实变函数试题库(5)及参考答案
- 格式:docx
- 大小:278.23 KB
- 文档页数:6
《实变函数》试题库及参考答案(完整版)选择题1,下列对象不能构成集合的是:( )A 、全体自然数B 、0,1 之间的实数全体C 、[0, 1]上的实函数全体D 、全体大个子2、下列对象不能构成集合的是:( )A 、{全体实数}B 、{全体整数}C 、{全体小个子}D 、{x :x>1}3、下列对象不能构成集合的是:( )A 、{全体实数}B 、{全体整数}C 、{x :x>1}D 、{全体胖子}4、下列对象不能构成集合的是:( )A 、{全体实数}B 、{全体整数}C 、{x :x>1}D 、{全体瘦子}5、下列对象不能构成集合的是:( )A 、{全体小孩子}B 、{全体整数}C 、{x :x>1}D 、{全体实数}6、下列对象不能构成集合的是:( )A 、{全体实数}B 、{全体大人}C 、{x :x>1}D 、{全体整数}7、设}1:{ααα≤<-=x x A , I 为全体实数, 则ααA I∈⋃= ( ) A 、(-1, 1) B 、(-1, 0) C 、(-∞, +∞) D 、(1,+∞)8、设}1111:{ix i x A i -≤≤+-=, N i ∈, 则i i A ∞=⋃1= ( ) A 、(-1, 1) B 、(-1, 0) C 、[0, 1]D 、[-1, 1]9、设}110:{ix x A i +≤≤=, N i ∈, 则i i A ∞=⋂1= ( ) A 、(0, 1) B 、[0, 1] C 、[0, 1] D 、(0, +∞)10、设}1211:{ix i x A i +<<-=, N i ∈, 则i i A ∞=⋃1= ( ) A 、[1, 2] B 、(1, 2) C 、 (0, 3) D 、(1, 2)11、设}23:{+≤≤=i x i x A i , N i ∈, 则i i A ∞=⋂1= ( ) A 、(-1, 1) B 、[0, 1] C 、Φ D 、{0}12、设}11:{ix i x A i <<-=, N i ∈, 则i i A ∞=⋂1= ( ) A 、(-1, 1) B 、[0, 1] C 、Φ D 、{0}13、设]1212,0[12--=-n A n , ]211,0[2nA n +=, N n ∈,则=∞→n n A lim ( )A 、[0, 2]B 、[0, 2]C 、[0, 1]D 、[0, 1]14、设]1212,0[12--=-n A n , ]211,0[2nA n +=, N n ∈, 则=∞→n n A lim ( ) A 、[0, 2]B 、[0, 2]C 、[0, 1]D 、[0,1]15、设),0(n A n =, N n ∈, 则=∞→n n A lim ( )A 、ΦB 、[0, n]C 、RD 、(0, ∞)16、设)1,0(nA n =, N n ∈, 则=∞→n n A lim ( ) A 、(0, 1)B 、(0, n1) C 、{0} D 、Φ 17、设)1,0(12nA n =-, ),0(2n A n =, N n ∈, 则=∞→n n A lim ( )A 、ΦB 、(0, n1) C 、(0, n) D 、(0, ∞) 18、设)1,0(12nA n =-, ),0(2n A n =, N n ∈, 则=∞→n n A lim ( ) A 、ΦB 、(0, n1) C 、(0, n) D 、(0, ∞) 19、设A 、B 、C 是三个集合, 则A-(A-B)= ( )A 、B B 、AC 、A ⋂BD 、A ⋃B20、设A 、B 、C 是三个集合, 则A-(B ⋃C)= ( )A 、(A-B)⋂(A-C)B 、(A-B)⋃(A-C)C 、A ⋂BD 、A ⋂C21、设A 、B 、C 是三个集合, 则A-(B ⋂C)= ( )A 、(A-B)⋂(A-C)B 、(A-B)⋃(A-C)C 、A ⋂BD 、A ⋂C22、设A 、B 、S 是三个集合, 且S A ⊂, S B ⊂, 则)(B A C s -= ( )A 、BC A C s s ⋃ B 、B C A C s s ⋂ C 、B A C s ⋃D 、B A C s ⋂23、设A 、B 、S 是三个集合, 且S A ⊂, S B ⊂, 则)(B A C s ⋃= ( )A 、BC A C s s ⋃ B 、B C A C s s ⋂ C 、B A C s ⋃D 、B C A s ⋃24、设A 、B 、C 是三个集合, 则A-(B-C) = ( )A 、 A ⋃C-B B 、 A-B-C C 、 (A-B)⋃(A ⋂C)D 、 C-(B-A)25、集合E 的全体内点所成的集合称为E 的 ( )A 、开核B 、边界C 、导集D 、闭包26、集合E 的全体聚点所成的集合称为E 的 ( )A 、开核B 、边界C 、导集D 、闭包27、集合E 的全体边界点和内点所成的集合是E 的 ( )A 、开核B 、边界C 、导集D 、闭包28、E-E '所成的集合是 ( )A 、开核B 、边界C 、外点D 、{E 的全体孤立点}29、E 的全体边界点所成的集合称为E 的 ( )A 、开核B 、边界C 、导集D 、闭包30、设点P 是集合E 的边界点, 则 ( )A 、P 是E 的聚点B 、P 是E 的孤立点C 、P 是E 的内点D 、P 是CE 的边界点31、设)3,2()1,0(⋃=G , 则下列那一个是G 的构成区间: ( )A 、(0, 1)B 、(21, 1) C 、[0, 1] D 、(0, 2) 32、设)1,0(1=G , )2,21()0,1(2⋃-=G 21G G G ⋃=, 则下列那一个是G 的构成区间: ( )A 、(0, 1)B 、(0, 2)C 、(-1, 21) D 、(-1, 2) 33、设)4,0(1=G , )4,3()1,0(2⋃=G 21G G G ⋃=, 则下列那一个是G 的构成区间: ( )A 、(0, 1)B 、(3, 4)C 、(0, 4)D 、 (1, 4)34、设)1,0(1=G , )4,3()2,1(2⋃=G 21G G G ⋃=, 则下列那一个是G 的构成区间: ( )A 、(0, 1)B 、(0, 3)C 、(0, 4)D 、(1, 4)35、设)2,0(1=G , )4,3()2,1(2⋃=G 21G G G ⋃=, 则下列那一个是G 的构成区间: ( )A 、(0, 1)B 、(0, 2)C 、(1, 2)D 、(1, 4)36、设)2,1()1,0(1⋃=G , )23,21()0,1(2⋃-=G 21G G G ⋃=, 则下列那一个是G 的构成区间: ( )A 、(21, 23) B 、(1, 2) C 、(0, 1) D 、(-1, 0) 37、若B A ⊂ ,则下列命题错误的是: ( )A 、B A ⊂ B 、A '⊂B 'C 、B A ∂⊂∂D 、B A ⊂38、若C B A =⋃, 则下列命题正确的是:( )A 、 CB A =⋃ B 、 A '⋃B '=C ' C 、C B A ∂=∂⋃∂D 、{A 的孤立点}⋃{B 的孤立点}={C 的孤立点}39、若C B A =⋂, 则下列命题错误的是:( )A 、 CB A =⋂ B 、C '⊂ A '⋂B ' C 、C B A =⋂D 、{A 的孤立点}⋂{B 的孤立点}={C 的孤立点}40、设CA 是A 的余集,则下列命题正确的是:( )A 、 )()(CA A C =B 、)(CA A ∂=∂C 、C(A ')=(CA )'D 、CA A C =)(41、设A -B=C, 则下列命题正确的是:( )A 、CB A ∂=∂-∂ B 、C B A =- C 、A '-B '=C 'D 、{A 的孤立点}-{B 的孤立点}={C 的孤立点}42、 (2-4-1-2) 下列命题错误的是:( )A 、A 是闭集B 、A '是闭集C 、A ∂是闭集D 、 A 是闭集43、若A 是闭集,B 是开集,则A -B 是:( )A 、开集B 、闭集C 、既非开集又非闭集D 、无法判断 44、若A 是开集,B 是闭集,则A -B 是:( )A 、开集B 、闭集C 、既非开集又非闭集D 、无法判断 45、若}{n A 是一开集列,则n n A ∞=⋃1是:( )A 、开集B 、闭集C 、既非开集又非闭集D 、无法判断 46、若}{n A 是一开集列,则n n A ∞=⋂1是:( )A 、开集B 、闭集C 、既非开集又非闭集D 、无法判断 47、若}{n A 是一闭集列,则n n A ∞=⋃1是:( )A 、开集B 、闭集C 、既非开集又非闭集D 、无法判断 48、若}{n A 是一闭集列,则n n A ∞=⋂1是:( )A 、开集B 、闭集C 、既非开集又非闭集D 、无法判断 49、若]1,0[ QE =,则=mE ( )A 、0B 、1C 、2D 、350、下述结论( )正确.A 、E m E m **>B 、E m E m *≥*C 、E m E m **<D 、E m E m **≤51、下列说法正确的是( )A 、x x f 1)(=在(0,1)有限B 、x x f 1)(=在)1,21(无界 C 、⎪⎩⎪⎨⎧=∞+∈=0,]1,0(,1)(x x x x f ,在[0,1]有限 D 、⎪⎩⎪⎨⎧=∈=0,1]1,0(,1)(x x x x f ,在[0,1]有界 52、函数列n n x x f =)(在[0,1]上( )于0.A 、a ,e 一致收敛B 、收敛C 、一致收敛D 、基本上一致收敛53、设E 是[0,1]中的不可测集,⎩⎨⎧-∈-∈=Ex E x x f ]1,0[,1,1)( 则下列函数在[0,1]上可测的是( ).A 、)(x fB 、)(x f +C 、|)(|x fD 、)(x f -54、若)(x f 可测,则它必是( ).A 、连续函数B 、单调函数C 、简单函数D 、简单函数列的极限55、若Q E -=]1,0[,则=mE ( )A 、0B 、1C 、2D 、356、下列说法不正确的是( )A 、E 的测度有限,则E 必有界B 、E 的测度无限,则E 必无界C 、有界点集的测度有限D 、n R 的测度无限57、(4-4-2-1)下述论断正确的是( )A 、x x f tg )(=在)4,0(π无界 B 、⎪⎩⎪⎨⎧=∞+∈=2,)2,0[,tg )(ππx x x x f 在]2,0[π有限 C 、⎪⎩⎪⎨⎧=∈=2,1)2,0[,tg )(ππx x x x f 在]2,0[π有界 D 、x x f tg )(=在)2,0(π有限58、函数列n n x x f )21()(=在[0, 2]上( )于0. A 、收敛 B 、一致收敛 C 、基本上一致收敛 D 、a.e.一致收敛59、设⎩⎨⎧-∈-∈=E x x E x x x f ]1,0[,,)(其中E 是[0,1]的不可测集,则下列函数在[0, 1]可测的是( ).A 、|)(|x fB 、)(x fC 、)(x f +D 、)(x f -60、一个函数在其定义域中的( )点处都是连续的.A 、边界点B 、内点C 、聚点D 、孤立点.61、0P 是康托尔(cantor )集,则=0mP ( )A 、0B 、1C 、2D 、362、设A 是B 的真子集,则( )A 、B m A m **< B 、B m A m **≤C 、B m A m **>D 、B m A m **≥63、下列说法正确的是( )A 、x x f ctg )(=在)2,4(ππ无界 B 、⎪⎩⎪⎨⎧=∞+∈=0,]2,0(ctg )(x x x x f π在]2,0[π有限 C 、⎪⎩⎪⎨⎧=∈=0,1]2,0(ctg )(x x xx f π在]2,0[π有界 D 、x x f ctg )(=在)2,0(π有限64、函数列n n n x x f 2)(=在]21,0[上( )于0. A 、收敛 B 、一致收敛、 C 、基本上一致收敛 D 、a. e.一致收敛65、设E 是[0, 1]上的不可测集,⎩⎨⎧-∈-∈=E x xE x x x f ]1,0[)(22则下列函数在[0, 1]可测的是( ). A 、)(x f B 、)(x f + C 、|)(|x f D 、)(x f -66、设E 为可测集,则下列结论中正确的是( )A 、若)}({x f n 在E 上a , e 收敛于一个a , e 有限的可测函数)(x f ,则)(x f n 一致收敛于)(x fB 、若)}({x f n 在E 上a , e 收敛于一个a , e 有限的可测函数)(x f ,则)(x f n 基本上一致收敛于)(x fC 、若)}({x f n 在E 上a , e 收敛于一个a , e 有限的可测函数)(x f ,则)(x f n ⇒)(x fD 、若)}({x f n 在E 上基本上一致收敛于)(x f ,则)(x f n a , e 收敛于)(x f67、G 表示康托尔(cantor )集在[0,1]中的余集,则mG=( )A 、0B 、1C 、2D 、368、设21,S S 都可测,则21S S ( )A 、可测B 、不可测C 、可能可测也可能不可测D 、以上都不对69、下列说法正确的是( )A 、x x f sec )(=在)4,0(π上无界 B 、x x f sec )(=在)4,0(π上有限C 、⎪⎩⎪⎨⎧=∞+∈=2)2,0[sec )(ππx x x x f 在]2,0[π上有限 D 、⎪⎩⎪⎨⎧=∈=21)2,0[sec )(ππx x x x f 在]2,0[π上有界 70、函数列n n n x x f 3)(=在]31,0[上( )于0 A 、收敛 B 、一致收敛 C 、基本上一致收敛 D 、a. e.一致收敛71、设⎩⎨⎧-∈∈-=Ex x E x x x f ]1,0[,,)(33,其中E 是[0, 1]上的不可测集,则( )在[0, 1]可测.A 、)(x f 、B 、)(x f +C 、)(x f -D 、|)(|x f72、关于连续函数与可测函数,下列论述中正确的是( )A 、它们是同一概念B 、a , e 有限的可测函数是连续函数C 、a , e 有限的可测函数是基本上连续的函数D 、a , e 有限的可测函数是a , e 连续的函数73、()=-)2,1()1,0( m ( )A 、1、B 、2C 、3D 、474、A 可测,B 是A 的真子集,则( )A 、mB mA ≥ B 、B m mA *≥C 、B m mA *=D 、以上都不对75、下列说法正确的是( )A 、21)(x x f =在(0, 1)有限、B 、21)(xx f =在]1,21[无界 C 、⎪⎩⎪⎨⎧=∞+∈=0,]1,0(,1)(2x x x x f 在[0, 1]有限 D 、⎪⎩⎪⎨⎧=∈=1,1]1,0(,1)(2x x x x f 在[0, 1]有界76、函数列x x f n n sin )(=在]2,0[π上( )于0.A 、收敛B 、基本上一致收敛C 、一致收敛D 、a. e.一致收敛77、设⎩⎨⎧-∈∈-=Ex x E x x x f ]1,0[,,)(22其中E 是[0, 1]上的不可测集,则( )在[0, 1]上是可测的.A 、|)(|x fB 、)(x fC 、)(x f +D 、)(x f -78、关于简单函数与可测函数下述结论不正确的是( )A 、简单函数一定是可测函数B 、简单函数列的极限是可测函数C 、简单函数与可测函数是同一概念D 、简单函数列的极限与可测函数是同一概念79、()=-]3,2()1,1[ m ( )A 、1B 、2C 、3D 、480、L 可测集类,对运算( )不封闭.A 、可数和B 、有限交C 、单调集列的极限D 、任意和.81、下列说法正确的是( )A 、31)(x x f =在)1,21(无界B 、31)(xx f =在)1,0(有限C 、⎪⎩⎪⎨⎧=∞+∈=0]1,0(1)(3x x x x f 在[0, 1]有限D 、⎪⎩⎪⎨⎧=∈=01]1,0(1)(3x x x x f 在[0, 1]有界82、函数列x x f n n cos )(=在]2,0[π上( )于0.A 、基本一致收敛B 、收敛C 、一致收敛D 、a. e.一致收敛83、设E 是]2,0[π中的不可测集,⎪⎩⎪⎨⎧-∈-∈=E x x E x x x f ]2,0[,sin ,sin )(π 则下列函数在]2,0[π上可测的是( ).A 、)(x fB 、|)(|x fC 、)(x f +D 、)(x f -84、关于依测度收敛,下列说法中不正确的是( )A 、依测度收敛不一定一致收敛B 、依测度收敛不一定收敛C 、若)}({x f n 在E 上 a.e.收敛于 a.e.有限的可测函数)(x f ,则)()(x f x f n ⇒D 、若)()(x f x f n ⇒,则存在子列)}({x f i n a. e.收敛于)(x f85、设)(x f 是可测集E 上的非负可测函数,则)(x f ( )A 、必可积B 、必几乎处处有限C 、必积分确定D 、不一定积分确定86、设)(x f 在可测集E 上可积,则在E 上( )A 、)(x f +与)(x f -只有一个可积B 、)(x f +与)(x f -皆可积C 、)(x f +与)(x f -不一定可积D 、)(x f +与)(x f -至少有一个不可积87、设0=mE (Φ≠E ),)(x f 是E 上的实函数,则下面叙述正确的是( )A 、)(x f 在E 上不一定可测B 、)(x f 在E 上可测但不一定可积C 、)(x f 在E 上可积且积分值为0D 、)(x f 在E 上不可积88、)(x f 在可测集E 上)(L 可积的必要条件是,)(x f 为( )A 、连续函数B 、几乎处处连续函数C 、单调函数D 、几乎处处有限的可测函数89、设)(x D 为狄立克雷函数,则⎰=10)()(dx x D L ( ) A 、 0 B 、 1 C 、1/2 D 、不存在90、设)(x f 为Cantor 集的特征函数,则⎰=10)()(dx x f L ( ) A 、 0 B 、 1/3 C 、2/3 D 、 1填空题1、设A 为一集合,B 是A 的所有子集构成的集合;若A =n, 则B =2、设A 为一集合,B 是A 的所有子集构成的集合;若A 是一可数集, 则B =3、若c A =, c B =, 则=⋃B A4、若c A =, B 是一可数集, 则=⋃B A5、若c A =, n B =, 则=⋃B A6、若}{n A 是一集合列, 且c A n =, =⋃∞=n n A 1 7、若I A ∈αα}{是任意集族, 其中I 是指标集, 则ααA I∈⋂=8、若I A ∈αα}{是任意集族, 其中I 是指标集, 则ααA I∈⋃= 9、若I A ∈αα}{是任意集族, 其中I 是指标集, S 是一集合, 则)(ααA C IS ∈⋂= 10、若I A ∈αα}{是任意集族, 其中I 是指标集, S 是一集合, 则)(ααA C IS ∈⋃= 11、若}{n A 是任意一个集合列, 则=∞→n n A lim 12、若}{n A 是任意一个集合列, 则=∞→n n A lim13、欧氏空间n R 中, 任意两点),,(21n x x x x =, ),,(21n y y y y =的距离d(x, y)=14、C[a, b]空间中,任意两元素x(t), y(t) 的距离 d(x, y)= 15、2l 空间中, 任意两元素 ),,,(21 n x x x x =, ),,(21 n y y y y =的距离 d(x, y)=16、欧氏空间2R 中, 任意两点),(21x x x =, ),(21y y y =的距离 d(x, y)=17、欧氏空间3R 中, 任意两点),,(321x x x x =, ),,(321y y y y =的距离d(x, y)=18、欧氏空间4R 中, 任意两点),,,(4321x x x x x =, ),,,(4321y y y y y =的距离d(x,y)=19、设2R X =,}1:),{(22<+=y x y x E ,则E =20、设3R X =, }1:),,{(222<++=z y x z y x E , 则E =21、设2R X =,}1:),{(22<+=y x y x E ,则E ∂=22、设2R X =,}1:),{(22<+=y x y x E ,则E '=23、设3R X =, }1:),,{(222<++=z y x z y x E , 则 E ∂=24、设3R X =, }1:),,{(222<++=z y x z y x E , 则E '=25、设A= [0, 1] , B = [3, 4] , 则 d(A, B) =26、设C 是康托完备集, G= [0, 1]-C , 则d (C, G) =27、设C 是康托完备集, 则C 的半径)(C δ=28、两个非空集合A, B 距离的定义为 d (A, B ) =29、一个非空集合A 的直径的定义为)(A δ=30、设A = [0, 1] ⋂Q, 则)(A δ=31、n R E ⊂,对每一列覆盖E 的开区间 ∞=⊃1i i E I ,定义=E m *________。
实变函数本科试题及答案一、选择题(每题5分,共20分)1. 实变函数论主要研究的是:A. 数学分析B. 复变函数C. 函数的实值性D. 函数的连续性答案:C2. 以下哪个命题是实变函数论中的基本定理?A. 中值定理B. 泰勒公式C. 勒贝格控制收敛定理D. 柯西-施瓦茨不等式答案:C3. 勒贝格积分与黎曼积分的主要区别在于:A. 定义方式B. 积分值C. 积分对象D. 积分方法答案:A4. 若函数f在区间[a,b]上连续,则以下哪个命题一定成立?A. f在[a,b]上可积B. f在[a,b]上可微C. f在[a,b]上单调D. f在[a,b]上一致连续答案:A二、填空题(每题5分,共20分)1. 若函数f在区间[a,b]上处处有定义,则f在[a,b]上是______的。
答案:有界2. 函数f(x)=x^2在区间[0,1]上的勒贝格积分值为______。
答案:1/33. 勒贝格积分的一个重要性质是______。
答案:可加性4. 若函数f在区间[a,b]上单调增加,则f在[a,b]上是______的。
答案:可积三、简答题(每题10分,共30分)1. 简述实变函数论与复变函数论的主要区别。
答案:实变函数论主要研究实数域上的函数,关注的是函数的实值性质,如连续性、可积性等。
而复变函数论研究的是复数域上的函数,关注的是函数的解析性质,如解析延拓、复积分等。
2. 描述勒贝格积分的定义过程。
答案:勒贝格积分的定义过程首先将积分区间划分为若干子区间,然后选择每个子区间上的样本点,计算函数在这些样本点上的值与子区间长度的乘积之和,最后取这个和的极限,当这个极限存在时,就定义为函数的勒贝格积分。
3. 举例说明实变函数论在数学分析中的应用。
答案:实变函数论在数学分析中的应用非常广泛,例如在研究函数的极限性质、连续性、可微性和可积性等方面都有重要应用。
一个具体的例子是勒贝格控制收敛定理,它在处理函数序列的极限问题时非常有用,特别是在概率论和统计学中,勒贝格积分被用来定义随机变量的期望值。
实变函数试题库(5)及参考答案实变函数试题库及参考答案(5)本科一、填空题1.设,A B 为集合,则___(\)A B B A A2.设nE R ?,如果E 满足0E E =(其中0E 表示E 的内部),则E 是3.设G 为直线上的开集,若开区间(,)a b 满足(,)a b G ?且,a G b G ??,则(,)a b必为G 的4.设{|2,}A x x n n ==为自然数,则A 的基数a (其中a 表示自然数集N 的基数) 5.设,A B 为可测集,B A ?且mB <+∞,则__(\)mA mB m A B -6.设()f x 是可测集E 上的可测函数,则对任意实数,()a b a b <,都有[()]E x a f x b <<是7.若()E R ?是可数集,则__0mE 8.设{}()n f x 为可测集E上的可测函数列,()f x 为E 上的可测函数,如果.()()()a en f x f x x E →∈,则()()n f x f x ?x E ∈(是否成立)二、选择题1、设E 是1R 中的可测集,()x ?是E 上的简单函数,则()(A )()x ?是E 上的连续函数(B )()x ?是E 上的单调函数(C )()x ?在E 上一定不L 可积(D )()x ?是E 上的可测函数 2.下列集合关系成立的是()(A )()()()A B C A B A C = (B )(\)A B A =? (C )(\)B A A =? (D )A B A B ?3. 若()nE R ?是闭集,则()(A )0E E = (B )E E = (C )E E '? (D )E E '=三、多项选择题(每题至少有两个以上的正确答案)1.设{[0,1]}E =中的有理点,则()(A )E 是可数集(B )E 是闭集(C )0mE = (D )E 中的每一点均为E 的内点2.若()E R ?的外测度为0,则()(A )E 是可测集(B )0mE =(C )E 一定是可数集(D )E 一定不是可数集3.设mE <+∞,{}()n f x 为E 上几乎处处有限的可测函数列,()f x 为E 上几乎处处有限的可测函数,如果()(),()n f x f x x E ?∈,则下列哪些结果不一定成立()(A )()Ef x dx ?存在(B )()f x 在E 上L -可积(C ).()()()a en f x f x x E →∈(D )lim ()()n EEn f x dx f x dx →∞=??4.若可测集E 上的可测函数()f x 在E 上有L 积分值,则()(A )()()f x L E +∈与()()f x L E -∈至少有一个成立(B )()()f x L E +∈且()()f x L E -∈ (C )|()|f x 在E 上也有L -积分值(D )|()|()f x L E ∈四、判断题1. 可列个开集的交集仍为开集()2. 任何无限集均是可列集()3. 设E 为可测集,则一定存在F σ集F ,使F E ?,且()\0m E F =. ()4. 设E 为零测集,则()f x 为E 上的可测函数的充要条件是:?实数a 都有()E x f x a ?≥是可测集()五、定义题1. 可测函数列几乎处处收敛、依测度收敛和近一致收敛的关系?2. 可测集E 上的可测函数与连续函数有什么关系?3.[],a b 上的绝对连续函数与有界变差函数有什么关系?六、计算题 1. 设()[][]101001x D x x ??=为,上的有理点为,上的无理点,求()[]01D x dx ?,.2. 求()0ln limcos xn x n e xdx n+∞-→∞+?.七、证明题1.设nE R ?是有界集,则*m E <+∞2.1R 上的实值连续函数()f x 是可测函数3.设mE <+∞,函数()f x 在E 上有界可测,则()f x 在E 上L -可积,从而[,]a b 上的连续函数是L -可积的4.设()n f x (1,2,n = )是E 上的L -可积函数,如果lim|()|0nn E n f x dx →∞=?,则()0n f x ?实变函数试题库及参考答案(2)本科一、填空题1.=2.开集3.构成区间4.=5.=6.可测集7.=8.不一定成立二、单选题 1.D 2.A 3.B 三、多选题1.AC2.AB3.ABCD4.AD 四、判断题××√√ 五、定义题1.答:设()(),n f x f x 是可测集E 上的一列可测函数,那当mE <+∞时,()(),.n f x f x a e →于E ,必有()()n f x f x ?. 反之不成立,但不论mE <+∞还是mE =+∞,(){}nf x 存在子列(){}kn f x ,使()(),.k n f x f x a e →于E .当mE <+∞时,()(),.n f x f x a e →于E ,由Egoroff 定理可得()n f x 近一致收敛于()f x ,反之,无需条件mE <+∞,结论也成立.2.答:E 上连续函数必为可测函数但E 上的可测函数不一定时连续函数,E 上可测函数在E 上是“基本上”连续的函数3.答:绝对连续函数必为有界变差函数但有界变差函数不一定为绝对连续函数六、解答题1.证明记1E 是[]0,1中有理数集,2E 是[]0,1中无理数集,则[]12120,1,E E E E ==? ,120,1mE mE ==,且()1210EE D x χχ=+,所以()[]120,1100D x dx mE mE=+=?.2.解易知()ln limcos 0xn x n e x n-→∞+= 对任意0,1x n ≥≥,()()ln ln cos x x n x n e x n n-++≤ 设()ln ()x y f y y+=,0y >,则()2ln ()yx y x yf y y -++'=,当3y ≥时,()1ln yx y x y<<++,()0f y '<. 则()ln ()x n f n n+=是单调减函数且非负(3n ≥);又()ln 1limlim 0n n x n n x n→∞→∞+==+,由Levi 单调收敛定理得()()000ln ln lim lim 00n n x n x n dx dx dx n n +∞+∞+∞→∞→∞++===?,即()ln ()x n L E n+∈,再由Lebsgue 控制收敛定理得()()000ln ln lim cos lim cos 00x xn n x n x n e xdx e xdx dx n n+∞+∞+∞--→∞→∞++===?七、证明题1..证明因为E 是有界集,所以存在开区间I ,使E I ?由外测度的单调性,**m E m I ≤,而*||m I I =<+∞(其中||I 表示区间I 的体积),所以 *m E <+∞2.证明因为()f x 连续,所以对任何实数a ,{|()}x f x a >是开集,而开集为可测集,因此()f x 是可测函数3.证明因为()f x 在E 上有界可测,所以存在0M >,使|()|f x M <,x E ∈,|()|f x 是非负可测函数,由非负可测函数的积分单调性,|()|EEf x dx Mdx M mE <=?<+∞??故|()|f x 在E 上L -可积,从而()f x 在E 上L -可积因为[,]a b 上的连续函数是有界可测函数,所以L -可积的4.证明对任何常数0σ>,[|()|][|()|]|()|n n n E x f x mE x f x f x dx σσσ≥?≥≤所以 [|()|]1[|()|]|()|n n n E x f x mE x f x f x dx σσσ≥≥≤1|()|0()nEfx dx n σ≤→→∞?因此 ()0n f x ?。
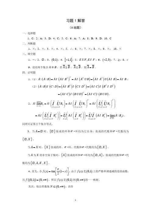
习题1解答(A 组题)一、选择题1、C ;2、A ;3、D ;4、C ;5、C ;6、A ;7、A ;8、B ;9、D ;10、C 二、判断题1、×;2、×;3、×;4、×;5、√;6、×;7、×;8、×;9、×; 10、× 三、填空题1、=;2、∅;3、()0,1;4、[]1,1-;5、,EF EF ;6、()2,3-;7、≥;8、c9、设有两个集合A 和B ,若≤A B ,≥A B ,则=A B 。
四、证明题1、(1)()()()()()\\====C C CC A A B A A B AAB A A AB A B ;(2)()()()()()()\\==C C CC A B CD A B CD A C B D()()()()\==CA C BD A C BD 。
2、111\lim \∞∞∞∞∞∞→∞======⎛⎫⎛⎫⎛⎫⎛⎫=== ⎪ ⎪ ⎪ ⎪ ⎪⎝⎭⎝⎭⎝⎭⎝⎭C Cn n n n n N n N N n N N n N A B A B A B AB ()111lim(\)∞∞∞∞∞∞→∞======⎛⎫⎛⎫⎛⎫⎛⎫==== ⎪ ⎪ ⎪ ⎪⎝⎭⎝⎭⎝⎭⎝⎭C C C n n n n n N n N N n N N n N A B A B A B A B 。
同理可证第2个集合等式。
3、当A =∅时,{}∅张成的环和σ-环均为它自身;张成的代数和σ-代数均为{},X ∅。
当A X =时,{}X张成的环、σ-环、代数和σ-代数均为{},X ∅。
当A 为X 的非空真子集时,{}A 张成的环和σ-环均为{},A ∅;张成的代数和σ-代数均为{},,,cA A X∅。
4、首先,令()()tan 12π⎡⎤=-⎢⎥⎣⎦f x x ,由于()f x 是()0,1上的严格单调递减的连续函数,且()()()0,10,=+∞f,所以()f x 是()0,1到()0,+∞的一一映射。
《实变函数》试卷一一、单项选择题(3分×5=15分) 1、下列各式正确的是( )(A )1lim n k n n k n A A ∞∞→∞===⋃⋂; (B )1lim n k n k n n A A ∞∞==→∞=⋂⋃;(C )1lim n k n n k nA A ∞∞→∞===⋂⋃; (D )1lim n k n k nn A A ∞∞==→∞=⋂⋂;2、设P 为Cantor 集,则下列各式不成立的是( ) (A )=P c (B) 0mP = (C) P P ='(D) P P =3、下列说法不正确的是( )(A) 凡外侧度为零的集合都可测(B )可测集的任何子集都可测(C) 开集和闭集都是波雷耳集 (D )波雷耳集都可测 4、设{}()n f x 是E 上的..a e 有限的可测函数列,则下面不成立的是( )(A )若()()n f x f x ⇒, 则()()n f x f x → (B){}sup ()n nf x 是可测函数(C ){}inf ()n nf x 是可测函数;(D )若()()n f x f x ⇒,则()f x 可测5、设f(x)是],[b a 上有界变差函数,则下面不成立的是( )(A) )(x f 在],[b a 上有界 (B) )(x f 在],[b a 上几乎处处存在导数(C ))('x f 在],[b a 上L 可积 (D)⎰-=b aa fb f dx x f )()()('二. 填空题(3分×5=15分)1、()(())s s C A C B A A B ⋃⋂--=_________2、设E 是[]0,1上有理点全体,则'E =______,oE =______,E =______.3、设E 是n R 中点集,如果对任一点集T 都_________________________________,则称E 是L 可测的 4、)(x f 可测的________条件是它可以表成一列简单函数的极限函数.(填“充分”,“必要”,“充要”)5、设()f x 为[],a b 上的有限函数,如果对于[],a b 的一切分划,使_____________________________________,则称()f x 为[],a b 上的有界变差函数。
实变函数测试题一,填空题1. 设1,2n A n ⎡⎤=⎢⎥⎣⎦,1,2n = ,则lim n n A →∞= . 2. ()(),,a b -∞+∞ ,因为存在两个集合之间的一一映射为 .3. 设E 是2R 中函数1cos ,00,0x y x x ⎧≠⎪=⎨⎪ =⎩的图形上的点所组成的集合,则E '= ,E ︒= .4. 若集合nE R ⊂满足E E '⊂, 则E 为 集.5. 若(),αβ是直线上开集G 的一个构成区间, 则(),αβ满足:, .6. 设E 使闭区间[],a b 中的全体无理数集, 则mE = .7. 若()n mE f x →()0f x ⎡⎤=⎣⎦, 则说{}()n f x 在E 上.8. 设nE R ⊂, 0nx R ∈,若 ,则称0x 是E 的聚点.9. 设{}()n f x 是E 上几乎处处有限的可测函数列, ()f x 是E 上 几乎处处有限的可测函数, 若0σ∀>, 有, 则称{}()n f x 在E 上依测度收敛于()f x .10. 设()()n f x f x ⇒,x E ∈, 则∃{}()n f x 的子列{}()j n f x , 使得 .二, 判断题. 正确的证明, 错误的举反例. 1. 若,A B 可测, A B ⊂且A B ≠,则mA mB <. 2. 设E 为点集, P E ∉, 则P 是E 的外点.3. 点集11,2,,E n ⎧⎫=⎨⎬⎩⎭ 的闭集.4. 任意多个闭集的并集是闭集.5. 若nE R ⊂,满足*m E =+∞, 则E 为无限集合.三, 计算证明题1. 证明:()()()A B C A B A C --=-2. 设M 是3R 空间中以有理点(即坐标都是有理数)为中心, 有理数为半径的球的全体, 证明M 为可数集.3. 设nE R ⊂,i E B ⊂且i B 为可测集, 1,2i = .根据题意, 若有()()*0,i m B E i -→ →∞, 证明E 是可测集.4. 设P 是Cantor 集, ()[]32ln 1,(),0,1x x P f x x x P ⎧+ ∈⎪=⎨ ∈-⎪⎩.求1(L)()f x dx ⎰.5. 设函数()f x 在Cantor 集0P 中点x 上取值为3x , 而在0P 的余集中长为13n 的构成区间上取值为16n , ()1,2n = , 求1 0() f x dx⎰.6.求极限:1323lim(R)sin1nnxnxdxn x→∞+⎰.实变函数试题解答一 填空题 1. []0,2.2. ()()()tan ,,.2x x a x a b b aππϕ⎡⎤=--∈⎢⎥-⎣⎦3. {}1(,)cos ,0(0,)1x y y x y y x ⎧⎫=≠≤⎨⎬⎩⎭; ∅.4. 闭集.5. (),.,.G G G αβαβ⊂ ∉ ∉6. b a -.7. 几乎处处收敛于()f x 或 a.e.收敛于()f x . 8. 对000,(,)U x δδ∀> 有{}()0E x -=∅.9. lim ()()0n n mE f x f x σ→∞⎡-≥⎤=⎣⎦ 10. ()()n f x f x → a.e.于E .二 判断题1. F . 例如, (0,1)A =, []0,1B =, 则A B ⊂且A B ≠,但1mA mB ==.2. F . 例如, 0(0,1)∉, 但0不是(0,1)的外点.3. F . 由于{}0E E '=⊄.4. F . 例如, 在1R 中, 11,1n F nn ⎡⎤=-⎢⎥⎣⎦, 3,4n = 是一系列的闭集, 但是3(0,1)nn F∞== 不是闭集.5. T . 因为若E 为有界集合, 则存在有限区间I , I <+∞, 使得E I ⊂, 则**,m E m I I ≤=<+∞ 于*m E =+∞ .三, 计算证明题. 1. 证明如下:()()()()()()()()S SS S S A B C A B CA B C A B C A B A C A B A C --=- = = = =-2. M 中任何一个元素可以由球心(,,)x y z , 半径为r 唯一确定,x ,y , z 跑遍所有的正有理数, r 跑遍所有的有理数. 因为有理数集于正有理数集为可数集都是可数集, 故M 为可数集.3. 令1i i B B ∞== , 则i E B B ⊂⊂且B 为可测集, 于是对于i ∀, 都有i B E B E -⊂-, 故()()**0i m B E m B E ≤-≤-,令i →∞, 得到()*0m B E -=, 故B E -可测. 从而 ()E B B E =--可测.4. 已知0mP =, 令[]0,1G P =-, 则()1320221130(L)()(L)ln 1(L)(L)()(L)(L)(R)()133PGGPGf x dx x dx x dxf x dxx dx x dxf x dxx =++ =0+ =+ = ==⎰⎰⎰⎰⎰⎰⎰.5. 将积分区间[]0,1分为两两不相交的集合: 0P , 1G , 2G , 其中0P 为Cantor 集, n G 是0P 的余集中一切长为13n 的构成区间(共有12n -个)之并. 由L 积分的可数可加性, 并且注意到题中的00mP =, 可得11111111()()()()()1()61126631112916nn P G P G n nP G n n n n nnn n n n f x dx f x dx f x dx f x dx f x dx f x dx dx mG ∞=∞=∞=-∞∞==∞==+ =+ =+=0+=⋅ =⋅=⎰⎰⎰∑⎰⎰∑⎰⎰∑∑∑6. 因为323sin 1nx nx n x +在[]0,1上连续, 13230(R)sin 1nx nxdx n x +⎰存在且与13230(L)sin 1nx nxdx n x +⎰的值相等. 易知323232323211sin .11122nx nx nx nx n x n x n x x x≤≤⋅≤+++ 由于12x 在()0,1上非负可测, 且广义积分1012dx x ⎰收敛,则 12x在()0,1上(L)可积, 由于323lim sin 01n nx nx n x →∞=+, ()0,1x ∈,于是根据勒贝格控制收敛定理,得到1133232300132301lim(R)sin lim(L)sin 11lim sin 100n n n nx nx nxdx nxdx n x n x nx nx dxn x dx →∞→∞→∞=++⎛⎫ = ⎪+⎝⎭ ==⎰⎰⎰⎰.。
《实变函数试卷一一、单项选择题(3分X5=15分)1、下列各式正确的是( )_________ oo oo oo oo(A) limA = u n A ; (B) lim A = n u A ;n—H=1k=n,?一z?=l k=n00 00 00 00(C) limA" = n u ; (D) lim= A k ;打一>oo z:=l k=n z?=l k=n2、设P为Cantor集,则下列各式不成立的是( )(A) ~P= c (B) mP = 0 (C) P = P (D) P=P3、下列说法不正确的是( )(A)凡外侧度为零的集合都可测(B)可测集的任何子集都可测(C)开集和闭集都是波雷耳集(D)波雷耳集都可测4、设以(4是£上的E有限的可测函数列,则下而不成立的是( )(A)若又(x)=>/(x),则又(x) + /(x) (B)sup{/…Cr)}是可测函数(O inf{//%)}是可测函数;(D)若/T H又⑺=>/U),则/(X)可测5、设f(X)是上有界变差函数,则卜*面不成立的是()(A) /(X)在[6Z,/7]上有界(B) /(X)在[6/,刎上儿乎处处存在导数c b(C) / (X)在上L 可积(D) J a f\x)cbc=f(b)-f(a)二.填空题(3分X 5=15分)1、(C s AuC v5)n(A-(A-B))= ________________2、设£是[0,1]上有理点全体,则E - ______ , E- ________ , E- _______ .3、设£是/?。
中点集,如果对任一点集r都,贝1J称£是£可测的4、/⑶可测的________ 条件是它可以表成一列简单函数的极限函数.(填“充分”,“必要”,“充要”)5、设/(x)为上的有限函数,如果对于的一切分划,使_____________________________________ ,则称/(x)为[6Z,/7]上的有界变差函数。
第五章 复习题一、判断题1、设()f x 是定义在[,]a b 上的实函数,由于()baV f 总存在,所以()f x 一定是[,]a b 上的有界变差函数。
(× )2、设()f x 是定义在[,]a b 上的实函数,()f x 是[,]a b 上的有界变差函数⇔()baV f <+∞。
(√ )3、设()f x 是[,]a b 上的单调函数,则()f x 一定是[,]a b 上的有界变差函数。
(√ )4、设()f x 是[,]a b 上的有界变差函数,则()f x 既可表示成两个递减函数的差,也可表示成两个递增函数的差。
(√ )5、有界变差函数一定是几乎处处连续的函数,也一定是几乎处处可微的函数。
(√ )6、设()f x 是定义在[,]a b 上的实函数,[,][,][,]a b a c c b =⋃,a c b <<,则()()()bcbaacV f V f V f =+。
(√ )7、设[,][,][,]a b a c c b =⋃,a c b <<,则()f x 是[,]a b 上的有界变差函数的充要条件是()f x 既是[,]a c 上的有界变差函数,也是[,]c b 上的有界变差函数。
(√ ) 8、若()f x 是[,]a b 上的绝对连续函数,则()f x 既是[,]a b 上的一致连续函数,也是()f x 是[,]a b 上的连续函数。
(√ ) 9、若()f x 是[,]a b 上的绝对连续函数,则()f x 一定是[,]a b 上的有界变差函数。
(√ ) 10、若()f x 是[,]a b 上的有界变差函数,则()f x 一定是[,]a b 上的绝对连续函数。
(× ) 11、若()f x 是[,]a b 上的绝对连续函数,()g x 是[,]a b 上的绝对连续函数,则()()f x g x ±,()()f x g x 都是[,]a b 上的绝对连续函数。
实变函数测试题与答案实变函数测试题一、填空题1.设 $A_n=\begin{pmatrix} 1/n \\ 1/(n+1) \\ \cdots \\ 1/(2n) \end{pmatrix}$,则 $\lim\limits_{n\to\infty}A_n=\begin{pmatrix} 0 \\ 0 \\ \cdots \\ 0 \end{pmatrix}$。
2.$(a,b)$ 与 $(-\infty,+\infty)$ 之间存在两个集合之间的一一映射,因此它们的基数相同。
3.设 $E$ 是函数 $y=f(x)$ 的图形上的点所组成的集合,则$E=\{(x,f(x)):x\in\mathbb{R}\}$。
4.若集合 $E\subset\mathbb{R}$ 满足 $E'\subset E$,则$E$ 是闭集。
5.若 $(\alpha,\beta)$ 是直线上开集 $G$ 的一个构成区间,则 $(\alpha,\beta)$ 是连通集。
6.设 $E$ 是闭区间 $[a,b]$ 中的全体无理数集,则$m(E)=b-a$。
7.若 $\{f_n(x)\}$ 在 $E$ 上几乎处处有限且可测,$f(x)$ 在 $E$ 上几乎处处有限且可测,并且$\lim\limits_{n\to\infty} f_n(x)=f(x)$,则 $\{f_n(x)\}$ 在 $E$ 上依测度收敛于 $f(x)$。
8.XXX{R}$,$x$ 是 $E$ 的聚点,$f(x)$ 是实变函数,则存在 $\{x_n\}\subset E$,使得 $\lim\limits_{n\to\infty}x_n=x$ 且 $\lim\limits_{n\to\infty} f(x_n)$ 存在。
9.若 $\{f_n(x)\}$ 在 $E$ 上几乎处处有限且可测,$f(x)$ 在 $E$ 上几乎处处有限且可测,并且对于任意$\sigma>0$,都有 $\lim\limits_{n\to\infty} m\{x\in E:|f_n(x)-f(x)|\geq\sigma\}=0$,则 $\{f_n(x)\}$ 在 $E$ 上依测度收敛于$f(x)$。
实变函数(复习资料,带答案)《实变函数》试卷一一、单项选择题(3分X 5=15分)1、下列各式正确的是( )(A)limA n A k;(B) lim 代A;n nlkn n nlkn(C)limA n ik A k;( D) l imA n 人;n nikn n nikn2、设P为Cantor集,则下列各式不成立的是( )(A)P c (B) mP 0 (C) P' P (D) P P3、下列说法不正确的是( )(A)凡外侧度为零的集合都可测(B)可测集的任何子集都可测(C)开集和闭集都是波雷耳集(D)波雷耳集都可测4、设f n(x)是E上的ae?有限的可测函数列,则下面不成立的是()(A)若f n(x) f(x),则f n(x) f (x) (B)sup f n(x)是可测函数(C) inf f n(x)是可测函数;(D)若nnf n(x) f(x),则f(x)可测5、设f(x)是[a,b]上有界变差函数,则下面不成立的是( )(A) f(x)在[a,b]上有界(B) f(x)在[a,b]上几乎处处存在导数b (C) f'(x)在[a, b]上L 可积(D) f'(x)dx f(b) f(a)a二.填空题(3分X 5=15分)E f(x)1、 ___________________________________ (C s A C s B) (A (A B))2、设E是0,1上有理点全体,则' o—E = _____ , E = _____ , E = _____3、设E是R n中点集,如果对任一点集T都___________________________________ 则称E是L可测的4、f(x)可测的_________ 件是它可以表成一列简单函数的极限函数.(填“充分”,“必要”,“充要”)5、设f (x)为a,b上的有限函数,如果对于a, b的一切分划,使 _______________________________________ 则称f (x)为a,b上的有界变差函数。
实变函数试题库及参考答案(5) 本科一、填空题1.设,A B 为集合,则___(\)A B B A A2.设n E R ⊂,如果E 满足0E E =(其中0E 表示E 的内部),则E 是 3.设G 为直线上的开集,若开区间(,)a b 满足(,)a b G ⊆且,a G b G ∉∉,则(,)a b 必为G 的4.设{|2,}A x x n n ==为自然数,则A 的基数 a (其中a 表示自然数集N 的基数) 5.设,A B 为可测集,B A ⊆且mB <+∞,则__(\)mA mB m A B -6.设()f x 是可测集E 上的可测函数,则对任意实数,()a b a b <,都有[()]E x a f x b <<是7.若()E R ⊆是可数集,则__0mE8.设{}()n f x 为可测集E 上的可测函数列,()f x 为E 上的可测函数,如果.()()()a en f x f x x E →∈,则()()n f x f x ⇒ x E ∈ (是否成立)二、选择题1、设E 是1R 中的可测集,()x ϕ是E 上的简单函数,则 ( ) (A )()x ϕ是E 上的连续函数 (B )()x ϕ是E 上的单调函数 (C )()x ϕ在E 上一定不L 可积 (D )()x ϕ是E 上的可测函数 2.下列集合关系成立的是( )(A )()()()A B C A B A C = (B )(\)A B A =∅(C )(\)B A A =∅ (D )A B A B ⊆3. 若()n E R ⊆是闭集,则 ( )(A )0E E = (B )E E = (C )E E '⊆ (D )E E '= 三、多项选择题(每题至少有两个以上的正确答案) 1.设{[0,1]}E =中的有理点,则( )(A )E 是可数集 (B )E 是闭集(C )0mE = (D )E 中的每一点均为E 的内点 2.若()E R ⊆的外测度为0,则( )(A )E 是可测集 (B )0mE =(C )E 一定是可数集 (D )E 一定不是可数集3.设mE <+∞,{}()n f x 为E 上几乎处处有限的可测函数列,()f x 为E 上几乎处处有限的可测函数,如果()(),()n f x f x x E ⇒∈,则下列哪些结果不一定成立( ) (A )()Ef x dx ⎰存在 (B )()f x 在E 上L -可积(C ).()()()a en f x f x x E →∈ (D )lim ()()n EEn f x dx f x dx →∞=⎰⎰4.若可测集E 上的可测函数()f x 在E 上有L 积分值,则( ) (A )()()f x L E +∈与()()f x L E -∈至少有一个成立 (B )()()f x L E +∈且()()f x L E -∈ (C )|()|f x 在E 上也有L -积分值 (D )|()|()f x L E ∈四、判断题1. 可列个开集的交集仍为开集 ( )2. 任何无限集均是可列集 ( )3. 设E 为可测集,则一定存在F σ集F ,使F E ⊆,且()\0m E F =. ( )4. 设E 为零测集,则()f x 为E 上的可测函数的充要条件是:∀实数a 都有()E x f x a ⎡≥⎤⎣⎦是可测集( ) 五、定义题1. 可测函数列几乎处处收敛、依测度收敛和近一致收敛的关系?2. 可测集E 上的可测函数与连续函数有什么关系?3. [],a b 上的绝对连续函数与有界变差函数有什么关系? 六、计算题1. 设()[][]101001x D x x ⎧⎪=⎨⎪⎩为,上的有理点为,上的无理点,求()[]01D x dx ⎰,.2. 求()0ln lim cos xn x n e xdx n+∞-→∞+⎰. 七、证明题1.设n E R ⊂是有界集,则*m E <+∞ 2.1R 上的实值连续函数()f x 是可测函数3.设mE <+∞,函数()f x 在E 上有界可测,则()f x 在E 上L -可积,从而[,]a b 上的连续函数是L -可积的 4.设()n f x (1,2,n =)是E 上的L -可积函数,如果lim |()|0nn E n f x dx →∞=⎰,则()0n f x ⇒实变函数试题库及参考答案(2) 本科一、填空题1.=2.开集3.构成区间4.=5.=6.可测集7.=8.不一定成立 二、单选题 三、多选题 四、判断题 ××√√ 五、定义题1.答:设()(),n f x f x 是可测集E 上的一列可测函数,那 当mE <+∞时,()(),.n f x f x a e →于E ,必有()()n f x f x ⇒.反之不成立,但不论mE <+∞还是mE =+∞,(){}n f x 存在子列(){}k n f x ,使()(),.k n f x f x a e →于E .当mE <+∞时,()(),.n f x f x a e →于E ,由Egoroff 定理可得()n f x 近一致收敛于()f x ,反之,无需条件mE <+∞,结论也成立.2.答:E 上连续函数必为可测函数但E 上的可测函数不一定时连续函数,E 上可测函数在E 上是“基本上”连续的函数3.答:绝对连续函数必为有界变差函数但有界变差函数不一定为绝对连续函数 六、解答题1.证明 记1E 是[]0,1中有理数集,2E 是[]0,1中无理数集,则[]12120,1,E E E E ==∅,120,1mE mE ==,且()1210E E D x χχ=+,所以()[]120,1100D x dx mE mE=+=⎰.2.解 易知()ln limcos 0xn x n e x n-→∞+=对任意0,1x n ≥≥,()()ln ln cos x x n x n e x n n-++≤设()ln ()x y f y y +=,0y >,则()2ln ()yx y x yf y y-++'=, 当3y ≥时,()1ln yx y x y<<++,()0f y '<. 则()ln ()x n f n n+=是单调减函数且非负(3n ≥); 又()ln 1limlim 0n n x n n x n →∞→∞+==+,由Levi 单调收敛定理得 ()()00ln ln lim lim 00n n x n x n dx dx dx n n+∞+∞+∞→∞→∞++===⎰⎰⎰,即()ln ()x n L E n +∈, 再由Lebsgue 控制收敛定理得七、证明题1..证明 因为E 是有界集,所以存在开区间I ,使E I ⊂由外测度的单调性,**m E m I ≤,而*||m I I =<+∞(其中||I 表示区间I 的体积),所以 *m E <+∞2.证明 因为()f x 连续,所以对任何实数a ,{|()}x f x a >是开集,而开集为可测集,因此()f x 是可测函数3.证明 因为()f x 在E 上有界可测,所以存在0M >,使|()|f x M <,x E ∈,|()|f x 是非负可测函数,由非负可测函数的积分单调性, 故|()|f x 在E 上L -可积,从而()f x 在E 上L -可积因为[,]a b 上的连续函数是有界可测函数,所以L -可积的 4.证明 对任何常数0σ>,[|()|][|()|]|()|n n n E x f x mE x f x f x dx σσσ≥⋅≥≤⎰所以 [|()|]1[|()|]|()|n n n E x f x mE x f x f x dx σσσ≥≥≤⎰因此 ()0n f x ⇒。
实变函数(复习资料,带答案)《实变函数》试卷⼀⼀、单项选择题(3分×5=15分) 1、下列各式正确的是()(A )1lim n k n n k n A A ∞∞→∞===??; (B )1lim n k n k n n A A ∞∞==→∞=??;(C )1lim n k n n k nA A ∞∞→∞===??; (D )1lim n k n k nn A A ∞∞==→∞=??;2、设P 为Cantor 集,则下列各式不成⽴的是()(A )=P c (B) 0mP = (C) P P ='(D) P P =3、下列说法不正确的是()(A) 凡外侧度为零的集合都可测(B )可测集的任何⼦集都可测(C) 开集和闭集都是波雷⽿集(D )波雷⽿集都可测 4、设{}()n f x 是E 上的..a e 有限的可测函数列,则下⾯不成⽴的是( )(A )若()()n f x f x ?, 则()()n f x f x → (B){}sup ()n nf x 是可测函数(C ){}inf ()n nf x 是可测函数;(D )若()()n f x f x ?,则()f x 可测5、设f(x)是],[b a 上有界变差函数,则下⾯不成⽴的是()(A) )(x f 在],[b a 上有界 (B) )(x f 在],[b a 上⼏乎处处存在导数(C ))('x f 在],[b a 上L 可积 (D)-=b aa fb f dx x f )()()('⼆. 填空题(3分×5=15分)1、()(())s s C A C B A A B ??--=_________2、设E 是[]0,1上有理点全体,则'E =______,oE =______,E =______. 3、设E 是n R 中点集,如果对任⼀点集T 都_________________________________,则称E 是L 可测的 4、)(x f 可测的________条件是它可以表成⼀列简单函数的极限函数.(填“充分”,“必要”,“充要”)5、设()f x 为[],a b 上的有限函数,如果对于[],a b 的⼀切分划,使_____________________________________,则称()f x 为[],a b 上的有界变差函数。
《实变函数》试题题库参考答案一、选择题1、D2、C3、D4、D5、A6、B7、C8、A9、B 10、C 11、C 12、D 13、C 14、B 15、C 16、D 17、A 18、D 19、C 20、A 21、B 22、C 23、B 24、C 25、A 26、C 27、D 28、D 29、B 30、D 31、A 32、B 33、C 34、A 35、B 36、D 37、C 38、B 39、C 40、B 41、B 42、D 43、B 44、A 45、A 46、D 47、D 48、B 49、A 50、B 51、A 52、D 53、C 54、D 55、B 56、A 57、D 58、C 59、A 60、D 61、A 62、B 63、D 64、C 65、C 66、D 67、B 68、A 69、B 70、C 71、D 72、C 73、C 74、B 75、A 76、B 77、A 78、C 79、C 80、D 81、B 82、A 83、B 84、C 85、C 86、B 87、C 88、D 89、A 90、A二、填空题1、n 2 ;2、c ;3、c ;4、c ;5、c ;6、c ;7、{x:对于任意的I ∈α,有αA x ∈};8、{x:存在I ∈α,使得αA x ∈};9、ααA C s I∈⋃;10、ααA C s I ∈⋂;11、n kn k A ∞=∞=⋃⋂1;12、n kn k A ∞=∞=⋂⋃1;13、211)(∑=nk k x ;14、|})()({|sup ],[t y t x b a x -∈;15、2112})({∑∞=-k k k y x ;16、21222211})(){(y x y x -+-;17、21233222211})()(){(y x y x y x -+-+-;18、21244233222211})()()(){(y x y x y x y x ++-+-+-;19、}1:),{(22≤+=y x y x E ;20、}1:),,{(222≤++z y x z y x ;21、}1:),{(22=+y x y x ; 22、}1:),{(22≤+y x y x ;23、}1:),,{(222=++z y x z y x ; 24、}1:),,{(222=++z y x z y x ; 25、2;26、0;27、1;28、)},({inf ,y x d By A x ∈∈;29、)},({sup ,y x d A y A x ∈∈;30、1;31、∑∞=1||inf i i I ;32、n n mS ∞→lim ;33、)(a f E >可测;34、0>∀σ有 ∞=<1i i I E ;35、C B D A ⊂⊂⊂;36、||x ;37、可测函数;38、点态收敛与一致收敛;39、)(*||E I m I --;40、次可数可加性;41、可测函数;42、可测函数;43、单调性;44、 ∞=1i i G (i G 开);45、推广;46、测度;47、)(*)(**CE T m E T m T m +=;48、 ∞=1n n F ,(n F 闭集);49、常数;50、可测函数,连续函数;51、n n mS ∞→lim ;52、零测集; 53、可测函数;54、依测度; 55、0; 56、0; 57、0; 58、0; 59、0;60、0三、判断题 1、( √ )理由: 集合具有无序性 2、( × )理由: 举一反例, 比如: 取A={1}, B={2} 3、( √ )理由: 空集Φ是任意集合的子集. 4、( × )理由:符号⊂表示集合间的关系,不能表示元素和集合的关系. 5、( × )理由:Φ表示没有任何元素的集合,而{Φ}表示单元素集合,这个元素是Φ6、( × )理由: Φ表示没有任何元素的集合,而{0}表示单元素集合,这个元素是07、( √ )理由: 根据内点的定义, 内点一定是聚点8、( × )理由: 举一反例,比如: E=(0,1),元素1不是E的外点,但却属于E的余集分9、( √ )理由: 有内点的定义可得.10、( √ )理由: 有内点的定义可得.11、( × )理由: 举例说明,比如: E=(0,1),元素1是E的边界点,但属于E.12、( × )理由: 举一反例,比如: E=(0,1),元素1是E的内点,但不属于E13、(×)理由: 因有若]1,0[]1,0)([-可测⊂E,E不可测,而EE14、(√)理由: 因)eaggf=>=≠E>f()(E()()gg(agaff>E==≠E>((())()f))g)(g((a两可测集的并可测。
《实变函数》习题库参考答案一、判断题 1、( √ )理由:由内点定义知,存在A P U ⊂),(0δ,从而对任意的)(0P U ,必含有A 中无穷多个点。
满足聚点定义 2、( √ )理由:[法一]:都具有连续基数,故对等 [法二]:可建立一个映射)2tan()(ππ-⋅--=a b a x x f ,则f(x)为),(b a 到R 的一一映射.3、( √ )理由:由B A ⊂知, A A B B )(-=,从而由有限可加性知,mA A B m mB +-=)(,又由 +∞<mB 知,+∞<-+∞<)(,A B m mA 。
从而移项可得结论。
4、( √ )理由:f(x)在区间[0,5)及[5,10]上均为连续函数,故分别在2个区间上是可测函数, 从而再其和集上也是可测函数。
5、( × )理由:例如有理数集Q ,无理数2是Q 的聚点,但不是其内点。
6、( √ )理由:[法一]:都是可数集,故有相同的基数,即对等。
[法二]:可建立一个映射⎪⎩⎪⎨⎧==+==...2,1,1,11,0,1)(n n x n x x f ,则f(x)为集合 ⎭⎬⎫⎩⎨⎧ ,1,,31,21,1,0n 到集合⎭⎬⎫⎩⎨⎧ ,1,,31,21,1n 的一一映射。
7、( √ )理由:由B A ⊂知A A B B )(-=,且φ=-A A B )(, 故mA mA A B m mB =+-=)(8、( √ )理由:狄利克莱函数⎩⎨⎧-∈∈=.]1,0[,0]1,0[,1)(Q x Qx x D 是[0,1]上的简单函数,故可测。
9、( √ )理由:由于E E ⊆Φ=',所以.}3,2,1{为闭集=E 10、( × )理由:如无界。
,但,则N mN N E +∞<==0 11、( √ )理由:由于可测。
在连续,从而在]2,1[2)(]2,1[2)(-=-=x f x f 12、( √ ) 理由:事实上:)()(***CE T m E T m T m T E +=∀⇔:可测]([)(**CE C T m CE T m +=可测。
实变函数试题一,填空题1. 设1,2n A n ⎡⎤=⎢⎥⎣⎦,1,2n =,则lim n n A →∞= . 2. ()(),,a b -∞+∞,因为存在两个集合之间的一一映射为3. 设E 是2R 中函数1cos ,00,0x y x x ⎧≠⎪=⎨⎪ =⎩的图形上的点所组成的集合,则E '= ,E ︒= .4. 若集合nE R ⊂满足E E '⊂,则E 为 集. 5. 若(),αβ是直线上开集G 的一个构成区间,则(),αβ满足:, .6. 设E 使闭区间[],a b 中的全体无理数集,则mE = .7. 若()n mE f x →()0f x ⎡⎤=⎣⎦,则说{}()n f x 在E 上 .8. 设nE R ⊂,0nx R ∈,若 ,则称0x 是E 的聚点.9. 设{}()n f x 是E 上几乎处处有限的可测函数列,()f x 是E 上几乎处处有限的可测函数,若0σ∀>,有 ,则称{}()n f x 在E 上依测度收敛于()f x . 10. 设()()n f x f x ⇒,x E ∈,则∃{}()n f x 的子列{}()jn fx ,使得.二,判断题.正确的证明,错误的举反例. 1. 若,A B 可测,A B ⊂且A B ≠,则mA mB <. 2. 设E 为点集,P E ∉,则P 是E 的外点.3. 点集11,2,,E n ⎧⎫=⎨⎬⎩⎭的闭集. 4. 任意多个闭集的并集是闭集.5. 若nE R ⊂,满足*m E =+∞,则E 为无限集合. 三,计算证明题1.证明:()()()A B C A B A C --=-2.设M 是3R 空间中以有理点(即坐标都是有理数)为中心,有理数为半径的球的全体,证明M 为可数集.3.设nE R ⊂,i E B ⊂且i B 为可测集,1,2i =.根据题意,若有()()*0,i m B E i -→ →∞,证明E 是可测集.4. 设P 是Cantor 集,()[]32ln 1,(),0,1x x P f x x x P ⎧+ ∈⎪=⎨ ∈-⎪⎩.求10(L)()f x dx ⎰.5. 设函数()f x 在Cantor 集0P 中点x 上取值为3x ,而在0P 的余集中长为13n 的构成区间上取值为16n ,()1,2n =,求1()f x dx ⎰.6. 求极限:13230lim(R)sin 1n nx nxdx n x →∞+⎰.实变函数试题解答一填空题 1.[]0,2.2.{}1(,)cos ,0(0,)1x y y x y y x ⎧⎫=≠≤⎨⎬⎩⎭;∅.3.闭集.4.b a -.5.几乎处处收敛于()f x 或a.e.收敛于()f x .6.对000,(,)U x δδ∀> 有{}()0E x -=∅.7.()()n f x f x → a.e.于E . 二判断题1. F .例如,(0,1)A =,[]0,1B =,则A B ⊂且A B ≠,但1mA mB ==.2. F .例如,0(0,1)∉,但0不是(0,1)的外点.3. F .由于{}0E E '=⊄.4. F .例如,在1R 中,11,1n F n n ⎡⎤=-⎢⎥⎣⎦,3,4n =是一系列的闭集,但是3(0,1)n n F ∞==不是闭集.5. T .因为若E 为有界集合,则存在有限区间I ,I <+∞,使得E I ⊂,则**,m E m I I ≤=<+∞ 于*m E =+∞ .三,计算证明题. 1.证明如下:2. M 中任何一个元素可以由球心(,,)x y z ,半径为r 唯一确定,x ,y ,z 跑遍所有的正有理数,r 跑遍所有的有理数.因为有理数集于正有理数集为可数集都是可数集,故M 为可数集.3. 令1i i B B ∞==,则i E B B ⊂⊂且B 为可测集,于是对于i ∀,都有i B E B E -⊂-,故()()**0i m B E m B E ≤-≤-,令i →∞,得到()*0m B E -=,故B E -可测.从而()E B B E =--可测.4. 已知0mP =,令[]0,1G P =-,则()1320221130(L)()(L)ln 1(L)(L)()(L)(L)(R)()133PGGPGf x dx x dx x dxf x dxx dx x dxf x dxx=++ =0+ =+ = ==⎰⎰⎰⎰⎰⎰⎰. 5. 将积分区间[]0,1分为两两不相交的集合:0P ,1G ,2G ,其中0P 为Cantor 集,n G 是0P 的余集中一切长为13n 的构成区间(共有12n -个)之并.由L 积分的可数可加性,并且注意到题中的00mP =,可得6. 因为323sin 1nx nx n x +在[]0,1上连续,13230(R)sin 1nx nxdx n x+⎰存在且与13230(L)sin 1nx nxdx n x +⎰的值相等.易知由于12x 在()0,1上非负可测,且广义积分1012dx x ⎰收敛,则 12x在()0,1上(L)可积,由于323lim sin 01n nx nx n x →∞=+,()0,1x ∈,于是根据勒贝格控制收敛定理,得到1133232300132301lim(R)sin lim(L)sin 11lim sin 100n n n nx nx nxdx nxdx n x n x nx nx dxn x dx →∞→∞→∞=++⎛⎫ = ⎪+⎝⎭ ==⎰⎰⎰⎰.一、判定下列命题正确与否,简明理由(对正确者予以证明,对错误者举处反例)(15分,每小题3分) 1. 非可数的无限集为c 势集 2. 开集的余集为闭集。
实变函数模拟试题及答案一、选择题(每题2分,共20分)1. 下列哪个选项不是实变函数的基本概念?A. 极限B. 连续性C. 微分D. 积分答案:C2. 函数f(x)=x^2在区间[0,1]上是:A. 单调递增B. 单调递减C. 有界但无界D. 无界答案:A3. 如果函数f(x)在点x=a处连续,则下列哪个条件一定成立?A. f(a)存在B. f(a)=0C. f(a)=aD. f(a)=f'(a)答案:A4. 函数f(x)=|x|在x=0处:A. 连续B. 可导C. 不连续D. 不可导答案:A5. 函数f(x)=sin(1/x)在x=0处:A. 连续B. 有界C. 不连续D. 无界答案:C6. 黎曼积分存在的条件是:A. 函数在积分区间上单调B. 函数在积分区间上连续C. 函数在积分区间上的不连续点构成一个零测集D. 函数在积分区间上的不连续点是可数的答案:C7. 函数f(x)=x^3在区间[-1,1]上的积分是:A. 0B. 1/4C. 1/3D. 2/3答案:A8. 若f(x)在[a,b]上可积,则下列哪个选项是正确的?A. f(x)在[a,b]上连续B. f(x)在[a,b]上单调C. f(x)在[a,b]上几乎处处连续D. f(x)在[a,b]上几乎处处有界答案:C9. 函数f(x)=x^2在区间[0,1]上的原函数是:A. x^3/3B. x^3C. 2x^3D. 3x^2答案:A10. 函数f(x)=x^(-1)在x=0处:A. 连续B. 可导C. 不连续D. 无界答案:C二、填空题(每空2分,共20分)1. 如果函数f(x)在区间[a,b]上连续,则f(x)在该区间上________。
答案:可积2. 函数f(x)=x^2的原函数是________。
答案:x^3/3 + C3. 函数f(x)=1/x在区间(0,1)上的积分是________。
答案:无穷大4. 函数f(x)=sin(x)在区间[0,π]上的积分是________。
实变函数试题库及参考答案(5) 本科
一、填空题
1.设,A B 为集合,则___(\)A B B A A
2.设n E R ⊂,如果E 满足0E E =(其中0E 表示E 的内部),则E 是
3.设G 为直线上的开集,若开区间(,)a b 满足(,)a b G ⊆且,a G b G ∉∉,则(,)a b 必为G 的
4.设{|2,}A x x n n ==为自然数,则A 的基数 a (其中a 表示自然数集N 的基数)
5.设,A B 为可测集,B A ⊆且mB <+∞,则__(\)mA mB m A B -
6.设()f x 是可测集E 上的可测函数,则对任意实数,()a b a b <,都有[()]E x a f x b <<是
7.若()E R ⊆是可数集,则__0mE
8.设{}()n f x 为可测集E 上的可测函数列,()f x 为E 上的可测函数,如果.()()
()a e n f x f x x E →∈,则()()n f x f x ⇒ x E ∈ (是否成立)
二、选择题 1、设E 是1R 中的可测集,()x ϕ是E 上的简单函数,则 ( )
(A )()x ϕ是E 上的连续函数 (B )()x ϕ是E 上的单调函数
(C )()x ϕ在E 上一定不L 可积 (D )()x ϕ是E 上的可测函数
2.下列集合关系成立的是( )
(A )()()()A B C A B A C = (B )(\)A B A =∅
(C )(\)
B A A =∅ (D )A B A B ⊆ 3. 若()n E R
⊆是闭集,则 ( ) (A )0E E = (B )E E = (C )E E '⊆ (D )E E '=
三、多项选择题(每题至少有两个以上的正确答案)
1.设{[0,1]}E =中的有理点,则( )
(A )E 是可数集 (B )E 是闭集
(C )0mE = (D )E 中的每一点均为E 的内点
2.若()E R ⊆的外测度为0,则( )
(A )E 是可测集 (B )0mE =
(C )E 一定是可数集 (D )E 一定不是可数集
3.设mE <+∞,{}()n f x 为E 上几乎处处有限的可测函数列,()f x 为E 上几乎处处有限的可测函数,如果()(),()n f x f x x E ⇒∈,则下列哪些结果不一定成立( )
(A )()E f x dx ⎰存在 (B )()f x 在E 上L -可积
(C ).()()()a e
n f x f x x E →∈ (D )lim ()()n E E
n f x dx f x dx →∞=⎰⎰ 4.若可测集E 上的可测函数()f x 在E 上有L 积分值,则( )
(A )()()f x L E +∈与()()f x L E -∈至少有一个成立
(B )()()f x L E +∈且()()f x L E -∈
(C )|()|f x 在E 上也有L -积分值
(D )|()|()f x L E ∈
四、判断题
1. 可列个开集的交集仍为开集 ( )
2. 任何无限集均是可列集 ( )
3. 设E 为可测集,则一定存在F σ集F ,使F E ⊆,且()\0m E F =. ( )
4. 设E 为零测集,则()f x 为E 上的可测函数的充要条件是:∀实数a 都有()E x f x a ⎡≥⎤⎣⎦是可测集 ( )
五、定义题
1. 可测函数列几乎处处收敛、依测度收敛和近一致收敛的关系?
2. 可测集E 上的可测函数与连续函数有什么关系?
3. [],a b 上的绝对连续函数与有界变差函数有什么关系?
六、计算题
1. 设()[][]101001x D x x ⎧⎪=⎨
⎪⎩为,上的有理点为,上的无理点,求()[]01D x dx ⎰,.
2. 求()0ln lim cos x n x n e xdx n
+∞-→∞+⎰.
七、证明题
1.设n E R ⊂是有界集,则*m E <+∞
2.1R 上的实值连续函数()f x 是可测函数
3.设mE <+∞,函数()f x 在E 上有界可测,则()f x 在E 上L -可积,从而[,]a b 上的连续函数是L -可积的
4.设()n f x (1,2,n =)是E 上的L -可积函数,如果lim |()|0n n E n f x dx →∞=⎰,则()0n f x ⇒
实变函数试题库及参考答案(2) 本科
一、填空题
1.=
2.开集
3.构成区间
4.=
5.=
6.可测集
7.=
8.不一定成立
二、单选题
1.D
2.A
3.B
三、多选题
1.AC
2.AB
3.ABCD
4.AD
四、判断题
××√√
五、定义题
1.答:设()(),n f x f x 是可测集E 上的一列可测函数,那
当mE <+∞时,()(),.n f x f x a e →于E ,必有()()n f x f x ⇒.
反之不成立,但不论mE <+∞还是mE =+∞,(){}n f x 存在子列(){}k n f x ,使()(),.k n f x f x a e →于E .
当mE <+∞时,()(),.n f x f x a e →于E ,由Egoroff 定理可得()n f x 近一致收敛于()f x ,反之,无需条件mE <+∞,结论也成立.
2.答:E 上连续函数必为可测函数但E 上的可测函数不一定时连续函数,E 上可测函数在E 上是“基本上”连续的函数
3.答:绝对连续函数必为有界变差函数但有界变差函数不一定为绝对连续函数
六、解答题
1.证明 记1E 是[]0,1中有理数集,2E 是[]0,1中无理数集,则
[]1
2120,1,E E E E ==∅,120,1mE mE ==,且()1210E E D x χχ=+, 所以
()[]120,1100D x dx mE mE =+=⎰.
2.解 易知()ln lim cos 0x n x n e x n
-→∞+= 对任意0,1x n ≥≥,()()ln ln cos x x n x n e x n n
-++≤ 设()ln ()x y f y y +=,0y >,则()2
ln ()y x y x y f y y -++'=,
当3y ≥时,()1ln y x y x y
<<++,()0f y '<. 则()ln ()x n f n n
+=是单调减函数且非负(3n ≥); 又()ln 1lim lim 0n n x n n x n
→∞→∞+==+,由Levi 单调收敛定理得 ()()0
00ln ln lim lim 00n n x n x n dx dx dx n n +∞+∞+∞→∞→∞++===⎰⎰⎰,即()ln ()x n L E n +∈, 再由Lebsgue 控制收敛定理得
()()0
00ln ln lim cos lim cos 00x x n n x n x n e xdx e xdx dx n n +∞+∞+∞--→∞→∞++===⎰⎰⎰
七、证明题
1..证明 因为E 是有界集,所以存在开区间I ,使E I ⊂
由外测度的单调性,**m E m I ≤,而*||m I I =<+∞(其中||I 表示区间I 的体积),
所以 *m E <+∞
2.证明 因为()f x 连续,所以对任何实数a ,{|()}x f x a >是开集,而开集为可测集,因此()f x 是可测函数
3.证明 因为()f x 在E 上有界可测,所以存在0M >,使|()|f x M <,x E ∈,|()|f x 是非负可测函数,由非负可测函数的积分单调性,
|()|E E f x dx Mdx M mE <=⋅<+∞⎰⎰
故|()|f x 在E 上L -可积,从而()f x 在E 上L -可积
因为[,]a b 上的连续函数是有界可测函数,所以L -可积的
4.证明 对任何常数0σ>,[|()|][|()|]|()|n n n E x f x mE x f x f x dx σσσ≥⋅≥≤
⎰ 所以 [|()|]1
[|()|]|()|n n n E x f x mE x f x f x dx σσσ≥≥≤⎰
1|()|0()n E f x dx n σ≤→→∞⎰ 因此 ()0n f x ⇒。