人教版七年级数学上册2.2去括号同步练习题
- 格式:doc
- 大小:94.19 KB
- 文档页数:3
2.2.2去括号合并同类项一.选择题1.化简-16(x-0.5)的结果是()A.-16x-0.5 B.-16x+0.5 C.16x-8 D.-16x+82.学习了去括号后,李欣、曹敏、李犇和朱晓洋同学在,去括号:-(-a+b-1)时分别得到下面的,其中正确的是()A.-a+b-1 B.a+b+1 C.a-b+1 D.-a+b+13.下列各题去括号所得结果正确的是()A.x2-(x-y+2z)=x2-x+y+2z B.x-[-y+(-3x+1)]=x+y+3x-1C.3x-[5x-(x-1)]=3x-5x-x+1 D.(x-1)-(x2-2)=x-1-x2-24.下列等式成立的是()A.-(3m-1)=-3m-1 B.3x-(2x-1)=3x-2x+1C.5(a-b)=5a-b D.7-(x+4y)=7-x+4y5.已知a-b=-3,c+d=2,则(b+c)-(a-d)的值为()A.1 B.5 C.-5 D.-16.若(a+1)2+|b-2|=0,化简a(x2y+xy2)-b(x2y-xy2)的结果为()A.3x2y B.-3x2y+xy2.-3x2y+3xy2D.3x2y-xy2二.填空题7.去括号:-x+2(y-2)= .8.在等式的括号内填上恰当的项,x2-y2+8y-4=x2-().9.去括号,合并同类项得:3b-2c-[-4a+(c+3b)]+c= .10.若a=200,b=20,c=2,则(a+b+c)+(a-b+c)+(b-a+c)= .三.解答题11.先去括号,再合并同类项(1)2(2b-3a)+3(2a-3b)(2)4a2+2(3ab-2a2)-(7ab-1)12.先化简,再求值: (1)2x 3+4x −13 x 2−(x −3x 2+2x 3),其中x=-3. (2)(6a 2+4ab )−2(3a 2+ab −12 b 2),其中a=2,b=1.答案:1.D 2.C3.B 4.B 解析:根据去括号法则对四个选项逐一进行分析,要注意括号前面的符号,以选用合适的法则.5.B 解析:因为(b+c )-(a-d )=b+c-a+d=(b-a )+(c+d )=-(a-b )+(c+d )…(1), 所以把a-b=-3、c+d=2代入(1),得:原式=-(-3)+2=5.6.B 解析:∵(a+1)2+|b-2|=0,∴a+1=0,b-2=0,即a=-1,b=2,则原式=-(x 2y+xy 2)-2(x 2y-xy 2)=-x 2y-xy 2-2x 2y+2xy 2=-3x 2y+xy 2.7.-x+2y-4 8.y 2-8y+49.4a-2c 解析:原式=3b -2c+4a-(c+3b )+c=3b-2c+4a-c-3b+c=4a-2c .10.226解析:原式=a+b+c+a-b+c +b-a+c=a+b+3c ,当a=200,b=20,c=2时,原式=200+20+6=226.11.解:(1)2(2b-3a )+3(2a-3b )=4b-6a+6a-9b=-5b ;(2)4a 2+2(3ab-2a 2)-(7ab-1)=4a 2+6ab-4a 2-7ab+1=-ab+1.12.解:(1)原式=2x 3+4x-13 x 2-x+3x 2-2x 3=83x 2+3x , 把x=-3代入上式得:原式=83×(-3)2+3×(-3)=24-9=15; (2)原式=6a 2+4ab-6a 2-2ab+b 2=2ab+b 2,把a=2,b=1代入上式得:原式=2×2×1+1=5.。
七年级上册第二章2.2第2课时《去括号》同步训练一、选择题1.下列计算正确的是( )A .a +(﹣b +c ﹣3d )=a ﹣b +c ﹣3dB .a ﹣(﹣2b +c ﹣d )=a +2b ﹣c ﹣dC .a ﹣2(﹣2b +4c ﹣3d )=a +4b +8c ﹣6dD .a ﹣2(﹣3b +c ﹣7d )=a +6b ﹣c +7d2.下列去括号的过程(1)a +(b ﹣c )=a +b ﹣c ;(2)a ﹣(b +c )=a ﹣b ﹣c ;(3)a ﹣(b ﹣c )=a ﹣b ﹣c ;(4)a ﹣(b ﹣c )=a ﹣b +c .其中,运算结果正确的个数为( )A .1B .2C .3D .43.减去-2x 等于2341x x -++的多项式是( )A .2321x x -++B .2321x x --C .231x -+D .231x +4.长方形的一边长等于3m+2n,其邻边长比它长m-n,则这个长方形的周长是( )A .14m+6nB .7m+3nC .4m+nD .8m+2n5.下列去括号正确的是( )A .x ﹣(5y ﹣3x )=x ﹣5y ﹣3xB .5x ﹣[2y ﹣(x ﹣z )]=5x ﹣2y +x ﹣zC .2x +(﹣3y +7)=2x ﹣3y ﹣7D .a ﹣3(b ﹣c +d )=a ﹣3b ﹣3c ﹣3d6.下列去括号运算正确的是( )A .﹣(3x ﹣2y +1)=3x ﹣2y +1B .(2x ﹣3y )﹣(5z ﹣1)=2x ﹣3y +5z ﹣1C .﹣(3a +2b )﹣(c +d )=﹣3a ﹣2b ﹣c ﹣dD .﹣(a ﹣2b )﹣(2c ﹣d )=﹣a +2b ﹣2c ﹣d7.已知a +2b =5,则代数式3(2a ﹣3b )﹣4(a ﹣3b +1)+b 的值为( )A .14B .10C .6D .不能确定 8.化简:﹣[﹣(﹣a 2)﹣b 2]﹣[+(﹣b 2)]的结果是( )A .2b 2﹣a 2B .﹣a 2C .a 2D .a 2﹣2b 29.a b c -++的相反数是( ).A .a b c ++B .a b c ---C .a b c -++D .a b c -- 10.化简1132232x y y x ⎛⎫⎛⎫----+ ⎪ ⎪⎝⎭⎝⎭的结果是( )A .3yB .23x y --C .35x y --D .37x y --11.下列各代数式中与代数式(3)a b c --的值相等的是( )A .(3)a b c +-+B .(3)a b c +-C .(3)a b c ++D .(3)a b c +--12.已知一个多项式的 2 倍与3x 2+ 9x 的和等于-x 2+5x -2,则这个多项式是( )A .-4x 2-4x -2B .-2x 2-2x -1C .2x 2+14x -2D .x 2+7x -1二、填空题1.去括号(1)()a b c d +-+=________; (2)()a b c d --+=_________;(3)52(34)a b c d -+-=_________; (4)(23)a m b c d +-+=__________.2.如果x =﹣2,y =,那么代数式(4x 2﹣3xy )﹣3(x 2﹣xy )的值是 .3.有四个连续偶数,其中最小的一个是2n ,其余三个是 ,这四个连续偶数的和是 .4.一个多项式加上﹣2a +6等于2a 2+a +3,则这个多项式是 .5.一个长方形的长是2a ,宽是a +1,则这个长方形的周长为 .6.已知代数式()()22223a a b a a mb +--++的值与b 无关,则m 的值是________. 7.有理数a ,b ,c 在数轴上的位置如图所示,化简a -a b +-c a -=________.8.已知代数式A =2x 2+4xy ﹣3y +3,B =x 2﹣xy +2,若A ﹣2B 的值与y 的取值无关,则x 的值为 .9.若A =x 2+3xy +y 2,B =x 2﹣3xy +y 2,则A ﹣[B +2B ﹣(A +B )]化简后的结果为 (用含x 、y 的代数式表示).10.5x 2﹣4x +3﹣( x 2+ )=3x 2﹣4x ﹣7.三、解答题1.化简(1)()()2234322124x x x x -++-- (2)()()2222282334a b a b ab a b ab +---(3)3(a 2-ab)-5(ab +2a 2-1); (4)(3a -2a 2)-[5a -13(6a 2-9a)-4a 2].2.化简求值:(1)2(2a ﹣3b )+3(2b ﹣3a ),其中a =﹣2;(2)2(a 2﹣ab )﹣2a 2+3ab ,其中a ,b 互为倒数;(3)﹣3x ﹣2x 2+5﹣3x 2﹣2x ﹣5,其中x 2+x =﹣2.3.(1)求代数式323557x x x +--与322524x x x -+-+的和;(2)求代数式32311242a a -+与325328109a a --的差.4.嘉淇准备完成题目:化简:()()2268652Wx x x x ++-++,发现系数W 印刷不清楚.(1)他把W 猜成7,请你化简:()()22768652x x x x ++-++;(2)他妈妈说:“你猜错了,我看到该题标准答案的结果是常数.”通过计算说明原题中W 是几?5.图a 是一个长为2m 、宽为2n 的长方形,沿图中虚线用剪刀均分成四块小长方形,然后按图b 的形状拼成一个正方形.(1)你认为图b 中的阴影部分的正方形的边长等于 ;(2)请用两种不同的方法求图b 中阴影部分的面积;(3)观察图b ,你能写出下列三个代数式之间的等量关系吗?代数式:(m +n )2,(m ﹣n )2,mn ;(4)若x ,y 都是有理数,x ﹣y =4,xy =5,求x +y 的值.。
人教版七年级上册第二章整式的加减2.2.2 去括号培优训练一.选择题(共10小题,3*10=30)1.化简-2a +(2a -1)的结果是( )A .4a -1B .-4a -1C .1D .-12.三个连续奇数,最小的一个是2n +1(n 为自然数),则这三个连续奇数的和为( )A .6n +6B .2n +9C .6n +9D .6n +33.长方形的一边等于3m +2n ,另一边比它大m -n ,则这个长方形的周长是( )A .14m +6nB .7m +3nC .4m +nD .6n +34.下列运算正确的是( )A .-2(3x -1)=-6x -1B .-2(3x -1)=-6x +1C .-2(3x -1)=-6x -2D .-2(3x -1)=-6x +25. 化简14(-4x +8)-3(4-5x)的结果是( ) A .-16x -10 B .14x -10C .56x -40D .-16x -46.一个长方形的周长为4m ,一边长为m -n ,则另一边长为( )A .3m +nB .2m +2nC .m +nD .m +3n7.化简[x -(y -z)]-[(x -y)-z]得( )A .2yB .2zC .-2yD .-2z8.下列各式与x3-5x2-4x+9相等的是( )A.(x3-5x2)-(-4x+9)B.x3-5x2-(4x+9)C.-(-x3+5x2)-(4x-9)D.x3+9-(5x2-4x)9.有理数a,b在数轴上的位置如图所示,则|a+b|-2|a-b|化简后为( )A.b-3a B.-2a-bC.2a+b D.-a-b10. 已知x-2y=3,则代数式6-2x+4y的值为()A.0 B.-1C.-3 D.3二.填空题(共8小题,3*8=24)11.去括号:(1)a+(b-c)=___________;(2)(a-b)+(c-d)=_______________;(3)(a+b)-(-c+d)=_______________.12. 去括号,合并同类项:-3(a+b)+(2a-b)=_________________=_________.13. 某校三个班开展了为灾区献爱心捐款活动,一班捐了x元,二班比一班捐的2倍少15元,三班捐的比一班捐的一半多32元,则这三个班一共捐款____________元.14.(1)若m,n互为相反数,则8m+(8n-3)的值是____;(2)已知当x=1时,2ax2+bx的值为3,则当x=2时,ax2+bx的值为__.15.如图所示是两种长方形铝合金窗框,已知窗框的长都是y米,窗框宽都是x米,若一用户需(1)型的窗框2个,(2)型的窗框5个,则共需铝合金_________________米.16.如果当x=1时,代数式2ax3+3bx+4的值是5,那么当x=-1时,代数式2ax3+3bx +4的值是____.17.若a2-ab=9,且ab-b2=6,则a2-b2=____,a2-2ab+b2=____.18. 已知x +4y =-1,xy =5,则(6xy +7y)+[8x -(5xy -y +6x)]的值是___________..三.解答题(共7小题,46分)19. (6分) 化简:(1)(x +2y)-(-2x +y);(2)(-b +3a)-2(a -b);(3)3a 2+2(a 2-a)-4(a 2-3a);(4)2(-3a 2+2a -1)-2(a 2-3a -5).20. (6分) 先化简,再求值:(1)(4x 2-3x)-2(x 2+2x -1)-(x 2+x -1),其中x =-3;(2)-3(13n -mn)+2(mn -12m),其中m +n =-3,mn =2.21. (6分) 一艘轮船在武汉和南京两港之间航行,若轮船在静水中的航速为a千米/时,水流速度为12千米/时.(1)轮船顺流航行5小时的行程是多少?(2)轮船逆流航行4小时的行程是多少?(3)两个行程相差多少?22. (6分) 嘉淇准备完成题目:化简:(■x2+6x+8)-(6x+5x2+2).发现系数“■”印刷不清楚.(1)他把“■”猜成3,请你化简:(3x2+6x+8)-(6x+5x2+2);(2)他妈妈说:“你猜错了,我看到该题标准答案的结果是常数.”通过计算说明原题中“■”是几?23. (6分) 观察下列各式:(1)-a+b=-(a-b);(2)2-3x=-(3x-2);(3)5x+30=5(x+6);(4)-x-6=-(x+6).探索以上四个式子中括号的变化情况,它和去括号法则有什么不同?利用你探索出来的规律,解答题目:已知a2+b2=5,1-b=-2,求-1+a2+b+b2的值.24. (8分) 化简求值:(1)2(a2-ab)-3(2a2-ab),其中a=-2,b=3;(2)a-2[3a+b-2(a+b)],其中a=-20,b=10.25. (8分) 有理数a,b,c在数轴上的位置如图所示,化简:|a+c|-|a-b-c|+2|b-a|-|b+c|.参考答案1-5DCADB 6-10CBCAA11.a +b -c ,a -b +c -d ,a +b +c -d12. -3a -3b +2a -b ,-a -4b13. (72x +17) 14. -3,615. (16x +14y)16. 317. 15,318. 319. 解:(1)原式=x +2y +2x -y =3x +y(2)原式=-b +3a -2a +2b =a +b(3)原式=3a 2+2a 2-2a -4a 2+12a =a 2+10a(4)原式=-6a 2+4a -2-2a 2+6a +10=-8a 2+10a +820. 解:(1)原式=x 2-8x +3,当x =-3时,原式=36(2)原式=5mn -m -n ,当m +n =-3,mn =2时,原式=1321. 解:(1)5(a +12)千米(2)4(a -12)千米(3)5(a +12)-4(a -12)=(a +108)(千米)22. 解:(1)(3x 2+6x +8)-(6x +5x 2+2)=3x 2+6x +8-6x -5x 2-2=-2x 2+6(2)设“■”是a ,则原式=(ax 2+6x +8)-(6x +5x 2+2)=ax 2+6x +8-6x -5x 2-2=(a -5)x 2+6,∵标准答案的结果是常数,∴a -5=0,解得a =523. 解:它与去括号正好是相反的过程,添加括号后,括号前是“+”号,括到括号里各项都不变符号;括号前面是“-”号,括到括号里各项都改变符号.所以:-1+a 2+b +b 2=-(1-b)+(a 2+b 2)=-(-2)+5=724. 解:(1)原式=2a 2-2ab -6a 2+3ab =-4a 2+ab.当a =-2,b =3时,原式=-4×(-2)2+(-2)×3=-22(2)原式=a -2[3a +b -2a -2b]=a -2(a -b)=a -2a +2b =-a +2b.当a=-20,b=10时,原式=-(-20)+2×10=4025. 解:由数轴可知:a+c<0,a-b-c>0,b-a<0,b+c<0.所以原式=-(a+c)-(a-b -c)-2(b-a)+(b+c)=-a-c-a+b+c-2b+2a+b+c=c。
1.将()a b c --+去括号,结果是( )A .a b c-+B .a b c +-C .a b c ++D .a b c--2.下列去括号正确的是( )A .()a b c a b c-+=-+B .()a b c a b c --=+-C .()a b c a b c --=--D .()a b c a b c-+=--3.下列去括号运算正确的是( )A .(321)321x y x y --+=-+B .(23)(51)2351x y z x y z ---=-+-C .(32)()32a b c d a b c d-+-+=----D .(2)(2)22a b c d a b c d----=-+--4.将整式()a b c --+去括号,得( )A .a b c++B .a b c +-C .a b c --+D .a b c-++5.3()33a b a b --=-+,在这个去括号的过程中使用了__________.(填运算律)6.添括号(填空):(1)221(x x -+-=-__________)(2)222441(a b b a +-+=+__________)(3)222()2()(a b a b a b +--=+-__________).课堂练习:基础版题量: 10题 时间: 20min2.2.2去括号7.下列变形正确的是( )A .2(2)24x x --=--B .3(1)31x x x x --=--C .5(52)552x x x x +-=-+D .3(2)(1)361x x x x +--=+-+8.下列去括号正确的是( )A .()a b c a b c--=--B .()a c b a c b --=-+C .2()2m p q m p q --=-+D .(2)2a b c d a bc d+--=++9.将a b c -+添括号得(a -__________).10.先去括号,再合并同类项(1)2(23)3(23)b a a b -+-;(2)2242(32)(71)a ab a ab +---.【错误题号】【错因自查】 基础不牢 审题不清思路不清 计算错误 粗心大意【正确解答】【错误题号】【错因自查】 基础不牢 审题不清思路不清 计算错误 粗心大意【正确解答】1.B2.D3.C4.B5.乘法分配律6.(1)2221(21)x x x x -+-=--+;(2)2222441(441)a b b a b b +-+=+-+;(3)222()2()()a b a b a b a b +--=+-+.7.D8.B9.b c-10.(1)2(23)3(23)46695b a a b b a a b b -+-=-+-=-;(2)222242(32)(71)464711a ab a ab a ab a ab ab +---=+--+=-+.1.将()a b c --+去括号,结果是( )A .a b c-+B .a b c +-C .a b c ++D .a b c--2.下列去括号正确的是( )A .()a b c a b c-+=-+B .()a b c a b c --=+-C .()a b c a b c --=--D .()a b c a b c-+=--3.下列去括号运算正确的是( )A .(321)321x y x y --+=-+B .(23)(51)2351x y z x y z ---=-+-C .(32)()32a b c d a b c d-+-+=----D .(2)(2)22a b c d a b c d----=-+--4.将整式()a b c --+去括号,得( )A .a b c++B .a b c +-C .a b c --+D .a b c-++5.3()33a b a b --=-+,在这个去括号的过程中使用了__________.(填运算律)6.添括号(填空):(1)221(x x -+-=-__________)(2)222441(a b b a +-+=+__________)(3)222()2()(a b a b a b +--=+-__________).课堂练习:提升版题量: 10题 时间: 20min2.2.2去括号7.(★)去括号,合并同类项得:32[4(3)]b c a c b c ---+++=__________.8.(★)在计算:2(536)A x x ---时,小明同学将括号前面的“-”号抄成了“+”号,得到的运算结果是2234x x -+-,则多项式A 是__________.9.(★)去括号,并合并同类项:(1)(3 1.5)(72)a b a b +--;(2)2222(8)4(23)xy x y x y xy -+--+-.10.(★)按下列要求,给多项式323534x x x --+添括号:(1)把多项式后三项括起来,括号前面带有“+”号;(2)把多项式的前两项括起来,括号前面带“-”号;(3)把多项式后三项括起来,括号前面带有“-”号;(4)把多项式中间的两项括起来.括号前面“-”号.【错误题号】【错因自查】 基础不牢 审题不清思路不清 计算错误 粗心大意【正确解答】【错误题号】【错因自查】 基础不牢 审题不清思路不清 计算错误 粗心大意【正确解答】1.B2.D 3.C 4.B5.乘法分配律6.(1)2221(21)x x x x -+-=--+;(2)2222441(441)a b b a b b +-+=+-+;(3)222()2()()a b a b a b a b +--=+-+.7.(★)42a c-8.(★)2762x x -++9.(★)(1)(3 1.5)(72)3 1.5724 3.5a b a b a b a b a b +--=+-+=-+;(2)2222(8)4(23)xy x y x y xy -+--+-2222228448125512xy x y x y xy x y =-+-+-+=-++;10.(★)(1)多项式后三项括起来,括号前面带有“+”号是323(534)x x x +--+;(2)多项式的前两项括起来,括号前面带“-”号是:32(35)34x x x --+-+;(3)多项式后三项括起来,括号前面带有“-”号是:323(534)x x x -++-;(4)多项式中间的两项括起来,括号前面“-”号是323(53)4x x x -++.1.将()a b c --+去括号,结果是( )A .a b c-+B .a b c +-C .a b c ++D .a b c--2.下列去括号正确的是( )A .()a b c a b c-+=-+B .()a b c a b c --=+-C .()a b c a b c --=--D .()a b c a b c-+=--3.下列去括号运算正确的是( )A .(321)321x y x y --+=-+B .(23)(51)2351x y z x y z ---=-+-C .(32)()32a b c d a b c d-+-+=----D .(2)(2)22a b c d a b c d----=-+--4.将整式()a b c --+去括号,得( )A .a b c++B .a b c +-C .a b c --+D .a b c-++5.3()33a b a b --=-+,在这个去括号的过程中使用了__________.(填运算律)6.添括号(填空):(1)221(x x -+-=-__________)(2)222441(a b b a +-+=+__________)(3)222()2()(a b a b a b +--=+-__________).课堂练习:培优版题量: 10题 时间: 20min2.2.2去括号7.(★★)多项式22(16)mx x x ---化简后不含x 的二次项,则m 的值为__________.8.(★★)今天数学课上,老师讲了多项式的加减,放学后,小明回到家拿出课堂笔记,认真的复习老师课上讲的内容,他突然发现一道题:222221131(3)(4)2222x xy y x xy y x -+---+-=-__________2y +,空格的地方被钢笔水弄污了,请你帮他补上.9.(★★)用括号把多项式mx nx my ny +--分成两组,使其中含m 的项相结合,含n 的项相结合(两个括号用“+”号连接).10.(★★)阅读下面材料:计算:123499100++++⋯++.如果一个一个顺次相加显然太繁杂,我们仔细观察这个式子的特点,发现运用加法的运算律,可简化计算,提高计算速度.12399100(1100)(299)(5051)101505050+++⋯++=++++⋯++=⨯=根据阅读材料提供的方法,计算:()(2)(3)(100)a a m a m a m a m +++++++⋯++.【错误题号】【错因自查】 基础不牢 审题不清思路不清 计算错误 粗心大意【正确解答】【错误题号】【错因自查】 基础不牢 审题不清思路不清 计算错误 粗心大意【正确解答】1.B2.D 3.C 4.B5.乘法分配律6.(1)2221(21)x x x x -+-=--+;(2)2222441(441)a b b a b b +-+=+-+;(3)222()2()()a b a b a b a b +--=+-+.7.(★★)6-8.(★★)xy-9.(★★)()()mx nx my ny mx my nx ny +--=-+-.10.(★★)()(2)(3)(100)a a m a m a m a m +++++++⋯++101(23100)a m m m m =++++⋯101(100)(299)(398)(5051)a m m m m m m m m =+++++++⋯++10110150a m =+⨯1015050a m =+.。
2.2第2课时去括号知识点1去括号1.去括号的依据是()A.乘法交换律B.乘法结合律C.分配律D.乘法交换律与分配律2.下列各式去括号后正确的是()A.a-(b-c)=a+b-c B.a-(b-c)=a-b+cC.a-(b-c)=a-b-c D.a+(b-c)=a+b+c 3.2017·湖州模拟下列运算正确的是()A.-2(a-b)=-2a-bB.-2(a-b)=-2a+bC.-2(a-b)=-2a-2bD.-2(a-b)=-2a+2b4.根据去括号法则,在下面各式的方框里填“+”或“-”号.(1)a-(-b+c)=a□b□c;(2)a□(b-c-d)=a-b+c+d.5.去括号:(1)2a-(b+c+1)=______________;(2)7x +(2y +3)-(3x 2-y 2)=________________________________________________________________________.6.化简下列各式:(1)a +(-3b -2a )=________________; (2)(x +2y )-(-2x -y )=________________. 7.去括号,能合并同类项的要合并同类项: (1)4a -2(b -3c ); (2)-5a +12(4x -6);(3)6m -3(-m +2n );(4)a 2+2(a 2-a )-4(a 2-3a ).知识点 2 去括号的简单应用8.三个连续奇数,最小的奇数是2n +1(n 为自然数),则这三个连续奇数的和为( )A.6n+6 B.2n+9 C.6n+9 D.6n+39.长方形的一边长为3m+2n,与它相邻的一边比它长m-n,则这个长方形的周长是()A.4m+n B.8m+2n C.14m+6n D.7m+3n10.三个小队种树,第一队种x棵,第二队种的树比第一队种的2倍还多8棵,第三队种的树比第二队种的一半少6棵,则三个小队共种树________棵.11.甲、乙两船从同一港口同时出发(在一条直线上行驶),甲船在静水中的速度是50 km/h,乙船在静水中的速度是40 km/h,水流速度是a km/h.(1)若甲船顺水,乙船逆水,4 h后两船相距多远?(2)若甲、乙两船都顺水,4 h后两船相距多远?(3)若甲船顺水,乙船逆水,4 h后甲船比乙船多航行多少千米?12.当a是整数时,整式a3-3a2+7a+7+(3-2a+3a2-a3)一定是()A.3的倍数B.4的倍数C.5的倍数D.10的倍数13.a,b两数在数轴上对应的点的位置如图2-2-1所示,化简|b-a|+|a+b|的结果是()图2-2-1A.-2b B.2a C.2b D.014.下列各组式子中,互为相反数的是()①a-b与-a-b;②a+b与-a-b;③a+1与1-a;④-a+b与a-b. A.①②④B.②④C.①③D.③④15.化简求值:(1)-(y+x)-(5x-2y),其中x=1,y=-2;(2)2x2-1+3x-4(x-x2+1),其中x=-1;(3)6xy+7y+[8x-(5xy-y+6x)],其中x+4y=-1,xy=5.16.某城市体育馆连续举办了三场排球赛,第一场有x名观众,第二场的观众比第一场减少了y名,第三场的观众比第二场减少了40%,求这三场排球赛共有多少名观众.17.有这样一道题:计算(2x3-3x2y-2xy2)-(x3-2xy2+y3)+(-x3+3x2y-y3)的值,其中x=2019,y=-1.甲同学把x=2019误抄成x=-2019,但他的计算结果也是正确的,试说明理由,并求出这个结果.18.2017·宝塔区校级期中图2-2-2是两种长方形铝合金窗框.已知窗框的长都是y 米,窗框的宽都是x米.若一用户需①型的窗框2个,②型的窗框2个.(1)用含x,y的式子表示该用户共需铝合金的长度;(2)若1米铝合金的平均费用为100元,求当x=1.2,y=1.5时,该用户所需铝合金的总费用为多少元.19.将式子3x+(2x-x)=3x+2x-x,3x-(2x-x)=3x-2x+x分别反过来,你得到两个怎样的等式?【探究】比较你得到的等式,你能总结添括号的法则吗?【应用】根据上面你总结出的添括号法则,不改变多项式x3-3x2+3x-1的值,把它的后两项放在:①前面带有“+”号的括号里;②前面带有“-”号的括号里.【拓展】2018·徐州若2m+n=4,则6-2m-n的值为________.1.C2.B [解析] 去括号时注意括号前是负号的情况:把括号里的每一项都改变符号. 3.D4.(1)+ - (2)-5.(1)2a -b -c -1 (2)7x +2y +3-3x 2+y 2 6.(1)-a -3b (2)3x +3y[解析] (1)原式=a -3b -2a =-a -3b. (2)原式=x +2y +2x +y =3x +3y.7.[解析] 在去括号时要注意符号,要把括号里的每一项都乘前边的系数. 解:(1)原式=4a -2b +6c. (2)原式=-5a +2x -3.(3)原式=6m +3m -6n =9m -6n.(4)原式=a 2+2a 2-2a -4a 2+12a =-a 2+10a.8.C [解析] (2n +1)+(2n +3)+(2n +5)=6n +9.故选C.9.C [解析] 这个长方形的周长是2[(3m +2n)+(m -n)+(3m +2n)]=2(3m +2n +m -n +3m +2n)=2(7m +3n)=14m +6n.10.(4x +6) [解析] 由题意,得第二队种树棵数为2x +8,第三队种树棵数为12(2x +8)-6=x -2,所以三个小队共种树x +(2x +8)+(x -2)=(4x +6)棵.11.解:(1)4(50+a)+4(40-a)=200+4a +160-4a =360(km). 故4 h 后两船相距360 km.(2)4(50+a)-4(40+a)=200+4a-160-4a=40(km).故4 h后两船相距40 km.(3)4(50+a)-4(40-a)=200+4a-160+4a=(40+8a)km.故4 h后甲船比乙船多航行(40+8a)km.12.C[解析] a3-3a2+7a+7+(3-2a+3a2-a3)=a3-a3-3a2+3a2+7a-2a+7+3=5a +10.当a是整数时,5a是5的倍数,10是5的倍数,所以5a+10一定是5的倍数.故选C.13.A[解析] 由数轴可知b<0<a,|b|>|a|,所以b-a<0,a+b<0.所以原式=-(b-a)-(a+b)=-b+a-a-b=-2b.故选A.14.B15.解:(1)原式=-y-x-5x+2y=y-6x.当x=1,y=-2时,原式=(-2)-6×1=-8.(2)原式=2x2-1+3x-4x+4x2-4=6x2-x-5.当x=-1时,原式=6×(-1)2-(-1)-5=2.(3)原式=6xy+7y+8x-5xy+y-6x=xy+8y+2x=xy+2(x+4y).当x+4y=-1,xy=5时,原式=5+2×(-1)=3.16.解:根据题意可知第二场的观众有(x-y)名,第三场的观众有(1-40%)(x-y)名.故观众总数为x+(x-y)+(1-40%)(x-y)=x+x-y+0.6x-0.6y=(2.6x-1.6y)名.17.解:(2x3-3x2y-2xy2)-(x3-2xy2+y3)+(-x3+3x2y-y3)=2x3-3x2y-2xy2-x3+2xy2-y3-x3+3x2y-y3=-2y3.因为化简的结果中不含x,所以原式的值与x的值无关.所以甲同学把x=2019误抄成x =-2019,但他的计算结果是正确的.当y=-1时,原式=-2×(-1)3=2.18.解:(1)共需铝合金的长度为2(3x+2y)+2(2x+2y)=(10x+8y)米.(2)因为1米铝合金的平均费用为100元,x=1.2,y=1.5,所以该用户所需铝合金的总费用为100×(10×1.2+8×1.5)=2400(元).19.解:3x+2x-x=3x+(2x-x),3x-2x+x=3x-(2x-x).【探究】所添括号前是“+”号,括到括号里的各项都不改变符号;所添括号前是“-”号,括到括号里的各项都改变符号.【应用】①x3-3x2+3x-1=x3-3x2+(3x-1);②x3-3x2+3x-1=x3-3x2-(-3x+1).【拓展】2。
课时2去括号基础训练知识点1(去括号)1.下列去括号正确的是()A.﹣3a-(2b-c)=﹣3a+2b-cB.﹣3a-(2b-c)=﹣3a-2b-cC.﹣3a-(2b-c)=﹣3a+2b+cD.﹣3a-(2b-c)=﹣3a-2b+c2.下列运算正确的是()A.﹣2(3x-1)=﹣6x-1B.-2(3x-1)=-6x+1C.﹣2(3x-l)=-6x-2D.﹣2(3x-1)=-6x+23.化简-(2x-y)+(-y+3)的结果为()A.﹣2x-2y-3B.﹣2x+3C.2x+3D.﹣2x-2y+34.[2017四川泸州县石马中学期中]下列式子中去括号错误的是()A.5x-(x-2y+5z)=5x-x+2y-5zB.2a2+(﹣3a-b)-(3c-2d)=2a2-3a-b-3c+2dC.3x2-3(x+6)=3x2-3x-6D.-(x-2y)-(-x2+y2)=﹣x+2y+x2﹣y25.利用去括号法则化简求值.(1)-(9x3-4x2+5)-(-3-8x3+3x2),其中x=-2;(2)-(a2-6ab+9)+2(a2+4ab+92),其中a=6,b=﹣23;(3)3x2y2-[5xy2-(4xy2-3)+2x2y2],其中x=-3,y=2.知识点2(去括号的应用)6.如果某三位数的百位数字是a-b+c,十位数字是b-c+a,个位数字是c-a+b. (1)列出这个三位数的式子,并化简;(2)当a=2,b=5,c=4时,求这个三位数.7.[2017河北承德丰宁期中]某工厂第一车间有x人,第二车间比第一车间人数的45少30人.(1)两个车间共有多少人?(2)如果从第二车间调出10人到第一车间,问第一车间的人数比第二车间的人数多多少人?参考答案1.D2.D3.B【解析】因为﹣(2x-y)+(-y+3)=﹣2x+y-y+3=﹣2x+3,所以B正确.故选B.4.C【解析】C项,3x2-3(x+6)=3x2-3x-18,故C错误.故选C.名师点睛本题考查去括号的方法:去括号时,运用乘法的分配律,把括号前的数字与括号里各项相乘,当括号前是“+”时,去括号后,括号里的各项都不改变符号;当括号前是“-”时,去括号后,括号里的各项都改变符号.5.【解析】(1)﹣(9x3-4x2+5)-(﹣3-8x3+3x2)=﹣9x3+4x2-5+3+8x3-3x2=-x3+x-2.当x=-2时,原式=﹣(-2)3+(-2)2-2=8+4-2=10.(2)﹣(a2-6ab+9)+2(a2+4ab+92)=﹣a2+6ab-9+2a2+8ab+9 =a2+14ab.当a=6,b=﹣23时,原式=62+14×6×(-23)=36-56=-20.(3)3x2y2-[5xy2-(4xy2-3)+2x2y2] =3x2y2-(5xy2-4xy2+3+2x2y2)=3x2y2-(xy2+3+2x2y2)=3x2z2-xy2-3-2x2y2当x=-3,y=2时,原式=(﹣3)2×22-(﹣3)×22-3=36+12-3=45.归纳总结解答此类题,先根据去括号法则去掉括号,再合并同类项,把结果化为没有括号和没有同类项的式子后,再把字母的取值代入这个式子求值.6.【解析】(1)100(a-b+c)+10(b-c+a)+(c-a+b)=100a-100b+100c+10b-10c+10a+c-a+b=109a-89b+91c.(2)当a=2,b=5,c=4时,百位数字是1,十位数字是3,个位数字是7,所以这个三位数是137.7.【解析】(1)第二车间有(45x-30)人,所以两个车间共有x+45x-30=(95x-30)(人).(2)(x+10)-( 45x-30-10)=x+10-(45x-40)=x+10-45x+40=15x+50.所以第一车间的人数比第二车间的人数多(15x+50)人.课时2去括号提升训练1.[2018湖北武汉二中课时作业]下列式子中去括号正确的是()A.-(a+b-c)=-a+b-cB.-2(a+b-3c)=-2a-2b+6cC.-(-a-b-c)=-a+b+cD.-(a-b-c)=-a+b-c2.[2018天津市南开中学课时作业]当a是整数时,整式a3-3a2+7a+7+(3-2a+3a2-a3)一定是()A.3的倍数B.4的倍数C.5的倍数D.10的倍数3.[2018吉林东北师大附中课时作业]把四张形状大小完全相同的小长方形卡片(如图1)不重叠地放在一个底面为长方形(长为m cm,宽为n cm)的盒子底部(如图2),盒子底面未被卡片覆盖的部分用阴影表示,则图2中两块阴影部分的周长和为()A.4m cmB.4n cmC.2(m+n)cmD.4(m-n)cm4.[2018江西上饶二中课时作业]若式子(2x2+3ax-y)-2(bx2-3x+2y-1)的值与字母x的取值无关,则式子(a-b)-(2a+b)的值是________.5.[2018河北张家口五中课时作业]甲、乙两家超市以相同的价格出售同样的商品,为了吸引顾客,各自推出不同的优惠方案:在甲超市累积购买商品超过400元后,超过部分按原价的7折优惠;在乙超市购买商品全部按原价的8折优惠.设顾客累计购物x(x >400)元.(1)用含x的整式分别表示顾客在两家超市购物所付的费用;(2)当x=1100时,顾客到哪家超市购物更划算?6.[2018河南洛阳五中课时作业]有理数a,b,c在数轴上的位置如图所示,化简:|c -a|+|b-c|-|a-b|+|a+b|.7.[2018安徽芜湖二十七中课时作业]有这样一道题:(2x3-3x2y-2xy2+2y3)-(x3-2xy2+y3)+(-x3+3x2y-y3)的值,其中x=12,y=-1.甲同学把“x=12,y=-1”错抄成“x=-12,y=1”,但他计算的结果也是正确的.你说这是怎么回事?参考答案1.B【解析】选项A,﹣(a+b-c)=﹣a-b+c,所以A错误;选项B,﹣2(a+b-3c)=﹣2a -2b +6c ,所以B 正确;选项C ,﹣(﹣a -b -c)=a +b +c ,所以C 错误;选项D ,﹣(a -b -c)=﹣a +b +c ,所以D 错误.故选B.2.C 【解析】a 3-3a 2+7a +7+(3-2a +3a 2-a 3)=a 3-3a 2+7a +7+3-2a +3a 2-a 3=5a +10=5(a +2),所以该整式一定是5的倍数.故选C.3.B 【解析】设题图1中长方形的长为x cm ,宽为y cm ,则题图2中两块阴影部分的周长和为2[x +(n -2y)]+2[(m -x)+(n -x)]=[4n +2m -2(x +2y)](cm),由题图2,知x +2y=m ,所以4n +2m -2(x +2y)=4n.故选B.4.0【解析】(2x 2+3ax -y)-2(bx 2-3x +2y -1)=2x 2+3ax -y -2bx 2+6x -4y +2=(2-2b)x 2+(3a +6)x -5y +2,因为其值与字母x 的取值无关,所以2-2b=0,3a +6=0,所以a=﹣2,b=1,则(a -b)-(2a +b)=a -b -2a -b=﹣a -2b=﹣(-2)-2×1=0.5.【解析】(1)顾客在甲超市购物所付的费用是400+0.7(x -400)=(0.7x +120)(元), 顾客在乙超市购物所付的费用是0.8x 元(2)当x=1100时,0.7x +120=0.7×1100+120=890,0.8x=0.8×1100=880,因为880<890, 所以当x=1100时,顾客到乙超市购物更划算.6.【解析】由题中数轴,可得b <0<c <a ,∣b ∣<∣a ∣,所以c -a <0,b -c <0,a -b >0,a +b >0,则∣c -a ∣+∣b -c ∣-∣a -b ∣+∣a +b ∣=a -c -(b -c)-(a -b)+(a +b) =a -c -b +c -a +b +a +b=a +b.技巧点拨解答此类题,关键是根据数轴提供的信息,确定各个绝对值符号内式子的正负性,再根据绝对值的意义去掉绝对值符号,然后利用去括号和合并同类项进行化简.7.【解析】(2x 3-3x 2y -2xy 2+2y 3)-(x 3-2xy 2+y 3)+(﹣x 3+3x 2y -y 3)=2x 3-3x 2y -2xy 2+2y 3-x 3+2xy 2-y 3-x 3+3x 2y -y 3=(2x 3-x 3-x 3)+(-3x 2y +3x 2y)+(﹣2xy 2+2xy 2)+(2y 3-y 3-y 3)=0.可见原式的值与x ,y 的取值无关,所以甲同学计算的结果也是正确的技巧点拨通过换一种说法来考查学生是否真正形成了先化简再求值的意识,因此当遇到复杂的式子时,应先化简再来分析、解决剩下的有关问题.去括号的技巧在进行含有括号的整式加减运算时,若能根据算式的特点,灵活去括号,就能减少运算环节,提高解题效率.下面介绍几种技巧,供同学们学习时参考.一、先局部合并,再去括号例1.计算222222123(0.5)32a b ab a b ab a b a b ----+.解:原式22253()a b ab ab =---22253a b ab ab =-+2252a b ab =-.二、先整体合并,再去括号例2.计算223153(1)(1)(1)x x x x x x +---++-+-.分析:若按常规思路先去括号再合并,不但运算量很大,而且也容易出错.将2(1)x x -+看作一个整体,先合并,然后再去括号,则显得简捷明快.解:原式2231533(1)(1)x x x x x x =+---++-+-3183x x =--.三、由外向里去括号例3.计算23222318[6(12)]x y xy xy x y ---.分析:去括号通常是由里向外去括号,即先去掉小括号,再去掉中括号,最后再去掉大括号,但对于本题来说,若先去掉中括号,则小括号前的“-”变为“+”号,再去小括号时,括号内的各项都不用变号,这样就减少了某些项的反复变号,从而不易出错.解:原式232223186(12)x y xy xy x y =-+-23222318612x y xy xy x y =-+-23265x y xy =-.四、一次去掉多重括号例4.计算5{4[3(21)]}a a a a ----.分析:根据某项前面各层括号前“-”的个数来决定去掉括号后该项的符号.具体地说,若负号的个数是偶数个,则该项保持原来的符号,若负号的个数为奇数个,则改变该项原来的符号.只要掌握了这一法则,就可以一次去掉多重括号.解:原式54321a a a a =-+-+21a =+.。
人教版七年级数学第二章 2.2.2去括号 同步测试题一、选择题1.去括号的依据是(C )A .乘法交换律B .乘法结合律C .分配律D .乘法交换律与分配律2.下列计算中去括号正确的是(A)A .-(5-2x )=2x -5B .-(a +3)=-a +3C .-(a -b )=-a -bD .-(2x -5)=2x -53.化简-16(x -0.5)的结果是(D )A .-16x -0.5B .-16x +0.5C .16x -8D .-16x +84.化简13(9x -3)-2(x +1)的结果是(D ) A .2x -2 B .x +1 C .5x +3 D .x -35.长方形的一边等于3m +2n ,另一边比它大m -n ,则这个长方形的周长是(A )A .14m +6nB .7m +3nC .4m +nD .8m +2n6.化简5(2x -3)+4(3-2x)的结果为(A)A .2x -3B .2x +9C .8x -3D .18x -37.下列各组整式:①a -b 与-a -b ;②a +b 与-a -b ;③a +1与1-a ;④a -b 与b -a ,其中互为相反数的有(B )A .①②④B .②④C .①③D .③④8.若|x +3|+(y -12)2=0,则整式4x +(3x -5y)-2(7x -32y)的值为(C) A .-22 B .-20 C .20 D .22二、填空题9.去掉下列各式中的括号:(1)a -(-b +c)=a +b -c ; (2)a +(b -c)=a +b -c ;(3)(a -2b)-(b 2-2a 2)=a -2b -b 2+2a 2; (4)x +3(-2y +z)=x -6y +3z ;(5)x -5(2y -3z)=x -10y +15z .10.船在静水中的速度为a km/h ,水速为10 km/h ,船顺流航行5 h 的行程比逆流航行3 h 的行程多(80+2a)__km.11.计算:(1)3(2x +1)-6x =3;(2)(1+m 2)-(1-m 2)=2m 2.12.三个课外兴趣小组,A 组有x 人,B 组的人数比A 组人数的2倍多8人,C 组的人数比B 组人数的12少6人,则三个小组共有(4x +6)人. 13.如果a -b -2=0,那么式子1+2a -2b 的值是5.三、解答题14.化简下列各式:(1)-(x +y)+(3x -7y);解:原式=-x -y +3x -7y=(-x +3x)+(-y -7y)=2x -8y.(2)2a +2(a +1)-3(a -1).解:原式=2a +2a +2-3a +3=(2a +2a -3a)+(2+3)=a +5.15.一个三角形的第一条边长为(x +2)cm ,第二条边长比第一条边长小5 cm ,第三条边长是第二条边长的2倍.(1)用含x 的式子表示这个三角形的周长;(2)当x =6时,这个三角形的周长是多少?解:(1)第二条边长为(x +2)-5=(x -3)cm ,第三条边长为2(x -3)=(2x -6)cm ,则三角形的周长为(x +2)+(x -3)+(2x -6)=(4x -7)cm.(2)当x =6时,这个三角形的周长为4×6-7=17(cm).16.化简:4a 2-3a +3-3(-a 3+2a +1).解:原式=4a 2-3a +3+3a 3-6a -3=3a 3+4a 2+(-3a -6a)+(3-3)=3a 3+4a 2-9a.17.化简求值:(1)4x -[3x -2x -(x -3)],其中x =12; 解:原式=4x -(3x -2x -x +3)=4x -3.当x =12时,原式=-1.(2)2(a2-ab)-3(2a2-ab),其中a=-2,b=3.解:原式=2a2-2ab-6a2+3ab=-4a2+ab.当a=-2,b=3时,原式=-22.18.如图是两种长方形铝合金窗框.已知窗框的长都是y米,窗框的宽都是x米,若一用户需(1)型的窗框2个,(2)型的窗框5个,则共需铝合金多少米?解:由题意可得:做2个(1)型的窗框需要铝合金2(3x+2y)米;做5个(2)型的窗框需要铝合金5(2x+2y)米.所以共需铝合金:2(3x+2y)+5(2x+2y)=(16x+14y)米.19.有这样一道题:计算(2x3-3x2y-2xy2)-(x3-2xy2+y3)+(-x3+3x2y-y3)的值,其中x =2,y=-1.甲同学把x=2误抄成x=-2,但他计算的结果也是正确的,试说明理由,并求出这个结果.解:(2x3-3x2y-2xy2)-(x3-2xy2+y3)+(-x3+3x2y-y3)=2x3-3x2y-2xy2-x3+2xy2-y3-x3+3x2y-y3=-2y3.因为化简的结果中不含x,所以原式的值与x的取值无关.当y=-1时,原式=-2×(-1)3=2.20.观察下列各式:①-a+b=-(a-b);②2-3x=-(3x-2);③5x+30=5(x+6);④-x-6=-(x+6).探索以上四个式子中括号的变化情况,思考它和去括号法则有什么不同?利用你探索出来的规律,解答下面的题目:已知a2+b2=5,1-b=-1,求-1+a2+b+b2的值.解:因为a2+b2=5,1-b=-1,所以-1+a2+b+b2=-(1-b)+(a2+b2)=-(-1)+5=6.。
人教版数学七年级上册第2章2.2整式的加减同步练习一、选择题1.下列式子正确的是()A.7m+8n=8m+7nB.7m+8n=15mnC.7m+8n=8n+7mD.7m+8n=56mn2.若a-b=2,b-c=-3,则a-c等于()A.1B.-1C.5D.-53.单项式9x m y3与单项式4x2y n是同类项,则m+n的值是()A.2B.3C.4D.54.下列计算正确的是()A.4x-7x=3xB.5a-3a=2C.a2+a=aD.-2a-2a=-4a5.下列各组是同类项的一组是()A.a3与b3B.3x2y与-4x2yzC.x2y与-xy2D.-2a2b与ba26.若-63a3b4与81a x+1b x+y是同类项,则x、y的值为()A. B. C. D.7.去括号正确的是()A.-(3x+2)=-3x+2B.-(-2x-7)=-2x+7C.-(3x-2)=3x+2D.-(-2x+7)=2x-7二、填空题8.计算:2(x-y)+3y= ______ .9.若x+y=3,xy=2,则(5x+2)-(3xy-5y)= ______ .10.若单项式x3y n与-2x m y2是同类项,则(-m)n= ______ .11.若2x3y2n和-5x m y4是同类项,那么m-2n= ______ .三、计算题12.先化简再求值:(2a2b-ab)-2(a2b+2ab),其中a=-2,b=-.13.先化简,再求值:x-(2x-y2+3xy)+(x-x2+y2)+2xy,其中x=-2,y=.14.先化简再求值:4x-3(3x-)+2(x-y),其中x=,y=-.人教版数学七年级上册第2章2.2整式的加减同步练习答案和解析【答案】1.C2.B3.D4.D5.D6.D7.D8.2x+y9.1110.911.-112.解:原式=2a2b-ab-2a2b-4ab=-5ab,当a=-2,b=-时,原式=-5.13.解:原式=x-2x+y2-3xy+x-x2+y2+2xy=-x2+y2-xy,当x=-2,y=时,原式=-4++1=-.14.解:原式=4x-9x+2y2+5x-2y=2y2-2y,当y=-时,原式=2y2-2y=2×(-)2-2×(-)=0.5+1=1.5.【解析】1. 解:7m和8n不是同类项,不能合并,所以,7m+8n=8n+7m.故选C.根据合并同类项法则解答.本题考查了合并同类项,熟记同类项的概念是解题的关键.2. 解:∵a-b=2,b-c=-3,∴a-c=(a-b)+(b-c)=2-3=-1,故选B根据题中等式确定出所求即可.此题考查了整式的加减,熟练掌握运算法则是解本题的关键.3. 解:由题意,得m=2,n=3.m+n=2+3=5,故选:D.根据同类项的定义,可得m,n的值,根据有理数的加法,可得答案.本题考查了同类项,利用同类项的定义得出m,n的值是解题关键.4. 解:A、合并同类项系数相加字母及指数不变,故A错误;B、合并同类项系数相加字母及指数不变,故B错误;C、不是同类项不能合并,故C错误;D、合并同类项系数相加字母及指数不变,故D正确;故选:D.根据合并同类项系数相加字母及指数不变,可得答案.本题考查了合并同类项,合并同类项系数相加字母及指数不变.5. 解:如果两个单项式,它们所含的字母相同,并且各字母的指数也分别相同,那么就称这两个单项式为同类项.且与字母的顺序无关.故选(D)根据同类项的概念即可求出答案.本题考查同类项的概念,注意同类项与字母的顺序无关.6. 解:∵-63a3b4与81a x+1b x+y是同类项,∴x+1=3,x+y=4,∴x=2,y=2,故选D.根据同类项的定义进行选择即可.本题考查了同类项,掌握同类项的定义是解题的关键.7. 解:A、-(3x+2)=-3x-2,故A错误;B、-(-2x-7)=2x+7,故B错误;C、-(3x-2)=-3x+2,故C错误;D、-(-2x+7)=2x-7,故D正确.故选:D.依据去括号法则判断即可.本题主要考查的是去括号,掌握去括号法则是解题的关键.8. 解:原式=2x-2y+3y=2x+y,故答案为:2x+y原式去括号合并即可得到结果.此题考查了整式的加减,熟练掌握去括号法则与合并同类项法则是解本题的关键.9. 解:∵x+y=3,xy=2,∴原式=5x+2-3xy+5y=5(x+y)-3xy+2=15-6+2=11.故答案为:11.原式去括号合并后,将已知等式代入计算即可求出值.此题考查了整式的加减-化简求值,熟练掌握运算法则是解本题的关键.10. 解:由单项式x3y n与-2x m y2是同类项,得m=3,n=2.(-m)n=(-3)2=9,故答案为:9.由同类项的定义可先求得m和n的值,再根据负数的偶数次幂是正数,可得答案.本题考查了同类项,同类项定义中的两个“相同”:相同字母的指数相同,是易混点,因此成了中考的常考点.11. 解:∵2x3y2n和-5x m y4是同类项,∴m=3,2n=4.∴n=2.∴m-2n=3-2×2=-1.故答案为:-1.由同类项的定义可知:m=3,2n=4,从而可求得m、n的值,然后计算即可.本题主要考查的是同类项的定义,根据同类项的定义求得m、n的值是解题的关键.12.原式去括号合并得到最简结果,把a与b的值代入计算即可求出值.此题考查了整式的加减-化简求值,熟练掌握运算法则是解本题的关键.13.原式去括号合并得到最简结果,把x与y的值代入计算即可求出值.此题考查了整式的加减-化简求值,熟练掌握运算法则是解本题的关键.14.原式去括号合并得到最简结果,把x与y的值代入计算即可求出值.此题考查了整式的加减-化简求值,熟练掌握去括号法则与合并同类项法则是解本题的关键.2019-2020学年七年级数学上学期期末模拟试卷一、选择题1.如图,已知线段AB 的长度为a ,CD 的长度为b ,则图中所有线段的长度和为( )A.3a+bB.3a-bC.a+3bD.2a+2b2.A 看B 的方向是北偏东21°,那么B 看A 的方向( )A .南偏东69° B.南偏西69° C.南偏东21° D.南偏西21°3.如图,点C 、O 、B 在同一条直线上,∠AOB=90°,∠AOE=∠DOB ,则下列结论:①∠EOD=90°;②∠COE=∠AOD ;③∠COE=∠DOB ;④∠COE+∠BOD=90°.其中正确的个数是( )A.1B.2C.3D.44.下列所给条件,不能列出方程的是( )A.某数比它的平方小6B.某数加上3,再乘以2等于14C.某数与它的12的差 D.某数的3倍与7的和等于29 5.在矩形ABCD 中放入六个长、宽都相同的小长方形,所标尺寸如图所示,求小长方形的宽AE 。
2.2.2去括号、添括号提升练习一、选择题1.下列去括号正确的是( )A .a -(b +c +d)=a -b +c +dB .m 2-(m -2)=m 2-m -2 C .a -2(b +c +1)=a -2b -c -1 D .-6(x 2-2x -1)=-6x 2+12x +6 2.如果210x x +-=,那么代数式3227x x +-的值为 ( ).A. 6B.8C. -6D. -83.三个连续奇数,最小的奇数是2n+1(n 为自然数),则这三个连续奇数的和为( )A .6n+6B .2n+9C .6n+9D .6n+34.下列各式中去括号正确的是( )A. a 2﹣(2a ﹣b 2+b )=a 2﹣2a ﹣b 2+bB. ﹣(2x+y )﹣(﹣x 2+y 2)=﹣2x+y+x 2﹣y 2C. 2x 2﹣3(x ﹣5)=2x 2﹣3x+5D. ﹣a 3﹣[﹣4a 2+(1﹣3a )]=﹣a 3+4a 2﹣1+3a5. 下列运算正确的是( )A .-2(3x -1)=-6x -1B .-2(3x -1)=-6x +1C .-2(3x -1)=6x -2D .-2(3x -1)=-6x +26.不改变3a 2-2b 2-b +a +ab 的值,把二次项放在前面有“+”号的括号里,且把一次项放在前面有“-”号的括号里,下列各式正确的是( )A .+(3a 2+3b 2+ab)-(b +a)B .+(-3a 2-2b 2-ab)-(b +a)C .+(3a 2-2b 2-ab)-(b -a)D .+(3a 2-2b 2+ab)-(b -a)7.若甲、乙两种糖果,原价分别为每千克a 元和b 元。
根据柜台组调查,将两种糖果按甲种糖果m 千克和乙种糖果n 千克的比例混合,取得了较好的销售效果。
现在糖果价格有了调整:甲种糖果单价上涨%c ,乙种糖果单价下跌%d ,但按原比例混合的糖果单价恰好不变,那么m n等于 ( ). A.ac bd B. ad bc C.bc ad D.bd ac二、填空题8.去括号:2a-(b+c+1)= ;7x+(2y+3)-(3x 2-y 2)= .9.点N 和点M 在数轴上的位置如图所示,它们分别对应的数是n 和m ,则|n -m|=_____________.10. 如图所示是一组有规律的图案,第1个图案由4个基础图形组成,第2个图案由7个基础图形组成,…,第n (n 是正整数)个图案中由________个基础图形组成.11.三个小队种树,第一小队种x 棵,第二小队种的树比第一小队种的2倍还多8棵,第三小队种的树比第二小队种的一半少6棵,则三个小队共种树棵.12.已知x -y =3,xy =5,则代数式(3x -4y +5xy)-(2x -3y)+5xy 的值为______.13. 有理数a,-b 在数轴上的位置如图所示,化简a b b 322231-++--= .14.有下列各组式子:①a+b 与b-a ;②a+b 与-a-b ;③a+1与a-1;④-a+b 与a-b.其中互为相反数的有 .(填序号)三、解答题15. 计算:3(2x 2-y )-2(3y -2x 2)16.已知:ax 2+2xy-x 与2x 2-3bxy+3y 的差中不含2次项,求a 2-15ab+9b 2的值.17. 计算:-5(xy -6x 2+7y )+3(2xy -x 2+2y ).18.如图所示的是两种长方形铝合金窗框.已知窗框的长都是y 米,宽都是x 米.若一用户需①型的窗框2个,②型的窗框2个.(1)用含x ,y 的式子表示共需铝合金的长度;(2)若1米铝合金的平均费用为100元,则当x=1.2,y=1.5时,该用户所需铝合金的总费用为多少元?19. 已知a ,b ,c 在数轴上的位置如图所示,化简|c|-|a +b|-|c -a|+2|a -b|.答案1. D2. C3. C4. D.5. D6. D7. D8. 2a-b-c-1 7x+2y+3-3x 2+y 29. m -n10. 3n+111. (4x+6)12. 5313. 7a 3b -+14. ②④15. 解:原式=10x 2-9y 16. (ax 2+2xy-x)-(2x 2-3bxy+3y)=ax 2+2xy-x-2x 2+3bxy-3y=(a-2)x 2+(2+3b)xy-x-3y . ∵此差中不含二次项, 20,230.a b -=⎧⎨+=⎩ 解得:2,3 2.a b =⎧⎨=-⎩当a=2且3b= -2时,a 2-15ab+9b 2=a 2-5a(3b)+(3b)2=22-5×2×(-2)+(-2)2=4+20+4=28.17. 解:原式=xy +27x 2-29y 18. 解:(1)共需铝合金的长度为2(3x+2y )+2(2x+2y )=(10x+8y )米.(2)因为1米铝合金的平均费用为100元,x=1.2,y=1.5,所以该用户所需铝合金的总费用为100×(10×1.2+8×1.5)=2400(元).19. 解:由图可知:c <0,a +b <0,c -a <0,a -b >0,故原式=-c -[-(a +b)]-[-(c -a)]+2(a -b)=-c +a +b +c -a +2a -2b =2a -b。
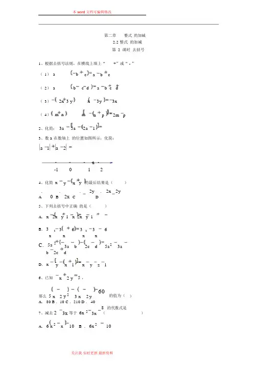
本word 文档可编辑修改关注我 实时更新 最新资料第二章 整式 的加减2.2 整式 的加减第 2 课时 去括号1、根据去括号法则,在横线上填上“ +”或“ - ”( 1) a ______ b c a b c( 2) a ______ b c d a b c d ( 3) 2x 3 y _____ x 3y 3x( 4) m n ______ m n p 2m p2、化简: 3a 5a 2a 1 _________3、数 a 在数轴上 的位置如图所示,化简:a 1 a 2 ___________a-1 0 1 24、化简 x y x y 的最后结果是( ) . 0 B . 2x C . 2y D . 2x 2y A5、下列去括号中正确 的是( )A . x 2x y 1 x 2x y 1B . 3 x 2 3 x 6 3 2 3 6 x xC . 5a 2 3a b 2c d 5a 2 3ab 2c dD . x y x 1 x y z 16、已知 x 2 y 5 , 那么 5 x 2 y 2 3 x 2 y 60 的值为( )A . 80B .10C .210D . 407、减去 2 3x 等于 6x 2 3x 8 的代数式是()A . 6 x 2 x 10B . 6x 2 10本word 文档可编辑修改关注我 实时更新 最新资料C . 6 x 2 6D . 6 x 2 x 18、化简:( 1) 2 x3 y 3 2x y4 2x 3y( 2) 4x 2 7 x 3 5x 2 3x 4( 3) 18m 5n 20m 3n 6 2 2m n 3( 4) 2x 3 y 4x 3x y9、先化简,再求值。
( 1) 5x 2 3 y 2 5x 24 y 2 7xy 其中 x1, y2.( 2)5 a 2 b 3 a 2 c2 a 2c 1 a 2 b 1.5abc 64 3 6 3abc 22 1 , c其中 a 2, b 3 。
2019年12月01日初中数学组卷一.选择题(共22小题)1.下列去括号正确的是()A.a+(﹣3b+2c﹣d)=a﹣3b+2c﹣d B.﹣(﹣x2+y2)=﹣x2﹣y2C.a2﹣(2a﹣b+c)=a2﹣2a﹣b+c D.a﹣2(b﹣c)=a+2b﹣c2.下列去括号中,正确的是()A.﹣2(a﹣3)=﹣2a﹣6 B.﹣2(a+3)=﹣2a+6 C.﹣2(a+3)=﹣2a﹣6 D.﹣2(a﹣3)=﹣2a+33.下列去括号的结果中,正确的是()A.﹣3(x﹣1)=﹣3x+3 B.﹣3(x﹣1)=﹣3x﹣1 C.﹣3(x﹣1)=﹣3x﹣3 D.﹣3(x﹣1)=﹣3x+14.下列去括号正确的是()A.x2﹣(x﹣3y)=x2﹣x﹣3y B.x2﹣3(y2﹣2xy)=x2﹣3y2+2xyC.m2﹣4(m﹣1)=m2﹣4m+4 D.a2﹣2(a﹣3)=a2+2a﹣65.下列运算正确的是()A.﹣2(a﹣b)=﹣2a﹣b B.﹣2(a﹣b)=﹣2a+b C.﹣2(a﹣b)=﹣2a ﹣2b D.﹣2(a﹣b)=﹣2a+2b6.下列各题去括号错误的是()A.x﹣(3y﹣0.5)=x﹣3y+0.5B.m+(﹣n+a﹣b)=m﹣n+a﹣bC.﹣0.5(4x﹣6y+3)=﹣2x+3y+3D.(a+0.5b)﹣(﹣c+)=a+0.5b+c﹣7.已知a﹣b=﹣3,c+d=2,则(b+c)﹣(a﹣d)的值为()A.1 B.5 C.﹣5 D.﹣18.下列去括号正确的是()A.﹣(a+b﹣c)=﹣a+b﹣c B.﹣2(a+b﹣3c)=﹣2a﹣2b+6cC.﹣(﹣a﹣b﹣c)=﹣a+b+c D.﹣(a﹣b﹣c)=﹣a+b﹣c9.下列去括号正确的是()A.a﹣(b﹣c)=a﹣b﹣c B.x2﹣[﹣(﹣x+y)]=x2﹣x+yC.m﹣2(p﹣q)=m﹣2p+qD.a+(b﹣c﹣2d)=a+b﹣c+2d10.﹣[x﹣(y﹣z)]去括号后应得()A.﹣x+y﹣z B.﹣x﹣y+z C.﹣x﹣y﹣z D.﹣x+y+z11.下列等式中成立的是()A.a﹣(b+c)=a﹣b+c B.a+(b+c)=a﹣b+c C.a+b﹣c=a+(b﹣c)D.a﹣b+c=a﹣(b+c)12.下列各式中,去括号正确的是()A.x+2(y﹣1)=x+2y﹣1 B.x﹣2(y﹣1)=x+2y+2C.x﹣2(y﹣1)=x﹣2y﹣2 D.x﹣2(y﹣1)=x﹣2y+213.下列去括号正确的是()A.a+(b﹣c)=a+b+c B.a﹣(b﹣c)=a﹣b﹣c C.a﹣(b﹣c)=a﹣b+c D.a+(b﹣c)=a﹣b+c14.下面各题中去括号正确的是()A.﹣(7a﹣5)=﹣7a﹣5 B.C.﹣(2a﹣1)=﹣2a+1 D.﹣(﹣3a+2)=3a+215.下列去括号正确的是()A.a﹣(b﹣c)=a﹣b﹣c B.a+b﹣(﹣c﹣d)=a+b+c+dC.m﹣2(p﹣q)=m﹣2p+qD.a+(b﹣c﹣2d)=a+b﹣c+2d16.下列运算正确的是()A.﹣a+b+c+d=﹣(a﹣b)﹣(﹣c﹣d)B.x﹣(y﹣z)=x﹣y﹣zC.x+2y﹣2z=x﹣2(z+y)D.﹣(x﹣y+z)=﹣x﹣y﹣z17.下列运算中“去括号”正确的是()A.a+(b﹣c)=a﹣b﹣c B.a﹣(b+c)=a﹣b﹣cC.m﹣2(p﹣q)=m﹣2p+qD.x2﹣(﹣x+y)=x2+x+y18.下列去括号错误的是()A.3a2﹣(2a﹣b+5c)=3a2﹣2a+b﹣5cB.5x2+(﹣2x+y)﹣(3z﹣a)=5x2﹣2x+y﹣3z+aC.2m2﹣3(m﹣1)=2m2﹣3m﹣1D.﹣(2x﹣y)﹣(﹣x2+y2)=﹣2x+y+x2﹣y219.下列等式:(1)﹣a﹣b=﹣(a﹣b),(2)﹣a+b=﹣(﹣b+a),(3)4﹣3x=﹣(3x﹣4),(4)5(6﹣x)=30﹣x,其中一定成立的等式的个数是()A.1个 B.2个 C.3个 D.4个20.下列添加括号正确的式子是()A.7x3﹣2x2﹣8x+6=7x3﹣(2x2﹣8x+6)B.a﹣b+c﹣d=(a﹣d)﹣(b+c)C.5a2﹣6ab﹣2a﹣3b=﹣(5a2+6ab﹣2a)﹣3bD.a﹣2b+7c=a﹣(2b﹣7c)21.下列去括号中正确的()A.x+(3y+2)=x+3y﹣2 B.a2﹣(3a2﹣2a+1)=a2﹣3a2﹣2a+1C.y2+(﹣2y﹣1)=y2﹣2y﹣1 D.m3﹣(2m2﹣4m﹣1)=m3﹣2m2+4m﹣1 22.下列去括号中,正确的是()A.a2﹣(1﹣2a)=a2﹣1﹣2a B.a﹣[5b﹣(2c﹣1)]=a﹣5b+2c﹣1C.a2+(﹣1﹣2a)=a2﹣l+2a D.﹣(a+b)+(c﹣d)=﹣a﹣b﹣c+d二.解答题(共28小题)23.去括号:﹣(2m﹣3);n﹣3(4﹣2m);16a﹣8(3b+4c);﹣(x+y)+(p+q);﹣8(3a﹣2ab+4);4(rn+p)﹣7(n﹣2q).24.先去括号,再合并同类项:(1)(x+y﹣z)+(x﹣y+z)﹣(x﹣y﹣z);(2)3(2x2﹣y2)﹣2(3y2﹣2x2).25.给下列多项式添括号.使它们的最高次项系数变为正数:(1)﹣x2+x=;(2)3x2﹣2xy2+2y2=;(3)﹣a3+2a2﹣a+1=;(4)﹣3x2y2﹣2x3+y3=.26.去括号:(1)﹣(﹣a+b)+(﹣c+d)=.(2)x﹣3(y﹣1)=.(3)﹣2(﹣y+8x)=.试用自己的语言叙述去括号法则,你觉得我们去括号时应特别注意什么?27.先去括号,再合并同类项;(1)(3x2+4﹣5x3)﹣(x3﹣3+3x2)(2)(3x2﹣xy﹣2y2)﹣2(x2+xy﹣2y2)(3)2x﹣[2(x+3y)﹣3(x﹣2y)](4)(a+b)2﹣(a+b)﹣(a+b)2+(﹣3)2(a+b).28.将下列各式去括号,并合并同类项.(1)(7y﹣2x)﹣(7x﹣4y)(2)(﹣b+3a)﹣(a﹣b)(3)(2x﹣5y)﹣(3x﹣5y+1)(4)2(2﹣7x)﹣3(6x+5)(5)(﹣8x2+6x)﹣5(x2﹣x+)(6)(3a2+2a﹣1)﹣2(a2﹣3a﹣5)29.先去括号,再合并同类项:﹣2n﹣(3n﹣1);a﹣(5a﹣3b)+(2b﹣a);﹣3(2a﹣5)+6a;1﹣(2a﹣1)﹣(3a+3);3(﹣ab+2a)﹣(3a﹣b);14(abc﹣2a)+3(6a﹣2abc).30.先去括号,再合并同类项:6a2﹣2ab﹣2(3a2﹣ab);2(2a﹣b)﹣[4b﹣(﹣2a+b)];9a3﹣[﹣6a2+2(a3﹣a2)];2t﹣[t﹣(t2﹣t﹣3)﹣2]+(2t2﹣3t+1).31.去括号,合并同类项:﹣(a﹣b)+(4a﹣3b﹣c)﹣(5a+3b﹣c).32.观察下列各式:(1)﹣a+b=﹣(a﹣b);(2)2﹣3x=﹣(3x﹣2);(3)5x+30=5(x+6);(4)﹣x﹣6=﹣(x+6).探索以上四个式子中括号的变化情况,思考它和去括号法则有什么不同?利用你的探索出来的规律,解答下面的题目:已知a2+b2=5,1﹣b=﹣2,求1+a2+b+b2的值.33.去括号,并合并同类项:(1)2x2﹣(7+x)﹣x(3+4x);(2)﹣(3a2﹣2a+1)+(a2﹣5a+7);(3)4(a+b)﹣5(a﹣b)﹣6(a﹣b)+7(a+b)34.去括号并合并含相同字母的项:(x﹣6)+3(y﹣1)﹣2(﹣2y+6).35.先去括号,再合并同类项:2(x2﹣2y)﹣(6x2﹣12y)+10.36.去括号,合并同类项:(1)(x﹣2y)﹣(y﹣3x);(2).37.先去括号,后合并同类项:(1)x+[﹣x﹣2(x﹣2y)];(2);(3)2a﹣(5a﹣3b)+3(2a﹣b);(4)﹣3{﹣3[﹣3(2x+x2)﹣3(x﹣x2)﹣3]}.38.下列去括号正确吗?如果有错误,请改正.(1)﹣(﹣a﹣b)=a﹣b;(2)5x﹣(2x﹣1)﹣x2=5x﹣2x+1+x2;(3);(4)(a3+b3)﹣3(2a3﹣3b3)=a3+b3﹣6a3+9b3.39.按要求把多项式5a3b﹣2ab+3ab3﹣2b2添上括号:(1)把前两项括到带有“+”号的括号里,把后两项括到带有“﹣”号的括号里;(2)把后三项括到带有“﹣”号的括号里;(3)把四次项括到带有“+”号的括号里,把二次项括到带有“﹣”号的括号里.40.先去括号,再合并同类项:(1)(x+3)﹣(y﹣2x)+(2y﹣1);(2)4(x+2x2﹣5)﹣2(2x﹣x2+1);(3)3a+(a2﹣a﹣2)﹣(1﹣3a﹣a2);(4)﹣5(x2﹣3)﹣2(3x2+5);(5)3(ab﹣b2)﹣2(ab+3a2﹣2ab)﹣6(ab﹣b2)41.先去括号,再合并同类项:(1)5a﹣(a+3b);(2)﹣2x﹣(﹣3x+1);(3)3x﹣2+2(x﹣3);(4)3x﹣2﹣(2x﹣3);(5)4(m+n)﹣6(m﹣2n+1);(6)(8x﹣5y)﹣(4x﹣9y);(7)x﹣(2x﹣y)+(3x﹣2y);(8)2(x+y)+(﹣5x+2y);(9)(2a2﹣b2)﹣3(a2﹣2b2);(10)﹣2(﹣3xy+2z)+3(﹣2xy﹣5x)42.按下列要求,给多项式3x3﹣5x2﹣3x+4添括号:(1)把多项式后三项括起来,括号前面带有“+”号;(2)把多项式的前两项括起来,括号前面带“﹣”号;(3)把多项式后三项括起来,括号前面带有“﹣”号;(4)把多项式中间的两项括起来.括号前面“﹣”号.43.把代数式(a2﹣2ab+b2+5)(﹣a2+2ab﹣b2+5)写成(5+m)(5﹣m)的形式,并求出m.44.去括号,并合并同类项:(1)(3a+1.5b)﹣(7a﹣2b)(2)(8xy﹣x2+y2)﹣4(x2﹣y2+2xy﹣3)45.先去括号、再合并同类项①2(a﹣b+c)﹣3(a+b﹣c)②3a2b﹣2[ab2﹣2(a2b﹣2ab2)].46.去括号,合并同类项:.47.先去括号,再合并同类项:(1)﹣(x+y)+(3x﹣7y);(2)2a+2(a+1)﹣3(a﹣1);(3)4a2﹣3a+3﹣3(﹣a3+2a+1).48.在横线上填入“+”或“﹣”号,使等式成立.(1)a﹣b=(b﹣a);(2)a+b=(b+a);(3)(a﹣b)2=(b ﹣a)2(4)(a+b)2=(b+a)2;(5)(a﹣b)3=(b﹣a)3;(6)(﹣a ﹣b)3=(b+a)3.49.去括号:(1)4a﹣2(b﹣3c);(2)﹣5a+(4x﹣6);(3)3x+[4y﹣(7z+3)];(4)﹣3a3﹣[2x2﹣(5x+1)].50.阅读下面材料:计算:1+2+3+4+…+99+100如果一个一个顺次相加显然太繁杂,我们仔细观察这个式子的特点,发现运用加法的运算律,可简化计算,提高计算速度.1+2+3+…+99+100=(1+100)+(2+99)+…+(50+51)=101×50=5050根据阅读材料提供的方法,计算:a+(a+m)+(a+2m)+(a+3m)+…+(a+100m)2019年12月01日初中数学组卷参考答案与试题解析一.选择题(共22小题)1.下列去括号正确的是()A.a+(﹣3b+2c﹣d)=a﹣3b+2c﹣d B.﹣(﹣x2+y2)=﹣x2﹣y2C.a2﹣(2a﹣b+c)=a2﹣2a﹣b+c D.a﹣2(b﹣c)=a+2b﹣c【分析】根据去括号法则对四个选项逐一进行分析,要注意括号前面的符号,以选用合适的法则进行解答即可.【解答】解:A、a+(﹣3b+2c﹣d)=a﹣3b+2c﹣d,故本选项正确;B、﹣(﹣x2+y2)=x2﹣y2,故本选项错误;C、a2﹣(2a﹣b+c)=a2﹣2a+b﹣c,故本选项错误;D、a﹣2(b﹣c)=a﹣2b+2c,故本选项错误;故选A.【点评】本题考查去括号的方法:去括号时,括号前是“+”,去括号后,括号里的各项都不改变符号;括号前是“﹣”,去括号后,括号里的各项都改变符号.2.下列去括号中,正确的是()A.﹣2(a﹣3)=﹣2a﹣6 B.﹣2(a+3)=﹣2a+6 C.﹣2(a+3)=﹣2a﹣6 D.﹣2(a﹣3)=﹣2a+3【分析】先把括号前的数字与括号里各项相乘,然后利用去括号的法则即可对选项化简,判断.【解答】解:﹣2(a﹣3)=﹣(2a﹣6)=﹣2a+6,故A,D选项错误;﹣2(a+3)=﹣(2a+6)=﹣2a﹣6,故B选项错误,C正确.故选C.【点评】本题考查去括号的方法:去括号时,运用乘法的分配律,先把括号前的数字与括号里各项相乘,再运用括号前是“+”,去括号后,括号里的各项都不改变符号;括号前是“﹣”,去括号后,括号里的各项都改变符号.运用这一法则去掉括号.3.下列去括号的结果中,正确的是()A.﹣3(x﹣1)=﹣3x+3 B.﹣3(x﹣1)=﹣3x﹣1 C.﹣3(x﹣1)=﹣3x﹣3 D.﹣3(x﹣1)=﹣3x+1【分析】根据去括号法则即可求出答案.【解答】解:(A)原式=﹣3x+3,故A正确;故选(A)【点评】本题考查去括号法则,解题的关键是熟练运用去括号法则,本题属于基础题型.4.下列去括号正确的是()A.x2﹣(x﹣3y)=x2﹣x﹣3y B.x2﹣3(y2﹣2xy)=x2﹣3y2+2xyC.m2﹣4(m﹣1)=m2﹣4m+4 D.a2﹣2(a﹣3)=a2+2a﹣6【分析】根据去括号法则对四个选项逐一进行分析,要注意括号前面的符号,以选用合适的法则.【解答】解:A、x2﹣(x﹣3y)=x2﹣x+3y,故本选项错误;B、x2﹣3(y2﹣2xy)=x2﹣3y2+6xy,故本选项错误;C、m2﹣4(m﹣1)=m2﹣4m+4,故本选项正确;D、a2﹣2(a﹣3)=a2+2a+6,故本选项错误.故选:C.【点评】本题考查去括号的方法:去括号时,运用乘法的分配律,先把括号前的数字与括号里各项相乘,再运用括号前是“+”,去括号后,括号里的各项都不改变符号;括号前是“﹣”,去括号后,括号里的各项都改变符号.运用这一法则去掉括号.5.下列运算正确的是()A.﹣2(a﹣b)=﹣2a﹣b B.﹣2(a﹣b)=﹣2a+b C.﹣2(a﹣b)=﹣2a ﹣2b D.﹣2(a﹣b)=﹣2a+2b【分析】分别根据去括号法则整理得出判断即可.【解答】解:A、﹣2(a﹣b)=﹣2a+2b,故此选项错误;B、﹣2(a﹣b)=﹣2a+2b,故此选项错误;C、﹣2(a﹣b)=﹣2a+2b,故此选项错误;D、﹣2(a﹣b)=﹣2a+2b,故此选项正确.故选:D.【点评】此题主要考查了去括号法则,正确去括号得出是解题关键.6.下列各题去括号错误的是()A.x﹣(3y﹣0.5)=x﹣3y+0.5B.m+(﹣n+a﹣b)=m﹣n+a﹣bC.﹣0.5(4x﹣6y+3)=﹣2x+3y+3D.(a+0.5b)﹣(﹣c+)=a+0.5b+c﹣【分析】根据去括号与添括号的法则逐一计算即可.【解答】解:A、x﹣(3y﹣0.5)=x﹣3y+0.5,正确;B、m+(﹣n+a﹣b)=m﹣n+a﹣b,正确;C、﹣0.5(4x﹣6y+3)=﹣2x+3y﹣1.5,故错误;D、(a+0.5b)﹣(﹣c+)=a+0.5b+c﹣,正确.故选C.【点评】本题考查去括号的方法:去括号时,运用乘法的分配律,先把括号前的数字与括号里各项相乘,再运用括号前是“+”,去括号后,括号里的各项都不改变符号;括号前是“﹣”,去括号后,括号里的各项都改变符号.7.已知a﹣b=﹣3,c+d=2,则(b+c)﹣(a﹣d)的值为()A.1 B.5 C.﹣5 D.﹣1【分析】先把括号去掉,重新组合后再添括号.【解答】解:因为(b+c)﹣(a﹣d)=b+c﹣a+d=(b﹣a)+(c+d)=﹣(a﹣b)+(c+d)…(1),所以把a﹣b=﹣3、c+d=2代入(1)得:原式=﹣(﹣3)+2=5.故选:B.【点评】(1)括号前是“+”,去括号后,括号里的各项都不改变符号;括号前是“﹣”,去括号后,括号里的各项都改变符号.运用这一法则去括号;(2)添括号后,括号前是“+”,括号里的各项都不改变符号;添括号后,括号前是“﹣”,括号里的各项都改变符号.运用这一法则添括号.8.下列去括号正确的是()A.﹣(a+b﹣c)=﹣a+b﹣c B.﹣2(a+b﹣3c)=﹣2a﹣2b+6cC.﹣(﹣a﹣b﹣c)=﹣a+b+c D.﹣(a﹣b﹣c)=﹣a+b﹣c【分析】利用去括号添括号法则计算.【解答】解:A、﹣(a+b﹣c)=﹣a﹣b+c,故不对;B、正确;C、﹣(﹣a﹣b﹣c)=a+b+c,故不对;D、﹣(a﹣b﹣c)=﹣a+b+c,故不对.故选B.【点评】本题考查去括号的方法:去括号时,运用乘法的分配律,先把括号前的数字与括号里各项相乘,再运用括号前是“+”,去括号后,括号里的各项都不改变符号;括号前是“﹣”,去括号后,括号里的各项都改变符号.9.下列去括号正确的是()A.a﹣(b﹣c)=a﹣b﹣c B.x2﹣[﹣(﹣x+y)]=x2﹣x+yC.m﹣2(p﹣q)=m﹣2p+qD.a+(b﹣c﹣2d)=a+b﹣c+2d【分析】根据去括号法则:如果括号外的因数是正数,去括号后原括号内各项的符号与原来的符号相同;如果括号外的因数是负数,去括号后原括号内各项的符号与原来的符号相反,分别进行各选项的判断即可.【解答】解:A、a﹣(b﹣c)=a﹣b+c,原式计算错误,故本选项错误;B、x2﹣[﹣(﹣x+y)]=x2﹣x+y,原式计算正确,故本选项正确;C、m﹣2(p﹣q)=m﹣2p+2q,原式计算错误,故本选项错误;D、a+(b﹣c﹣2d)=a+b﹣c﹣2d,原式计算错误,故本选项错误;故选B.【点评】本题考查了去括号得知识,属于基础题,掌握去括号得法则是解答本题的关键.10.﹣[x﹣(y﹣z)]去括号后应得()A.﹣x+y﹣z B.﹣x﹣y+z C.﹣x﹣y﹣z D.﹣x+y+z【分析】根据去括号规律:括号前是“﹣”号,去括号时连同它前面的“﹣”号一起去掉,括号内各项都要变号.依次去掉小括号,再去掉中括号.【解答】解:﹣[x﹣(y﹣z)]=﹣(x﹣y+z)=﹣x+y﹣z.故选:A.【点评】此题主要考查了去括号,关键是掌握去括号规律:括号前是“+”号,去括号时连同它前面的“+”号一起去掉,括号内各项不变号;括号前是“﹣”号,去括号时连同它前面的“﹣”号一起去掉,括号内各项都要变号.11.下列等式中成立的是()A.a﹣(b+c)=a﹣b+c B.a+(b+c)=a﹣b+c C.a+b﹣c=a+(b﹣c)D.a﹣b+c=a﹣(b+c)【分析】根据去括号与添括号的法则对各项由此判断即可解答.【解答】解:A、应为a﹣(b+c)=a﹣b﹣c,故本选项错误;B、应为a+(b+c)=a+b+c,故本选项错误;C、a+b﹣c=a+(b﹣c),正确D、应为a﹣b+c=a﹣(b﹣c),故本选项错误.故选C.【点评】本题主要考查去括号与添括号,去括号法则:如果括号外的因数是正数,去括号后原括号内各项的符号与原来的符号相同;如果括号外的因数是负数,去括号后原括号内各项的符号与原来的符号相反.添括号法则:添括号时,如果括号前面是正号,括到括号里的各项都不变号,如果括号前面是负号,括号括号里的各项都改变符号.12.下列各式中,去括号正确的是()A.x+2(y﹣1)=x+2y﹣1 B.x﹣2(y﹣1)=x+2y+2C.x﹣2(y﹣1)=x﹣2y﹣2 D.x﹣2(y﹣1)=x﹣2y+2【分析】注意:2(y﹣1)=2y﹣2,即可判断A;根据﹣2(y﹣1)=﹣2y+2,即可判断B、C、D.【解答】解:A、x+2(y﹣1)=x+2y﹣2,故本选项错误;B、x﹣2(y﹣1)=x﹣2y+2,故本选项错误;C、x﹣2(y﹣1)=x﹣2y+2,故本选项错误;D、x﹣2(y﹣1)=x﹣2y+2,故本选项正确;故选D.【点评】本题考查了去括号法则和乘法的分配律等知识点,注意:①括号前是“+”号,把括号和它前面的“+”号去掉,括号内的各项都不变,括号前是“﹣”号,把括号和它前面的“﹣”号去掉,把括号内的各项都变号.②m(a+b)=ma+mb,不等于ma+b.13.下列去括号正确的是()A.a+(b﹣c)=a+b+c B.a﹣(b﹣c)=a﹣b﹣c C.a﹣(b﹣c)=a﹣b+c D.a+(b﹣c)=a﹣b+c【分析】利用去括号添括号法则,逐项判断即可得出正确答案.【解答】解:A、D、a+(b﹣c)=a+b﹣c,故A和D都错误;B、C、a﹣(b﹣c)=a﹣b+c,故B错误,C正确;故选C.【点评】本题考查去括号的方法:运用括号前是“+”,去括号后,括号里的各项都不改变符号;括号前是“﹣”,去括号后,括号里的各项都改变符号.14.下面各题中去括号正确的是()A.﹣(7a﹣5)=﹣7a﹣5 B.C.﹣(2a﹣1)=﹣2a+1 D.﹣(﹣3a+2)=3a+2【分析】去括号法则:如果括号外的因数是正数,去括号后原括号内各项的符号与原来的符号相同;如果括号外的因数是负数,去括号后原括号内各项的符号与原来的符号相反.【解答】解:A、﹣(7a﹣5)=﹣7a+5,原式计算错误,故本选项错误;B、﹣(﹣a+2)=a﹣2,原式计算错误,故本选项错误;C、﹣(2a﹣1)=﹣2a+1,原式计算正确,故本选项正确;D、﹣(﹣3a+2)=3a﹣2,原式计算错误,故本选项错误;故选C.【点评】本题考查了去括号的法则,属于基础题,去括号的法则需要我们熟练记忆.15.下列去括号正确的是()A.a﹣(b﹣c)=a﹣b﹣c B.a+b﹣(﹣c﹣d)=a+b+c+dC.m﹣2(p﹣q)=m﹣2p+qD.a+(b﹣c﹣2d)=a+b﹣c+2d【分析】根据去括号的方法进行计算.【解答】解:A、原式=a﹣b+c,故本选项错误;B、原式=a+b﹣(﹣c﹣d)=a+b+c+d,故本选项正确;C、原式=m﹣2p+2q,故本选项错误;D、原式=a+(b﹣c﹣2d)=a+b﹣c﹣2d,故本选项错误;故选:B.【点评】本题考查去括号的方法:去括号时,运用乘法的分配律,先把括号前的数字与括号里各项相乘,再运用括号前是“+”,去括号后,括号里的各项都不改变符号;括号前是“﹣”,去括号后,括号里的各项都改变符号.顺序为先大后小.16.下列运算正确的是()A.﹣a+b+c+d=﹣(a﹣b)﹣(﹣c﹣d)B.x﹣(y﹣z)=x﹣y﹣zC.x+2y﹣2z=x﹣2(z+y)D.﹣(x﹣y+z)=﹣x﹣y﹣z【分析】原式各项变形得到结果,即可作出判断.【解答】解:A、原式=﹣(a﹣b)﹣(﹣c﹣d),正确;B、原式=x﹣y+z,错误;C、原式=x﹣2(x﹣y),错误;D、原式=﹣x+y﹣z,错误,故选A【点评】此题考查了去括号与添括号,以及合并同类项,熟练掌握运算法则是解本题的关键.17.下列运算中“去括号”正确的是()A.a+(b﹣c)=a﹣b﹣c B.a﹣(b+c)=a﹣b﹣cC.m﹣2(p﹣q)=m﹣2p+qD.x2﹣(﹣x+y)=x2+x+y【分析】原式各项变形得到结果,即可作出判断.【解答】解:A、原式=a+b﹣c,错误;B、原式=a﹣b﹣c,正确;C、原式=m﹣2p+2q,错误;D、原式=x2+x﹣y,错误,故选B【点评】此题考查了去括号与添括号,熟练掌握去括号法则是解本题的关键.18.下列去括号错误的是()A.3a2﹣(2a﹣b+5c)=3a2﹣2a+b﹣5cB.5x2+(﹣2x+y)﹣(3z﹣a)=5x2﹣2x+y﹣3z+aC.2m2﹣3(m﹣1)=2m2﹣3m﹣1D.﹣(2x﹣y)﹣(﹣x2+y2)=﹣2x+y+x2﹣y2【分析】依据去括号法则进行解答即可.【解答】解:A、3a2﹣(2a﹣b+5c)=3a2﹣2a+b﹣5c,故A正确,与要求不符;B、5x2+(﹣2x+y)﹣(3z﹣a)=5x2﹣2x+y﹣3z+a,故B正确,与要求不符;C、2m2﹣3(m﹣1)=2m2﹣3m+1,故C错误,与要求相符;D、﹣(2x﹣y)﹣(﹣x2+y2)=﹣2x+y+x2﹣y2 ,故D正确,与要求不符.故选:C.【点评】本题主要考查的是去括号法则,熟练掌握去括号法则是解题的关键.19.下列等式:(1)﹣a﹣b=﹣(a﹣b),(2)﹣a+b=﹣(﹣b+a),(3)4﹣3x=﹣(3x﹣4),(4)5(6﹣x)=30﹣x,其中一定成立的等式的个数是()A.1个 B.2个 C.3个 D.4个【分析】根据去括号的法则判断各个等式即可.【解答】解:(1)﹣a﹣b=﹣(a+b),错误;(2)﹣a+b=﹣(﹣b+a),正确;(3)4﹣3x=﹣(3x﹣4),正确;(4)5(6﹣x)=30﹣5x,错误.其中一定成立的等式的个数是2个.故选B.【点评】本题考查去括号的知识,注意掌握去括号法则:如果括号外的因数是正数,去括号后原括号内各项的符号与原来的符号相同;如果括号外的因数是负数,去括号后原括号内各项的符号与原来的符号相反.20.下列添加括号正确的式子是()A.7x3﹣2x2﹣8x+6=7x3﹣(2x2﹣8x+6)B.a﹣b+c﹣d=(a﹣d)﹣(b+c)C.5a2﹣6ab﹣2a﹣3b=﹣(5a2+6ab﹣2a)﹣3bD.a﹣2b+7c=a﹣(2b﹣7c)【分析】根据添括号法则:添括号时,如果括号前面是正号,括到括号里的各项都不变号,如果括号前面是负号,括号括号里的各项都改变符号可得答案.【解答】解:A、7x3﹣2x2﹣8x+6=7x3﹣(2x2+8x﹣6),故此选项错误;B、a﹣b+c﹣d=(a﹣d)﹣(b﹣c),故此选项错误;C、5a2﹣6ab﹣2a﹣3b=﹣(5a2+6ab+2a)﹣3b,故此选项错误;D、a﹣2b+7c=a﹣(2b﹣7c),故此选项正确;故选:D.【点评】此题主要考查了添括号,关键是掌握添括号法则,注意符号的变化.21.下列去括号中正确的()A.x+(3y+2)=x+3y﹣2 B.a2﹣(3a2﹣2a+1)=a2﹣3a2﹣2a+1C.y2+(﹣2y﹣1)=y2﹣2y﹣1 D.m3﹣(2m2﹣4m﹣1)=m3﹣2m2+4m﹣1【分析】根据去括号法则对四个选项逐一进行分析,要注意括号前面的符号,以选用合适的法则.【解答】解:A、x+(3y+2)=x+3y+2,故本选项错误;B、a2﹣(3a2﹣2a+1)=a2﹣3a2+2a﹣1,故本选项错误;C、y2+(﹣2y﹣1)=y2﹣2y﹣1,故本选项正确;D、m3﹣(2m2﹣4m﹣1)=m3﹣2m2+4m+1,故本选项错误;故选C.【点评】本题考查去括号的方法:去括号时,运用乘法的分配律,先把括号前的数字与括号里各项相乘,再运用括号前是“+”,去括号后,括号里的各项都不改变符号;括号前是“﹣”,去括号后,括号里的各项都改变符号.运用这一法则去掉括号.22.下列去括号中,正确的是()A.a2﹣(1﹣2a)=a2﹣1﹣2a B.a﹣[5b﹣(2c﹣1)]=a﹣5b+2c﹣1C.a2+(﹣1﹣2a)=a2﹣l+2a D.﹣(a+b)+(c﹣d)=﹣a﹣b﹣c+d【分析】根据去括号的方法解答.【解答】解:A、a2﹣(1﹣2a)=a2﹣1+2a,故本选项错误;B、a﹣[5b﹣(2c﹣1)]=a﹣5b+2c﹣1,故本选项正确;C、a2+(﹣1﹣2a)=a2﹣l﹣2a,故本选项错误;D、﹣(a+b)+(c﹣d)=﹣a﹣b+c﹣d,故本选项错误;故选:B.【点评】本题考查去括号的方法:去括号时,运用乘法的分配律,先把括号前的数字与括号里各项相乘,再运用括号前是“+”,去括号后,括号里的各项都不改变符号;括号前是“﹣”,去括号后,括号里的各项都改变符号.顺序为先大后小.二.解答题(共28小题)23.去括号:﹣(2m﹣3);n﹣3(4﹣2m);16a﹣8(3b+4c);﹣(x+y)+(p+q);﹣8(3a﹣2ab+4);4(rn+p)﹣7(n﹣2q).【分析】按照去括号的法则求解即可,要注意括号前面的符号,以选用合适的法则.【解答】解:﹣(2m﹣3)=﹣2m+3;n﹣3(4﹣2m)=n﹣12+6m;16a﹣8(3b+4c)=16a﹣24b﹣32c;﹣(x+y)+(p+q)=﹣x﹣y+p+q;﹣8(3a﹣2ab+4)=﹣24a+16ab﹣32;4(rn+p)﹣7(n﹣2q)=4rn+4p﹣7n+14q.【点评】本题考查了去括号的方法:去括号时,运用乘法的分配律,先把括号前的数字与括号里各项相乘,再运用括号前是“+”,去括号后,括号里的各项都不改变符号;括号前是“﹣”,去括号后,括号里的各项都改变符号.运用这一法则去掉括号.24.先去括号,再合并同类项:(1)(x+y﹣z)+(x﹣y+z)﹣(x﹣y﹣z);(2)3(2x2﹣y2)﹣2(3y2﹣2x2).【分析】(1)首先利用去括号法则去掉括号,然后利用合并同类项法则合并同类项即可;(2)首先利用分配律计算,然后去括号法则去掉括号,利用合并同类项法则合并同类项即可.【解答】解:(1)原式=x+y﹣z+x﹣y+z﹣x+y+z=x+y+z;(2)原式=6x2﹣3y2﹣6y2+4x2=10x2﹣9y2.【点评】本题考查添括号的方法:去括号时,若括号前是“+”,去括号后,括号里的各项都不改变符号;若括号前是“﹣”,去括号后,括号里的各项都改变符号.25.给下列多项式添括号.使它们的最高次项系数变为正数:(1)﹣x2+x=﹣(x2﹣x);(2)3x2﹣2xy2+2y2=﹣(2xy2﹣3x2﹣2y2);(3)﹣a3+2a2﹣a+1=﹣(a3﹣2a2+a﹣1);(4)﹣3x2y2﹣2x3+y3=﹣(3x2y2+2x3﹣y3).【分析】最高系数项的系数是负数,则多项式放在带负号的括号内,依据添括号法则即可求解.【解答】解:(1)﹣x2+x=﹣(x2﹣x);(2)3x2﹣2xy2+2y2=﹣(2xy2﹣3x2﹣2y2);(3)﹣a3+2a2﹣a+1=﹣(a3﹣2a2+a﹣1);(4)﹣3x2y2﹣2x3+y3=﹣(3x2y2+2x3﹣y3)故答案是:(1)﹣(x2﹣x);(2)﹣(2xy2﹣3x2﹣2y2);(3)﹣(a3﹣2a2+a﹣1);(4)﹣(3x2y2+2x3﹣y3).【点评】本题考查添括号的方法:添括号时,若括号前是“+”,添括号后,括号里的各项都不改变符号;若括号前是“﹣”,添括号后,括号里的各项都改变符号.26.去括号:(1)﹣(﹣a+b)+(﹣c+d)=a﹣b﹣c+d.(2)x﹣3(y﹣1)=x﹣3y+3.(3)﹣2(﹣y+8x)=2y﹣16x.试用自己的语言叙述去括号法则,你觉得我们去括号时应特别注意什么?【分析】根据去括号法则即可求解,要注意括号前面的符号,以选用合适的法则.【解答】解:(1)﹣(﹣a+b)+(﹣c+d)=a﹣b﹣c+d.(2)x﹣3(y﹣1)=x﹣3y+3.(3)﹣2(﹣y+8x)=2y﹣16x.去括号时,运用乘法的分配律,先把括号前的数字与括号里各项相乘,再运用括号前是“+”,去括号后,括号里的各项都不改变符号;括号前是“﹣”,去括号后,括号里的各项都改变符号.运用这一法则去掉括号.【点评】本题考查去括号的方法:去括号时,运用乘法的分配律,先把括号前的数字与括号里各项相乘,再运用括号前是“+”,去括号后,括号里的各项都不改变符号;括号前是“﹣”,去括号后,括号里的各项都改变符号.运用这一法则去掉括号.27.先去括号,再合并同类项;(1)(3x2+4﹣5x3)﹣(x3﹣3+3x2)(2)(3x2﹣xy﹣2y2)﹣2(x2+xy﹣2y2)(3)2x﹣[2(x+3y)﹣3(x﹣2y)](4)(a+b)2﹣(a+b)﹣(a+b)2+(﹣3)2(a+b).【分析】根据去括号的方法,先去大括号,再去中括号,最后去小括号,再计算即可.【解答】解:(1)原式=3x2+4﹣5x3﹣x3+3﹣3x2=﹣6x3+7;(2)原式=3x2﹣xy﹣2y2﹣2x2﹣2xy+4y2=x2﹣3xy+2y2;(3)原式=2x﹣2x﹣6y+3x﹣6y=3x﹣12y;(4)原式=﹣(a+b)﹣(a+b)2+9(a+b)=﹣(a+b)2+(a+b).【点评】本题考查去括号的方法:去括号时,运用乘法的分配律,先把括号前的数字与括号里各项相乘,再运用括号前是“+”,去括号后,括号里的各项都不改变符号;括号前是“﹣”,去括号后,括号里的各项都改变符号.顺序为先大后小.28.将下列各式去括号,并合并同类项.(1)(7y﹣2x)﹣(7x﹣4y)(2)(﹣b+3a)﹣(a﹣b)(3)(2x﹣5y)﹣(3x﹣5y+1)(4)2(2﹣7x)﹣3(6x+5)(5)(﹣8x2+6x)﹣5(x2﹣x+)(6)(3a2+2a﹣1)﹣2(a2﹣3a﹣5)【分析】原式各项去括号合并即可得到结果.【解答】解:(1)原式=7y﹣2x﹣7x+4y=11y﹣9x;(2)原式=﹣b+3a﹣a+b=2a;(3)原式=2x﹣5y﹣3x+5y﹣1=﹣x﹣1;(4)原式=4﹣14x﹣18x﹣15=﹣32x﹣11;(5)原式=﹣8x2+6x﹣5x2+4x﹣1=﹣13x2+10x﹣1;(6)原式=3a2+2a﹣1﹣2a2+6a+10=a2+8a+9.【点评】此题考查了去括号与添括号,以及合并同类项,熟练掌握运算法则是解本题的关键.29.先去括号,再合并同类项:﹣2n﹣(3n﹣1);a﹣(5a﹣3b)+(2b﹣a);﹣3(2a﹣5)+6a;1﹣(2a﹣1)﹣(3a+3);3(﹣ab+2a)﹣(3a﹣b);14(abc﹣2a)+3(6a﹣2abc).【分析】先去括号,再合并同类项即可.【解答】解:﹣2n﹣(3n﹣1)=﹣2n﹣3n+1=﹣5n+1;a﹣(5a﹣3b)+(2b﹣a)=a﹣5a+3b+2b﹣a=﹣5a+5b;﹣3(2a﹣5)+6a=﹣6a+15+6a=15;1﹣(2a﹣1)﹣(3a+3)=1﹣2a+1﹣3a﹣3=﹣5a﹣1;3(﹣ab+2a)﹣(3a﹣b)=﹣3ab+6a﹣3a+b=﹣3ab+3a+b;14(abc﹣2a)+3(6a﹣2abc)=14abc﹣28a+18a﹣6abc=8abc﹣10a.【点评】本题考查了去括号和添括号,解答本题的关键是掌握去括号的法则和合并同类项的法则.30.先去括号,再合并同类项:6a2﹣2ab﹣2(3a2﹣ab);2(2a﹣b)﹣[4b﹣(﹣2a+b)];9a3﹣[﹣6a2+2(a3﹣a2)];2t﹣[t﹣(t2﹣t﹣3)﹣2]+(2t2﹣3t+1).【分析】先去小括号,再去中括号,然后合并同类项即可;【解答】解:6a2﹣2ab﹣2(3a2﹣ab)=6a2﹣2ab﹣6a2+ab=﹣ab;2(2a﹣b)﹣[4b﹣(﹣2a+b)]=4a﹣2b﹣4b﹣2a+b=2a﹣5b;9a3﹣[﹣6a2+2(a3﹣a2)]=9a3+6a2﹣2a3+a2=7a3+a2;2t﹣[t﹣(t2﹣t﹣3)﹣2]+(2t2﹣3t+1)=2t﹣t+t2﹣t﹣3+2+2t2﹣3t+1=3t2﹣3t.【点评】本题考查了去括号及合并同类项的知识,熟记去括号及合并同类项的法则是解题关键.31.去括号,合并同类项:﹣(a﹣b)+(4a﹣3b﹣c)﹣(5a+3b﹣c).【分析】原式去括号合并即可得到结果.【解答】解:原式=﹣a+b+4a﹣3b﹣c﹣5a﹣3b+c=﹣2a﹣5b.【点评】此题考查了去括号与添括号,以及合并同类项,熟练掌握法则是解本题的关键.32.观察下列各式:(1)﹣a+b=﹣(a﹣b);(2)2﹣3x=﹣(3x﹣2);(3)5x+30=5(x+6);(4)﹣x﹣6=﹣(x+6).探索以上四个式子中括号的变化情况,思考它和去括号法则有什么不同?利用你的探索出来的规律,解答下面的题目:已知a2+b2=5,1﹣b=﹣2,求1+a2+b+b2的值.【分析】注意观察等号两边的变化,等号右边添加了括号,然后观察符号的变化即可;根据已知条件计算出b的值,然后再代入求值即可.【解答】解:添括号时,如果括号前面是正号,括到括号里的各项都不变号,如果括号前面是负号,括号括号里的各项都改变符号.∵1﹣b=﹣2,∴b=3,∴1+a2+b+b2=(a2+b2)+b+1=5+3+1=9.【点评】此题主要考查了添括号,以及求代数式的值,关键是注意符号问题.33.去括号,并合并同类项:(1)2x2﹣(7+x)﹣x(3+4x);(2)﹣(3a2﹣2a+1)+(a2﹣5a+7);(3)4(a+b)﹣5(a﹣b)﹣6(a﹣b)+7(a+b)【分析】(1)首先利用去括号法则化简,进而合并同类项得出答案;(2)首先利用去括号法则化简,进而合并同类项得出答案;(3)首先将(a+b),(a﹣b)看作整体合并同类项,进而利用去括号法则求出即可.【解答】解:(1)2x2﹣(7+x)﹣x(3+4x)=2x2﹣7﹣x﹣3x﹣4x2=﹣2x2﹣4x﹣7;(2)﹣(3a2﹣2a+1)+(a2﹣5a+7)=﹣3a2+2a﹣1+a2﹣5a+7=﹣2a2﹣3a+6;(3)4(a+b)﹣5(a﹣b)﹣6(a﹣b)+7(a+b)=11(a+b)﹣11(a﹣b)=22b.【点评】此题主要考查了去括号法则以及合并同类项,正确掌握去括号法则是解题关键.34.去括号并合并含相同字母的项:(x﹣6)+3(y﹣1)﹣2(﹣2y+6).【分析】本题考查了整式的加减,其一般步骤是去括号,合并同类项,合并同类项法则是把同类项的系数相加减,字母与字母的指数不变.【解答】解:原式=﹣x+10+x﹣3+3y﹣3+4y﹣12,=(﹣x+x)+(3y+4y)﹣12+10﹣3﹣3=7y﹣8.【点评】同类项定义中的两个“相同”:(1)所含字母相同;(2)相同字母的指数相同,是易混点,因此成了中考的常考点.合并同类项法则是把同类项的系数相加减,字母与字母的指数不变.35.先去括号,再合并同类项:2(x2﹣2y)﹣(6x2﹣12y)+10.【分析】首先利用去括号法则去掉括号,再利用合并同类项法则合并求出即可.【解答】解:2(x2﹣2y)﹣(6x2﹣12y)+10=2x2﹣4y﹣3x2+6y+10=﹣x2+2y+10.【点评】此题主要考查了去括号法则以及合并同类项法则,正确去括号是解题关键.36.去括号,合并同类项:(1)(x﹣2y)﹣(y﹣3x);(2).【分析】去括号时注意去括号后符号的变化,然后找出同类项,根据合并同类项得法则,即系数相加作为系数,字母和字母的指数不变.【解答】解:(1)(x﹣2y)﹣(y﹣3x)=x﹣2y﹣y+3x=4x﹣3y;(2)原式=a2﹣a+1.【点评】解决本题是要注意去括号时符号的变化,并且不要漏乘.有多个括号时要注意去各个括号时的顺序.37.先去括号,后合并同类项:(1)x+[﹣x﹣2(x﹣2y)];(2);(3)2a﹣(5a﹣3b)+3(2a﹣b);(4)﹣3{﹣3[﹣3(2x+x2)﹣3(x﹣x2)﹣3]}.【分析】去括号是注意去括号后符号的变化,然后找出同类项,根据合并同类项得法则,即系数相加作为系数,字母和字母的指数不变.【解答】解:(1)x+[﹣x﹣2(x﹣2y)]=x﹣x﹣2x+4y=﹣2x+4y;(2)原式=a﹣a﹣﹣+b2=;(3)2a﹣(5a﹣3b)+3(2a﹣b)=2a﹣5a+3b+6a﹣3b=3a;(4)﹣3{﹣3[﹣3(2x+x2)﹣3(x﹣x2)﹣3]},=﹣3{9(2x+x2)+9(x﹣x2)+9},=﹣27(2x+x2)﹣27(x﹣x2)﹣27,=﹣54x﹣27x2﹣27x+27x2﹣27,=﹣81x﹣27.【点评】解决本题是要注意去括号时,符号的变化,并且不要漏乘.有多个括号时要注意去各个括号时的顺序.38.下列去括号正确吗?如果有错误,请改正.(1)﹣(﹣a﹣b)=a﹣b;(2)5x﹣(2x﹣1)﹣x2=5x﹣2x+1+x2;(3);(4)(a3+b3)﹣3(2a3﹣3b3)=a3+b3﹣6a3+9b3.【分析】(1)根据去括号法则判断即可;(2)根据去括号法则判断即可;(3)注意﹣也和y2相乘;(4)根据单项式乘以多项式法则和去括号法则判断即可.【解答】解:(1)错误,﹣(﹣a﹣b)=a+b.(2)错误,5x﹣(2x﹣1)﹣x2=5x﹣2x+1﹣x2.(3)错误,3xy﹣(xy﹣y2)=3xy﹣xy+y2.(4)正确.【点评】本题考查了去括号和单项式乘以多项式法则的应用,注意:当括号前是“﹣”号时,把括号和它前面的“﹣”去掉,括号内的各个项都变号,当括号前是“+”号时,把括号和它前面的“+”去掉,括号内的各个项都不变号,注意不要漏乘项.39.按要求把多项式5a3b﹣2ab+3ab3﹣2b2添上括号:(1)把前两项括到带有“+”号的括号里,把后两项括到带有“﹣”号的括号里;(2)把后三项括到带有“﹣”号的括号里;(3)把四次项括到带有“+”号的括号里,把二次项括到带有“﹣”号的括号里.【分析】(1)根据添括号的法则将原式变形得出即可;(2)根据添括号的法则将原式变形得出即可;(3)根据添括号的法则将原式变形得出即可.【解答】解:(1)由题意可得:5a3b﹣2ab+3ab3﹣2b2=(5a3b﹣2ab)﹣(﹣3ab3+2b2);(2)由题意可得:5a3b﹣2ab+3ab3﹣2b2=5a3b﹣(2ab﹣3ab3+2b2);(3)由题意可得:5a3b﹣2ab+3ab3﹣2b2=(5a3b+3ab3)﹣(2b2+2ab).【点评】本题考查了添括号的法则,添括号时,若括号前是“+”,添括号后,括号里的各项都不改变符号;若括号前是“﹣”,添括号后,括号里的各项都改变符号.40.先去括号,再合并同类项:(1)(x+3)﹣(y﹣2x)+(2y﹣1);(2)4(x+2x2﹣5)﹣2(2x﹣x2+1);(3)3a+(a2﹣a﹣2)﹣(1﹣3a﹣a2);(4)﹣5(x2﹣3)﹣2(3x2+5);(5)3(ab﹣b2)﹣2(ab+3a2﹣2ab)﹣6(ab﹣b2)【分析】(1)直接利用去括号法则去掉括号,进而合并同类项得出答案;(2)直接利用去括号法则去掉括号,进而合并同类项得出答案;(3)直接利用去括号法则去掉括号,进而合并同类项得出答案;(4)直接利用去括号法则去掉括号,进而合并同类项得出答案;(5)直接利用去括号法则去掉括号,进而合并同类项得出答案.【解答】解:(1)(x+3)﹣(y﹣2x)+(2y﹣1)=x+3﹣y+2x+2y﹣1=3x+y+2;(2)4(x+2x2﹣5)﹣2(2x﹣x2+1)=4x+8x2﹣20﹣4x+2x2﹣2=10x2﹣22;(3)3a+(a2﹣a﹣2)﹣(1﹣3a﹣a2)=3a+a2﹣a﹣2﹣1+3a+a2=2a2+5a﹣3;(4)﹣5(x2﹣3)﹣2(3x2+5)=﹣5x2+15﹣6x2﹣10=﹣11x2+5;(5)3(ab﹣b2)﹣2(ab+3a2﹣2ab)﹣6(ab﹣b2)=3ab﹣3b2﹣2ab﹣6a2+4ab﹣6ab+6b2=3b2﹣6a2﹣ab.【点评】此题主要考查了去括号法则以及合并同类项,正确去括号是解题关键.41.先去括号,再合并同类项:(1)5a﹣(a+3b);(2)﹣2x﹣(﹣3x+1);(3)3x﹣2+2(x﹣3);(4)3x﹣2﹣(2x﹣3);(5)4(m+n)﹣6(m﹣2n+1);(6)(8x﹣5y)﹣(4x﹣9y);(7)x﹣(2x﹣y)+(3x﹣2y);(8)2(x+y)+(﹣5x+2y);(9)(2a2﹣b2)﹣3(a2﹣2b2);(10)﹣2(﹣3xy+2z)+3(﹣2xy﹣5x)【分析】(1)先去括号,再合并同类项即可;(2)先去括号,再合并同类项即可;(3)先去括号,再合并同类项即可;(4)先去括号,再合并同类项即可;(5)先去括号,再合并同类项即可;(6)先去括号,再合并同类项即可;(7)先去括号,再合并同类项即可;(8)先去括号,再合并同类项即可;(9)先去括号,再合并同类项即可;(10)先去括号,再合并同类项即可.【解答】解:(1)5a﹣(a+3b)=5a﹣a﹣3b=4a﹣3b;(2)﹣2x﹣(﹣3x+1)=﹣2x+3x﹣1=x﹣1;(3)3x﹣2+2(x﹣3)=3x﹣2+2x﹣6=5x﹣8;(4)3x﹣2﹣(2x﹣3)=3x﹣2﹣2x+3=x+1;(5)4(m+n)﹣6(m﹣2n+1)=4m+4n﹣6m+12n﹣6=﹣2m+16n﹣6;(6)(8x﹣5y)﹣(4x﹣9y)=8x﹣5y﹣4x+9y=4x+4y;(7)x﹣(2x﹣y)+(3x﹣2y)=x﹣2x+y+3x﹣2y=2x﹣y;(8)2(x+y)+(﹣5x+2y)=2x+2y﹣5x+2y=﹣3x+4y;(9)(2a2﹣b2)﹣3(a2﹣2b2)=2a2﹣b2﹣3a2+6b2=﹣a2+5b2;(10)﹣2(﹣3xy+2z)+3(﹣2xy﹣5x)=6xy﹣4z﹣6xy﹣15x=﹣4z﹣15x【点评】本题考查了去括号和合并同类项的应用,注意:当括号前是“﹣”号时,把括号和它前面的“﹣”去掉,括号内的各个项都变号,当括号前是“+”号时,把括号和它前面的“+”去掉,括号内的各个项都不变号.42.按下列要求,给多项式3x3﹣5x2﹣3x+4添括号:(1)把多项式后三项括起来,括号前面带有“+”号;(2)把多项式的前两项括起来,括号前面带“﹣”号;(3)把多项式后三项括起来,括号前面带有“﹣”号;(4)把多项式中间的两项括起来.括号前面“﹣”号.【分析】根据添括号的法则把给出的式子按要求进行变形,即可得出答案.(1)多项式后三项括起来,括号前面带有“+”号是3x3+(﹣5x2﹣3x++4);【解答】解:(2)多项式的前两项括起来,括号前面带“﹣”号是:﹣(﹣3x3+5x2)﹣3x+4;(3)多项式后三项括起来,括号前面带有“﹣”号是:3x3﹣(+5x2+3x﹣4);(4)多项式中间的两项括起来,括号前面“﹣”号是3x3﹣(5x2+3x)+4.【点评】本题考查了添括号的法则,添括号时,若括号前是“+”,添括号后,括号里的各项都不改变符号;若括号前是“﹣”,添括号后,括号里的各项都改变符号.43.把代数式(a2﹣2ab+b2+5)(﹣a2+2ab﹣b2+5)写成(5+m)(5﹣m)的形式,并求出m.【分析】根据式子的特点变形得出[5+(a2﹣2ab+b2)][5﹣(a2﹣2ab+b2)],即可得出答案.【解答】解:(a2﹣2ab+b2+5)(﹣a2+2ab﹣b2+5)=[5+(a2﹣2ab+b2)][5﹣(a2﹣2ab+b2)]即m=a2﹣2ab+b2【点评】本题考查了去括号和添括号法则的应用,题目比较好,难度不大.44.去括号,并合并同类项:(1)(3a+1.5b)﹣(7a﹣2b)(2)(8xy﹣x2+y2)﹣4(x2﹣y2+2xy﹣3)【分析】(1)先去掉括号,再找出同类项进行合并即可;(2)先把4与括号中的每一项分别进行相乘,再去掉括号,然后合并同类项即可;【解答】解:(1)(3a+1.5b)﹣(7a﹣2b)=3a+1.5b﹣7a+2b=﹣4a+3.5b;(2)(8xy﹣x2+y2)﹣4(x2﹣y2+2xy﹣3)=8xy﹣x2+y2﹣4x2+4y2﹣8xy+12=﹣5x2+5y2+12;【点评】此题考查了去括号和合并同类项,根据去括号法则若括号前是“+”,去括号后,括号里的各项都不改变符号;若括号前是“﹣”,去括号后,括号里的各项都改变符号和合并同类项法则进行解答是解题的关键.45.先去括号、再合并同类项①2(a﹣b+c)﹣3(a+b﹣c)②3a2b﹣2[ab2﹣2(a2b﹣2ab2)].【分析】根据括号前是正号,去掉括号及正号,括号里的各项都不变,括号前是负号,去掉括号及负号,括号里的各项都变号,可得答案.【解答】解:(1)原式=2a﹣2b+2c﹣3a﹣3b+3c=(2a﹣3a)+(﹣2b﹣3b)+(2c+3c)=﹣a﹣5b+5c;(2)原式=3a2b﹣2(ab2﹣2a2b+4ab2)=3a2b﹣10ab2+4a2b=7a2b﹣10ab2.【点评】本题考查了去括号与添括号,括号前是正号,去掉括号及正号,括号里的各项都不变,括号前是负号,去掉括号及负号,括号里的各项都变号.46.去括号,合并同类项:.【分析】先去括号,然后找出同类项,再合并同类项.【解答】解:原式=﹣3x2+6x+12﹣2x2+10x﹣1=﹣5x2+16x+11.【点评】去括号是注意符号的改变,合并同类项要遵循合并同类项的法则.47.先去括号,再合并同类项:(1)﹣(x+y)+(3x﹣7y);(2)2a+2(a+1)﹣3(a﹣1);(3)4a2﹣3a+3﹣3(﹣a3+2a+1).【分析】(1)根据括号前是正号去括号不变号,括号前是负号去掉括号要变号,。
XX 学校--用心用情 服务教育!
精品基础教育教学资料,请参考使用,祝你取得好成绩!
第二章 整式的加减
2.2 整式的加减
第2课时 去括号
1、根据去括号法则,在横线上填上“+”或“-”
(1)()c b a c b a +-=+-______
(2)()d c b a d c b a ++-=--______
(3)()()x y x y x 33_____32-=-+-
(4)()()[]p m p n m n m -=+-+2______
2、化简:()[]_________1253=---a a a
3、数a 在数轴上的位置如图所示,化简:
___________21=-+-a a a
4、化简()y x y x +--的最后结果是( )
A .0
B .x 2
C .y 2-
D .y x 22-
5、下列去括号中正确的是( )
A .()1212-+-=-+-y x x y x x
B .()63363322--=+-x x x x
C .()()d c b a a d c b a a +--
-=----+23523522
D .()[]11---=+--z y x x y x
6、已知52=+-y x ,
那么()()6023252----y x y x 的值为( )
A .80
B .10
C .210
D .40
7、减去x 32-等于8362--x x 的代数式是(
) A .()1062--x x B .1062-x
XX 学校--用心用情 服务教育! C .662-x D .()162--x x
8、化简:
(1)()()()y x y x y x 3242332+--+--
(2)()()43537422+-----x x x x
(3)()[]()
3226320518++-----n m n m n m
(4)()[]{}y x x y x --+--3432
9、先化简,再求值。
(1)()()xy y x y x 745352222+++-其中
.2,1=-=y x
(2)
abc
abc b a c a c a b a 23
5.1613243652222-⎥⎦⎤
⎢⎣⎡-⎪⎭⎫
⎝⎛---- 其中3,41
2,2==-=c b a 。
XX 学校--用心用情 服务教育!
10、有理数c b a ,,在数轴上的位置如图所示,化简:c b a b c b a c a ++--++-+
11、若多项式 ()()x y x x x mx 3451322222+--++-的值与x 无关,求()[]m m m m +-+-543223的值。