =(α1,α2,α3,α4) ,则| α1,α2,α3-2α2,α4 | = 2 .13.点)321(,,,P 到直线112112-=+=--z y x14.已知3阶矩阵A 满足等式,||,||,||03020=-=+=-E A E A E A ,则行列=+||E A 32 -45 .15. 空间曲线⎩⎨⎧=-+=+032122z x ,y x 在yoz 面上的投影曲线方程为:⎪⎩⎪⎨⎧==+-.x ,y z 014)3(22四、解答题(4小题, 16-19,每小题8分,共32分)16.计算行列式.D 1234214334124321=解 12312141341143211012310214103411043210==D 3分110220110432110123121413411432110------==6分0311001110432110=----= 8分17. 求过点M 0(-1, 2, 3)且向量)11,2),12,121-=--=,,((αα平行的平面方程.解 因 α1, α2不平行,所以所求平面平行于两向量所在平面,取平面的法向量)513(112121,,-=---=k j i n 4分由点法式得平面方程:3(x +1)-(y -2)+5(z -3)=0,即3x -y +5z -10=0 8分18. 已知矩阵⎪⎪⎪⎭⎫ ⎝⎛-=210110121A ,⎪⎪⎪⎭⎫ ⎝⎛-=522311B ,用初等变换法解矩阵方程AX =B .解⎪⎪⎪⎭⎫⎝⎛---→⎪⎪⎪⎭⎫ ⎝⎛--=311002311011121522102311011121)B ,(A 2⎪⎪⎪⎭⎫ ⎝⎛---→⎪⎪⎪⎭⎫ ⎝⎛--→311001401048001311001401020021 6分 .X ⎪⎪⎪⎭⎫ ⎝⎛---=311448 8分19. 求下列非齐次线性方程组的通解.⎪⎩⎪⎨⎧-=--+=+--=--+.x x x x ,x x x x ,x x x x 2895643313432143214321 解 ⎪⎪⎪⎭⎫⎝⎛------→⎪⎪⎪⎭⎫⎝⎛-------=376403764011111289516431311311A ~ ⎪⎪⎪⎪⎪⎪⎭⎫⎝⎛---→⎪⎪⎪⎭⎫ ⎝⎛---→000004347231047432301000003764011111 3分 最简形对应的方程组⎪⎩⎪⎨⎧-+=+-=.x x x ,x x x 434723474323432431 x 3 ,x 4 为自由未知量. 4分令,x x ⎪⎪⎭⎫⎝⎛=⎪⎪⎭⎫ ⎝⎛0043得一个特解⎪⎪⎪⎪⎪⎪⎪⎭⎫ ⎝⎛-=0043470η, 5分 令,⎪⎪⎭⎫ ⎝⎛⎪⎪⎭⎫⎝⎛=⎪⎪⎭⎫ ⎝⎛400243,x x 得导出组的基础解系.,⎪⎪⎪⎪⎪⎭⎫⎝⎛-=⎪⎪⎪⎪⎪⎭⎫ ⎝⎛=4073023321ξξ, 7分通解为 .R k ,k ,k k x ∈++=2122110ξξη 8分五、综合题(2小题, 20-21,每小题9分,共18分)20. 判断向量⎪⎪⎪⎭⎫⎝⎛-=112α 能否由向量组 ⎪⎪⎪⎭⎫ ⎝⎛-=⎪⎪⎪⎭⎫ ⎝⎛-=⎪⎪⎪⎭⎫ ⎝⎛--=101253121321ααα,,线性表示?若能,求出表示系数.解 设,x x x αααα=++332211 .x ,x ,x x T321)(=令),,(),(321321ααααααα,,~,,==A A 对A ~进行初等行变换.⎪⎪⎪⎭⎫⎝⎛--→⎪⎪⎪⎭⎫ ⎝⎛---→⎪⎪⎪⎭⎫⎝⎛-----=420010102131101052102131112110522131A ~ 3分因,3)()(==A ~R A R 方程组Ax =α 有唯一解.α可以由α1,α2,α3 线性表示,且表示式唯一, 表示系数就是方程组的解.5分⎪⎪⎪⎭⎫⎝⎛--→⎪⎪⎪⎭⎫⎝⎛--→210010103001210010102131A ~ 8 分所以表示系数x 1= -3, x 2= -1, x 3 = 2 . 9分21. 求一个正交变换x = p y , 把二次型312322213218262)(x x x x x x ,x ,x f ++++=化为标准形.解 二次型矩阵为⎪⎪⎪⎭⎫ ⎝⎛=214060402A ,0)2()6(2040604022=+--=-=-λλλλE A得特征值.26321-===λλλ, 3分 当0)(6121=-==x E A λλλ时,方程组的基础解系为.,⎪⎪⎪⎭⎫⎝⎛=⎪⎪⎪⎭⎫ ⎝⎛=10101021ξξ, 5分当0)(233=--=x E A λλ时,方程组的基础解系为.⎪⎪⎪⎭⎫⎝⎛-=1013ξ 6分令⎪⎪⎪⎪⎪⎪⎭⎫ ⎝⎛-=⎪⎪⎪⎪⎪⎪⎭⎫ ⎝⎛=⎪⎪⎪⎭⎫ ⎝⎛=2102121021010321P ,P P ,,, 得正交矩阵.P ,P ,P P ⎪⎪⎪⎪⎪⎭⎫⎝⎛-==2121000121210)(321即得所求的正交变换为x=py , 8分 二次型的标准形为.y y y f 232221266-+= 9分六、应用题(共5分)22. 丙烷可以作为燃料与氧气发生化学反应,生成二氧化碳和水. 问有一定量的丙烷至少需要多少氧气才能使丙烷完全燃烧?(要求列方程组求解) (注:丙烷的分子式为C 3H 8 ). 解 丙烷与氧气反应的化学方程式为O H CO O H C 22283+→+,需要配平上述化学方程式. 设各项前面的系数分别为:321x ,x ,x , 即有,O H x CO x O x H C x 242322831+→+根据方程式两端各原子的个数应相等,得⎪⎩⎪⎨⎧=--=-=-.x x x ,x x ,x x 022048034324131解方程组得一组整数解 x 1= 1, x 2= 5, x 3 = 3 , x 4 = 4 . 所以1个单位的丙烷至少需要5个单位的氧气才能使丙烷完全燃烧.。
《线性代数与解析几何》练习册参考答案第1章1.1 1.7;2 i =4,j =5;3,+,-3(1)1;(2) -1;4,(1)1;(2)3333a b c abc ++-;(3) 288;(4) abcd .1.2 1.(1)27a ;(2)5a ;2 (1)-3;(2) 3()a b c ++;(3)0;(4) 16;(5) 123b b b ;(6) 12341a a a a ++++ 1.3 .1.12;2(1)12;(2) 12(1)(2)(2)x x x --+;3. 1, -1;4.0,86.5.14142323()()a a b b a a b b --; 6.0,-1,2,3;7. 4142439A A A ++=-,444518A A +=.8.-2. 1.4 1(1) (1,2,3)T ;(2) (,,)T a b c - 2. 1或-2;3;313λλ≠≠且. 第2章2.1 121002211X ⎛⎫= ⎪-⎝⎭2.61010AB ⎛⎫= ⎪⎝⎭,131262129BA ⎛⎫⎪= ⎪⎪-⎝⎭,111152017T B C A -⎛⎫+= ⎪⎝⎭;,3 (1)112233AB a b a b a b =++,111213212223313233a b a b a b BA a b a b a b a b a b a b ⎛⎫⎪= ⎪ ⎪⎝⎭;(2)111213*********3233nn a b a b a b BA a a b a b a b a b a b a b -⎛⎫⎪= ⎪ ⎪⎝⎭() 4.(1)cos sin sin cos n n n n θθθθ⎛⎫⎪⎝⎭;(2)121(1)200nn n nn n n n n n λλλλλλ----⎛⎫⎪⎪ ⎪ ⎪ ⎪⎝⎭;5. 000000008⎛⎫ ⎪⎪ ⎪⎝⎭;7. 1200b B b ⎛⎫= ⎪⎝⎭,12,b b 是任意常数。
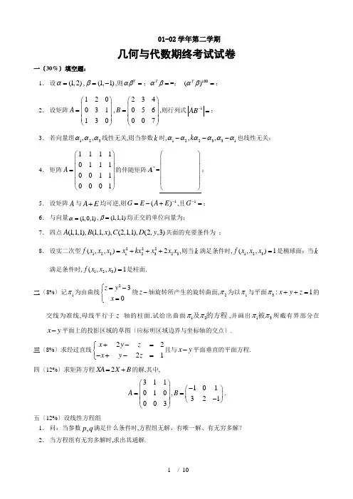
01-02学年第二学期几何与代数期终考试试卷一〔30%〕填空题:1. 设(1,2)α=,(1,1)β=-,则Tαβ=;Tαβ==; 100()Tαβ=;2. 设矩阵120031130A ⎛⎫ ⎪= ⎪ ⎪⎝⎭,234056007B ⎛⎫ ⎪= ⎪ ⎪⎝⎭,则行列式1AB -=;3. 若向量组123,,ααα线性无关,则当参数k 时,122331,,k αααααα---也线性无关;4. 矩阵1111011100110001A ⎛⎫ ⎪ ⎪= ⎪⎪⎝⎭的伴随矩阵*A =⎛⎫⎪⎪ ⎪⎪⎝⎭; 5. 设矩阵A 与A E +均可逆,则1()G E A E -=-+,且1G -=;6. 与向量(1,0,1)α=,(1,1,1)β=均正交的单位向量为;7. 四点(1,1,1),(1,1,),(2,1,1),(2,,3)A B x C D y 共面的充要条件为 ;8. 设实二次型22212312323(,,)2f x x x x kx x x x =+++,则当k 满足条件时,123(,,)1f x x x =是椭球面;当k满足条件时,123(,,)1f x x x =是柱面.二〔8%〕记1π为由曲线23z y x ⎧=-⎨=⎩绕z -轴旋转所产生的旋转曲面,2π为以1π与平面3:1x y z π++=的交线为准线,母线平行于z -轴的柱面.试给出曲面12ππ及的方程,并画出13ππ被所截有界部分在x y -平面上的投影区域的草图〔应标明区域边界与坐标轴的交点〕. 三〔8%〕求经过直线2221x y z x y z +-=⎧⎨-+-=⎩且与x y -平面垂直的平面方程.四〔12%〕求矩阵方程2XA X B =+的解,其中,311101010,321003A B ⎛⎫-⎛⎫ ⎪== ⎪ ⎪-⎝⎭ ⎪⎝⎭.五〔12%〕设线性方程组1. 问:当参数,p q 满足什么条件时,方程组无解、有唯一解、有无穷多解? 2. 当方程组有无穷多解时,求出其通解.六〔12%〕设矩阵11113120132A k ⎛⎫ ⎪=- ⎪ ⎪--⎝⎭,已知()2A =秩.1. 求参数k 的值;2. 求一42,,()2;B AB O B ⨯==矩阵使得且秩3. 问:是否存在秩大于2的矩阵M 使得O AM =?为什么?七〔12%〕设实对称矩阵1. 求参数,k l 的值;2. 求一正交阵,.TQ Q AQ B =使得八〔6%〕已知n 阶方阵A 相似于对角阵,并且,A 的特征向量均是矩阵B 的特征向量.证明:AB BA =.02-03学年第二学期几何与代数期终考试试卷一. 填空题、单选题〔每小题3分,共36分〕1.[]2002105132⎧⎫⎡⎤⎪⎪⎢⎥-=⎨⎬⎢⎥⎪⎪⎢⎥⎣⎦⎩⎭⎛⎫ ⎪ ⎪ ⎪ ⎪⎝⎭; 2.1230110002-⎛⎫ ⎪= ⎪ ⎪⎝⎭⎛⎫ ⎪⎪ ⎪ ⎪⎝⎭; 3.若A 是正交矩阵,则行列式3T A A =;4.空间四点(1,1,1)A ,(2,3,4)B ,(1,2,)C k ,(1,4,9)D -共面的充要条件是k =; 5.点(2,1,1)P -到直线11:221x y z l -+==- 的距离为;6.若4阶方阵A 的秩为2,则伴随矩阵A *的秩为; 7.若可逆矩阵P 使AP PB =,1203B -⎛⎫=⎪⎝⎭,则方阵A 的特征多项式为; 8.若3阶方阵A 使,2,3I A I A A I --+都不可逆,则A 与对角阵相似〔其中,I 是3阶单位阵〕;9.若0111120A x y ⎛⎫⎪= ⎪ ⎪-⎝⎭与对角阵相合,则(,)x y =; 10.设()1234,,,A A A A A =,其中列向量124,,A A A 线性无关,31242A A A A =-+,则齐次线性方程组0Ax =的一个基础解系是;11.设,A B 都是3阶方阵,AB O =,()()2r A r B -=,则()()r A r B +=〔 〕 〔A〕5; 〔B〕4; 〔C〕3; 〔D〕212.设n 阶矩阵A 满足22A A =,则以下结论中未必成立的是〔 〕 〔A〕A I -可逆,且1()A I A I --=-;〔B〕A O =或2A I =;〔C〕若2不是A 的特征值,则A O =; 〔D〕0A =或2A I =. 二. 计算题〔每小题8分,共24分〕13.2015110112313012-14.求直线211:212x y z l --+==在平面:210x y z π+-+= 上的垂直投影直线方程. 15.设XA AB X =+,其中102020101A ⎛⎫ ⎪= ⎪ ⎪-⎝⎭,101B -⎛⎫⎪=⎪ ⎪⎝⎭,求99X . 三. 计算题、解答题〔三小题共32分〕 16.设向量组123(,,)V L ααα=是123,,ααα生成的空间.已知()2V =维,V β∈.(1) 求,a b ;(2) 求V 的一个基,并求β在此基下的坐标; (3) 求V 的一个标准正交基. 17.用正交变换化简二次曲面方程求出正交变换和标准形〕并指出曲面类型.18.设D 为由yoz 平面中的直线0z =,直线,(0)z y y =≥与抛物线22y z +=围成的平面区域.将D 绕y 轴旋转一周得旋转体Ω.〔1〕画出平面区域D 的图形;〔2〕分别写出围成Ω的两块曲面12,S S 的方程;〔3〕求12,S S 的交线l 在zox 平面上的投影曲线C 的方程;〔4〕画出12,S S 和l ,C 的图形. 四. 证明题、解答题〔每小题4分,共8分〕19.设η是线性方程组Ax b =的一个解,0b ≠,12,ξξ是导出组0Ax =的基础解系.证明:12,,ηξηξη++线性无关.20.设α是3维非零实列向量,α=又T A αα=.〔1〕求A 的秩;〔2〕求A 的全部特征值;〔3〕问A 是否与对角阵相似?〔4〕求3I A -.03-04学年第二学期几何与代数期终考试试卷一. 〔24%〕填空题 1.若向量i a j k α=+-,bi j k β=++,k =γ共面,则参数b a ,满足.2.过点)1,2,1(P 且包含x 轴的平面方程为.3.已知矩阵A 满足O I A A =-+322,则A 的逆矩阵1-A =.4.设矩阵120031130A ⎛⎫⎪= ⎪⎪⎝⎭,234056007B ⎛⎫ ⎪= ⎪ ⎪⎝⎭,则行列式=-12B A .5.设向量组1231312,2,311k ααα⎛⎫⎛⎫⎛⎫ ⎪ ⎪ ⎪=== ⎪ ⎪ ⎪⎪⎪ ⎪-⎝⎭⎝⎭⎝⎭,则当k 时,123,,ααα线性相关.6.向量空间2R 中向量)3,2(=η在2R 的基)1,1(=α,)1,0(=β下的坐标为 .7.满足下述三个条件的一个向量组为,这三个条件是:①它是线性无关的;②其中的每个向量均与向量()121=α正交;③凡与α正交的向量均可由它们线性表示.8.已知22⨯矩阵⎪⎪⎭⎫ ⎝⎛=d b c a A ,若对任意2维列向量η有0=ηηA T ,则d c b a ,,,满足条件. 二.〔12%〕假设矩阵B A ,满足AB B A =-,其中⎪⎪⎪⎭⎫⎝⎛---=021021020A .求B .三.〔15%〕设向量()Ta1021=α,()T 5122-=α,()T 4213-=α,()T c b 1=β. 问:当参数c b a ,,满足什么条件时1.β能用321,,ααα唯一线性表示? 2.β不能用321,,ααα线性表示?3.β能用321,,ααα线性表示,但表示法不唯一?求这时β用321,,ααα线性表示的一般表达式. 四.〔8%〕设实二次型问:实数a 满足什么条件时,方程1),,(=z y x f 表示直角坐标系中的椭球面?五.〔12%〕设3阶方阵A 的特征值为2,2-,1,矩阵I aA aA B +-=43. 1. 求参数a 的值,使得矩阵B 不可逆;2. 问:矩阵B 是否相似于对角阵?请说明你的理由. 六.〔12%〕已知二次曲面1S 的方程为:223y x z +=,2S 的方程为:21x z -=.1. 问:1S ,2S 分别是哪种类型的二次曲面?2. 求1S 与2S 的交线在xOy 平面上的投影曲线方程; 3. 画出由1S 与2S 所围成的立体的草图.七.〔10%〕假设33⨯实对称矩阵A 的秩为2,并且C AB =,其中⎪⎪⎪⎭⎫⎝⎛-=110011B ,⎪⎪⎪⎭⎫ ⎝⎛-=110011C .求A 的所有特征值与相应的特征向量;并求矩阵A 与9999A .八.〔7%〕证明题:1. 设t ηηη,,,21 是齐次线性方程组θ=Ax 的线性无关的解向量,β不是其解向量.证明:t ηβηβηββ+++,,,,21 也线性无关.2. 设A 是n 阶正定矩阵,证明:1>+A I .04-05学年第二学期几何与代数期终考试试卷一、 <24%>填空题1. 以(1,1,2)A ,(2,1,1)B --,(1,1,1)C --为顶点的三角形的面积为;2. 设3阶矩阵123(,,)A ααα=,23131(,2,)B ααααα=+-.若A 的行列式3A =,则B 的行列式B =; 3. 若向量(1,0,1)α=,(2,1,1)β=-,(1,1,)k γ=-共面,则参数k =;4. 若A 为n 阶方阵,则方阵2I O B A I ⎛⎫= ⎪⎝⎭的逆矩阵1B -=;5. 已知向量111η⎛⎫⎪= ⎪⎪⎝⎭是矩阵11201122a A ⎛⎫ ⎪= ⎪ ⎪-⎝⎭的特征向量,则参数a =,相应的特征值等于;6. 假设矩阵1000A ⎛⎫= ⎪⎝⎭,则在实矩阵11001110,,,,11021101B C D E ⎛⎫⎛⎫⎛⎫⎛⎫==== ⎪ ⎪ ⎪ ⎪--⎝⎭⎝⎭⎝⎭⎝⎭1300F ⎛⎫= ⎪⎝⎭中,与A 相抵的有;与A 相似的有;与A 相合的有.二、 〔8%〕计算行列式121111x x x x x x xx xx .三、 〔10%〕假设200110102A ⎛⎫⎪= ⎪ ⎪⎝⎭,121210B -⎛⎫= ⎪-⎝⎭,求矩阵方程3XB XA =+的解.四、 〔14%〕假设矩阵1101011A λλλ⎛⎫ ⎪=- ⎪ ⎪⎝⎭,000θ⎛⎫ ⎪= ⎪ ⎪⎝⎭,11a b ⎛⎫ ⎪= ⎪⎪⎝⎭.1. 已知齐次线性方程组Ax θ=的基础解系中有两个线性无关的解向量.试确定这时参数λ的值,并求这时Ax θ=的一个基础解系.2. 若在非齐次线性方程组Ax b =的解集中,存在两个线性无关的解向量,但不存在更多的线性无关的解向量,试确定这时参数λ与a 的值,并求Ax b =的通解.五、 〔10%〕已知直线l 过点(1,1,1)P ,与平面:1x y z π+-=平行,且与直线1121xy z λ- ==: 相交.求直线l 的方向向量,并写出直线l 的方程.六、 〔10%〕假设二次曲面1π的方程为:2242x y z +=;平面2π的方程为:1x z =-. 1. 1π与2π的交线向xy 平面作投影所得的投影曲线l 的方程为; 2. 该投影曲线绕x 轴旋转所得的旋转曲面π的方程为; 3. 在坐标系中画出投影曲线l 的草图〔请给坐标轴标上名称〕;4. 在坐标系中画出1π与2π所围成的立体的草图〔请给坐标轴标上名称〕. 七、 〔14%〕设二次型1. 试就参数k 不同的取值范围,讨论二次曲面123(,,)1f x x x =的类型;2. 假设0k >.若经正交变换X QY =,123(,,)f x x x 可以化成标准形222123224y y y +-,求参数k 与一个合适的正交矩阵Q . 八、 〔10%〕证明题1. 假设n 维向量112a b βαα=+,212c d βαα=+.若12,ββ线性无关,证明:12,αα线性无关,并且,行列式0a b c d ≠.2. 假设,A B 都是n 阶实对称矩阵,并且,A 的特征值均大于a ,B 的特征值均大于b ,证明:A B +的特征值均大于a b +.05-06学年第二学期几何与代数期终考试试卷一. <24%>填空题1. 直角坐标系中向量(1,1,2)α=与(1,0,1)β=的向量积为;2. 过点(1,0,1)P 且与直线1211x y z-==垂直的平面的方程为; 3. 设0110P ⎛⎫=⎪⎝⎭,1011Q ⎛⎫= ⎪⎝⎭,a b A c d ⎛⎫= ⎪⎝⎭,则1010P AQ =⎛⎫⎪⎝⎭;4. 若33⨯矩阵A 的秩为2, 123,,ααα是线性方程组Ax b =的解向量 ,并且()12,3,4Tα=,()232,4,6Tαα+= , 则线性方程组Ax b =的通解是;5. 设α是(1)n n >维列向量,则n 阶方阵TA αα=的行列式A 的值为; 6. 设A 是33⨯矩阵,若矩阵,2,23I A I A I A +--均不可逆,则行列式A = ; 7. 若3是n n ⨯矩阵A 的特征值,2A =,*A 是A 的伴随矩阵,则矩阵*A 的一特征值为; 8. 若222221x y z kxz +++=表示一单叶双曲面,则k 满足条件.二〔12%〕设1234A ⎛⎫= ⎪⎝⎭,101021001B ⎛⎫ ⎪= ⎪ ⎪-⎝⎭,132011C ⎛⎫ ⎪= ⎪ ⎪--⎝⎭,求11,A B --以与矩阵X ,使A O C X O B O ⎛⎫⎛⎫= ⎪ ⎪⎝⎭⎝⎭.式中的O 均指相应的零矩阵.三〔10%〕设向量组123,,ααα线性无关 , 问: 参数,l m 满足什么条件时, 向量组12l αα+,23m αα+ ,13αα+也线性无关?四〔14%〕已知空间直角坐标系中三平面的方程分别为:1:21x y z π++=,2:2x y z πλ++=,1. 问:当λ取何值时这三个平面交于一点?交于一直线?没有公共交点?2. 当它们交于一直线时,求直线的方程.五〔12%〕已知33⨯矩阵10023302A aa a a -⎛⎫ ⎪=-+ ⎪ ⎪--+⎝⎭有一个二重特征值. 1. 试求参数a 的值,并讨论矩阵A 是否相似于对角阵.2. 如果A 相似于对角阵,求可逆矩阵P ,使得1P AP -=Λ是对角阵. 六〔10%〕假设,A B 是实对称矩阵.证明:分块矩阵A O M O B ⎛⎫=⎪⎝⎭是正定矩阵的充分必要条件是,A B 都是正定矩阵.七〔8%〕由与平面1z =-与点(0,0,1)M 等距离运动的动点(,,)P x y z 所生成的曲面记为1π,将yOz 平面上曲线250y z x ⎧+=⎨=⎩以z 轴为旋转轴所生成的旋转曲面记为2π.则:1.1π的方程是:;2π的方程是:;2. 1π与2π的交线在xOy 平面上的投影曲线方程是:;3. 在坐标系中画出由这两个曲面所围成的有限立体的简图. 八〔10%〕证明题:1. 若22⨯实矩阵A 的行列式0A <,证明:A 必定相似于对角阵.2. 假设n n ⨯实对称矩阵A 的特征值为12,,,n λλλ,α是A 的属于特征值1λ单位特征向量,矩阵1TB A λαα=-.证明:B 的特征值为20,,,n λλ.06-07第二学期几何代数期终考试试卷一. <30%>填空题〔I 表示单位矩阵〕1.向量(1,0,1),(1,1,0),(1,1,)k αβγ=-=-=共面时参数k 的值为,此时,与这三个向量都正交的一个单位向量是; 2. 向量组123410110111,,,21131102αααα⎛⎫⎛⎫⎛⎫⎛⎫ ⎪ ⎪ ⎪ ⎪- ⎪ ⎪ ⎪ ⎪==== ⎪ ⎪ ⎪ ⎪- ⎪ ⎪ ⎪ ⎪--⎝⎭⎝⎭⎝⎭⎝⎭的秩等于,这个向量组的一极大线性无关组是;3. 假设矩阵1(2,)2A t ⎛⎫= ⎪⎝⎭,若1是A 的特征值,则参数t 的值为;4. 二次型22(,,)22f x y z x z xy =++的正、负惯性指数分别为,下列图形中,能表示二次曲面(,,)1f x y z =的图形的标号为:〔A 〕,〔B 〕 ,〔C 〕 , 〔D 〕 ;5. 由曲线2z x y ⎧=⎨=⎩绕z -轴旋转所产生的旋转曲面方程为;6. 若向量组1211,1a αα⎛⎫⎛⎫== ⎪ ⎪⎝⎭⎝⎭与向量组1211,2b ββ⎛⎫⎛⎫== ⎪ ⎪⎝⎭⎝⎭等价,则参数,a b 必定满足条件;7. 若2130100A b a ⎛⎫ ⎪= ⎪ ⎪⎝⎭与00010001c B ⎛⎫ ⎪= ⎪ ⎪⎝⎭相似,则(),,a b c =.二. 〔10%〕已知向量组1234,,,αααα线性无关,问:当参数p 取何值时,向量组也线性无关?三. 〔15%〕假设,p q 是参数,空间直角坐标系中平面123,,πππ的方程分别如下:1:21x y z π-+=,2:22x py z π++=,(1) 问:当,p q 取何值时, 这三个平面的公共点构成一直线?(2) 当它们的公共点构成一直线时,求直线的方向向量,并给出该直线的对称方程.四. 〔15%〕设212010001P ⎛⎫ ⎪= ⎪ ⎪⎝⎭,100010001⎛⎫⎪Λ=- ⎪ ⎪⎝⎭,并且AP P =Λ,求A 与99A .五. 〔15%〕已知二次型22212312312(,,)4f x x x x x x x x =+--.(1) 写出二次型f 的矩阵;(2) 求一个正交变换x Qy =,把f 化为标准形, 并给出该标准形; (3) 假设0a >,求222123123max (,,)x x x at f x x x ++==的值.六. 〔15%〕证明题:1. 已知矩阵a b A I c d ⎛⎫=≠ ⎪⎝⎭,其中,2,1a d ad bc +=-=.证明:A 不与任何对角阵相似.2. 假设s n ⨯矩阵A 的秩等于r ,并且非齐次线性方程组Ax b =〔b θ≠〕有解.证明:Ax b =有并且只有1n r -+个线性无关的解向量. 3. 若A B 、都是可逆的实对称矩阵,且A B A B -、、都是正定矩阵,证明:11B A ---也是正定矩阵.。
第一部分 专项同步练习第一章 行列式一、单项选择题1.下列排列是5阶偶排列的是 ( ).(A) 24315 (B) 14325 (C) 41523 (D)243512.如果n 阶排列n j j j 21的逆序数是k , 则排列12j j j n 的逆序数是( ). (A)k (B)k n - (C)k n -2! (D)k n n --2)1(3. n 阶行列式的展开式中含1211a a 的项共有( )项.(A) 0 (B)2-n (C) )!2(-n (D) )!1(-n4.=0001001001001000( ).(A) 0 (B)1- (C) 1 (D) 25.=0001100000100100( ).(A) 0 (B)1- (C) 1 (D) 26.在函数1323211112)(x x xxx f ----=中3x 项的系数是( ).(A) 0 (B)1- (C) 1 (D) 27. 若21333231232221131211==a a a a a a a a a D ,则=---=323133312221232112111311122222 2a a a a a a a a a a a a D ( ). (A) 4 (B) 4- (C) 2 (D) 2- 8.若a a a a a =22211211,则=21112212ka a ka a ( ).(A)ka (B)ka - (C)a k 2 (D)a k 2-9. 已知4阶行列式中第1行元依次是3,1,0,4-, 第3行元的余子式依次为x ,1,5,2-, 则=x ( ).(A) 0 (B)3- (C) 3 (D) 210. 若5734111113263478----=D ,则D 中第一行元的代数余子式的和为( ). (A)1- (B)2- (C)3- (D)011. 若2235001011110403--=D ,则D 中第四行元的余子式的和为( ). (A)1- (B)2- (C)3- (D)012. k 等于下列选项中哪个值时,齐次线性方程组⎪⎩⎪⎨⎧=++=++=++000321321321x x kx x kx x kx x x 有非零解.( )(A)1- (B)2- (C)3- (D)0二、填空题1. n 2阶排列)12(13)2(24-n n 的逆序数是.2.在六阶行列式中项261365415432a a a a a a 所带的符号是.3.四阶行列式中包含4322a a 且带正号的项是.4.若一个n 阶行列式中至少有12+-n n 个元素等于0, 则这个行列式的值等于.5. 行列式=100111010100111.6.行列式=-000100002000010n n .7.行列式=--001)1(2211)1(111n n n n a a a a a a .8.如果M a a a a a a a a a D ==333231232221131211,则=---=323233312222232112121311133333 3a a a a a a a a a a a a D .9.已知某5阶行列式的值为5,将其第一行与第5行交换并转置,再用2乘所有元素,则所得的新行列式的值为.10.行列式=--+---+---1111111111111111x x x x .11.n 阶行列式=+++λλλ111111111.12.已知三阶行列式中第二列元素依次为1,2,3, 其对应的余子式依次为3,2,1,则该行列式的值为.13.设行列式5678123487654321=D ,j A 4)4,3,2,1(=j 为D 中第四行元的代数余子式,则=+++44434241234A A A A .14.已知db c a cc a b b a b c a cb a D =, D 中第四列元的代数余子式的和为.15.设行列式62211765144334321-==D ,j A 4为)4,3,2,1(4=j a j 的代数余子式,则=+4241A A ,=+4443A A .16.已知行列式nn D001030102112531-=,D 中第一行元的代数余子式的和为.17.齐次线性方程组⎪⎩⎪⎨⎧=+-=+=++0020232121321x x x kx x x x kx 仅有零解的充要条件是.18.若齐次线性方程组⎪⎩⎪⎨⎧=+--=+=++0230520232132321kx x x x x x x x 有非零解,则k =.三、计算题1.cb a db a dc a dc bd c b a d c ba d cb a++++++++33332222; 2.yxyx x y x y y x y x +++;3.解方程0011011101110=x x xx ; 4.111111321321221221221----n n n n a a a a x a a a a x a a a a xa a a a x ;5. na a a a 111111111111210(n j a j ,,1,0,1 =≠); 6. bn b b----)1(1111211111311117. n a b b b a a b b a a a b 321222111111111; 8.xa a a a x a a a a x a a a a x n nn 321212121;9.2212221212121111nn n nnx x x x x x x x x x x x x x x +++; 10. 21000120000021001210001211.aa a a a a aa a D ---------=110001100011000110001.四、证明题1.设1=abcd ,证明:011111111111122222222=++++dddd c c c c b b b b a a a a .2.3332221112333332222211111)1(c b a c b a c b a x c b x a x b a c b x a x b a c b x a xb a -=++++++.3.))()()()()()((111144442222d c b a c d b d b c a d a c a b d c b a d c b adc b a +++------=.4.∏∑≤<≤=----=nj i i jni innn nn nn n nna aa a a a a a a a a a a a a 1121222212222121)(111.5.设c b a ,,两两不等,证明0111333=c b a c ba 的充要条件是0=++cb a .参考答案一.单项选择题A D A C C D ABCD B B 二.填空题1.n ;2.”“-;3.43312214a a a a ;4.0;5.0;6.!)1(1n n --;7.1)1(212)1()1(n n n n n a a a ---; 8.M 3-; 9.160-; 10.4x ; 11.1)(-+n n λλ; 12.2-;13.0; 14.0; 15.9,12-; 16.)11(!1∑=-nk k n ; 17.3,2-≠k ; 18.7=k三.计算题1.))()()()()()((c d b d b c a d a c a b d c b a ------+++-; 2. )(233y x +-; 3. 1,0,2-=x ; 4.∏-=-11)(n k kax5.)111()1(00∑∏==-+-nk k nk k a a ; 6. ))2(()1)(2(b n b b ---+- ;7. ∏=--nk k kna b1)()1(; 8. ∏∑==-+nk k nk k a x a x 11)()(;9. ∑=+nk k x 11; 10. 1+n ;11. )1)(1(42a a a ++-. 四. 证明题 (略)第二章 矩阵一、单项选择题1. A 、B 为n 阶方阵,则下列各式中成立的是( )。
001⎝⎭⎝⎭010(A ) 12PP (B ) 112P P - (C ) 21PP (D ) 121P P - 2.设A 是3阶矩阵,秩()2r A =,且21,αα是齐次线性方程组0AX =的两个不同的解向量,则0AX =的一个基础解系是 ( D )(A ) 1α (B ) 2α (C ) 12αα+ (D ) 12αα-3.直线1:121x y z L ==-和⎩⎨⎧=+=-326:2z y y x L 的夹角为 ( B ) (A )2π (B )3π (C )4π (D )6π4.若向量组,,αβγ线性无关,,,αβδ线性相关,则 ( C )(A )α必可由,,βγδ线性表示 (B ) α必不可由,,βγδ线性表示(C ) δ必可由,,αβγ线性表示 (D ) δ必不可由,,αβγ线性表示 5.n 阶实对称矩阵A 和B 相似的充分必要条件是 ( D ) (A )A 与B 都有n 个线性无关的特征向量 (B )A 与B 的秩相等(C )A 与B 的主对角线上的元素的和相等 (D )A 与B 的n 个特征值均相等三、(本题10分) 设n 阶矩阵A 和B 满足2A B AB +=,(1)证明:2A I -可逆,其中I 为单位阵;(2)已知110110002B ⎛⎫⎪=- ⎪ ⎪⎝⎭,求矩阵A .(1)证2A B AB +=,222AB B A I I ∴--+=, (2)()2A I B I I --=(2)2B IA I I -∴-⋅=,所以2A I -可逆. ……..4分 (2)2A B AB +=,()2A B I B ∴-=,01010110001B I -=-=≠,B I ∴-可逆,且12()A B B I -=-……3分()B I I -=010100100010001001⎛⎫⎪- ⎪⎪⎝⎭→100010010100001001-⎛⎫ ⎪ ⎪ ⎪⎝⎭,11100102202()2110100220002001004A B B I ---⎛⎫⎛⎫⎛⎫⎪⎪ ⎪∴=-=-= ⎪⎪ ⎪ ⎪⎪ ⎪⎝⎭⎝⎭⎝⎭……3分四、(本题10分) 设向量组12(1,3,1,1),(1,1,1,3)T T αα=-=---,3(5,8,2,9)T α=-,4(1,1,3,1)T α=-, (1) 求向量组的秩;(2) 求它的一个极大线性无关组,并用该极大线性无关组表示其余向量.解12343115111511002318102740170(,,,2112300040010139100000000αααα⎛⎫----⎛⎫⎛⎫ ⎪ ⎪ ⎪ ⎪--- ⎪ ⎪→→⎪ ⎪ ⎪- ⎪ ⎪ ⎪ ⎪-- ⎪⎝⎭⎝⎭⎝⎭初等行变换初等行变换)=1234(,,,R αααα∴)=3,向量组124,,ααα是一个极大线性无关组,3123722ααα=-五、(本题10分) 求过点(1,1,2)M -与平面:32210x y z π+--=平行, 且与直线11:123x y zL +-==相交的直线方程. 解 设所求直线(,)l M s , {,,}s a b c =已知平面π的法向量{3,2,2}n =-,由题意3220a b c +-= ………(1) ……3分 已知直线1(,)L P s ,(1,1,0)P -,1{1,2,3}s =,由题意1[,,]0PM s s =,得 5230a b c --+= ………(2) ……3分由(1),(2)得 ,22ab c a ==,……2分 取{2,1,4}s =,所求直线为112214x y z -+-== ……2分 另解 先求出过M 点平行于已知平面的平面与已知直线的交点(3,3,6)N ---六、(本题12分) 设1101011A λλλ⎛⎫ ⎪=- ⎪ ⎪⎝⎭,11a b ⎛⎫ ⎪= ⎪ ⎪⎝⎭,已知方程组AX b =有无穷多解,(1)求,a λ的值;(2)求方程组AX b =的通解. 解 (1)因为AX b =有无穷多解,所以(,)()3r A b r A =< ……2分由0A =得 2(1)(1)0λλ--=,所以1λ=± ……3分当1λ=时,111(,)00011111a A b ⎛⎫ ⎪= ⎪ ⎪⎝⎭→11100010001a a ⎛⎫ ⎪ ⎪⎪-⎝⎭,(,)()r A b r A ≠,故1λ≠……2分 当1λ=-时,111(,)02011111a A b -⎛⎫ ⎪=- ⎪ ⎪-⎝⎭→11102010002a a -⎛⎫ ⎪- ⎪ ⎪+⎝⎭,(,)()r A b r A =,2a ∴=- ……2分(2) 1λ=-,2a =-时,(,)A b →31012111210201010200000000⎛⎫----⎛⎫⎪ ⎪ ⎪--→ ⎪ ⎪ ⎪ ⎪⎝⎭ ⎪⎝⎭, A X b =的通解为31(1,0,1)(,,0)22TTx k -=+ ……3分七、(本题12分) 设二次型22212312313(,,)224f x x x x x x x x =+--,求一个正交变换112233x y x Q y x y ⎛⎫⎛⎫⎪ ⎪= ⎪ ⎪ ⎪ ⎪⎝⎭⎝⎭将二次型123(,,)f x x x 化成标准形,并指出123(,,)1f x x x =代表的二次曲面的名称.解 二次型的矩阵102020202A -⎛⎫⎪= ⎪ ⎪--⎝⎭, 令0A I λ-=,即102020022λλλ---=---,得 1232,3λλλ===- ……4分 对122λλ==,解方程(2)0A I x -=,其中1021022000000204000A I --⎛⎫⎛⎫ ⎪ ⎪-=→ ⎪ ⎪ ⎪ ⎪--⎝⎭⎝⎭,得()12,0,1Tξ=-, ()20,1,0Tξ=,两者正交.对33λ=-,解方程(3)0A I x +=,其中402100.53050010201000A I --⎛⎫⎛⎫ ⎪ ⎪+=→ ⎪ ⎪ ⎪ ⎪-⎝⎭⎝⎭,得()31,0,2Tξ=, ……4分由于123,,ξξξ两两正交,取0001230(,,)0100Q ξξξ== ⎪, ……2分 则正交变换112233x y x Q y x y ⎛⎫⎛⎫ ⎪ ⎪= ⎪ ⎪ ⎪ ⎪⎝⎭⎝⎭将123(,,)f x x x 化成标准形222123223y y y +-……1分123(,,)1f x x x =代表单叶双曲面. ……1分八、(本题6分)设12,λλ为矩阵A 的不同特征值,对应12,λλ的特征向量分别为12,αα,试证明:112,()A ααα+线性无关的充分必要条件是20λ≠. 证 由题意12121122()A A A ααααλαλα+=+=+12λλ≠, 12,αα∴线性无关 ……2分112,()A ααα+线性无关⇔11212()0k k A ααα++=当且仅当120k k == 成立⇔1211222()0k k k λαλα++=当且仅当120k k == 成立⇔121220k k k λλ+=⎧⎨=⎩仅有零解⇔12100λλ≠⇔20λ≠ ……4分。
线性代数考试题及答案一、选择题(每题2分,共20分)1. 向量空间中,向量组的线性相关性指的是:A. 向量组中的向量可以相互表示B. 向量组中存在非零向量可以表示为其他向量的线性组合C. 向量组中的向量线性无关D. 向量组中的向量可以线性独立答案:B2. 矩阵A的秩是指:A. A的行向量组的极大线性无关组所含向量个数B. A的列向量组的极大线性无关组所含向量个数C. A的行数D. A的列数答案:B3. 对于矩阵A,若存在矩阵B,使得AB=BA=I,则B是A的:A. 逆矩阵B. 伴随矩阵C. 转置矩阵D. 正交矩阵答案:A4. 线性变换的特征值是指:A. 变换后向量的长度B. 变换后向量的方向C. 变换后向量与原向量的比值D. 变换后向量与原向量的夹角答案:C5. 一个矩阵的特征多项式是:A. 矩阵的行列式B. 矩阵的逆矩阵C. 矩阵的伴随矩阵D. 矩阵的迹答案:A6. 线性方程组有唯一解的条件是:A. 系数矩阵的秩等于增广矩阵的秩B. 系数矩阵的秩小于增广矩阵的秩C. 系数矩阵的秩大于增广矩阵的秩D. 系数矩阵的行列式不为零答案:D7. 矩阵的迹是:A. 矩阵的对角线元素之和B. 矩阵的行列式C. 矩阵的逆矩阵D. 矩阵的伴随矩阵答案:A8. 矩阵的伴随矩阵是:A. 矩阵的转置矩阵B. 矩阵的逆矩阵C. 矩阵的对角线元素的乘积D. 矩阵的行列式答案:B9. 向量空间的基是指:A. 向量空间中的一组向量B. 向量空间中线性无关的一组向量C. 向量空间中线性相关的一组向量D. 向量空间中任意一组向量答案:B10. 矩阵的转置是:A. 矩阵的行列互换B. 矩阵的行列互换C. 矩阵的行向量变成列向量D. 矩阵的列向量变成行向量答案:A二、填空题(每空2分,共20分)1. 一个向量空间的维数是指该空间的_________。
答案:基的向量个数2. 矩阵A的行列式表示为_________。
答案:det(A)3. 线性变换的矩阵表示是_________。
习题一 几何向量及其运算姓名 学号 班级一、填空题1. 下列等式何时成立:1)βαβα-=+, 当 ;2)βαβα+=+,当 ;3)αβαβ+=-, 当 ;4)ββαα=,(,αβ为非零向量),当 ; 5)βαβα->+, 当 。
2.指出下列向量组是线性相关还是线性无关:1)},{αθ是 ; 2)βα,不平行,},{βα是 ;3)γβα,,共面,},,{γβα是 ;4)γβα,,不共面,},,{γβα是 。
3.在空间直角坐标系中,点(2,3,5)M -关于关于yoz 平面的对称点是 ;关于原点的对称点是 ;关于z 轴的对称点是 ;在xoy 平面上的投影点坐标是 ;在y 轴上的投影点是 ;到yoz 平面的距离是 ;到原点的距离是 ;到x 轴的距离是 。
二、设,,OA OB P αβ==u u u r u u u r 为线段AB 上任一点,证明存在数λ,使得λβαλ+-=)1(OP 。
三、已知向量313221,,e e e e e e +=+=+=γβα,证明αγγββα---,,共面。
四、判断题1.若γαβα⋅=⋅,且αθ≠,则βγ=。
( )2.γβα,,共面的充分必要条件是0)(=⨯⋅γβα。
( )3.><⋅=⨯βαβαβα,sin 。
( ) 4.βαβα⋅≤⋅ 。
( )五、填空题1.已知向量4,3,32===βαπϕβα的夹角和,则 1)βα⋅= ;2) 2βα+= ;3)(32)(2)αβαβ-⋅+= 。
2.已知βαβα3,2-=-=AD AB ,其中6,,3,5πβαβα>=<==,则三角形ABD 的面积S = 。
六、已知 21,2,,,,3παβαβωλαβγαβ==<>==+=-。
问 1)λ为何值时,ω与γ平行; 2)λ为何值时,ω与γ垂直。
七、已知α与β垂直,且3,4αβ==,计算:(提示: ,.αβααββ⨯⊥⨯⊥)1)αβα⨯⨯)(; 2))()(βαβα-⨯⨯; 3))2()3(βαβα-⨯-。
线性代数考试题库及答案(一)1.下面是线性代数考试题库及答案的第一部分专项同步练第一章行列式的格式正确版本:一、单项选择题1.下列排列是5阶偶排列的是(A) (B) (C) (D) .2.如果n阶排列j1j2…jn的逆序数是k,则排列jn…j2j1的逆序数是(B) n-k。
3.n阶行列式的展开式中含a11a12的项共有(D) (n-1)。
项。
4.1/1 = (D) 2.5.1/(-1) = (B) -1.6.在函数f(x) = (2x-1)/(2-x^3)中x^3项的系数是(A) 0.7.若D = |a11 a12 a13| |a21 a22 a23| |1 a32 a33|,则D1 =2a11a33 - 4a13a31 - 2a12a32.8.若 |a11 a12| |a21 a22| = a,则 |a12 a11| |ka22 ka21| = (-k^2)a。
9.已知4阶行列式中第1行元依次是-4.0.1.3,第3行元的余子式依次为-2.5.1.x,则x = 3.10.若D = |4 3 1 5| |-1 3 4 1| |2 -1 6 3| |-2 1 3 4|,则D中第一行元的代数余子式的和为(B) -2.11.若D = |-1 5| |3 -2|,则D = (A) -1.12.k等于下列选项中哪个值时,齐次线性方程组x1 + kx2 + x3 = 0,kx1 + x2 + x3 = 0,x2 + x3 = 0有非零解。
(B) -2.二、填空题1.2n阶排列24…(2n)13…(2n-1)的逆序数是n(2n-1)。
2.在六阶行列式中项a32a41a25a13a56a64的符号为-。
改写后的文章:线性代数考试题库及答案第一部分专项同步练第一章行列式一、单项选择题1.下列排列是5阶偶排列的是(A) (B) (C) (D) .2.如果n阶排列j1j2…jn的逆序数是k,则排列jn…j2j1的逆序数是(B) n-k。
线性代数参考题一一. 填空题(每小题3分,满分30分)1. 写出4阶行列式44434241343332312423222114131211a a a a a a a a a a a a a a a a 中含因子2311a a 的项为_________。
2. 行列式01112222=+b b a a b ab a 的充分必要条件为___________。
3. 设A 为方阵,满足022=--E A A ,则=-1A _________。
4. C B A ,,同阶方阵,0≠A ,若AC AB =,必有C B =,则A 应为_______矩阵。
5. 设A 为n 阶方阵,0=Ax 有非零解,则A 必有一个特征值为_________。
6. 设⎪⎪⎪⎭⎫⎝⎛=122212221A 相似于对角阵⎪⎪⎪⎭⎫⎝⎛-α51,则=α_________。
7. 设向量组r A αα,,:1 是向量组T 的一个最大无关组,则A 与T 间关系为___________。
8. 由()()()0,1,1,1,0,1,1,1,0321===ααα所生成的线性空间为_________。
9. 二次型xz xy z y x f 44465222++---=的正定性为________。
10.若⎪⎪⎪⎭⎫⎝⎛=t A 31322101,且()3=A R ,则=t _________。
二. (8分)计算2n 阶行列式d cdc dc b a ba ba D n 0002=三. (8分)解矩阵方程⎪⎪⎪⎭⎫ ⎝⎛=⎪⎪⎭⎫ ⎝⎛⎪⎪⎪⎭⎫ ⎝⎛1302313512343122321X求?=X四. (10分)设向量组A:()()()()3,6,2,0,1,3,0,1,3,1,1,2,0,1,4,14321-=--=--==αααα求向量组A 的秩及一个最大无关组. 五. 12分)讨论方程组的解的情况⎪⎩⎪⎨⎧=++=++=++23213213211λλλλλx x x x x x x x x六. (16分)求正交变换PY X =,将二次型323121232221222222x x x x x x x x x f ---++=化为标准形,并写出其标准形.七. (8分)设n n ααβααβαβ++=+== 121211,,,且n αα,,1 线性无关, 证明:n ββ,,1 线性无关.八. (8分)A 为n 阶方阵,且A 与())1,,2,1(1-=-+n i iE A i均不可逆.则A 可否对角化?线性代数参考题二一、 填空题(每小题3分,满分30分) 1. 设B A ,都是5阶矩阵,且2,31=-=-B A ,则=A B2. 已知0222=++I A A ,则=+-1)(I A (其中I 是n 阶单位阵)3. ⎥⎥⎥⎦⎤⎢⎢⎢⎣⎡-=12241031x A 设,已知矩阵A 的秩r(A)=2,则=x4.()814370122222632144-==⨯ija A 设,又ij A 是ij a 的代数余子式,则=+++44434241A A A A5.若一向量组只有唯一的极大无关组,则该向量组6.设3221232221321222),,(x tx x x x x x x x x f ++++=是正定二次型, 则t 的取值区间为7.设A 是n 阶正交矩阵,1-=A ,则()=*TA8.设⎥⎥⎥⎦⎤⎢⎢⎢⎣⎡-=20002121x A 相似于对角阵⎥⎥⎥⎦⎤⎢⎢⎢⎣⎡--211,则=x9.设非齐次线性方程组b AX =的两个解为)(,,2121ξξξξ≠A 的秩为1-n ,则 b AX =的一般解=ξ .10.已知向量组[][][]1,4,2,1,0,,0,2,1,1,2,1321--==-=αααt 的秩为2,则=t 二.(8分)计算n 阶行列式ba a a ab a a a a b a D n n n n ---=212121三.(8分)求矩阵X 满足⎥⎦⎤⎢⎣⎡--=⎥⎥⎥⎦⎤⎢⎢⎢⎣⎡--⎥⎦⎤⎢⎣⎡1041120112201117241X 四.(10分)设[][][][]10,2,1,2,4,1,5,1,3,6,3,11,5,5,10,2,3,2,1,24321-==-=-=αααα求向量组的秩及其一个极大无关组. 五. (12分)问常数b a ,各取何值时, 方程组()()⎪⎪⎩⎪⎪⎨⎧=+++++=++++=+-=+++,5853,34232,12,1432143214324321x a x x x b x x a x x x x x x x x x 无解,有唯一解,或有无穷多解,并在有无穷多解时写出其一般解. 六. (16分)求正交变换PY X =,将二次型()323121232221321222222,,x x x x x x x x x x x x f ---++=化为标准形,并写出其标准形.七. (8分)设向量432,,,1αααα线性无关,且43214432134321243211,,,ββββαββββαββββαββββα+---=-+--=--+-=---=证明向量组4321,,,ββββ线性无关.八. (8分)A 为n 阶方阵,且A 与())1,,2,1(1-=-+n i iI A i均不可逆。
《几何与代数》、《线性代数》教学大纲与历年试题目录1.几何与代数教学大纲 (1)2.线性代数教学大纲 (8)3.几何与代数教学大纲(64学时) (13)4.01-02学年第二学期几何与代数期终考试试卷 (21)5.02-03学年第二学期几何与代数期终考试试卷 (25)6.03-04学年第二学期几何与代数期终考试试卷 (30)7.04-05学年第二学期几何与代数期终考试试卷 (34)8.05-06学年第二学期几何与代数期终考试试卷 (39)9.06-07学年第二学期几何与代数期终考试试卷 (43)10.01-02学年第三学期线性代数期终考试试卷 (47)11.03-04学年第三学期线性代数期终考试试卷 (52)12.04-05学年第三学期线性代数期终考试试卷 (56)13.05-06学年第三学期线性代数期终考试试卷 (61)14.06-07学年第三学期线性代数期终考试试卷 (65)15.05-06学年第二学期几何与代数补考试卷 (69)16.05-06学年第二学期线性代数补考试卷 (73)17.07-08学年第一学期线性代数转系考试试卷 (77)《几何与代数》教学大纲48学时本课程是本科阶段几何及离散量数学最重要的课程。
本课程的目的是使学生熟悉线性代数与空间解析的基本概念,掌握用坐标及向量的方法讨论几何图形的方法,熟悉空间中简单的几何图形的方程及其特点,掌握线性代数的基本理论和基本方法,提高其空间想象能力、抽象思维和逻辑思维的能力,为用线性代数的理论解决实际问题打下基础,并为后继课程的学习做好准备。
教学内容和基本要求一.向量代数平面与直线1.理解几何向量的概念及其加法、数乘运算,熟悉运算规律,了解两个向量共线和三个向量共面的充分必要条件;2.理解空间直角坐标系的概念,了解仿射坐标系的概念,掌握向量的坐标表示;3.理解向量的数量积、向量积和混合积的概念,理解它们的几何意义,了解相关的运算性质,掌握利用坐标进行计算的方法;4.理解平面的法向量的概念,熟练掌握平面的方程的确定方法,熟悉特殊位置的平面方程的形式;5.理解直线的方向向量的概念,熟练掌握直线的对称方程、一般方程及参数方程的确定方法;6.了解直线、平面间的夹角的定义,了解点与直线、平面间的距离的定义,并掌握相关的计算;7.了解平面束的概念,并会用平面束处理相关几何问题。
二.矩阵和行列式1.理解矩阵和n维向量的概念;2.理解矩阵和向量的加法、数乘、乘法运算及矩阵的转置及相关的运算性质,熟练掌握上述运算;3.理解零矩阵、单位矩阵、数量矩阵、对角阵、三角阵、对称矩阵、反对称矩阵的定义及其运算性质;4.理解二阶、三阶行列式的定义,熟练掌握它们的计算;5.知道全排列及其的逆序数的定义,会计算排列的逆序数,知道对换及对换对于排列的奇偶性的影响;6.了解n阶行列式的定义,会用行列式的定义计算简单的n阶行列式;7.掌握行列式的性质,熟练掌握行列式按行、列展开公式,了解行列式的乘法定理;8.掌握不很复杂的低阶行列式及简单的高阶行列式的计算;9.理解矩阵的可逆性的概念,掌握矩阵可逆的判别方法,掌握逆矩阵的性质;10.了解伴随矩阵的概念,熟练掌握伴随矩阵的性质,掌握利用伴随矩阵计算矩阵的逆矩阵;11.理解Cramer法则,掌握用Cramer法则求方程组的解的方法;12.了解分块矩阵的运算性质,掌握简单的分块矩阵的运算规则。
三.矩阵的初等变换与Gauss消元法1.理解矩阵的初等行变换与Gauss消元法的关系,掌握求解线性方程组的Gauss消元法;2.理解向量组的线性组合和线性表示的概念及相关的性质,掌握相关计算;3.理解向量组的线性相关、线性无关的概念以及有关性质,掌握向量组的线性相关性的判别方法;4.理解向量组的极大线性无关组和秩的概念,理解向量组的秩的性质,熟练掌握向量组的秩的计算,并会求向量组的极大线性无关组;5.理解矩阵的秩的概念,理解向量组的秩与矩阵的秩间的关系,熟练掌握矩阵的秩的计算;6.理解齐次线性方程组有非零解的充要条件,理解齐次线性方程组的基础解系的概念,熟练掌握基础解系的求法;7.理解非齐次线性方程组有解的充要条件,理解非齐次线性方程组与相应的齐次线性方程组的解之间的关系,熟练掌握非齐次线性方程组的通解的表达式的求法;8.理解矩阵的初等变换及矩阵的等价关系的概念9.了解矩阵的等价标准形的概念,理解矩阵的初等变换与矩阵的乘法间的关系;10.了解可逆矩阵与初等矩阵间的关系,掌握用初等变换求逆矩阵的方法,会求简单的矩阵方程的解;11.知道矩阵的分块初等变换,并会利用这一方法解决简单的矩阵问题。
四.向量空间1.知道向量空间、子空间的概念,会判断向两空间的子集是否构成子空间;2.知道向量空间的基及维数的概念,会求由一向量组生成的子空间及一齐次线性方程组的解空间的基及它们的维数;3.知道坐标变换公式,会求两组基间的过渡矩阵;4.理解向量的内积、长度及正交性的概念,了解向量内积的基本性质;5.理解向量空间的标准正交基的概念,熟练掌握Schimidt正交化方法;6.理解正交矩阵的概念,了解正交矩阵的性质。
五.相似矩阵和矩阵的特征值、特征向量1.理解矩阵的特征值、特征向量的概念,熟练掌握矩阵的特征多项式、特征值、特征向量的求法;2.熟练掌握特征多项式、特征值、特征向量的性质;3.了解矩阵的迹的概念,了解矩阵的迹、行列式与其特征值间的关系;4.理解矩阵的相似性概念,理解两矩阵相似的必要条件;5.熟练掌握矩阵相似于对角阵的充要条件,并熟练掌握相应的对角阵及相似变换矩阵的求法;6.熟练掌握实对称矩阵的性质,熟练掌握求正交矩阵将实对称矩阵化成对角阵的方法。
六.二次型与二次曲面1.理解二次型及二次型的矩阵的概念,熟练掌握二次型的矩阵的求法;2.理解可逆线性变换及二次型的标准形的概念,了解二次型的规范形的概念;3.理解矩阵间的合同关系的概念;4.理解二次型在正交变换下的标准形与二次型的矩阵的特征值的关系,熟练掌握用正交变换化二次型为标准形的方法,掌握用可逆线性变换化二次型为标准形的方法;5.理解惯性定理的结论及其几何含义,掌握判断实对称矩阵合同的方法;6.理解正定性的概念,熟练掌握判断二次型、实对称矩阵是否正定的方法;7.熟悉一般曲面的概念,熟悉球面、柱面、旋转面、锥面等重要曲面的几何特征以及它们的方程的特点;8.知道二次曲线的参数方程;9.熟悉二次曲面的标准方程,以及它们的几何特征;10.掌握二次曲面的交线以及这些交线在坐标平面上的投影曲线的方程的求法;11.掌握一些简单的几何图形的草图的作法。
注:对于概念与结论分知道、了解、理解三个层次,对方法分会、掌握、熟练掌握三个层次。
《线性代数》教学大纲32学时本课程是以矩阵为主要工具研究数量间的线性关系的基础理论课程,也是本科阶段关于离散量数学的最重要的课程。
本课程的目的是使学生熟悉线性代数的基本概念,掌握线性代数的基本理论和基本方法,提高其抽象思维、逻辑思维的能力,为用线性代数的理论解决实际问题打下基础。
教学内容和基本要求一.行列式1.理解二阶、三阶行列式的定义,熟练掌握它们的计算;2.知道全排列及全排列的逆序数的定义,会计算排列的逆序数,知道对换及对换对于排列的奇偶性的影响;3.了解n阶行列式的定义,会用行列式的定义计算简单的n阶行列式;4.掌握行列式的性质,熟练掌握行列式按行、列展开公式,了解行列式的乘法定理;5.掌握不很复杂的低阶行列式及简单的高阶行列式的计算;6.理解Cramer法则,掌握用Cramer法则求方程组的解的方法。
二.矩阵1.理解矩阵的概念;2.理解矩阵的加法、数乘、乘法运算及矩阵的转置及相关的运算性质,熟练掌握上述运算;3.理解零矩阵、单位矩阵、数量矩阵、对角阵、三角阵、对称矩阵、反对称矩阵的定义及其运算性质;4.理解矩阵的可逆性的概念,掌握矩阵可逆的判别方法,掌握逆矩阵的性质;5.了解伴随矩阵的概念,熟练掌握伴随矩阵的性质,掌握利用伴随矩阵计算矩阵的逆矩阵;6.了解分块矩阵的运算性质,掌握简单的分块矩阵的运算规则。
三.矩阵的初等变换与Gauss消元法1.理解矩阵的初等行变换与Gauss消元法的关系,理解矩阵的初等变换及矩阵的等价关系的概念;2.了解矩阵的等价标准形的概念,理解矩阵的初等变换与矩阵的乘法间的关系;3.了解可逆矩阵与初等矩阵间的关系,掌握用初等变换求逆矩阵的方法,会求简单的矩阵方程的解;4.理解矩阵的秩的概念,熟练掌握矩阵的秩的求法,理解矩阵运算前后的秩之间的关系;5.熟练掌握用矩阵的秩判断线性方程组的相容性及讨论解的情况的方法。
四.向量组的线性相关性1.理解向量的概念,理解线性组合和线性表示的概念;2.理解向量组的线性相关、线性无关的概念以及有关性质,掌握向量组的线性相关性的判别方法;3.理解向量组的秩的概念,理解向量组的秩与矩阵的秩间的关系,熟练掌握向量组的秩的性质;4.理解向量组的最大线性无关组的概念,理解向量组的最大线性无关组与向量组的秩间的关系,会求向量组的最大线性无关组;5.理解齐次线性方程组有非零解的充要条件,理解齐次线性方程组的基础解系的概念,熟练掌握基础解系的求法;6.理解非齐次线性方程组有解的充要条件,理解非齐次线性方程组与相应的齐次线性方程组的解之间的关系,熟练掌握非齐次线性方程组的通解的表达式的求法;7.知道向量空间、子空间、向量空间的基及维数的概念,会判断向两空间的子集是否构成子空间,会求由一向量组生成的子空间及一齐次线性方程组的解空间的基及它们的维数;8.知道坐标变换公式,会求两组基间的过渡矩阵。
五.相似矩阵和二次型1.理解向量的内积、长度及正交性的概念,了解向量内积的基本性质;2.理解向量空间的标准正交基的概念,熟练掌握Schimidt正交化方法;3.理解正交矩阵的概念,了解正交矩阵的性质;4.理解矩阵的特征值、特征向量的概念,熟练掌握矩阵的特征多项式、特征值、特征向量的求法,理解特征多项式、特征值、特征向量的性质;5.理解矩阵的相似性概念,理解两矩阵相似的必要条件;6.熟练掌握矩阵相似于对角阵的充要条件,并熟练掌握相应的对角阵及相似变换矩阵的求法;7.熟练掌握实对称矩阵的性质,熟练掌握求正交矩阵将实对称矩阵化成对角阵的方法;8.理解二次型及二次型的矩阵的概念,熟练掌握二次型的矩阵的求法;9.理解可逆线性变换及二次型的标准形的概念,了解二次型的规范形的概念;10.理解矩阵间的合同关系的概念;11.理解二次型在正交变换下的标准形与二次型的矩阵的特征值的关系,熟练掌握用正交变换化二次型为标准形的方法,掌握用可逆线性变换化二次型为标准形的方法;12.理解惯性定理的结论,掌握判断实对称矩阵合同的方法;13.理解正定性的概念,熟练掌握判断二次型、实对称矩阵是否正定的方法。