题目1经济数学基础形成性考核
- 格式:doc
- 大小:608.50 KB
- 文档页数:34
《经济数学基础12》网上形考任务1至2试题及答案形考任务1 试题及答案题目1:函数的定义域为().答案:题目1:函数的定义域为().答案:题目1:函数的定义域为().答案:题目2:下列函数在指定区间上单调增加的是().答案:题目2:下列函数在指定区间上单调增加的是().答案:题目2:下列函数在指定区间上单调减少的是().答案:题目3:设,则().答案:题目3:设,则().答案:题目3:设,则=().答案:题目4:当时,下列变量为无穷小量的是().答案:题目4:当时,下列变量为无穷小量的是(). 答案:题目4:当时,下列变量为无穷小量的是(). 答案:题目5:下列极限计算正确的是().答案:题目5:下列极限计算正确的是().答案:题目5:下列极限计算正确的是().答案:题目6:().答案:0题目6:().答案:-1题目6:().答案:1题目7:().答案:题目7:().答案:().题目7:().答案:-1题目8:().答案:题目8:().答案:题目8:().答案:().题目9:().答案:4 题目9:().答案:-4 题目9:(). 答案:2题目10:设在处连续,则().答案:1题目10:设在处连续,则().答案:1题目10:设在处连续,则().答案:2题目11:当(),()时,函数在处连续. 答案:题目11:当(),()时,函数在处连续. 答案:题目11:当(),()时,函数在处连续.答案:题目12:曲线在点的切线方程是().答案:题目12:曲线在点的切线方程是().答案:题目12:曲线在点的切线方程是().答案:题目13:若函数在点处可导,则()是错误的.答案:,但题目13:若函数在点处可微,则()是错误的.答案:,但题目13:若函数在点处连续,则()是正确的.答案:函数在点处有定义题目14:若,则().答案:题目14:若,则().答案:1题目14:若,则().答案:题目15:设,则().答案:题目15:设,则().答案:题目15:设,则().答案:题目16:设函数,则(). 答案:题目16:设函数,则(). 答案:题目16:设函数,则(). 答案:题目17:设,则().答案:题目17:设,则().答案:题目17:设,则().答案:题目18:设,则().答案:题目18:设,则().答案:题目18:设,则().答案:题目19:设,则().答案:题目19:设,则().答案:题目19:设,则().答案:题目20:设,则().答案:题目20:设,则(). 答案:题目20:设,则(). 答案:题目21:设,则(). 答案:题目21:设,则(). 答案:题目21:设,则().题目22:设,方程两边对求导,可得().答案:题目22:设,方程两边对求导,可得().答案:题目22:设,方程两边对求导,可得().答案:题目23:设,则().答案:题目23:设,则().答案:题目23:设,则().答案:-2题目24:函数的驻点是().答案:题目24:函数的驻点是().答案:题目24:函数的驻点是().答案:题目25:设某商品的需求函数为,则需求弹性().答案:题目25:设某商品的需求函数为,则需求弹性().答案:题目25:设某商品的需求函数为,则需求弹性().答案:形考任务2 试题及答案题目1:下列函数中,()是的一个原函数.答案:下列函数中,()是的一个原函数.答案:下列函数中,()是的一个原函数.答案:题目2:若,则(). 答案:若,则().答案:若,则(). 答案:题目3:(). 答案:题目3:().答案:题目3:(). 答案:题目4:().答案:题目4:().答案:题目4:().答案:题目5:下列等式成立的是().答案:题目5:下列等式成立的是().答案:题目5:下列等式成立的是().答案:题目6:若,则()答案:题目6:若,则().答案:题目6:若,则(). 答案:题目7:用第一换元法求不定积分,则下列步骤中正确的是().答案:题目7:用第一换元法求不定积分,则下列步骤中正确的是().答案:题目7:用第一换元法求不定积分,则下列步骤中正确的是().答案:题目8:下列不定积分中,常用分部积分法计算的是().答案:题目8:下列不定积分中,常用分部积分法计算的是().答案:题目8:下列不定积分中,常用分部积分法计算的是().答案:题目9:用分部积分法求不定积分答案:题目9:用分部积分法求不定积分答案:题目9:用分部积分法求不定积分答案:题目10:答案 0题目11:设,则(). 答案:题目11:设,则().答案:题目11:设,则(). 答案:题目12:下列定积分计算正确的是().答案:答案:答案:题目13:下列定积分计算正确的是().答案:答案:答案:题目14:计算定积分,则下列步骤中正确的是().答案:题目14:().答案:题目14:().答案:题目15:用第一换元法求定积分答案:题目15:用第一换元法求定积分答案:题目15:用第一换元法求定积分答案:题目16:用分部积分法求定积分答案:题目16:用分部积分法求定积分答案:题目16:用分部积分法求定积分答案:题目17:下列无穷积分中收敛的是().答案:答案:答案:题目18:求解可分离变量的微分方程答案:题目18:求解可分离变量的微分方程答案:题目18:求解可分离变量的微分方程答案:题目19:根据一阶线性微分方程的通解公式求解答案:题目19:根据一阶线性微分方程的通解公式求解答案:题目19:根据一阶线性微分方程的通解公式求解答案:题目20:微分方程满足的特解为().答案:题目20:微分方程满足的特解为().答案:题目20:微分方程满足的特解为().答案:有关考试的注意事项:一、考试时注意事项:1、考生参加闭卷考试,除携带2B铅笔、书写兰(黑)字迹的钢笔、圆珠笔或0.5mm签字笔、直尺、圆规、三角板、橡皮外(其他科目有特殊规定的除外),其它任何物品不准带入考场。
电大天堂【经济数学基础】形成性考核册答案电大天堂【经济数学基础】形考作业一答案:(一)填空题 1.___________________sin lim=-→xxx x .0 2.设 , 在 处连续, 则 .答案: 13.曲线 在 的切线方程是 .答案:4.设函数 , 则 .答案:5.设 , 则 (二)单项选择题1.函数 , 下列变量为无穷小量是.... . A. B. C. D.2.下列极限计算正确的是....) A.1lim=→xx x B.1lim 0=+→xx xC.11sinlim 0=→x x x D.1sin lim =∞→xx x3.设 , 则 (..).......A. B. C. D.4.若函数.(x)在点x0处可导,则. . )是错误的.. A .函数f (x)在点x0处有定义 B . , 但C. 函数f (x)在点x0处连续D. 函数f (x)在点x0处可微 5.若 , 则 B )A. 1/B. -1/C.D. (三)解答题 1. 计算极限(1)21123lim 221-=-+-→x x x x (2)218665lim 222=+-+-→x x x x x (3)2111lim0-=--→x x x (4)3142353lim 22=+++-∞→x x x x x(5)535sin 3sin lim 0=→x x x (6)4)2sin(4lim22=--→x x x 2. 设函数 ,问: (1)当 为何值时, 在 处有极限存在? (2)当 为何值时, 在 处连续.答案: (1)当 , 任意时, 在 处有极限存在; (2)当 时, 在 处连续。
3. 计算下列函数的导数或微分: (1) , 求 答案:2ln 12ln 22x x y x ++=' (2) , 求 答案:2)(d cx cbad y +-='(3) , 求 答案:3)53(23--='x y(4) , 求 答案:x x xy e )1(21+-='(5) , 求答案:dx bx b bx a dy ax )cos sin (e += (6) , 求 答案: (7) , 求 答案: (8) , 求答案:)cos cos (sin 1nx x x n y n +='- (9) , 求 答案:211xy +='(10) , 求答案:652321cot 61211sin2ln 2--+-='x x xx y x4.下列各方程中 是 的隐函数, 试求 或 (1) , 求 答案:x xy xy y d 223d ---=(2) , 求答案:)cos(e )cos(e 4y x x y x y y xy xy +++--='5. 求下列函数的二阶导数: (1) , 求答案:222)1(22x x y +-='' (2) , 求 及答案: ,电大天堂【经济数学基础】形考作业二答案:(一)填空题1.若 , 则 .答案:2. .答案:3.若 ,则........答案:4.设函数 .答案: 05.若 ,则 .答案: (二)单项选择题1.下列函数中, ....)是xsinx2的原函数...A. cosx2B. 2cosx2C. -2cosx2D. - cosx2 2.下列等式成立的是...)...... A. B.C. D.3.下列不定积分中,常用分部积分法计算的是( . )........A. ,B.C.D. 4.下列定积分计算正确的是. .. )... A. B. C. D.5.下列无穷积分中收敛的是...).. A. B. C. D.(三)解答题 1.计算下列不定积分(1)⎰x x xd e3答案: (2)⎰+x xx d )1(2答案:c x x x +++252352342(3)⎰+-x x x d 242 答案:c x x +-2212(4)⎰-x x d 211答案:c x +--21ln 21(5)⎰+x x x d 22答案:c x ++232)2(31(6)⎰x xx d sin答案:c x +-cos 2(7)⎰x xx d 2sin答案:c xx x ++-2sin 42cos 2(8)⎰+x x 1)d ln(答案:c x x x +-++)1ln()1( 2.计算下列定积分 (1)x x d 121⎰--答案:25(2)x xxd e2121⎰答案:e e - (3)x xx d ln 113e 1⎰+答案:2(4)x x x d 2cos 20⎰π答案:21-(5)x x x d ln e 1⎰答案:)1e (412+(6)x x x d )e 1(4⎰-+答案:4e 55-+电大天堂【经济数学基础】形考作业三答案:(一)填空题1.设矩阵 , 则 的元素 .答案: 32.设 均为3阶矩阵, 且 , 则 = .答案:3.设 均为 阶矩阵, 则等式 成立的充分必要条件........答案:4.设 均为 阶矩阵, 可逆,则矩阵 的解 .答案:A B I 1)(--5.设矩阵 , 则 .答案: (二)单项选择题1.以下结论或等式正确的是..).. A. 若 均为零矩阵, 则有 B .若 , 且 , 则 C. 对角矩阵是对称矩阵 D. 若 , 则2.设 为 矩阵, 为 矩阵,且乘积矩阵 有意义,则 为.. )矩阵...... A. B.C. D.3.设 均为 阶可逆矩阵,则下列等式成立的是( . )........ ` A . , B .C. D. 4.下列矩阵可逆的是. .. )... A. B. C. D.5.矩阵 的秩是. ...).. A. 0 B. 1 C. 2 D. 3三、解答题 1.计算(1)⎥⎦⎤⎢⎣⎡⎥⎦⎤⎢⎣⎡-01103512=⎥⎦⎤⎢⎣⎡-5321 (2)⎥⎦⎤⎢⎣⎡⎥⎦⎤⎢⎣⎡-00113020⎥⎦⎤⎢⎣⎡=0000 (3)[]⎥⎥⎥⎥⎦⎤⎢⎢⎢⎢⎣⎡--21034521=[]02. 计算解 ⎥⎥⎥⎦⎤⎢⎢⎢⎣⎡--⎥⎥⎥⎦⎤⎢⎢⎢⎣⎡--=⎥⎥⎥⎦⎤⎢⎢⎢⎣⎡--⎥⎥⎥⎦⎤⎢⎢⎢⎣⎡--⎥⎥⎥⎦⎤⎢⎢⎢⎣⎡--72301654274001277197723016542132341421231221321=⎥⎥⎥⎦⎤⎢⎢⎢⎣⎡---142301112155 3. 设矩阵 , 求 。
电大经济数学基础形成性考核册及参考答案[1]关建字摘要:答案,矩阵,下列,百台,产量,成本,利润,求解,未知量,对称竭诚为您提供优质文档,本文为收集整理修正,共13页,请先行预览,如有帮助感谢下载支持经济数学基础形成性考核册及参考答案作业(一)(三)解答题1.计算极限x 2-3x +21(x -2)(x -1)x -2(1)lim==-=lim lim 2x →1x →1x →12x -1(x -1)(x +1)(x +1)x 2-5x +61(x -2)(x -3)x -3(2)lim 2=lim =lim =x →2x -6x +8x →2(x -2)(x -4)x →2(x -4)2(1-x -1)(1-x +1)1-x -1lim (3)lim=x →0x →0x x (1-x +1)=limx →0-x -11=lim=-2x (1-x +1)x →0(1-x +1)351-+2x 2-3x +5x x =1lim (4)lim =x →∞x →∞3x 2+2x +42433++2x x (5)lim5x sin 3x 33sin 3x==lim x →03x sin 5x 55x →0sin 5xx 2-4(x -2)(x +2)(6)lim=lim =4x →2sin(x -2)x →2sin(x -2)1⎧x sin +b ,x <0⎪x ⎪2.设函数f (x )=⎨a ,x =0,⎪sin xx >0⎪x ⎩问:(1)当a ,b 为何值时,f (x )在x =0处有极限存在?(2)当a ,b 为何值时,f (x )在x =0处连续.答案:(1)当b =1,a 任意时,f (x )在x =0处有极限存在;(2)当a =b =1时,f (x )在x =0处连续。
3.计算下列函数的导数或微分:(1)y =x +2+log 2x -2,求y '答案:y '=2x +2ln 2+x 2x 21x ln 2(2)y =ax +b,求y 'cx +d答案:y '=a (cx +d )-c (ax +b )ad -cb=22(cx +d )(cx +d )13x -513x -5,求y '12(3)y =答案:y ==(3x -5)-y '=-32(3x -5)3(4)y =答案:y '=x -x e x ,求y '12xax -(x +1)e x(5)y =e sin bx ,求d y答案:y '=(e )'sin bx +e (sin bx )'ax ax =a e ax sin bx +e ax cos bx ⋅b=e ax (a sin bx +b cos bx )dy =e ax (a sin bx +b cos bx )dx(6)y =e +x x ,求d y1x311答案:d y =(x -2e x )d x 2x (7)y =cos x -e -x ,求d y 答案:d y =(2x e -x -n 22sin x 2x)d x(8)y =sin x +sin nx ,求y '答案:y '=n sin n -1x cos x +cos nxn =n (sin n -1x cos x +cos nx )(9)y =ln(x +1+x 2),求y '答案:1-1x 1122'=y '=(x +1+x )=(1+)=(1+(1+x )2x )2x +1+x 2x +1+x 21+x 21+x 2x +1+x 2121(10)y =2cot 1x+1+3x 2-2xx,求y 'ln 21-21-6-x +x 答案:y '=126x 2sinx4.下列各方程中y 是x 的隐函数,试求y '或d y (1)x 2+y 2-xy +3x =1,求d y 答案:解:方程两边关于X 求导:2x2cot 1x 35+2yy '-y -xy '+3=0y -3-2xd x2y -x(2y -x )y '=y -2x -3,d y =(2)sin(x +y )+e xy =4x ,求y '答案:解:方程两边关于X 求导cos(x +y )(1+y ')+e xy (y +xy ')=4(cos(x +y )+e xy x )y '=4-ye xy -cos(x +y )4-y e xy -cos(x +y )y '=xy x e +cos(x +y )5.求下列函数的二阶导数:(1)y =ln(1+x ),求y ''22-2x 2答案:y ''=22(1+x )(2)y =1-x x,求y ''及y ''(1)3-1-答案:y ''=x 2+x 2,y ''(1)=14453作业(二)(三)解答题1.计算下列不定积分3x (1)⎰xd xe3xx 3x 3xe 答案:⎰xd x =⎰()d x =+c 3e e ln e(2)⎰(1+x )2xd x113-(1+x )2(1+2x +x 2)答案:⎰d x =⎰d x =⎰(x 2+2x 2+x 2)d x x x42=2x +x 2+x 2+c35x2-4d x (3)⎰x +21x2-4d x =⎰(x -2)d x =x 2-2x +c答案:⎰2x +2(4)351⎰1-2xd x 答案:1111d x -ln1-2x +c ==-d(1-2x )⎰1-2x ⎰221-2x2(5)x 2+x d x 3211222答案:⎰x2+x d x =⎰2+x d(2+x )=(2+x )+c 322⎰(6)⎰sinx xd x答案:⎰sinx xd x =2⎰sin xd x =-2cos x +c(7)x sin⎰xd x 2答案:x sin ⎰x xd x =-2⎰xdco s d x 22x x x x +2⎰co s d x =-2x cos +4sin +c 2222=-2x cos (8)ln(x +1)d x 答案:ln(x +1)d x ==(x +1)ln(x +1)-2.计算下列定积分(1)⎰⎰⎰ln(x +1)d(x +1)⎰(x +1)dln(x +1)=(x +1)ln(x +1)-x +c⎰2-11-x d x答案:⎰12-11-x d x =1x21211252+==(x -x )+(x -x )(1-x )d x (x -1)d x -11⎰-1⎰12221(2)⎰2ed x x 22答案:⎰1121e x x -e d x ==-e d ⎰1x x21x1121=e -e(3)⎰e 31x 1+ln xd xe 311d(1+ln x )=2(1+ln x )21+ln x答案:⎰e 31x 1+ln x1d x =⎰1e 31=2π(4)⎰20x cos 2x d x ππππ111122--sin 2xdx 答案:⎰2x cos 2x d x =⎰2xd sin 2x =x sin 2x 0=⎰0002222(5)⎰e1x ln x d xe答案:⎰01x ln x d x =e 21e12122e (e +1)==ln x d x x ln x -x d ln x 1⎰⎰11422(6)⎰4(1+x e-x)d x40答案:⎰(1+x e)d x =x -⎰xd e =3-xe -x414-x -x4+⎰0e -x d x =5+5e -44作业三三、解答题1.计算(1)⎢⎡-21⎤⎡01⎤⎡1-2⎤=⎢⎥⎢⎥⎥⎣53⎦⎣10⎦⎣35⎦⎡02⎤⎡11⎤⎡00⎤(2)⎢⎥⎢00⎥=⎢00⎥0-3⎦⎣⎦⎣⎦⎣⎡3⎤⎢0⎥(3)[-1254]⎢⎥=[0]⎢-1⎥⎢⎥⎣2⎦23⎤⎡-124⎤⎡245⎤⎡1⎢⎥⎢⎥⎢⎥02.计算-122143-61⎢⎥⎢⎥⎢⎥⎢⎣1-32⎥⎦⎢⎣23-1⎥⎦⎢⎣3-27⎥⎦23⎤⎡-124⎤⎡245⎤⎡7197⎤⎡245⎤⎡1⎢⎥⎢⎥⎢⎥=⎢7120⎥-⎢610⎥0解-122143-61⎢⎥⎢⎥⎢⎥⎢⎥⎢⎥⎢⎣1-32⎥⎦⎢⎣23-1⎥⎦⎢⎣3-27⎥⎦⎢⎣0-4-7⎥⎦⎢⎣3-27⎥⎦⎡515=⎢⎢111⎢⎣-3-2⎡23-1⎤⎡123⎤3.设矩阵A =⎢⎢111⎥,B =⎢112⎥,求AB 。
电大在线【经济数学基础】形考作业一答案:(一)填空题 1.___________________sin lim=-→xxx x .0 2.设 ⎝⎛=≠+=0,0,1)(2x k x x x f ,在0=x 处连续,则________=k .答案:1 3.曲线x y =在)1,1(的切线方程是 .答案:2121+=x y 4.设函数52)1(2++=+x x x f ,则____________)(='x f .答案:x 25.设x x x f sin )(=,则__________)2π(=''f 2π-(二)单项选择题1. 函数+∞→x ,下列变量为无穷小量是( C ) A .)1(x In + B .1/2+x xC .21xe - D .xxsin2. 下列极限计算正确的是( B ) A.1lim=→xx x B.1lim 0=+→xx xC.11sinlim 0=→x x x D.1sin lim =∞→xxx3. 设y x =lg2,则d y =( B ). A .12d x x B .1d x x ln10 C .ln10x x d D .1d xx 4. 若函数f (x )在点x 0处可导,则( B )是错误的.A .函数f (x )在点x 0处有定义B .A x f x x =→)(lim 0,但)(0x f A ≠C .函数f (x )在点x 0处连续D .函数f (x )在点x 0处可微5.若x xf =)1(,则()('=x f B )A .1/ 2xB .-1/2xC .x 1D .x1- (三)解答题 1.计算极限(1)21123lim 221-=-+-→x x x x (2)218665lim 222=+-+-→x x x x x (3)2111lim 0-=--→x x x (4)3142353lim 22=+++-∞→x x x x x (5)535sin 3sin lim 0=→x x x (6)4)2sin(4lim 22=--→x x x2.设函数⎪⎪⎩⎪⎪⎨⎧>=<+=0sin 0,0,1sin )(x x xx a x b x x x f ,问:(1)当b a ,为何值时,)(x f 在0=x 处有极限存在? (2)当b a ,为何值时,)(x f 在0=x 处连续.答案:(1)当1=b ,a 任意时,)(x f 在0=x 处有极限存在; (2)当1==b a 时,)(x f 在0=x 处连续。
春电大《经济数学基础》形成性考核册及参考答案作业()(一)填空题 .___________________sin lim=-→xxx x .答案: .设 ⎝⎛=≠+=0,0,1)(2x k x x x f ,在0=x 处连续,则________=k .答案: .曲线x y =在)1,1(的切线方程是 .答案:2121+=x y .设函数52)1(2++=+x x x f ,则____________)(='x f .答案:x 2 .设x x x f sin )(=,则__________)2π(=''f .答案:2π- (二)单项选择题 . 函数212-+-=x x x y 的连续区间是( )答案: .),1()1,(+∞⋃-∞ .),2()2,(+∞-⋃--∞.),1()1,2()2,(+∞⋃-⋃--∞ .),2()2,(+∞-⋃--∞或),1()1,(+∞⋃-∞ . 下列极限计算正确的是( )答案: .1lim=→xx x .1lim 0=+→xx x.11sinlim 0=→x x x .1sin lim =∞→xx x. 设y x =lg2,则d y =( ).答案: .12d x x .1d x x ln10 .ln10x x d .1d xx . 若函数 ()在点处可导,则( )是错误的.答案:.函数 ()在点处有定义 .A x f x x =→)(lim 0,但)(0x f A ≠.函数 ()在点处连续 .函数 ()在点处可微 .当0→x 时,下列变量是无穷小量的是( ). 答案: .x2 .xxsin .)1ln(x + .x cos (三)解答题 .计算极限()=-+-→123lim 221x x x x )1)(1()1)(2(lim 1+---→x x x x x )1(2lim 1+-→x x x 21-()8665lim 222+-+-→x x x x x )4)(2()3)(2(lim 2----→x x x x x )4(3lim 2--→x x x 21 ()x x x 11lim--→)11()11)(11(lim 0+-+---→x x x x x)11(lim+--→x x x x 21)11(1lim 0-=+--→x x()=+++-∞→42353lim22x x x x x 31423531lim 22=+++-∞→xx x x x ()=→x x x 5sin 3sin lim0535sin 33sin 5lim 0x x x x x →53()=--→)2sin(4lim 22x x x 4)2sin()2)(2(lim 2=-+-→x x x x.设函数⎪⎪⎩⎪⎪⎨⎧>=<+=0sin 0,0,1sin )(x x xx a x b x x x f ,问:()当b a ,为何值时,)(x f 在0=x 处有极限存在? ()当b a ,为何值时,)(x f 在0=x 处连续.答案:()当1=b ,a 任意时,)(x f 在0=x 处有极限存在; ()当1==b a 时,)(x f 在0=x 处连续。
经济数学基础形成性考核册及参考答案作业(一)(一)填空题 1.___________________sin lim=-→xxx x .答案:02.设⎝⎛=≠+=0,0,1)(2x k x x x f ,在0=x 处连续,则________=k .答案:1 3.曲线x y =在)1,1(的切线方程是 .答案:2121+=x y 4.设函数52)1(2++=+x x x f ,则____________)(='x f .答案:x 2 5.设x x x f sin )(=,则__________)2π(=''f .答案:2π-(二)单项选择题 1. 函数212-+-=x x x y 的连续区间是( )答案:DA .),1()1,(+∞⋃-∞B .),2()2,(+∞-⋃--∞C .),1()1,2()2,(+∞⋃-⋃--∞D .),2()2,(+∞-⋃--∞或),1()1,(+∞⋃-∞ 2. 下列极限计算正确的是( )答案:B A.1lim=→xx x B.1lim 0=+→xx xC.11sinlim 0=→x x x D.1sin lim =∞→xxx3. 设y x =l g 2,则d y =().答案:BA .12d xx B .1d x x ln10 C .ln 10x x d D .1d xx4. 若函数f (x )在点x 0处可导,则( )是错误的.答案:B A .函数f (x )在点x 0处有定义 B .A x f x x =→)(lim,但)(0x f A ≠C .函数f (x )在点x 0处连续D .函数f (x )在点x 0处可微 5.当0→x时,下列变量是无穷小量的是( ). 答案:CA .x2 B .xx sin C .)1ln(x + D .x cos (三)解答题 1.计算极限(1)=-+-→123lim 221x x x x )1)(1()1)(2(lim 1+---→x x x x x = )1(2lim 1+-→x x x = 21- (2)8665lim 222+-+-→x x x x x =)4)(2()3)(2(lim 2----→x x x x x = )4(3lim 2--→x x x = 21(3)x x x 11lim--→=)11()11)(11(lim 0+-+---→x x x x x=)11(lim+--→x x x x =21)11(1lim 0-=+--→x x(4)=+++-∞→42353lim 22x x x x x 31423531lim 22=+++-∞→xx x x x (5)=→x x x 5sin 3sin lim0535sin 33sin 5lim0x x x x x →=53(6)=--→)2sin(4lim 22x x x 4)2sin()2)(2(lim 2=-+-→x x x x2.设函数⎪⎪⎩⎪⎪⎨⎧>=<+=0sin 0,0,1sin )(x x xx a x b x x x f ,问:(1)当b a ,为何值时,)(x f 在0=x 处有极限存在?(2)当b a ,为何值时,)(x f 在0=x 处连续.答案:(1)当1=b ,a 任意时,)(x f 在0=x 处有极限存在;(2)当1==b a时,)(x f 在0=x 处连续。
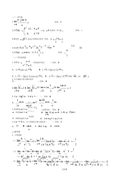
(一)填空题 1. limx sin x__________ _________ .答案: 0x 0x2.设 f (x) x 21, x0 0 处连续,则 k________ .答案: 1k,x,在 x3.曲线 yx 在 (1,1) 的切线方程是 .答案: y1 x 12 24.设函数 f ( x 1) x22x 5,则f (x)____________ .答案:2x5.设 f (x) xsin x ,则 f π__________ .答案: π( )22(二)单项选择题1. 函数 yx 1的连续区间是()答案: Dx 2x 2A . ( ,1) (1, )B . ( , 2) ( 2,)C . (, 2) ( 2,1) (1, ) D . (,2) ( 2,)或( ,1)(1, )2. 以下极限计算正确的选项是( )答案: BA. limx 1 B. lim x1C. lim x sin11D. limsin x1x 0 x x 0 xx 0xxx3. 设 ylg2 x ,则 d y ( ).答案: BA .1dx B .1 dx C .ln10dx D .1dx2xxln10 xx4. 若函数 f ( x)在点 x 0处可导,则() 是错误的. 答案: BA .函数 f (x)在点 x 0 处有定义B . lim f ( x)A ,但 Af (x 0 )x x 0C .函数 f ( x)在点 x 0 处连续D .函数 f (x)在点 x 0 处可微5.当 x 0 时,以下变量是无量小量的是(). 答案: C A .2xB . sin xC . ln(1x)D . cosxx(三)解答题1.计算极限( 1)limx23x 2lim ( x2)( x 1)x 2 1= lim= x 1x 2 1 x 1 ( x 1)( x 1)x 1( x 1)221( 2) limx 5x6 = lim (x 2)( x 3) = limx 3=x 2x 26x 8 x 2 (x 2)( x 4)x 2(x 4)2( 3)lim1 x 1 = lim(1 x 1)( 1 x 1)= limx = lim 11x 213 5( 4) lim3x 5 lim x x 213x 22x 4 2 43xx 3x x 2( 5)limsin 3xlim 5xsin 3x 3 =3 x 0sin 5xx3x sin 5x 55( 6)limx 24 lim (x 2)( x 2)42)sin( x2)x 2sin( xx 2x sin1b,x 02.设函数 f ( x)x x0 ,a,sin xxx问:( 1)当 a, b 为什么值时, f ( x) 在x 0处有极限存在?( 2)当 a, b 为什么值时,f ( x) 在x0处连续 .答案:( 1)当 b 1, a 随意时, f ( x) 在 x 0 处有极限存在;( 2)当 ab 1时, f ( x) 在 x0处连续。
经济数学基础形成性考核册及参考答案作业(一)(一)填空题1.___________________sin lim=-→xxx x .答案:0 2.设 ⎝⎛=≠+=0,0,1)(2x k x x x f ,在0=x 处连续,则________=k .答案:13.曲线x y =在)1,1(的切线方程是 .答案:2121+=x y 4.设函数52)1(2++=+x x x f ,则____________)(='x f .答案:x 2 5.设x x x f sin )(=,则__________)2π(=''f .答案:2π- (二)单项选择题 1. 函数212-+-=x x x y 的连续区间是( )答案:DA .),1()1,(+∞⋃-∞B .),2()2,(+∞-⋃--∞C .),1()1,2()2,(+∞⋃-⋃--∞D .),2()2,(+∞-⋃--∞或),1()1,(+∞⋃-∞ 2. 下列极限计算正确的是( )答案:B A.1lim=→xx x B.1lim 0=+→xx x C.11sinlim 0=→x x x D.1sin lim =∞→xxx3. 设y x =lg2,则d y =( ).答案:B A .12d x x B .1d x x ln10 C .ln10x x d D .1d xx 4. 若函数f (x )在点x 0处可导,则( )是错误的.答案:BA .函数f (x )在点x 0处有定义B .A x f x x =→)(lim 0,但)(0x f A ≠C .函数f (x )在点x 0处连续D .函数f (x )在点x 0处可微5.当0→x 时,下列变量是无穷小量的是( ). 答案:C A .x2 B .xxsin C .)1ln(x + D .x cos (三)解答题 1.计算极限(1)21123lim 221-=-+-→x x x x (2)218665lim 222=+-+-→x x x x x (3)2111lim 0-=--→x x x (4)3142353lim 22=+++-∞→x x x x x (5)535sin 3sin lim 0=→x x x (6)4)2sin(4lim 22=--→x x x2.设函数⎪⎪⎩⎪⎪⎨⎧>=<+=0sin 0,0,1sin )(x x xx a x b x x x f ,问:(1)当b a ,为何值时,)(x f 在0=x 处有极限存在?答案:当1=b ,a 任意时,)(x f 在0=x 处有极限存在; (2)当b a ,为何值时,)(x f 在0=x 处连续. 答案:当1==b a 时,)(x f 在0=x 处连续。
经济数学基础形成性考核册参考答案经济数学基础作业1一、填空题: 1、0; 2、1;3、x -2y +1=0;4、2x ;5、-2π;二、单项选择题: 1、D ; 2、B ; 3、B ; 4、B ; 5、B ; 三、解答题 1、计算极限(1)解:原式=1lim→x )1)(1()2)(1(+---x x x x=1lim→x 12+-x x=21(2)解:原式=2lim→x )4)(2()3)(2(----x x x x=2lim→x 43--x x=-21(3)解:原式=0lim→s xx x )11(11+---=lim →s 111+--x=-21(4)解:原式=∞→s lim 22423531xx x x +++-=21(5)解:∵x 0→时,xx sm x x sm 5~53~3∴0lim→x xsm xsm 53=0lim→x xx53=53(6)解:2lim→x )2sin(42--x x =2lim →x 242--x x=2lim→x (x+2)=4 2、设函数: 解:0lim →x f(x)=0lim →x (sin x1+b)=b+→0lim x f(x)=+→0lim x xxsin 1≤(1)要使f(x)在x=0处有极限,只要b=1, (2)要使f(x)在x=0处连续,则-→0lim x f(x)=+→0lim x =f(0)=a即a=b=1时,f(x)在x=0处连续 3、计算函数的导数或微分: (1)解:y '=2x +2xlog 2+2log1x(2)解:y '=2)()()(d cx cb ax d cx a ++-+=2)(d cx bc ad +-(3)解:y '=[)53(21--x ]'=-21)53(23--x ·(3x-5)' =-23)53(23--x(4)解:y '=x21-(e x+xe x)=x21-e x -xe x(5)解:∵y '=ae ax sinbx+be ax cosbx =e ax (asmbx+bcosbx) ∴dy=e ax (asmbx+bcosbx)dx(6)解: ∵y '=-21xe x1+23x 21∴dy=(-21xex1+23x)dx(7)解:∵y '=-x21+sin x +xex22-∴dy=(xex22--x21 sin x )dx(8)解:∵y '=nsin n -1x+ncosnx∴dy=n(nsin n -1+ cosnx)dx(9)解:∵y '=)1221(1122xx xx ++++=211x+∴dxxdy 211+=(10)解:xxxxxotxxxxy y 652321cot226121116121ln 1csc1222--+-⋅='-++=4、(1)解:方程两边对x 求导得 2x+2yy '-y-xy '+3=0 (2y-x)y '=y -2x -3 y '=xy x y ---232∴dy=dxxy x y ---232(2)解:方程两边对x 求导得:Cos(x+y )·(1+y ')+e xy (y+xy ')=4 [cos(x+y)+xe xy ]y '=4-cos(x+y)-ye xy y '=xyxey x yexy y x ++-+-)cos()cos(45.(1)解:∵y '=22212)1(11Xx x x+='+∙+2222)1(22)1(1)12(X XX X XX Y +∙-+='+=''=222)1()1(2X X +-(2)解:)()1(2121'-='-='-xxxx xy=x x21212123----)(212122'-=''---xx yx x41432325--+14143)1(=+=''y经济数学基础作业2一、填空题:1、2x ln 2+2 2、sinx+C3、-C x F +-)1(2124、ln(1+x 2)5、-211x+二、单项选择题: 1、D 2、C 3、C 4、D 5、B三、解答题:1、计算下列不定积分: (1)解:原式=⎰dx e x )3(= Cee x +3ln )3(=Cx e +-13ln )3((2)解:原式=dxXXXX X)21(2⎰++=Cxxx +++523422221(3)解:原式=⎰++-dxx x x 2)2)(2(=⎰-dx x )2( =Cx x+-222(4)解:原式=-⎰--)21(21121x d x=-x 21ln 21-+C (5)解原式=⎰+2212)2(21dxx=⎰++)2()2(212212x d x=C x ++232)2(31(6)解:原式=Z ⎰xd x sin=-2cos C x + (7)解:原式=-2⎰2cos x xd=-2xcos ⎰+dxx x 2cos 22 =-2xcos Cx smx ++242(8)解:原式=⎰++)1()1ln(x d x=(x+1)ln(x+1)-⎰++)1ln()1(x d x =(x+1)ln(x+1)-x+c2、计算下列积分 (1)解:原式=⎰⎰-+--dx x dx x )1(12)1(11=(x-12)2(11)222x xx-+-=2+21=25(2)解:原式=⎰-xde x 1121=121xe -=e e -(3)解:原式=⎰+x d xeln ln 1113=⎰++-)1(ln )ln 1(1213x d x e=1)ln 1(2321ex +=4-2 =2(4)解:原式=xxdsm 22102⎰π=⎰-xdxsm xxsm 2021022122ππ=02cos 412πx=21-(5)解:原式=⎰xx xde2ln 1=dxxx e e xx⎰--12211ln 22=⎰-dx xe e 2122=14222exe-=)414(222--ee=412+e(6)解:原式=⎰⎰-+dxxedx x404=4+⎰--x xde 04=⎰-----)(0444x d exexx=04444xee----=14444+----e e =455--e经济数学基础作业3一、填空题: 1. 3 2. -723. A 与B 可交换4. (I-B )-1A5. 3100210001-二、单项选择题:1.C2.A3.C4.A5.B三、解答题 1、解:原式=⎥⎦⎤⎢⎣⎡⨯+⨯⨯+⨯⨯+⨯-⨯+⨯-0315130501121102 =⎥⎦⎤⎢⎣⎡53212、解:原式=⎥⎦⎤⎢⎣⎡⨯-⨯⨯-⨯⨯+⨯⨯+⨯0310031002100210 =⎥⎦⎤⎢⎣⎡00003、解:原式=[]24)1(50231⨯+-⨯+⨯+⨯- =[]02、计算:解:原式=⎥⎥⎥⎦⎤⎢⎢⎢⎣⎡----⎥⎥⎥⎦⎤⎢⎢⎢⎣⎡--142301215427401277197=⎥⎥⎥⎦⎤⎢⎢⎢⎣⎡--+-------7724300012675741927 =⎥⎥⎥⎦⎤⎢⎢⎢⎣⎡---1423012121553、设矩阵:解:222321013211023210132)2(21)1(110111132=--=--+---=A011211321==B0=∙=∴B A AB4、设矩阵:解:A=⎥⎥⎥⎦⎤⎢⎢⎢⎣⎡-⇒⎥⎥⎥⎦⎤⎢⎢⎢⎣⎡0110214742101112421λλ要使r (A )最小。
经济数学基础形成性考核册作业1参考答案(一)填空题1.0;2. 1;3. 2121+=x y ;4. x 25. 2π- (二)单项选择题1. D;2.B3. B4.B5.B (三)解答题 1.计算极限(1)=-+-→123lim 221x x x x )1)(1()1)(2(lim 1+---→x x x x x = 12lim 1+-→x x x = 21- (2)8665lim 222+-+-→x x x x x =)4)(2()3)(2(lim 2----→x x x x x = 43lim 2--→x x x = 21(3)x x x 11lim--→=)11()11)(11(lim 0+-+---→x x x x x =)11(lim+--→x x x x =21111lim0-=+--→x x (4)=+++-∞→42353lim 22x x x x x 31423531lim 22=+++-∞→xx x x x (5)=→x x x 5sin 3sin lim 05355sin 33sin lim 0⨯→xx x xx =53 (6)=--→)2sin(4lim 22x x x 42)2sin(2lim )2sin()2)(2(lim22=--+=-+-→→x x x x x x x x2.设函数⎪⎪⎩⎪⎪⎨⎧>=<+=0sin 0,0,1sin )(x x xx a x b x x x f ,问:(1)当b a ,为何值时,)(x f 在0=x 处有极限存在? (2)当b a ,为何值时,)(x f 在0=x 处连续.解:(1)b b xx x f x x =+=--→→)1sin ()(lim lim 00,1sin )(limlim 00==++→→xxx f x x 所以,当1=b ,a 任意时,)(x f 在0=x 处有极限存在; (2)a f =)0(,所以,当1==b a 时,)(x f 在0=x 处连续。
电大经济数学基础形成性考核册及参考答案一填空题1.___________________sin lim=-→xxx x .答案:0 2.设 ⎝⎛=≠+=0,0,1)(2x k x x x f ,在0=x 处连续,则________=k .答案:13.曲线x y =在)1,1(的切线方程是 .答案:2121+=x y 4.设函数52)1(2++=+x x x f ,则____________)(='x f .答案:x 25.设x x x f sin )(=,则__________)2π(=''f .答案:2π-二单项选择题1. 函数212-+-=x x x y 的连续区间是 D A .),1()1,(+∞⋃-∞ B .),2()2,(+∞-⋃--∞C .),1()1,2()2,(+∞⋃-⋃--∞D .),2()2,(+∞-⋃--∞或),1()1,(+∞⋃-∞2. 下列极限计算正确的是 BA.1lim=→xx x B.1lim 0=+→xx xC.11sinlim 0=→x x x D.1sin lim =∞→xx x3. 设y x =lg2,则d y = B .A .12d x x B .1d x x ln10 C .ln10x x d D .1d xx 4. 若函数f x 在点x 0处可导,则 B 是错误的.A .函数f x 在点x 0处有定义B .A x f x x =→)(lim 0,但)(0x f A ≠C .函数f x 在点x 0处连续D .函数f x 在点x 0处可微5.当0→x 时,下列变量是无穷小量的是 C .A .x 2B .xxsin C .)1ln(x + D .x cos 三解答题1.计算极限121123lim 221-=-+-→x x x x 2218665lim 222=+-+-→x x x x x 原式=4)-2)(x -(x 3)-2)(x -(x lim2x →32111lim-=--→x x x原式=)11()11)(11(lim+-+---→x x x x x=111lim+--→x x=21-43142353lim 22=+++-∞→x x x x x 原式=22433531xx x x +++-=315535sin 3sin lim0=→x x x原式=xx x xx 55sin 33sin lim 530→ =5364)2sin(4lim22=--→x x x 原式=2)2sin(2lim2+++→x x x x=2)2sin(lim )2(lim 22--+→→x x x x x = 42.设函数⎪⎪⎩⎪⎪⎨⎧>=<+=0sin 0,0,1sin )(x x xx a x b x x x f ,问:1当b a ,为何值时,)(x f 在0=x 处有极限存在2当b a ,为何值时,)(x f 在0=x 处连续. 解:11)(lim ,)(lim 00==+-→→x f b x f x x当 1f(0)f(x)lim 10x ====→有时,b a2. 1f(0)f(x)lim 1b a 0x ====→有时,当函数fx 在x=0处连续.3.计算下列函数的导数或微分:12222log 2-++=x x y x ,求y '答案:2ln 12ln 22x x y x ++='2dcx bax y ++=,求y '答案:22)()()()(d cx bcad d cx b ax c d cx a y +-=++-+='3531-=x y ,求y '答案:23)53(23---='x y4x x x y e -=,求y '答案:)(21x x xe e xy +-='=x x xe e x--215bx y ax sin e =,求y d答案:∵)cos (sin cos sin )(sin (sin )(bx b bx e bx be bx ae bx e bx e y ax ax ax ax ax +=+='+'='∴dxbx b bx a e dy ax )cos sin (+=6x x y x+=1e ,求y d答案:∵x e x y x23112+-=' ∴dx e xx dy x )123(12-= 72e cos x x y --=,求y d答案:∵)()(sin 22'-⋅-'⋅-='-x e x x y x=222sin xxe xx-+-∴dx xe xxdy x )22sin (2-+-=8nx x y n sin sin +=,求y '答案:nx n x x n y n cos cos sin 1+⋅='-9)1ln(2x x y ++=,求y '答案:)1(1122'++⋅++='x x x x y =)11(1122xx xx ++⋅++=2221111xx x xx +++⋅++ =211x+10xxx y x212321cot-++=,求y '答案:531cos 261211cos 61211sin 2ln 21)2()1(cos 2ln 2x x x x x x xy x x+-⋅⋅-='-++'⋅⋅='-4.下列各方程中y 是x 的隐函数,试求y '或y d1 方程两边对x 求导:所以 dx xy x y dy ---=2322 方程两边对x 求导:所以 xyxyxe y x ye y x y ++-+-=')cos()cos(45.求下列函数的二阶导数:1)1ln(2x y +=,求y ''答案: 1 212x x y +='2 212321212121)(-----='-='x x x xy作业二一填空题1.若c x x x f x ++=⎰22d )(,则___________________)(=x f .答案:22ln 2+x2. ⎰='x x d )sin (________.答案:c x +sin3. 若c x F x x f +=⎰)(d )(,则⎰=-x x xf d )1(2 .答案:c x F +--)1(212 4.设函数___________d )1ln(d d e12=+⎰x x x .答案:05. 若t tx P xd 11)(02⎰+=,则__________)(='x P .答案:211x+-二单项选择题1. 下列函数中, D 是x sin x 2的原函数.A .21cos x 2B .2cos x 2C .-2cos x 2D .-21cos x 22. 下列等式成立的是 C .A .)d(cos d sin x x x =B .)1d(d ln xx x =C .)d(22ln 1d 2x x x =D .x x xd d 1=3. 下列不定积分中,常用分部积分法计算的是 C .A .⎰+x x c 1)d os(2,B .⎰-x x x d 12C .⎰x x x d 2sinD .⎰+x xxd 124. 下列定积分计算正确的是 D .A .2d 211=⎰-x x B .15d 161=⎰-xC .0)d (32=+⎰-x x x ππD .0d sin =⎰-x x ππ5. 下列无穷积分中收敛的是 B .A .⎰∞+1d 1x x B .⎰∞+12d 1x x C .⎰∞+0de x xD .⎰∞+1d sin x x三解答题1.计算下列不定积分1⎰x x x d e 3原式=⎰dx ex )3( =c e c ee x x x+-=+)13(ln 33ln )3( 2⎰+x xx d )1(2答案:原式=⎰++-dx x x x)2(2321=c x x x +++252321523423⎰+-x x x d 242答案:原式=⎰+-=-c x x dx x 221)2(2 4⎰-x x d 211答案:原式=c x x x d +--=---⎰21ln 2121)21(21 5⎰+x x x d 22答案:原式=⎰++)2(22122x d x =c x ++232)2(316⎰x xx d sin 答案:原式=⎰+-=c x x d x cos 2sin 27⎰x xx d 2sin答案:∵+ x 2sinx - 1 2cos2x - + 0 2sin4x - ∴原式=c xx x ++-2sin 42cos2 8⎰+x x 1)d ln(答案:∵ + )1ln(+x 1- 11+-x x ∴ 原式=⎰+-+dx x xx x 1)1ln( =⎰+--+dx x x x )111()1ln( =c x x x x +++-+)1ln()1ln(2.计算下列定积分1x x d 121⎰--答案:原式=⎰⎰-+--2111)1()1(dx x dx x =29252)21(2212=+=-+x x 2x xxd e2121⎰答案:原式=⎰-212211)(xd x xe x=21211e e e x -=-3x xx d ln 113e 1⎰+答案:原式=⎰++31)ln 1(ln 1e x d xx x=21ln 123=+e x 4x x x d 2cos 20⎰π答案:∵ +x x 2cosx 2x 2∴ 原式=20)2cos 412sin 21(πx x x +=214141-=--5x x x d ln e1⎰答案:∵ + x ln x- x122x∴ 原式=⎰-e exdx x x 11221ln 21 =)1(414122122+=-e xe e 6x x x d )e 1(40⎰-+答案:∵原式=⎰-+404dx xe x又∵ +x x e --1 -x e -+0 x e -∴⎰-----=404)(x x x e xe dx xe=154+--e故:原式=455--e作业三一填空题1.设矩阵⎥⎥⎥⎦⎤⎢⎢⎢⎣⎡---=161223235401A ,则A 的元素__________________23=a .答案:32.设B A ,均为3阶矩阵,且3-==B A ,则T AB 2-=________. 答案:72-3. 设B A ,均为n 阶矩阵,则等式2222)(B AB A B A +-=-成立的充分必要条件是 .答案:BA AB =4. 设B A ,均为n 阶矩阵,)(B I -可逆,则矩阵X BX A =+的解______________=X .答案:A B I 1)(--5. 设矩阵⎥⎥⎥⎦⎤⎢⎢⎢⎣⎡-=300020001A ,则__________1=-A .答案:⎥⎥⎥⎥⎥⎥⎦⎤⎢⎢⎢⎢⎢⎢⎣⎡-=31000210001A二单项选择题1. 以下结论或等式正确的是 C .A .若B A ,均为零矩阵,则有B A = B .若AC AB =,且O A ≠,则C B =C .对角矩阵是对称矩阵D .若O B O A ≠≠,,则O AB ≠2. 设A 为43⨯矩阵,B 为25⨯矩阵,且乘积矩阵T ACB 有意义,则T C 为 A 矩阵.A .42⨯B .24⨯C .53⨯D .35⨯3. 设B A ,均为n 阶可逆矩阵,则下列等式成立的是 C . `A .111)(---+=+B A B A , B .111)(---⋅=⋅B A B AC .BA AB =D .BA AB =4. 下列矩阵可逆的是 A .A .⎥⎥⎥⎦⎤⎢⎢⎢⎣⎡300320321B .⎥⎥⎥⎦⎤⎢⎢⎢⎣⎡--321101101C .⎥⎦⎤⎢⎣⎡0011D .⎥⎦⎤⎢⎣⎡2211 5. 矩阵⎥⎥⎥⎦⎤⎢⎢⎢⎣⎡=444333222A 的秩是 B .A .0B .1C .2D .3三、解答题1.计算1⎥⎦⎤⎢⎣⎡⎥⎦⎤⎢⎣⎡-01103512=⎥⎦⎤⎢⎣⎡-53212⎥⎦⎤⎢⎣⎡⎥⎦⎤⎢⎣⎡-00113020⎥⎦⎤⎢⎣⎡=0000 3[]⎥⎥⎥⎥⎦⎤⎢⎢⎢⎢⎣⎡--21034521=[]02.计算⎥⎥⎥⎦⎤⎢⎢⎢⎣⎡--⎥⎥⎥⎦⎤⎢⎢⎢⎣⎡--⎥⎥⎥⎦⎤⎢⎢⎢⎣⎡--723016542132341421231221321解 ⎥⎥⎥⎦⎤⎢⎢⎢⎣⎡--⎥⎥⎥⎦⎤⎢⎢⎢⎣⎡--=⎥⎥⎥⎦⎤⎢⎢⎢⎣⎡--⎥⎥⎥⎦⎤⎢⎢⎢⎣⎡--⎥⎥⎥⎦⎤⎢⎢⎢⎣⎡--72301654274001277197723016542132341421231221321=⎥⎥⎥⎦⎤⎢⎢⎢⎣⎡---1423011121553.设矩阵⎥⎥⎥⎦⎤⎢⎢⎢⎣⎡=⎥⎥⎥⎦⎤⎢⎢⎢⎣⎡--=110211321B 110111132,A ,求AB ;解 因为B A AB =所以002=⨯==B A AB4.设矩阵⎥⎥⎥⎦⎤⎢⎢⎢⎣⎡=01112421λA ,确定λ的值,使)(A r 最小;解:⎥⎥⎥⎦⎤⎢⎢⎢⎣⎡----−−−→−⎥⎥⎥⎦⎤⎢⎢⎢⎣⎡----−−−→−⎥⎥⎥⎦⎤⎢⎢⎢⎣⎡=-⨯+-⨯+74041042141074042101112421)1()2(λλλ),(③②①③①②A 所以当49=λ时,秩)(A r 最小为2; 5.求矩阵⎥⎥⎥⎥⎦⎤⎢⎢⎢⎢⎣⎡----=32114024713458512352A 的秩; 答案:解:−−−→−⎥⎥⎥⎥⎦⎤⎢⎢⎢⎢⎣⎡----−−−→−⎥⎥⎥⎥⎦⎤⎢⎢⎢⎢⎣⎡----=-⨯+-⨯+-⨯+)4()2()5()(3211412352345850247132114024713458512352①④①③①②③①A , 所以秩)(A r =2;6.求下列矩阵的逆矩阵:1⎥⎥⎥⎦⎤⎢⎢⎢⎣⎡---=111103231A答案解:[]⎥⎥⎥⎦⎤⎢⎢⎢⎣⎡----−−−→−⎥⎥⎥⎦⎤⎢⎢⎢⎣⎡---=-⨯+⨯+101340013790001231100111010103001231)1(3①③①②I A 所以⎥⎥⎥⎦⎤⎢⎢⎢⎣⎡=-9437323111A ;2A =⎥⎥⎥⎦⎤⎢⎢⎢⎣⎡------1121243613.答案解:[]⎥⎥⎥⎦⎤⎢⎢⎢⎣⎡---−−−→−⎥⎥⎥⎦⎤⎢⎢⎢⎣⎡------=⨯+10011201012470141110011201012400136137③①I A 所以⎥⎥⎥⎦⎤⎢⎢⎢⎣⎡---=-2101720311A ;7.设矩阵⎥⎦⎤⎢⎣⎡=⎥⎦⎤⎢⎣⎡=3221,5321B A ,求解矩阵方程B XA =.答案:1-=BA X四、证明题1.试证:若21,B B 都与A 可交换,则21B B +,21B B 也与A 可交换;证明:∵ A B AB 11=,A B AB 22=∴ A B B A B A B AB AB B B A )()(21212121+=+=+=+即 21B B +,21B B 也与A 可交换;2.试证:对于任意方阵A ,T A A +,A A AA T T ,是对称矩阵;证明:∵ T T T T T T T A A A A A A A A +=+=+=+)()(∴ T A A +,A A AA T T ,是对称矩阵;3.设B A ,均为n 阶对称矩阵,则AB 对称的充分必要条件是:BA AB =;证明:充分性∵ A A T =,B B T =,AB AB T =)(∴ BA A B AB AB T T T ===)(必要性∵ A A T =,B B T =,BA AB = ∴ AB B A BA AB T T T T ===)()(即AB 为对称矩阵;4.设A 为n 阶对称矩阵,B 为n 阶可逆矩阵,且T B B =-1,证明AB B 1-是对称矩阵;证明:∵ A A T =,T B B =-1∴ AB B B A B B A B B A B AB B T T T T T 11111111)()()()(--------====即 AB B 1-是对称矩阵;作业四一填空题1.函数xx x f 1)(+=在区间___________________内是单调减少的.答案:)1,0()0,1(⋃-2. 函数2)1(3-=x y 的驻点是________,极值点是 ,它是极 值点.答案:1,1==x x ,小3.设某商品的需求函数为2e10)(p p q -=,则需求弹性=p E .答案:p 2-4.行列式____________111111111=---=D .答案:45. 设线性方程组b AX =,且⎥⎥⎥⎦⎤⎢⎢⎢⎣⎡+-→010********1t A ,则__________t 时,方程组有唯一解.答案:1-≠二单项选择题1. 下列函数在指定区间(,)-∞+∞上单调增加的是 B .A .sin xB .e xC .x 2D .3 – x2. 已知需求函数p p q 4.02100)(-⨯=,当10=p 时,需求弹性为 C .A .2ln 244p -⨯B .2ln 4C .2ln 4-D .2ln 24-4p -⨯3. 下列积分计算正确的是 A .A .⎰--=-110d 2e e x xx B .⎰--=+110d 2e e x xxC .0d sin 11=⎰x x x - D .0)d (3112=+⎰x x x -4. 设线性方程组b X A n m =⨯有无穷多解的充分必要条件是 D .A .m A r A r <=)()(B .n A r <)(C .n m <D .n A r A r <=)()(5. 设线性方程组⎪⎩⎪⎨⎧=++=+=+33212321212ax x x a x x a x x ,则方程组有解的充分必要条件是 C .A .0321=++a a aB .0321=+-a a aC .0321=-+a a aD .0321=++-a a a三、解答题1.求解下列可分离变量的微分方程:1 y x y +='e答案:原方程变形为:y x e dxdy+= 分离变量得:dx e dy e x y =-两边积分得:⎰⎰=---dx e y d e x y )( 原方程的通解为:C e e x y +=--223e d d yx x y x =答案:分离变量得:dx xe dy y x =23两边积分得:⎰⎰=dx xe dy y x 23 原方程的通解为:C e xe y x x +-=32. 求解下列一阶线性微分方程:13)1(12+=+-'x y x y 答案:原方程的通解为:2x x xyy 2sin 2=-' 答案:原方程的通解为:3.求解下列微分方程的初值问题:1 y x y -='2e ,0)0(=y答案:原方程变形为:y x e dxdy-=2 分离变量得:dx e dy e x y 2=两边积分得:⎰⎰=dx e dy e x y 2 原方程的通解为:C e e xy +=221 将00==y x ,代入上式得:21=C 则原方程的特解为:21212+=x y e e20e =-+'x y y x ,0)1(=y 答案:原方程变形为:x y x y xe 1=+'原方程的通解为:将01==y x ,代入上式得:e C -= 则原方程的特解为:)(1e e x y x -=4.求解下列线性方程组的一般解:1⎪⎩⎪⎨⎧=-+-=+-+-=-+03520230243214321431x x x x x x x x x x x答案:原方程的系数矩阵变形过程为: 由于秩A =2<n=4,所以原方程有无穷多解,其一般解为:⎩⎨⎧-=+-=4324312x x x x x x 其中43x x ,为自由未知量; 2⎪⎩⎪⎨⎧=+-+=+-+=++-5114724212432143214321x x x x x x x x x x x x答案:原方程的增广矩阵变形过程为: 由于秩A =2<n=4,所以原方程有无穷多解,其一般解为:⎪⎩⎪⎨⎧-+=--=432431575353565154x x x x x x 其中43x x,为自由未知量;5.当λ为何值时,线性方程组有解,并求一般解;答案:原方程的增广矩阵变形过程为:所以当8=λ时,秩A =2<n=4,原方程有无穷多解,其一般解为:5.b a ,为何值时,方程组答案:当3-=a 且3≠b 时,方程组无解;当3-≠a 时,方程组有唯一解;当3-=a 且3=b 时,方程组无穷多解;原方程的增广矩阵变形过程为:⎥⎥⎥⎦⎤⎢⎢⎢⎣⎡-+---−−−→−⎥⎥⎥⎦⎤⎢⎢⎢⎣⎡-+---−−−→−⎥⎥⎥⎦⎤⎢⎢⎢⎣⎡---=-⨯+-⨯+-⨯+3300112011111140112011113122111111)2()1()1(b a b a b a A ②③①③①②讨论:1当b a ,3-≠为实数时,秩A =3=n=3,方程组有唯一解;2当33=-=b a ,时,秩A =2<n=3,方程组有无穷多解;3当33≠-=b a ,时,秩A =3≠秩A =2,方程组无解;6.求解下列经济应用问题:1设生产某种产品q 个单位时的成本函数为:q q q C 625.0100)(2++=万元, 求:①当10=q 时的总成本、平均成本和边际成本;②当产量q 为多少时,平均成本最小答案:①∵ 平均成本函数为:625.0100)()(++==q qq q C q C 万元/单位 边际成本为:65.0)(+='q q C∴ 当10=q 时的总成本、平均成本和边际成本分别为: 5.1861025.010100)10(=+⨯+=C 万元/单位 116105.0)10(=+⨯='C 万元/单位 ②由平均成本函数求导得:25.0100)(2+-='qq C 令0)(='q C 得唯一驻点201=q 个,201-=q 舍去由实际问题可知,当产量q 为20个时,平均成本最小;2.某厂生产某种产品q 件时的总成本函数为201.0420)(q q q C ++=元,单位销售价格为q p 01.014-=元/件,问产量为多少时可使利润达到最大最大利润是多少.答案:2解:由q p 01.014-=得收入函数 201.014)(q q pq q R -==得利润函数: 2002.010)()()(2--=-=q q q C q R q L令 004.010)(=-='q q L解得:250=q 唯一驻点所以,当产量为250件时,利润最大,最大利润:12302025002.025010)250(2=-⨯-⨯=L 元3投产某产品的固定成本为36万元,且边际成本为402)(+='q q C 万元/百台.试求产量由4百台增至6百台时总成本的增量,及产量为多少时,可使平均成本达到最低. 解:当产量由4百台增至6百台时,总成本的增量为答案:①产量由4百台增至6百台时总成本的增量为 10046)40()402()(26464=+=+='=∆⎰⎰x x dx x dx x C C 万元 ②成本函数为:又固定成本为36万元,所以3640)(2++=x x x C 万元平均成本函数为:xx x x C x C 3640)()(++==万元/百台 求平均成本函数的导数得:2361)(xx C -=' 令0)(='x C 得驻点61=x ,62-=x 舍去由实际问题可知,当产量为6百台时,可使平均成本达到最低;4已知某产品的边际成本)(q C '=2元/件,固定成本为0,边际收益q q R 02.012)(-=',求:①产量为多少时利润最大②在最大利润产量的基础上再生产50件,利润将会发生什么变化答案:①求边际利润:q q C q R q L 02.010)()()(-='-'='令0)(='q L 得:500=q 件由实际问题可知,当产量为500件时利润最大;②在最大利润产量的基础上再生产50件,利润的增量为:25500550)01.010()02.010()(2550500550500-=-=-='=∆⎰⎰q q dq q dq q L L 元即利润将减少25元;。
电大经济数学基础形成性考核册及参考答案(一)填空题 1.___________________sin lim=-→xxx x .答案:02.设⎝⎛=≠+=0,0,1)(2x k x x x f ,在0=x 处连续,则________=k .答案:1 3.曲线x y =在)1,1(的切线方程是.答案:2121+=x y 4.设函数52)1(2++=+x x x f ,则____________)(='x f .答案:x 2 5.设x x x f sin )(=,则__________)2π(=''f .答案:2π-(二)单项选择题 1. 函数212-+-=x x x y 的连续区间是( D )A .),1()1,(+∞⋃-∞B .),2()2,(+∞-⋃--∞C .),1()1,2()2,(+∞⋃-⋃--∞D .),2()2,(+∞-⋃--∞或),1()1,(+∞⋃-∞ 2. 下列极限计算正确的是( B )A.1lim=→xx x B.1lim 0=+→xx xC.11sinlim 0=→x x x D.1sin lim =∞→xxx3. 设y x =lg2,则d y =(B ).A .12d x x B .1d x x ln10C .ln10x x d D .1d xx 4. 若函数f (x )在点x 0处可导,则( B )是错误的. A .函数f (x )在点x 0处有定义B .A x f x x =→)(lim 0,但)(0x f A ≠C .函数f (x )在点x 0处连续D .函数f (x )在点x 0处可微 5.当0→x时,下列变量是无穷小量的是( C ).A .x2 B .xx sin C .)1ln(x + D .x cos (三)解答题 1.计算极限(1)21123lim 221-=-+-→x x x x2112lim)1)(1()2)(1(lim11-=+-=+---=→→x x x x x x x x 原式 (2)218665lim 222=+-+-→x x x x x 原式=4)-2)(x -(x 3)-2)(x -(x lim2x →2143lim2=--=→x x x(3)2111lim-=--→x x x原式=)11()11)(11(lim+-+---→x x x x x=111lim+--→x x=21-(4)3142353lim22=+++-∞→x x x x x 原式=22433531xx x x +++-=31 (5)535sin 3sin lim0=→x x x原式=xxx x x 55sin 33sin lim530→ =53 (6)4)2sin(4lim 22=--→x x x原式=2)2sin(2lim2+++→x x x x=2)2sin(lim)2(lim 22--+→→x x x x x = 42.设函数⎪⎪⎩⎪⎪⎨⎧>=<+=0sin 0,0,1sin )(x x xx a x b x x x f ,问:(1)当b a ,为何值时,)(x f 在0=x 处有极限存在?(2)当b a ,为何值时,)(x f 在0=x 处连续.解:(1)1)(lim ,)(lim 00==+-→→x f b x f x x当 1f(0)f(x)lim 10x ====→有时,b a(2). 1f(0)f(x)lim 1b a 0x ====→有时,当函数f(x)在x=0处连续. 3.计算下列函数的导数或微分: (1)2222log 2-++=x x y x ,求y '答案:2ln 12ln 22x x y x ++='(2)dcx bax y ++=,求y '答案:22)()()()(d cx bcad d cx b ax c d cx a y +-=++-+='(3)531-=x y ,求y '答案:23)53(23---='x y(4)x x x y e -=,求y '答案:)(21x x xe e xy +-='=x x xe e x--21(5)bx y ax sin e =,求y d答案:∵)cos (sin cos sin )(sin (sin )(bx b bx e bx be bx ae bx e bx e y ax ax ax ax ax +=+='+'='∴dxbx b bx a e dyax )cos sin (+=(6)x x y x+=1e ,求y d答案:∵x e x y x 23112+-='∴dx e xx dy x )123(12-=(7)2e cos xx y --=,求y d答案:∵)()(sin 22'-⋅-'⋅-='-x e x x y x=222sin xxe xx -+-∴dx xe xxdyx )22sin (2-+-=(8)nx x y n sin sin +=,求y '答案:nx n x x n y n cos cos sin 1+⋅='-(9))1ln(2x x y ++=,求y '答案:)1(1122'++⋅++='x x x x y =)11(1122xx xx ++⋅++=2221111xx x xx +++⋅++ =211x+(10)xxx y x212321cot -++=,求y '答案:531cos 261211cos61211sin 2ln 21)2()1(cos 2ln 2x x x x x x xy x x+-⋅⋅-='-++'⋅⋅='-4.下列各方程中y 是x 的隐函数,试求y '或y d(1) 方程两边对x 求导:0322=+'--'⋅+y x y y y x 32)2(--='-x y y x y所以 dx xy x y dy---=232(2) 方程两边对x 求导:4)()1)(cos(='+⋅+'++y x y e y y x xy xy xy ye y x y xe y x -+-='++)cos(4])[cos( 所以 xyxyxe y x ye y x y ++-+-=')cos()cos(45.求下列函数的二阶导数: (1))1ln(2x y +=,求y ''答案: (1)212x x y +='222222)1(22)1(22)1(2x x x x x x y +-=+⋅-+='' (2)212321212121)(-----='-='x x x xy23254143--+=''x x y14143)1(=+='y作业(二)(一)填空题 1.若c x x x f x++=⎰22d )(,则___________________)(=x f .答案:22ln 2+x2.⎰='x x d )sin (________.答案:c x +sin 3.若c x F x x f +=⎰)(d )(,则⎰=-x x xf d )1(2.答案:c x F +--)1(212 4.设函数___________d )1ln(d d e 12=+⎰x x x .答案:0 5.若t tx P xd 11)(02⎰+=,则__________)(='x P .答案:211x+-(二)单项选择题1. 下列函数中,(D )是x sin x 2的原函数. A .21cos x 2B .2cos x 2C .-2cos x 2D .-21cos x 22. 下列等式成立的是( C ). A .)d(cos d sin x xx =B .)1d(d ln x x x =C .)d(22ln 1d 2x xx =D .x x xd d 1= 3. 下列不定积分中,常用分部积分法计算的是( C ). A .⎰+x x c 1)d os(2,B .⎰-x x x d 12C .⎰x x x d 2sinD .⎰+x x xd 124. 下列定积分计算正确的是(D ). A .2d 211=⎰-x x B .15d 161=⎰-xC .0)d (32=+⎰-x x x ππD .0d sin =⎰-x x ππ5. 下列无穷积分中收敛的是( B ). A .⎰∞+1d 1x x B .⎰∞+12d 1x xC .⎰∞+0d e x xD .⎰∞+1d sin x x (三)解答题1.计算下列不定积分(1)⎰x x x d e 3原式=⎰dx e x )3( =c e c ee x x x+-=+)13(ln 33ln )3( (2)⎰+x xx d )1(2答案:原式=⎰++-dx x x x)2(2321=c x x x +++25232152342(3)⎰+-x x x d 242答案:原式=⎰+-=-c x x dx x 221)2(2 (4)⎰-x xd 211答案:原式=c x x x d +--=---⎰21ln 2121)21(21 (5)⎰+x x x d 22答案:原式=⎰++)2(22122x d x =c x ++232)2(31(6)⎰x xx d sin 答案:原式=⎰+-=c x x d x cos 2sin2(7)⎰x xx d 2sin答案:∵(+) x 2sinx (-) 1 cos2- (+) 0 sin4x - ∴原式=c x x x ++-2sin 42cos2 (8)⎰+x x 1)d ln(答案:∵ (+) )1ln(+x 1(-) 11+-x x∴ 原式=⎰+-+dx x xx x 1)1ln(=⎰+--+dx x x x )111()1ln( =c x x x x +++-+)1ln()1ln( 2.计算下列定积分 (1)x x d 121⎰--答案:原式=⎰⎰-+--2111)1()1(dx x dx x =29252)21(2212=+=-+x x (2)x xxd e2121⎰答案:原式=⎰-212211)(xd x xe x=21211e e e x -=-(3)x xx d ln 113e 1⎰+答案:原式=⎰++31)ln 1(ln 1e x d xx x=21ln 123=+e x(4)x x x d 2cos 20⎰π答案:∵ (+)x(+)0 2cos 1-∴ 原式=20)2cos 412sin 21(πx x x +=214141-=--(5)x x x d ln e1⎰答案:∵ (+) xln x(-)x 122x∴ 原式=⎰-e e xdx x x 11221ln 21 =)1(414122122+=-e x e e(6)x x x d )e 1(4⎰-+答案:∵原式=⎰-+44dx xe x又∵ (+)xx e -(-)1 -xe - (+)0 xe -∴⎰-----=44)(x x x e xe dx xe =154+--e故:原式=455--e作业三 (一)填空题1.设矩阵⎥⎥⎥⎦⎤⎢⎢⎢⎣⎡---=161223235401A ,则A 的元素__________________23=a .答案:3 2.设B A ,均为3阶矩阵,且3-==B A ,则TAB 2-=________. 答案:72-3.设B A ,均为n 阶矩阵,则等式2222)(B AB A B A +-=-成立的充分必要条件是.答案:BA AB =4. 设B A ,均为n 阶矩阵,)(B I -可逆,则矩阵XBX A =+的解______________=X .答案:A B I1)(--5.设矩阵⎥⎥⎥⎦⎤⎢⎢⎢⎣⎡-=300020001A ,则__________1=-A .答案:⎥⎥⎥⎥⎥⎥⎦⎤⎢⎢⎢⎢⎢⎢⎣⎡-=31000210001A (二)单项选择题1. 以下结论或等式正确的是( C ). A .若B A ,均为零矩阵,则有B A =B .若AC AB =,且O A ≠,则C B =C .对角矩阵是对称矩阵D .若O B O A ≠≠,,则O AB ≠2. 设A 为43⨯矩阵,B 为25⨯矩阵,且乘积矩阵T ACB 有意义,则TC 为( A )矩阵.A .42⨯B .24⨯C .53⨯D .35⨯3. 设B A ,均为n 阶可逆矩阵,则下列等式成立的是( C ). `A .111)(---+=+B A B A ,B .111)(---⋅=⋅B A B AC .BA AB =D .BA AB =4. 下列矩阵可逆的是(A ).A .⎥⎥⎥⎦⎤⎢⎢⎢⎣⎡300320321B .⎥⎥⎥⎦⎤⎢⎢⎢⎣⎡--321101101C .⎥⎦⎤⎢⎣⎡0011D .⎥⎦⎤⎢⎣⎡2211 5. 矩阵⎥⎥⎥⎦⎤⎢⎢⎢⎣⎡=444333222A 的秩是( B ). A .0 B .1 C .2 D .3三、解答题 1.计算(1)⎥⎦⎤⎢⎣⎡⎥⎦⎤⎢⎣⎡-01103512=⎥⎦⎤⎢⎣⎡-5321(2)⎥⎦⎤⎢⎣⎡⎥⎦⎤⎢⎣⎡-00113020⎥⎦⎤⎢⎣⎡=0000 (3)[]⎥⎥⎥⎥⎦⎤⎢⎢⎢⎢⎣⎡--21034521=[]02.计算⎥⎥⎥⎦⎤⎢⎢⎢⎣⎡--⎥⎥⎥⎦⎤⎢⎢⎢⎣⎡--⎥⎥⎥⎦⎤⎢⎢⎢⎣⎡--723016542132341421231221321解 ⎥⎥⎥⎦⎤⎢⎢⎢⎣⎡--⎥⎥⎥⎦⎤⎢⎢⎢⎣⎡--=⎥⎥⎥⎦⎤⎢⎢⎢⎣⎡--⎥⎥⎥⎦⎤⎢⎢⎢⎣⎡--⎥⎥⎥⎦⎤⎢⎢⎢⎣⎡--72301654274001277197723016542132341421231221321=⎥⎥⎥⎦⎤⎢⎢⎢⎣⎡---1423011121553.设矩阵⎥⎥⎥⎦⎤⎢⎢⎢⎣⎡=⎥⎥⎥⎦⎤⎢⎢⎢⎣⎡--=110211321B 110111132,A ,求AB 。
经济数学基础网络核心课程形成性考核学校名称:学生姓名:学生学号:班级:国家开放大学编制使用说明本课程的考核形式为形成性考核和期末考试相结合的方式,其中形成性考核成绩占最终成绩的50%,期末考试成绩占最终成绩的50%. 最终成绩满分为100分,60分为及格,其中期末考试的卷面成绩不能低于35分。
本课程的形成性考核由课程任务和学习活动两部分内容构成,满分为100分,其中课程任务占60分,学习活动占40分。
课程任务共4次,学生可以通过网络课程在线提交完成任务或线下完成形考任务册。
考查内容依次为微分学、积分学、线性代数和综合知识。
每次任务满分为15分,4次任务分数累加。
学习活动共4次,分为问卷答题、问答、讨论交流和提交报告四种形式,在网络课程平台上完成。
每次活动满分10分,4次活动分数累加. 学习活动的评分标准如下:问卷答题:按时提交得3分,答题且正确率不足60%得6分,正确率不低于60%得10分;问答:按时参与得3分,提出或回答与主题相关的问题得6分,给出原创且正确的答案得10分;讨论交流:按时参与得3分,内容与主题相关得6分,内容是原创且正确的得10分;提交报告:按时提交得3分,内容达到100字且与主题相关得6分,内容是原创且正确的得10分。
“经济数学基础”任务1(本次任务覆盖教材微分学内容,请在学完微分学后完成本次任务,要求——周以前完成。
) 本次任务包括:填空题 5 道,每题 2 分,共计 10 分;单项选择题 5 道,每题 2 分,共计 10 分;解答题(第 1 题 30 分;第 2 题 8 分;第 3 题 30 分;第 4 题 6 分;第 5 题 6 分)共计80分。
全卷满分为 100分。
一、填空题(每小题2分,共10分) 1.___________________sin lim=-→xxx x . 2.设 ⎝⎛=≠+=0,0,1)(2x k x x x f 在0=x 处连续,则________=k . 3.曲线1+=x y 在)2,1(的切线方程是 .4.设函数52)1(2++=+x x x f ,则____________)(='x f . 5.设x x x f sin )(=,则__________2π(=''f .二、单项选择题(每小题2分,共10分)1. 当+∞→x 时,下列变量为无穷小量的是( ).A .)1ln(x +B . 12+x xC .21e x - D . xxsin2. 下列极限计算正确的是( ). A.1lim=→xx x B.1lim 0=+→xx xC.11sinlim 0=→x x x D.1sin lim =∞→xx x3. 设y x =lg2,则d y =( ).A .12d x x B .1d x x ln10 C .ln10x x d D .1d xx 4. 若函数f (x )在点x 0处可导,则( )是错误的.A .函数f (x )在点x 0处有定义B .A x f x x =→)(lim 0,但)(0x f A ≠C .函数f (x )在点x 0处连续D .函数f (x )在点x 0处可微 5. 当x xf =)1(,则=')(x f ( ). A .21x B .21x- C .x 1 D .x 1-三、解答题1.计算极限(30分)(1)123lim 221-+-→x x x x (2)8665lim 222+-+-→x x x x x (3)x x x 11lim 0--→ (4)42353lim 22+++-∞→x x x x x(5)xx x 5sin 3sin lim 0→ (6))2sin(4lim 22--→x x x2.(8分)设函数1sin ,0(),0sin ,0x b x x f x a x x x x ⎧+<⎪⎪==⎨⎪⎪>⎩,问:(1)当b a ,为何值时,)(x f 在0=x 处有极限存在? (2)当b a ,为何值时,)(x f 在0=x 处连续.3.计算下列函数的导数或微分:(30分) (1)2222log 2-++=x x y x,求y ' (2)dcx bax y ++=,求y '(3)531-=x y ,求y '(4)x x x y e -=,求y '(5)bx y axsin e=,求y d(6)x x y x+=1e ,求y d (7)2e cos x x y --=,求y d (8)nx x y nsin sin +=,求y ' (9))1ln(2x x y ++=,求y ' (10)xxx y x 212321sin -++=,求y '4.下列各方程中y 是x 的隐函数,试求y '或y d (6分) (1)1322=+-+x xy y x ,求y d (2)x y x xy4e)sin(=++,求y '5.求下列函数的二阶导数:(6分) (1))1ln(2x y +=,求y '' (2)xx y -=1,求y ''及)1(y ''“经济数学基础”任务2(本次任务覆盖教材积分学内容,请在学完积分学后完成本次任务,要求____周以前完成。
) 本次任务包括:填空题 5 道,每题 2 分,共计 10 分;单项选择题 5 道,每题 2 分,共计 10 分;解答题(第 1 题 40 分;第 2 题 40 分)共计80分。
全卷满分为 100分。
一、填空题(每小题2分,共10分) 1. 若c x x x f x++=⎰22d )(,则___________________)(=x f .2.⎰='x x d )sin (________.3. 若c x F x x f +=⎰)(d )(,则⎰=--x f x x d )e (e . 4.___________d )1ln(d d e 12=+⎰x x x. 5. 若t tx P xd 11)(02⎰+=,则__________)(='x P .二、单项选择题(每小题2分,共10分)1. 下列函数中,( )是x sin x 2的原函数. A .21cos 2x B .22cos x C .22cos x - D .21cos 2x - 2. 下列等式成立的是( ).A .)d(cos d sin x x x =B .)1d(d ln xx x =C .)d(22ln 1d 2x xx =D .x x xd d 1= 3. 下列不定积分中,常用分部积分法计算的是( ). A .cos(21)d x x +⎰ B .⎰-x x x d 12C .⎰x x x d 2sin D .⎰+x x xd 124. 下列定积分计算正确的是( ).A .2d 211=⎰-x x B .15d 161=⎰-xC .0d sin 22=⎰-x x ππ D .0d sin =⎰-x x ππ5. 下列无穷积分中收敛的是( ). A .⎰∞+1d 1x x B .⎰∞+12d 1x xC .⎰∞+0d e x xD .⎰∞+1d sin x x三、解答题1.计算下列不定积分(40分)(1)⎰x x xd e3(2)⎰+x xx d )1(2(3)⎰+-x x x d 242 (4)⎰-x x d 211(5)⎰+x x x d 22(6)⎰x xx d sin(7)⎰x x x d 2sin(8)⎰+x x 1)d ln(2.计算下列定积分(40分)(1)x x d 121⎰-- (2)x xx d e 2121⎰ (3)x x x d ln 113e 1⎰+ (4)x x x d 2cos 20⎰π(5)x x x d ln e 1⎰ (6)x x x d )e 1(40⎰-+“经济数学基础”任务3(本次任务覆盖线性代数内容,请在学完线性代数后完成本次任务,要求____周以前完成。
) 本次任务包括:填空题 5 道,每题 2 分,共计 10 分;单项选择题 5 道,每题 2 分,共计 10 分;解答题,共计60分;证明题,共计20分。
全卷满分为 100分。
一、填空题(每小题2分,共10分)1. 设矩阵⎥⎥⎥⎦⎤⎢⎢⎢⎣⎡---=161223235401A ,则A 的元素__________________23=a . 2. 设B A ,均为3阶矩阵,且3-==B A ,则T AB 2-=________.3. 设B A ,均为n 阶矩阵,则等式2222)(B AB A B A +-=-成立的充分必要条件是 .4. 设B A ,均为n 阶矩阵,)(B I -可逆,则矩阵X BX A =+的解______________=X .5. 设矩阵⎥⎥⎥⎦⎤⎢⎢⎢⎣⎡-=300020001A ,则__________1=-A .二、单项选择题(每小题2分,共10分)1. 以下结论或等式正确的是( ).A .若B A ,均为零矩阵,则有B A =B .若AC AB =,且O A ≠,则C B =C .对角矩阵是对称矩阵D .若O B O A ≠≠,,则O AB ≠2. 设A 为43⨯矩阵,B 为25⨯矩阵,且乘积矩阵T ACB 有意义,则TC 为( )矩阵.A .42⨯B .24⨯C .53⨯D .35⨯ 3. 设B A ,均为n 阶可逆矩阵,则下列等式成立的是( ). `A .111)(---+=+B A B A , B .111()AB A B ---=C .BA AB =D .BA AB =4. 下列矩阵可逆的是( ).A .⎥⎥⎥⎦⎤⎢⎢⎢⎣⎡300320321B .⎥⎥⎥⎦⎤⎢⎢⎢⎣⎡--321101101C .⎥⎦⎤⎢⎣⎡0011D .⎥⎦⎤⎢⎣⎡2211 5. 矩阵⎥⎥⎥⎦⎤⎢⎢⎢⎣⎡---=431102111A 的秩是(). A .0 B .1 C .2 D .3三、解答题(60分)1.计算(1)⎥⎦⎤⎢⎣⎡⎥⎦⎤⎢⎣⎡-01103512(2)⎥⎦⎤⎢⎣⎡⎥⎦⎤⎢⎣⎡-00113020(3)[]⎥⎥⎥⎥⎦⎤⎢⎢⎢⎢⎣⎡--210345212.计算⎥⎥⎥⎦⎤⎢⎢⎢⎣⎡--⎥⎥⎥⎦⎤⎢⎢⎢⎣⎡--⎥⎥⎥⎦⎤⎢⎢⎢⎣⎡--7230165421323414212312213213.设矩阵⎥⎥⎥⎦⎤⎢⎢⎢⎣⎡=⎥⎥⎥⎦⎤⎢⎢⎢⎣⎡--=110211321B 110111132,A ,求AB .4.设矩阵⎥⎥⎥⎦⎤⎢⎢⎢⎣⎡=01112421λA ,确定λ的值,使)(A r 最小.5.求矩阵⎥⎥⎥⎥⎦⎤⎢⎢⎢⎢⎣⎡----=32114024713458512352A 的秩.6.求下列矩阵的逆矩阵: (1)⎥⎥⎥⎦⎤⎢⎢⎢⎣⎡---=111103231A (2)设A =⎥⎥⎥⎦⎤⎢⎢⎢⎣⎡----121511311,求1)(-+A I .7.设矩阵⎥⎦⎤⎢⎣⎡=⎥⎦⎤⎢⎣⎡=3221,5321B A ,求解矩阵方程B XA =.四、证明题(20分)1.试证:若21,B B 都与A 可交换,则21B B +,21B B 也与A 可交换.2.试证:对于任意方阵A ,,,T T T A A AA A A +是对称矩阵.3.设B A ,均为n 阶对称矩阵,则AB 对称的充分必要条件是:BA AB =.4.设A 为n 阶对称矩阵,B 为n 阶可逆矩阵,且T B B =-1,证明AB B 1-是对称矩阵“经济数学基础”任务4(本次任务覆盖综合知识内容,请在学完综合知识后完成本次任务,要求____周以前完成。