2017年全国数学竞赛非数学类
- 格式:doc
- 大小:552.50 KB
- 文档页数:13
2017年全国数学竞赛(非数学类)(重庆大学虎溪校区考点)考试时间:2017年10月28日上午9:00—11:30地点:D1336(第一考场) 60人2017年全国数学竞赛(非数学类)(重庆大学虎溪校区考点)考试时间:2017年10月28日上午9:00—11:30地点:D1338(第二考场) 60人2017年全国数学竞赛(非数学类)(重庆大学虎溪校区考点)考试时间:2017年10月28日上午9:00—11:30地点:D1342(第三考场) 50人2017年全国数学竞赛(非数学类)(重庆大学虎溪校区考点)考试时间:2017年10月28日上午9:00—11:30地点:D1343(第四考场) 50人2017年全国数学竞赛(非数学类)(重庆大学虎溪校区考点)考试时间:2017年10月28日上午9:00—11:30地点:D1344(第五考场) 50人2017年全国数学竞赛(非数学类)(重庆大学虎溪校区考点)考试时间:2017年10月28日上午9:00—11:30地点:D1345(第六考场) 50人2017年全国数学竞赛(非数学类)(重庆大学虎溪校区考点)考试时间:2017年10月28日上午9:00—11:30地点:D1346(第七考场) 50人2017年全国数学竞赛(非数学类)(重庆大学虎溪校区考点)考试时间:2017年10月28日上午9:00—11:30地点:D1347(第八考场) 50人2017年全国数学竞赛(非数学类)(重庆大学虎溪校区考点)考试时间:2017年10月28日上午9:00—11:30地点:D1348(第九考场) 50人2017年全国数学竞赛(非数学类)(重庆大学虎溪校区考点)考试时间:2017年10月28日上午9:00—11:30地点:D1349(第十考场) 50人2017年全国数学竞赛(非数学类)(重庆大学虎溪校区考点)考试时间:2017年10月28日上午9:00—11:30地点:D1350(第十一考场) 50人2017年全国数学竞赛(非数学类)(重庆大学虎溪校区考点)考试时间:2017年10月28日上午9:00—11:30地点:D1351(第十二考场) 50人2017年全国数学竞赛(非数学类)(重庆大学虎溪校区考点)考试时间:2017年10月28日上午9:00—11:30地点:D1337(第十三考场) 99人。
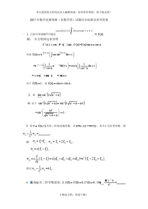
2017年数学竞赛预赛(非数学类)试题评分标准及参考答案一 1. 已知可导函数满足, 则()f x解: 在方程两边求导得'()c o s +()s i n f x x f x x =,'()+()tan sec f x f x x x =.从而tan tan ()sec xdx xdx f x e xe dx c -⎛⎫⎰⎰=+ ⎪⎝⎭⎰l n c o sl n c o s211==cos cos cos x x ee dx c x dx c x x --⎛⎫⎛⎫++ ⎪ ⎪⎝⎭⎝⎭⎰⎰ ()=c o s t a n =s i n c o sx x c x cx ++ 由于(0)1f =,故()sin cos f x x x =+。
2.求()n n n +∞→22sin lim π解 由于 ()=+n n 22sin π()ππn n n -+22sin=2sin 1⎛⎫→。
3. 设(,)w f u v =具有二阶连续偏导数,且==+u x cy v x cy -,,其中c 为非零常数。
则21xx yy w w c-=_________。
解: 12+x w f f =,1112222xx w f f f =++,21()y w c f f =-,()()()22111122122111222=2yy w cf f c cf cf cf cf c f f f y∂=-=--+-+∂。
所以1221=4xx yy w w f c-。
4. 设()f x 有二阶导数连续,且(0)'(0)0,"(0)6f f f ===,则24(s i n )l i m x f xx →=______解:21()(0)'(0)"()2f x f f x f x ξ=++,所以241(sin )"()sin 2f x f x ξ=。
这样244400(sin )"()sin lim=lim 32x x f x f xx x ξ→→=。
附录:中国大学生数学竞赛(非数学专业类)竞赛内容一、函数、极限、连续1.函数的概念及表示法、简单应用问题的函数关系的建立。
2.函数的性质:有界性、单调性、周期性和奇偶性。
3.复合函数、反函数、分段函数和隐函数、基本初等函数的性质及其图形、初等函数。
4.数列极限与函数极限的定义及其性质、函数的左极限与右极限。
5.无穷小和无穷大的概念及其关系、无穷小的性质及无穷小的比较。
6.极限的四则运算、极限存在的单调有界准则和夹逼准则、两个重要极限。
7.函数的连续性(含左连续与右连续)、函数间断点的类型。
8.连续函数的性质和初等函数的连续性。
9.闭区间上连续函数的性质(有界性、最大值和最小值定理、介值定理)。
二、一元函数微分学1. 导数和微分的概念、导数的几何意义和物理意义、函数的可导性与连续性之间的关系、平面曲线的切线和法线。
2. 基本初等函数的导数、导数和微分的四则运算、一阶微分形式的不变性。
3. 复合函数、反函数、隐函数以及参数方程所确定的函数的微分法。
4. 高阶导数的概念、分段函数的二阶导数、某些简单函数的n阶导数。
5. 微分中值定理,包括罗尔定理、拉格朗日中值定理、柯西中值定理和泰勒定理。
6. 洛必达(L’Hospital)法则与求未定式极限。
7. 函数的极值、函数单调性、函数图形的凹凸性、拐点及渐近线(水平、铅直和斜渐近线)、函数图形的描绘。
8. 函数最大值和最小值及其简单应用。
9. 弧微分、曲率、曲率半径。
三、一元函数积分学1. 原函数和不定积分的概念。
2. 不定积分的基本性质、基本积分公式。
3. 定积分的概念和基本性质、定积分中值定理、变上限定积分确定的函数及其导数、牛顿-莱布尼茨(Newton-Leibniz)公式。
4. 不定积分和定积分的换元积分法与分部积分法。
5. 有理函数、三角函数的有理式和简单无理函数的积分。
6. 广义积分。
7. 定积分的应用:平面图形的面积、平面曲线的弧长、旋转体的体积及侧面积、平行截面面积为已知的立体体积、功、引力、压力及函数的平均值。
第十一届全国大学生数学竞赛(非数学类)试题参考解答及评分标准一、填空题(每小题6分)1. sin 014x x →=.解:sin sin 00x x x x x →→→=- sin 1/31/30022(e 1)1sin 1limlim 444422x x x x x x →→-=+-=⎛⎫⎛⎫ ⎪ ⎪⎝⎭⎝⎭. 2. 设隐函数()y y x =由方程22()y x y x -=所确定,则232ln ||dx y y C y x x=-+⎰. 解:令y tx =,则21(1)x t t =-,1(1)y t t =-,3223(1)tdx dt t t -+=-, 这样,223332ln ||2ln ||dx t y ydt t t C C y t x x-+==-+=-+⎰⎰. 3. 定积分220(1sin )1cos x e x dx e xππ+=+⎰.解:222000(1sin )sin 1cos 1cos 1cos x xx e x e xdx dx de xx x πππ+=++++⎰⎰⎰ 2222200sin cos (1cos )+sin 1cos 1cos (1cos )xxxe xe x x x dx e dx x x x πππ+=+-+++⎰⎰2222000sin 1cos 1cos 1cos xxx e xe edx dx e x x x ππππ=+-=+++⎰⎰. 4. 已知22(,)323ydx xdy du x y x xy y -=-+,则1(,)()C 3x u x y y =-+. 解:22(,)323ydx xdy du x y x xy y -=-+21()233()3xd x yx x y y y ==--+().所以,1(,)()C 3x u x y y =-+.5. 设,,,0a b c μ>,曲面xyz μ=与曲面2222221x y z a b c ++=相切,则μ=.解:根据题意有:22x yz a λ=,22y xz b λ=,22zxy c λ=,以及 222x a μλ=,222y b μλ=,222z c μλ=,从而得:32228a b cλμ=,32μλ=,联立解得:μ=二、(14分)计算三重积分22d d d Ω+⎰⎰⎰xyzx y z x y,其中Ω是由曲面2222()2++=x y z xy 围成的区域在第一卦限部分.解:采用“球面坐标”计算,并利用对称性,得ππ3224222sin cos sin cos 2d d sin d sin I ρϕθθϕθϕρϕρρϕ=⎰⎰ -------5分ππ342002sin cos d sin cos d d θθθϕϕϕρρ=⎰⎰ππ3354202sin cos d sin cos d θθθϕϕϕ=⎰⎰ -------10分ππ354201sin 2d sin d(sin )4θθϕϕ=⎰⎰π3201121sin d 4848372t t ==⋅=⎰. -------14分 三、(14分)设()f x 在[0,)+∞上可微,(0)0f =,且存在常数0A >,使得|()||()|f x A f x '≤在[0,)+∞上成立,试证明:在(0,)+∞上有()0f x ≡.证明:设01[0,]2x A ∈,使得01|()|max |()|[0,]2f x f x x A ⎧⎫=∈⎨⎬⎩⎭, -------5分 000011|()||(0)+()||()||()|22f x f f x A f x f x A ξ'=≤=,只有0|()|0f x =. 故当 1[0,]2x A∈时,()0f x ≡. -------12分 递推可得,对所有的1[,]22k kx A A-∈,1,2,k =,均有()0f x ≡. -------14分四、(14分)计算积分2sin (cos sin )0sin I d e d ππθφφφθθ-=⎰⎰解:设球面 Σ:x 2+y 2+z 2=1, 由球面参数方程sin cos x θφ=,sin sin y θφ=,cos z θ=知sin dS d d θθφ=,所以,所求积分可化为第一型曲面积分I =∬e x−ydS Σ-------4分 设平面P t :√2=t,−1≤t ≤1,其中t 为平面P t 被球面截下部分中心到原点距离.用平面P t 分割球面Σ,球面在平面P t ,P t+dt 之间的部分形如圆台外表面状,记为Σt,dt .被积函数在其上为 e x−y =e √2t . -------8分由于Σt,dt 半径为r t =√1−t 2,半径的增长率为 d√1−t 2=√1−t 2 就是 Σt,dt 上下底半径之差. 记圆台外表面斜高为ℎt ,则由微元法知 dt 2+(d √1−t 2)2=ℎt 2, 得到ℎt =√1−t 2 ,所以 Σt,dt 的面积为 dS =2πr t ℎt =2πdt, -------12分I =∫e √2t 1−12πdt =√2√2t |−11=√2π(e √2−e −√2). -------14分 五、(14分)设()f x 是仅有正实根的多项式函数,满足 0()()n n n f x c x f x +∞='=-∑. 试证:0n c >,(0n ≥),极限lim n ()f x 的最小根. 证明:由f (x )为仅有正实根的多项式,不妨设()f x 的全部根为 0<a 1<a 2<⋯<a k ,这样,f (x )=A (x −a 1)r 1⋯(x −a k )r k ,其中 r i 为对应根a i 的重数 (i =1,⋯,k,r k ≥1). -------2分f ′(x )=Ar 1(x −a 1)r 1−1⋯(x −a k )r k +⋯+Ar k (x −a 1)r 1⋯(x −a k )r k −1,所以,f ′(x )=f (x )(r 1x−a 1+⋯+rkx−a k),从而, −f ′(x)f(x)=r 1a 1∙11−xa 1+⋯+r k a k∙11−x a k.-------6分若|x |<a 1, 则 −f ′(x)f(x)=r 1a 1∙∑(xa1)n∞n=0+⋯+r k a k∙∑(xak)n∞n=0=∑(r 1a 1n+1+⋯+r k a kn+1)∞n=0x n .而 −f ′(x)f(x)=∑c n x n∞n=0,由幂级数的唯一性知c n =r 1a 1n+1+⋯+r kak n+1>0, ------9分c ncn+1=r 1a 1n+1+⋯+r k a kn+1r 1a 1n+2+⋯+r k a kn+2=a 1∙r 1+⋯+(a1a k)n+1r kr 1+⋯+(a 1a k)n+2r k.limn→∞c nc =a 1∙r 1+0+⋯+0r +0+⋯+0=a 1>0, limn→∞c n+1c =1a , -----12分limn→∞1n ∙(ln c2c1+⋯+ln c n+1c n)=ln 1a 1,√c n n=elnc nn=elnc 1n +1n (ln c 2c 1+⋯+ln cn+1c n)→eln1a 1=1a 1.从而,lim√c nn=a 1,即f (x )的最小正根. -----14分六、(14分)设函数()f x 在[0, )+∞上具有连续导数,满足22223[3()]()2[1()]-'+=+x f x f x f x e ,且(0)1≤f .证明:存在常数0>M ,使得[0,)∈+∞x 时,恒有()≤f x M .证明:由于()0'>f x ,所以()f x 是[0, )+∞上的严格增函数,故+lim ()→∞=x f x L (有限或为+∞). 下面证明 ≠+∞L . -----2分记()=y f x ,将所给等式分离变量并积分得 222232d d (1)3-+=+⎰⎰x y y e x y ,即 2222arctan d 13-+=++⎰x t y y e t C y , ------6分 其中2(0)2arctan (0)1(0)=++f C f f . ------8分若=+∞L ,则对上式取极限→+∞x ,并利用2d 2+∞-=⎰t e t ,得π3=-C .-----10分 另一方面,令2()2arctan 1=++ug u u u ,则2223()>0(1)+'=+u g u u ,所以函数()g u 在(, )-∞+∞上严格单调增加. 因此,当(0)1≤f 时,1π((0))(1)2+=≤=C g f g , 但2π1π22+>>C ,矛盾, 这就证明了+lim ()→∞=x f x L 为有限数.最后,取max{(0),}=M f L ,则|()|≤f x M ,[0,)∀∈+∞x . -----14分。
2009年 第一届全国大学生数学竞赛预赛试卷一、填空题(每小题5分,共20分)1.计算=--++⎰⎰y x yx x yy x Dd d 1)1ln()(____________,其中区域D 由直线1=+y x 与两坐标轴所围成三角形区域.2.设)(x f 是连续函数,且满足⎰--=2022d )(3)(x x f x x f , 则=)(x f ____________.3.曲面2222-+=y x z 平行平面022=-+z y x 的切平面方程是__________. 4.设函数)(x y y =由方程29ln )(y y f e xe =确定,其中f 具有二阶导数,且1≠'f ,则=22d d x y________________. 二、(5分)求极限xenx x x x ne e e )(lim 20+++→ ,其中n 是给定的正整数.三、(15分)设函数)(x f 连续,⎰=10d )()(t xt f x g ,且A xx f x =→)(lim,A 为常数,求)(x g '并讨论)(x g '在0=x 处的连续性.四、(15分)已知平面区域}0,0|),{(ππ≤≤≤≤=y x y x D ,L 为D 的正向边界,试证:(1)⎰⎰-=---Lx y Lx yx ye y xe x ye y xed d d d sin sin sin sin ;(2)2sin sin 25d d π⎰≥--Ly yx ye y xe .五、(10分)已知xx e xe y 21+=,x x e xe y -+=2,xx x e e xe y --+=23是某二阶常系数线性非齐次微分方程的三个解,试求此微分方程.六、(10分)设抛物线c bx ax y ln 22++=过原点.当10≤≤x 时,0≥y ,又已知该抛物线与x 轴及直线1=x 所围图形的面积为31.试确定c b a ,,,使此图形绕x 轴旋转一周而成的旋转体的体积最小.七、(15分)已知)(x u n 满足),2,1()()(1 =+='-n e x x u x u x n n n, 且neu n =)1(, 求函数项级数∑∞=1)(n nx u之和.八、(10分)求-→1x 时, 与∑∞=02n n x等价的无穷大量.2010年 第二届全国大学生数学竞赛预赛试卷一、(25分,每小题5分) (1)设22(1)(1)(1),nn x a a a =+++其中||1,a <求lim .n n x →∞(2)求21lim 1x x x e x -→∞⎛⎫+ ⎪⎝⎭。
(二)中国大学生数学竞赛(非数学专业类)竞赛内容为大学本科理工科专业高等数学课程的教学内容,具体内容如下:一、函数、极限、连续1.函数的概念及表示法、简单应用问题的函数关系的建立.2.函数的性质:有界性、单调性、周期性和奇偶性.3.复合函数、反函数、分段函数和隐函数、基本初等函数的性质及其图形、初等函数.4.数列极限与函数极限的定义及其性质、函数的左极限与右极限.5.无穷小和无穷大的概念及其关系、无穷小的性质及无穷小的比较.6.极限的四则运算、极限存在的单调有界准则和夹逼准则、两个重要极限.7.函数的连续性(含左连续与右连续)、函数间断点的类型.8.连续函数的性质和初等函数的连续性.9. 闭区间上连续函数的性质(有界性、最大值和最小值定理、介值定理).二、一元函数微分学1. 导数和微分的概念、导数的几何意义和物理意义、函数的可导性与连续性之间的关系、平面曲线的切线和法线.2. 基本初等函数的导数、导数和微分的四则运算、一阶微分形式的不变性.3. 复合函数、反函数、隐函数以及参数方程所确定的函数的微分法.4. 高阶导数的概念、分段函数的二阶导数、某些简单函数的n 阶导数.5. 微分中值定理,包括罗尔定理、拉格朗日中值定理、柯西中值定理和泰勒定理.6. 洛必达(L ’Hospital )法则与求未定式极限.7. 函数的极值、函数单调性、函数图形的凹凸性、拐点及渐近线(水平、铅直和斜渐近线)、函数图形的描绘.8. 函数最大值和最小值及其简单应用.9. 弧微分、曲率、曲率半径.三、一元函数积分学1. 原函数和不定积分的概念.2. 不定积分的基本性质、基本积分公式.3. 定积分的概念和基本性质、定积分中值定理、变上限定积分确定的函数及其导数、牛顿-莱布尼茨(Newton-Leibniz )公式.4. 不定积分和定积分的换元积分法与分部积分法.5. 有理函数、三角函数的有理式和简单无理函数的积分.6. 广义积分.7. 定积分的应用:平面图形的面积、平面曲线的弧长、旋转体的体积及侧面积、平行截面面积为已知的立体体积、功、引力、压力及函数的平均值.四.常微分方程1. 常微分方程的基本概念:微分方程及其解、阶、通解、初始条件和特解等.2. 变量可分离的微分方程、齐次微分方程、一阶线性微分方程、伯努利(Bernoulli )方程、全微分方程.3. 可用简单的变量代换求解的某些微分方程、可降阶的高阶微分方程:),()n (x f y =),,(y x f y '='' ),(y y f y '=''.4. 线性微分方程解的性质及解的结构定理.5. 二阶常系数齐次线性微分方程、高于二阶的某些常系数齐次线性微分方程.6. 简单的二阶常系数非齐次线性微分方程:自由项为多项式、指数函数、正弦函数、余弦函数,以及它们的和与积7.欧拉(Euler)方程.8.微分方程的简单应用五、向量代数和空间解析几何1.向量的概念、向量的线性运算、向量的数量积和向量积、向量的混合积.2.两向量垂直、平行的条件、两向量的夹角.3.向量的坐标表达式及其运算、单位向量、方向数与方向余弦.4.曲面方程和空间曲线方程的概念、平面方程、直线方程.5.平面与平面、平面与直线、直线与直线的夹角以及平行、垂直的条件、点到平面和点到直线的距离.6.球面、母线平行于坐标轴的柱面、旋转轴为坐标轴的旋转曲面的方程、常用的二次曲面方程及其图形.7.空间曲线的参数方程和一般方程、空间曲线在坐标面上的投影曲线方程.六、多元函数微分学1.多元函数的概念、二元函数的几何意义.2.二元函数的极限和连续的概念、有界闭区域上多元连续函数的性质.3.多元函数偏导数和全微分、全微分存在的必要条件和充分条件.4.多元复合函数、隐函数的求导法.5.二阶偏导数、方向导数和梯度.6.空间曲线的切线和法平面、曲面的切平面和法线.7.二元函数的二阶泰勒公式.8.多元函数极值和条件极值、拉格朗日乘数法、多元函数的最大值、最小值及其简单应用.七、多元函数积分学1.二重积分和三重积分的概念及性质、二重积分的计算(直角坐标、极坐标)、三重积分的计算(直角坐标、柱面坐标、球面坐标).2.两类曲线积分的概念、性质及计算、两类曲线积分的关系.3.格林(Green)公式、平面曲线积分与路径无关的条件、已知二元函数全微分求原函数.4.两类曲面积分的概念、性质及计算、两类曲面积分的关系.5.高斯(Gauss)公式、斯托克斯(Stokes)公式、散度和旋度的概念及计算.6.重积分、曲线积分和曲面积分的应用(平面图形的面积、立体图形的体积、曲面面积、弧长、质量、质心、转动惯量、引力、功及流量等)八、无穷级数1.常数项级数的收敛与发散、收敛级数的和、级数的基本性质与收敛的必要条件.2.几何级数与p级数及其收敛性、正项级数收敛性的判别法、交错级数与莱布尼茨(Leibniz)判别法.3.任意项级数的绝对收敛与条件收敛.4.函数项级数的收敛域与和函数的概念.5.幂级数及其收敛半径、收敛区间(指开区间)、收敛域与和函数.6.幂级数在其收敛区间内的基本性质(和函数的连续性、逐项求导和逐项积分)、简单幂级数的和函数的求法.7.初等函数的幂级数展开式.8.函数的傅里叶(Fourier)系数与傅里叶级数、狄利克雷(Dirichlei)定理、函数在[-l,l]上的傅里叶级数、函数在[0,l]上的正弦级数和余弦级数。
2017年全国数学竞赛(非数学类)
(重庆大学A区考点)
考试时间:2017年10月28日上午9:00—11:30
地点:B二415(第一考场) 60人
2017年全国数学竞赛(非数学类)
(重庆大学A区考点)
考试时间:2017年10月28日上午9:00—11:30
地点:B二416(第二考场) 90人
2017年全国数学竞赛(非数学类)
(重庆大学A区考点)
考试时间:2017年10月28日上午9:00—11:30
地点:B二417 (第三考场) 60人
2017年全国数学竞赛(非数学类)
(重庆大学A区考点)
考试时间:2017年10月28日上午9:00—11:30
地点:B二404(第四考场) 50人
2017年全国数学竞赛(非数学类)
(重庆大学A区考点)
考试时间:2017年10月28日上午9:00—11:30
地点:B二409(第五考场) 60人
2017年全国数学竞赛(非数学类)
(重庆大学A区考点)
考试时间:2017年10月28日上午9:00—11:30
地点:B二413(第六考场) 47人。
中国大学生数学竞赛竞赛大纲(初稿)为了进一步推动高等学校数学课程的改革和建设,提高大学数学课程的教学水平,激励大学生学习数学的兴趣,发现和选拔数学创新人才,更好地实现“中国大学生数学竞赛”的目标,特制订本大纲。
一、竞赛的性质和参赛对象“中国大学生数学竞赛”的目的是:激励大学生学习数学的兴趣,进一步推动高等学校数学课程的改革和建设,提高大学数学课程的教学水平,发现和选拔数学创新人才。
“中国大学生数学竞赛”的参赛对象为大学本科二年级及二年级以上的在校大学生。
二、竞赛的内容“中国大学生数学竞赛”分为数学专业类竞赛题和非数学专业类竞赛题。
(二)中国大学生数学竞赛(非数学专业类)竞赛内容为大学本科理工科专业高等数学课程的教学内容,具体内容如下:一、函数、极限、连续1.函数的概念及表示法、简单应用问题的函数关系的建立.2.函数的性质:有界性、单调性、周期性和奇偶性.3.复合函数、反函数、分段函数和隐函数、基本初等函数的性质及其图形、初等函数.4.数列极限与函数极限的定义及其性质、函数的左极限与右极限.5.无穷小和无穷大的概念及其关系、无穷小的性质及无穷小的比较.6.极限的四则运算、极限存在的单调有界准则和夹逼准则、两个重要极限.7.函数的连续性(含左连续与右连续)、函数间断点的类型.8.连续函数的性质和初等函数的连续性.9.闭区间上连续函数的性质(有界性、最大值和最小值定理、介值定理).二、一元函数微分学1. 导数和微分的概念、导数的几何意义和物理意义、函数的可导性与连续性之间的关系、平面曲线的切线和法线.2. 基本初等函数的导数、导数和微分的四则运算、一阶微分形式的不变性.3. 复合函数、反函数、隐函数以及参数方程所确定的函数的微分法.4. 高阶导数的概念、分段函数的二阶导数、某些简单函数的n阶导数.5. 微分中值定理,包括罗尔定理、拉格朗日中值定理、柯西中值定理和泰勒定理.6. 洛必达(L’Hospital)法则与求未定式极限.7. 函数的极值、函数单调性、函数图形的凹凸性、拐点及渐近线(水平、铅直和斜渐近线)、函数图形的描绘.8. 函数最大值和最小值及其简单应用.9. 弧微分、曲率、曲率半径.三、一元函数积分学1.原函数和不定积分的概念.2. 不定积分的基本性质、基本积分公式.3. 定积分的概念和基本性质、定积分中值定理、变上限定积分确定的函数及其导数、牛顿-莱布尼茨(Newton-Leibniz )公式.4. 不定积分和定积分的换元积分法与分部积分法.5. 有理函数、三角函数的有理式和简单无理函数的积分.6. 广义积分.7. 定积分的应用:平面图形的面积、平面曲线的弧长、旋转体的体积及侧面积、平行截面面积为已知的立体体积、功、引力、压力及函数的平均值.四.常微分方程1. 常微分方程的基本概念:微分方程及其解、阶、通解、初始条件和特解等.2. 变量可分离的微分方程、齐次微分方程、一阶线性微分方程、伯努利(Bernoulli )方程、全微分方程.3. 可用简单的变量代换求解的某些微分方程、可降阶的高阶微分方程:),()n (x f y =),,(y x f y '='' ),(y y f y '=''.4. 线性微分方程解的性质及解的结构定理.5. 二阶常系数齐次线性微分方程、高于二阶的某些常系数齐次线性微分方程.6. 简单的二阶常系数非齐次线性微分方程:自由项为多项式、指数函数、正弦函数、余弦函数,以及它们的和与积7. 欧拉(Euler )方程.8. 微分方程的简单应用五、向量代数和空间解析几何1. 向量的概念、向量的线性运算、向量的数量积和向量积、向量的混合积.2. 两向量垂直、平行的条件、两向量的夹角.3. 向量的坐标表达式及其运算、单位向量、方向数与方向余弦.4. 曲面方程和空间曲线方程的概念、平面方程、直线方程.5. 平面与平面、平面与直线、直线与直线的夹角以及平行、垂直的条件、点到平面和点到直线的距离.6. 球面、母线平行于坐标轴的柱面、旋转轴为坐标轴的旋转曲面的方程、常用的二次曲面方程及其图形.7. 空间曲线的参数方程和一般方程、空间曲线在坐标面上的投影曲线方程.六、多元函数微分学1. 多元函数的概念、二元函数的几何意义.2. 二元函数的极限和连续的概念、有界闭区域上多元连续函数的性质.3. 多元函数偏导数和全微分、全微分存在的必要条件和充分条件.4. 多元复合函数、隐函数的求导法.5. 二阶偏导数、方向导数和梯度.6. 空间曲线的切线和法平面、曲面的切平面和法线.7. 二元函数的二阶泰勒公式.8. 多元函数极值和条件极值、拉格朗日乘数法、多元函数的最大值、最小值及其简单应用.七、多元函数积分学1.二重积分和三重积分的概念及性质、二重积分的计算(直角坐标、极坐标)、三重积分的计算(直角坐标、柱面坐标、球面坐标).2.两类曲线积分的概念、性质及计算、两类曲线积分的关系.3.格林(Green)公式、平面曲线积分与路径无关的条件、已知二元函数全微分求原函数.4.两类曲面积分的概念、性质及计算、两类曲面积分的关系.5.高斯(Gauss)公式、斯托克斯(Stokes)公式、散度和旋度的概念及计算.6.重积分、曲线积分和曲面积分的应用(平面图形的面积、立体图形的体积、曲面面积、弧长、质量、质心、转动惯量、引力、功及流量等)八、无穷级数1.常数项级数的收敛与发散、收敛级数的和、级数的基本性质与收敛的必要条件.2.几何级数与p级数及其收敛性、正项级数收敛性的判别法、交错级数与莱布尼茨(Leibniz)判别法.3.任意项级数的绝对收敛与条件收敛.4.函数项级数的收敛域与和函数的概念.5.幂级数及其收敛半径、收敛区间(指开区间)、收敛域与和函数.6.幂级数在其收敛区间内的基本性质(和函数的连续性、逐项求导和逐项积分)、简单幂级数的和函数的求法.7.初等函数的幂级数展开式.8.函数的傅里叶(Fourier)系数与傅里叶级数、狄利克雷(Dirichlei)定理、函数在[-l,l]上的傅里叶级数、函数在[0,l]上的正弦级数和余弦级数。
全国大学生数学竞赛非数学类大纲全国大学生数学竞赛是一项面向大学生的重要学科竞赛,对于提高学生的数学素养和创新能力具有重要意义。
其中,非数学类竞赛大纲涵盖了多个重要的数学领域和知识点,为参赛学生提供了明确的学习和准备方向。
一、函数、极限、连续函数是数学中的基本概念,参赛学生需要熟练掌握函数的性质,如单调性、奇偶性、周期性等。
对于常见的基本初等函数,如幂函数、指数函数、对数函数、三角函数等,要清楚其定义域、值域、图像和基本性质。
极限是微积分的基础,学生要理解极限的定义和性质,掌握计算极限的方法,如利用四则运算、等价无穷小替换、洛必达法则等。
连续的概念与极限密切相关,要掌握函数在一点连续的定义和判断方法,以及闭区间上连续函数的性质,如最值定理、介值定理等。
二、一元函数微积分学导数和微分是微积分的核心概念之一。
学生需要理解导数的定义、几何意义和物理意义,熟练掌握求导法则,包括基本初等函数的求导公式、四则运算求导法则、复合函数求导法则等。
能利用导数研究函数的单调性、极值、凹凸性等。
不定积分和定积分是微积分的重要内容。
要掌握不定积分的基本公式和积分方法,如换元积分法、分部积分法等。
理解定积分的定义和性质,掌握牛顿莱布尼茨公式,能利用定积分计算平面图形的面积、旋转体的体积等。
三、向量代数和空间解析几何在向量代数部分,要掌握向量的运算,如向量的加法、减法、数量积、向量积等,以及向量的坐标表示和向量之间的关系。
空间解析几何中,要了解空间直角坐标系,掌握平面和直线的方程,包括点法式方程、一般式方程、参数式方程等。
能计算点到平面、点到直线的距离,以及两直线、两平面之间的夹角。
四、多元函数微积分学多元函数的概念和性质是重点之一。
要理解多元函数的偏导数、全微分的定义和性质,掌握求偏导数和全微分的方法。
多元函数的极值和条件极值也是常考内容。
能够利用拉格朗日乘数法求解条件极值问题。
重积分包括二重积分和三重积分,要掌握其计算方法,能将重积分应用于计算空间立体的体积、质量等实际问题。
全国大学生数学竞赛大纲(非数学专业类)为了进一步推动高等学校数学课程的改革和建设,提高大学数学课程的教学水平,激励大学生学习数学的兴趣,发现和选拔数学创新人才,更好地实现“中国大学生数学竞赛”的目标,特制订本大纲。
一、竞赛的性质和参赛对象“中国大学生数学竞赛”的目的是:激励大学生学习数学的兴趣,进一步推动高等学校数学课程的改革和建设,提高大学数学课程的教学水平,发现和选拔数学创新人才。
“中国大学生数学竞赛”的参赛对象为大学本科二年级及二年级以上的在校大学生。
二、竞赛的内容中国大学生数学竞赛(非数学专业类)竞赛内容为大学本科理工科专业高等数学课程的教学内容,具体内容如下:一、函数、极限、连续1.函数的概念及表示法、简单应用问题的函数关系的建立.2.函数的性质:有界性、单调性、周期性和奇偶性.3.复合函数、反函数、分段函数和隐函数、基本初等函数的性质及其图形、初等函数.4.数列极限与函数极限的定义及其性质、函数的左极限与右极限.5.无穷小和无穷大的概念及其关系、无穷小的性质及无穷小的比较.6.极限的四则运算、极限存在的单调有界准则和夹逼准则、两个重要极限.7.函数的连续性(含左连续与右连续)、函数间断点的类型.8.连续函数的性质和初等函数的连续性.9.闭区间上连续函数的性质(有界性、最大值和最小值定理、介值定理).二、一元函数微分学1. 导数和微分的概念、导数的几何意义和物理意义、函数的可导性与连续性之间的关系、平面曲线的切线和法线.2. 基本初等函数的导数、导数和微分的四则运算、一阶微分形式的不变性.3. 复合函数、反函数、隐函数以及参数方程所确定的函数的微分法.4. 高阶导数的概念、分段函数的二阶导数、某些简单函数的n阶导数.5. 微分中值定理,包括罗尔定理、拉格朗日中值定理、柯西中值定理和泰勒定理.6. 洛必达(L’Hospital)法则与求未定式极限.7. 函数的极值、函数单调性、函数图形的凹凸性、拐点及渐近线(水平、铅直和斜渐近线)、函数图形的描绘.8. 函数最大值和最小值及其简单应用.9. 弧微分、曲率、曲率半径.三、一元函数积分学1. 原函数和不定积分的概念.2. 不定积分的基本性质、基本积分公式.3. 定积分的概念和基本性质、定积分中值定理、变上限定积分确定的函数及其导数、牛顿-莱布尼茨(Newton-Leibniz)公式.4. 不定积分和定积分的换元积分法与分部积分法.5. 有理函数、三角函数的有理式和简单无理函数的积分.6. 广义积分.7. 定积分的应用:平面图形的面积、平面曲线的弧长、旋转体的体积及侧面积、平行截面面积为已知的立体体积、功、引力、压力及函数的平均值.四.常微分方程1. 常微分方程的基本概念:微分方程及其解、阶、通解、初始条件和特解等.2. 变量可分离的微分方程、齐次微分方程、一阶线性微分方程、伯努利(Bernoulli)方程、全微分方程.3. 可用简单的变量代换求解的某些微分方程、可降阶的高阶微分方程:.4. 线性微分方程解的性质及解的结构定理.5. 二阶常系数齐次线性微分方程、高于二阶的某些常系数齐次线性微分方程.6. 简单的二阶常系数非齐次线性微分方程:自由项为多项式、指数函数、正弦函数、余弦函数,以及它们的和与积7. 欧拉(Euler)方程.8. 微分方程的简单应用五、向量代数和空间解析几何1. 向量的概念、向量的线性运算、向量的数量积和向量积、向量的混合积.2. 两向量垂直、平行的条件、两向量的夹角.3. 向量的坐标表达式及其运算、单位向量、方向数与方向余弦.4. 曲面方程和空间曲线方程的概念、平面方程、直线方程.5. 平面与平面、平面与直线、直线与直线的夹角以及平行、垂直的条件、点到平面和点到直线的距离.6. 球面、母线平行于坐标轴的柱面、旋转轴为坐标轴的旋转曲面的方程、常用的二次曲面方程及其图形.7. 空间曲线的参数方程和一般方程、空间曲线在坐标面上的投影曲线方程.六、多元函数微分学1. 多元函数的概念、二元函数的几何意义.2. 二元函数的极限和连续的概念、有界闭区域上多元连续函数的性质.3. 多元函数偏导数和全微分、全微分存在的必要条件和充分条件.4. 多元复合函数、隐函数的求导法.5. 二阶偏导数、方向导数和梯度.6. 空间曲线的切线和法平面、曲面的切平面和法线.7. 二元函数的二阶泰勒公式.8. 多元函数极值和条件极值、拉格朗日乘数法、多元函数的最大值、最小值及其简单应用.七、多元函数积分学1. 二重积分和三重积分的概念及性质、二重积分的计算(直角坐标、极坐标)、三重积分的计算(直角坐标、柱面坐标、球面坐标).2. 两类曲线积分的概念、性质及计算、两类曲线积分的关系.3. 格林(Green)公式、平面曲线积分与路径无关的条件、已知二元函数全微分求原函数.4. 两类曲面积分的概念、性质及计算、两类曲面积分的关系.5. 高斯(Gauss)公式、斯托克斯(Stokes)公式、散度和旋度的概念及计算.6. 重积分、曲线积分和曲面积分的应用(平面图形的面积、立体图形的体积、曲面面积、弧长、质量、质心、转动惯量、引力、功及流量等)八、无穷级数1. 常数项级数的收敛与发散、收敛级数的和、级数的基本性质与收敛的必要条件.2. 几何级数与p级数及其收敛性、正项级数收敛性的判别法、交错级数与莱布尼茨(Leibniz)判别法.3. 任意项级数的绝对收敛与条件收敛.4. 函数项级数的收敛域与和函数的概念.5. 幂级数及其收敛半径、收敛区间(指开区间)、收敛域与和函数.6. 幂级数在其收敛区间内的基本性质(和函数的连续性、逐项求导和逐项积分)、简单幂级数的和函数的求法.7. 初等函数的幂级数展开式.8. 函数的傅里叶(Fourier)系数与傅里叶级数、狄利克雷(Dirichlei)定理、函数在[-l,l]上的傅里叶级数、函数在[0,l]上的正弦级数和余弦级数。
2017年全国数学竞赛(非数学类)
(重庆大学A区考点)
考试时间:2017年10月28日上午9:00—11:30
地点:B二415(第一考场) 60人
2017年全国数学竞赛(非数学类)
(重庆大学A区考点)
考试时间:2017年10月28日上午9:00—11:30
地点:B二416(第二考场) 90人
2017年全国数学竞赛(非数学类)
(重庆大学A区考点)
考试时间:2017年10月28日上午9:00—11:30
地点:B二417 (第三考场) 60人
2017年全国数学竞赛(非数学类)
(重庆大学A区考点)
考试时间:2017年10月28日上午9:00—11:30
地点:B二404(第四考场) 50人
2017年全国数学竞赛(非数学类)
(重庆大学A区考点)
考试时间:2017年10月28日上午9:00—11:30
地点:B二409(第五考场) 60人
2017年全国数学竞赛(非数学类)
(重庆大学A区考点)
考试时间:2017年10月28日上午9:00—11:30
地点:B二413(第六考场) 47人。