实变函数习题
- 格式:doc
- 大小:765.50 KB
- 文档页数:12
实变函数测试题与答案范本一、选择题1. 下列函数中,是实变函数的是:A. f(x) = √(x^2 - 1)B. f(x) = log(x)C. f(x) = cos(x)D. f(x) = 1/x答案:C. f(x) = cos(x)2. 设函数 f(x) 的定义域为 (-∞, 4],则下列函数定义中错误的是:A. f(x) = x^2B. f(x) = √(4 - x)C. f(x) = 1/(x - 3)D. f(x) = 2^x答案:C. f(x) = 1/(x - 3)3. 函数 f(x) = |x - 2| 的图像在 x = 2 处是否存在间断点?A. 存在间断点B. 不存在间断点答案:B. 不存在间断点二、计算题1. 求函数 f(x) = x^3 + 2x^2 - x 的零点。
解答:将 f(x) = 0,得到方程 x^3 + 2x^2 - x = 0。
对该方程进行因式分解得:x(x + 1)(x - 1) = 0。
解得 x = 0,x = -1,x = 1 为函数 f(x) 的零点。
2. 计算函数 f(x) = log(x^2 + 3x) 的导数。
解答:对 f(x) = log(x^2 + 3x) 进行求导。
使用链式法则,有 f'(x) = [1/(x^2 + 3x)] * (2x + 3)。
化简得到:f'(x) = (2x + 3)/(x^2 + 3x)。
三、证明题证明:若函数 f(x) 在区间 [a, b] 上连续且单调递增,那么 f(x) 在 [a, b] 上存在唯一的反函数。
解答:首先证明 f(x) 在 [a, b] 上是单射。
假设存在x1 ≠ x2,但 f(x1) = f(x2)。
由于 f(x) 在 [a, b] 上单调递增,可推出x1 ≠ x2,矛盾。
因此,f(x)在 [a, b] 上是单射。
接下来证明 f(x) 在 [a, b] 上是满射。
由于 f(x) 在 [a, b] 上连续,根据介值定理,f(x) 在 [a, b] 上取得最大值 M 和最小值 m。
实变函数试题库及参考答案本科、题 1.设A,B 为集合,则A B UB A U B (用描述集合间关系的符号填写)2.设A是B 的子集,则A B (用描述集合间关系的符号填写)3.如果E中聚点都属于E ,则称E是闭集4.有限个开集的交是开集5.设E1、E2是可测集,则m E1UE2 mE1 mE2 (用描述集合间关系的符号填写)n*6.设E ? n是可数集,则m E = 07.设f x 是定义在可测集E上的实函数,如果a ?1,E x f x a 是可测集,则称f x 在E上可测8.可测函数列的上极限也是可测函数9.设f n x f x ,g n x g x ,则f n x g n x f x g x10.设f x 在E上L可积,则f x 在E上可积11.设A,B 为集合,则B A UA A (用描述集合间关系的符号填写)12.设A 2k 1k 1,2,L ,则A=a(其中a表示自然数集N 的基数)13.设E ? n,如果E 中没有不属于E,则称E 是闭集14.任意个开集的并是开集15.设E1、E2是可测集,且E1 E2 ,则mE1 mE216.设E 中只有孤立点,则m*E =017.设f x 是定义在可测集E上的实函数,如果 a ?1,E x f x a 是可测,则称f x 在E上可测18.可测函数列的下极限也是可测函数19.设f n x f x ,g n x g x ,则f n x g n x f x g x20.设n x 是E上的单调增收敛于f x 的非负简单函数列,则f x dx lim n x dxE n E21.设A,B 为集合,则A B UB B22.设A为有理数集,则A=a(其中a表示自然数集N 的基数)23.设E ? n,如果E 中的每个点都是内点,则称E是开集24.有限个闭集的交是闭集25.设E ? n,则m*E 0 26.设E是? n中的区间,则m*E =E的体积27.设f x 是定义在可测集E上的实函数,如果 a ?1,E x f x a 是可测集,则称f x 在E上可测28.可测函数列的极限也是可测函数29.设f n x f x ,g n x g x a.e. ,则f n x g x30.设f n x 是E 上的非负可测函数列,且单调增收敛于f x ,由勒维定理,有f x dx lim fx dxnnE n E31.设A, B为集合,则B AI B UA=AU B32.设A为无理数集,则A=c (其中c 表示自然数集0,1 的基数)33.设E ? n,如果E 中没有不是内点的点,则称E是开集 34.任意个闭集的交是闭集n n * * * c35.设E ? n,称E是可测集,如果T ? n,m*T m* T I E m*T I E c36.设E是外测度为零的集合,且F E,则m*F=037.设f x 是定义在可测集E上的实函数,如果a ?1,E x a f x b 是可测,( a b)则称f x 在E 上可测38.可测函数列的上确界也是可测函数39.设f n x f x ,g n x g x a.e. ,则f n x g n x f x g x40.设f n x f x ,那么由黎斯定理,f n x 有子列f n k x ,使f n k x f x a.e. 于E41.设A, B为两个集合 ,则A B__ AI B c.(等于)42.设E R ,如果E 满足E E (其中E 表示E 的导集 ), 则E 是闭 .43.若开区间( , )为直线上开集G的一个构成区间 ,则( , )满(i) (a,b) G (ii) a G,b G44.设A为无限集 .则A的基数A__a(其中a表示自然数集N 的基数) 答案:45.设E1,E2为可测集 , mE2 ,则m( E1 E2) __ mE1 mE2. 答案:46.设f (x)是定义在可测集E上的实函数 ,若对任意实数a,都有E[x f(x) a]是可测集E上的可测函数 .47.设x0是E( R)的内点 ,则m*E__0. 答案48.设f n(x) 为可测集E 上的可测函数列 ,且f n(x) ____________ f(x),x E,则由黎斯 __定理可知得 ,存在f n(x) 的子列a.ef n k(x) ,使得f n k(x) f (x) (x E).49.设f (x)为可测集E( R n)上的可测函数 ,则f(x)在E上的L积分值不一定存在且| f(x)|在E上不一定L可积.50.若f ( x)是[ a, b]上的绝对连续函数 ,则f (x)是[a,b]上的有界变差函数51.设A, B为集合,则A U B ___(B A)U A 答案= 52.设E R n,如果E满足E0 E(其中E0表示E的内部),则E是开集53.设G为直线上的开集,若开区间(a,b)满足(a,b) G且a G,b G,则(a,b)必为G的构成区间54.设A {x|x 2n,n为自然数} ,则A的基数= a (其中a表示自然数集N的基数)55.设A, B为可测集,B A且mB ,则mA mB__m(A B) 答案 =56.设f (x) 是可测集E上的可测函数,则对任意实数a,b(a b),都有E[x a f(x) b]是可测集57.若E( R)是可数集,则mE__0 答案=a.e58.设f n(x) 为可测集E上的可测函数列,f(x) 为E上的可测函数,如果f n(x) f(x) (x E) ,则f n(x) f(x) x E不一定成立59.设f (x)为可测集E( R n)上的非负可测函数,则f(x)在E上的L积分值一定存在60.若f (x) 是[a,b]上的有界变差函数,则f (x)必可表示成两个递增函数的差(或递减函数的差) 多项选择题(每题至少有两个以上的正确答案)1.设E 0,1 中无理数,则( ACD )A E 是不可数集B E 是闭集C E 中没有内点D mE 12.设E ? n是无限集,则( AB )A E 可以和自身的某个真子集对等B E a(a 为自然数集的基数)CED m*E 03.设f x 是E 上的可测函数,则( ABD )A 函数f x 在E 上可测B f x 在E 的可测子集上可测C f x 是有界的D f x 是简单函数的极限4.设f x 是a,b 上的有界函数,且黎曼可积,则( ABC )A f x 在a,b 上可测B f x 在a,b 上L可积C f x 在 a,b 上几乎处处连续D f x 在 a, b 上几乎处处等于某个连续函数设 E ? n,如果 E 至少有一个内点,则( BD ) m E 可以等于 0 B m E 0 C E 可能是可数集 D E 不可能是可数集5.6. 设 E ? n是无限集,则( AB )E 含有可数子集 B E 不一定有聚点 C E 含有内点 D E 是无界的7. 设 f x 是 E 上的可测函数,则( BD )函数 f x 在 E 上可测f x 是非负简单函数列的极限 f x 是有界的8. 设 f x 是 a,b 上的连续函数,则( ABD )A f x在 a,b上可测B f x 在a,b b上 L 可积,且 R f x dx Lf x dxa ba ,b C f x 在 a,b 上 L 可积,但 R f x dx L f xaa ,bD f x 在 a,b 上有界9. 设 D x 是狄利克莱函数,即x 为 x0,1 中有理数 ,则( BCD )中无理数 10.设x 几乎处处等于 1x 是非负可测函数n*E ? n, m *E 0 ,Dx 则( ABD几乎处处等于 0 是 L 可积函数11. E 是可测集 B E 的任何子集是可测集 C E 是可数集 D E 不一定是可数集设E n, E x1 x Ec,则( AB ) E 0 x E c当 E 是可测集时, E x 是可测函数Ex 是可测函数时, E 是可测集f x 在 E 的可测子集上D 当E x 是不是可测函数时,E不一定是可测集12.设f x 是a,b 上的连续函数,则( BD )A f x 在a,b 上有界B f x 在a,b 上可测C f x 在a,b 上L可积D f x 在a,b 上不一定L 可积13.设f x 在可测集E上L可积,则( AC )A f x ,f x 都是E上的非负可积函数B f x 和f x 有一个在E上的非负可积C f x 在E 上L 可积D f x 在E 上不一定L 可积14.设E ? n是可测集,则( AD )A E c是可测集B mEC E 的子集是可测集D E的可数子集是可测集15.设f n x f x ,则( CD )A f n x 几乎处处收敛于f xB f n x 一致收敛于f xC fn x 有子列fnx ,使fnx f x a.e. 于ED f n x 可能几乎处处收敛于f x16.设f x 是a,b 上有界函数,且L 可积,则( BD )A f x 在a,b 上黎曼可积B f x 在a,b 上可测C f x 在a,b 上几乎处处连续D f x 在a,b 上不一定连续17. 设E {[0,1] 中的无理点} ,则(CD)(A )E是可数集(B)E是闭集(C)E中的每个点均是聚点(D)mE 0 18.若E(R)至少有一个内点,则( BD )A) m * E 可以等于0 (B)m *E 0 (C) E 可能是可数集 (D) E 不可能是可数集设 f (x) 是[a,b] 上的单调函数,则( ACD)f n (x) f ( x),( x E) ,则下列哪些结果不一定成立( ABCD(A) f (x)dx 存在(B) f(x)在 E 上L -可积 a.e(C)f n (x) f (x) (x E) (D) limf n (x)dx f(x)dxn E E24.若可测集 E 上的可测函数 f(x)在E 上有 L 积分值,则( AD ) A) f (x) L(E) 与 f (x) L (E)至少有一个成立 B) f (x)L(E) 且f(x) L(E)C) |f(x)|在 E 上也有L - 积分值D)| f(x)|L(E)、单项选择1. 下列集合关系成立的是(A )A B A I A B A B IACA B UB A D B A UA B2. 若E R n 是开集, 则( B)A E EB E 0E C E E D E E19. 设E [a,b] 是可测集,则E 的特征函数 E (x) 是( ABC ) A) [a,b] 上的符号函数 C) E 上的连续函数 B) [a,b] 上的可测函数 D)[a,b] 上的连续函数20. 21. A) C) 设E f (x) 是 [a,b] 上的有界变差函数 f (x) 在[a,b] 上几乎处处收敛 {[0,1] 中的有理点 } ,则( AC B) f(x) 是[a,b] 上的绝对连续函数 D) f(x) 在[a,b] 上几乎处处可导 A) E 是可数集mE 0B ) E 是闭集D )E 中的每一点均为 E 的22.若 E( R) 的外测度为 0,则( AB )A) E 是可测集 C) E 一定是可数B) mE 0 D) E 一定不是可数23 .设 mE, f n (x) 为 E 上几乎处处有限的可测函数列, f(x) 为 E 上几乎处处有限的可测函数,如果4.设f n x 是E 上一列非负可测函数,则(B)Elnimf nEndxlimnxdxElimf nEndxlimnxdxElnimf nEndxlimnxdxlimEf nn EdxElimf nEn5.列集合关系成立的是(IA cUA U A cIA cUA6.若E R n是闭集,则E07.A 9.设E 为无理数集,E 为闭集B 下列集合关系成立的是(C )E 是不可测集B )则(mEIA c A cUA A c U A c10.设Rn,则( A )A E EE D ED mE 0P为康托集,则( B B mP11.设A P 是可数集13.下列集合关系成立的是()A)P 是不可数集D P 是开集B则B c A c B则A c B cB则AI BB B则AUB14.设E R n,则A E E0 CE ED15.设E x,0x 则( B )A mE mE 2C E是R2中闭集2E是R2中完备集16.设f x ,g x 是E 上的可测函数,则( B )21.下列集合关系成立的是( A )A)E 0C) E23. 设 Q 的有理数集,则(四、判断题A Ex f x g x 不一定是可测集B Ex f x g x 是可测集C Ex f x g x是不可测集D Ex f x g x 不一定是可测集17 .下列集合关系成立的是( A )(A) (A B)UBAUB (B) (A B)U B A(C) (B A)U A A (D ) B A A18.若E R n是开集,则 ( B )(A) E 的导集 E (B) E 的开核 E(C) EE(D) E 的导集 E19. 设 P 的康托集,则 (C)(A) P为可数集(B) P 为开集(C) mP 0( D) mP 1设 20、 E 是 R 1中的可测集, (x)是 E 上的简单函数,则A) (x)是 E 上的连续函数 B) (x) 是E 上的单调函数 C) (x)在 E 上一定不 L 可积D) (x) 是 E 上的可测函数A) AI (BUC) (AI B)U (AI C) B) (A B)I A C)(B A)I A D) AUBAI B22. 若 E R n是闭集,则B) D)A ) mQ 0 B) Q 为闭集 C) mQ 0D) Q 为不可测集24.设 E 是 R n中的可测集, f(x)为 E 上的可测函数,若 f(x)dx0 ,则A)在 E 上, f ( x)不一定恒为零 B)在 E 上, f (x) C)在 E 上, f(x) 0D)在 E 上, f (x)1. 可数个闭集的并是闭集 .2. 可数个可测集的并是可测集 .3. 相等的集合是对等的 .4. 称 f x ,g x 在 E 上几乎处处相等是指使( × )( √ )( √ )g x 的x 全体是可测集 . ( √ )5. 可数个 F 集的交是 F 集 .6. 可数个可测函数的和使可测函数 .7. 对等的集合是相等的 .8. 称 f x ,g x 在 E 上几乎处处相等是指使( × ) (√) (× )x g x 的 x 全体是零测集 . ( × )9. 可数个 G 集的并是 G 集 . 10. 零测集上的函数是可测函数 .11. 对等的集合不一定相等 .12. 称 f x ,g x 在 E 上几乎处处相等是指使 f13. 可数个开集的交是开集14. 可测函数不一定是连续函数 . 15. 对等的集合有相同的基数 .16. 称 f x ,g x 在 E 上几乎处处相等是指使 f17. 可列个闭集的并集仍为闭集 18. 任何无限集均含有一个可列子集 19. 设 E 为可测集,则一定存在 G 集 G ,使 E√) ( √ ) ( √ )x gx的 x 全体是零测集 . (√)( × )xgx ( √ )( √ )0 ( × )的 x 全体的测度( × )( √ ) G 且 m G E 0.( √ )21. 设 f x 为可测集 E 上的非负可测函数,则22. 可列个开集的交集仍为开集 23. 任何无限集均是可列集24. 设 E 为可测集,则一定存在 F 集 F ,使 F25. 设 E 为 零 测 集 , 则 f x 为 E 上 的 可 测 函 数 的 充 要 条 件 是 : 实 数 a 都 有 E x f (x ) a √)26. 设 f x 为可测集 E 上的可测函数,则 f x dx 一定存在 . E 五、简答题1. 简述无限集中有基数最小的集合,但没有最大的集合 . 答:因为任何无限集均含有可数集,所以可数集是无限集中基数最小的,但无限集没有基数最大的,这是由于任何集 合 A , A 的幂集 2A的基数大于 A 的基x L E ( × )(× )( × )E ,且 m EF 0.( √ )x 不一 定是 E 上的可测函数(×) 20. 设 E 为零测集, x 为 E 上的实函数,则 是可测集 ×)数 .2.简述点集的边界点,聚点和内点的关系 .答 : 内点一定是聚点,边界点不一定是聚点,点集的边界点或为孤立点或为聚点 .3.简单函数、可测函数与连续函数有什么关系?答:连续函数一定是可测函数;简单函数一定是可测函数;简单函数可表示成简单函数或连续函数的极限4.a,b 上单调函数与有界变差函数有什么关系?答:单调函数是有界变差函数,有界变差函数可表示成两个单调增函数之差 .5.简述集合对等的基本性质 .答:A: A;若A: B,则B: A;若A: B,且B : C,则A: C.6.简述点集的内点、聚点、边界点和孤立点之间关系. 答:内点一定是聚点,内点不是孤立点,边界点由点集的孤立点和聚点组成 .7.可测集与开集、G 集有什么关系?答:设E是可测集,则0,开集G,使G E,使m G E ,或G 集G,使G E,且m G E 0.8.a,b 上单调函数、有界变差函数与绝对连续函数有什么关系?答:绝对连续函数是有界变差函数,反之不然;有界变差函数是单调增函数的差,而单调函数是有界变差函数 .9.简述证明集合对等的伯恩斯坦定理 .答:若A: B B ,又B: A A,则A: B10.简述R1中开集的结构 .答: 设G为R1中开集,则G可表示成R1中至多可数个互不相交的开区间的并 .11.可测集与闭集、F集有什么关系?答:设E是可测集,则0,闭集F E ,使m E F或F集F E ,使m E F 0.12.为什么说绝对连续函数几乎处处可微?答:因为绝对连续函数是有界变差,由若当分解定理,它可表示成两个单调增函数的差,而单调函数几乎处处有有限的导数,所以绝对连续函数几乎处处可微 .13.简述连续集的基数大于可数集的基数的理由 .答 :连续集是无限集,因而包含可数子集,又连续集是不可数集,所以连续集的基数大于可数集的基数 . 14.简述R n中开集的结构 .答:R n中开集可表示成可数个互不相交的半开半闭区间的并15.可测函数列几乎处处收敛、依测度收敛和近一致收敛的关系?答:设f n x , f x 是可测集E 上的一列可测函数,那当mE 时,f n x f x ,a.e 于E ,必有f n x f x .反之不成立,但不论mE 还是mE ,f n x 存在子列f n k x ,使f n x f x ,a.e于E .当mE 时,f n x f x ,a.e 于E ,由Egoroff 定理可得f n x 近一致收敛于f x ,反之,无需条件mE ,结论也成立 .16.为什么说有界变差函数几乎处处可微?答:由若当分解定理,有界变差函数可表示成两个单调增函数的差,而单调函数几乎处处可微,所以有界变差函数几乎处处可微 .17.简述无穷多个开集的交集是否必为开集?11 答:不一定,如 I 1 1, 1 11,1 n 1n n18. 可测集 E 上的可测函数与简单函数有什么关系? 答:简单函数必是可测函数但可测函数不一定是简单函数,可测函数一定可表示成简单函数列的极限形式 19. a,b 上的有界变差函数与单调函数有什么关系?答:单调函数必为有界变差函数但有界变差函数不一定为单调函数,有界变差函数可表示成单调函数之差 20. 简述无穷多个闭集的并集是否必为闭集?11 答:不一定 如 U 1 , 1 1,1 n 1n n21. 可测集 E 上的可测函数与连续函数有什么关系?答: E 上连续函数必为可测函数但 E 上的可测函数不一定时连续函数, E 上可测函数在 E 上是“基本上”22. a,b 上的绝对连续函数与有界变差函数有什么关系?答:绝对连续函数必为有界变差函数但有界变差函数不一定为绝对连续函数 六、计算题2xxE,其中 E 为0,1中有理数集,求 f1. 设 f x3xx dxx 0,1 E0,1解:因为 mE 0, 所以 f x x 3,a.e 于0,1 , 于是 f x dxx 3dx,0,1 0,1而 x 3在 0,1 上连续,从而黎曼可积,故由黎曼积分与勒贝格积分的关系,1 x r 1,r 2,L r n0 x 0,1 r 1,r 2,L ,求lim f n x dx .n0,1因此limf n x dx 0.n0,1解:因为 mP 0 ,所以 f x x 2, a.e 于 0,131 3x 3dxRx 3dx0,1因此 f x dx 10,14.4x44|1解:显然 f n x 在 0,1 上可测,另外由 f n x 定义知, f n x 0,a.e 于 0,1 n1所以 f nx dx0,10dx 00,1连续的函数 2. 设 r n 为 0,1 中全体有f n x3. 设 f xsinxxPx 0,1 PP 为康托集,求x dx .于是 f x dxx 2dx0,1 0,12而 x 2在 0,1 上连续,所以解:因为 f n x 在 0,1 上连续,所以可测 n 1,2,L而 lim 2 2 0 ,所以 lim f n x 0. n 1 n 2 x 2n因此由有界控制收敛定理lim f n x dxli f n x dx0dx 0n0,10,1n0,13xx E5. 设 x, E 为 0, 中有理数集,求 fx dxcosx x 0, E22 0,2解:因为 mE 0 ,所以x cosx,a.e 于 0,10,2而 cosx 在 0, 上连续,所以黎曼可积,由牛顿莱布尼公式2 cosxdx0,1R 2cos xdxsin x|021因此f x dx 10,26. 设f n x nxcos nx 0,1, 求lim f n x dx n 0,11 2 2 ,x nx 解:因为 f n x 在 0,1 上连续,所以可测 n 1,2,Lx 2dx0,1 x 2dx|1因此 0,1 x dx4. 设 fnx nxsinnx 2 2 ,x 1 n x0,1 ,求lim f n x dx . n0,1 又f n xnxsin nx22nxnx nx 11 n 2x2 2nx 2,x 0,1 ,n 1,2,L于是 f x dx cos xdx 0,2又 fn nxcosnx 22nx nx 22 1 n x 因此由有界控制收敛定理而lim n 0,所以lim n 0,1 n x dx0,1limn 7. 设 fx3sin x解:因为mP 0,所以 fnx221 n x lim f n x nx dx0,1nx 1 2nx 2,x 0.0dx 00,1P 为康托集,x, a.e 于 0,1而 x 在 0,1 上连续,所以1 2x 21 1xdx Rx dx |0 0,10 2 02因此 f x dx 1.0,12l n x nx 8. 求e cos xdx .n 0,nnln x n解:令 f n x0,n xn显然 f nx 在 0, 上可测,且 ln x ne cos xdxf n 0,n n0, ln x n x 因为 f n xe cosxn于是f x dx xdx0,1 0,1xe cosxx dx 0,1 ,n 0,11,2,Lx dx .ln x n, x 0, ,n 1,2,L n ln x n不难验证 g n x ,当 n 足够大时,是单调递减非负函数,且 nlim g n x 0 ,所以 n limnln x ndx nlimng n x dxl n im g n x 0, n0dx 0由勒贝格控制收敛定理lim f n x dx 0 n0,ln x n x 故lim e cos xdx 0. nn0,n9. 设 Dx1 x 为 0,1 上的有理点 0 x 为 0,1 上的无理点 ,求 D x dx .0,1 证明 记 E1 是 0,1中有理数集, E2 是 0,1 中无理数集,则 0,1E 1 U E 2, E 1 I E 2 , mE 1 0,mE 2 1,且E2所以 D x dx 1mE 1 0mE 2 0,1 0.10 求 l n im0 ln x n xe cos xdx . n 证明 易知 limnln x n x e cosx 0n对任意 0,n1, ln x n en x cosxln x nf(y ) ln x y 0 ,则 f (y)ylnxy 2yxy y 3时,yxyln x y , f (y)0.f(n) l n xn是单调减函数且非负( n 3 );l n lim nli mn 再由 limn xn li m n0,由 Levi 单调收敛定理得xn ln x n 0dx n0 l n imln x n dx n 0 0dx 0 , ln x nL(E),Lebsgue 控制收敛定理得ln x n x e cosxdx 0n ln x lim nnnx e cos xdx0dx2x11. 设 f x 3x 3x 0,1xP ,其中 P 为康托集,求dx .解:因为 P 为康托集,故 mP 0,m 0,1 P 1七、证明题证明 设{r n } 为全体有理数所成之集,则g(x)] U E[x| f (x) r n ]I E[x|g(x) r n ] n1因为 f (x),g(x)是 E 上的可测函数,所以 E[x| f (x) r n ], E[x|g(x) r n ]是可测集, n 1,2,L ,于是由可测所以 f x x 320,1 PxP所以0,1x dx23x mP x m 0,1 P12. 求 f nnxE0,1 ,求 limnx dx .解:易知: 令 f n xnx lim2 2 n 1 n 2x2 nx2 2,gx0,11nnxnx 1 n 2x 22 2 3n xnx nx 2 2 2 gx1 n x2 1 nx n x 0nx 2n 2 所以 0 n x gx x 0,1,n 1又因为 g x 在 0,1 上 Lebesgue 可积, 所以由控制收敛定理,得 lim 1n n x2x 2dxE 1 n x0dxE1.证明集合等式: (A B)U B AUB 证明 c(A B)U B (AI B c)U Bc (AI B c)U(AI B)UBcAI (BUB c)U B AUB2.设 E 是 [0,1] 中的无理数集,则 E 是可测集,且 mE 1 证明 设 F 是 [0,1] 中的有 理数集 ,则 F 是可数 集, 从 而 m *F 0 ,因此 F 是 可测集,从而 F c可 测, E [0,1] F [0,1] I F c,故 E 是可测集 .由于 EI F ,所以1 m[0,1] m(E UF) mE mF 0mF ,故 mF 13.设 f (x),g(x)是 E 上的可测函数,则 E[x| f (x) g( x)]是可测集E[x| f(x) g(x)] U E[x| f (x) r n n1集性质知 E[x|f(x) g(x)] 是可测集因为 f (x)在E 上可测,所以 | f (x) |在E 上非负可测,由非负可测函数积分性质,E[x|f(x)| a]adx E[x|f(x)| a]| f(x)|dx E |f(x)|dxE[x|f(x)| a]adx a mE[x |f (x)| a],所以4.设 f (x)是E 上的可测函数,则对任何常数 a 0,有 mE[x |f (x)| a]1a 1E | f ( x)证明 5.设 li m mE[x | f(x)|f ( x) 是 E 上的L 可积函数, f ( x)dx证明 因为 limmE0,所以 对连续性,0, 0,当e 于是当 n N 时, m E n 6.证明集合等式: ( A B)证明 A (A B ) 7.设 证明 1a] a 1E | f(x)|dx{E n }是 E 的一列可测子集,且 lim mE n 0,则 0, N E, me 因此 |E A I (AI B c )cA I(AI A c)U (A I A 1,A 2 是[0,1] 的可测子集,且 mA 1 因为 A 1 [0,1], A 2 [0,1] ,所以 另一方面, 1 ,当 n N 时, mE n ,又 f ( x) 在 E 上 L 时| f (x)dx| f ( x)dx |,即 lim f ( x)dx 0n E n 可积,所以由积分的绝 (A c U(B c )c) B) A I BmA 2 1 ,则 AI (A cUB)m(A 1 I A 2) 0A 1UA 2 [0,1] ,于是 m( A 1 U A 2 ) m[0,1] 1 A 1U A 2 [A 1 (A 1I A 2)] U A 2 ,所以m(A 1 U A 2 ) m [A 1 (A 1I A 2)]UA 2m[A 1 (A 1I A 2)] mA 2 mA 1 m(A 1I A 2) mA 2于是m(A 1I A 2) mA 1 mA 2 m(A 1U A 2) 08.设 f (x)是定义在可测集 E R n上的实函数, E n 为 E 的可测子集n 1,2,L ),且 E U E n ,则 f (x) 在 E 上n1可测的充要条件是 f (x) 在每个 E n 上可测 证明 对任何实数a ,因为E[x| f(x) a] U E n [x| f(x) a] U (E n I E[x| f(x) a])所以 f (x)在E 上可测的充要条件是对每个 n 1,2,L , f ( x)在每个 E n 上可测9.设 f (x)是 E 上的可测函数,则对任何常数 a 0,有 mE[x| f (x) a] e a E ef(x)dxaf (x)f (x)e dx e dx e dx E[x|f(x) a] E[x|f (x) a] Eaa而E[x|f(x) a]e a dx e amE[x| f (x) a],m *F 0 ,于是由卡氏条件易知 F 是可测集f n (x)g n (x) f (x) g(x).证明 对任何正数 0 ,由于|( f n (x) g n (x)) ( f (x) g(x))| | f n (x) f (x)| |g n (x) g(x)|所以 E[x |(f n (x) g n (x)) (f (x) g(x))| ]E[x | f n (x) f (x)| 2]U E[x |g n (x) g(x)| 2]于是 mE[x |(f n (x) g n (x)) (f (x) g(x))| ]mE[x | f n (x) f (x)| ] mE[x |g n (x) g(x) | ] 0(n )22证 明 因 为 f (x) 在 E 上 可 测 , 所以 e f(x)是 非 负 可 测 函数,于是由非负可测函数积分性质,所以mE[x| f (x) a]e ae f (x )dxE10.设 f (x) 是 E 上的可积函数, { E n } 为 E 的一列可测子集, mE ,如果 lim mE n mEn则lim nE f( x)dxE f ( x)dx 证明 因 f ( x) 在 E 上 L 可积, 由积分的绝对连续性知,对任意 0 ,存在 0, 对任何 A E , 当 mA有| A f (x)dx | , 由 于lim mE n mE n,故对上述的0,存在 k 0 , 当 n k 0 时 E nE , 且有mE mE n m( E E n )| E f ( x)dx Ef (x)dx| | E E f (x)dx|lim f ( x)dxE f (x)dx 11.证明集合等式: (AU B) C (A C) U(B C)证明 (AUB) C (AU B)I C c (AI C c )U(BI C c)(A C)U (B C)12.设 E R n是零测集,则 E 的任何子集 F 是可测集,且mF 证明 设 F E , m *E 0,由外测度的单调性和非负性, mF mE 0 , 所以13. 设 f n (x),g n (x), f (x), g( x) 是 E 上 几 乎 处 处 有 限 的可 测 函 数 , 且 f n (x) f (x) ,g n (x) g(x) ,则故f n(x) g n(x) f (x) g(x)14.设f(x),g(x)是E上L 可积函数,则f2(x) g2(x)在E上也是L 可积的证明因f(x),g(x)是E上L 可积,所以|f(x)|,|g(x)|在E上L 可积,从而| f(x)| |g(x)| L 可积,又f2(x) g2(x) (| f(x)| |g(x)|)2 | f(x)| |g(x)|故f 2(x) g2 (x) 在E 上L 可积15.设f (x)是可测集E上的非负可测函数,如果 f (x)dx 0,则f(x) 0 a.e 于E证明反证,令A E[x| f(x) 0],则由f (x)的可测性知,A是可测集 .下证mA 0,若不然,则mA 01由于A E[x| f(x) 0] U E[x| f(x) ] ,所以存在N 1,使n1 n1 mE[x| f (x) ]N d 0于是Ef( x)dx1 f( x)dxE[x|f (x)1]E[x|f(x) N1] N1dx N1mE[x| f(x) N1] N d0因此f( x)dx E0 ,矛盾,故f(x) 0 a.e 于E16.证明等式:A (B UC) (A B)I (A C)证明c c c c cA (BUC) AI (BUC)c AI (B c IC c) (AI B c)I (AI C c) (A B)I (A C) 17.设E R n是有界集,则m*E.证明因为E是有界集,所以存在开区间I ,使E I 由外测度的单调性,m*E m*I ,而m*I |I |m *E118.R1上的实值连续函数f (x) 是可测函数证明因为f ( x)连续,所以对任何实数a,{x| f(x) a}是开集,而开集为可测集,因此f(x)是可测函数19.设mE ,函数f (x)在E上有界可测,则f(x)在E上L 可积,从而[a,b]上的连续函数是L 可积的证明因为f (x)在E上有界可测,所以存在M 0,使| f(x)| M ,x E,| f ( x) |是非负可测函数,由非负可测函数的积分单调性,| f(x)|dx Mdx M mE故|f (x)|在E上L 可积,从而f(x)在E上L 可积因为[a,b] 上的连续函数是有界可测函数,所以L 可积的20.设f n(x)(n 1,2,L )是E上的L 可积函数,如果lim | f n( x) |dx 0,则f n(x) 0 n E n证明对任何常数0,mE[x | f n(x)| ] E[x|f (x)| ]| f n(x)|dx1所以mE[x | f n(x)| ] 1E[x|f n(x)| ]| f n(x)|dx1E| f n(x)|dx 0(n )因此f n (x) 021. 证明集合等式:AUB C A C U B C .证明AUB C AUB I C c AI C c U BI C c A C U B C22. 设E0 0,1 中的有理点,则E0为可测集且mE0 0.证明因为E0 为可数集,记为E0 r1,r2,L r n,L ,0,取I n r n2n 1,r n 2n 1 n 1,2,L显然E0 UI n ,所以E0 UI n0 m E0 I nn1 n1n1 n12让,得m E0 0.TR n,由于T TI E0 U TI Ec所以mT m TI E0 m TI E0ccc c又TI E0c T,m E0 0,所以mT m TI E0c m TI E0 m TI E0c.故mT m T I E0 m TI E0c其中|I | 表示区间I 的体积),所以故E0 为可测集,且mE0 01123. 证明:R1上的实值连续函数f x 必为R1上的可测函数11证明a,b R1,不妨假设a b,因为f x 是R1上的连续函数,故f x 是a,b 上的连续函数,记Fa,b ,由f x 在F 上连续,则M,m m M ,使m f x M ,则显然易证,R1,F f 是闭集,即f x为a,b 上的可测函数,由a,b的任意性可知,f x 是R1上的可测函数 .24. 设f x L E ,E n为E的一列可测子集,mE ,如果lim mE n mE,则lim f x dx f x dx .nnE n E证明因f (x)在E上L可积,由积分的绝对连续性知,对任意0,存在0,对任何A E,当mA 时有|Af( x)dx| m(E由于lim mE nnmE ,故对上述的0 ,存在k0 ,当n k0 时E n E ,且有E n),于是|Ef (x)dx Ef(x)dx| |EEEnE Enf(x)dx|即n limEn f(x)dxEf (x)dx25. 证明集合等式:A BUC ABU A C. 证明A BUC AI BUC c AIB cI CcAI B c I AIC cABI AC26. 设E R1,且mE0 ,则E 为可测集 .证明T R n,由于T R n T T I E UT I E c所以mT mT IE m T I E c又T I E c T,m E0 ,所以mTm TI Ec m T I E m T I E c.故mT m T I E m TI E c 所以E 为可测集27. 证明:R1上的单调函数f x 必为可测函数11证明a,b R1,不妨假设a b,因为f x 是R1上的单调函数,不妨设f x 为单调增函数,故f x 是a,b 上则R 1, 有1) 当 sup fx 时, E x f (x) ; xE 2) 当 inf f x 时, E x f (x) E; 3) 当 inf f x sup f x 1 时,必有 x 0 E I R ,使xE xEf x0 0 ,fx 0 或 f x 0 0 , f x 0 0 由 f x 的单调增知, E x f(x) EI x 0, 或 EI x 0, 在所有情况下, E x f(x) 都可测 . 即 f x 是 a,b 上的可测函数 由由 a,b 的任意性可知, f x 是 R 1上的可测函数 .充分性28. 设 f x 为可测集 E R n 上的可测函数,则f L E 的充要条件 证明 必要性 若 f x LE , 因为 f x x ,且 f x L E 所以 f Ex dx, f E x dx 中至少有一个是有限值,dx x dx xdx因为 f x x ,且 f xLE 所以 f Edx, f E x dx 中至少有一个是有限值,故f x dxEx dx f x dx ,E。
实变函数综合练习题《实变函数》综合训练题(一)(含解答)一、选择题(单选题)1、下列集合关系成立的是( A )(A )(\)A B B A B ⋃=⋃ (B )(\)A B B A ⋃= (C )(\)B A A A ⋃⊆ (D )(\)B A A ⊆ 2、若n E R ⊂是开集,则( B )(A )E E '⊂ (B )E 的内部E = (C )E E = (D )E E '= 3、设P 是康托集,则( C )(A )P 是可数集 (B )P 是开集 (C )0mP = (D )1mP = 4、设E 是1R 中的可测集,()x ϕ是E 上的简单函数,则( D ) (A )()x ϕ是E 上的连续函数 (B )()x ϕ是E 上的单调函数 (C )()x ϕ在E 上一定不L 可积 (D )()x ϕ是E 上的可测函数5、设E 是n R 中的可测集,()f x 为E 上的可测函数,若()d 0Ef x x =⎰,则( A )(A )在E 上,()f z 不一定恒为零 (B )在E 上,()0f z ≥ (C )在E 上,()0f z ≡ (D )在E 上,()0f z ≠ 二、多项选择题(每题至少有两个或两个以上的正确答案) 1、设E 是[0,1]中的无理点全体,则(C 、D )(A )E 是可数集 (B )E 是闭集 (C )E 中的每一点都是聚点 (D )0mE > 2、若1E R ⊂至少有一个内点,则( B 、D )(A )*m E 可以等于零 (B )*0m E >(C )E 可能是可数集 (D )E 是不可数集3、设[,]E a b ⊂是可测集,则E 的特征函数()E X x 是 (A 、B 、C ) (A )[,]a b 上的简单函数 (B )[,]a b 上的可测函数 (C )E 上的连续函数 (D )[,]a b 上的连续函数4、设()f x 在可测集E 上L 可积,则( B 、D ) (A )()f z +和()f z -有且仅有一个在E 上L 可积(B )()f z +和()f z -都在E 上L 可积(C )()f z 在E 上不一定L 可积 (D )()f z 在E 上一定L 可积5、设()f z 是[,]a b 的单调函数,则( A 、C 、D )(A )()f z 是[,]a b 的有界变差函数 (B )()f z 是[,]a b 的绝对连续函数 (C )()f z 在[,]a b 上几乎处处连续 (D )()f z 在[,]a b 上几乎处处可导 三、填空题(将正确的答案填在横线上)1、设X 为全集,A ,B 为X 的两个子集,则\A B=C A B ⋂ 。
实变函数练习题一、选择题1.)0(=z z 的辐射角情况为( )。
A 有无穷多个B 有限个C 可能无穷可能有限D 不存在 2.如果21z z e e =则( )。
A 21z z =B i z z π221+=C i z z π221-=D i k z z π221+= 3.设}{k a 为复数列,k k k k z b z a Im ,Re ==,则( )。
A 级数∑+∞=1k k a 收敛而级数∑+∞=1k k b 不收敛B 级数∑+∞=1k k a 不收敛而级数∑+∞=1k k b 收敛C 级数∑+∞=1k k a 和∑+∞=1k k b 均收敛D 级数∑+∞=1k k a 和∑+∞=1k k b 均不收敛4.nz w =4的支点是( )。
A 0B ∞C 0及∞D 不确定5.设f (z)及g (z)都在区域D 内解析,且在D 内的某一段曲线上的值相同,则这两个函数在D 内( )。
A 不恒等B 恒等C 相差个非零常数D 不确定 6.方程1Re 2=z 所表示的平面曲线为( )。
A 园B 直线C 椭圆D 双曲线 7.设i z cos =,则( )。
A 0Im =zB π=z ReC 0=zD π=z arg 8.设W=Ln(1-I)则Imw 等于( )。
A 4π- B ,1,0,42±=-k k ππ C4πD ,1,0,42±=+k k ππ9.解析函数的幂级数展式有( )。
A 唯一一个B 无穷多个C 不一定存在D 可数个10.同一函数在不同的圆环内的洛朗展式( )。
A 相同B 不同C 不一定唯一D 以上均错 11.若a 是E 的聚点,则( )。
A E a ∈B E a ∉C a 是E 内点D A 、B 均对 12.设C 为正向圆周1=z ,则积分zdzc⎰等于( )。
A 0B i π2C π2D π2- 13.3π=z 是函数ππ--=z z z f 3)sin()(3的( )。
第一章习题2、(ii) ()111n n n n n n n A B A B ∞∞∞===-⊂-证明:对于11,n n n n x A B ∞∞==∀∈- 11n n n n x A x B ∞∞==⇒∈∉ 且001,1,n n n x A n x B ⇒∃≥∈∀≥∉且对于 0001,n n n x A B ⇒∃≥∈-()1n n n x A B ∞=⇒∈-22、具体构造[]0,1与()0,1之间的一个完全的一一映射.解:记()0,1中的有理数点集为Q ;()0,1中的无理数点集为M()0,1Q M = ;[]{}0,10,1Q M = ,作映射12132,,0,1,..........n n x M x x r r r r r r +∀∈→→→→→所以[]()0,10,1与等价29、求证:n R 中任一集合的导集是闭集.证明:若()E ''=Φ,则E '为闭集,否则要证明E '为闭集()E E '''⇔⊂()x E x ''∀∈⇒为E '的聚点(){}{}0,,V x x E εε'⇒∀>-≠Φ(){}{}1,x V x x E ε'⇒∃∈-()(){}11,x V x x ε⇒∈-()()()110,,,2V x V x x E δδε⇒∃>⊂'⇒∈使得(){}{}11110,,V x x E δδ⇒∀>-≠Φ 10,δ⇒∀>()11,V x δ中含有E 的无穷多个点()1,V x δ⇒也中含有E 的无穷多个点 ()()1,,E V x E V x δε⊂()x E E E '⇒∈'''⇒⊂从而E '为闭集30、(i)设,A B 是任意的两个集合,若A B ⊂,则A B ''⊂.证明:x A x '∀∈⇒为A 的聚点(){}{}0,,V x x A εε⇒∀>-≠ΦA B ⊂(){}{}0,,V x x B εε⇒∀>-≠Φ⇒x 为B 的聚点⇒x B '∈ (ii)若A B A '⊂⊂,求证:B 是闭集.根据(i)式可知B A B ''⊂⊂,则B 是闭集32、n R 中任一集合的孤立点是至多可数的证明:先来证明1R 中的孤立点是至多可数的记B 为1R 中以有理数为端点的开区间全体所成的集合,(){},,mnnmB r r r rQ =∈则B 为可数集.设A 为1R 中的孤立点全体,则对于任意的x A ∈,则存在x 的一个以有理数为端点的邻域(),x x αβ,使得 (){},x x A x αβ= `对于每一个x A ∈,都做出这样的一个邻域,由于每个邻域中只含有一个A 中的点,故对于A 中不同的两个点对应的邻域(),x x αβ,(),y y αβ也不同. 令(){},xx D x A αβ=∈则A 与D 等价,而D B ⊂,则D 是至多可数集,从而A 是至多可数集,因此有限个至多可数集的直积是至多可数集.33、若A 不可数,则A '也不可数.证明:假设A '是至多可数集,则设B 为A 的孤立点全体,则B 为至多可数集 因为()A B A A '= ,A A A ''⊂ ,则A A ' 为至多可数集 则A 为至多可数集与已知矛盾.第二章习题2、求证:()(){}*inf :,m E m Q E Q Q =⊂是开集证明:因为E Q ⊂,所以()(){}*inf :,m E m Q E Q Q ≤⊂是开集又因为Q 是开集,而()1,n n n Q a b ∞== ,其中(),n n a b 为两两不交的开区间()()}{*11inf :,n n n n n m E l I E I I ∞∞==⎧⎫=⊂⎨⎬⎩⎭∑ 是开区间列因为开区间是开集,但是开集不一定是开区间,所以()}{11:,n n n n n l I E I I ∞∞==⎧⎫⊂⎨⎬⎩⎭∑ 是开区间列(){}:,m Q E Q Q ⊂⊂是开集 因此()}{(){}11inf :,inf :,n n n n n l I E I I m Q E Q Q ∞∞==⎧⎫⊂≥⊂⎨⎬⎩⎭∑ 是开区间列是开集3、设12,G G 是两个不相交的开集,1122,E G E G ⊂⊂,求证:()()()***1212m E E m E m E =+证明:1G ∈Ω , 所以()()()()()***12121121Cm E E m E E G m E E G =+()()()()()()**11211121C C m E G E G m E G E G =+()()**12m E m E =+6、设()()**,,m A m B <∞<∞求证:()()()***m A m B m A B -≤∆证明:要想证明()()()***m A m B m A B -≤∆,只需要证明()()()()****m A B m A m B m A B -∆≤-≤∆下面来证明()()()***m A m B m A B -≤∆,即证明:()()()***m A m A B m B ≤∆+而()())(()()()*****mA B m B m A B B m A B m A ∆+≥∆=≥同理可证明:()()()***mA B m A m B -∆≤-10、设{}1n n E ≥是可测集列,(i)求证:()lim lim n n n n m E m E →∞→∞⎛⎫≤ ⎪⎝⎭ .证明:1lim n k n k n n E E ∞∞==→∞= ,左右取测度1lim lim lim n k k n n k n k n n k n k n m E m E m E m E ∞∞∞→∞===→∞∞→∞=⎡⎤⎛⎫⎛⎫⎛⎫== ⎪ ⎪ ⎪⎢⎥⎝⎭⎝⎭⎝⎭⎣⎦⎛⎫= ⎪⎝⎭()lim lim k k n n n n m E m E ∞=→∞→∞⎛⎫= ⎪⎝⎭≤ (ii)若有0k ,使得0k k k m E ∞=⎛⎫<∞ ⎪⎝⎭ ,求证:()()lim lim n n n n m E m E →∞→∞≥ 证明:1lim n k n n k nE E ∞∞→∞===,左右取测度()1lim lim lim n k k n n n k n k n k n k n m E m E m E m E ∞∞∞→∞→∞===∞→∞=⎡⎤⎛⎫⎛⎫== ⎪ ⎪⎢⎥⎝⎭⎝⎭⎣⎦⎛⎫= ⎪⎝⎭()lim lim k n k n n n m E m E ∞→∞=→∞⎛⎫= ⎪⎝⎭≥11、设A 可测并且()0m A B ∆=,则B ∈Ω.证明:()B A B A m ∆⇒=∆0 可测 由A 可测可知CA 可测而()()C CA B A B A ∆=,所以()CB A 可测从而B A 可测;()C A B A A B ∆=-可测,而()()A B A B B -= ,所以可测.13、设21,E E 都可测,求证:()()()()212121E E m E E m E m E m +=+.证明:已知1E 可测,则取集合21E E T =,有()()()()()CE E E m E E E m E E m 12112121 +=()()CE E m E m 121+= 再取2E T =,有()()()CE E m E E m E m 12122 +=结合上边两式便知()()()()212121E E m E E m E m E m +=+20、设{}1k k E ≥是[]0,1中测度皆为一的可测集列,求证11k k m E +∞=⎛⎫= ⎪⎝⎭. 证明[][]()110,10,11k k k k k E E m E ≥≥⊂⇒⊂⇒≤[]()()()()()()()()[]()()()()1111111111110,10,111ckkk k ckk k k ckkk k k k k k k k k kk m m E E m E m E m E m E m E m E m E m E ≥≥≥≥≥≥∞≥=∞≥=≥⎡⎤==⎢⎥⎣⎦=+=+≤+-=+-=∑∑11n n m E +∞=⎛⎫= ⎪⎝⎭22、设{}1k n k E ≥≥是[]0,1中的可测集,满足()11nk k m E n =>-∑,求证:10n k k m E =⎛⎫> ⎪⎝⎭ . 证明:[]10,1nk k E =⊂ ,[]()110,11C n n k k k k m E E m ==⎛⎫⎛⎫⎛⎫∴== ⎪ ⎪ ⎪ ⎪⎝⎭⎝⎭⎝⎭要证明10n k k m E =⎛⎫> ⎪⎝⎭ ,只需证明11nC k k m E =⎛⎫< ⎪⎝⎭而()[]()1110,1nnnC C k k k k k k m E m E m E ===⎛⎫≤=- ⎪⎝⎭∑∑ []()()10,1nk k m m E =⎡⎤=-⎣⎦∑()()111nkk n m E n n ==-<--=∑第三章习题4、若对于任何[](),,a b αβ⊂,f 在[],αβ可测,求证:f 在(),a b 上可测.证明:a b < ,0011,2b an n -∴∃≥<使得()011,,n na b a b n n ∞=⎡⎤=+-⎢⎥⎣⎦R α∀∈()(){}()011,,n n x a b f x x a b f x n n αα∞=⎧⎫⎡⎤∈>=∈+->⎨⎬⎢⎥⎣⎦⎩⎭∈Ω因此f 在(),a b 上可测6、求证:为使()f x 在R 上可测,充要条件是对于任意的有理数{},r f r >∈Ω.证明:必要性因为()f x 在R 上可测,则对于{},R f αα∀∈>∈Ω,因此,对于任意的有理数{},r f r >∈Ω 充分性对于R α∀∈,存在单调递增的有理数列{}1n n r ≥,n r α<且()n r n α→→∞ 则{}{}1n n f f r α∞=≥=>∈Ω因此()f x 在R 上可测8、设()f x 是可测集合D 上的可测函数,则对于任何开集G 和闭集F ,()f G -和()f F -是可测集合.证明:()(){}:f G x f x G -=∈,()1,n n n G a b ∞== , 所以()()(){}1:,n n n fG x f x a b ∞-==∈ ()(){}1:,n n n x f x a b ∞==∈由并集定义可知,()()000,,n n n N f x a b ∃∈∈ 而(){}()00:n n x af x b fG -<<∈Ω∴∈Ω()()()CfF fG --=∈Ω10、设(){}1n n f x ≥是可测集合D 上的可测函数列,求证:D 中使得()n f x 收敛的点的全体是可测集.证明:设D 中使得()n f x 收敛的点的全体为集合A , 而()()11lim lim n n n k n A f x f x k ∞→∞=→∞⎧⎫=-<∈Ω⎨⎬⎩⎭11、设()f x 在R 上可微,求证:()f x '可测.证明:因为()f x 在R 上可微,所以()f x 在R 上连续,R ∈Ω, 因此()f x 在R 上为可测函数.所以 ()()1lim 1n f x f x n f x n→∞⎛⎫+- ⎪⎝⎭'=可测14、设{}1≥k k D 是一列两两不相交的可测集,k k D D ∞==1 ,求证为使f 在D 上可测的充要条件是对于每一个()x f k ,1≥在k D 上可测.必要性:{}{}ααα>∈=>∈∈∀f D x D f D x R k k ::,由题设知k D 为可测集,而f 在D 上可测,所以k D 与{}α>∈f D x :均为可测集,故{}α>∈f D x k :为可测集,所以f 在k D 上可测充分性:{}{}αα>∈=>∈∞=f D x fD x k k ::1已知对于任意的{}α>∈≥f D x k k :,1为可测集,由可测集满足可数并的性质f 在集合D 上测23、设在可测集D 上f f n ⇒,n g g ⇒,求证: (i)n n f g f g ±⇒±.证明:已知,,n n f f g g ⇒⇒可知对于0σ∀>lim 02n n m f f σ→∞⎛⎫⎧⎫-≥=⎨⎬ ⎪⎩⎭⎝⎭,lim 02n n m g g σ→∞⎛⎫⎧⎫-≥=⎨⎬ ⎪⎩⎭⎝⎭()(){}22n n n nfg f g g g f f σσσ⎧⎫⎧⎫±-±≥⊂-≥-≥⎨⎬⎨⎬⎩⎭⎩⎭()(){}()()220nn n n mfg f g m g g m f f n σσσ±-±≥⎛⎫⎛⎫⎧⎫⎧⎫≤-≥+-≥⎨⎬⎨⎬ ⎪ ⎪⎩⎭⎩⎭⎝⎭⎝⎭→→∞(ii) n f f ⇒证明:因为n n f f f f δ≤-≤-所以{}{}n n f f f f δδ-≥⊂-≥因此{}(){}()()0nnmff m ff n δδ-≥≤-≥→→∞(iv)当()m D <∞时,n g n f f g ⋅⇒⋅证明:对于{}n g n f ⋅的任意子列{}k n g k n f ⋅,因为n f f ⇒ 所以k n f f ⇒, 因此存在子列{}{},kkin n f f ⊂使得.k ia en ff →又因为n g g ⇒,所以kin g g ⇒因此存在子列{}{}kk i ji nn g g ⊂,使得.k i ja en gg →...k i jk k i i j j k i j a en a e n n a en g g f g f g f f ⎫→⎪⇒→⋅⎬⎪→⎭,()m D <∞,所以n g n f f g ⋅⇒⋅ 27、设(){}1n n f x ≥是[]0,1上的一列实值可测函数,若()()0,.1n n f x a e f x →+,求证:()0n f x ⇒证明:因为()()0,.1n n f x a e f x →+,[]()0,11m =<+∞,则()()01n n f x f x ⇒+()()()1110111n n n f x f x f x -=⇒-=++()()00n n f x f x ∴⇒⇔⇒反之不成立.定理3.2.2、设f ,g 为可测集合D 上的可测函数,λ是实数,当,ff g g±几乎处处有定义的时候,有,,,,ff f fg f g gλ⋅±都是可测集合D 上的可测函数. 证明:对于R α∀∈{},00,,0D f αλλαα<⎧=>=⎨Φ≥⎩;{}0,f f αλλαλ⎧⎫>>=>∈Ω⎨⎬⎩⎭;{}0,f f αλλαλ⎧⎫<>=<∈Ω⎨⎬⎩⎭ {}{}{},0,0D f f f ααααα<⎧⎪>=⎨><-∈Ω≥⎪⎩ {}{}{}1n n n fg f r g r αα∞=+>=>>-∈Ω⎡⎤⎣⎦ 因为g 可测,则g -可测,因此f g -可测.{}{{2,0D f f f αα<⎧⎪>=⎨><∈Ω⎪⎩()()2214f g f g f g ⎡⎤⋅=+--⎣⎦{}{}{}{}10,010,010,0g g g g g g g αααααα⎧⎧⎫><>⎨⎬⎪⎩⎭⎪⎧⎫⎪>=>-=+∞=⎨⎬⎨⎩⎭⎪⎧⎫⎪><<⎨⎬⎪⎩⎭⎩因此fg也可测. 第四章习题1、设f 非负且()()⎰=∞<∈Dfdx D m D L f 0,,,求证()x f 在D 上几乎处处为零.证明:{}11n f o f n ∞=⎧⎫>=≥⎨⎬⎩⎭1111100Ef f n n fdx fdx dx m f n n n ⎧⎫⎧⎫≥≥⎨⎬⎨⎬⎩⎭⎩⎭⎛⎫⎧⎫=≥≥=≥≥⎨⎬ ⎪⎩⎭⎝⎭⎰⎰⎰ 10m f n ⎛⎫⎧⎫∴≥=⎨⎬ ⎪⎩⎭⎝⎭{}(){}()111100n n m f o m f m f n n m f o ∞∞==⎛⎫⎛⎫⎧⎫⎧⎫≤>=≥≤≥=⎨⎬⎨⎬ ⎪ ⎪⎩⎭⎩⎭⎝⎭⎝⎭∴>=∑ 所以()x f 在D 上几乎处处为零2、设()f L E ∈,求证:{}()0k mfk ⋅>→.证明:()()Ef L E f L E f dx ∈⇔∈⇒<+∞⎰()()Ef L E f L E f dx ∈⇔∈⇒<+∞⎰{}{}{}()Ef k f k C f dx f dx kdx k mfk >>=≥≥=⋅>⎰⎰⎰{}()()00Cmfk k k≤>≤→→∞ 因为()f L E ∈,则由积分的绝对连续性可知,对于0,0,εδ∀>∃>对于,A E ∀⊂ 当()m A δ<,有Af dx ε<⎰因为{}()()0mfk k >→→∞,则由极限定义可知对于上述的0δ>,存在正整数,N当,k N >时,有{}()mfk δ><因此对于0,ε∀>存在正整数,N 当k N >时,有{}(){}f k k mfk f dx ε>⋅>≤<⎰3、设(),m D <∞(){}1n n f x ≥是可测集合D 上的几乎处处有限的可测函数列,求证:为了使得()0n f x ⇒充要条件是()()()01n Dn f x dx n f x →→∞+⎰.证明:必要性 因为()0n f x ⇒,所以()()01n n f x f x ⇒+又因为()()()01,111n Dn f x dx m D f x ≤<=⋅<+∞+⎰,所以()()()1n n f x L D f x ∈+根据控制收敛定理可知:()()lim001n DDn n f x dx dx f x →∞==+⎰⎰充分性:因为()()()01n Dn f x dx n f x →→∞+⎰,所以()()01n n f x f x ⇒+如果()()01n n f x f x +不依测度收敛于,则{}{}000,0,,j n n εδ∃>∃>∃⊂对于任意的1j ≥,有()()001j j n n f x m f x δε⎛⎫⎧⎫⎪⎪ ⎪≥≥⎨⎬ ⎪+ ⎪⎪⎪⎩⎭⎝⎭而()()()()000011j n j n j j n f x Df x n f x dx dx f x δδδε⎧⎫⎪⎪≥⎨⎬+⎪⎪⎩⎭≥=⋅+⎰⎰与()()()01n Dn f x dx n f x →→∞+⎰矛盾因此()()01n n f x f x ⇒+,()()()1110111n n n f x f x f x -=⇒-=++()()00n n f x f x ∴⇒⇔⇒7、设()()()',00,0f L R f f ∈=存在且有限,求证:()()f x L R x∈. 证明:设()'0fA =,即()()()00limlim 0x x f x f f x A x x→→-==-, 由局部有界定理知,存在0,δ>当x δ<时,()1f x A x≤+, 令(),E δδδ=-,则常数函数()1,A L E δ+∈ 从而()()()()f x f x L E L E x xδδ∈⇔∈ 在R E δ-上,()()f x f x x δ≤,()()()f x f L R L R E δδ∈⇒∈-,从而()()f x L R E xδ∈- 因此()()f x L R x∈ .。
《实变函数》试卷一一、单项选择题(3分×5=15分) 1、下列各式正确的是( )(A )1lim n k n n k n A A ∞∞→∞===⋃⋂; (B )1lim n k n k n n A A ∞∞==→∞=⋂⋃;(C )1lim n k n n k nA A ∞∞→∞===⋂⋃; (D )1lim n k n k nn A A ∞∞==→∞=⋂⋂;2、设P 为Cantor 集,则下列各式不成立的是( )(A )=P c (B) 0mP = (C) P P =' (D) P P =ο3、下列说法不正确的是( )(A) 凡外侧度为零的集合都可测(B )可测集的任何子集都可测(C) 开集和闭集都是波雷耳集 (D )波雷耳集都可测 4、设{}()n f x 是E 上的..a e 有限的可测函数列,则下面不成立的是( )(A )若()()n f x f x ⇒, 则()()n f x f x → (B){}sup ()n nf x 是可测函数(C ){}inf ()n nf x 是可测函数;(D )若()()n f x f x ⇒,则()f x 可测5、设f(x)是],[b a 上有界变差函数,则下面不成立的是( )(A) )(x f 在],[b a 上有界 (B) )(x f 在],[b a 上几乎处处存在导数(C ))('x f 在],[b a 上L 可积 (D)⎰-=b aa fb f dx x f )()()('二. 填空题(3分×5=15分)1、()(())s s C A C B A A B ⋃⋂--=_________2、设E 是[]0,1上有理点全体,则'E =______,oE =______,E =______.3、设E 是n R 中点集,如果对任一点集T 都_________________________________,则称E 是L 可测的4、)(x f 可测的________条件是它可以表成一列简单函数的极限函数.(填“充分”,“必要”,“充要”)5、设()f x 为[],a b 上的有限函数,如果对于[],a b 的一切分划,使_____________________________________,则称()f x 为[],a b 上的有界变差函数。
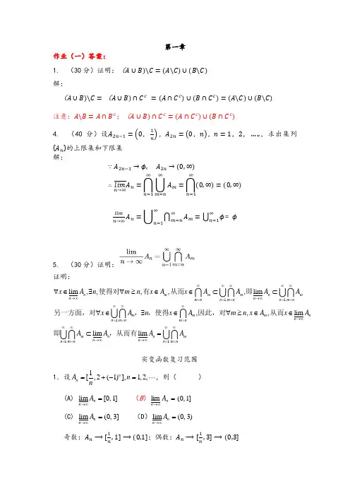
第一章作业(一)答案:1. (30分)证明:(A ∪B)\C =(A\C)∪(B\C) 解:(A ∪B)\C =(A ∪B)∩C c =(A ∩C c )∪(B ∩C c )=(A\C)∪(B\C) 注意:A\B =A ∩B c ;(A ∪B)∩C c =(A ∩C c )∪(B ∩C c )4. (40分)设A 2n−1=(0,1n ),A 2n =(0,n),n =1,2,….,,求出集列{A n }的上限集和下限集 解:∵A 2n−1→ϕ, A 2n →(0,∞)∴lim n→∞A n =⋂⋃A m ∞m=n∞n=1=⋂(0,∞)∞n=1=(0,∞)limn→∞A n=⋃⋂A m ∞m=n ∞n=1=⋃ϕ∞n=1= ϕ5. (30分)证明:证明:11111lim ,,,,,lim ,,,lim lim lim n m m m n mn n m nn m nn m nm m m nn n m nm nm n n m n n n m nn m nx A n m n x A x A A A A x A n x A m n x A x A A A A A ∞∞∞∞∞→∞→∞=====∞∞∞→∞===∞∞∞∞→∞→∞====∀∈∃∀≥∈∈⊂⊂∀∈∃∈∀≥∈∈⊂=使得对有从而即另一方面,对,,使得因此,对从而即,从而有实变函数复习范围1.设1[,2(1)],1,2,n n A n n=+-=,则( )(A) lim [0,1]n n A →∞= (B )=∞→n n A lim (0,1](C) lim (0,3]n n A →∞= (D )lim (0,3)n n A →∞=奇数:A n ⟶[1n ,1]⟶(0,1];偶数:A n ⟶[1n ,3]⟶(0,3]limn ⟶∞A n=⋃.∞n⟶1⋂A m ∞m=n=⋃(0,1]∞n⟶1=(0,1]2、设}1111:{ix i x A i -≤≤+-=, N i ∈, 则i i A ∞=⋃1= ( )A 、(-1, 1)B 、(-1, 0)C 、[0, 1]D 、[-1, 1]A 1=0,A 2=[−12,12],⋯,A i ⟶(−1,1)3、设}110:{ix x A i +≤≤=, N i ∈, 则i i A ∞=⋂1= ( )A 、(0, 1)B 、[0, 1]C 、(0, 1]D 、(0, +∞)A 1=[0,2],A 2=[0,32],⋯,A i ⟶[0,1]4、设}1211:{ix i x A i +<<-=, N i ∈, 则i i A ∞=⋃1= ( )A 、[1, 2]B 、(1, 2)C 、 (0, 3)D 、(1, 2]A 1=(0,3),A 2=(12,52),⋯,A i ⟶(1,2]5、设}23:{+≤≤=i x i x A i , N i ∈, 则i i A ∞=⋂1= ( )A 、(-1, 1)B 、[0, 1]C 、φD 、{0} A 1=(1,52),A 2=(2,72),…无交集6、设}11:{ix i x A i <<-=, N i ∈, 则i i A ∞=⋂1= ( )A 、(-1, 1)B 、[0, 1]C 、ΦD 、{0}A1=(−1,1),A2=(−12,12),…,Ai =(−∞,∞)7、设]1212,0[12--=-n A n , ]211,0[2nA n +=, N n ∈,则=∞→n n A lim ( )A 、[0, 2]B 、[0, 2)C 、[0, 1]D 、[0, 1) A 2n−1⟶[0,2),A 2n ⟶[0,1],limn ⟶∞A n=⋃.∞n⟶1⋂A m ∞m=n=⋃[0,1]∞n⟶1=[0,1]8、设]1212,0[12--=-n A n , ]211,0[2nA n +=, N n ∈, 则=∞→n n A lim ( )A 、[0, 2]B 、[0, 2)C 、[0, 1]D 、[0, 1]A 2n−1⟶[0,2),A 2n ⟶[0,1],limn→∞A n =⋂.∞n⟶1⋃A m ∞m=n=⋂[0,2)∞n⟶1=[0,2)9、设),0(n A n =, N n ∈, 则=∞→n n A lim ( )A 、Φ B、[0, n] C 、R D 、(0, ∞)lim n→∞A n =⋃⋂A m ∞m=n ∞n=1=⋃(0,n )∞n=1= (0, )10、设)1,0(nA n =, N n ∈, 则=∞→n n A lim ( )A 、(0, 1)B 、(0,n1) C 、{0} D 、Φ ∴lim n→∞A n =⋂⋃A m ∞m=n∞n=1=⋂(0,1n)∞n=1=Φ11、设)1,0(12nA n =-, ),0(2n A n =, N n ∈, 则=∞→n n A lim ( )A 、ΦB 、(0,n1) C 、(0, n) D 、(0, ∞) ∵A 2n−1→ϕ, A 2n →(0,∞)∴lim n→∞A n =⋂⋃A m ∞m=n∞n=1=⋂(0,∞)∞n=1=(0,∞)limn→∞A n=⋃⋂A m ∞m=n ∞n=1=⋃ϕ∞n=1= ϕ第二次作业答案13.解:令φ:X ⟶Y ,即φ:(−1,1) ⟶(−π2,π2) 5分 ψ:Y ⟶Z,即ψ: (−π2,π2) ⟶(−∞,+∞) 5分 易知φ为y =π2x ,ψ为z =tan (y) 20分 从而ψ[φ(x )]=tan(π2x) 10∞15. 对任意n ,设A n 是n 次有理数多项式的全体组成的集合,由于多项式由系数确定,除首项系数不为0外,其他系数可取任何有理数. (10分) 因此,则A n ={a 0x^n+a 1x^(n −1)+⋯+ a n }~Q 0×Q ×⋯×Q ,其中Q 0= Q -{0}和Q 都是可数集,从而A n 是可数集。
实变函数精选习题实变函数是数学分析的重要组成部分,是许多学科的基础。
在学习实变函数的过程中,习题是必不可少的。
通过解习题可以检验自己对于知识点的掌握程度,加深对于概念的理解,提高解题能力。
下面是我认为比较好的几道实变函数习题:1. 设函数f(x)在[a,b]上有连续的一阶导数,且f(a)=f(b),证明:存在ξ∈(a,b)使得f'(ξ)+f(ξ)=0。
这是一个比较经典的实变函数的证明题,需要运用到中值定理、积分中值定理等概念。
首先根据拉格朗日中值定理可知,存在ξ∈(a,b)使得f(b)-f(a)=f'(ξ)(b-a),即f'(ξ)=(f(b)-f(a))/(b-a)。
然后对于函数g(x)=e^x*f(x),可以通过求导证明g(x)严格单调递增,即g'(x)=e^x*[f'(x)+f(x)]>0。
由于g(a)=g(b),因此应该存在ξ∈(a,b)使得g'(ξ)=0,即f'(ξ)+f(ξ)=0,证毕。
2. 设f(x)是[0,1]上的连续函数,且f(0)=f(1),证明:对于任意的0≤a<b≤1,都存在ξ∈(a,b)使得f(ξ)=f(ξ+(1-b+a))。
这是一个比较有趣的实变函数的证明题,需要利用到周期函数的性质。
首先定义函数g(x)=f(x)-f(x+(1-b+a)),易知其是一个以(1-b+a)为周期的周期函数。
同时由于f(x)在[0,1]上连续,因此g(x)也是一个在[0,1]上连续的函数,并且g(0)=g(b-a),g(1-(b-a))=g(1),因此根据介值定理,在[0,b-a]和[1-(b-a),1]中都存在ξ使得g(ξ)=0,即f(ξ)=f(ξ+(1-b+a)),证毕。
3. 设f(x)在[0,1]上连续,在(0,1)上二阶可导,且f(0)=f(1)=0,证明:存在ξ∈(0,1)使得f''(ξ)+2f(ξ)=0。
实变函数测试题与答案实变函数测试题一、填空题1.设 $A_n=\begin{pmatrix} 1/n \\ 1/(n+1) \\ \cdots \\ 1/(2n) \end{pmatrix}$,则 $\lim\limits_{n\to\infty}A_n=\begin{pmatrix} 0 \\ 0 \\ \cdots \\ 0 \end{pmatrix}$。
2.$(a,b)$ 与 $(-\infty,+\infty)$ 之间存在两个集合之间的一一映射,因此它们的基数相同。
3.设 $E$ 是函数 $y=f(x)$ 的图形上的点所组成的集合,则$E=\{(x,f(x)):x\in\mathbb{R}\}$。
4.若集合 $E\subset\mathbb{R}$ 满足 $E'\subset E$,则$E$ 是闭集。
5.若 $(\alpha,\beta)$ 是直线上开集 $G$ 的一个构成区间,则 $(\alpha,\beta)$ 是连通集。
6.设 $E$ 是闭区间 $[a,b]$ 中的全体无理数集,则$m(E)=b-a$。
7.若 $\{f_n(x)\}$ 在 $E$ 上几乎处处有限且可测,$f(x)$ 在 $E$ 上几乎处处有限且可测,并且$\lim\limits_{n\to\infty} f_n(x)=f(x)$,则 $\{f_n(x)\}$ 在 $E$ 上依测度收敛于 $f(x)$。
8.XXX{R}$,$x$ 是 $E$ 的聚点,$f(x)$ 是实变函数,则存在 $\{x_n\}\subset E$,使得 $\lim\limits_{n\to\infty}x_n=x$ 且 $\lim\limits_{n\to\infty} f(x_n)$ 存在。
9.若 $\{f_n(x)\}$ 在 $E$ 上几乎处处有限且可测,$f(x)$ 在 $E$ 上几乎处处有限且可测,并且对于任意$\sigma>0$,都有 $\lim\limits_{n\to\infty} m\{x\in E:|f_n(x)-f(x)|\geq\sigma\}=0$,则 $\{f_n(x)\}$ 在 $E$ 上依测度收敛于$f(x)$。
实变函数试题库及参考答案Last updated on the afternoon of January 3, 2021实变函数试题库及参考答案(1) 本科一、填空题1.设,A B 为集合,则()\A B B A B (用描述集合间关系的符号填写) 2.设A 是B 的子集,则A B (用描述集合间关系的符号填写) 3.如果E 中聚点都属于E ,则称E 是 4.有限个开集的交是 5.设1E 、2E 是可测集,则()12m E E 12mE mE +(用描述集合间关系的符号填写) 6.设nE ⊂是可数集,则*m E 07.设()f x 是定义在可测集E 上的实函数,如果1a ∀∈,()E x f x a ⎡⎤≥⎣⎦是 ,则称()f x 在E 上可测8.可测函数列的上极限也是 函数9.设()()n f x f x ⇒,()()n g x g x ⇒,则()()n n f x g x +⇒ 10.设()f x 在E 上L 可积,则()f x 在E 上 二、选择题1.下列集合关系成立的是( ) 2.若n R E ⊂是开集,则( )3.设(){}n f x 是E 上一列非负可测函数,则( ) 三、多项选择题(每题至少有两个以上的正确答案) 1.设[]{}0,1E =中无理数,则( )A E 是不可数集B E 是闭集C E 中没有内点D 1mE =2.设nE ⊂是无限集,则( )A E 可以和自身的某个真子集对等B E a ≥(a 为自然数集的基数)3.设()f x 是E 上的可测函数,则( )A 函数()f x 在E 上可测B ()f x 在E 的可测子集上可测C ()f x 是有界的D ()f x 是简单函数的极限 4.设()f x 是[],a b 上的有界函数,且黎曼可积,则( )A ()f x 在[],a b 上可测B ()f x 在[],a b 上L 可积C ()f x 在[],a b 上几乎处处连续D ()f x 在[],a b 上几乎处处等于某个连续函数 四、判断题1. 可数个闭集的并是闭集. ( )2. 可数个可测集的并是可测集. ( )3. 相等的集合是对等的. ( )4. 称()(),f x g x 在E 上几乎处处相等是指使()()f x g x ≠的x 全体是可测集. ( ) 五、定义题1. 简述无限集中有基数最小的集合,但没有最大的集合.2. 简述点集的边界点,聚点和内点的关系.3. 简单函数、可测函数与连续函数有什么关系?4. [],a b 上单调函数与有界变差函数有什么关系? 六、计算题1. 设()[]230,1\x x E f x xx E⎧∈⎪=⎨∈⎪⎩,其中E 为[]0,1中有理数集,求()[]0,1f x dx ⎰.2. 设{}n r 为[]0,1中全体有理数,(){}[]{}12121,,00,1\,,n n n x r r r f x x r r r ∈⎧⎪=⎨∈⎪⎩,求()[]0,1lim n n f x dx →∞⎰.七、证明题1.证明集合等式:(\)A B B A B =2.设E 是[0,1]中的无理数集,则E 是可测集,且1mE = 3.设(),()f x g x 是E 上的可测函数,则[|()()]E x f x g x >是可测集 4.设()f x 是E 上的可测函数,则对任何常数0a >,有1[|()|]|()|E mE x f x a f x dx a≥≤⎰ 5.设()f x 是E 上的L -可积函数,{}n E 是E 的一列可测子集,且lim 0n n mE →∞=,则实变函数试题库及参考答案(1) 本科一、填空题1.=2.≤3.闭集4.开集5.≤6.=7.可测集8.可测9.()()f x g x + 10.可积 二、单选题 ABB 三、多选题ACD AB ABD ABC 四、判断题 × √√√ 五、定义题1.答:因为任何无限集均含有可数集,所以可数集是无限集中基数最小的,但无限集没有基数最大的,这是由于任何集合A ,A 的幂集2A 的基数大于A 的基数.2.答: 内点一定是聚点,边界点不一定是聚点,点集的边界点或为孤立点或为聚点.3.答:连续函数一定是可测函数;简单函数一定是可测函数;简单函数可表示成简单函数或连续函数的极限4.答:单调函数是有界变差函数,有界变差函数可表示成两个单调增函数之差. 六、解答题1.解:因为0mE =,所以()3,.f x x a e =于[]0,1,于是()[][]30,10,1f x dx x dx =⎰⎰,而3x 在[]0,1上连续,从而黎曼可积,故由黎曼积分与勒贝格积分的关系, 因此()[]0,114f x dx =⎰. 2.解:显然()n f x 在[]0,1上可测,另外由()n f x 定义知,()0,.n f x a e =于[]0,1()1n ≥ 所以()[][]0,10,100nf x dx dx ==⎰⎰因此()[]0,1lim0nn f x dx →∞=⎰七、证明题 1.证明2.证明 设F 是[0,1]中的有理数集,则F 是可数集,从而*0m F =,因此F 是可测集,从而c F 可测,又[0,1]\[0,1]c E F F ==,故E 是可测集.由于EF =∅,所以1[0,1]()0m m EF mE mF mF ===+=+,故1mF =3.证明 设{}n r 为全体有理数所成之集,则因为(),()f x g x 是E 上的可测函数,所以[|()]n E x f x r ≥,[|()]n E x g x r <是可测集,1,2,n =,于是由可测集性质知[|()()]E x f x g x >是可测集4.证明 因为()f x 在E 上可测,所以|()|f x 在E 上非负可测,由非负可测函数积分性质,而[|()|][|()|]E x f x a adx a mE x f x a ≥=⋅≥⎰,所以5.证明 因为lim 0n n mE →∞=,所以0,1N δ∀>∃≥,当n N ≥时,n mE δ<,又()f x 在E 上L -可积,所以由积分的绝对连续性,0,0,εδ∀>∃>当,e E me δ⊂<时|()|ef x dx ε<⎰于是当n N ≥时,n mE δ<,因此|()|nE f x dx ε<⎰,即lim ()0nE n f x dx →∞=⎰。
《实变函数》习题库参考答案一、判断题 1、( √ )理由:由内点定义知,存在A P U ⊂),(0δ,从而对任意的)(0P U ,必含有A 中无穷多个点。
满足聚点定义 2、( √ )理由:[法一]:都具有连续基数,故对等 [法二]:可建立一个映射)2tan()(ππ-⋅--=a b a x x f ,则f(x)为),(b a 到R 的一一映射.3、( √ )理由:由B A ⊂知, A A B B )(-=,从而由有限可加性知,mA A B m mB +-=)(,又由 +∞<mB 知,+∞<-+∞<)(,A B m mA 。
从而移项可得结论。
4、( √ )理由:f(x)在区间[0,5)及[5,10]上均为连续函数,故分别在2个区间上是可测函数, 从而再其和集上也是可测函数。
5、( × )理由:例如有理数集Q ,无理数2是Q 的聚点,但不是其内点。
6、( √ )理由:[法一]:都是可数集,故有相同的基数,即对等。
[法二]:可建立一个映射⎪⎩⎪⎨⎧==+==...2,1,1,11,0,1)(n n x n x x f ,则f(x)为集合 ⎭⎬⎫⎩⎨⎧ ,1,,31,21,1,0n 到集合⎭⎬⎫⎩⎨⎧ ,1,,31,21,1n 的一一映射。
7、( √ )理由:由B A ⊂知A A B B )(-=,且φ=-A A B )(, 故mA mA A B m mB =+-=)(8、( √ )理由:狄利克莱函数⎩⎨⎧-∈∈=.]1,0[,0]1,0[,1)(Q x Qx x D 是[0,1]上的简单函数,故可测。
9、( √ )理由:由于E E ⊆Φ=',所以.}3,2,1{为闭集=E 10、( × )理由:如无界。
,但,则N mN N E +∞<==0 11、( √ )理由:由于可测。
在连续,从而在]2,1[2)(]2,1[2)(-=-=x f x f 12、( √ ) 理由:事实上:)()(***CE T m E T m T m T E +=∀⇔:可测]([)(**CE C T m CE T m +=可测。
习题1解答(A 组题)一、选择题1、C ;2、A ;3、D ;4、C ;5、C ;6、A ;7、A ;8、B ;9、D ;10、C 二、判断题1、×;2、×;3、×;4、×;5、√;6、×;7、×;8、×;9、×; 10、× 三、填空题1、=;2、∅;3、()0,1;4、[]1,1-;5、,EF EF ;6、()2,3-;7、≥;8、c9、设有两个集合A 和B ,若≤A B ,≥A B ,则=A B 。
四、证明题1、(1)()()()()()\\====C C CC A A B A A B AAB A A AB A B ;(2)()()()()()()\\==C C CC A B CD A B CD A C B D()()()()\==CA C BD A C BD 。
2、111\lim \∞∞∞∞∞∞→∞======⎛⎫⎛⎫⎛⎫⎛⎫=== ⎪ ⎪ ⎪ ⎪ ⎪⎝⎭⎝⎭⎝⎭⎝⎭C Cn n n n n N n N N n N N n N A B A B A B AB ()111lim(\)∞∞∞∞∞∞→∞======⎛⎫⎛⎫⎛⎫⎛⎫==== ⎪ ⎪ ⎪ ⎪⎝⎭⎝⎭⎝⎭⎝⎭C C C n n n n n N n N N n N N n N A B A B A B A B 。
同理可证第2个集合等式。
3、当A =∅时,{}∅张成的环和σ-环均为它自身;张成的代数和σ-代数均为{},X ∅。
当A X =时,{}X张成的环、σ-环、代数和σ-代数均为{},X ∅。
当A 为X 的非空真子集时,{}A 张成的环和σ-环均为{},A ∅;张成的代数和σ-代数均为{},,,cA A X∅。
4、首先,令()()tan 12π⎡⎤=-⎢⎥⎣⎦f x x ,由于()f x 是()0,1上的严格单调递减的连续函数,且()()()0,10,=+∞f,所以()f x 是()0,1到()0,+∞的一一映射。
第八章习题1. 设,L M 是H 上的闭线性子空间,求证: (1) 0;L M L M P P ⊥⇔= (2) ;L M L MP P I ⊥=⇔+=(3) L M L M L M M L P P P P P P P =⇔= 。
证明 (1) 必要性:因为,,L M L M ⊥是H 上的闭线性子空间,所以,x H ∀∈有,M P x M ∈有M P x L ⊥,从而()0,L M P P x =由x 的任意性知0L M P P =。
充分性:因为0L M P P =,则,x M ∀∈有0L L M P x P P x ==,所以,x L ⊥由x 的任意得到M L ⊥。
(2) 必要性:,x H ∀∈由正交分解定理知存在唯一的1,y M ∈2,y M⊥∈ 使得12x y y =+,由正交投影算子定义有:12(),()(),M L M y P x y P x P x ⊥=== 所以21()()()(),L M L M P P x P x P x y y x +=+=+=由x 的任意性有L M P P I +=。
充分性:从,L M P P I +=知对x H ∈,()()(),L M P P x I x +=有()()()()()(),L M M M P x I x P x I P x P x ⊥=-=-=因此对,x L ∀∈有()(),L M x P x P x M ⊥⊥==∈所以L M ⊥⊆。
对,x M ⊥∀∈有()(),L M x P x P x L ⊥==∈所以ML ⊥⊆。
综合之,L M ⊥=。
(3) 必要性:由L M L M P P P = ,得L M L M M L P P P P P == 。
充分性:设L M P P P =,则由L M M L P P P P =有2222()L M L M L M L L M M L ML M P P P P P P P P P P P P P P P P ======,所以P 是投影算子。
实变函数测试题与答案实变函数试题一,填空题1. 设1,2n A n ??=,1,2n =, 则lim n n A →∞= . 2. ()(),,a b -∞+∞,因为存在两个集合之间的一一映射为3. 设E 是2R 中函数1cos ,00,0x y x x ?≠?=?? =?的图形上的点所组成的集合,则E '= ,E ?= .4. 若集合nE R ?满足E E '?, 则E 为集. 5. 若(),αβ是直线上开集G 的一个构成区间, 则(),αβ满足:, .6. 设E 使闭区间[],a b 中的全体无理数集, 则mE = .7. 若()n mE f x →()0f x ??=??, 则说{}()n f x 在E 上 . 8. 设nE R ?, 0nx R ∈,若 ,则称0x 是E 的聚点.9. 设{}()n f x 是E 上几乎处处有限的可测函数列, ()f x 是E 上几乎处处有限的可测函数, 若0σ?>, 有 , 则称{}()n f x 在E 上依测度收敛于()f x . 10. 设()()n f x f x ?,x E ∈, 则?{}()n f x 的子列{}()jn f x , 使得.二, 判断题. 正确的证明, 错误的举反例. 1. 若,A B 可测, A B ?且AB ≠,则mA mB <.2. 设E 为点集, P E ?, 则P 是E 的外点.3. 点集11,2,,E n=的闭集. 4. 任意多个闭集的并集是闭集.5. 若nE R ?,满足*m E =+∞, 则E 为无限集合. 三, 计算证明题1. 证明:()()()A B C A B A C --=-2. 设M 是3R 空间中以有理点(即坐标都是有理数)为中心, 有理数为半径的球的全体, 证明M 为可数集.3. 设nE R ?,i E B ?且i B 为可测集, 1,2i =.根据题意, 若有()()*0,i m B E i -→ →∞, 证明E 是可测集.4. 设P 是Cantor 集, ()[]32ln 1,(),0,1x x P f x x x P+ ∈?=? ∈-??.求10(L)()f x dx ?.5. 设函数()f x 在Cantor 集0P 中点x 上取值为3x , 而在0P 的余集中长为13n 的构成区间上取值为16n , ()1,2n =, 求1()f x dx ?.6. 求极限: 13230lim(R)sin 1n nx nxdx n x →∞+?.实变函数试题解答一填空题 1. []0,2.2. {}1(,)cos ,0(0,)1x y y x y y x ??=≠≤; ?.3. 闭集.4. b a -.5. 几乎处处收敛于()f x 或 a.e.收敛于()f x .6. 对000,(,)U x δδ?> 有{}()0E x -=?.7. ()()n f x f x → a.e.于E . 二判断题1. F . 例如, (0,1)A =, []0,1B =, 则A B ?且A B ≠,但1mA mB ==.2. F . 例如, 0(0,1)?, 但0不是(0,1)的外点.3. F . 由于{}0E E '=?.4. F . 例如, 在1R 中, 11,1n F n n ??=-, 3,4n =是一系列的闭集, 但是3(0,1)n n F ∞==不是闭集.5. T . 因为若E 为有界集合, 则存在有限区间I , I <+∞, 使得E I ?,则**,m E m I I ≤=<+∞ 于*m E =+∞ .三, 计算证明题. 1. 证明如下:2. M 中任何一个元素可以由球心(,,)x y z , 半径为r 唯一确定, x ,y ,z 跑遍所有的正有理数, r 跑遍所有的有理数. 因为有理数集于正有理数集为可数集都是可数集, 故M 为可数集.3. 令1i i B B ∞==, 则i E B B ??且B 为可测集, 于是对于i ?, 都有i B E B E -?-, 故()()**0i m B E m B E ≤-≤-,令i →∞, 得到()*0m B E -=, 故B E -可测. 从而()E B B E =--可测.4. 已知0mP =, 令[]0,1G P =-, 则()1320221130(L)()(L)ln 1(L)(L)()(L)(L)(R)()133PGGPGf x dx x dx x dxf x dxx dx x dxf x dxx =++ =0+ =+ = ==.5. 将积分区间[]0,1分为两两不相交的集合: 0P , 1G , 2G , 其中0P 为Cantor 集, n G 是0P 的余集中一切长为13n 的构成区间(共有12n -个)之并.由L 积分的可数可加性, 并且注意到题中的00mP =, 可得6. 因为323sin 1nx nx n x+在[]0,1上连续, 13230(R)sin 1nx nxdx n x +?存在且与13230(L)sin 1nx nxdx n x +?的值相等. 易知由于12x 在()0,1上非负可测,且广义积分1012dx x ?收敛,则 12x在()0,1上(L)可积,由于323lim sin 01n nx nx n x →∞=+,()0,1x ∈,于是根据勒贝格控制收敛定理,得到1133232300132301lim(R)sin lim(L)sin 11lim sin 100n n n nx nx nxdx nxdx n x n x nx nx dxn x dx →∞→∞→∞=++?? = ?+?? ==.一、判定下列命题正确与否,简明理由(对正确者予以证明,对错误者举处反例)(15分,每小题3分) 1. 非可数的无限集为c 势集 2. 开集的余集为闭集。
第一章习题1.证明:(1) (A -B )-C =A -(B ∪C ); (2)(A ∪B )-C =(A -C )∪(B -C ). 证明:(1) 左=(A ∩B c )∩C c =A ∩(B c ∩C c )= A ∩(B ∪C )c =右; (2)左=(A ∪B )∩C c =(A ∩C c )∪(B ∩C c )=右. 2.证明: (1)();(2)().IIIIA B A B A B A B αααααααα∈∈∈∈-=--=-(1)ccI IA B A B αααα∈∈⎛⎫=== ⎪⎝⎭证明:左()右;(2)()c cI I A B A B αααα∈∈⎛⎫=== ⎪⎝⎭左右.111111.{},,1.{}1.n n n n n nnA B A B A A n B B A n νννννν-===⎛⎫==- ⎪⎝⎭>=≤≤∞ 3 设是一列集合,作证明:是一列互不相交的集合,而且,证明:用数学归纳法。
当n=2时,B 1=A 1,B 2=A 2-A 1, 显然121212B B B B B B n k =∅== 且,假设当时命题成立,1211,,,kkk B B B B A νννν===两两互不相交,而且,111111111kk k kkkk k n k B A A B A BA B νννννννν++=++====+=-==-⇒下证,当时命题成立,因为而,所以11211+1111111111111,,,;k k k k k k k k k kk k k k k B B B B B B B B B B A A A A A A A νννννννννννννννν++=++===+++====⎛⎫=∅ ⎪⎝⎭⎛⎫⎛⎫== ⎪ ⎪⎝⎭⎝⎭⎛⎫⎛⎫⎛⎫=-==⎪ ⎪ ⎪⎝⎭⎝⎭⎝⎭,于是,两两互不相交;由数学归纳法命题得证。
{}21214.0,,(0,),1,2,,n n n A A n n A n-⎛⎫=== ⎪⎝⎭设求出集列的上限集和下限集。
第一章习题2、(ii)()111n n n n n n n A B A B ∞∞∞===-⊂-证明:对于11,n n n n x A B ∞∞==∀∈-11n n n n x A x B ∞∞==⇒∈∉且001,1,n n n x A n x B ⇒∃≥∈∀≥∉且对于 0001,n n n x A B ⇒∃≥∈-()1n n n x A B ∞=⇒∈- 22、具体构造[]0,1与()0,1之间的一个完全的一一映射.解:记()0,1中的有理数点集为Q ;()0,1中的无理数点集为M()0,1Q M =;[]{}0,10,1Q M =,作映射12132,,0,1,..........n n x M x x r r r r r r +∀∈→→→→→所以[]()0,10,1与等价29、求证:n R 中任一集合的导集是闭集.证明:若()E ''=Φ,则E '为闭集,否则要证明E '为闭集()E E '''⇔⊂()x E x ''∀∈⇒为E '的聚点(){}{}0,,V x x E εε'⇒∀>-≠Φ(){}{}1,x V x x E ε'⇒∃∈-()(){}11,x V x x ε⇒∈-()()()110,,,2V x V x x E δδε⇒∃>⊂'⇒∈使得(){}{}11110,,V x x E δδ⇒∀>-≠Φ10,δ⇒∀>()11,V x δ中含有E 的无穷多个点()1,V x δ⇒也中含有E 的无穷多个点 ()()1,,E V x E V x δε⊂()x E E E '⇒∈'''⇒⊂从而E '为闭集30、(i)设,A B 是任意的两个集合,若A B ⊂,则A B ''⊂.证明:x A x '∀∈⇒为A 的聚点(){}{}0,,V x x A εε⇒∀>-≠ΦA B ⊂(){}{}0,,V x x B εε⇒∀>-≠Φ⇒x 为B 的聚点⇒x B '∈ (ii)若A B A '⊂⊂,求证:B 是闭集. 根据(i)式可知B A B ''⊂⊂,则B 是闭集 32、n R 中任一集合的孤立点是至多可数的证明:先来证明1R 中的孤立点是至多可数的记B 为1R 中以有理数为端点的开区间全体所成的集合,(){},,mnnmB r r r rQ =∈则B 为可数集.设A 为1R 中的孤立点全体,则对于任意的x A ∈,则存在x 的一个以有理数为端点的邻域(),x x αβ,使得 (){},x x A x αβ=`对于每一个x A ∈,都做出这样的一个邻域,由于每个邻域中只含有一个A 中的点,故对于A 中不同的两个点对应的邻域(),x x αβ,(),yy αβ也不同.令(){},xxD x A αβ=∈则A 与D 等价,而D B ⊂,则D 是至多可数集,从而A 是至多可数集,因此有限个至多可数集的直积是至多可数集.33、若A 不可数,则A '也不可数.证明:假设A '是至多可数集,则设B 为A 的孤立点全体,则B 为至多可数集因为()A BA A '=,A A A ''⊂,则A A '为至多可数集则A 为至多可数集与已知矛盾.第二章习题2、求证:()(){}*inf :,m E m Q E Q Q =⊂是开集证明:因为E Q ⊂,所以()(){}*inf :,m E m Q E Q Q ≤⊂是开集 又因为Q 是开集,而()1,n n n Q a b ∞==,其中(),n n a b 为两两不交的开区间()()}{*11inf :,n n n n n m E l I E I I ∞∞==⎧⎫=⊂⎨⎬⎩⎭∑是开区间列因为开区间是开集,但是开集不一定是开区间,所以()}{11:,n n n n n l I E I I ∞∞==⎧⎫⊂⎨⎬⎩⎭∑是开区间列(){}:,m Q E Q Q ⊂⊂是开集因此()}{(){}11inf :,inf :,n n n n n l I E I I m Q E Q Q ∞∞==⎧⎫⊂≥⊂⎨⎬⎩⎭∑是开区间列是开集3、设12,G G 是两个不相交的开集,1122,E G E G ⊂⊂,求证:()()()***1212m E E m E m E =+证明:1G ∈Ω,所以()()()()()***12121121C m E E m E E G m E E G =+()()()()()()**11211121C C m E G E G m E G EG =+()()**12m E m E =+6、设()()**,,m A m B <∞<∞求证:()()()***m A m B m A B -≤∆证明:要想证明()()()***m A m B m A B -≤∆,只需要证明()()()()****m A B m A m B m A B -∆≤-≤∆下面来证明()()()***m A m B m A B -≤∆,即证明:()()()***m A m A B m B ≤∆+而()())(()()()*****mA B m B m A B B m A B m A ∆+≥∆=≥同理可证明:()()()***mA B m A m B -∆≤-10、设{}1n n E ≥是可测集列,(i)求证:()lim lim n n n n m E m E →∞→∞⎛⎫≤ ⎪⎝⎭.证明:1lim n k n k nn E E ∞∞==→∞=,左右取测度1lim lim lim n k k n n k n k n n k n k n m E m E m E m E ∞∞∞→∞===→∞∞→∞=⎡⎤⎛⎫⎛⎫⎛⎫== ⎪ ⎪ ⎪⎢⎥⎝⎭⎝⎭⎝⎭⎣⎦⎛⎫= ⎪⎝⎭()lim lim k k n n n n m E m E ∞=→∞→∞⎛⎫= ⎪⎝⎭≤ (ii)若有0k ,使得0k k k m E ∞=⎛⎫<∞⎪⎝⎭,求证:()()lim lim n n n n m E m E →∞→∞≥ 证明:1lim n k n n k nE E ∞∞→∞===,左右取测度()1lim lim lim nk k n n n k n k n k n k n m E m E m E m E ∞∞∞→∞→∞===∞→∞=⎡⎤⎛⎫⎛⎫== ⎪ ⎪⎢⎥⎝⎭⎝⎭⎣⎦⎛⎫= ⎪⎝⎭()lim lim k n k n n n m E m E ∞→∞=→∞⎛⎫= ⎪⎝⎭≥ 11、设A 可测并且()0m A B ∆=,则B ∈Ω.证明:()B A B A m ∆⇒=∆0 可测 由A 可测可知CA 可测而()()CCA B A B A ∆=,所以()CB A 可测从而B A 可测;()CA B A A B ∆=-可测,而()()A B A B B -= ,所以可测.13、设21,E E 都可测,求证:()()()()212121E E m E E m E m E m +=+.证明:已知1E 可测,则取集合21E E T =,有()()()()()CE E E m E E E m E E m 12112121 +=()()CE Em E m 121+=再取2E T =,有()()()CE E m E E m E m 12122 +=结合上边两式便知()()()()212121E E m E E m E m E m +=+20、设{}1k k E ≥是[]0,1中测度皆为一的可测集列,求证11k k m E +∞=⎛⎫= ⎪⎝⎭.证明[][]()110,10,11k k kk k E E mE ≥≥⊂⇒⊂⇒≤[]()()()()()()()()[]()()()()1111111111110,10,111ckkk k ckkk k ckkk k kkk k kk k kk m m E E m E m E m E m E mE m E mE m E ≥≥≥≥≥≥∞≥=∞≥=≥⎡⎤==⎢⎥⎣⎦=+=+≤+-=+-=∑∑11n n m E +∞=⎛⎫= ⎪⎝⎭22、设{}1k n k E ≥≥是[]0,1中的可测集,满足()11nk k m E n =>-∑,求证:10n k k m E =⎛⎫> ⎪⎝⎭.证明:[]10,1nk k E =⊂,[]()110,11Cn n k k k k m E E m ==⎛⎫⎛⎫⎛⎫∴== ⎪ ⎪ ⎪ ⎪⎝⎭⎝⎭⎝⎭ 要证明10n k k m E =⎛⎫> ⎪⎝⎭,只需证明11n C k k m E =⎛⎫< ⎪⎝⎭而()[]()1110,1nnn C Ck k k k k k m E m E m E ===⎛⎫≤=- ⎪⎝⎭∑∑[]()()10,1nk k m m E =⎡⎤=-⎣⎦∑ ()()111nkk n m E n n ==-<--=∑第三章习题4、若对于任何[](),,a b αβ⊂,f 在[],αβ可测,求证:f 在(),a b 上可测.证明:a b <,0011,2b a n n -∴∃≥<使得()011,,n na b a b n n ∞=⎡⎤=+-⎢⎥⎣⎦R α∀∈()(){}()011,,n n x a b f x x a b f x n n αα∞=⎧⎫⎡⎤∈>=∈+->⎨⎬⎢⎥⎣⎦⎩⎭∈Ω 因此f 在(),a b 上可测6、求证:为使()f x 在R 上可测,充要条件是对于任意的有理数{},r f r >∈Ω.证明:必要性因为()f x 在R 上可测,则对于{},R f αα∀∈>∈Ω,因此,对于任意的有理数{},r f r >∈Ω 充分性对于R α∀∈,存在单调递增的有理数列{}1n n r ≥,n r α<且()n r n α→→∞ 则{}{}1n n f fr α∞=≥=>∈Ω因此()f x 在R 上可测8、设()f x 是可测集合D 上的可测函数,则对于任何开集G 和闭集F ,()f G -和()f F -是可测集合.证明:()(){}:f G x f x G -=∈,()1,n n n G a b ∞==,所以()()(){}1:,n n n fG x f x a b ∞-==∈()(){}1:,nnn x f x a b ∞==∈由并集定义可知,()()000,,n n n N f x a b ∃∈∈ 而(){}()00:n n x af x b fG -<<∈Ω∴∈Ω()()()CfF fG --=∈Ω10、设(){}1n n f x ≥是可测集合D 上的可测函数列,求证:D 中使得()n f x 收敛的点的全体是可测集.证明:设D 中使得()n f x 收敛的点的全体为集合A , 而()()11lim lim n n n k n A f x f x k ∞→∞=→∞⎧⎫=-<∈Ω⎨⎬⎩⎭11、设()f x 在R 上可微,求证:()f x '可测.证明:因为()f x 在R 上可微,所以()f x 在R 上连续,R ∈Ω, 因此()f x 在R 上为可测函数.所以 ()()1lim 1n f x f x n f x n→∞⎛⎫+- ⎪⎝⎭'=可测14、设{}1≥k k D 是一列两两不相交的可测集,k k D D ∞==1,求证为使f 在D 上可测的充要条件是对于每一个()x f k ,1≥在k D 上可测.必要性:{}{}ααα>∈=>∈∈∀f D x D f D x R k k ::,由题设知k D 为可测集,而f 在D 上可测,所以k D 与{}α>∈f D x :均为可测集,故{}α>∈f D x k :为可测集,所以f 在k D 上可测充分性:{}{}αα>∈=>∈∞=f D x f D x k k ::1已知对于任意的{}α>∈≥f D x k k :,1为可测集,由可测集满足可数并的性质f 在集合D 上测23、设在可测集D 上f f n ⇒,n g g ⇒,求证: (i)n n f g f g ±⇒±.证明:已知,,n n f f g g ⇒⇒可知对于0σ∀>lim 02n n m f f σ→∞⎛⎫⎧⎫-≥=⎨⎬ ⎪⎩⎭⎝⎭,lim 02n n m g g σ→∞⎛⎫⎧⎫-≥=⎨⎬ ⎪⎩⎭⎝⎭()(){}22n n n nfg f g g g f f σσσ⎧⎫⎧⎫±-±≥⊂-≥-≥⎨⎬⎨⎬⎩⎭⎩⎭()(){}()()220nn n n mfg f g m g g m f f n σσσ±-±≥⎛⎫⎛⎫⎧⎫⎧⎫≤-≥+-≥⎨⎬⎨⎬ ⎪ ⎪⎩⎭⎩⎭⎝⎭⎝⎭→→∞(ii) n f f ⇒证明:因为n n f f f f δ≤-≤-所以{}{}n n f f f f δδ-≥⊂-≥因此{}(){}()()0nnmff m ff n δδ-≥≤-≥→→∞(iv)当()m D <∞时,n g n f f g ⋅⇒⋅证明:对于{}n g n f ⋅的任意子列{}k n g k n f ⋅,因为n f f ⇒ 所以k n f f ⇒, 因此存在子列{}{},kkin n f f ⊂使得.k ia en ff →又因为n g g ⇒,所以k in g g ⇒因此存在子列{}{}kk i ji n n g g ⊂,使得.k i ja en gg →...k i jk k i i j j k i j a en a e n n a en g g f g f g f f ⎫→⎪⇒→⋅⎬⎪→⎭,()m D <∞,所以n g n f f g ⋅⇒⋅ 27、设(){}1n n f x ≥是[]0,1上的一列实值可测函数,若()()0,.1n n f x a e f x →+,求证:()0n f x ⇒证明:因为()()0,.1n n f x a e f x →+,[]()0,11m =<+∞,则()()01n n f x f x ⇒+()()()1110111n n n f x f x f x -=⇒-=++()()00n n f x f x ∴⇒⇔⇒反之不成立.定理3.2.2、设f ,g 为可测集合D 上的可测函数,λ是实数,当,ff g g±几乎处处有定义的时候,有,,,,ff f fg f g gλ⋅±都是可测集合D 上的可测函数. 证明:对于R α∀∈{},00,,0D f αλλαα<⎧=>=⎨Φ≥⎩;{}0,f f αλλαλ⎧⎫>>=>∈Ω⎨⎬⎩⎭;{}0,f f αλλαλ⎧⎫<>=<∈Ω⎨⎬⎩⎭ {}{}{},0,0D f f f ααααα<⎧⎪>=⎨><-∈Ω≥⎪⎩{}{}{}1n n n f g fr g r αα∞=+>=>>-∈Ω⎡⎤⎣⎦因为g 可测,则g -可测,因此f g -可测.{}{{2,0D f f f ααα<⎧⎪>=⎨><-∈Ω⎪⎩()()2214f g f g f g ⎡⎤⋅=+--⎣⎦{}{}{}{}10,010,010,0g g g g g g g αααααα⎧⎧⎫><>⎨⎬⎪⎩⎭⎪⎧⎫⎪>=>-=+∞=⎨⎬⎨⎩⎭⎪⎧⎫⎪><<⎨⎬⎪⎩⎭⎩因此fg也可测. 第四章习题1、设f 非负且()()⎰=∞<∈Dfdx D m D L f 0,,,求证()x f 在D 上几乎处处为零.证明:{}11n f o f n ∞=⎧⎫>=≥⎨⎬⎩⎭1111100Ef f n n fdx fdx dx m f n n n ⎧⎫⎧⎫≥≥⎨⎬⎨⎬⎩⎭⎩⎭⎛⎫⎧⎫=≥≥=≥≥⎨⎬ ⎪⎩⎭⎝⎭⎰⎰⎰ 10m f n ⎛⎫⎧⎫∴≥=⎨⎬ ⎪⎩⎭⎝⎭{}(){}()111100n n m f o m f m f n n m f o ∞∞==⎛⎫⎛⎫⎧⎫⎧⎫≤>=≥≤≥=⎨⎬⎨⎬ ⎪ ⎪⎩⎭⎩⎭⎝⎭⎝⎭∴>=∑ 所以()x f 在D 上几乎处处为零2、设()f L E ∈,求证:{}()0k mfk ⋅>→.证明:()()Ef L E f L E f dx ∈⇔∈⇒<+∞⎰()()Ef L E f L E f dx ∈⇔∈⇒<+∞⎰{}{}{}()Ef k f k C f dx f dx kdx k mfk >>=≥≥=⋅>⎰⎰⎰{}()()00Cmfk k k≤>≤→→∞ 因为()f L E ∈,则由积分的绝对连续性可知,对于0,0,εδ∀>∃>对于,A E ∀⊂ 当()m A δ<,有Af dx ε<⎰因为{}()()0mfk k >→→∞,则由极限定义可知对于上述的0δ>,存在正整数,N当,k N >时,有{}()mfk δ><因此对于0,ε∀>存在正整数,N 当k N >时,有{}(){}f k k mfk f dx ε>⋅>≤<⎰3、设(),m D <∞(){}1n n f x ≥是可测集合D 上的几乎处处有限的可测函数列,求证:为了使得()0n f x ⇒充要条件是()()()01n Dn f x dx n f x →→∞+⎰.证明:必要性 因为()0n f x ⇒,所以()()01n n f x f x ⇒+又因为()()()01,111n Dn f x dx m D f x ≤<=⋅<+∞+⎰,所以()()()1n n f x L D f x ∈+根据控制收敛定理可知:()()lim001n DDn n f x dx dx f x →∞==+⎰⎰充分性:因为()()()01n Dn f x dx n f x →→∞+⎰,所以()()01n n f x f x ⇒+如果()()01n n f x f x +不依测度收敛于,则{}{}000,0,,j n n εδ∃>∃>∃⊂对于任意的1j ≥,有()()001j j n n f x m f x δε⎛⎫⎧⎫⎪⎪ ⎪≥≥⎨⎬ ⎪+ ⎪⎪⎪⎩⎭⎝⎭而()()()()000011j n j n j j n f x Df x n f x dx dx f x δδδε⎧⎫⎪⎪≥⎨⎬+⎪⎪⎩⎭≥=⋅+⎰⎰与()()()01n Dn f x dx n f x →→∞+⎰矛盾因此()()01n n f x f x ⇒+,()()()1110111n n n f x f x f x -=⇒-=++()()00n n f x f x ∴⇒⇔⇒7、设()()()',00,0f L R f f ∈=存在且有限,求证:()()f x L R x∈. 证明:设()'0fA =,即()()()00limlim 0x x f x f f x A x x→→-==-, 由局部有界定理知,存在0,δ>当x δ<时,()1f x A x≤+, 令(),E δδδ=-,则常数函数()1,A L E δ+∈ 从而()()()()f x f x L E L E x xδδ∈⇔∈ 在R E δ-上,()()f x f x xδ≤,()()()f x f L R L R E δδ∈⇒∈-,从而()()f x L R E xδ∈- 因此()()f x L R x∈ .。