2022年江西省南昌市成考专升本数学(理)自考真题(含答案带解析)
- 格式:docx
- 大小:2.39 MB
- 文档页数:26
2024年江西省成考(专升本)教育理论考试真题一、选择题1、由一系列刺激所引起的一系列反应,经训练巩固后,刺激系列的第一个刺激出现后,反应系列依次出现的反射活动模式叫______A.正诱导B.负诱导C.动力定型D.兴奋的集中2、学校为了让学生专心学习,组织学生集体砸手机。
这侵犯了学生的______A.财产权B.人身权C.受教育权D.隐私权3、杜威的《民主主义与教育》中体现的教育理论派别属于()(A)实验教育学(B)实用主义教育学(C)文化教育学(D)批判教育学4、美国教育家布卢姆所倡导的形成性评价旨在()(A)对学生进行甄别排序(B)诊断学生的学习基础(C)考查学生学习的终结效果(D)改进教学,促进学生的发展5、某学校开设了“创造艺术”课程,这门课是绘画、雕塑、音乐、舞蹈、工艺的结合。
这门课程属于______A.学科课程B.活动课程C.综合课程D.选修课程6、测得五岁儿童的智力年龄为六岁,用比率智商的计算方法可算出其智商是______ A.120B.130C.120%D.130%7、“塞翁失马,焉知非福”。
这用到了什么情绪调控方法______A.认识改变法B.注意转移法C.意志控制法D.情绪升华法8、决定教育发展规模和速度的根本因素是【】(A)政治经济制度(B)生产力水平(C)民族文化传统(D)人口结构9、在教学中只向学生传授与实际生活相关的有用的知识是______A.实质教育B.形式教育C.现代教育D.传统教育10、1905年创立的世界上第一个科学的智力测验是【】(A)瑞文推理测验(B)斯坦福智力测验(C)比纳一西蒙智力测验(D)韦克斯勒智力测验11、教师对表现好的学生实施奖励,这属于教学评价的______A.诊断功能B.导向功能C.调控功能D.激励功能12、倡导学校教育以教师、教材、课堂为中心的“三中心”论,开创了传统教育流派的教育家是【】(A)夸美纽斯(B)斯宾塞(C)赫尔巴特(D)杜威13、小李现在的工作单位通勤便利,但是经济收入和福利待遇较差;新单位有较高的经济收入和优厚的福利待遇,但是离家远。
2023年成人高考高起专数学(理)真题及答案2023年成人高考高起专数学(理)真题及答案成人高考成绩怎么查1、成考考生登录考试所在地的教育考试院网站进行查询。
2、点击成人高考,找到当年的成人高考报名入口并点击。
3、点击成考相关查询,选择“成人高考成绩查询”并点击。
4、在成考查询中心点击成考成绩查询,输入身份证或者准考证、报名号就可以查询了。
成人高考成绩查询注意事项忘记准考证号、报名号的成考生,可以通过所在教育机构查询准考证号,或者持身份证到所在地的办公室或者省教育考试中心查询准考证号。
成人高考成绩查询一般可以通过在线成绩查询、电话查询和短信查询这三种方式进行查询,考生可以尝试使用不同的方法进行查询;可以尝试使用不同的方法进行查询,考生只需要输入自己的准考证号就可以查询到自己的成人高考的信息,最后参加考试。
录取了的成考考生,请按照学校公布的交费流程缴纳学费和教材费,对于费用问题,相关部门早有规定,严禁一次性收取几年的学费,因此大家如果遇到要求你一次性上交几年学费的情况一定要留心上当受骗。
成考的通过率成人高考通过率高达90%,成人高考大多数都是在职人员考的,入学严进宽出,成人高考的题目并不是很难,分数线也不高,成人高考属于国家性的考试,学历也是国家所承认的,考生可以放心报考。
成人高考数学考试形式及试卷结构成人高考数学考试方法为闭卷、笔试。
试卷满分为150分,考试时间(专升本)为150分钟。
数学试卷有选择题、填空题、解答题3种题型。
其中选择题占55%,填空题占10%,解答题占35%即选择题85分其他65分。
从试题难度比例上看,较容易题约占40%,中等难度题约占50%,较难题约占10%。
成人高考考试内容有哪些高起专考试科目为3门,分别是语文、数学及外语,其中数学按文科、理科分数学文科类和数学理科类两种,外语分英语、日语、俄语三个语种,成人高考考生根据报考院校的专业要求选择一种进行考试。
理科类:语文、数学(理)、外语。
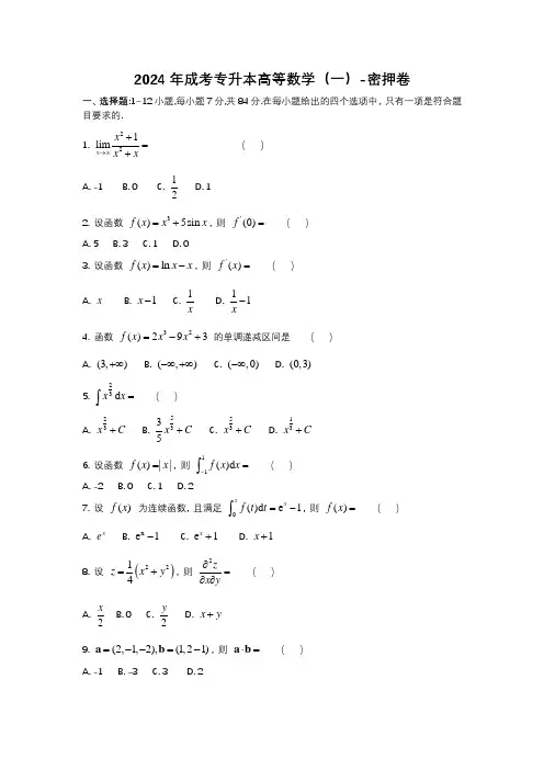
2024年成考专升本高等数学(一)-密押卷一、选择题:1~12小题,每小题7分,共84分.在每小题给出的四个选项中,只有一项是符合题目要求的. 1. 221lim x x x x →∞+=+ ( )A. -1B. 0C. 12 D. 12. 设函数 3()5sin f x x x =+, 则 (0)f '= ( )A. 5B. 3C. 1D. 03. 设函数 ()ln f x x x =-, 则 ()f x '= ( )A. xB. 1x -C. 1x D. 11x -4. 函数 32()293f x x x =-+ 的单调递减区间是 ( )A. (3,)+∞B. (,)-∞+∞C. (,0)-∞D. (0,3) 5. 23 d x x =⎰ ( ) A. 23x C + B. 5335x C + C. 53x C + D. 13x C +6. 设函数 ()||f x x =, 则 11()d f x x -=⎰ ( )A. -2B. 0C. 1D. 27. 设 ()f x 为连续函数, 且满足 0()d e 1xx f t t =-⎰, 则 ()f x =() A. x e B. x e 1- C. e 1x + D. 1x +8. 设 ()2214z x y =+, 则 2zx y ∂=∂∂ ( ) A. 2xB. 0C. 2yD. x y +9. (2,1,2),(1,21)=--=-a b , 则 ⋅=a b ( )A. -1B. -3C. 3D. 210. 余弦曲线 cos y x = 在 0,2π⎡⎤⎢⎥⎣⎦ 上与 x 轴所围成平面图形的面积为 ( ) A. 0 B. 1 C. -1 D. 211. 若 lim 0n n a →∞=, 则数项级数 1n n a ∞=∑ ( )A. 收敛B. 发散C. 收玫且和为零D. 可能收玫也可能发散12. 如果区域 D 被分成两个子区域 12,D D , 且12(,)5,(,)1D D f x y dxdy f x y dxdy ==⎰⎰⎰⎰,则 (,)D f x y dxdy =⎰⎰ ( )A. 5B. 4C. 6D. 1二、填空题:13~15小题,每小题7分,共21分13. 32234x t y t ⎧=+⎨=-⎩ 在 1t = 相应的点处切线斜率为 . 14. 求 2x x y = 的全微分 .15. {(,)01,03}D x y x y x =≤≤≤≤-∣, 求D d σ=⎰⎰ .三、解答题:16~18小题,每小题15分,共45分.解答应写出文字说明、证明过程或演算步骤16. 求微分方程 220x y y e'--= 的通解. 17. 求由方程 2y y xe -= 所确定的隐函数 ()y y x = 的导数 0x dydx =.18. 证明: 当 0x 时, 2ln(1)2x x x +-.参考答案1.【答案】D【考情点拨】本题考查了函数极限的知识点.【解析】 222111lim lim 111x x x x x x x →∞→∞++==++. 2. 【答案】 A【解析】可求得 2()35cos f x x x '=+, 则 (0)5f '=.3. 【答案】D【解析】 1()(ln )1f x x x x''=-=-. 4.【答案】D【解析】由题可得 2()6186(3)f x x x x x '=-=-, 令 ()0f x '<, 得 03x <<, 故单调墄区间为 (0,3).5.【答案】B 【解析】 25333 d 5x x x C =+⎰. 6.【答案】C【解析】 01101221101011()d ()d ?d 122f x x x x x x x x ---=-+=-+=⎰⎰⎰. 7.【答案】A【解析】 0()d e 1xx f t t =-⎰ 两边同时求导, 得 ()()e 1e x x f x '=-=. 8. 【答案】B【解析】 12z x x ∂=∂, 所以 20z x y ∂=∂∂. 9.【答案】D【解析】 a 21(1)2(2)(1)2⋅=⨯+-⨯+-⨯-=b10.【答案】B【解析】由题意得 2200cos sin 1S xdx x ππ===⎰, 故选 B. 11.【答案】D 【解析】 lim 0n n a →∞= 是级数 1n n a ∞=∑ 收敛的必要条件, 但不是充分条件, 从例子 211n n ∞=∑收敛可知 B 错误, 由11n n ∞=∑ 发散可知 A, C 错误, 故选 D. 12.【答案】C 【解析】根据二重积分的可加性, (,)6D f x y dxdy =⎰⎰, 应选 C.13.【答案】 13【解析】 212,6,3dy dx dy dy dt t t dt dt dx dt dx t ===⋅=, 当1t =时, 13dy dx =, 故切线的斜率为 1314.【答案】 22xydx x dy +【解析】 22z z dz dx dy xydx x dy x y∂∂=+=+∂∂. 15.【答案】 52【解析】积分区域为梯形区域,此二重积分的一样即为求梯形面积,故 (23)1522D d σ+⨯==⎰⎰. 16.【答案】 22x x y xe Ce =+ (C 为任意常数)【解析】由通解公式可得,()(2)(2)222222dx dx x x x x x x y e e e dx C e e e dx C xe Ce ----⎡⎤⎰⎰=⋅+=⋅+=+⎢⎥⎣⎦⎰⎰ ( C 为任意常数). 17.【答案】 2e【解析】方程两边同时关于 x 求导得 0y y y e xe y ''--⋅=, 当 0x = 时, 2y =,代人得 200x x dyy e dx '==== 。
2022-2023学年江西省上饶市成考高升专数学(文)自考测试卷(含答案带解析) 学校:________ 班级:________ 姓名:________ 考号:________一、单选题(30题)1.已知,则tanα等于()。
A.2/3B.3/2C.-3/2D.-2/32.抛物线y2=3x的准线方程为()3.4.下列函数中,为偶函数的是()5.设函数f(x)=x2+(m-3)x+3是偶函数,则m=()A.A.-3B.1C.3D.56.7.8.9.10.曲线在点(0,c)处的切线的倾斜角为()。
A.π/2B.π/3C.π/4D.π/611.与圆=4关于点M(3,2)成中心对称的曲线方程是()A.(x-3)2+(y-2)2=4B.(x+3)2+(y+2)2=4C.(x-6)2+(y-4)2=4D.(x+6)2+(y+4)2=412.一位篮球运动员投篮两次,两投全中的概率为0.375、;两投一中的概率为0.5,则他两投全不中的概率为()A.0.6875B.0.625C.0.5D.0.12513.设()。
A.-3aB.C.3aD.2a?14.若等比数列{an}的公比为3,a4= 9,则a1=A.27B.1/9C.1/3D.315.数列,则前5项的和是()。
A.-31/8B.31/32C.-31/32D.31/816.直线2x+5y-6=0关于y轴对称的直线方程是()A.2x-5y+6=0B.2x-5y-6=0C.5Ax+2y-6=0D.2x+5y+6=017.从5位同学中任意选出3位参加公益活动,不同的选法共有()A.5种B.10种C.15种D.20种18.已知点A(1,-3),B(0,-3),C(2,2),则△ABC的面积为()A.2B.3C.D.19.20.21.22.A.A.60B.120C.720D.144023.()24.()A.A.6B.3C.2D.125.26.A.B.TC.SD.有限集27.已知,则x所在象限是()A.第一象限B.第二象限C.第三象限D.第四象限28.29.抛物线=-4x上一点P到焦点的距离为4,则它的横坐标是()A.-4B.-3C.-2D.-130.函数的定义域是()A.(-∞,+∞)B.[-3/2,+∞)C.(-∞, -3/2]D.( 0,+∞)二、填空题(20题)31.32.曲线:y=x2+3x+4在点(-1,2)处的切线方程为33.34.函数的图像与坐标轴的交点共有()个。
2022-2023年成考(专升本)《高等数学二(专升本)》预测试题(答案解析)全文为Word可编辑,若为PDF皆为盗版,请谨慎购买!第壹卷一.综合考点题库(共50题)1.A.F(cosx)+CB.F(sinx)+C.-F(cosx)+CD.-F(sinx)+C正确答案:B本题解析:【考情点拨】本题考查了不定积分的换元积分法的知识点.2.A.见图AB.见图BC.见图CD.见图D正确答案:A本题解析:3.曲线y=arctan(3x+1)在点(0,)处切线的斜率为________.正确答案:本题解析:4.设z=xy,则dz=()A.yxy-1dx+xyInxdyB.xy-1dx+ydyC.xy(dx+dy)D.xy(xdx+ydy)正确答案:A本题解析:【考情点拨】本题考查了二元函数的全微分的知识点【应试指导】5.当x→0时,下列变量是无穷小量的是() A.见图AB.见图BC.见图CD.见图D正确答案:C本题解析:【考情点拨】本题考查了无穷小量的知识点.【应试指导】经实际计算及无穷小量定义知应选C 把A排除,再利用Inx的性质可把B排除,C自然可验证是正确的,由Cotx的性质,可排除D项.6.y=xx,则dy=()A.xxdxB.xx(Inx+1)dxC.xxlnxdxD.xx(Inx-1)dx正确答案:B本题解析:【考情点拨】本题考查了一元函数的微分的知识点.7.曲线y=x3+1的拐点为A.(0,0)B.(0。
1)C.(-1,0)D.(1,1)正确答案:B本题解析:的拐点为(0,1).8.A.(x—y)10B.-(x—y)10C.10(x—y)9D.-10(x-y)9正确答案:C本题解析:9.A.见图AB.见图BC.见图CD.见图D正确答案:C 本题解析:10.A.见图AB.见图BC.见图CD.见图D正确答案:A 本题解析:11.A.见图AB.见图BC.见图CD.见图D正确答案:B本题解析:【考情点拨】本题考查了不定积分的知识点.12.A.既有水平渐近线又有铅直渐近线B.仅有水平渐近线C.既无水平渐近线又无铅直渐近线D.仅有铅直渐近线正确答案:B本题解析:13.函数y=a2+c在(0,+)上单调增加,则a,c应满足()A.aB.a>0且c是任意常数C.aD.a 正确答案:B本题解析:【考情点拔】本题考查了函数的单调增加性的知心点【应试指导】14.下列函数中,在x=0处不可导的是()A.见图AB.见图BC.见图CD.见图D正确答案:B本题解析:15.1.求常数a的值;2.求X的数学期望EX.正确答案:本题解析:1.由0.2+a+0.5=1,得a=0.3.2.E(x)=1×0.2+2×0.3+3×0.5=2.3.本题考查的知识点是离散型随机变量分布列的性质及数学期望E(X)的求法.16.A.见图AB.见图BC.见图CD.见图D正确答案:B 本题解析:17.A.见图AB.见图BC.见图CD.见图D正确答案:B 本题解析:18.A.见图AB.见图BC.见图CD.见图D正确答案:B本题解析:19.曲线Y=3x2-x3的凸区间为()A.(-∞,1)B.(1,+∞)C.(-∞,0)D.(0,+∞)正确答案:B本题解析:【考情点拨】本题考查了曲线的凸区间的知识点.20.A.单调减少B.单调增加C.不增不减D.有增有减正确答案:D本题解析:【考情点拨】本题考查了函数的单调性的知识点.21.设离散型随机变量X的概率分布为则a=()A.0.1B.0.2C.0.3D.0.4正确答案:A本题解析:由概率分布的性质可知2a+a+3a+4a=10a=1,a=0.1.22.A.见图AB.见图BC.见图CD.见图D正确答案:C 本题解析:23.A.见图AB.见图BC.见图CD.见图D正确答案:B本题解析:【考情点拨】本题考查了不定积分的知识点.24.A.-10B.-8C.8D.10正确答案:D本题解析:25.1.平面区域D的面积S;正确答案:本题解析:1.2.26.A.0B.-2C.2D.21正确答案:B 本题解析:27.A.见图AB.见图BC.见图CD.见图D正确答案:D本题解析:【考情点拨】本题考查了不定积分的知识点.【应试指导】28.设f(x)在[a,b]上连续,且Ct≠一b,则下列各式不成立的是()A.见图AB.见图BC.见图CD.见图D正确答案:C本题解析:【考情点拨】本题考查了定积分的相关知识的知识点.【应试指导】由题意知,C项不成立,其余各项均成立.29.A.16B.8C.4D.2正确答案:A 本题解析:30.A.见图AB.见图BC.见图CD.见图D正确答案:B本题解析:根据判定极值的第二充分条件可知选B.31.甲、乙两人打靶,设他们击中靶的环数分别为X1,X2,并且有如下的分布列:试比较甲、乙两人射击水平的高低.正确答案:本题解析:32.A.见图AB.见图BC.见图CD.见图D正确答案:B本题解析:33.设A与B为互不相容事件,则下列等式正确的是()A.见图AB.见图BC.见图CD.见图D正确答案:C本题解析:34.A.见图AB.见图BC.见图CD.见图D正确答案:A 本题解析:35.A.充分条件B.充要条件C.必要条件D.非充分必要条件正确答案:B本题解析:36.A.1B.0C.2D.1/2正确答案:D本题解析:【考情点拨】本题考查了导数的定义的知识点.相比较,可得37.设f(x)的一个原函数为cos2x,则f(x)=A.-sin2xB.sin2xC.-2sin2xD.2sin2x正确答案:C 本题解析:由题可知f(x)=(cos2x)'=-2sin2x.38.A.0B.?C.1D.2正确答案:D本题解析:39.下列不定积分计算正确的是()A.见图AB.见图BC.见图CD.见图D正确答案:D本题解析:这类题可以通过直接计算不定积分后进行选择,也可以对不定积分求导看是否等于被积分函数来进行选择.40.A.(1,1)B.(0,0)C.(-1,-1)D.(2,8)正确答案:B本题解析:41.A.-1B.0C.1D.2正确答案:C 本题解析:42.A.见图AB.见图BC.见图CD.见图D正确答案:C 本题解析:43.A.0B.-1C.1D.2正确答案:C 本题解析:44.一批零件中有10个合格品,3个次品,安装机器时,从这批零件中任取一个,取到合格品才能安装.若取出的是次品,则不再放回,求在取得合格品前已取出的次品数X的概率分布.正确答案:本题解析:由题意,X的可能取值为0,1,2,3.X=0,即第一次就取到合格品,没有取到次品.P{X=0)= 45.A.1B.3C.5D.7正确答案:B本题解析:46.设函数y=cos2x,则dy=()A.sin2xdxB.-sin2xdxC.cos2xdxD.2cosxdx正确答案:B本题解析:47.A.见图AB.见图BC.见图CD.见图D正确答案:D 本题解析:48.A.见图AB.见图BC.见图CD.见图D正确答案:B本题解析:【考情点拨】本题考查了分部积分法的知识点.49.袋中有5个乒乓球,其中4个白球,1个红球,从中任取2个球的不可能事件是()A.{2个球都是红球}B.{2个球都是白球}C.{2个球中至少有1个红球}D.{2个球中至少有1个白球}正确答案:A本题解析:袋中只有1个红球,从中任取2个球都是红球是不可能发生的.50.已知离散型随机变量X的概率分布为1.求常数a;2.求X的数学期望EX及方差DX.正确答案:本题解析:1.因为0.2+a+0.2+0.3=1,所以a=0.3.2.。
2023年江西省南昌市成考专升本数学(理)自考测试卷(含答案带解析) 学校:________ 班级:________ 姓名:________ 考号:________一、单选题(30题)1.2.已知点A(-5,3),B(3,1),则线段AB中点的坐标为()A.A.(4,-1)B.(-4,1)C.(-2,4)D.(-1,2)3.下列四组中的函数f(x),g(x)表示同一函数的是()A.A.B.C.D.4.设甲:函数:y=kx+6的图像过点(1,1),乙:k+b=1,则A.甲是乙的充分必要条件B.甲是乙的必要条件,但不是乙的充分条件C.甲是乙的充分条件,但不是乙的必要条件D.甲不是乙的充分条件,也不是乙的必要条件5.6.A.A.B.C.D.7. A.5 B.2 C.3 D.48.()A.A.(11,9)B.(4,0)C.(9,3)D.(9,-3)9.10.函数的最小正周期是()A.π/2B.πC.2πD.4π11.不等式|3x-1|<1的解集为()A.A.RB.{x|x<0或x>2/3)C.{x|x>2/3}D.{x|0<x<2/3)12.已知两条异面直线m;n,且m在平面α内,n在平面β内,设甲:m//β,n//α;乙:平面α//平面β,则()A.A.甲为乙的必要但非充分条件B.甲为乙的充分但非必要条件C.甲非乙的充分也非必要条件D.甲为乙的充分必要条件13.甲、乙各自独立地射击一次,已知甲射中10环的概率为0.9,乙射中10环的概率为0.5,则甲、乙都射中10环的概率为()A.0.2B.0.45C.0.25D.0.7514.15. A.A,B、D三点共线B.A.B、C三点共线C.B、C、D三点共线D.A,C、D三点共线16.设集合A={0,1},B={0,1,2},则A∩B=()。
A.{1,2}B.{0,2}C.{0,1}D.{0,1,2}17.18.曲线y=sin(x+2)的一条对称轴的方程是()A.B.x=πC.D.19.A.A.3/20B.1/5C.2/5D.9/2020.21.已知m,n是不同的直线,a,β是不同的平面,且m⊥a,,则()A.若a∥β,则m⊥nB.若a⊥β,则m∥nC.若m⊥n,则a∥βD.若n∥a,则β∥a22.函数y=x^3 + 3x^2 - 1 ()。
2023年江西省上饶市成考专升本数学(理)自考测试卷(含答案)学校:________ 班级:________ 姓名:________ 考号:________一、单选题(30题)1.若△ABC的面积是64,边AB和AC的等比中项是12,那么sinA等于()A.A.B.3/5C.4/5D.8/92.函数y=2sin6x的最小正周期为()。
3.4.5.6.已知点A(-5,3),B(3,1),则线段AB中点的坐标为()A.A.(4,-1)B.(-4,1)C.(-2,4)D.(-1,2)7.函数的最小正周期是()。
A.8πB.4πC.2πD.8. 设f(x)=ax(a>0,且a≠1),则x>0时,0<f(x)<1成立的充分必要条件是()A.a>1B.0<a<1C.D.1<a<29.第14题已知圆的方程为X2+y2+2x-8x+8=0,过P(2,0)作该圆的切线,则切线方程为()A.7x+24y-14=0或y=2B.7x+24y-14=0或x=2C.7x+24y+14=0或x=2D.7x-24y-14=0或x=210.()。
A.{x|x〈-1或x〉1}B.{x|x〈1或x〉1}C.{x|-1〈x〈1}D.R11.12.13.在一次读书活动中,某人从5本不同的科技书和7本不同的文艺书中任选一本阅读,那么他选中文艺书的概率是()A.5/7B.5/12C.7/12D.1/514.函数的单调增区间是()15. A.2 B.4 C.3 D.516.17.命题甲:实数a,b,c成等比数列;命题乙:b2=ac,则甲是乙()A.A.充分条件但不是必要条件B.必要条件但不是充分条件C.充分必要条件D.不是充分条件也不是必要条件18.函数的定义域为()。
A.{ x | x≥0}B.{ x | x≥1}C.{x| 0≤x ≤1}D.{x|x≤0 或x≥1}19.在△ABC中,若IgsinA-IgsinB-IgcosC=lg2,则△ABC是( )A.以A为直角的三角形B.b=c的等腰三角形C.等边三角形D.钝角三角形20.第3题下列各函数中,既是增函数又是奇函数的是()A.y=3xB.y=x3C.y=log3xD.y=sinx21.22.A.A.B.C.D.23.24.log48+log42-(1/4)0=()A.A.1B.2C.3D.425.命题甲:lgx,lgy,lgz成等差数列;命题乙:y2=x·z则甲是乙的()A.A.充分而非必要条件B.必要而非充分条件C.既充分又必要条件D.既非充分也非必要条件26.9种产品有3种是名牌,要从这9种产品中选5种参加博览会,如果名牌产品全部参加,那么不同的选法共有()A.A.30种B.12种C.15种D.36种A.A.充分条件而不是必要条件B.必要条件而不是充分条件C.充分必要条件D.既不是充分条件也不是必要条件28.()A.A.-π/3B.π/3C.-π/6D.π/629.已知全集U=R,A={x|x≥l},B={x|-l<x≤2},则( )A.{x|x≤2}B.{x|x<2}C.{x|-1<x≤2}D.{x|-1<x<1}30.若a=(2x,1,3),b=(1,-2y,9),如果a与b为共线向量,则()A.A.x=1,y=1B.C.D.二、填空题(20题)31.一个圆柱的底面半径和高都与一个球的直径相等,则该圆柱与该球的体积的比为________32.33.某射手有3发子弹,射击一次,命中率是0.8,如果命中就停止射击,否则一直射到子弹用完为止,那么这个射手用子弹数的期望值是__________.34.函数的定义域是____________.35.已知5π<α<11/2π,且|cosα|=m,则cos(α/2)的值等于______.36.37.38.39.40.41.42.设正三角形的-个顶点在原点,且关于x轴对称,另外两个顶点在拋物线上,则此三角形的边长为________.43.44.45.46.已知|a|=2,|b|=4,|a+b|=3,则<a,b>=47.以点(2,-3)为圆心,且与直线X+y-1=0相切的圆的方程为__________48.49.50.在9与243中间插入两个数,使它们同这两个数成等比数列,那么这两个数为__________三、简答题(10题)51.(本小题满分12分)52.53.(本小题满分12分)54.(本小题满分13分) 55.56.57. (本小题满分12分)分别求曲线y=-3x2+2x+4上满足下列条件的点(1)过这些点的切线与x轴平行;(2)过这些点的切线与直线y=x平行.58.(本小题满分13分)59.(本小题满分12分)60.(本小题满分12分)四、解答题(10题)61.已知等比数列{a n}中,a1=16,公比q=(1/2)(Ⅰ)求数列{a n}的通项公式;(Ⅱ)若数列{a n}的前n项的和Sn=124,求n的值62.63.已知函数f(x)=|x|,函数g(x)=|x-1|.(Ⅰ)解不等式f(x)≥g(x);(Ⅱ)定义分段函数f(x)如下:当f(x)≥g(x)时,F(x)=f(x);当f(x)<g(x)时,F(x)=g(x).结合(Ⅰ)的结果,试写出F(x)的解析式;(Ⅲ)对于(Ⅱ)中的函数F(x),求F(x)的最小值.64.65.海关缉私船在A处发现一只走私船在它的北偏东54°的方向,相距15海里的B处向正北方向行驶,若缉私船的时速是走私船时速的2倍,(Ⅰ)问缉私船应取什么方向前进才能追上走私船;(Ⅰ)此时走私船已行驶了多少海里.66.已知△ABC中,A=110°,AB=5,AC=6,求BC.(精确到O.01)67.在锐角二面角a-l-β中,30°角,求二面角a-l-β的大小。
2023年成人高等学校招生全国统一考试专升本高等数学(二)真题一、选择题(1~10小题,每题4分,共40分。
在每小给出的四个选项中,只有一是符合题目要求的)1.x→∞x2+1 x2+xlim=()A.-1B.0C.12D.12.设f(x)=x3+5sin x,f'(0)=()A.5B.3C.1D.03.设f(x)=ln x-x,f'(x)=()A.xB.x-1C.1x D.1x-14.f(x)=2x3-9x2+3的单调递减区间为()A.(3,+∞)B.(-∞,+∞)C.(-∞,0)D.(0,3)5.x23dx=()A.x32+CB.35x53+C C.x53+C D.x13+C6.设函数f(x)=x ,则1-1f(x)dx=()A.-2B.0C.1D.27.连续函数f(x)满足x0f(t)dt=e x-1,求f'(x)=()A.e xB.e x-1C.e x+1D.x+18.设z=e xy,dz=()A.e xy dx+e xy dyB.e x dx+e y dyC.ye xy dx+xe xy dyD.e y dx+e x dy9.设z=14(x2+y2),∂2z∂x∂y=()A.x2B.0 C.y2D.x+y10.扔硬币5次,3次正面朝上的概率是()A. B. C. D.二、填空题(11~20小题,每题4分,共40分)11.x→31+x-2x-3=lim。
12.x→∞(x+1 x-1)lim x=。
13.f(x)=e2x,则f(n)(0)=。
14.f(x)=x2-2x+4在(x0,f(x))处切线与直线y=x-1平行,x=。
15.曲线y=xe x的拐点坐标为。
16.y=2x1+x2的垂直渐近线是。
17.xx2+4dx=。
18.曲线y=x2与x=y2所围成图形的面积是。
19.+∞0xe-x2dx=。
20.z=x2+y2-x-y-xy的驻点为。
三、解答题(21~28小题,共70分。
江西省南昌市成考专升本2022年大学语文自考真题(含答案)学校:________ 班级:________ 姓名:________ 考号:________一、单选题(15题)1. 《字谕纪泽儿》中提到的读书方法是()A.从心从法B.意测心得C.熟读诗文D.涵泳体察2.第9题“广暂腾而上胡儿马”句中的“暂”字的意义是()。
3.“出师未捷身先死”一句指的是( )A.刘备B.关羽C.诸葛亮D.向宠4.“有毅力者成,反是者败”这段话所用的论证方法是()A.A.对比法B.归纳法C.类比法D.演绎法5. 唐代“新乐府运动”的倡导者是A.岑参B.白居易C.韩愈D.柳宗元6.下列各句中成语使用正确的一句是A.这次试验眼看就要成功了,大家一定要坚持下去,千万不要懈怠,如果功亏一篑,实在可惜。
B.这些年来,他多次看到那些信誓旦旦的人物,一遇危难,就甩开朋友,甚至落井下石。
C.去年海淀区的六所学校申报高中示范校获得批准,今年又有四所学校申报,真是蒸蒸日上,形势喜人。
D.他这个人急公好义,性情耿直,见到一些低俗、丑陋的事情,绝不轻易放过,不可愤世嫉俗了。
7.“出师未捷身先死,长使英雄泪满襟”一句中所指人物和作者分别是( )A.岳飞、辛弃疾B.周瑜、杜甫C.诸葛亮、李白D.诸葛亮、杜甫8. 《冯读客孟尝君》中冯谖最突出的性格特点是()A.胸无远见B.深谋远虑C.贪图小利D.粗犷豪爽9. 在下面的艾青的四首诗中,作于解放后的一首诗是( )A.《大堰河一我的保姆》B.《北方》C.《光的赞歌》D.《向太阳》10.《史记》中记述先秦时诸侯各国和他们的开国元勋事迹的属于( )A.列传B.本纪C.世家D.表11.《天净沙·秋思》中,概括全篇主题思想的是()A.断肠人在天涯B.枯藤老树昏鸦C.古道西风痩马D.小桥流水人家12.李煜的《虞美人(春花秋月何时了)》一词抒写的是( )A.美景依旧,人事已非B.对故国宫殿衰败的痛惜C.故国宫苑中美好的时光D.亡国的伤痛与哀怨忧愁13.在《宝玉挨打》中,说“明日酿到他弑君杀父,你们才不劝不成”这句话的人物是()A.A.王熙凤B.贾母C.薛宝钗D.贾政14.在《答司马谏议书》一文中,司马光强加给王安石变法的罪名是()A.在位久,未能助上大有为B.不恤国事,同俗自媚于众C.侵官、生事、征利、拒谏、以致天下怨谤D.一切不事事15.《我爱这片土地》中诗人着力刻画的一个象征形象是()A.鸟B.暴风雨C.土地D.河流二、填空题(10题)16. 《燕昭王求士》一文中的“三晋”是指由__国分出的___三国。
2022年江西省九江市成考专升本高等数学二自考预测试题(含答案带解析) 学校:________ 班级:________ 姓名:________ 考号:________一、单选题(30题)1.2. 下列定积分的值等于0的是().A.B.C.D.3.A.-2B.-1C.0D.24.5.A.y4cos(xy2)B.-y4cos(xy2)C.y4sin(xy2)D.-y4sin(xy2)6.设100件产品中有次品4件,从中任取5件的不可能事件是()。
A.“5件都是正品”B.“5件都是次品”C.“至少有1件是次品”D.“至少有1件是正品”7.当x→2时,下列函数中不是无穷小量的是()。
A.B.C.D.8.9.10.曲线y=x3的拐点坐标是()。
A.(-1,-1)B.(0,0)C.(1,1)D.(2,8)11.12.13.函数f(x)=x4-24x2+6x在定义域内的凸区间是【】A.(一∞,0)B.(-2,2)C.(0,+∞)D.(—∞,+∞)14.15.16.17.已知事件A和B的P(AB)=0.4,P(A)=0.8,则P(B|A)=A.A.0.5B.0.6C.0.65D.0.718.19.A.A.上凹,没有拐点B.下凹,没有拐点C.有拐点(a,b)D.有拐点(b,a)20.A.A.4B.2C.0D.-221.22. A.-2 B.0 C.2 D.423.A.A.B.C.D.24.25. A.1/2 B.1 C.3/2 D.226.()。
A.B.C.D.27.28. 设F(x)的一个原函数为xln(x+1),则下列等式成立的是().A.B.C.D.29.30.设事件A,B相互独立,A,B发生的概率分别为0.6,0.9,则A,B都不发生的概率为()。
A.0.54B.0.04C.0.1D.0.4二、填空题(30题)31.32.33.34.35.36.37.设事件A与B相互独立,且P(A)=0.4,P(A+B)=0.7,则P(B)=__________.38.39.z=ln(x+e y),则40.41.42.43.44.45.46.47.48.49.50.设曲线y=axe x在x=0处的切线斜率为2,则a=______.51.52.53.54.55.56.57.58.59.60.三、计算题(30题)61.62.63.上半部为等边三角形,下半部为矩形的窗户(如图所示),其周长为12 m,为使窗户的面积A达到最大,矩形的宽l应为多少?64.65.66.67.68.69.求函数z=x2+y2+2y的极值.70.71.72.73.74.75.76.77.78.79.设曲线y=4-x2(x≥0)与x轴,y轴及直线x=4所围成的平面图形为D(如图中阴影部分所示).图1—3—1①求D的面积S;②求图中x轴上方的阴影部分绕y轴旋转一周所得旋转体的体积Vy.80.81.82.83.84.85.86.87.88.89.90.四、综合题(10题)91.92.93.94.95.96.97.98.99.100.五、解答题(10题)101.102.103.104.已知函数y=f(x)满足方程e xy+sin(x2y)=y,求y=f(x)在点(0,1)处的切线方程.105.106. 当x<0时,证明:e x>1+x。
2022年江西省宜春市成考专升本数学(理)自考真题(含答案带解析) 学校:________ 班级:________ 姓名:________ 考号:________一、单选题(30题)1.2.()A.A.{x| 0<x<2}B.{x| 0<x<2.5}C.{x| 0<x<}D.{x| 0<x<3}3.A.A.B.C.D.4.命题甲:x2=y2,命题乙:x=y甲是乙的()A.充分但非必要条件B.必要但非充分条件C.充要条件D.即非充分又非必要条件5.设集合M={x|x-1<2),N={x|x>0),则M∩N=()A.A.{x|0<z<3}B.{x|-1<x<0)C.{x|x>0)D.{x|x>-1)6. A.2B.C.D.无解7.8.已知三角形的两个顶点是椭圆的两个焦点,第三个顶点在C上,则该三角形的周长为()。
A.10B.20C.16D.269.10. A.2B.3C.4D.511.sin42°sin72°+cos42°cos72°等于()A.A.sin60°B.cos60°C.cos114°D.sin114°12.若a,b,c为实数,且a≠0.()。
A.甲既不是乙的充分条件,也不是乙的必要条件B.甲是乙的必要条件,但不是乙的充分条件C.甲是乙的充分必要条件D.甲是乙的充分条件,但不是乙的必要条件13.14.在一张纸上有5个白色的点,7个红色的点,其中没有3个点在同一条直线上,由不同颜色的两个点所连直线的条数为()A.A.B.C.D.15.第7题从5个男学生和4个女学生中选出3个代表,选出的全是女学生的概率是()A.4B.24C.1/21D.1/12616.17.与直线3x-4y+12=0关于y轴对称的直线方程为18.设双曲线的渐近线的斜率为k,则|k|=()。
19.20.21.第6题函数ysin2xcos2x的最小正周期为()A.2πB.πC.π/2D.π/422.()A.A.(11,9)B.(4,0)C.(9,3)D.(9,-3)23.第14题曲线|x|+|y|=l所围成的正方形的面积为()24.长方体有-个公共顶点的三个面的面积分别为4,8,18,则此长方体的体积为A.12B.24C.36D.4825.若直线x+y=r和圆相切,那么r等于()A.1/2B./2C.2D.26.若函数y=f(x)的定义域为[-1,1],那么f(2x-1)的定义域是A.[0,1]B.[-3,1]C.[-1,1]D.[-1,0]27.在△ABC中,已知2B=A+C,b2=ac,则B-A=A.0B.π/6C.π/4D.π/328.29.一个科研小组共有8名科研人员,其中有3名女性.从中选出3人参加学术讨论会,选出的人必须有男有女,则有不同选法()A.56种B.45种C.10种D.6种30.抛物线y=2px2的准线方程是()A.A.x=-p/2B.y=-p/2C.x=-1/8pD.y=-1/8p二、填空题(20题)31.32.33.34.35.36.37.38.39.设离散型随机变量ξ的分布列如下表所示,那么ξ的期望等于40.41.若a=(1-t,1-t,t),b=(2,t,t),则|b-a|的最小值是__________.42.若三角形三边之比为2:3:4,则此三角形的最小角为________弧度.43.斜率为2,且在x轴上的截距为-3的直线的方程是_________.44.一个圆柱的底面半径和高都与一个球的直径相等,则该圆柱与该球的体积的比为________45.圆心在y轴上,且与直线x+y-3=0及x-y-1=0都相切的圆的方程为46.47.若a=(1-t,1-t,t),b=(2,t,t),则|b-a|的最小值是__________.48.若5条鱼的平均质量为0.8kg,其中3条的质量分别为0.75kg,0.83kg和0.78kg,则其余2条的平均质量为________kg.49.曲线在点(1,-1)处的切线方程为______.50.椭圆的中心在原点,一个顶点和一个焦点分别是直线x+3y-6=0与两坐标轴的交点,则此椭圆的标准方程为__________.三、简答题(10题)51.(本小题满分12分)在(aχ+1)7的展开式中,χ3的系数是χ2的系数与χ4的系数的等差中项,若实数a>1,求a的值.52.(本小题满分12分)如果将进货单价为8元的商品按每件10元售出肘,每天可销售100件。
2022年江西省南昌市成考专升本数学(理)自考真题(含答案带解析) 学校:________ 班级:________ 姓名:________ 考号:________一、单选题(30题)1.2.3.A.-/2B.C.-1/2D.1/24.从椭圆与x轴的右交点看短轴两端点的视角为60°的椭圆的离心率()A.B.1/2C.1D.5.设函数f(x)=x2-1,则f(x+2)=()A.x2+4x+5B.x2+4x+3C.x2+2x+5D.x2+2x+36.()。
A.8B.0C.1D.57.第11题设0<a<1/2,则()A.log a(1-a)>1B.cos(1+a)<cos(1-a)C.a-1<(1/2)-1D.(1-a)10<a108.设甲:△>0.乙:有两个不相等的实数根,则A.A.甲是乙的必要条件,但不是充分条件B.甲是乙的充分条件,但不是必要条件C.甲是乙的充分必要条件D.甲是乙的充分条件,也不是必要条件9.已知集合M={2,3,5,a},N={1,3,4,6},若M∩N={1,2,3},则a,b的值为A.a=2,b=1B.a=l,b=1C.a=l,b=2D.a=l,b=510.某学校为新生开设了4门选修课程,规定每位新生至少要选其中3门,则一位新生不同的选课方案共()。
A.7种B.4种C.5种D.6种11.A.1B.-1C.-2D.212.()A.A.1-iB.1+iC.-l+iD.-1-i13.14.已知f(x)是偶函数,且其图像与x轴有四个交点,则方程f(x)=0的所有根之和为A.4B.2C.1D.015.16.17. 5个人站成一排照相,甲乙两个恰好站在两边的概率是()A.1/10B.1/20C.1/60D.1/12018.设某项试验每次成功的概率为,则在2次独立重复试验中,都不成功的概率为()A.A.4/9B.1/3C.2/9D.1/919.若直线a⊥直线b,直线b//平面M,则()A.a//MB.a MC.a与M相交D.a//M,a M与M相交,这三种情况都有可能20.21.若函数f(x)=log2(5x+1),则其反函数y=f-1(x)的图像过点()A.A.(2,1)B.(3,2)C.(2,3)D.(4,3)22.已知tanα+cotα=4,则sin2α=()A.A.1/4B.1/2C.3/4D.-3/423.24.已知双曲线的离心率为3,则m=()A.4B.1C.D.225.设椭圆的方程为(x2/16)+(y2/12)=1,则该椭圆的离心率为()A.A.√7/2B.1/2C.√3/3D.√3/226.27.28.29.第10题已知圆锥高为4,底面半径为3,则它的侧面展开图的圆心角的大小为()A.270°B.216°C.108°D.90°30.第8题3名男生和2名女生站成一排,其中2名女生恰好站在两端的概率是(A.1/20B.1/15C.1/10D.1/5二、填空题(20题)31.32.33.已知i,j,k为单位向量且互相垂直,向量a=i+j,b=-i+j-k则a*b=34.圆心在y轴上,且与直线x+y-3=0及x-y-1=0都相切的圆的方程为35.36.37.38.39.40.已知直线3x+4y-5=0,x2+y2的最小值是______.41.正方体ABCD—AˊBˊCˊDˊ中,AˊCˊ与BˊC所成的角为__________42.将二次函数y=1/3(x-2)2-4的图像先向上平移三个单位,再向左平移五个单位,所得图像对应的二次函数解析式为___________.43.44.45.顶点在原点、焦点在x轴上且通径(过焦点和对称轴垂直的弦)长为6的拋物线方程为_______.46. 各棱长都为2的正四棱锥的体积为__________.47.48.过点(1,-2)且与直线3x+y-1=0垂直的直线方程为___________________。
49.50.从生产一批袋装牛肉松中随机抽取10袋测得重量如下,(单位:克) 76908486818786828583则样本方差等于三、简答题(10题)51.(本小题满分12分)52.53.(本小题满分12分)54.(本小题满分12分)55.(本小题满分13分)56.(本小题满分12分)57.(本小题满分12分)58.59.(本小题满分12分)设两个二次函数的图像关于直线x=1对称,其中一个函数的表达式为Y=x2+2x-1,求另一个函数的表达式60.(本小题满分12分)四、解答题(10题)61.62.63.某民办企业2008年生产总值为1.5亿元,其生产总值的年平均增长率为x,设该企业2013年生产总值为y亿元.(Ⅰ)写出y与x之间的函数关系式;(Ⅰ)问年平均增长率X为多少时,该企业2013年生产总值可以翻番(精确到0.01).64.65.66.甲2010年初向银行贷款10万元,年利率5%(按复利计算(即本年利息计入次年的本金生息)),若这笔贷款分10次等额归还,从2011年初归还x万元,设2011年、2012年...2020年的欠款分别为并由此算出x的近似值(精确到元)67.已知椭圆的短轴长是4,中心与抛物线y2=4x的顶点重合,一个焦点与抛物线的焦点重合.求:(Ⅰ)椭圆的标准方程;(Ⅰ)椭圆的准线方程.68.69.在△ABC中,AB=2,BC=3,B=60°.求AC及△ABC的面积70.某城有东西方向的街道七条,相邻两街的距离为b南北方向的街道八条,相邻两街的距离为a,形成一个矩形。
I.从A到D的最短途径有多少条?解析:每一条最短途径有6段b 及7段a,因此从A到D的最短途径共1716条。
Ⅱ.从A经B和C到D的最短途径有多少条?五、单选题(2题)71.()A.A.(11,9)B.(4,0)C.(9,3)D.(9,-3)72.已知b⊥β,b在a内的射影是b’那么b’和a的关系是A.b’//aB.b’⊥aC.b’与a是异面直线D.b’与a相交成锐角六、单选题(1题)73.参考答案1.C2.A3.A4.A5.B6.C该小题主要考查的知识点为对数函数. 【考试指导】7.B8.C9.CM∩N={2,3,5,a}∩{l,3,4,M={l,2,3},又∵M中无“1”元素,而有“a”元素,只有1,而N中无“2”元素,而有“6”元素,只有b=2.10.C该小题主要考查的知识点为组合数.【考试指导】由题意知,新生可选3门或4门选修课程,则不同的选法共有:11.D12.A13.C14.D15.B16.B17.A18.D19.D20.A21.D反函数与原函数的.27与y互换.把x=3,y=4代入,f(x)成立。
故反函数过点(4,3).(答案为D)22.B23.B24.C由题知,a2=m,b2=4,,其离心率,故.25.B26.D27.B28.C29.B30.C31.32.33.答案:0解析:由向量是内积坐标式,坐标向量的性质得:34.答案:解析:35.36.1/8【解析】该小题主要考查的知识点为等比数列.【考试指导】37.38.39.∵3x+4y-5=0→y=-3/4x+5/4,x2+y2=x2+(-3/4x+5/4)2=25/16×(x2-15)/8x+25/16→a=25/16>1,又∵当x=-b/2a时,y=4ac-b2/4a=1,是开口向上的抛物线,顶点坐标(-b/2a,4ac-b2/4a),有最小值1.41.答案:60°【解析】正方体中AˊCˊ与BˊC为异面直线,因为AC∥AˊCˊ,所以AC与BˊC所成的角,即为A7Cˊ与BˊC所成的角.又△ABˊC为等边三角形.所以∠ACB7=60。
即AˊCˊ与BˊC成60o的角.求异面直线所成的角关键是将其转移至同一平面内.并表示出该角,再求解.42.y=1/3(x+3)2-1由:y=1/3(x-2)2-4图像向上平移3个单位得::y=1/3(x-2)2-1的图像再向左平移5个单位,得y=1/3(x-2+5)2-1的图像.43.44.45.y2=±6x设抛物线的方程为:ysup>2=±2px,则焦点F(±p/2,0),所以有(6/2)2=±2p(±p/2),得p=±3故抛物线方程为:y2=±6x46.48.x-3y-7=0解析:本题考查了直线方程的知识点。
因为所求直线与直线3x+y-1=0垂直,故可设所求直线方程为x-3y+a=0;又直线经过点(1,-2),故1-3×(-2)+a=0,则a=-7,即所求直线方程为x-3y-7=0。
49.50.51.52.53.54.55.56.57.58.59.60.61.62.63.64.65.66.67.68.69.【答案】由余弦定理得70.I.每一条最短途径有6段b及7段a,因此从A到D的最短途径共1716条。
Ⅱ.同理,从A到B再到C最后到D的最短途径共。
71.D72.B所以由三垂线定理的逆定理知,b在a内的射影b’⊥a所以选B73.C。