2015哈尔滨工程大学拟录取名单
- 格式:xls
- 大小:294.00 KB
- 文档页数:70
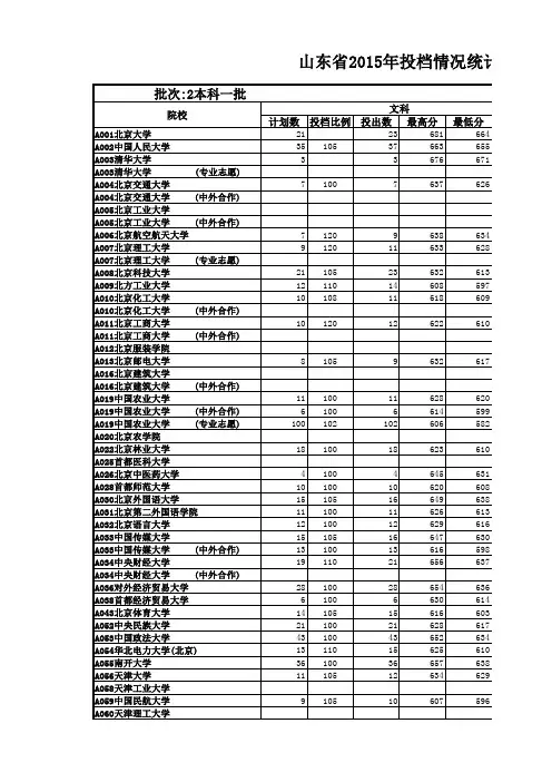
哈尔滨工程大学2015年录取分数线哈尔滨工程大学2015年录取分数线河北国防生录取结束,计划招生10人,实际录取10人,最低分569分;黑龙江国防生录取结束,计划招收28人,实际录取28人,最低分548分;河南国防生录取结束,计划录取10人,实际录取10人,录取最低分560分;东国防生录取结束,计划招收13人(其中女生1人),实际录取13人(其中女生1人),录取最低分578分;湖南国防生录取结束,计划招生5人,实际录取5人,录取最低分567分;吉林国防生录取结束,计划招收11人,实际录取11人,录取最低分531分;广西贫困专项录取结束,计划招收7人,实际录取7人,录取最低分487分辽宁艺术类录取结束,计划录取5人,实际录取5人,文化课最低分350,专业课最低分260.8分;天津国防生录取结束,计划招生5人,实际录取5人,录取最甘肃贫困专项录取结束,计划录取23人,实际录取23人,录取最低分516分;内蒙古贫困专项录取结束,计划录取7人,实际录取7人,录取最低分532分;山西贫困专项录取结束,计划录取4人,实际录取4人,录取最低分552分;吉林贫困专项录取结束,计划录取1人,实际录取1人,录取最低分575分;黑龙江贫困专项录取结束,计划录取3人,实际录取3人,录取最低分589分;河南贫困专项录取结束,计划录取24人,实际录取24人,录取最低分577分;北京国防生录取结束,计划录取3人,实际录取1人,录取分数558分;河北贫困专项录取结束,计划录取7人,实际录取7人,录取最低分610分;四川贫困专项录取结束,计划录取16人,实际录取16人,录取最低分561分;新疆贫困专项录取结束,计划招生6人,实际录取6人,录取最低分472分;新疆南疆计划录取结束,计划录取1人,实际录取1人,录取安徽贫困专项录取结束,计划录取22人,实际录取22人,录取最低分610分;湖南自主招生录取结束,最低分560分重庆贫困专项录取结束,计划录取10人,实际录取10人,录取最低分597分;湖南贫困专项录取结束,计划录取15人,实际录取15人,录取最低分574分;海南贫困专项录取结束,计划录取1人,实际录取1人,661分。
2015年拟录取硕士研究生名单注:1.本拟录取名单分学院按专业排序,根据上级要求,考生姓名和考生编号已做适当隐私保护处理;2.本拟录取名单中含单考、援藏计划、少数民族骨干计划(下注“骨干”),不包括拟录取的推荐免试生;3.备注中所列加分项目均以教育部下发名单为准。
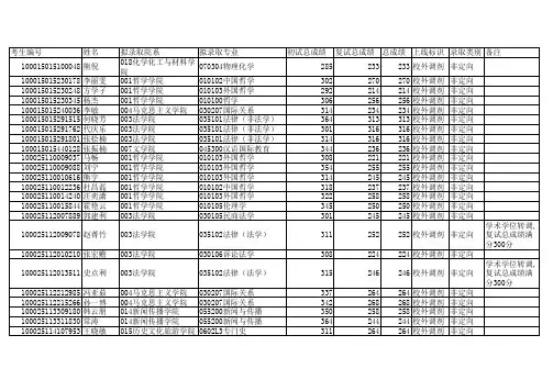
经济学院 - 国际商务(专业学位)姓名考生编号初试成绩复试成绩加权总成绩备注余**10002*****0163838931181.11王**10002*****0162336831878.77刘**10002*****1102137830078.63邓**10002*****0924236831078.09张**10002*****0159437330178.02唐**10002*****0164536530977.58虞**10002*****0160836530877.5路**10002*****0164636330977.30王**10002*****0924137029777.25费**10002*****0161537329277.24朱**10002*****0162436330476.87李**10002*****0163236530076.81余**10002*****0159536130676.76腾**10002*****0160935631076.41李**10002*****0162836030376.37吴**10002*****1079536429476.16王**10002*****0731435530876.1朱**10002*****0160735930176.06王**10002*****0161435830276.00梁**10002*****0164335830175.92刘**10002*****1369035530475.75韩**10002*****0159235829775.57江**10002*****0158035330475.47朱**10002*****1384135629975.46屈**10002*****0162135829575.40刘**10002*****0163035430175.36张**10002*****0744835430175.36宋**10002*****0158635330275.30李**10002*****0161635330175.22邓**10002*****0162935230074.99韩**10002*****0164136128574.96林**10002*****0163135729074.83于**10002*****0834735429174.50吴**10002*****1277635828274.29程**10002*****1500535928074.26于**10002*****0164935029474.2张**10002*****0161935328874.10曹**10002*****0159135028973.77褚**10002*****0159935028573.42赵**10002*****1397635527673.35财政金融学院 - 金融(专业学位)姓名考生编号初试成绩复试成绩加权总成绩备注朱**10002*****0213840530683.57冯**10002*****0737640330282.87李**10002*****0206440928581.65李**10002*****0201042227181.61杨**10002*****0199539929581.59吴**10002*****1552139629781.46张**10002*****0694238730681.41于**10002*****0214240428581.05戴**10002*****0201338830180.96郭**10002*****1430639828880.67覃**10002*****0202638430280.59吴**10002*****0704039229280.41金**10002*****0211939228879.95蓝**10002*****0200039628379.86白**10002*****0206539328679.84董**10002*****0190138429479.68石**10002*****1503239728079.64朱**10002*****0212438529279.57吕**10002*****0926739228479.49蒋**10002*****0189139128579.49刘**10002*****1020039627979.40张**10002*****0210138329279.33陈**10002*****0953239727779.29孙**10002*****1545139527979.28李**10002*****1548439028479.25汪**10002*****0197938828679.24卢**10002*****0213738229279.21董**10002*****0188838328978.98李**10002*****0952539427778.93罗**10002*****0184538628578.89黄**10002*****0195238628378.66吴**10002*****0807738328678.64于**10002*****0194639127778.57冯**10002*****0201538927978.56李**10002*****0197238328578.53张**10002*****1502738728078.44张**10002*****0198539627078.37熊**10002*****1080439926578.16许**10002*****1067038328178.07张**10002*****0209138128378.06李**10002*****1237839826578.04毕**10002*****0200839027378吴**10002*****1323538427977.96卢**10002*****0212638727577.86杨**10002*****1452238727477.75蒋**10002*****0973338028077.6李**10002*****0212338227777.49刘**10002*****1149639526377.45赵**10002*****1105438827077.41李**10002*****0200438727077.29邵**10002*****1492238726977.18廖**10002*****0207338027376.8张**10002*****0953538127176.69张**10002*****1504038127176.69陈**10002*****0208138726476.61卢**10002*****0209638426676.48阮**10002*****0210838126976.46黄**10002*****0185539924876.22任**10002*****1388238726076.15黄**10002*****0185438626076.03潘**10002*****0194038026575.88李**10002*****0188036025071.77骨干谢**10002*****1347933723967.75骨干赵**10002*****0193737831080.78陈**10002*****0185035431578.48卢**10002*****0184937129778.46曾**10002*****0722536330478.30黄**10002*****0195536429677.50郭**10002*****0197735330777.44刘**10002*****0198635930077.36刘**10002*****1554934031376.57孟**10002*****0189535429476.08杨**10002*****0193636827875.93王**10002*****0192134630175.92沈**10002*****0218534630175.92吴**10002*****1430235529075.74蔡**10002*****0219134329875.21张**10002*****0218034928974.90孟**10002*****0865334928974.90严**10002*****1062435528074.6乔**10002*****0758835927374.28林**10002*****0219535327874.13伊**10002*****0193835527473.91赵**10002*****0808134628373.86韦**10002*****0188535227473.55杨**10002*****0853034827673.30王**10002*****1201035426973.22李**10002*****1014434328073.16张**10002*****0202935326472.53宁**10002*****0216533727772.09欧**10002*****0182534027372王**10002*****0861133827471.87袁**10002*****0926233427871.85刘**10002*****0195633527671.74贾**10002*****0693833826670.96陈**10002*****0197135624270.37宁**10002*****0193332227770.29吕**10002*****0217733726170.26刘**10002*****0219632327369.96刘**10002*****0198833925669.93杨**10002*****0199132126668.92王**10002*****0219434423568.13财政金融学院 - 税务(专业学位)姓名考生编号初试成绩复试成绩加权总成绩备注孙**10002*****0222041230183.84贾**10002*****1329041029182.45陈**10002*****1388640129081.26魏**10002*****1504540029081.14谭**10002*****1329140427880.25王**10002*****0220739228679.72齐**10002*****1504239528279.62周**10002*****0222639128579.49林**10002*****0222837030779.48周**10002*****0223539927679.42范**10002*****0788138229379.32王**10002*****0222738029479.2张**10002*****1431838928278.90罗**10002*****0222138728178.55朱**10002*****0223439027778.45宋**10002*****0704639226977.78钟**10002*****0927338327477.27吴**10002*****1349038726776.95葛**10002*****1054138227076.69柯**10002*****1080938126876.34李**10002*****0221537727076.09鲁**10002*****0221737726475.41赵**10002*****1348937726275.18毕**10002*****0223037825874.84马**10002*****0220234125970.52骨干刘**10002*****0237936427575.10王**10002*****0235135927574.50杨**10002*****0234234927172.85张**10002*****0236634926472.05黄**10002*****0224234027171.77陈**10002*****0229332428471.33杨**10002*****0243634026571.08李**10002*****0232033726370.49闫**10002*****0227032527370.2徐**10002*****0234732627069.97薛**10002*****0229532225868.12财政金融学院 - 保险(专业学位)姓名考生编号初试成绩复试成绩加权总成绩备注周**10002*****0244941531585.8郭**10002*****1388739330782.24王**10002*****0244538931082.10孟**10002*****0244839230381.66刘**10002*****0244038829980.73施**10002*****0244638230480.58董**10002*****0244237230879.84张**10002*****0746338429579.79倪**10002*****1504838628779.12范**10002*****0244137228977.66统计学院 - 应用统计(专业学位)姓名考生编号初试成绩复试成绩加权总成绩备注梁**10002*****0816741330684.04刘**10002*****0279941829683.89黎**10002*****1082041130283.42陈**10002*****0278241030183.2张**10002*****0278540329781.87林**10002*****0280440429581.84陈**10002*****0278938931881.71邓**10002*****0280740628681.35吉**10002*****1506138731381.00何**10002*****1506539429680.53金**10002*****0278840427980.47郝**10002*****1493939429480.36李**10002*****0278739129780.19尹**10002*****1506239828580.14李**10002*****0956539029279.62留**10002*****1350640127279.45林**10002*****0956738829279.34赵**10002*****0804338529679.27鞠**10002*****1111238129678.71宋**10002*****0276439327378.42吴**10002*****0868437530278.38白**10002*****0280338627977.95王**10002*****0279338028677.71赵**10002*****0277939026977.65张**10002*****0275437229877.62闫**10002*****1553138527277.21辛**10002*****0828038826476.94贾**10002*****1111037428476.70王**10002*****1110937428376.61何**10002*****0278138626376.58王**10002*****0277837328276.39李**10002*****1228936928876.34韩**10002*****0837237228376.33孙**10002*****0929236529476.3李**10002*****1506938625876.15周**10002*****1110636529075.95熊**10002*****0802037926675.86李**10002*****1586437027575.37李**10002*****0956636827575.09叶**10002*****1432937725974.98胡**10002*****1244436727574.95法学院(专业学位) - 法律(非法学)姓名考生编号初试成绩复试成绩加权总成绩备注范**10002*****1387339429781.22林**10002*****0661638230380.46张**10002*****1334338729780.38陈**10002*****0665237829879.41詹**10002*****1010738728679.12王**10002*****0668838528678.88伍**10002*****1036737929278.85陈**10002*****0666537829278.73李**10002*****0653238128878.63张**10002*****1090238128678.40李**10002*****1423937729078.38朱**10002*****1490037229578.35王**10002*****0945436130678.29陈**10002*****1057336729978.21黄**10002*****0658036430278.19温**10002*****1143438128478.17侯**10002*****0646238028578.17赵**10002*****0660536629978.09魏**10002*****0648036629877.97钟**10002*****0898637229177.89贠**10002*****1293436330077.84宋**10002*****0669137828477.81刘**10002*****0657337728577.81刘**10002*****0875137229077.78王**10002*****1306538028177.71邵**10002*****0659036529677.62林**10002*****0663838028077.6刘**10002*****1049637029077.54兰**10002*****1570737728177.35谢**10002*****1389936729077.18魏**10002*****1142636529076.94任**10002*****1387136329276.93孔**10002*****1567037827676.90张**10002*****0743538526876.82谢**10002*****1405436429076.82王**10002*****1478435529976.77邓**10002*****0691237427976.76唐**10002*****0664035929476.68陈**10002*****0743638726476.61谭**10002*****0655637927276.56王**10002*****1558037327876.53徐**10002*****0646936129076.46刘**10002*****0848335929276.45宋**10002*****0847736428676.36付**10002*****1478536728276.26周**10002*****0658936228776.24史**10002*****0992736228676.12王**10002*****1489835828975.98藏**10002*****1556136328375.90唐**10002*****0663635529175.85施**10002*****1090035529175.85叶**10002*****0665834929775.82李**10002*****0665135928675.76海**10002*****1285537027475.71黄**10002*****0700536727775.69牛**10002*****1333736428075.68祁**10002*****1031935828675.64肖**10002*****0662235528975.62梁**10002*****0655437127275.60梁**10002*****0645137027375.6李**10002*****1164336927475.59王**10002*****1334634629875.57陈**10002*****0647936228175.55李**10002*****0656235928475.53张**10002*****0824235728675.52韩**10002*****0945635528875.51李**10002*****1574636627675.46樊**10002*****1333836028275.42袁**10002*****0992535828475.41郜**10002*****1140335628675.40洪**10002*****1403837626575.40左**10002*****1089935428875.39范**10002*****1333136427775.33陈**10002*****1166736028175.31郭**10002*****0667434829375.24叶**10002*****0651735029075.14张**10002*****1207236627375.12雷**10002*****1272435628375.06黄**10002*****0685036127774.97白**10002*****1426435328574.93亓**10002*****1233536727074.89张**10002*****1026136627174.89孟**10002*****1199735728074.84韩**10002*****1223036227474.75谢**10002*****1187835428274.70孙**10002*****1143635328374.70曾**10002*****1089536227374.64孙**10002*****0992835727874.61兰**10002*****1489934928674.56江**10002*****1051736227274.52周**10002*****1477136127374.52孔**10002*****0760335028474.45赖**10002*****1442335028474.45高**10002*****1028334828674.44宋**10002*****1327534728674.32江**10002*****1406335627674.26尚**10002*****0662735128174.23赵**10002*****0655936127074.17张**10002*****0667535527674.14王**10002*****0653135427774.13臧**10002*****0658235327874.13孙**10002*****0997535028174.11朱**10002*****0786334628574.09王**10002*****0656636027074.05黄**10002*****1478335727374.04胡**10002*****1090435427674.02高**10002*****0822035327774.01刘**10002*****1334735627373.92崔**10002*****0999035127873.89李**10002*****0647835027973.88常**10002*****0668235727173.81陈**10002*****1520835227673.78蒋**10002*****1477934927873.65官**10002*****0982534728073.64蒋**10002*****1396635627073.57徐**10002*****0664535427273.56胡**10002*****0654735327373.56田**10002*****0822435327273.44刘**10002*****1411535227373.44赵**10002*****0970136326173.38靳**10002*****1308135926573.36马**10002*****0653335626873.34石**10002*****0664735227273.32王**10002*****1242834927573.30甄**10002*****0737234827673.30饶**10002*****1050134727773.29连**10002*****0760134527973.28王**10002*****1164135726673.24胡**10002*****0661135227173.21杨**10002*****0713134227672.58骨干马**10002*****0970431926668.68骨干吉**10002*****1488231726468.21骨干法学院(专业学位) - 法律(法学)考生编号初试成绩复试成绩加权总成绩10002*****1481536230878.64 10002*****1336835529376.08 10002*****1335835029075.14 10002*****1026935428474.93 10002*****1167734928774.68 10002*****0670835328174.47 10002*****1145434328874.07 10002*****1480134928073.8810002*****1336934028573.3710002*****0673333429173.3310002*****1069834228273.2610002*****0825034627172.4910002*****1188333927872.4510002*****1145133727872.2110002*****1334933527671.7410002*****1013434126871.5410002*****0673833927071.5310002*****0678833627071.1710002*****0678233027671.1410002*****0680333027270.6810002*****0677833226770.35公共管理学院(专业学位) - 公共管理(专业学位)考生编号初试成绩复试成绩加权总成绩10002*****050412302807810002*****0478920730275.9110002*****0468322926175.6210002*****0473323624775.42提10002*****0466922127375.4提10002*****0496720329774.5410002*****0480221627474.5110002*****0489922126574.4810002*****0504921327674.1410002*****0492019830274.1110002*****0473520728373.7410002*****0492920229173.6510002*****0507121826373.6510002*****049622092737310002*****0505120428172.9110002*****0499022224872.74村10002*****0475320228272.6210002*****0493120228172.51村10002*****0507820128272.4210002*****0486921725372.3110002*****0478820627072.05提10002*****0503719528871.9110002*****0500020427071.6510002*****0502619528571.5710002*****0491319128971.22提10002*****0484620925771.1710002*****0468118130571.05提10002*****0506119727470.7110002*****0505020625770.5710002*****0504819727270.4810002*****0482618329670.4210002*****0509520026670.410002*****0499819727170.3710002*****0479519028370.34提10002*****0481718229670.2210002*****0503320625470.22提10002*****0506319127970.08提10002*****0469718429170.0510002*****0500618928270.0210002*****0488819726769.9110002*****0485520724969.8510002*****0473719327369.8提10002*****0476519526869.62提10002*****0499518828069.610002*****0489318029369.4810002*****0474819925969.4提10002*****0498218927669.3410002*****0478219326869.2210002*****0486218827569.0210002*****0496419226869.0210002*****0484717729469提10002*****0475118527868.7710002*****0476318028668.68提10002*****0503218827268.6810002*****0483817030268.5110002*****0499218228168.5110002*****0478419126368.25提10002*****0476419126268.1410002*****0494619126268.14村10002*****0505419226068.1110002*****0467717728668.0810002*****0502517329368.0810002*****0481118726767.9110002*****0506618527067.8510002*****0510618726567.68提10002*****0499419125767.5710002*****0469318826267.54提10002*****0488918626567.48村10002*****0501419025767.3710002*****0483218127267.2810002*****0494718925667.0510002*****0497017827567.0210002*****0501016629667.02提10002*****050041712876710002*****0489818126866.8210002*****0494118925466.8210002*****0485817428066.810002*****0482817228366.7410002*****0498018326366.65村10002*****0506017827166.5710002*****0492519723766.4810002*****0489619224566.410002*****0486718026265.94提10002*****0487916928165.91提10002*****0492818126065.9110002*****0470617527065.85提10002*****0481419423665.77提10002*****0491118125765.57提10002*****0475416827565.02提10002*****0477016428265.02提10002*****0483716926864.42提10002*****0486617525664.25提10002*****0487816926163.62提10002*****0479116925963.4提10002*****0478116526363.05提10002*****0484116525862.48提10002*****0507317523862.2提10002*****0473216225962提10002*****0471116125861.68提10002*****0475616424060.22提10002*****0512120528873.9110002*****0511419030072.2810002*****0510721325671.85提10002*****0511619825969.210002*****0510321122167.45提10002*****0511519025667.2510002*****0510518526467.17提10002*****051191832666710002*****0512417527165.9710002*****0510218325665.8510002*****0500218425465.8210002*****0468019822965.7710002*****0511116728365.7410002*****0510916728165.5110002*****0486116827865.3710002*****0497516827665.1410002*****0498717625964.810002*****0500816827364.810002*****0512017326464.7710002*****0484016727464.7110002*****0501216727464.7110002*****0473117525964.610002*****0507418524164.5410002*****0502717625364.1110002*****0480816627064.0510002*****0509017026364.0510002*****0488317225763.7710002*****0469217026063.7110002*****0503016327263.6810002*****0489416227363.610002*****0505916626663.610002*****0498517225563.54 10002*****0507216027663.54 10002*****0499617624763.42 10002*****0501816227163.37 10002*****0468216226963.14 10002*****0479916825863.08 10002*****0490716026662.4 10002*****0484916724961.85 10002*****0488716924361.57文学院(专业学位) - 汉语国际教育(专业学位)考生编号初试成绩复试成绩加权总成绩10002*****0326737530479.74 10002*****0994338027877.37 10002*****0959035030476.74 10002*****1229735629676.54 10002*****0978736128776.12 10002*****1047235229475.84 10002*****1182336527975.68 10002*****0733436827575.58 10002*****1153834430075.56 10002*****1169635828275.18 10002*****0326334429675.10 10002*****0325934629274.89 10002*****1182234828874.67 10002*****1572335028474.45 10002*****0733235527574.02 10002*****1119134828273.98 10002*****1572134728373.98 10002*****1022235926973.82 10002*****1083835427473.79 10002*****1596335027773.65 10002*****0799435527173.57 10002*****0794934228273.26 10002*****1119333328972.98 10002*****1067734327872.9310002*****0958834527572.8210002*****1191934826972.50志愿10002*****1117735825872.4410002*****1075133728072.4410002*****0876833328272.1810002*****0727032429172.1310002*****1255734327172.1310002*****0727334426972.0210002*****1181834326971.9010002*****1395634227071.8910002*****0697134326871.7810002*****1342033827371.7610002*****0837634226871.6610002*****0789433727371.6410002*****1059334526471.5710002*****1202233627271.4010002*****0326433327571.3810002*****0995633127771.3710002*****1330232828071.3610002*****0325234326471.3310002*****0727233826971.3010002*****1169733227571.2610002*****0750236024571.210002*****1069933926771.1910002*****0917335025571.1410002*****1375033027671.1410002*****1239035125371.0310002*****1169833926570.9610002*****1118633626870.9410002*****0326533726570.7210002*****1153932427870.6510002*****0858233826370.6110002*****0326832827270.4410002*****0917232827170.3310002*****1452832727270.3210002*****0819633826070.2710002*****1230033925870.1610002*****0784133725869.92 10002*****0998233625869.80 10002*****1343833326169.78 10002*****0862933725669.69 10002*****1575233425869.56 10002*****1549132726569.52 10002*****1047133225969.44 10002*****1051132826069.07 10002*****0733633125668.97 10002*****0726833025768.97 10002*****0917432825868.84 10002*****1308733125068.29文学院(专业学位) - 电影(专业学位)考生编号初试成绩复试成绩加权总成绩10002*****0327939229981.21 10002*****1279438927978.56 10002*****1036235930678.05 10002*****0327437428677.56 10002*****0327336128676.00 10002*****1460234928774.68 10002*****0799734229174.29 10002*****0343634528573.97 10002*****0340335127573.54 10002*****0697432629773.06 10002*****1449532928371.82新闻学院 - 新闻与传播(专业学位)考生编号初试成绩复试成绩加权总成绩10002*****0355740929482.68 10002*****0351040129281.49 10002*****0354239529881.45 10002*****0355040528781.4 10002*****1375838930281.19 10002*****0839639029980.97 10002*****0355540428180.5910002*****0751237830580.21 10002*****0354739228980.06 10002*****1055839029079.94 10002*****0355438229779.78 10002*****0960538529379.68 10002*****0354838329179.21 10002*****1405737929579.19 10002*****1196838328978.98 10002*****0918238328578.53 10002*****0353838228478.29 10002*****0352537728778.04 10002*****1256638727577.86 10002*****0709037828477.81 10002*****0761137628577.69 10002*****1269337927777.13 10002*****0355637128476.97 10002*****0350437428076.88 10002*****1075834525370.31外国语学院(专业学位) - 英语笔译(专业学位)考生编号初试成绩复试成绩加权总成绩10002*****0784335729477.7 10002*****0356636528877.64 10002*****1211436927476.04 10002*****0328234628274.88 10002*****1235437325573.72 10002*****1210636125973.1 10002*****1154834826873.08 10002*****1279835124169.52 10002*****1202636023469.42 10002*****1210234823768.65 10002*****1376035323068.15外国语学院(专业学位) - 英语口译(专业学位)考生编号初试成绩复试成绩加权总成绩10002*****1041940730584.2710002*****1220836429378.25 10002*****0357136528777.5 10002*****1192535728476.27 10002*****1465935027674.42 10002*****1573135526973.92历史学院 - 文物与博物馆(专业学位)考生编号初试成绩复试成绩加权总成绩10002*****0361639630081.15 10002*****0361439330481.07 10002*****1376239030380.57 10002*****0904339130180.54 10002*****1416839828379.97 10002*****1578039029479.8 10002*****1549538429779.21 10002*****1580037829778.37 10002*****1355937929578.34 10002*****0360937629477.84 10002*****1123637029877.34 10002*****1579837828477.26 10002*****0361036030976.88 10002*****1549436430276.84 10002*****0870936629676.61 10002*****1577937228376.33 10002*****1048336928075.66 10002*****1183337327275.53 10002*****1522337227375.48艺术学院 - 美术(专业学位)考生编号初试成绩复试成绩加权总成绩10002*****0370134031278.57 10002*****0368332832078.51 10002*****0371636829278.51 10002*****0371434230677.91 10002*****0369333829375.65 10002*****0370333929075.3210002*****0370032130275.24 10002*****0371233629075.02 10002*****0370534927874.61艺术学院 - 艺术设计(专业学位)考生编号初试成绩复试成绩加权总成绩10002*****0372939331283.87 10002*****0372836629779.02 10002*****0373533828474.37信息学院(专业学位) - 软件工程(专业学位)考生编号初试成绩复试成绩加权总成绩10002*****0374237732180.29 10002*****1546137128776.54 10002*****1016536026973.45 10002*****0379633329571.90 10002*****0379332530171.3 10002*****0734935024870.25 10002*****0379232928270.23 10002*****0378633227770.22 10002*****1330831329469.02 10002*****0374031427467.44 10002*****1037931227266.99 10002*****0858731026566.11 10002*****1124330625164.35 10002*****1124130223061.99 10002*****0962030023361.97商学院(专业学位) - 国际商务(专业学位)考生编号初试成绩复试成绩加权总成绩10002*****1127837530378.47 10002*****1437337430478.41 10002*****0395738129178.28 10002*****1407138627977.95 10002*****1509337329677.5910002*****0894837529177.44 10002*****0790938427477.24 10002*****1453736828976.29 10002*****0394836129175.48 10002*****0395636228675.19 10002*****1331236328375.07 10002*****0392935529675.07 10002*****0392536627474.72 10002*****1361736527474.58 10002*****1011836826974.57 10002*****0394736726974.43 10002*****0394935328974.19 10002*****0395437026074.08 10002*****1376835128873.82 10002*****1158835927473.74 10002*****1509135128273.31 10002*****1317336326073.10 10002*****0393535126972.19商学院(专业学位) - 资产评估(专业学位)考生编号初试成绩复试成绩加权总成绩10002*****0397141530283.98 10002*****1331341127881.36 10002*****1231540628481.18 10002*****0397240128780.74 10002*****0872539927579.43 10002*****0937040027279.31 10002*****1509539327078.16 10002*****1158939027478.08 10002*****0963438128577.76 10002*****1376938926477.08 10002*****0398638826577.03 10002*****0397737528677.01 10002*****0396537129076.79 10002*****0396736929276.68 10002*****0810037627976.5510002*****0397538126576.05 10002*****0397337526775.38 10002*****0753137426675.16 10002*****0991036924372.48 10002*****1356936921470.00商学院(会计) - 会计(专业学位)姓名考生编号初试成绩复试成绩加权总成绩备注许**10002*****0534425130885.4朱**10002*****0534624731485.28周**10002*****0533024731084.82刘**10002*****0522424231584.4王**10002*****0528124530984.31金**10002*****0521124630483.94李**10002*****0533524430683.77姚**10002*****0969624330283.11李**10002*****1304723730782.48卢**10002*****0532224229882.45王**10002*****0535023830582.45刘**10002*****0870123530281.51郭**10002*****0532524428681.48李**10002*****1381823630081.48毕**10002*****0530824129181.45王**10002*****024727981.28许**10002*****0533923629781.14姜**10002*****1518323529480.6钱**10002*****0526624427880.57谢**10002*****0528023828880.51孙**10002*****0531724228080.4李**10002*****0689023728780.2杨**10002*****0870323828079.6花**10002*****0537024226879.02宋**10002*****0532324027178.97陈**10002*****1381423626777.71任**10002*****1381121326673骨干牧**10002*****1077321426272.74骨干曾**10002*****0516420024968.45骨干喻**10002*****0548122929979.97石**10002*****0547321930778.88刘**10002*****0556721830878.8刘**10002*****0546522130278.71陆**10002*****0558521631078.62于**10002*****0556522329778.54王**10002*****023626977.94查**10002*****0556321730277.91王**10002*****0550221929877.85裴**10002*****0548021529977.17柳**10002*****0559320930376.42熊**10002*****0542022627376.4邓**10002*****0551022128176.31连**10002*****0545020231376.17熊**10002*****0548321329275.97贺**10002*****0969722127275.28王**10002*****0540321128975.22吕**10002*****0543721528275.22王**10002*****0551820430175.2孙**10002*****1305820529774.94丁**10002*****0541822226774.91许**10002*****0540620629474.8田**10002*****0552719830874.8李**10002*****0543621028674.68秦**10002*****0559121028674.68王**10002*****1232919830774.68李**10002*****020429474.4郭**10002*****0818320129874.25王**10002*****0548220229574.11姚**10002*****0554619530373.62杨**10002*****0546621626673.6滕**10002*****0553921925873.28韩**10002*****0716119629072.34温**10002*****0556620926772.31王**10002*****0559420227772.05刘**10002*****0552119528871.91徐**10002*****0873121325571.74陈**10002*****0540420726471.57高**10002*****0539719927571.22王**10002*****0545820825971.2杨**10002*****0555420126970.94郭**10002*****0557720326470.77刘**10002*****0540021224870.74张**10002*****0538519527670.54魏**10002*****0554820725570.54左**10002*****0546419827070.45李**10002*****020126470.37村官加分马**10002*****0558019627270.28农业与农村发展学院 - 农村与区域发展(专业学位)考生编号初试成绩复试成绩加权总成绩10002*****0414938431081.5010002*****0414338131381.4910002*****0415237530679.9710002*****1216039727879.4110002*****1275236430077.9610002*****0813436728576.6110002*****0415136628075.9210002*****0742736927675.8210002*****0414835429175.7310002*****1557735628775.5210002*****0711335428575.0510002*****1204935628074.7210002*****1204836227274.5210002*****1498035228274.4610002*****0414635127673.6610002*****1192935127573.5410002*****1438035826573.2410002*****1064334527372.610002*****1204734227672.5810002*****1023934327472.4710002*****0414735525771.9710002*****0414435725371.7510002*****1394135325070.9310002*****1221433726670.8410002*****1543933529373.68援信息资源管理学院 - 图书情报(专业学位)考生编号初试成绩复试成绩加权总成绩10002*****1213023228978.9010002*****0641122530078.21国10002*****0643122529878.04国10002*****0642522429577.55国10002*****0642722928177.51国10002*****0970022528977.2710002*****0642021629976.0210002*****0640222327475.5110002*****0643021129774.69国10002*****0982420830574.6710002*****0642621328974.47国10002*****0642321228774.06国10002*****1518821328273.8710002*****0859520928973.5310002*****0642921227973.38国10002*****0642421227673.12国10002*****0643320528772.43国10002*****1402320927672.4210002*****0640320129572.1810002*****0716320229172.0710002*****0643220428371.85国10002*****0756620827271.8410002*****0640120527671.4910002*****1306219928871.1110002*****0641720527171.0610002*****0870519528970.2710002*****1306319827870.0210002*****1138820126069.1810002*****0641619926268.8910002*****1217220723768.6110002*****0818619425767.29社会与人口学院(专业学位) - 社会工作(专业学位)考生编号初试成绩复试成绩加权总成绩10002*****0424643031587.610002*****0425741832086.7310002*****0424141432186.3610002*****1486642030485.14 10002*****1060741131385.09 10002*****0896141231084.86 10002*****0424541131184.86 10002*****0980540130883.32 10002*****0939039731183.18 10002*****0769840330483.10 10002*****1060539930883.08 10002*****0712041029582.91 10002*****0425538731682.55 10002*****1466340129882.17 10002*****0966040529382.08 10002*****1027941128581.89 10002*****1319941627881.69 10002*****0424339430181.68 10002*****0721540528881.51 10002*****1060839629781.46 10002*****0425039629681.34 10002*****1319039429781.22 10002*****1438939829281.13 10002*****0966239429681.10 10002*****1319238130981.03 10002*****1095439329680.98 10002*****1065138929980.85 10002*****0769740028780.8 10002*****1319740428180.59 10002*****0965939229380.52 10002*****1042739229380.52 10002*****0425438530080.48 10002*****1580639129380.40 10002*****1132640427980.36 10002*****0905738629580.03 10002*****1318740327780.01 10002*****0974838129979.89 10002*****1160538030079.88 10002*****0742939428579.85 10002*****0423938729079.58。
我校自9月28日起在全国推免服务系统上进行接收硕士研究生工作,截止目前已接收校内外推荐免试入学硕士研究生共计2000余人,基本完成推免招生任务。
为给广大参加硕士研究生统考入学考试的学生提供参考,现将2014年哈工大各专业实际录取情况及2015年硕士推免生接收情况公布如下:2015年哈工大校内外推荐免试(申请考核)硕士研究生接收情况院系代码院系名称专业代码专业名称2015年推免录取去年录取(统考+推免)001 航天学院080100 力学18 56 001 航天学院080300 光学工程8 10 001 航天学院080901 物理电子学15 30 001 航天学院080903 微电子学与固体电子学10 22 001 航天学院081100 控制科学与工程86 95 001 航天学院082500 航空宇航科学与技术15 40 001 航天学院085202 光学工程9 33 001 航天学院085209 集成电路工程7 22 001 航天学院085210 控制工程51 77 001 航天学院085233 航天工程28 68 002 能源科学与工程学院080700 动力工程及工程热物理51 69 002 能源科学与工程学院085206 动力工程22 53003 计算机科学与技术学院081200 计算机科学与技术暂无96003 计算机科学与技术学院083500 软件工程15 003 计算机科学与技术学院085211 计算机技术74 004 电气工程及自动化学院-1系080400 仪器科学与技术52 72 004 电气工程及自动化学院-1系085203 仪器仪表工程24 58 004 电气工程及自动化学院-6系080800 电气工程59 95 004 电气工程及自动化学院-6系085207 电气工程38 66 005 理学院025200 应用统计 1 0 005 理学院-数学系070101 基础数学 2 13 005 理学院-数学系070102 计算数学11 19 005 理学院-数学系070103 概率论与数理统计7 7 005 理学院-数学系070104 应用数学7 10 005 理学院-数学系070105 运筹学与控制论 2 6 005 理学院-物理系070200 物理学39 71 005 理学院-化学系070301 无机化学9 22 005 理学院-化学系070302 分析化学7 14 005 理学院-化学系070303 有机化学 2 8 005 理学院-化学系070304 物理化学11 30 006 机电工程学院080201 机械制造及其自动化49 43 006 机电工程学院080202 机械电子工程89 88 006 机电工程学院080203 机械设计及理论24 35 006 机电工程学院082503 航空宇航制造工程15 18 006 机电工程学院085201 机械工程82 155 006 机电工程学院087200 设计学8 18 006 机电工程学院130500 设计学 3 9007 材料学院080501 材料物理与化学8 13 007 材料学院080502 材料学28 61 007 材料学院080503 材料加工工程44 92 007 材料学院0805Z1 空间材料与加工 2 8 007 材料学院0805Z2 信息功能材料与器件 5 7 007 材料学院085204 材料工程55 127 008 经济与管理学院020200 应用经济学14 31 008 经济与管理学院025100 金融 4 13 008 经济与管理学院120100 管理科学与工程42 64 008 经济与管理学院120200 工商管理43 63 008 经济与管理学院120400 公共管理7 22 008 经济与管理学院125300 会计13 19 008 经济与管理学院-科技史071200 科学技术史0 3 009 人文学院010108 科学技术哲学0 8 009 人文学院020101 政治经济学 2 4 009 人文学院020105 世界经济 5 4 009 人文学院020206 国际贸易学 5 8 009 人文学院030301 社会学 5 14 009 人文学院035200 社会工作0 0 010 外国语学院050201 英语语言文学 2 7 010 外国语学院050202 俄语语言文学 1 4 010 外国语学院050211 外国语言学及应用语言学 5 12 010 外国语学院055100 翻译7 17 011 土木工程学院080100 力学 2 10 011 土木工程学院081400 土木工程72 88 011 土木工程学院085213 建筑与土木工程42 79 012 市政环境工程学院071005 微生物学 1 11 012 市政环境工程学院080103 流体力学 1 3 012 市政环境工程学院081403 市政工程43 37012 市政环境工程学院081404 供热、供燃气、通风及空调工程33 28012 市政环境工程学院0814Z1 城市水资源0 5 012 市政环境工程学院081502 水力学及河流动力学0 2 012 市政环境工程学院083000 环境科学与工程28 37 012 市政环境工程学院085213 建筑与土木工程 4 49 012 市政环境工程学院085229 环境工程 4 36 013 建筑学院081300 建筑学9 41 013 建筑学院083300 城乡规划学 6 11 013 建筑学院083400 风景园林学 3 4 013 建筑学院085100 建筑学21 30 013 建筑学院085300 城市规划11 16 013 建筑学院087200 设计学9 9 013 建筑学院095300 风景园林 3 9 014 交通科学与工程学院081406 桥梁与隧道工程9 14014 交通科学与工程学院082300 交通运输工程25 29 014 交通科学与工程学院085213 建筑与土木工程7 7 014 交通科学与工程学院085222 交通运输工程17 27 016 化工学院070305 高分子化学与物理8 24 016 化工学院081700 化学工程与技术21 31 016 化工学院085216 化学工程18 53 017 法学院030100 法学 5 14 018 食品科学与工程学院081703 生物化工0 2 018 食品科学与工程学院083200 食品科学与工程11 23 019 人文学院010101 马克思主义哲学0 9 019 人文学院030500 马克思主义理论0 12 020 体育部040303 体育教育训练学0 4 021 电子与信息工程学院080904 电磁场与微波技术 5 12 021 电子与信息工程学院081000 信息与通信工程60 79 021 电子与信息工程学院085208 电子与通信工程20 64 028 生命科学与技术学院071000 生物学24 31 028 生命科学与技术学院077700 生物医学工程0 5 028 生命科学与技术学院083100 生物医学工程 3 3 028 生命科学与技术学院085238 生物工程0 0 030 软件学院085212 软件工程25 61 201 深圳研究生院020200 应用经济学15 21 201 深圳研究生院070102 计算数学 1 5 201 深圳研究生院070103 概率论与数理统计 2 4 201 深圳研究生院070104 应用数学 3 5 201 深圳研究生院080100 力学0 11 201 深圳研究生院080202 机械电子工程21 50 201 深圳研究生院080501 材料物理与化学0 6 201 深圳研究生院080502 材料学 5 14 201 深圳研究生院080503 材料加工工程15 18 201 深圳研究生院080700 动力工程及工程热物理 2 10 201 深圳研究生院080800 电气工程12 28 201 深圳研究生院080901 物理电子学9 10 201 深圳研究生院080903 微电子学与固体电子学7 14 201 深圳研究生院081000 信息与通信工程31 48 201 深圳研究生院081100 控制科学与工程10 38 201 深圳研究生院081200 计算机科学与技术36 79 201 深圳研究生院081300 建筑学 2 10 201 深圳研究生院081400 土木工程30 41 201 深圳研究生院081403 市政工程10 12 201 深圳研究生院082300 交通运输工程 1 3 201 深圳研究生院083000 环境科学与工程8 20 201 深圳研究生院083300 城乡规划学 5 10 201 深圳研究生院085201 机械工程23 39 201 深圳研究生院085202 光学工程 3 13201 深圳研究生院085204 材料工程 1 31 201 深圳研究生院085206 动力工程0 8 201 深圳研究生院085207 电气工程12 20 201 深圳研究生院085208 电子与通信工程13 37 201 深圳研究生院085209 集成电路工程 6 15 201 深圳研究生院085210 控制工程17 28 201 深圳研究生院085211 计算机技术7 45 201 深圳研究生院085213 建筑与土木工程24 38 201 深圳研究生院085222 交通运输工程0 2 201 深圳研究生院085229 环境工程 2 16 201 深圳研究生院085300 城市规划 1 6 201 深圳研究生院095300 风景园林0 11 201 深圳研究生院120200 工商管理14 21301 威海校区070102 计算数学暂无7301 威海校区070104 应用数学7 301 威海校区070200 物理学11 301 威海校区070700 海洋科学27 301 威海校区080202 机械电子工程 6 301 威海校区080204 车辆工程7 301 威海校区080400 仪器科学与技术 5 301 威海校区080502 材料学 3 301 威海校区080503 材料加工工程9 301 威海校区080700 动力工程及工程热物理 4 301 威海校区080800 电气工程 4 301 威海校区080903 微电子学与固体电子学0 301 威海校区081000 信息与通信工程10 301 威海校区081100 控制科学与工程 3 301 威海校区081200 计算机科学与技术7 301 威海校区081400 土木工程 3 301 威海校区081700 化学工程与技术 6 301 威海校区082400 船舶与海洋工程20 301 威海校区085201 机械工程12 301 威海校区085204 材料工程16 301 威海校区085206 动力工程 5 301 威海校区085207 电气工程 4 301 威海校区085208 电子与通信工程14 301 威海校区085209 集成电路工程 5 301 威海校区085210 控制工程 5 301 威海校区085211 计算机技术19 301 威海校区085213 建筑与土木工程8 301 威海校区085216 化学工程8 301 威海校区085234 车辆工程11 301 威海校区120200 工商管理16注:以上2014年数据仅供参考,2015年分专业录取计划将根据实际报考情况有所调整。
1 1.02171E+14王凯峰机械电子工程6193852342 1.02171E+14张影机械电子工程6114002113 1.02171E+14郭伟机械电子工程6063882184 1.02171E+14刘金涛机械电子工程5943712235 1.02171E+14张强机械电子工程593.5366227.56 1.02171E+14李晓伟机械电子工程5923652277 1.02171E+14王晓艳机械电子工程5903652258 1.02171E+14王岩涛机械电子工程5833632209 1.02171E+14许秀军机械电子工程58237820410 1.02171E+14王雪微机械电子工程57735522211 1.02171E+14郗厚岩机械电子工程57834922912 1.02171E+14张玉宝机械电子工程576.5349227.513 1.02171E+14宋华建机械电子工程57535522014 1.02171E+14李健机械电子工程57535222315 1.02171E+14赵志明机械电子工程56434122316 1.02171E+14王涛机械电子工程56234022217 1.02171E+14初传海机械电子工程55734621118 1.02171E+14国云飞机械电子工程556.5352204.519 1.02171E+14王飞机械电子工程55634321320 1.02171E+14兰光明机械电子工程55633921721 1.02171E+14宋承盈机械电子工程55431923522 1.02171E+14田西强机械电子工程551.5323228.523 1.02171E+14孙志强机械电子工程54933821124 1.02171E+14杨再保机械电子工程54533421125 1.02171E+14董立涛机械电子工程54332721626 1.02171E+14王正雨机械电子工程538.5299239.527 1.02171E+14李金龙机械电子工程53631522128 1.02171E+14徐雷雷机械电子工程53332221129 1.02171E+14马方超机械电子工程53031521530 1.02171E+14冯燕超机械电子工程52730921831 1.02171E+14李树鹏机械电子工程52531521032 1.02171E+14夏仁杰机械电子工程51831120733 1.02171E+14任梦轩机械电子工程516.5318198.534 1.02171E+14周军亮机械电子工程51030420635 1.02171E+14吕成坤机械电子工程50830720136 1.02171E+14屈慧刚机械电子工程50731019737 1.02171E+14张媛机械电子工程50230619638 1.02171E+14彭勃机械电子工程50130519639 1.02171E+14解成龙机械电子工程496.5304192.540 1.02171E+14武毅机械电子工程490.5296194.541 1.02171E+14纪娜娜机械设计及理论58434823642 1.02171E+14高山机械设计及理论57336221143 1.02171E+14姜贵林机械设计及理论56834622244 1.02171E+14杨志昆机械设计及理论55634521145 1.02171E+14许振琦机械设计及理论555.5322233.546 1.02171E+14李少远机械设计及理论543.5335208.547 1.02171E+14任红伟机械设计及理论52832620248 1.02171E+14刘尊机械设计及理论52731820949 1.02171E+14马文韬机械设计及理论52632420250 1.02171E+14王丽春机械设计及理论51631020651 1.02171E+14夏特机械设计及理论51630920752 1.02171E+14龙相瑞机械设计及理论50130020153 1.02171E+14董占凤机械制造及其自动化57236320954 1.02171E+14邹金锟机械制造及其自动化56935221755 1.02171E+14高恩武机械制造及其自动化56236120156 1.02171E+14温继超机械制造及其自动化55933422557 1.02171E+14李智旭机械制造及其自动化55433422058 1.02171E+14张尊洋机械制造及其自动化55134021159 1.02171E+14齐志新机械制造及其自动化55033721360 1.02171E+14朱新波机械制造及其自动化55033221861 1.02171E+14汪照磊机械制造及其自动化54731623162 1.02171E+14李立冬机械制造及其自动化545.5321224.563 1.02171E+14邱树彬机械制造及其自动化54432621864 1.02171E+14代鹏机械制造及其自动化54232921365 1.02171E+14臧东阳机械制造及其自动化539.5315224.566 1.02171E+14赵健英机械制造及其自动化53932621367 1.02171E+14陈煦机械制造及其自动化53832421468 1.02171E+14吴桐机械制造及其自动化532.5323209.569 1.02171E+14洪峰机械制造及其自动化53032920170 1.02171E+14曲振洋机械制造及其自动化52332020371 1.02171E+14冯明机械制造及其自动化52030621472 1.02171E+14于鹏机械制造及其自动化51931920073 1.02171E+14张磊机械制造及其自动化50631119574 1.02171E+14耿燕华机械制造及其自动化50130319875 1.02171E+14张龙至机械制造及其自动化500.5302198.576 1.02171E+14马跃机械制造及其自动化496.5294202.577 1.02171E+14姜一洲设计艺术学63738924878 1.02171E+14姜佳宁设计艺术学63238125179 1.02171E+14常鑫设计艺术学62937625380 1.02171E+14董珺设计艺术学58934624381 1.02171E+14董超设计艺术学586.5362224.582 1.02171E+14李馨瑶设计艺术学572.5359213.583 1.02171E+14刘瀚泽设计艺术学56634022684 1.02171E+14李佳瑜设计艺术学563.5363200.585 1.02171E+14张攀娜设计艺术学55133721486 1.02171E+14石平美子设计艺术学549.5348201.5非定向薛开否否一等 非定向薛开否否一等 非定向薛开否否一等 非定向薛开否否一等 非定向薛开否否一等 非定向薛开否否一等 非定向薛开否否一等 非定向薛开否否一等 非定向薛开否否二等 非定向薛开否否二等 非定向薛开否否二等 非定向薛开否否二等 非定向薛开否否二等 非定向薛开否否二等 非定向薛开否否二等 非定向薛开否否二等 非定向薛开否否二等 非定向薛开否否二等 非定向薛开否否二等 非定向薛开否否二等 非定向薛开否否二等 非定向薛开否否二等 非定向薛开否否二等 非定向薛开否否二等 非定向薛开否否二等 非定向薛开否否二等 非定向薛开否否二等 非定向薛开否否二等 非定向薛开否否二等 非定向薛开否否二等 非定向薛开否否二等 非定向薛开否否二等 非定向薛开否否二等 非定向薛开否否二等 非定向薛开否否二等 非定向薛开否否二等 非定向薛开否否二等 非定向薛开否否二等 非定向薛开否否一等 非定向薛开否否一等 非定向薛开否否一等 非定向薛开否否一等 非定向薛开否否二等 非定向薛开否否二等 非定向薛开否否二等 非定向薛开否否二等 非定向薛开否否二等 非定向薛开否否二等 非定向薛开否否二等 非定向薛开否否一等 非定向薛开否否一等 非定向薛开否否一等 非定向薛开否否一等 非定向薛开否否一等 非定向薛开否否一等 非定向薛开否否一等 非定向薛开否否一等 非定向薛开否否二等 非定向薛开否否二等 非定向薛开否否二等 非定向薛开否否二等 非定向薛开否否二等 非定向薛开否否二等 非定向薛开否否二等 非定向薛开否否二等 非定向薛开否否二等 非定向薛开否否二等 非定向薛开否否二等 非定向薛开否否二等 非定向薛开否否二等 非定向薛开否否二等 非定向薛开否否二等 非定向薛开否否一等 非定向薛开否否一等 非定向薛开否否二等 非定向薛开否否二等 非定向薛开否否二等 非定向薛开否否二等 非定向薛开否否二等 非定向薛开否否二等 非定向薛开否否二等 非定向薛开否否二等。
2015年哈尔滨工程大学第七届TRY简易橄榄球赛竞赛规程一、主办单位:哈尔滨工程大学体训部二、协办单位:校团委、哈尔滨大学橄榄球协会三、赞助冠名单位:体训部四、报道媒体:工学周报、哈尔滨工程大学校园网。
五、竞赛时间和地点:时间: 2015年6月20、21日地点:南田径场六、参赛资格:以学院为单位组队,于6月15日前将报名表交到体育部群体竞赛办公室童博老师联系方式:82519915每队报名领队一名(必须是老师),教练一人,队员12名(身体健康的男学生)。
七、竞赛项目:TRY简易橄榄球(轻触式)八、竞赛办法:(一)、第一阶段为分组循环赛。
第二阶段根据小组成绩进行杯、盘、碗级别的淘汰赛(小组赛的第一名争夺杯级即前四名,小组第二名争夺盘级即5至8名依次类推)。
(二)、在循环赛中各队每胜一场得3分,平一场得2分,负一场得1分,弃权得0分,积分高者,名次列前。
如果出现积分相等的情况,按下述办法决定名次:1、积分相等各队之间的比赛的胜者名次前列。
2、如仍不能决定名次,则按积分相等各队在比赛中的得失分率高低决定名次(得失分率=得分之和/失分之和),得失分率高者名列前。
(三)、比赛规则1、轻触式橄榄球比赛规则2、比赛时间,上下半场7分钟,中间休息1分钟,决赛为上下半场10分钟,中间休息2分钟。
3、每队场上必须保证六人。
可以在比赛任何时间换人,换人数不限,换下的队员可以重新上场。
4、得分:达阵得1分。
5、英式橄榄球风雨无阻,请各队按时参加比赛。
(四)、服装1、运动员应穿着符合规则规定的服装。
2、服装上不准使用金属钮扣和金属饰物,运动员不得戴首饰。
九、裁判员和仲裁委员会(一)、裁判员由主办单位选聘。
(二)、仲裁委员会由主办单位提名十、录取名次和奖励奖励各级别冠军和前八名,并将分数加入到各单位全年群体竞赛成绩中。
十一、报名和报到1、各单位于6月15日前进行报名。
2、参赛单位可报领队、教练、,运动员十二名(男)。
十二、联系方式体育部竞赛办公室电话:82519915联系人:童博十三、对违反赛场纪律的各代表队间按照赛场纪律规定执行。