民航2006-2012年各年度各机场吞吐量统计
- 格式:xls
- 大小:219.50 KB
- 文档页数:8
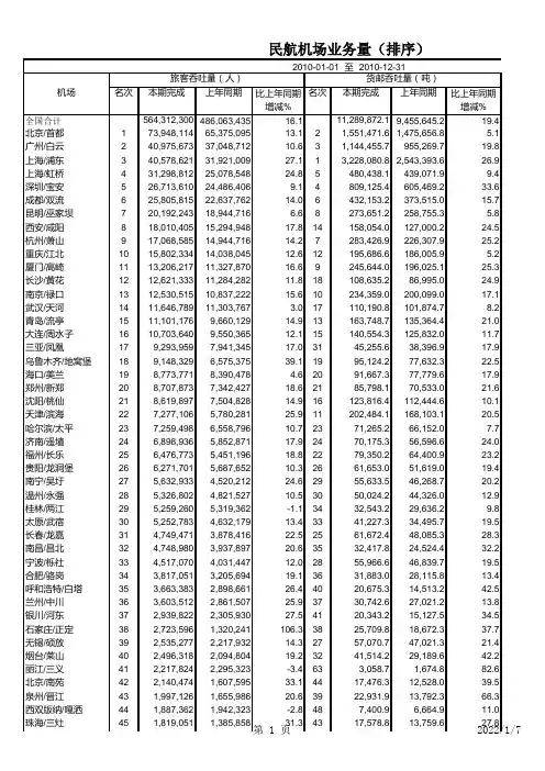
比上年同期比上年同期增减%增减%全国合计564,312,300486,063,43516.111,289,872.19,455,645.219.4北京/首都173,948,11465,375,09513.121,551,471.61,475,656.8 5.1广州/白云240,975,67337,048,71210.631,144,455.7955,269.719.8上海/浦东340,578,62131,921,00927.113,228,080.82,543,393.626.9上海/虹桥431,298,81225,078,54824.85480,438.1439,071.99.4深圳/宝安526,713,61024,486,4069.14809,125.4605,469.233.6成都/双流625,805,81522,637,76214.06432,153.2373,515.015.7昆明/巫家坝720,192,24318,944,716 6.68273,651.2258,755.3 5.8西安/咸阳818,010,40515,294,94817.814158,054.0127,000.224.5杭州/萧山917,068,58514,944,71614.27283,426.9226,307.925.2重庆/江北1015,802,33414,038,04512.612195,686.6186,005.9 5.2厦门/高崎1113,206,21711,327,87016.69245,644.0196,025.125.3长沙/黄花1212,621,33311,284,28211.818108,635.286,995.024.9南京/禄口1312,530,51510,837,22215.610234,359.0200,099.017.1武汉/天河1411,646,78911,303,767 3.017110,190.8101,874.78.2青岛/流亭1511,101,1769,660,12914.913163,748.7135,364.421.0大连/周水子1610,703,6409,550,36512.115140,554.3125,832.011.7三亚/凤凰179,293,9597,941,34517.03145,255.638,396.917.9乌鲁木齐/地窝堡189,148,3296,575,37539.11995,124.277,632.322.5海口/美兰198,773,7718,390,478 4.62091,667.377,779.617.9郑州/新郑208,707,8737,342,42718.62185,798.170,533.021.6沈阳/桃仙218,619,8977,504,82814.916123,816.4112,444.610.1天津/滨海227,277,1065,780,28125.911202,484.1168,103.120.5哈尔滨/太平237,259,4986,558,79610.72371,265.266,152.07.7济南/遥墙246,898,9365,852,87117.92470,175.356,596.624.0福州/长乐256,476,7735,451,19618.82279,350.264,400.923.2贵阳/龙洞堡266,271,7015,687,65210.32661,653.051,619.019.4南宁/吴圩275,632,9334,520,21224.62955,633.546,268.720.2温州/永强285,326,8024,821,52710.53050,024.244,326.012.9桂林/两江295,259,2605,319,362-1.13432,543.229,636.29.8太原/武宿305,252,7834,632,17913.43341,227.334,495.719.5长春/龙嘉314,749,4713,878,41622.52561,672.448,085.328.3南昌/昌北324,748,9803,937,89720.63532,417.824,524.432.2宁波/栎社334,517,0704,031,44712.02855,966.646,839.719.5合肥/骆岗343,817,0513,205,69419.13631,883.028,115.813.4呼和浩特/白塔353,663,3832,898,66126.44020,675.314,513.242.5兰州/中川363,603,5122,861,50725.93730,742.627,021.213.8银川/河东372,939,8222,305,93027.54120,343.215,127.534.5石家庄/正定382,723,5961,320,241106.33825,709.818,672.337.7无锡/硕放392,535,2772,217,93214.32757,070.747,021.321.4烟台/莱山402,496,3182,094,80419.23241,514.229,189.642.2丽江/三义412,217,8242,295,323-3.4633,058.71,674.882.6北京/南苑422,140,4741,607,59533.14417,476.312,528.039.5泉州/晋江431,997,1261,655,98620.63922,931.913,792.366.3西双版纳/嘎洒441,887,3621,942,323-2.8487,400.96,664.911.0上年同期民航机场业务量(排序)2010-01-01 至 2010-12-31旅客吞吐量(人)货邮吞吐量(吨)机场名次本期完成上年同期名次本期完成九寨/黄龙461,740,7281,749,316-0.51670.00.0汕头/外砂471,727,9341,266,40736.44710,842.59,088.719.3西宁/曹家堡481,664,8231,351,75923.24612,265.97,458.764.4包头/二里半491,332,1321,070,12224.5506,075.14,678.629.9拉萨/贡嘎501,296,3281,121,61315.64513,827.312,872.67.4张家界/荷花511,126,3611,201,976-6.3801,272.31,633.1-22.1延吉/朝阳川52943,336808,25616.7544,192.13,126.434.1榆林/榆阳53905,161631,76943.397639.0327.495.2威海/大水泊54824,938675,45122.1583,751.53,003.424.9鄂尔多斯/伊金霍洛55816,737472,65672.8623,074.11,823.268.6喀什56792,681574,48538.0603,207.22,445.431.2宜昌/三峡57724,121657,50710.1613,184.73,498.4-9.0义乌58695,148559,65224.2563,802.13,259.416.6北海/福成59694,177505,44037.3642,849.21,130.6152.0徐州/观音60658,395511,46928.7573,772.33,251.016.0常州/奔牛61658,033535,19823.0496,720.06,173.38.9运城/张孝62618,463506,64222.1761,677.81,024.163.8台州/路桥63616,861526,73817.1515,483.44,293.227.7海拉尔/东山64608,804532,46314.3692,130.41,094.594.6武夷山65589,554535,71310.1881,047.9799.731.0绵阳/南郊66577,236280,903105.5524,833.83,812.226.8临沂/沐埠岭67542,759301,34180.1722,016.61,163.473.3湛江68484,499396,26322.3731,969.61,590.323.8腾冲/驼峰69465,778257,63780.8102538.6134.4300.8伊宁70455,584202,130125.4100556.0353.157.5西昌/青山71445,329374,50418.9662,550.82,037.325.2德宏/芒市72443,843380,26516.7593,654.12,888.126.5连云港/白塔埠73423,031291,05945.3851,148.7944.821.6长治/王村74390,379340,61314.695769.7466.365.0大庆/萨尔图75363,404101,553257.8791,307.7310.2321.6库尔勒76359,137270,65732.7861,131.4564.3100.5舟山/普陀山77356,869447,956-20.3111377.2434.7-13.2黄山/屯溪78343,033285,17920.3781,499.8963.355.7柳州/白莲79321,610309,354 4.0553,844.43,285.617.0赣州/黄金80315,246189,10566.7672,205.51,459.751.1景德镇/罗家81307,889242,75326.8107466.9307.751.8恩施/许家坪82295,660472,839-37.593840.2948.1-11.4宜宾/菜坝83289,541211,19737.1682,205.12,008.09.8牡丹江/海浪84288,742260,06311.089979.1759.828.9洛阳/北郊85285,774231,96823.2841,170.11,239.8-5.6南通/兴东86271,440220,26023.2534,654.21,877.7147.9赤峰/玉龙87270,709165,20263.9113333.9212.557.1常德/桃花源88268,789236,26313.8117251.1110.1128.2迪庆/香格里拉89263,323221,33119.092871.9697.525.0和田90260,396188,43438.290899.5771.516.6泸州/蓝田91246,357203,56721.0741,791.51,663.27.7万县/五桥92244,045209,15416.7712,078.11,623.928.0济宁/曲阜93243,684119,332104.291881.8413.5113.2大理94227,072210,4757.9108465.4361.228.8阿克苏95225,393170,48832.2109454.2247.083.9普洱/思茅96219,689191,09015.0103508.0215.0136.3敦煌97204,242152,55633.9123162.5108.549.7锡林浩特98201,251131,78652.7118214.6138.255.3秦皇岛/山海关99200,97661,721225.6116256.9192.833.2佳木斯/东郊100191,592166,04815.4871,053.4517.7103.5盐城/南洋101191,336161,68218.3771,615.21,211.533.3南阳/姜营102190,072134,13541.796721.2582.423.8井冈山103182,412105,76672.594769.8151.7407.5乌海104180,883115,49356.6127129.228.6351.7满洲里/西郊105174,187146,90118.6811,217.8582.7109.0大同/倍加皂106166,420112,84447.5831,193.5484.8146.2达州/河市107164,435144,38313.9751,691.31,188.242.3阿勒泰108164,00485,17292.614619.814.437.5攀枝花/保安营109162,796177,234-8.1652,848.42,378.519.8襄樊/刘集110161,645137,33517.7106473.9353.734.0保山/云端111154,372136,20313.3112361.9137.6163.0林芝/米林112148,796119,70224.3101544.3436.124.8潍坊113141,129106,97931.94218,608.815,969.016.5嘉峪关114133,51389,60449.0120201.183.2141.9衢州115133,498128,389 4.0121180.2172.1 4.7怀化/芷江116133,10972,99582.41610.9 3.5-75.5临沧117126,636114,54310.699589.0338.074.3邯郸118126,46482,10754.013931.133.2-6.3南充/高坪119124,57063,72795.5115306.1123.8147.3齐齐哈尔/三家子120123,218120,384 2.4104507.1462.29.7延安/二十里堡121120,12186,28539.213442.928.450.8通辽122118,31694,89424.7105477.4275.473.4佛山/沙堤123118,1924,5782,481.7110420.50.0阜阳124108,63017,406524.1152 5.30.41,230.3白山/长白山125103,35953,38693.613733.022.646.0丹东/浪头12699,82288,60112.798634.1452.340.2乌兰浩特12798,20477,64526.5128120.5127.9-5.7锦州/小岭子12896,35557,76766.8821,204.6545.6120.8黑河12994,87884,98711.6125153.8139.99.9昌都/邦达13088,84276,78015.7114316.4297.8 6.3布尔津/喀纳斯13182,53019,362326.2158 1.5 3.8-61.5九江/庐山13281,55562,39130.713264.215.3319.3玉树/巴塘13381,1317,484984.1702,129.40.13,275,886.2鸡西/兴凯湖13480,95515,641417.8119214.027.1689.7安庆13576,33030,187152.914125.812.3110.6中卫香山13667,46641,64762.014714.30.043,163.6东营13766,54575,574-11.9122167.4273.2-38.7漠河/古莲13865,72975,263-12.713351.938.335.5百色/田阳13960,31068,016-11.31690.00.083.3文山/普者黑14056,77156,916-0.3124156.7 5.92,567.3库车14149,66930,47263.013636.119.881.8哈密14249,53829,10470.214225.4 4.4481.0梅县/长岗岌14349,37233,87945.714420.911.974.8广元/盘龙14448,54016,533193.6126153.00.625,062.0二连浩特/赛乌苏14547,00514520.90.0伊春/林都14643,90310,252328.2155 2.10.0铜仁/凤凰14742,24937,36313.1130104.97.51,303.2梧州/长州岛14842,21846,663-9.51499.68.119.3格尔木14941,97938,4799.1129108.878.738.3连城/冠豸山15041,93143,460-3.51710.00.0淮安/涟水15139,174159 1.40.0昭通15237,37234,7167.713541.973.3-42.9克拉玛依15334,05132,875 3.6153 4.4 3.623.0永州/零陵15433,2165,932459.913832.510.7203.5兴义15531,88232,911-3.114810.4 5.396.7那拉提15630,27543,783-30.914323.033.4-31.3塔城15725,89615,39968.2156 1.90.4324.3黎平15825,78415,09970.8154 2.4 1.646.4鞍山/腾鳌15924,6071730.00.0甘孜/康定16021,68711,16594.21720.00.2-100.0庆阳16118,70020,577-9.11630.20.0朝阳16216,11321,877-26.31620.50.01,345.5唐山/三女河16314,89513186.10.0博乐/阿拉山口16411,7981640.20.0汉中/西关16511,65111,366 2.514030.824.028.5且末1668,3617,50111.5151 5.6 1.0449.3天水/麦积山1676,76823,718-71.51509.1 4.887.3阿里/昆莎1686,434157 1.70.0固原/六盘山1695,2831740.00.0长海/大长山岛1704,6455,014-7.41700.00.0黔南州/荔波1714,3871512,805.31650.10.0安康1721,8442,854-35.4160 1.4 1.215.7黔江/舟白1731,2581750.00.0吐鲁番/交河1741,2241660.10.0安顺/黄果树175219491-55.41680.00.0。
2011年民航行业发展统计公报[1]中国民用航空局发展计划司2011年,民航系统坚决贯彻落实党中央、国务院的决策和部署,紧紧围绕科学发展这一主题和转变发展方式这一主线,做了大量扎实有效的工作,取得了新的成绩,实现了“十二五”时期的良好开局。
全年航空安全形势稳定,旅客运输和通用航空保持较快增长,运行质量和经济效益得到提升,基础设施建设取得新成绩,结构调整和深化改革迈出新步伐,党的建设和行业文化建设得到加强。
一、运输航空[2]2011年,民航运输发展稳中向好,实现了“十二五”时期的良好开局。
1.运输总周转量[3]2011年,全行业完成运输总周转量577.44亿吨公里,比上年增加38.99亿吨公里,增长7.2%,其中旅客周转量403.53亿吨公里,比上年增加43.98亿吨公里,增长12.2 %;货邮周转量173.91亿吨公里,比上年减少4.99亿吨公里,减少2.8%。
2011年,国内航线完成运输周转量380.61亿吨公里,比上年增加35.13亿吨公里,增长10.2%,其中港澳台航线完成12.64亿吨公里,比上年增加1.05亿吨公里,增长9.1%;国际航线完成运输周转量196.84亿吨公里,比上年增加3.87亿吨公里,增长2.0%。
2.旅客运输量2011年,全行业完成旅客运输量29317万人次,比上年增加2548万人次,增长9.5%。
国内航线完成旅客运输量27199万人次,比上年增加2361万人次,增长9.5%,其中港澳台航线完成760万人次,比上年增加88万人次,增长13.1%;国际航线完成旅客运输量2118万人次,比上年增加187万人次,增长9.7%。
3.货邮运输量2011年,全行业完成货邮运输量557.5万吨,比上年降低1.0%。
国内航线完成货邮运输量379.4万吨,比上年增长2.4%,其中港澳台航线完成21万吨,比上年降低3.0%;国际航线完成货邮运输量178.0万吨,比上年降低7.6%。
4.机场业务量2011年,全国民航运输机场完成旅客吞吐量[4]6.21亿人次,比上年增长10.0%。
中国民用航空机场生产统计实施办法(1991年12月10日中国民用航空局令第16号公布)第一条 为了及时准确地反映民用航空机场的业务量,为机场的建设规划和民航生产计划提供可靠的统计资料,依据《中华人民共和国统计法》和《中华人民共和国统计法实施细则》,制定本办法。
第二条 本办法适用于所有民用航空运输机场和通用航空专用机场(包括民航局所属机场、地方机场和军民合用机场,以下简称"机场")。
不包括民航院校专用训练机场、保留机场和通用航空临时机场。
第三条 机场生产统计实行统一管理,分级负责。
民航局统一管理机场生产统计的实施办法、指标解释、监督检查、全行业的统计汇总和对外公布统计资料;民航地区管理局(以下简称"管理局")负责本地区机场生产统计的监督检查、统计汇总和提供统计资料;机场负责本机场生产统计的组织实施并提供统计资料。
第四条 管理局设置统计机构或配备专职统计人员,并指定统计负责人。
第五条 机场应根据业务量的大小设置统计机构或配备统计人员,并指定统计负责人。
年旅客吞吐量100万人(含)以上的机场可设置统计机构;年旅客吞吐量10万(含)-100万人的机场可设置统计机构或配备专职统计人员;年旅客吞吐量10万人以下的机场可配备专职或兼职统计人员;通用航空专用机场可配备专职或兼职统计人员。
机场生产统计人员必须经过统计专业岗位培训。
第六条 机场应将设立统计机构、配备统计人员的情况报告管理局和民航局备案。
机场应保持统计人员的相对稳定。
机场指定或调动统计负责人时应征求上级主管部门的意见。
第七条 机场生产统计分为机场航空器起降架次统计、机场吞吐量统计和机场客货流量流向统计。
统计报表格式及说明见附件一至三。
第八条 机场航空器起降架次统计是反映机场飞行区繁忙程度的定期统计,包括各航空公司(含民航局直属航空公司、地方或部门所属航空公司及境外航空公司,下同)的航空器在机场的全部起飞和降落架次,以及军用航空器在民用机场的起降架次。
/zhuzhan/tongjigongbao/fenxigongbao/hangyegongbao/201009/t20100916_811430.html2006年交通运输行业发展统计公报中华人民共和国交通部2007年04月23日2006年是“十一五”开局之年。
公路水路交通行业在党中央、国务院的领导下,坚持以科学发展观为统领,认真贯彻落实国家宏观调控的各项政策措施,推进交通事业又好又快发展。
交通基础设施建设取得新成绩,运输保障能力得到新提高,安全监管和人命救助取得新成效,实现了开好局、起好步,向全面完成“十一五”目标迈出了坚实的一步。
一、交通基础设施1、公路公路总量持续增长。
为准确、全面反映全国公路网的整体情况,2005年交通部组织了全国农村公路专项调查,并以此为基础确定农村公路统计标准。
2006年起,将村道纳入公路统计里程(为便于同口径对比,有关专项调查数据和统计标准附后)。
截至2006年底,全国公路总里程达345.70万公里,比上年末增加(同口径比,下同)11.18万公里。
路网结构进一步改善。
全国公路总里程中,国道13.34万公里,省道23.96万公里,县道50.65万公里,乡道98.76万公里,专用公路5.80万公里,村道153.20万公里,分别占公路总里程的3.9%、6.9%、14.7%、28.6%、1.7%和44.3%,比上年末分别下降0.1个、0.1个、0.5个、1.0个、0.2个和提高1.9个百分点。
公路技术等级和路面等级进一步提高。
全国等级公路里程228.29万公里,占公路总里程的66.0%,比上年末提高2个百分点。
其中二级及二级以上高等级公路里程35.33万公里,占公路总里程的10.2%,比上年末提高0.3个百分点。
按公路技术等级分组,各等级公路里程分别为:高速公路4.53万公里,一级公路4.53万公里,二级公路26.27万公里,三级公路35.47万公里,四级公路157.48万公里,等外公路117.41万公里。
2001-2006年我国机场业运行回顾作者:华研网来源:华研网日期:2007-8-23 8:25:04•第一节货邮吞吐量分析一、2001-2006年机场货邮吞吐量情况2001-2006年我国机场货邮吞吐量整体看来是持续增长态势,增长速度在10%以上。
2006年末全国机场共完成货邮吞吐量753.2万吨,比上年增长19%。
其中,国内航线完成504.2万吨,比上年增长16.8%(其中内地至香港和澳门地区航线为46.6万吨,比上年增长15.7%);国际航线完成249万吨,比上年增长23.6%。
图11:2001-2006年我国机场货邮吞吐量变动趋势数据来源:《机场生产统计公报》(2001-2006),华研世纪整理n 民用航空定期通航概况据民航总局统计显示,2005年,我国境内民用航空定期航班通航机场135个(不含香港和澳门,下同),比2004年多了两家定期通航机场。
定期航班通航城市133个,比上年新增一个定期航班通航城市。
年内定期航班新通航的城市有贵州安顺、山西运城、内蒙古满洲里和湖南芷江;北京南苑、山西大同和甘肃庆阳年内恢复执行定期航班。
2006年,我国境内民用航空定期航班通航机场142个(不含香港和澳门)。
定期航班通航城市140个。
年内定期航班新通航的城市有贵州黎平、西藏林芝、云南文山和新疆那拉提,陕西安康、四川达县、新疆克拉玛依、江西九江和河北秦皇岛年内恢复执行定期航班。
表9:2006 年三大航空公司运营枢纽机场和通航城市运营的枢纽机场通航城市国航首都机场、香港机场通航城市106个,航线316条南航首都机场、白云机场通航城市142个,航线559条东航首都机场、浦东机场通航城市118,航线273条数据来源:华研整理n 货邮吞吐量分布各机场中,2006年货邮吞吐量在10000吨以上的有39个,与上年持平,完成货邮吞吐量占全部机场货邮吞吐量的98.4%;北京、上海和广州三大城市机场货邮吞吐量占全部机场货邮吞吐量的58.2%。
中国国际机场一览北京首都国际机场北京首都国际机场,简称首都机场、北京机场,为中国北京市联外主要的国际机场,并且是目前中国最繁忙的民用机场,同时也是中国国际航空公司的基地机场。
2004年,北京首都国际机场取代成田国际机场,成为亚洲按飞机起降架次计算最为繁忙的机场。
2006年,北京首都国际机场旅客吞吐量已成为亚洲第二(仅次于羽田机场),全球排名第9位。
2008年,北京首都国际机场旅客吞吐量达到5566万人次,同比增长4.3%,排名世界机场第8位。
2009年1-3月,北京首都国际机场旅客吞吐量达到2068万人次,同比增长20.0%,成为世界第2、亚洲第1旅客吞吐量的机场。
2011年9月18日,首都机场T2航站楼工地起火,未对航班造成影响。
首都国际机场- 基本信息首都国际机场北京首都国际机场Beijing CapitalInternational Airport机场类型公共商业管理机构北京首都国际机场股份有限公司启用日期1958年服务城市北京市区距离25公里海拔高度35米机场代码IATAICAO PEK ZBAA地理位置纬度经度40°04′48″116°35′04″跑道方向长度表面英尺米18R/36L10,449 3,200 沥青18L/36R12,468 3,800 沥青首都国际机场- 公司简介北京首都国际机场股份有限公司北京首都国际机场股份有限公司(简称“公司”)成立于1999年10月15日;2000年2月1日,公司股票在香港联交所成功上市;2001年5月18日,经国家对外经济贸易合作部批准,公司成为一家外商投资股份有限公司。
公司主要在首都机场经营航空性业务和管理非航空性业务。
首都机场位于北京市东北方向朝阳区在顺义区的一块飞地,距离天安门广场25.35公里。
机场有东、西两条双向跑道,长宽分别为3800×60米、3200×50米,并且装备有II类仪表着陆系统;一号航站楼为中国南方航空公司和厦门航空专用,二号航站楼用于其它航空公司的国内及国际航班。
民航不安全事件统计分析报告2012年2月一、2月份总体安全情况2012年2月份,全行业共发生航空器事故征候16起,同比增加8起,其中:运输航空严重事故征候1起,同比持平;运输航空一般事故征候11起,同比增加5起;通用航空事故征候1起,同比增加1起;航空器地面事故征候3起,同比增加2。
2012年2月,事故征候总次数和万时率同比均呈现增长趋势,与2011年同期相比增加8起,万时率增加69.39%,与2010年同期相比增加8起,万时率增加60.09%;环比减少2起,万时率减少9.59%(如图1)。
(图1 )2月份同期及2012年1月我国民航事故征候发生次数、万时率对比注:括号内的次数为严重事故征候次数(图2 )2011年2月—2012年2月我国民航事故征候次数及万时率对比(图3 )2月份同期及2012年1月我国民航人为原因事故征候次数及万时率对比注:1、人为原因事故征候是指由于人为原因造成的运输航空事故征候、通用航空事故征候和航空器地面事故征候的总和;2、括号内为机组原因事故征候数量。
图2显示了过去13个月事故征候的总次数、万时率变化情况。
图3显示了2月份同期及2012年1月我国民航人为原因事故征候次数及万时率对比。
可见,2月我国民航人为原因事故征候数量和万时率环比有所下降,但与往年同比却略有增加。
截至到2012年2月份,全行业部分安全指标情况如表1所示。
(表1 )全行业部分安全指标情况54.84%16.93%25.39%2.06%112.94%37.65%188.23%运输航空事故征候万时率/目标值人为原因事故征候万时率/目标值(运输航空)严重事故征候万时率/目标值(运输航空)通用航空事故征候万架次率/目标值地面事故征候万架次率/目标值机场原因事故征候万架次率/目标值油料原因事故征候万架次率指标值/目标值(图4 )2012年2月安全指标情况雷达图将2012年2月,民航各种安全指标情况绘制成雷达图(见图4),最差的三个安全指标依次是:油料原因事故征候万架次率、地面事故征候万架次率、运输航空事故征候万时率。
2012年全国机场生产统计公报中国民航局 (2013-03-25) 来源:2012年,全行业紧紧围绕科学发展的主题和转变发展方式的主线,认真贯彻落实《国务院关于促进民航业发展的若干意见》,按照所确定的民航工作总体要求开展工作,全行业保持了健康发展。
2012年全国运输机场主要生产情况如下:一、通航城市和机场2012年,我国境内民用航空(颁证)机场共有183个(不含香港和澳门,下同),其中定期航班通航机场180个,定期航班通航城市178个。
年内定期航班新通航的城市有黑龙江加格达奇、江苏扬州泰州、贵州遵义,昆明长水机场完成迁建,四川攀枝花机场、新疆且末机场停航。
二、主要生产指标2012年我国机场吞吐量各项指标保持平稳增长势头,全年完成旅客吞吐量67977.2万人次,比上年增长9.5%。
其中,国内航线完成62378.8万人次,比上年增长9.2% (其中内地至香港、澳门和台湾地区航线为2271.8万人次,比上年增长13.4%);国际航线完成5598.4万人次,比上年增长13.4%。
全年完成货邮吞吐量1199.4万吨,比上年增长3.6%。
其中,国内航线完成784.9万吨,比上年增长4.6%(其中内地至香港、澳门和台湾地区航线为73.4万吨,比上年增长5.8%);国际航线完成414.5万吨,比上年增长1.7%。
全年完成飞机起降架次660.3万架次,比上年增长10.4%。
其中:运输架次为566.5万架次,比上年增长9.9%。
起降架次中:国内航线611.5万架次,比上年增长10.6%(其中内地至香港、澳门和台湾地区航线为17.4万架次,比上年增长13.1%);国际航线48.8万架次,比上年增长8.1%。
(注:国内、港澳台、国际航线分类按客货流向进行划分)三、旅客吞吐量分布所有通航机场中,年旅客吞吐量在100万人次以上的有57个,比上年增加4个,完成旅客吞吐量占全部机场旅客吞吐量的95.3%;年旅客吞吐量在1000万人次以上的为21个,与上年持平,完成旅客吞吐量占全部机场旅客吞吐量的74.0%;北京、上海和广州三大城市机场旅客吞吐量占全部机场旅客吞吐量的30.7%。
比上年同期比上年同期比上年同期增减%增减%增减%合计914,773,311831,533,05110.014,094,00313,560,841.0 3.98,565,5267,933,1108.0北京/首都189,939,04986,128,313 4.421,889,439.51848251.5 2.21590,199581,952 1.4上海/浦东260,098,07351,687,89416.313,275,231.13,181,654 2.92449,171402,105.011.7广州/白云355,201,91554,780,3460.831,537,758.91,454,044 5.83409,679412,210.0-0.6成都/双流442,239,46837,675,23212.15556,552.1545,011 2.16293,643270,054.08.7深圳/宝安539,721,61936,272,7019.541,013,690.5963,871 5.24305,461286,346.0 6.7上海/虹桥639,090,86537,971,135 2.96433,600.1432,1760.38256,603253,325.0 1.3昆明/长水737,523,09832,230,88316.49355,422.8316,67212.25300,406270,529.011.0西安/咸阳832,970,21529,260,75512.714211,591.5186,41313.57267,102245,971.08.6重庆/江北932,402,19629,264,36310.711318,781.5302,336 5.49255,414238,085.07.3杭州/萧山1028,354,43525,525,86211.17424,932.7398,558 6.610232,079213,268.08.8厦门/高崎1121,814,24420,863,786 4.612310,606.6306,385 1.413180,112174,315.0 3.3南京/禄口1219,163,76816,283,81617.710326,026.5304,3257.114166,858144,278.015.7武汉/天河1318,942,03817,277,1049.617154,656.2143,0308.115164,524157,596.0 4.4长沙/黄花1418,715,27818,020,501 3.921122,022.1125,038-2.418153,367152,359.00.7乌鲁木齐/地窝堡1518,506,46316,311,14013.516156,469.8162,711-3.819153,097142,266.07.6青岛/流亭1618,202,08516,411,78910.915208,064.0204,419 1.816155,483142,452.09.1郑州/新郑1717,297,38515,805,4439.48403,339.0370,4218.917154,468147,696.0 4.6三亚/凤凰1816,191,93014,942,3568.42885,369.375,64612.924108,532102,074.0 6.3海口/美兰1916,167,00413,853,85916.720135,944.6121,13112.221121,825105,861.015.1天津/滨海2014,314,32212,073,04118.613217,279.2233,359-6.920125,693114,557.09.7大连/周水子2114,154,13013,551,223 4.419137,048.1133,490 2.722117,794115,284.0 2.2哈尔滨/太平2214,054,35712,239,02614.823116,103.8106,5609.025108,42897,746.010.9贵阳/龙洞堡2313,244,98212,525,537 5.72687,207.082,063 6.323116,914113,424.0 3.1沈阳/桃仙2412,680,11812,800,272-0.918142,069.6138,318 2.72799,56397,172.0 2.5福州/长乐2510,887,2929,353,41416.422116,497.5121,383-4.02896,12786,944.010.6南宁/吴圩2610,393,7289,412,24610.42495,710.390,353 5.92986,87380,496.07.9济南/遥墙279,520,8878,708,9509.32786,336.880,5037.23086,15883,551.0 3.1太原/武宿288,842,9877,931,90211.53545,463.644,864 1.33379,37673,211.08.4长春/龙嘉298,556,1827,421,72615.32977,793.973,561 5.83767,76360,751.011.5兰州/中川308,009,0406,588,86221.63450,093.846,967 6.73667,83557,481.018.0南昌/昌北317,487,9307,240,861 3.43351,080.546,06610.93867,30465,402.0 2.9呼和浩特/白塔327,446,2506,469,63215.14036,077.836,752-1.83474,50965,690.013.4温州/龙湾337,360,4676,802,1798.23172,638.168,828 5.53961,75059,135.0 4.4宁波/栎社346,855,0756,359,1397.83077,054.278,024-1.24356,11053,897.0 4.1合肥/新桥356,613,1115,974,59910.73251,291.146,42610.54157,29453,056.08.0桂林/两江366,361,0456,897,741-7.84329,519.535,842-17.64454,08960,804.0-11.0石家庄/正定375,985,3895,601,017 6.93644,693.945,555-1.94256,72856,216.00.9丽江/三义385,626,3074,852,28416.0528,291.17,03817.84845,93842,710.07.6银川/河东395,389,9084,663,80915.64133,326.131,1337.04747,05843,025.09.4北京/南苑405,265,2014,929,241 6.83836,755.637,250-1.35042,12942,638.0-1.2珠海/金湾414,708,7064,075,91815.54425,828.122,12816.74550,47850,939.0-0.9无锡/硕放424,609,3444,180,03810.32589,060.096,120-7.35338,56935,781.07.8烟台/蓬莱434,246,5814,305,822-1.43936,610.838,603-5.24944,42443,091.03.12014年名次2015年2014年名次机场名称名次2015年2014年2015年民航机场吞吐量排名2015-01-01 至 2015-12-31旅客吞吐量(人)货邮吞吐量(吨)起降架次(次)2015年。
2002年北京首都国际机场保障飞机安全起降242,338架次,旅客吞吐量达2715.97万人次,货邮吞吐量88.6万吨
2003年北京首都国际机场保障飞机安全起降23.6万架次,旅客吞吐量达2347.08万人次,货邮吞吐量69.3万吨
2004年首都机场旅客吞吐量3489万人次,货邮吞吐量67万吨,飞机起降30万架次。
2005年首都机场旅客吞吐量为4,080万人次,货邮吞吐量78.2万吨,飞机起降架次约为34.17万架次
2006年北京首都国际机场旅客吞吐量4874.8万人次,货邮吞吐量120.2万吨,飞机起降架次37.9万架次。
2007年首都机场航班起降架次、旅客吞吐量和货邮吞吐量分别达到39.97万架次、5358万人次、119万吨
2008年旅客货邮起降架次
55,938,136 1,367,710.3 429,646
2009年旅客货邮起降架次
65,375,095 1,475,656.8 487,918
2010年首都机场全年旅客吞吐量为7394.8万人次,飞机起降架次为517,585架次,货邮吞吐量155.15万吨
2011年北京首都国际机场保障飞机安全起降533,166架次,旅客吞吐量达7867.5万人次,货邮吞吐量164.02万吨
2012年首都机场旅客吞吐量为8192.93万人次;货邮吞吐量达179.99万吨;飞机起降架次达55.72万次。
单跑道飞机起飞模型转变为一条航路飞机运行模型。
中国民航运输业分析报告摘要近年来,我国民航业市场化进程加快,整个行业处于快速发展阶段。
民航业是国民经济的重要组成部分,市交通运输这一独立的物质生产部门中的一个子部门。
在运输业中,随着社会的变迁与经济的发展,民航运输在我国交通运输体系中所扮演的角色日渐重要,其运输时间短的优势是其他交通工具远远不及的。
航空运输与其他运输方式相比,有快速安全等特点。
经济全球化对远距离运输需求的不断增长使得物资和人员在世界各地的流动更加频繁,其在经济中发挥着越来越重要的作用。
近年来,航空运输产业的运输总量增长十分迅速,航空运输服务的种类也愈加丰富,是国际上十分具有朝气的行业。
同时,该产业与科技进步联系紧密,产业价值具有很大的成长潜力。
一、行业定义航空运输业的简称是民航业,其是指以飞机作为运输工具,以民用为宗旨,以航空港为基地,通过一定的空中航线运送旅客和货物的运输方式,是一个国家和地区的交通运输系统的重要有机组成部分。
在航空运输产业之中主要包括:机场、航空公司、通用航空、空管部门和直接服务的部门,按照其业务的性质划分主要有旅客运输和货物运输两大类。
其民航业在《国民经济行业分类与代码(GB/T4754-2011)》中的航空运输业。
资料来源:《国民经济行业分类与代码(GB/T4754-2011)》二、行业基本概况(一)行业需求我国民航业实现平稳较快发展,2015年我国经济发展继续承压,但民航业受出境游需求扩大影响,总体依旧保持平稳较快增长。
从主要运输生产指标完成情况看,2015年,全行业完场运输总周转量850.4亿吨公里,比上年增加102.4亿吨公里,同比增长13.7%,增速较上年增加2.3个百分点。
2016年第一季度,我国经济增速进一步回落。
宏观经济调整传导到各行各业,民航业也一改前几年迅猛增长的态势,转入温和发展阶段。
(二)行业供给2015年,我国航空公司的机队规模继续稳步扩大,民航期末在册飞机总数达到4511架,同比增长8.2%;其中运输飞机架数达到2645架,较上年增加275架,增长幅度为11.6%;运力引进速度较上年略有提升;运用飞机数量较上年增加68架,达到1866架。
1、已知2006 —2009年国内机场旅客吞吐量如下表所示。
使用简单几何平均法预测2010 年国内机场旅客吞吐量为()亿人年份112006 |1200? |-------------- 4—2008 |12009 |1机场旅客呑吐壘(亿人)i13. 32 |I乩88 |1乳06 |14. 86 |A:3 . 99B:4. 03C:4. 56D:4 . 93答案:A2、在一国领土上装上前往或卸下来自任何其他国家的客、货、邮的自由或权利称为()业务权或自由。
A:第二种B:第三种C:第四种D:第五种答案:D3、国际航空运输协会的清算所设在()A:蒙特利尔B:纽约C:日内瓦D:曼谷答案:C4、国际民航组织大会每()年至少召开一次。
A:1B:2C:3D:4答案:C5、国际民航组织是()的产物。
A:《华沙公约》B:《芝加哥公约》C:《海牙议定书》D:《东京公约》答案:B6、针对产生质量问题的原因制定解决问题的措施计划时,应明确()。
A:4M1EB:5W1HC:PDCAD:TOM答案:B7、在PDCA循环的A阶段,对于未解决的遗留问题或新出现的问题,需要()A:与所有员工分享)内货币为基B:纳入标准中 C:由员工负责解决 D:转入下一个循环 答案:D8、航空运输服务策划的结果是产生( )A:产品质量要求 B :产品特性标准 C:质量手册 D:服务规范 答案:D9、在质量突破过程中,常用的方法是利用()来选择质量突破的目标。
A:因果图 B :排列图 C:直方图 D:散布图 答案:B10、一本从日本始发的客票,如果在香港以港币(HKD )付款,则应以( 础转换为开账货币。
A:票价栏(FARE )B :实付货币栏(EQUIV . FAREPD .)C:税款栏(TAX)D:付款方式栏(FORMOFPAYMENT)答案:B11、如果客票票价计算栏缺少承运人信息,该信息可以从航程栏获得的前提是() A:得到出票航空公司认可B:相关信息在出票时已被填入C:被分摊额不涉及连续客票D:相关信息在出票时已被填入且被分摊额不涉及连续客票答案:D12、如果客票的某一航段先后填入AA和BB两个承运人,则比例分摊的承运人应为()。