2015年全国民航机场吞吐量排名.xls
- 格式:xls
- 大小:66.00 KB
- 文档页数:5
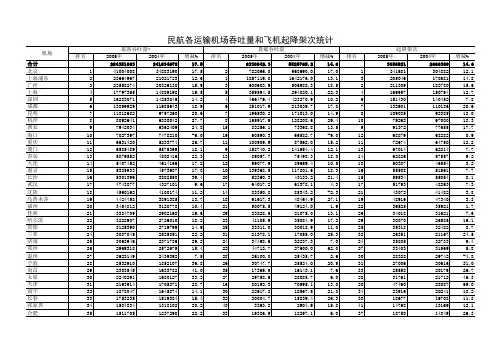
合计831,533,051754,308,68210.213,560,84112,585,175.17.87,933,1107,315,4408.4北京/首都186,128,31383,712,355 2.921,848,251.51843681.10.21581,952567,757 2.5广州/白云254,780,34652,450,262 4.431,454,043.81,309,74611.02412,210394,403.0 4.5上海/浦东351,687,89447,189,8499.513,181,654.12,928,5278.63402,105371,190.08.3上海/虹桥437,971,13535,599,643 6.76432,176.4435,116-0.77253,325243,916.0 3.9成都/双流537,675,23233,444,61812.65545,011.2501,3918.76270,054250,532.07.8深圳/宝安636,272,70132,268,45712.44963,871.2913,472 5.54286,346257,446.011.2昆明/长水732,230,88329,688,2978.69316,672.4293,6287.85270,529255,546.0 5.9重庆/江北829,264,36325,272,03915.812302,335.8280,1507.99238,085214,574.011.0西安/咸阳929,260,75526,044,67312.315186,412.6178,858 4.28245,971226,041.08.8杭州/萧山1025,525,86222,114,10315.47398,557.6368,0958.311213,268190,639.011.9厦门/高崎1120,863,78619,753,016 5.610306,385.0299,491 2.312174,315166,837.0 4.5长沙/黄花1218,020,50116,007,21212.620125,037.8117,589 6.314152,359137,843.010.5武汉/天河1317,277,10415,706,06310.017143,029.6129,45010.513157,596148,524.0 6.1青岛/流亭1416,411,78914,516,66913.114204,419.4186,1969.818142,452129,751.09.8乌鲁木齐/地窝堡1516,311,14015,359,170 6.216162,711.3153,275 6.219142,266135,874.0 4.7南京/禄口1616,283,81615,011,7928.511304,324.8255,78919.016144,278134,913.0 6.9郑州/新郑1715,805,44313,139,99420.38370,420.7255,71344.915147,696127,835.015.5三亚/凤凰1814,942,35612,866,86916.12975,645.862,94620.224102,07490,748.012.5海口/美兰1913,853,85911,935,47016.122121,131.4111,8148.323105,86194,436.012.1大连/周水子2013,551,22314,083,131-3.819133,490.0132,3300.920115,284107,709.07.0沈阳/桃仙2112,800,27212,106,952 5.718138,318.4136,066 1.72697,17292,300.0 5.3贵阳/龙洞堡2212,525,53710,472,58919.62682,063.477,425 6.022113,42493,646.021.1哈尔滨/太平2312,239,02610,259,90819.323106,559.892,31015.42597,74684,532.015.6天津/滨海2412,073,04110,035,83320.313233,358.6214,4208.821114,557100,729.013.7南宁/吴圩259,412,2468,157,33115.42590,353.286,950 3.92980,49671,408.012.7福州/长乐269,353,4148,925,923 4.821121,383.4110,23910.12786,94483,406.0 4.2济南/遥墙278,708,9508,139,0877.02780,503.172,56110.92883,55180,746.0 3.5太原/武宿287,931,9027,803,574 1.63644,863.944,354 1.13273,21176,546.0-4.4长春/龙嘉297,421,7266,733,07610.23073,560.968,0328.13660,75156,850.0 6.9南昌/昌北307,240,8616,811,028 6.33446,066.440,38914.13465,40264,029.0 2.1桂林/两江316,897,7415,875,32717.44135,841.532,9868.73560,80450,696.019.9温州/永强326,802,1796,595,929 3.13168,828.459,78715.13759,13558,867.00.5兰州/中川336,588,8625,649,60516.63246,967.041,75212.53857,48151,799.011.0呼和浩特/白塔346,469,6326,150,282 5.24036,752.332,60012.73365,69062,799.0 4.6宁波/栎社356,359,1395,459,33316.52878,024.564,24721.44253,89746,468.016.0合肥/新桥365,974,5995,628,013 6.23346,426.039,98416.14353,05652,872.00.3石家庄/正定375,601,0175,110,5369.63545,554.542,976 6.04156,21651,980.08.1北京/南苑384,929,2414,455,26310.63937,249.937,0920.44942,63838,661.010.3丽江/三义394,852,2843,999,42221.3537,037.76,35610.74842,71037,015.015.4银川/河东404,663,8094,247,8439.84231,132.629,1057.04743,02539,230.09.7烟台/莱山414,305,8223,635,46718.43838,603.345,319-14.84643,09138,252.012.7无锡/硕放424,180,0383,590,18816.42496,120.487,6429.75235,78131,844.012.4珠海/三灶434,075,9182,894,35740.84522,128.222,667-2.44450,93944,725.013.9西宁/曹家堡443,852,5283,236,41719.04620,256.819,940 1.65433,75328,792.017.2西双版纳/嘎洒453,360,5053,050,17010.2586,123.76,581-6.95730,92429,164.0 6.0揭阳/潮汕462,870,2522,686,007 6.94818,569.317,3047.35334,90032,391.07.7泉州/晋江472,784,2072,634,423 5.73741,232.838,772 6.36027,10525,102.08.0拉萨/贡嘎482,563,2042,296,95811.64422,211.120,968 5.96424,07921,035.014.5常州/奔牛491,860,9441,526,60521.94918,241.115,25119.66722,43819,348.016.0包头/二里半501,829,9901,708,8467.15010,139.110,012 1.37117,10514,965.014.3九寨/黄龙511,702,5271,350,87226.0115890.3 7315,96013,592.017.4鄂尔多斯/伊金霍洛521,503,0651,731,882-13.2546,610.49,456-30.15829,00929,584.0-1.9海拉尔/东山531,494,4991,287,48316.1576,135.95,5919.77714,59712,685.015.1喀什541,428,5861,149,42824.3517,595.26,28120.98113,09410,862.020.5榆林/榆阳551,386,4831,191,03116.4703,112.32,8758.27615,54313,924.011.6徐州/观音561,267,5481,112,81113.9556,432.16,298 2.15531,40037,822.0-17.0延吉/朝阳川571,242,1641,114,82911.4566,315.95,7889.18610,3699,060.014.4义乌581,204,5421,161,463 3.7625,292.03,45353.38310,74910,632.0 1.1宜昌/三峡591,127,093900,07625.2654,294.04,628-7.25040,40039,444.0 2.4张家界/荷花601,091,5591,006,3348.5981,404.42,302-39.0909,8728,557.015.4绵阳/南郊611,084,998917,32518.3615,464.04,85612.510214,558201,022.0 6.7德宏/芒市621,060,650929,54014.1595,669.44,43827.88810,1369,248.09.6北海/福成631,003,038848,33818.2664,011.04,813-16.77814,13811,412.023.9库尔勒641,001,541731,52236.9673,954.83,06729.08710,2848,097.027.0湛江65983,519691,44342.2693,412.42,66328.17515,65512,180.028.5临沂/沐埠岭66949,300767,84423.6644,662.74,10013.78510,3888,539.021.7运城/张孝67935,8951,010,070-7.3812,556.12,819-9.38212,0289,507.026.5南通/兴东68932,368675,66038.04328,030.021,59329.86226,10430,749.0-15.1赤峰/玉龙69881,293660,70433.4752,707.71,80150.38910,0497,533.033.4名次本期完成上年同期比上年增减%比上年增减%名次本期完成上年同期2014-01-01 至 2014-12-31旅客吞吐量(人)货邮吞吐量(吨)起降架次(次)机场名次本期完成上年同期比上年增减%。
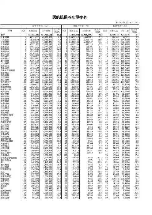
比上年同期比上年同期增减%增减%合计486,063,491405,762,10419.89,455,645.28,833,590.17.0北京/首都165,375,09555,938,13616.921,475,656.81,367,710.37.91广州/白云237,048,71233,435,47210.83955,269.7685,867.939.32上海/浦东331,921,00928,235,69113.112,543,393.62,603,027.0-2.33上海/虹桥425,078,54822,877,4049.65439,071.9415,726.3 5.67深圳/宝安524,486,40621,400,50914.44605,469.2598,036.4 1.25成都/双流622,637,76217,246,80631.36373,515.0373,067.30.16昆明/巫家坝718,944,71615,877,81419.37258,755.3236,347.79.58西安/咸阳815,294,94811,921,91928.314127,000.2117,084.58.59杭州/萧山914,944,71612,673,19817.98226,307.9210,793.07.410重庆/江北1014,038,04511,138,43226.011186,005.9160,256.416.111厦门/高崎1111,327,8709,385,43620.710196,025.1195,462.90.315武汉/天河1211,303,7679,202,62922.817101,874.789,852.813.412长沙/黄花1311,284,2828,454,80833.51886,995.071,151.922.313南京/禄口1410,837,2228,881,26122.09200,099.0187,604.1 6.714青岛/流亭159,660,1298,200,36717.813135,364.4130,450.2 3.816大连/周水子169,550,3658,205,45416.415125,832.0129,388.1-2.717海口/美兰178,390,4788,221,997 2.01977,779.674,062.5 5.020三亚/凤凰187,941,3456,006,30032.23138,396.929,298.931.124沈阳/桃仙197,504,8286,807,23510.216112,444.6102,487.59.721郑州/新郑207,342,4275,887,59824.72170,533.064,655.39.118乌鲁木齐/地窝堡216,575,3755,817,27413.02077,632.377,748.1-0.122哈尔滨/太平226,558,7964,985,21231.62266,152.058,695.312.725济南/遥墙235,852,8714,828,74621.22456,596.648,875.315.823天津/滨海245,780,2814,637,29924.612168,103.1166,558.10.919贵阳/龙洞堡255,687,6524,324,08531.52551,619.041,967.923.026福州/长乐265,451,1964,533,88920.22364,400.960,152.57.128桂林/两江275,319,3624,259,41024.93329,636.227,419.48.129温州/永强284,821,5273,976,54621.23044,326.036,847.720.331太原/武宿294,632,1794,312,9107.43234,495.731,511.49.527南宁/吴圩304,520,2123,394,84633.12946,268.737,637.822.932宁波/栎社314,031,4473,574,35212.82846,839.739,768.817.833南昌/昌北323,937,8973,331,77618.23724,524.423,571.2 4.030长春/龙嘉333,878,4163,049,76727.22648,085.336,511.131.735合肥/骆岗343,205,6942,525,29426.93528,115.823,844.017.936呼和浩特/白塔352,898,6612,121,90536.64114,513.213,310.79.038兰州/中川362,861,5072,212,30629.33627,021.221,747.924.241银川/河东372,305,9301,642,34240.44015,127.511,734.828.948丽江/三义382,295,3231,881,74522.0661,674.81,279.530.947无锡/硕放392,217,9321,642,49735.02747,021.339,569.220.449烟台/莱山402,094,8041,707,49822.73429,189.625,207.615.845民航机场业务量(排序)2009-01-01 至 2009-12-31旅客吞吐量(人)货邮吞吐量(吨)机场名次本期完成上年同期名次本期完成上年同期名次西双版纳/嘎洒411,942,3231,637,45418.6486,664.95,192.428.450九寨/黄龙421,749,316660,384164.91590.053泉州/晋江431,655,9861,401,95818.14213,792.311,213.723.051北京/南苑441,607,5951,357,03818.54512,528.013,243.0-5.454珠海/三灶451,385,8581,121,83123.54313,759.611,139.323.546西宁/曹家堡461,351,759951,33042.1477,458.76,691.411.555石家庄/正定471,320,2411,043,68826.53818,672.315,343.921.739汕头/外砂481,266,4071,091,09516.1469,088.78,491.47.052张家界/荷花491,201,9761,019,96117.8681,633.11,163.240.456拉萨/贡嘎501,121,613699,87660.34412,872.69,755.731.958包头/二里半511,070,122753,29342.1504,678.64,517.8 3.657延吉/朝阳川52808,256790,885 2.2573,126.42,847.69.862威海/大水泊53675,451651,270 3.7583,003.43,238.7-7.359宜昌/三峡54657,507523,23425.7533,498.42,676.030.760榆林/榆阳55631,769236,815166.8102327.4134.4143.663喀什56574,485427,57734.4602,445.41,832.933.476义乌57559,652516,3258.4553,259.43,346.9-2.673武夷山58535,713565,115-5.282799.7883.7-9.574常州/奔牛59535,198550,808-2.8496,173.36,393.4-3.466海拉尔/东山60532,463342,41655.5771,094.51,298.5-15.767合州/路桥61526,738407,69829.2514,293.23,234.932.772徐州/观音62511,469401,04627.5563,251.02,561.226.961运城/张孝63506,642303,57166.9781,024.1715.143.265北海/福成64505,440267,16889.2761,130.6837.335.071恩施/许家坪65472,839318,83348.380948.1460.6105.868鄂尔多斯/伊金霍洛66472,656307,51353.7651,823.21,084.968.169舟山/普陀山67447,956355,64526.096434.7321.935.064湛江/坡头68396,263302,83730.9701,590.31,329.719.675德宏/芒市69380,265354,5747.2592,888.12,668.58.282西昌/青山70374,504263,15342.3622,037.31,494.036.479长治/王村71340,613260,82830.692466.3229.6103.177柳州/白莲72309,354265,00416.7543,285.62,754.919.380临沂/沐埠岭73301,341230,57730.7751,163.4729.959.444连云港/白塔埠74291,059208,63039.581944.8993.4-4.983黄山/屯溪75285,179227,47125.479963.3636.951.386绵阳/南郊76280,903208,44234.8523,812.23,805.80.293库尔勒77270,657200,83034.888564.3277.3103.570牡丹江/海浪78260,063160,93261.684759.8536.041.885腾冲/驼峰79257,6370117134.40.090景德镇/罗家80242,753189,25628.3104307.7119.8156.899常德/桃花源81236,263157,78949.7120110.177.641.791洛阳/北郊82231,968182,87926.8721,239.8795.755.84迪庆/香格里拉83221,331161,47637.185697.5540.729.092南通/兴东84220,260161,36536.5641,877.71,841.7 2.040宜宾/菜坝85211,197177,59618.9632,008.01,771.613.397大理86210,475290,255-27.598361.2556.7-35.195万县/五桥87209,154126,69665.1691,623.9693.7134.188泸州/蓝田88203,567163,73624.3671,663.21,529.18.894伊宁89202,130264,124-23.5100353.1450.1-21.684普洱/思茅90191,090135,88840.6109215.044.0388.8104赣州/黄金91189,105120,49756.9711,459.7810.280.278和田92188,434146,00829.183771.5459.867.8111攀枝花/保安营93177,234211,069-16.0612,378.52,150.410.6109阿克苏94170,48870,775140.9108247.0147.167.981佳木斯/东郊95166,048111,04449.590517.7225.9129.1105赤峰/玉龙96165,20282,223100.9110212.5118.179.987盐城/南洋97161,682101,27859.6731,211.5604.8100.3103敦煌98152,610134,06213.8121108.5101.6 6.996满洲里/西郊99146,901122,72719.786582.7575.7 1.2107达州/河市100144,383108,14933.5741,188.2457.6159.6111襄樊/刘集101137,335103,61132.599353.7220.660.337保山/云端102136,203149,792-9.1116137.6186.6-26.3113南阳/姜营103134,13594,19842.487582.4401.845.042锡林浩特104131,78651,040158.2115138.245.5203.6100衢州105128,38961,434109.0112172.186.698.7114齐齐哈尔/三家子106120,38493,19629.293462.2460.80.3119林芝/米林107119,70265,75882.095436.1365.419.4136济宁/曲阜108119,33247325,128.897413.50.01,722,820.8116乌海109115,49373,95156.212828.617.662.8121临沧110114,543114,892-0.3101338.0329.3 2.6122大同/倍加皂111112,844117,423-3.991484.8214.2126.3115潍坊112106,97928,721272.53915,969.013,961.814.489井冈山113105,76664,17164.8113151.717.1787.898大庆/萨尔图114101,5530103310.20.0132通辽11594,89466,43542.8106275.4218.925.8108嘉峪关11689,60464,66938.612283.282.50.8123丹东/浪头11788,60157,91053.094452.3371.221.9134延安/二十里堡11886,28532,727163.712928.440.6-30.1101阿勒泰11985,172116,275-26.713514.419.3-25.5117黑河12084,98741,823103.2114139.9396.1-64.7135邯郸12182,10770,77916.012733.2112.3-70.4110乌兰浩特12277,64551,13851.8118127.943.2196.1102昌都/邦达12376,78053,87942.5105297.8193.653.8140东营12475,57457,03532.5107273.2216.826.0118漠河/古莲12575,26324,304209.712538.3 4.8705.9129怀化/芷江12672,99555,76730.9147 3.5 5.7-38.3131百色/田阳12768,01617,574287.01580.00.0120南充/高坪12863,72745,44340.2119123.8189.7-34.734九江/庐山12962,39143,02845.013415.37.4108.1126秦皇岛/山海关13061,72155,79310.6111192.8153.225.8133锦州/小岭子13157,76744,98928.489545.6413.432.0137文山/普者黑13256,91648,23618.0141 5.9 5.311.7142白山/长白山13353,3864,4521,099.113222.60.062,694.4139梧州/长州岛13446,66327,18171.71398.1 6.819.343那拉提13543,78310,445319.212633.40.221,320.5143连城/冠豸山13643,46014,342203.015911.8-100.0148中卫香山13741,64714528,622.11560.00.0128格尔木13838,47921,16681.812378.756.539.3150铜仁/凤凰13937,36355,175-32.31407.515.8-52.8106昭通14034,71638,162-9.012473.3164.2-55.3151梅县/长岗岌14133,87925,32433.813711.9 6.099.4125兴义14232,91132,538 1.1142 5.317.8-70.2141克拉玛依14332,87525,06531.2146 3.6 2.923.7138库车14430,47236,211-15.813319.838.4-48.4146安庆14530,18717,12276.313612.37.661.2127哈密14629,1041,4691,881.2144 4.40.8445.3144天水/麦积山14723,7181,1262,006.4143 4.80.0130朝阳14821,87717,74423.31560.00.0152庆阳14920,57727,419-25.01590.1-100.0124布尔津/喀纳斯15019,36216,01920.9145 3.80.12,940.0157阜阳15117,4064,271307.51530.40.0156广元/盘龙15216,53501510.60.0161鸡西/兴凯湖15315,641013027.10.0159塔城15415,3998,69977.01520.4 1.0-56.9145黎平15515,0998,51777.3148 1.6 3.7-56.1153汉中/西关15611,36612,214-6.913124.025.3-5.0147甘孜/康定15711,1651586,966.51540.20.1185.7155伊春/林都15810,25201590.0160且末1597,5015,50236.3150 1.00.3210.0161玉树/巴塘1607,48401550.10.0163永州/零陵1615,9324,49432.013810.79.89.4154长海/大长山岛1625,0143,10661.41590.0149佛山/沙堤1634,5780159164安康1642,8545,526-48.4149 1.2 2.1-41.4158安顺/黄果树16549101590.0165黔南/荔波1661517,886-98.11590.5-100.01662010-1-21- 1-18,19315,87214.6 13,4119,13246.9 16,84214,67714.8 13,25212,2458.2 23,14930,430-23.9 12,3269,45530.4 32,48128,95312.2 13,51711,75315.0 10,76010,396 3.5 10,0647,07442.3 10,0996,98944.5 7,4577,638-2.4 9,8509,657 2.0 9,0827,51920.8 6,6754,50648.1 5,0933,68238.3 5,3225,3160.1 5,2356,171-15.2 5,8006,096-4.9 5,6424,38228.8 5,3404,58016.6 9,0658,4247.6 6,1164,71829.6 5,3573,16569.3 5,6373,54858.9 5,5883,55257.3 6,4165,32220.6 5,2134,68511.3 3,8703,671 5.4 4,1342,92541.3 4,5953,53430.0 4,0834,314-5.4 26,2419,172186.1 3,7473,21616.5 3,3962,71824.9 2,8972,42619.4 5,3714,42021.5 3,4142,00770.1 3,01602,3082,424-4.8 2,9302,25929.7 212,008212,568-0.3 2,9042,09338.7 30,63422,95433.5 2,4682,15214.7 2,6883,516-23.5 3,2021,74084.02,8542,6338.4 3,5555,189-31.5 2,0021,934 3.5 4,2413,30828.2 1,7281,47017.6 1,8582,595-28.4 3,9961,530161.2 1,9701,13473.7 3,2432,60624.4 2,2161,62836.1 2,5702,3628.8 1,8721,64913.5 1,7281,42221.5 33,6332,1791,443.5 1,6801,618 3.8 27,76523,33819.0 2,300926148.4 1,674742125.6 1,47699947.7 91850282.9 1,658627,533.3 1,4201,430-0.7 1,4061,414-0.6 1,6681,882-11.4 3,1452,45028.4 2,3361,34074.3 1,04301,8681,7407.4 1,3301,454-8.5 99982620.9 2,2561,52448.0 1,6162,386-32.3 96067043.3 1,76729,262-94.0 2,2201,88118.0 77656637.1 1,49099250.2 1,100324239.5 1,0499629.0 1,42884369.4 36,79820,44780.0 1,12876647.3 1,00584019.6 88078612.0 740817-9.4 79286820.9 26,80020,31131.9712202252.5 598192211.5 1,108427,600.0 55534063.2 1,8821,50824.8 520624-16.7 1,22393031.5 772826-6.5 86376313.1 626766-18.3 1,11878043.3 688341,923.5 1,072881,118.2 50942120.9 1,2421,378-9.9 30622237.8 36027630.4 20002340 66840664.5 48830759.0 618600 3.0 365218,150.0 2260200284-29.6 1140 41236014.4 589583 1.070250346-27.72601490-84.4。
合计831,533,051754,308,68210.213,560,84112,585,175.1北京/首都186,128,31383,712,355 2.921,848,251.51843681.1广州/白云254,780,34652,450,262 4.431,454,043.81,309,746上海/浦东351,687,89447,189,8499.513,181,654.12,928,527上海/虹桥437,971,13535,599,643 6.76432,176.4435,116成都/双流537,675,23233,444,61812.65545,011.2501,391深圳/宝安636,272,70132,268,45712.44963,871.2913,472昆明/长水732,230,88329,688,2978.69316,672.4293,628重庆/江北829,264,36325,272,03915.812302,335.8280,150西安/咸阳929,260,75526,044,67312.315186,412.6178,858杭州/萧山1025,525,86222,114,10315.47398,557.6368,095厦门/高崎1120,863,78619,753,016 5.610306,385.0299,491长沙/黄花1218,020,50116,007,21212.620125,037.8117,589武汉/天河1317,277,10415,706,06310.017143,029.6129,450青岛/流亭1416,411,78914,516,66913.114204,419.4186,196乌鲁木齐/地窝堡1516,311,14015,359,170 6.216162,711.3153,275南京/禄口1616,283,81615,011,7928.511304,324.8255,789郑州/新郑1715,805,44313,139,99420.38370,420.7255,713三亚/凤凰1814,942,35612,866,86916.12975,645.862,946海口/美兰1913,853,85911,935,47016.122121,131.4111,814大连/周水子2013,551,22314,083,131-3.819133,490.0132,330沈阳/桃仙2112,800,27212,106,952 5.718138,318.4136,066贵阳/龙洞堡2212,525,53710,472,58919.62682,063.477,425哈尔滨/太平2312,239,02610,259,90819.323106,559.892,310天津/滨海2412,073,04110,035,83320.313233,358.6214,420南宁/吴圩259,412,2468,157,33115.42590,353.286,950福州/长乐269,353,4148,925,923 4.821121,383.4110,239济南/遥墙278,708,9508,139,0877.02780,503.172,561太原/武宿287,931,9027,803,574 1.63644,863.944,354长春/龙嘉297,421,7266,733,07610.23073,560.968,032南昌/昌北307,240,8616,811,028 6.33446,066.440,389桂林/两江316,897,7415,875,32717.44135,841.532,986温州/永强326,802,1796,595,929 3.13168,828.459,787兰州/中川336,588,8625,649,60516.63246,967.041,752呼和浩特/白塔346,469,6326,150,282 5.24036,752.332,600宁波/栎社356,359,1395,459,33316.52878,024.564,247合肥/新桥365,974,5995,628,013 6.23346,426.039,984石家庄/正定375,601,0175,110,5369.63545,554.542,976北京/南苑384,929,2414,455,26310.63937,249.937,092丽江/三义394,852,2843,999,42221.3537,037.76,356名次本期完成上年同期2014民航机场吞吐量排名旅客吞吐量(人)货邮吞吐量(吨)机场名次本期完成上年同期比上年增减%银川/河东404,663,8094,247,8439.84231,132.629,105烟台/莱山414,305,8223,635,46718.43838,603.345,319无锡/硕放424,180,0383,590,18816.42496,120.487,642珠海/三灶434,075,9182,894,35740.84522,128.222,667西宁/曹家443,852,5283,236,41719.04620,256.819,940堡西双版纳/453,360,5053,050,17010.2586,123.76,581嘎洒揭阳/潮汕462,870,2522,686,007 6.94818,569.317,304泉州/晋江472,784,2072,634,423 5.73741,232.838,772拉萨/贡嘎482,563,2042,296,95811.64422,211.120,968常州/奔牛491,860,9441,526,60521.94918,241.115,251包头/二里501,829,9901,708,8467.15010,139.110,012半九寨/黄龙511,702,5271,350,87226.0115890.3鄂尔多斯/521,503,0651,731,882-13.2546,610.49,456伊金霍洛海拉尔/东531,494,4991,287,48316.1576,135.95,591山喀什541,428,5861,149,42824.3517,595.26,281榆林/榆阳551,386,4831,191,03116.4703,112.32,875徐州/观音561,267,5481,112,81113.9556,432.16,298延吉/朝阳571,242,1641,114,82911.4566,315.95,788川义乌581,204,5421,161,463 3.7625,292.03,453宜昌/三峡591,127,093900,07625.2654,294.04,628张家界/荷601,091,5591,006,3348.5981,404.42,302花绵阳/南郊611,084,998917,32518.3615,464.04,856德宏/芒市621,060,650929,54014.1595,669.44,438北海/福成631,003,038848,33818.2664,011.04,813库尔勒641,001,541731,52236.9673,954.83,067湛江65983,519691,44342.2693,412.42,663临沂/沐埠66949,300767,84423.6644,662.74,100岭运城/张孝67935,8951,010,070-7.3812,556.12,819南通/兴东68932,368675,66038.04328,030.021,593赤峰/玉龙69881,293660,70433.4752,707.71,801赣州/黄金70787,400626,84925.6605,543.03,796武夷山71785,527787,455-0.2902,115.92,392大理72749,993501,12849.71061,202.8569阿克苏73748,654631,84318.5723,065.01,802泸州/蓝田74710,510439,62661.6732,916.12,400通辽75709,072572,71923.8713,106.21,811扬州/泰州76705,879612,89915.2634,792.53,076伊宁77698,994581,58920.2792,587.02,001襄阳/刘集78677,041601,02912.6832,388.32,152遵义79669,726309,531116.4141205.50和田80669,575494,82435.3941,903.11,544台州/路桥81664,663610,8448.8527,410.26,912黄山/屯溪82637,044552,35915.3772,636.72,521长治/王村83620,665574,0808.11051,253.1920柳州/白莲84606,572733,774-17.3742,787.84,577洛阳/北郊85588,717594,781-1.0971,507.81,422宜宾/菜坝86574,883434,02232.5782,608.82,498连云港/白87568,642563,5840.9961,612.41,463塔埠威海/大水88548,3061,145,846-52.1762,656.05,684泊牡丹江/海89543,361446,64421.71021,368.51,231浪舟山/普陀90538,414479,13812.4140254.9286山盐城/南洋91528,749354,25149.3882,162.13,035大庆/萨尔92525,319541,420-3.0872,164.82,593图淮安/涟水93516,106404,77627.5683,420.92,529腾冲/驼峰94509,628556,769-8.5116820.6410佳木斯/东95470,131416,92612.8118776.3742郊南阳/姜营96464,512405,92914.41101,069.3821景德镇/罗97463,562405,02114.5951,808.6631家乌海98458,873470,152-2.4922,017.81,439迪庆/香格99453,604501,754-9.6117788.5686里拉济宁/曲阜100451,974334,59835.11081,137.6935南充/高坪101429,360319,38434.4802,584.72,102井冈山102428,555444,378-3.6822,532.11,831白山/长白103423,690316,46533.916440.976山锡林浩特104421,141465,949-9.6892,136.92,074大同/倍加105409,137358,91014.0912,068.51,965皂满洲里/西106405,833303,22633.8862,195.12,314郊潍坊107394,293133,815194.74718,670.916,579恩施/许家108381,114288,44932.11001,376.2624坪毕节/飞雄109373,40675,679393.4126506.2常德/桃花110350,301282,88523.8143179.9185源西昌/青山111349,337317,7459.91011,369.31,503万县/五桥112348,702318,8359.4852,281.11,791敦煌113325,858348,734-6.6130431.7466齐齐哈尔/114323,626257,28925.8113919.1931三家子林芝/米林115314,803258,64521.7991,377.1803嘉峪关116314,501353,505-11.01071,194.01,000阜阳117298,539352,329-15.3133389.4317达州/河市118296,119248,72719.1842,361.91,598临沧119287,550199,65144.0119768.8820东营120285,114165,60672.2124563.9570保山/云端121273,020238,26514.6132420.4354邯郸122270,170230,08717.4142201.266乌兰浩特123267,378266,2620.4931,987.21,649宜春/明月124265,45083,110219.4145160.620山库车125237,459213,32511.3135348.4268哈密126235,404180,61430.3131424.2219普洱/思茅127225,411220,043 2.4127469.5634池州/九华128221,87662,337255.9181 2.1山衢州129220,714222,071-0.6122629.8771怀化/芷江130211,545133,58458.416248.118唐山/三女131210,797180,66016.7114905.11,213河鸡西/兴凯132208,603145,63443.2139260.3269湖昌都/邦达133201,981148,17836.3112920.9526秦皇岛/山134201,247207,947-3.2120694.9920海关巴彦淖尔/135199,338189,622 5.11031,285.2987天吉泰丹东/浪头136194,493170,63214.01041,276.61,031延安/二十137193,682180,6647.2138264.0154里堡铜仁/凤凰138183,915141,78729.717414.844阿勒泰139177,139188,154-5.9137304.5247兴义140174,068122,93841.6146148.553广元/盘龙141168,505122,85837.2136314.9166昭通142166,08372,051130.5144175.3104攀枝花/保143158,02163,823147.61111,003.4193安营庆阳144150,91181,47685.217513.34稻城/亚丁145145,26225,900460.915295.3张家口/宁146144,27824,021500.617127.21远锦州/小岭147143,262190,521-24.81091,127.61,339子梅县/长岗148136,68584,15062.416053.163岌格尔木149125,204101,32123.6121693.6511鞍山150121,6996,3611,813.2179 3.3佛山/沙堤151120,214161,953-25.8123578.11,614黔江/武陵152119,55795,60225.115675.959山玉树/巴塘153118,205112,998 4.6128468.0756加格达奇154117,963101,86415.817315.07九江/庐山155116,363118,353-1.7125522.3578安顺/黄果156116,10562,47885.815488.942树黑河157112,72894,95618.7129464.7422安庆158103,142117,563-12.315389.7128吕梁159101,729178 6.5朝阳160100,08672,85537.4148133.49塔城16197,30055,35175.81777.78漠河/古莲16295,916118,435-19.0147141.9219文山/普者黑16391,58048,19990.0149116.064中卫/香山16491,46671,39028.115860.570克拉玛依16590,88063,96042.1150113.158二连浩特/赛乌苏16688,08898,102-10.2134383.0295博乐16777,47148,67259.217032.527阿拉善左旗/巴彦浩特16876,8862,0533,645.11860.1布尔津/喀纳斯16973,075100,208-27.11830.82金昌/金川17071,39855,60228.415955.46那拉提17166,12661,0168.416735.931伊春/林都17265,19380,624-19.116636.848百色/田阳17362,62842,23448.31900.00凯里/黄平17462,4757,650716.71840.20阿尔山/伊尔施17562,35056,02211.3151112.374张掖/甘州17655,51341,97632.216150.436永州/零陵17752,41329,30178.916538.710黎平17852,15644,32417.716933.118甘孜/康定17950,12638,31730.8191黔南州/荔波18046,63217,661164.01880.0梧州/长州岛18142,99050,589-15.017223.140阿里/昆莎18241,34527,85248.416341.271固原/六盘山18335,46425,63338.4192连城/冠豸山18433,57543,928-23.615768.4汉中/西关18532,825182 2.0日喀则18630,07427,32210.115586.562额济纳旗/桃来18726,3708972,839.81870.0通化18825,9681850.2天水/麦积山18923,92515,06258.81767.910甘南/夏河19022,5337362,961.516834.60阿拉善右旗/巴丹吉林19121,4588792,341.2193神农架19220,852180 3.2抚远/东极19320,5001890.0吐鲁番1949,01118,876-52.31940河池/金城江1958,632195德令哈1965,410196长海/大长山岛1973,4663,798-8.7197六盘水/月照1982,771198衡阳199968199阿坝/红原200420201安康201200且末2022027.87,933,1107,315,4408.40.21581,952567,757 2.511.02412,210394,403.0 4.58.63402,105371,190.08.3-0.77253,325243,916.0 3.98.76270,054250,532.07.85.54286,346257,446.011.27.85270,529255,546.0 5.97.99238,085214,574.011.04.28245,971226,041.08.88.311213,268190,639.011.92.312174,315166,837.0 4.56.314152,359137,843.010.510.513157,596148,524.0 6.19.818142,452129,751.09.86.219142,266135,874.0 4.719.016144,278134,913.0 6.944.915147,696127,835.015.520.224102,07490,748.012.58.323105,86194,436.012.10.920115,284107,709.07.01.72697,17292,300.0 5.36.022113,42493,646.021.115.42597,74684,532.015.68.821114,557100,729.013.73.92980,49671,408.012.710.12786,94483,406.0 4.210.92883,55180,746.0 3.51.13273,21176,546.0-4.48.13660,75156,850.0 6.914.13465,40264,029.0 2.18.73560,80450,696.019.915.13759,13558,867.00.512.53857,48151,799.011.012.73365,69062,799.0 4.621.44253,89746,468.016.016.14353,05652,872.00.36.04156,21651,980.08.10.44942,63838,661.010.310.74842,71037,015.015.4上年同期比上年增减%比上年增减%名次本期完成吐量排名2014-01-01 至 2014-12-31起降架次(次)7.04743,02539,230.09.7-14.84643,09138,252.012.79.75235,78131,844.012.4-2.44450,93944,725.013.91.65433,75328,792.017.2-6.95730,92429,164.0 6.07.35334,90032,391.07.76.36027,10525,102.08.05.96424,07921,035.014.519.66722,43819,348.016.01.37117,10514,965.014.37315,96013,592.017.4 -30.15829,00929,584.0-1.99.77714,59712,685.015.120.98113,09410,862.020.58.27615,54313,924.011.62.15531,40037,822.0-17.09.18610,3699,060.014.453.38310,74910,632.0 1.1-7.25040,40039,444.0 2.4 -39.0909,8728,557.015.412.510214,558201,022.0 6.727.88810,1369,248.09.6-16.77814,13811,412.023.929.08710,2848,097.027.028.17515,65512,180.028.513.78510,3888,539.021.7-9.38212,0289,507.026.529.86226,10430,749.0-15.150.38910,0497,533.033.446.0967,8817,038.012.0-11.5948,2138,094.0 1.5 111.4928,4075,923.041.970.1938,2507,554.09.221.5977,8805,124.053.871.5919,5778,722.09.855.86622,95615,943.044.029.3958,0687,340.09.911.04056,30655,014.0 2.3 83,097.61007,5093,444.0118.023.21036,4284,816.033.57.21085,6605,208.08.74.6997,5746,508.016.436.3987,7997,230.07.9-39.11026,90810,706.0-35.56.117144,046180,126.0-20.04.41056,1114,506.035.6 10.21016,9788,668.0-19.5 -53.31046,23113,263.0-53.0 11.21194,5804,716.0-2.9 -11.07415,69712,839.022.3 -28.81095,5363,668.050.9 -16.51145,0005,596.0-10.7 35.38410,54640,594.0-74.0 100.01066,0446,254.0-3.44.61135,1434,767.07.9 30.25136,50033,328.09.5 186.61244,0483,604.012.3 40.31105,3525,864.0-8.7 14.91125,1905,606.0-7.4 21.61184,6123,634.026.9 23.06325,42427,764.0-8.4 38.31154,9824,870.0 2.3 -46.21174,7453,954.020.03.07215,99718,086.0-11.65.36919,71214,121.039.6 -5.21164,7623,617.031.7 12.61115,3003,611.046.8 120.61343,2422,652.022.2 1075,9081,056.0459.5 -2.93079,18780,554.0-1.7 -8.91234,1393,658.013.1 27.41214,4484,902.0-9.3 -7.31224,2165,155.0-18.2 -1.31442,8242,150.031.3 71.51263,6142,970.021.7 19.41253,7314,429.0-15.8 23.07017,26611,427.051.1 47.81323,3462,874.016.4 -6.21403,0662,066.048.4 -1.16523,30615,850.047.0 18.71423,0282,822.07.3 203.16822,0448,534.0158.3 20.51363,1083,532.0-12.0707.81413,0321,044.0190.430.11353,2262,988.08.094.11283,4502,676.028.9 -25.91373,1042,817.010.21462,792800.0249.0 -18.41631,7481,782.0-1.9 173.51204,5012,818.059.7 -25.41452,8071,967.042.7-3.41432,9562,385.023.975.11542,1021,592.032.0 -24.41333,2683,014.08.430.21393,0812,804.09.923.81601,9231,482.029.871.31502,4122,456.0-1.8 -66.21293,4372,542.035.223.21512,3562,860.0-17.6 181.11313,3703,176.0 6.190.11591,9501,482.031.668.01552,080886.0134.8 420.01611,848744.0148.4 245.27913,8997,442.086.81641,678272.0516.9 4,011.91522,254544.0314.3 -15.81701,4382,142.0-32.9 -15.91383,0922,774.011.535.71661,6231,265.028.31651,628134.01,114.9 -64.21811,0811,238.0-12.727.71562,0701,774.016.7 -38.11721,3461,274.0 5.7 115.21273,5272,826.024.8 -9.61621,8361,848.0-0.6 112.01472,7692,058.034.510.21482,4882,035.022.3 -29.81532,1382,720.0-21.41671,5841,352.93177,43663,841.021.3 -1.01691,5401,392.010.6 -35.11492,4642,426.0 1.681.31681,552882.076.0 -13.53956,35846,520.021.194.85631,20425,675.021.529.71581,9562,321.0-15.719.86126,9892,954.0813.61303,434106.03,139.6-56.71858841,330.0-33.5 840.01571,9861,910.0 4.017.21821,0581,016.0 4.1 -23.91839281,726.0-46.225.01791,126808.039.4 302.31711,368156.0776.950.91781,164852.036.639.81771,214945.028.5 294.01761,266694.082.484.81751,2921,038.024.5187670646.0 3.71801,086334.0225.1-42.14548,52719,049.0154.7 -42.0186744558.033.35927,22425,037.08.7191422538.0-21.619339740.0194386358.07.81731,32248.02,654.2189515-23.5184916647.041.6 7,866.618856652.0988.51741,32074.01,683.8190468196314-100.0195342599.0-42.9197220198140192405489.0-17.2199562001820188013,126230.05,607.0 20217.0-100.0。
全国主要机场情况介绍(附表:历年中国30大机场旅客吞吐量)北京:北京首都国际机场(Beijing Capital International Airport),位于中国北京市东北郊,西南距北京市中心25千米,南距北京大兴国际机场67千米,为4F级国际机场,是中国三大门户复合枢纽之一、环渤海地区国际航空货运枢纽群成员、世界超大型机场。
0.002,000.004,000.006,000.008,000.0010,000.0012,000.0021222324252627282921211212213214215216217218219北京/首都北京大兴国际机场(Beijing Daxing International Airport,IATA:PKX,ICAO:ZBAD),位于中国北京市大兴区和河北省廊坊市交界处,北距天安门46千米、北距北京首都国际机场67千米、南距雄安新区55千米,为4F级国际机场、大型国际枢纽机场、国家发展新动力源。
广州:广州白云国际机场(Guangzhou Baiyun International Airport ,ICAO :ZGGG ,IATA :CAN ),位于中国广东省广州市白云区人和镇和花都区新华街道、花东镇交界处,距广州市中心约28千米,为4F 级民用国际机场,是中国三大门户复合枢纽机场之一,世界前五十位主要机场。
0.001,000.002,000.003,000.004,000.005,000.006,000.007,000.008,000.002001200220032004200520062007200820092010201120122013201420152016201720182019广州/白云上海:上海浦东国际机场(Shanghai Pudong International Airport ,IATA 代码:PVG ,ICAO代码:ZSPD ),位于中国上海市浦东新区,距上海市中心约30公里,为4F 级民用机场,是中国三大门户复合枢纽之一、长三角地区国际航空货运枢纽群成员、华东机场群成员、华东区域第一大枢纽机场、门户机场。
全国主要机场情况介绍(附表:历年中国30大机场旅客吞吐量)北京:北京首都国际机场(Beijing Capital International Airport),位于中国北京市东北郊,西南距北京市中心25千米,南距北京大兴国际机场67千米,为4F级国际机场,是中国三大门户复合枢纽之一、环渤海地区国际航空货运枢纽群成员、世界超大型机场。
0.002,000.004,000.006,000.008,000.0010,000.0012,000.0021222324252627282921211212213214215216217218219北京/首都北京大兴国际机场(Beijing Daxing International Airport,IATA:PKX,ICAO:ZBAD),位于中国北京市大兴区和河北省廊坊市交界处,北距天安门46千米、北距北京首都国际机场67千米、南距雄安新区55千米,为4F级国际机场、大型国际枢纽机场、国家发展新动力源。
广州:广州白云国际机场(Guangzhou Baiyun International Airport ,ICAO :ZGGG ,IATA :CAN ),位于中国广东省广州市白云区人和镇和花都区新华街道、花东镇交界处,距广州市中心约28千米,为4F 级民用国际机场,是中国三大门户复合枢纽机场之一,世界前五十位主要机场。
0.001,000.002,000.003,000.004,000.005,000.006,000.007,000.008,000.002001200220032004200520062007200820092010201120122013201420152016201720182019广州/白云上海:上海浦东国际机场(Shanghai Pudong International Airport ,IATA 代码:PVG ,ICAO代码:ZSPD ),位于中国上海市浦东新区,距上海市中心约30公里,为4F 级民用机场,是中国三大门户复合枢纽之一、长三角地区国际航空货运枢纽群成员、华东机场群成员、华东区域第一大枢纽机场、门户机场。
比上年同期比上年同期比上年同期增减%增减%增减%合计914,773,311831,533,05110.014,094,00313,560,841.0 3.98,565,5267,933,1108.0北京/首都189,939,04986,128,313 4.421,889,439.51848251.5 2.21590,199581,952 1.4上海/浦东260,098,07351,687,89416.313,275,231.13,181,654 2.92449,171402,105.011.7广州/白云355,201,91554,780,3460.831,537,758.91,454,044 5.83409,679412,210.0-0.6成都/双流442,239,46837,675,23212.15556,552.1545,011 2.16293,643270,054.08.7深圳/宝安539,721,61936,272,7019.541,013,690.5963,871 5.24305,461286,346.0 6.7上海/虹桥639,090,86537,971,135 2.96433,600.1432,1760.38256,603253,325.0 1.3昆明/长水737,523,09832,230,88316.49355,422.8316,67212.25300,406270,529.011.0西安/咸阳832,970,21529,260,75512.714211,591.5186,41313.57267,102245,971.08.6重庆/江北932,402,19629,264,36310.711318,781.5302,336 5.49255,414238,085.07.3杭州/萧山1028,354,43525,525,86211.17424,932.7398,558 6.610232,079213,268.08.8厦门/高崎1121,814,24420,863,786 4.612310,606.6306,385 1.413180,112174,315.0 3.3南京/禄口1219,163,76816,283,81617.710326,026.5304,3257.114166,858144,278.015.7武汉/天河1318,942,03817,277,1049.617154,656.2143,0308.115164,524157,596.0 4.4长沙/黄花1418,715,27818,020,501 3.921122,022.1125,038-2.418153,367152,359.00.7乌鲁木齐/地窝堡1518,506,46316,311,14013.516156,469.8162,711-3.819153,097142,266.07.6青岛/流亭1618,202,08516,411,78910.915208,064.0204,419 1.816155,483142,452.09.1郑州/新郑1717,297,38515,805,4439.48403,339.0370,4218.917154,468147,696.0 4.6三亚/凤凰1816,191,93014,942,3568.42885,369.375,64612.924108,532102,074.0 6.3海口/美兰1916,167,00413,853,85916.720135,944.6121,13112.221121,825105,861.015.1天津/滨海2014,314,32212,073,04118.613217,279.2233,359-6.920125,693114,557.09.7大连/周水子2114,154,13013,551,223 4.419137,048.1133,490 2.722117,794115,284.0 2.2哈尔滨/太平2214,054,35712,239,02614.823116,103.8106,5609.025108,42897,746.010.9贵阳/龙洞堡2313,244,98212,525,537 5.72687,207.082,063 6.323116,914113,424.0 3.1沈阳/桃仙2412,680,11812,800,272-0.918142,069.6138,318 2.72799,56397,172.0 2.5福州/长乐2510,887,2929,353,41416.422116,497.5121,383-4.02896,12786,944.010.6南宁/吴圩2610,393,7289,412,24610.42495,710.390,353 5.92986,87380,496.07.9济南/遥墙279,520,8878,708,9509.32786,336.880,5037.23086,15883,551.0 3.1太原/武宿288,842,9877,931,90211.53545,463.644,864 1.33379,37673,211.08.4长春/龙嘉298,556,1827,421,72615.32977,793.973,561 5.83767,76360,751.011.5兰州/中川308,009,0406,588,86221.63450,093.846,967 6.73667,83557,481.018.0南昌/昌北317,487,9307,240,861 3.43351,080.546,06610.93867,30465,402.0 2.9呼和浩特/白塔327,446,2506,469,63215.14036,077.836,752-1.83474,50965,690.013.4温州/龙湾337,360,4676,802,1798.23172,638.168,828 5.53961,75059,135.0 4.4宁波/栎社346,855,0756,359,1397.83077,054.278,024-1.24356,11053,897.0 4.1合肥/新桥356,613,1115,974,59910.73251,291.146,42610.54157,29453,056.08.0桂林/两江366,361,0456,897,741-7.84329,519.535,842-17.64454,08960,804.0-11.0石家庄/正定375,985,3895,601,017 6.93644,693.945,555-1.94256,72856,216.00.9丽江/三义385,626,3074,852,28416.0528,291.17,03817.84845,93842,710.07.6银川/河东395,389,9084,663,80915.64133,326.131,1337.04747,05843,025.09.4北京/南苑405,265,2014,929,241 6.83836,755.637,250-1.35042,12942,638.0-1.2珠海/金湾414,708,7064,075,91815.54425,828.122,12816.74550,47850,939.0-0.9无锡/硕放424,609,3444,180,03810.32589,060.096,120-7.35338,56935,781.07.8烟台/蓬莱434,246,5814,305,822-1.43936,610.838,603-5.24944,42443,091.03.12014年名次2015年2014年名次机场名称名次2015年2014年2015年民航机场吞吐量排名2015-01-01 至 2015-12-31旅客吞吐量(人)货邮吞吐量(吨)起降架次(次)2015年。
2015年中国机场之最3月31日,2015年全国机场生产统计公报发布,我国境内民用航空(颁证)机场共有210个(不含香港、澳门和台湾地区,下同),其中定期航班通航机场206个,定期航班通航城市204个。
2015年,年内定期航班新通航的城市有广东惠州、青海海西、新疆富蕴、云南宁蒗、山东日照、山西忻州。
新疆石河子花园机场、辽宁营口兰旗机场颁证但年内没有定期航班。
陕西安康机场、新疆且末机场停航。
这么多机场,哪些机场成为第一;你的机场又排在什么位置?小编帮你简单梳理了下,欢迎补充、挑错。
旅客吞吐量最多的机场北京首都国际机场(89939049人次)旅客吞吐量最少的机场青海海西花土沟机场(456人次)货邮吞吐量最多的机场上海浦东国际机场(3181654吨)货邮吞吐量最少的机场内蒙古阿拉善右旗巴丹吉林机场(0.1吨)航班起降架次最多的机场北京首都国际机场(581952次)航班起降架次最少的机场山西忻州五台山机场(8次)旅客吞吐量增幅最大的机场湖南衡阳南岳机场(同比增长11729.6%)旅客吞吐量降幅最大的机场贵州凯里黄平机场(同比下降了88.0%)货邮吞吐量增幅最大的机场贵州黔南州荔波机场(同比增长11506.7%)货邮吞吐量降幅最大的机场广西百色巴马机场、贵州凯里黄平机场(同比下降100%)航班起降架次增幅最大的机场湖南衡阳南岳机场(同比增长7222.2%)航班起降架次降幅最大的机场江西九江庐山机场(同比下降77.3%)所有通航机场中,年旅客吞吐量100万人次以上的有70个,比上年增加6个,完成旅客吞吐量占全部机场旅客吞吐量的95.5%;年旅客吞吐量1000万人次以上的为26个,较上年增加2个,完成旅客吞吐量占全部机场旅客吞吐量的77.9%;北京、上海和广州三大城市机场旅客吞吐量占全部机场旅客吞吐量的27.3%。
2015年全国5000万旅客吞吐量以上机场为3家。
全国1000万旅客吞吐量以上机场为26家。
全国500万旅客吞吐量以上机场为40家。
2015四大航机队排座次东航引进飞机最多
民航资源网2016年3月31日消息:日前,国内四大航发布2015年年度报告,一个个赚得钵满盆满。
我们不去帮忙数钱,我们只来划拉一下这四家的机队飞机情况。
先看总数字。
截至2015年底,作为亚洲最大航空公司,南航集团机队规模达到667架;国航集团拥有飞机590架,东航股份公司拥有551架飞机,排行第4的海航股份公司拥有202架飞机。
图:四大航机队数量
四家公司通过不断引进新飞机,退役老飞机,保持机龄年轻化,同时不断扩大机队规模。
在2015年,国航集团引进新飞机66架,退役飞机16架;东航引进飞机合计80架,退出飞机42架;南航集团新增飞机58架、退出飞机3架;海航引进运力39架,退出6架。
图:2015四大航机队引进及退役情况
2016年航空公司还将会继续引进新飞机。
国航计划引进50架新飞机,其中最新的波音787-9飞机7架。
此外,国航将退役波音777-200飞机,包括“蓝祥云”飞机。
东航计划引进72架新飞机,并退役26架;南航计划接收飞机58架,退役18架。
图:国航“蓝祥云”
以下是各公司机队的详情:
图:南航机队
图:国航机队
图:东航机队详情
图:海航机队详情。
2017年江苏公务员⾏测真题及答案(B类)【5】 第五部分资料分析 在以2015年11⽉1⽇零时为标准时点进⾏的全国⼈⼝抽样调查中。
江苏最终样本量占全省常住⼈⼝总数的。
调查显⽰:2015年11⽉1⽇零时江苏常住⼈⼝为7973万⼈。
同以2010年11⽉1⽇零时为标准时点进⾏的第六次全国⼈⼝普查相⽐,增加107万⼈,增长。
全省常住⼈⼝中,0~14岁⼈⼝为1064万⼈,占;15~64岁⼈⼝为5910万⼈,占;65岁及以上⼈⼝为999万⼈,占。
同第六次全国⼈⼝普查相⽐,0~14岁⼈⼝的⽐重上升0.34个百分点,15~64岁⼈⼝的⽐重下降1.97个百分点,65岁以及上⼈⼝的⽐重上升1.64个百分点。
全省常住⼈⼝中,⼤专及以上⽂化程度⼈⼝为1230万⼈,⾼中(含中专)⽂化程度⼈⼝为1356万⼈;初中⽂化程度⼈⼝为2741万⼈;⼩学⽂化程度⼈⼝为1744万⼈。
116.以2015年11⽉1⽇零时为标准时点进⾏的⼈⼝抽样调查中,江苏最终样本量为: A.75万⼈ B.79万⼈ C.82万⼈ D.86万⼈ 117.2010年第六次全国⼈⼝普查时,江苏0~14岁⼈⼝⽐重⽐65岁及以上⼈⼝: A.少0.48个百分点 B.少2.12个百分点 C.多0.48个百分点 D.多2.12个百分点 118.两次调查的5年间,江苏常住⼈⼝中65岁及以上⼈⼝增加: A.142万⼈ B.107万⼈ C.116万⼈ D.99万⼈ 119.2015年11⽉1⽇零时江苏常住⼈⼝中,⾼中(含中专)及以上⽂化程度⼈⼝占: 120.下列说法不正确的是: A.两次调查的5年间,江苏常住⼈⼝年平均增加21万⼈ B.两次调查的5年间,江苏常住⼈⼝中15~64岁⼈⼝下降了 C.两次调查的5年间,江苏常住⼈⼝中65岁及以上⼈⼝的增长率⾼于其他年龄段 D.2015年11⽉1⽇零时江苏常住⼈⼝中,⼩学⽂化程度以下(不含⼩学)⼈⼝为902万⼈ 121.2016年第⼀季度,全国星级饭店餐饮收⼊⽐客房收⼊多: A.4.8亿元 B.3.5亿元 C.3.1亿元 D.2.6亿元 1222016年第⼀季度,全国五星级饭店的平均营业收⼊是四星级饭店的: A.1.8倍 B.2.6倍 C.3.4倍 D.4.1倍 123.2016年第⼀季度,全国⼀、⼆星级饭店总数占星级饭店总数的⽐重是: 124.2016年第⼀季度,全国星级饭店中取得其他收⼊(除餐饮、客房收⼊外)最⾼的是: A.⼆星级饭店 B.三星级饭店 C.四星级饭店 D.五星级饭店 125.下列说法正确的是: A.2016年第⼀季度,全国星级饭店餐饮总收⼊为248.3亿元 B.2016年第⼀季度,全国三星级饭店数量占星级饭店数量的⽐重⼤于 C.2016年第⼀季度,全国⼆星级饭店的餐饮与客房收⼊都低于其他星级饭店 D.2016年第⼀季度,全国三星级及以下星级饭店的营业收⼊占全国星级饭店的⽐重不⾜三分之⼀ 某市调查总队随机抽取2000名市民开展媒体需求调查,受访市民按⽂化程度分为⼩学及以下、初中、⾼中/⼤专、⼤学本科、研究⽣等六类,所占⽐重分别为 ,调查结果见下表。
我国机场业运营规模分析2015年,全国民航运输机场完成旅客吞吐量9.15亿人次,比2014年增长10.0%。
图表2011-2015年民航运输机场旅客吞吐量数据来源:民航总局中投顾问发布的《2016-2020年中国机场业投资分析及前景预测报告》显示:2015年东部地区完成旅客吞吐量5.02亿人次,东北地区完成旅客吞吐量0.55亿人次,中部地区完成旅客吞吐量0.90亿人次,西部地区完成旅客吞吐量2.69亿人次。
图表2015年民航运输机场旅客吞吐量按地区分布数据来源:民航总局2015年全国民航运输机场完成货邮吞吐量1409.40万吨,比2014年增长3.9%。
图表2011-2015年民航运输机场货邮吞吐量数据来源:民航总局其中:2015年东部地区完成货邮吞吐量1062.88万吨,东北地区完成货邮吞吐量48.87万吨,中部地区完成货邮吞吐量85.89万吨,西部地区完成货邮吞吐量211.76万吨。
图表2015年民航运输机场货邮吞吐量按地区分布数据来源:民航总局2015年,全国民航运输机场完成起降架次856.55万架次,比2014年增长8.0%。
图表2011-2015年民航运输机场起降架次数据来源:民航总局2015年,年旅客吞吐量100万人次以上的运输机场70个,其中北京、上海和广州三大城市机场旅客吞吐量占全部机场旅客吞吐量的27.3%。
图表2015年旅客吞吐量100万人次以上的机场数量单位:个数据来源:民航总局2015年,年货邮吞吐量1万吨以上的运输机场51个,其中北京、上海和广州三大城市机场货邮吞吐量占全部机场货邮吞吐量的50.9%。
图表2015年货邮吞吐量万吨以上的机场数量单位:个数据来源:民航总局2015年,北京首都机场完成旅客吞吐量0.90亿人次,连续六年位居世界第二;上海浦东机场完成货邮吞吐量327.5万吨,连续八年位居世界第三。
比上年同期比上年同期
比上年同期增减%
增减%
增减%
合计
914,773,311831,533,05110.014,094,00313,560,841.0 3.98,565,5267,933,1108.0北京/首都189,939,04986,128,313 4.421,889,439.51848251.5 2.21590,199581,952 1.4上海/浦东260,098,07351,687,89416.313,275,231.13,181,654 2.92449,171402,105.011.7广州/白云355,201,91554,780,3460.831,537,758.91,454,044 5.83409,679412,210.0-0.6成都/双流442,239,46837,675,23212.15556,552.1545,011 2.16293,643270,054.08.7深圳/宝安539,721,61936,272,7019.541,013,690.5963,871 5.24305,461286,346.0 6.7上海/虹桥639,090,86537,971,135 2.96433,600.1432,1760.38256,603253,325.0 1.3昆明/长水737,523,09832,230,88316.49355,422.8316,67212.25300,406270,529.011.0西安/咸阳832,970,21529,260,75512.714211,591.5186,41313.57267,102245,971.08.6重庆/江北932,402,19629,264,36310.711318,781.5302,336 5.49255,414238,085.07.3杭州/萧山1028,354,43525,525,86211.17424,932.7398,558 6.610232,079213,268.08.8厦门/高崎1121,814,24420,863,786 4.612310,606.6306,385 1.413180,112174,315.0 3.3南京/禄口1219,163,76816,283,81617.710326,026.5304,3257.114166,858144,278.015.7武汉/天河1318,942,03817,277,1049.617154,656.2143,0308.115164,524157,596.0 4.4长沙/黄花
1418,715,27818,020,501 3.921122,022.1125,038-2.418153,367152,359.00.7乌鲁木齐/地窝堡1518,506,46316,311,14013.516156,469.8162,711-3.819153,097142,266.07.6青岛/流亭1618,202,08516,411,78910.915208,064.0204,419 1.816155,483142,452.09.1郑州/新郑1717,297,38515,805,4439.48403,339.0370,4218.917154,468147,696.0 4.6三亚/凤凰1816,191,93014,942,3568.42885,369.375,64612.924108,532102,074.0 6.3海口/美兰1916,167,00413,853,85916.720135,944.6121,13112.221121,825105,861.015.1天津/滨海2014,314,32212,073,04118.613217,279.2233,359-6.920125,693114,557.09.7大连/周水子2114,154,13013,551,223 4.419137,048.1133,490 2.722117,794115,284.0 2.2哈尔滨/太平2214,054,35712,239,02614.823116,103.8106,5609.025108,42897,746.010.9贵阳/龙洞堡2313,244,98212,525,537 5.72687,207.082,063 6.323116,914113,424.0 3.1沈阳/桃仙2412,680,11812,800,272-0.918142,069.6138,318 2.72799,56397,172.0 2.5福州/长乐2510,887,2929,353,41416.422116,497.5121,383-4.02896,12786,944.010.6南宁/吴圩2610,393,7289,412,24610.42495,710.390,353 5.92986,87380,496.07.9济南/遥墙279,520,8878,708,9509.32786,336.880,5037.23086,15883,551.0 3.1太原/武宿288,842,9877,931,90211.53545,463.644,864 1.33379,37673,211.08.4长春/龙嘉298,556,1827,421,72615.32977,793.973,561 5.83767,76360,751.011.5兰州/中川308,009,0406,588,86221.63450,093.846,967 6.73667,83557,481.018.0南昌/昌北
317,487,9307,240,861 3.43351,080.546,06610.93867,30465,402.0 2.9呼和浩特/白塔327,446,2506,469,63215.14036,077.836,752-1.83474,50965,690.013.4温州/龙湾337,360,4676,802,1798.23172,638.168,828 5.53961,75059,135.0 4.4宁波/栎社346,855,0756,359,1397.83077,054.278,024-1.24356,11053,897.0 4.1合肥/新桥356,613,1115,974,59910.73251,291.146,42610.54157,29453,056.08.0桂林/两江366,361,0456,897,741-7.84329,519.535,842-17.64454,08960,804.0-11.0石家庄/正定375,985,3895,601,017 6.93644,693.945,555-1.94256,72856,216.00.9丽江/三义385,626,3074,852,28416.0528,291.17,03817.84845,93842,710.07.6银川/河东395,389,9084,663,80915.64133,326.131,1337.04747,05843,025.09.4北京/南苑405,265,2014,929,241 6.83836,755.637,250-1.35042,12942,638.0-1.2珠海/金湾414,708,7064,075,91815.54425,828.122,12816.74550,47850,939.0-0.9无锡/硕放424,609,3444,180,03810.32589,060.096,120-7.35338,56935,781.07.8烟台/蓬莱
43
4,246,581
4,305,822
-1.4
39
36,610.8
38,603
-5.2
49
44,424
43,091.0
3.1
2014年
名次
2015年
2014年
名次
机场名称名次
2015年
2014年
2015年民航机场吞吐量排名
2015-01-01 至 2015-12-31
旅客吞吐量(人)
货邮吞吐量(吨)
起降架次(次)
2015年。