南京大学线性代数期中考试试题及参考答案
- 格式:doc
- 大小:537.50 KB
- 文档页数:4
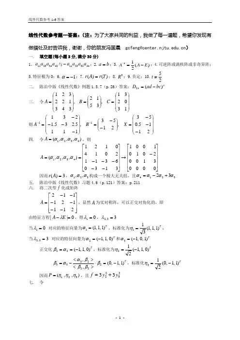
线性代数参考题一答案:(注:为了大家共同的利益,我做了每一道题,希望你发现有做错处及时告诉我,谢谢,你的朋友冯国晨 gcfeng@ )一. 填空题(每小题3分,满分30分)1.42342311a a a a 与44322311a a a a -;2.b a =;3.)(211E A A -=-;4.可逆阵或满秩阵或非奇异阵;5.特征根为0;6.1-=α;7.)()(T r A r =;8.3R ;9.负定;10.25≠t二. 陈治中版《线性代数》例题1.5.7(p.26)答案:nn bc ad D )(2-=三. 令⎪⎪⎪⎭⎫⎝⎛=⎪⎪⎭⎫ ⎝⎛=⎪⎪⎪⎭⎫⎝⎛=130231,3512,343122321C B A 则⎪⎪⎪⎭⎫⎝⎛---=⎪⎪⎭⎫⎝⎛--=⎪⎪⎪⎭⎫⎝⎛----=--2115.053,2153,1115.235.123111X BA四. 令),,,(4321αααα=A ,则⎥⎥⎥⎥⎦⎤⎢⎢⎢⎢⎣⎡-→⎥⎥⎥⎥⎦⎤⎢⎢⎢⎢⎣⎡-----==0000310020101013130631120140121),,,(4321ααααA 因而3)(=A r ,321,,ααα构成一个极大无关组,且321432αααα+-=五. 陈治中版《线性代数》习题4.6(p.121)答案:p.211 六. 将二次型f 化成矩阵⎥⎥⎥⎦⎤⎢⎢⎢⎣⎡------=211121112A ,显然A 为实对称阵,可以正交对角化的,即 由特征方程0||=-E A λ,得01=λ,33,2=λ当01=λ 对应的特征向量为T)1,1,1(1=α,标准化为T)1,1,1(311=η;当33,2=λ 对应的特征向量为T)0,1,1(2-=α和T)1,0,1(3-=α正交化T)0,1,1(22-==αβ,标准化为T)0,1,1(212-=ηT)1,1,0(,,2222333-=⋅><><-=ββββααβ,标准化T)1,1,0(213-=η因而),,(321ηηη=P ,且232233y y f += 七. 令αααααααααααααααβββββL n nn=⎥⎥⎥⎥⎥⎥⎦⎤⎢⎢⎢⎢⎢⎢⎣⎡⋅⎥⎥⎥⎥⎥⎥⎦⎤⎢⎢⎢⎢⎢⎢⎣⎡=⎪⎪⎪⎪⎪⎪⎭⎫⎝⎛+++++++=⎪⎪⎪⎪⎪⎪⎭⎫ ⎝⎛=3213213212113211111111111............由 1||=L 以及n αα,,1 线性无关得n ββ,,1 线性无关。
线性代数习题及解答完整版线性代数习题及解答HEN system office room 【HEN16H-HENS2AHENS8Q8-HENH1688】线性代数习题一说明:本卷中,A -1表示方阵A 的逆矩阵,r (A )表示矩阵A 的秩,||α||表示向量α的长度,αT表示向量α的转置,E 表示单位矩阵,|A |表示方阵A 的行列式. 一、单项选择题(本大题共10小题,每小题2分,共20分)在每小题列出的四个备选项中只有一个是符合题目要求的,请将其代码填写在题后的括号内。
错选、多选或未选均无分。
1.设行列式111213212223313233a a a a a a a a a =2,则111213313233213122322333333a a a a a a a a a a a a ------=() A .-6 B .-3 C .3D .62.设矩阵A ,X 为同阶方阵,且A 可逆,若A (X -E )=E ,则矩阵X =() A .E +A -1B .E -AC .E +AD .E -A -13.设矩阵A ,B 均为可逆方阵,则以下结论正确的是()A .??A B 可逆,且其逆为-1-1A B B .??A B 不可逆 C .??A B 可逆,且其逆为-1-1?? ???B AD .??A B 可逆,且其逆为-1-1??A B 4.设α1,α2,…,αk 是n 维列向量,则α1,α2,…,αk 线性无关的充分必要条件是()A .向量组α1,α2,…,αk 中任意两个向量线性无关B .存在一组不全为0的数l 1,l 2,…,l k ,使得l 1α1+l 2α2+…+l k αk ≠0C .向量组α1,α2,…,αk 中存在一个向量不能由其余向量线性表示D .向量组α1,α2,…,αk 中任意一个向量都不能由其余向量线性表示5.已知向量2(1,2,2,1),32(1,4,3,0),T T+=---+=--αβαβ则+αβ=() A .(0,-2,-1,1)TB .(-2,0,-1,1)TC .(1,-1,-2,0)TD .(2,-6,-5,-1)T6.实数向量空间V ={(x , y , z )|3x +2y +5z =0}的维数是()A .1B .2C .3D .47.设α是非齐次线性方程组Ax =b 的解,β是其导出组Ax =0的解,则以下结论正确的是()A .α+β是Ax =0的解B .α+β是Ax =b 的解C .β-α是Ax =b 的解D .α-β是Ax =0的解8.设三阶方阵A 的特征值分别为11,,324,则A -1的特征值为() A .12,4,3 B .111,,243C .11,,324D .2,4,39.设矩阵A =121-,则与矩阵A 相似的矩阵是()A .11123--B .01102C .211- D .121-10.以下关于正定矩阵叙述正确的是() A .正定矩阵的乘积一定是正定矩阵 B .正定矩阵的行列式一定小于零 C .正定矩阵的行列式一定大于零D .正定矩阵的差一定是正定矩阵二、填空题(本大题共10小题,每空2分,共20分)请在每小题的空格中填上正确答案,错填、不填均无分。
一.计算题(共50分)1.(6分)设200111313A⎡⎤⎢⎥=-⎢⎥⎢⎥-⎣⎦,计算(1)TAA,(2)T A A.2. (6分)计算行列式100 010 000 5432 xxxx+.3.(6分)计算行列式12222 22222 2232222212 2222nn-.《线性代数》课程期中考试卷学院___年级__姓名____学号____主考教师:试卷类型:(A卷)4. (6分)设1231212011311042025k A ⎡⎤⎢⎥-⎢⎥⎢⎥=⎢⎥-⎢⎥⎢⎥⎣⎦,()3R A =,求k .. 5.(6分)设123,,,,αβγγγ都是4维列向量,矩阵123,,,5,A αγγγ==矩阵123,,,2B βγγγ==-,求2A B +.6. (10分)设A,B,C,D 均为n 阶矩阵,E 为n 阶单位矩阵,A 是可逆矩阵. 如果分块矩阵110,,0E A B E A B P Q R CA E C D E --⎡⎤-⎡⎤⎡⎤===⎢⎥⎢⎥⎢⎥-⎣⎦⎣⎦⎣⎦, (1)计算PQR,(2)证明矩阵Q 可逆的充分必要条件是1D CA B --是可逆的.7(10分)已知矩阵11101123351Aa⎡⎤⎢⎥-⎢⎥=⎢⎥⎢⎥⎣⎦与矩阵11101023151Baa⎡⎤⎢⎥⎢⎥=⎢⎥⎢⎥-⎣⎦等价,确定常数a的取值范围.二. (10分)证明cos112cos1cos12cos112cosnD nααααα==.三.(15分)设A,B,C 为4阶矩阵,满足1132TA BC AB --+=,其中0100101100101101,0001111010000111B C ⎡⎤⎡⎤⎢⎥⎢⎥⎢⎥⎢⎥==⎢⎥⎢⎥⎢⎥⎢⎥⎣⎦⎣⎦, 求A .四. (20分)设1012,2,211aαβγ⎡⎤⎡⎤⎡⎤⎢⎥⎢⎥⎢⎥===⎢⎥⎢⎥⎢⎥⎢⎥⎢⎥⎢⎥-⎣⎦⎣⎦⎣⎦,若,T TA Bαββα==,求解方程22A x Bxγ=+.五.(5分) 设 []12,,,n A ααα=是n 阶矩阵,满足T A A E =且1A =,又[]12,,,Tn c c c β=满足1T n βα=,证明[]121,,,,n B αααβ-=可逆,并求B .二. 计算题(共50分)1.(6分)设200111313A ⎡⎤⎢⎥=-⎢⎥⎢⎥-⎣⎦,计算(1)T AA ,(2)T A A . 解(1)T AA =4264228210-⎡⎤⎢⎥--⎢⎥⎢⎥-⎣⎦,(2)T A A =14484228210-⎡⎤⎢⎥--⎢⎥⎢⎥-⎣⎦。
线性代数习题册答案第一章 行列式练习 一班级 学号 姓名1.按自然数从小到大为标准次序,求下列各排列的逆序数: (1)τ(3421)= 5 ; (2)τ(135642)= 6 ;(3)τ(13…(2n-1)(2n)…42) = 2+4+6+…+(2 n-2)= n (n-1).2.由数字1到9组成的排列1274i56j9为偶排列,则i= 8 、j= 3 .3.在四阶行列式中,项12233441a a a a 的符号为 负 .4.00342215= -24 .5.计算下列行列式:(1)122212221-----= -1+(-8)+(-8)-(-4)-(-4)―(-4)= -5或(2)111111λλλ---= -3λ+1+1-(-λ)-(-λ)―(-λ) = -3λ+3λ+2=2(2)(1)λλ-+练习 二班级 学号 姓名 1.已知3阶行列式det()ij a =1,则行列式det()ij a -= -1 . 3(1)11-⋅=-2. 1112344916= 2 .3.已知D=1012110311101254--,则41424344A A A A +++= —1 .用1,1,1,1替换第4行4. 计算下列行列式: (1)111ab c a b c abc +++= 13233110110011,0110111111r r r r c c a b c bcabcabc-----+-==++++++(2) xy x y y x y x x yxy+++(3)130602121476----(4)1214012110130131-5.计算下列n 阶行列式:(1)n xa a a x a D aax=(每行都加到第一行,并提公因式。
)(2)131111n +(3) 123123123n n n a ba a a a ab a a a a a a b+++练习 三班级 学号 姓名 1.设线性方程组123123123111x x x x x x x x x λλλ--=⎧⎪++=⎨⎪-++=⎩有惟一解,则λ满足的条件是什么?1,0,1λλλ≠-≠≠2. 求解线性方程组12341234123412345242235232110x x x x x x x x x x x x x x x x +++=⎧⎪+-+=-⎪⎨---=-⎪⎪+++=⎩3.已知齐次线性方程组123123123000x x x x x x x x x λλλ--=⎧⎪-++=⎨⎪--+=⎩有非零解,求λ的值。
试 卷 六一.单项选择题(每题3分,共18分)1.向量组s ααα,,,21)2(≥s 线性无关,向量组s βββ,,, 21能线性表示 向量组s ααα,,,21,则以下结论中不能成立的是 (A). 向量组s βββ,,,21线性无关; (B). 对任一个j α)0(s j ≤≤,向量组s j ββα,,,2线性相关; (C). 存在一个j α)0(s j ≤≤,向量组s j ββα,,,2线性无关; (D). 向量组s ααα,,,21与向量组s βββ,,, 21等价. 2.设B A ,为n 阶可逆矩阵,⎪⎪⎭⎫ ⎝⎛=B A C 00,则C 的伴随矩阵=*C (A).⎪⎪⎭⎫ ⎝⎛**B A 00; (B).⎪⎪⎭⎫ ⎝⎛*-*-B A A B 11||00||; (C).⎪⎪⎭⎫⎝⎛**B A A B 00; (D).⎪⎪⎭⎫⎝⎛**B B A A 00. 3.设向量组321,,ααα是三维线性空间V 的基,则 也是V 的基.(A). 32133122112,,αααβααβααβ++=+=+=; (B).213212112,,ααβααβαβ-=+==;(C).32133222113,,2αααβααβααβ++=+=+=; (D).3213322211,,αααβααβααβ++=-=-=. 4.设A 为n m ⨯实矩阵,n A r =)(,则 .(A).A A T 必合同于n 阶单位矩阵; (B).T AA 必等价于m 阶单位矩阵;(C).A A T 必相似于n 阶单位矩阵; (D).T AA 是m 阶单位矩阵. 5.设A 为n m ⨯矩阵,0)(≠=b m A r ,,则线性方程组b Ax = .(A).可能无解; (B).一定无解; (C).可能有解; (D).一定有解.6.已知向量组s ααα,,,21可由向量组t βββ,,, 21 线性表示,则 . (A).当t s >时,向量组s ααα,,,21必线性相关; (B).当t s >时,向量组t βββ,,,21必线性相关; (C).当t s <时,向量组s ααα,,,21必线性相关; (D).当t s <时,向量组t βββ,,,21必线性相关. 二.填空题(每题3分,共18分)1.设B A ,为三阶方阵,行列式⎪⎪⎭⎫⎝⎛-=-==02012B A C B A 矩阵,,,则行列式=C .2.已知B A ,为n 阶方阵,1±=λ不是B 的特征值,且E B A AB =--,则=-1A .3.实二次型322123222132122),,(x x a x x x x x x x x f ++++=是正定二次型,则常数 a 的取值范围为 .4.若三阶方阵A 有特征值 2,1,1,则行列式=+*-A A 21 .5.设A 为三阶方阵,2)(=A r ,321ααα,,是线性方程组)0(,≠=b b Ax 的解, 已知 ⎪⎪⎪⎭⎫ ⎝⎛=+13121αα,⎪⎪⎪⎭⎫⎝⎛=0103α,则线性方程组b Ax =的通解为=α .6.已知b 为一常数,设集合⎪⎭⎪⎬⎫⎪⎩⎪⎨⎧∈⎪⎪⎪⎭⎫⎝⎛++==R b a a b a a a a V ,,,212121αα, 若V 是向量空间3R 的子空间,则=b .1.设矩阵⎪⎪⎪⎭⎫ ⎝⎛=301220211A ,已知多项式12)(23--=x x x g ,求行列式)(A g . 2.已知线性方程组⎪⎩⎪⎨⎧=++=-=+bx ax x x x x x 321312111, (1) 常数b a ,取何值时,方程组有无穷多解、唯一解、无解? (2) 当方程组有无穷多解时,求出其通解.3.设矩阵⎪⎪⎪⎭⎫ ⎝⎛----=111111111A ,(1) 若矩阵B 满足AB B A =+,试求矩阵B ; (2) 若列向量α满足T A αα=,试求ααT . 4.求正交变换Qy x =,将二次型23212221321433),,(x x x x x x x x f +-+=化为标准形.5.设三维列向量 T),,121(=α,(1) 求三维列向量γβ,,使γβα,,为正交向量组;(2) 证明γβα,,是3R 的基,并求向量T),,111(=η在γβα,,下的坐标.6.设向量组⎪⎪⎪⎭⎫ ⎝⎛=⎪⎪⎪⎭⎫ ⎝⎛-=⎪⎪⎪⎭⎫ ⎝⎛=111101011321ααα,,; ⎪⎪⎪⎭⎫⎝⎛=⎪⎪⎪⎭⎫ ⎝⎛=⎪⎪⎪⎭⎫ ⎝⎛=10010001321a βββ,,(1) 问:a 取何值时向量组321βββ,,是向量空间3R 的基,为什么? (2) 求3R 中基321ααα,,到基321βββ,,的过渡矩阵.1. 设=f Ax x T 是n 元实二次型,存在n 维实列向量21x x ,,使11x A x T0>, 22x A x T0<, 证明: 存在n 维实列向量00≠x ,使00x A x T =0.2.设n 阶方阵A 即是正交矩阵又是正定矩阵,证明:A 为n 阶单位矩阵.试 卷 六------答案一.B C D A D A二.1.16- 2.1))((-+-E B E B 3.2<a 4.2125 5.⎪⎪⎪⎭⎫ ⎝⎛+⎪⎪⎪⎭⎫ ⎝⎛111010k 6.0三.1.A 的特征值为4,1,1 ………4分)(A g 的特征值为 31,2,2-- …7分124)(=A g …………8分2.(1)A E A B A B E A 1)(,)(--==- ……2分A B 21212121212121212121=⎪⎪⎪⎭⎫⎝⎛----= …………4分(2)()⎪⎪⎪⎭⎫ ⎝⎛-=∴=-⎪⎪⎪⎭⎫ ⎝⎛-=111111111αααTA ……6分3111)111(=⎪⎪⎪⎭⎫ ⎝⎛--=∴ααT…………8分或 A A T T T T T TT)()()(2αααααααααααααα==== …6分333333333332=∴=⎪⎪⎪⎭⎫ ⎝⎛----=ααT AA ………8分3.(1)⎪⎪⎪⎭⎫ ⎝⎛--→120001101011b a A ………………2分 1,2==b a 无穷多解; 2≠a 唯一解; 1,2≠=b a 无解 ……5分(2)R k k x x x ∈⎪⎪⎪⎭⎫ ⎝⎛-+⎪⎪⎪⎭⎫ ⎝⎛=⎪⎪⎪⎭⎫ ⎝⎛,111001321 ……………………8分4.特征值为5,1,1 ……………………2分对应的特征向量⎪⎪⎪⎭⎫ ⎝⎛-⎪⎪⎪⎭⎫ ⎝⎛⎪⎪⎪⎭⎫ ⎝⎛011,100,011 …………5分 ⎪⎪⎪⎭⎫ ⎝⎛-=∴0100021212121Q , 或⎪⎩⎪⎨⎧=+=-=2332112123211211y x y y x y y x ……7分标准形为 2322215y y y f ++= ………………8分5.(1)⎪⎪⎪⎭⎫⎝⎛-=⎪⎪⎪⎭⎫ ⎝⎛-==++101,0120221321ξξx x x 正交化⎪⎪⎪⎭⎫ ⎝⎛--=⎪⎪⎪⎭⎫ ⎝⎛-=521012γβ, 4分(2)说明γβα,,线性无关,是3R 的基 ………………5分⎪⎪⎪⎭⎫ ⎝⎛-=⎪⎪⎪⎭⎫ ⎝⎛⎪⎪⎪⎭⎫ ⎝⎛---=⎪⎪⎪⎭⎫ ⎝⎛∴⎪⎪⎪⎭⎫⎝⎛=-15151321321321111501212121x x x x x x ,)(γβαη ……8分 注:答案不唯一6.(1)a 为任意值都使321,,βββ线性无关,所以是基 …………3分 (2)A )()(321321αααβββ= …………5分⎪⎪⎪⎭⎫⎝⎛+------==-a a a A 11111121)()(3211321βββααα……8分四.1.因为 00>>q p 且,,所以f 的规范形为22122221r p p y y y y y f ---+++=+ ………………4分取T y ),,,,,,,001001(0 =,则有000≠=Py x ,使0001001000=----+++== Ax x f Tx ……7分 ……8分2.A 为正交阵E A A T =∴ 又A 正定A E A A A T ⇒=∴=∴2的特征值为1± A 正定,A ∴的特征值只为1 ………………4分 因A 是实对称阵,∃∴可逆阵P ,有E PP A E AP P ==∴=--11……8分试 卷 七一、单项选择题(每题3分,共15分)1._____________2)(2101210211的值为则,的秩若矩阵a A r a a A =⎪⎪⎪⎭⎫ ⎝⎛---= 1或者1.-(D)1;-(C)1;-0或(B)0;(A)2._____________1||*=-=A A A 伴随矩阵则,,且为正交矩阵设 A.-(D)••••••••••••••A; (C);A -(B)•••••••••••; A (A)T T3.设βα,是n 维列向量,0≠βαT ,n 阶方阵T E A αβ+=,3≥n ,则在A 的n 个特征值中,必然______________(A) 有n 个特征值等于1; (B) 有1-n 个特征值等于1; (C) 有1个特征值等于1; (D) 没有1个特征值等于1.4.______________)()(,则阶方阵,且秩相等,既为,设B r A r n B A = .r(B)r(A)B),r(A (D);r(A)2B),r(A (C);r(A)2B)r(A (B);0r(A-B)(A)+≤==+=5.设n A 为阶矩阵,且0232=+-E A A ,则矩阵A E A E --与2(A) 同时为可逆矩阵; (B) 同时为不可逆矩阵; (C) 至少有一个为零矩阵; (D) 最多有一个为可逆矩阵.二、填空题(每题3分,共15分)1.设*A 是n 阶方阵A 的伴随矩阵,行列式2||=A ,则 |2|*A =___________. 2. 行列式D 中第二行元素的代数余子式的和∑=412j j A =__________ ,其中1111111111111111---=D3. 已知实二次型32212322213212224)(x x x ax x x x x x x f ++++=,,为正定二次型,则实常数a 的取值范围为________________. 4. 2n 阶行列式 AB BA D == ,其中n 阶矩阵 ⎪⎪⎪⎪⎪⎭⎫ ⎝⎛=a a a A 0000000, ⎪⎪⎪⎪⎪⎭⎫ ⎝⎛=000000b b b B 。
线性代数试题及答案解析一、选择题(每题4分,共40分)1. 矩阵A和矩阵B相乘,得到的结果矩阵的行列数为()。
A. A的行数乘以B的列数B. A的行数乘以B的行数C. A的列数乘以B的列数D. A的列数乘以B的行数答案:D解析:矩阵乘法中,结果矩阵的行数等于第一个矩阵的行数,列数等于第二个矩阵的列数。
2. 向量α和向量β线性相关,则下列说法正确的是()。
A. α和β可以是零向量B. α和β可以是任意向量C. α和β中至少有一个是零向量D. α和β中至少有一个是另一个的倍数答案:D解析:线性相关意味着存在不全为零的系数,使得这些系数乘以对应的向量和为零向量,因此至少有一个向量是另一个向量的倍数。
3. 对于n阶方阵A,下列说法不正确的是()。
A. A的行列式可以是0B. A的行列式可以是负数C. A的行列式可以是正数D. A的行列式一定是正数答案:D解析:方阵的行列式可以是正数、负数或0,因此选项D不正确。
4. 矩阵A和矩阵B相等,当且仅当()。
A. A和B的对应元素相等B. A和B的行数相等C. A和B的列数相等D. A和B的行数和列数都相等答案:A解析:两个矩阵相等,必须满足它们具有相同的行数和列数,并且对应元素相等。
5. 向量组α1,α2,…,αn线性无关的充分必要条件是()。
A. 由这些向量构成的矩阵的行列式不为0B. 这些向量不能构成齐次方程组的非零解C. 这些向量不能构成齐次方程组的非平凡解D. 这些向量可以构成齐次方程组的平凡解答案:C解析:向量组线性无关意味着它们不能构成齐次方程组的非平凡解,即唯一的解是零向量。
6. 矩阵A可逆的充分必要条件是()。
A. A的行列式不为0B. A的行列式为1C. A的行列式为-1D. A的行列式为任何非零数答案:A解析:矩阵可逆当且仅当其行列式不为0。
7. 矩阵A的特征值是()。
A. 矩阵A的行数B. 矩阵A的列数C. 矩阵A的对角线元素D. 满足|A-λI|=0的λ值答案:D解析:矩阵的特征值是满足特征方程|A-λI|=0的λ值。
【1】填空题(1)(2)(3)(4)(5)答案:【2】(1)A-3 ;(2) 《线性代数》习题集(含答案)二阶行列式二阶行列式二阶行列式三阶行列式三阶行列式l.ab(a-b) 选择题若行列式B-2 ; C2;若行列式abcos sina bi2aA -1 , .2 ;B 2.1D3osincosa bi3. a=0,.2 ;34. x则x=则x=()。
()o第一章3z 3xyz ;5.4abc。
C 1,、、223 (3)三阶行列式503 20152A -70 ;B -63 ;C 70;D 82。
/ 、n 1A0; Bn !; C (-1 ) • n !; D 1?n!。
答案:1.D ; 2.C ; 3.A ; 4.B ; 5.D 。
【3】证明【4】计算下列9级排列的逆序数,从而确定他们的奇偶性: (1) 134782695;(2)217986354;(3)987654321。
答案:(1) ( 134782695)=10,此排列为偶排列。
(2) ( 217986354)=18,此排列为偶排列。
(3) ( 987654321)=36,此排列为偶排列。
【5】计算下列的逆序数:(1)135L (2n-1)246L (2n );(2)246L (2n )135L (2n-1 )。
1 1 答案:(1) — n (n-1 );(2) — n (n+1) 22【6】确定六阶行列式中,下列各项的符号:a0 0 (4)行列式 0 a b 0 b ab 0 0 2b0 a =()。
A a 4 b 2C bD a 4b 4。
0 1 0 L0 0 2 L (5) n 阶行列式M M M0 0 0 Ln 0 0 L0 0 M n 1 0=()。
1 298 =()。
3a 15a 23a 32a 44a 51a 66;( 2)a 21a 53a 16a 42 a 65a 34;( 3)(1)正号;(2)负号。
根据定义计算下列各行列式:0 0 L 0 1 0 0 0 L 2 0 0 MMM M M n 1 0 L 0 0 0 0 0 L0 0 n3|1923332 a44a 14a 22a 33a 41n(n 1)(n 1)(n 2)(1)^ ?n! ; (4) ( 1)2n!。
2011级材料 学院《线性代数》期中考试试卷时间:120分钟 满分:100分一、单项选择题 (共10小题,每小题3分,共30分)1. 在下列构成5阶行列式展开式的各项中,取“-”的为 ( )(A) 5144322315a a a a a (B) 5344322511a a a a a (C) 3442155321a a a a a (D) 2544133251a a aa a2. 已知矩阵34 6 2 4 2 1 6 3 1 1 2 3- 0 21 1 1 1 1 =A ,则.)(=A r;1 )(A;2 )(B;3 )(C5 )(D3. 设四阶行列式111201110011111------=x D ,则其中x 的一次项的系数为 ( )(A) 1 (B) -1 (C) 2 (D) -24. 行列式0=nD 的一个必要条件是 ( )(A) D n 中各行元素之和等于零 (B) D n 中有一行(列)元素全为零(C) D n 中有两行(列)元素对应成比例 (D) 系数行列式为D n 的齐次线性方程组有非零解5. 设A , B 皆为n 阶方阵,且A 可逆,则下列运算一定正确的是 ( ) (A)kk kBA AB =)( (B)AA -=- (C)))((22A B A B AB-+=- (D)1**1)()(--=A A6. 设A , B 皆为n 阶方阵,则必有 ( )(A)BAAB = (B)AB B A -=- (C)BA B A +=+ (D)BA B A ⋅=⋅7. 设分块矩阵⎪⎪⎭⎫ ⎝⎛=231A AO AA ,其中的子块A 1, A 2为方阵,O 为零矩阵,若A 可逆,则 ( )(A) A 1可逆,A 2不一定可逆 (B) A 2可逆,A 1不一定可逆 (C) A 1,A 2都可逆(D) A 1,A 2都不一定可逆 8. 用初等矩阵⎪⎪⎪⎭⎫ ⎝⎛01100001左乘矩阵⎪⎪⎪⎭⎫ ⎝⎛=642113112A ,相当于对A 进行如下何种初等变换( )(A)21r r ↔ (B)32r r ↔ (C)21c c ↔ (D)32c c ↔9. 设A 为5×3矩阵,且2)(=A R ,下三角矩阵⎪⎪⎪⎪⎪⎪⎭⎫ ⎝⎛=424212347437221P ,则)(PA R 等于 ( )(A) 1 (B) 2 (C) 3 (D) 5 10. 非齐次线性方程组bx A=⨯55在以下哪种情形下有无穷多解. ( )(A)5),( ,4)(==b A A R R (B)4),( ,3)(==b A A R R (C)4),( ,4)(==b A A R R (D)5),( ,5)(==b A A R R二、填空题 (共5小题,每空3分,共15分)1. 设x 1,x 2,x 3,x 4是四次方程0234=+++c bxaxx的根,则行列式=0752340000014321x x x x ________.2. 若n 阶下三角行列式1111111111=nD)2(≥n ,则所有..元素的代数余子式之和等于_____.3. 设A , B 皆为n 阶方阵,2=A ,3=B,则=-1*3BA_____.4. 设⎪⎪⎪⎪⎪⎭⎫⎝⎛=004300002000010A ,则=-1A.5. 设⎪⎪⎪⎪⎪⎭⎫⎝⎛=n n n n n n b a b a b a b a b a b a b a b a b a212221212111A ,且02121≠n n b b b a aa ,则________)(=A R .三、计算题 (共5小题,每小题6分,共30分)1.yy x x x y y xyy x =+++x2. 设五次多项式1111111111111111111111111)(+++++=x x x x x x f ,求:①x 5的系数;②x 4的系数;③常数项.3. 设四阶矩阵⎪⎪⎪⎪⎪⎭⎫⎝⎛=1612841296386424321A ,求A 99=__________4. 设⎪⎪⎪⎭⎫ ⎝⎛--=21110001A ,⎪⎪⎪⎭⎫ ⎝⎛-=322154B ,利用矩阵的初等变换.......求矩阵X ,使得AX =B .5. 已知矩阵⎪⎪⎪⎭⎫ ⎝⎛---=k k 12115210611A 的秩等于2,求k 的值.四、证明题 (共2小题,每小题6分,共12分)1. 已知TTA ααββ=+,Tα为α的转置,Tβ为β的转置.(1)求证2≤)(A R ;(2)若,αβ线性相关,则2<)(A R .2. 设A 为n 阶矩阵,且AA =2,证明:n R R =-+)()(A E A .五、解答题 (13分)用克莱姆法则解方程组⎪⎪⎩⎪⎪⎨⎧=+++-=----=+-+=+++01123253224254321432143214321x xx x x x x x x x x x x x x x一、单项选择题 (10×3=30分) 1. (D);解:选项(A)和(B)的行标排列为标准次序,列标排列的逆序数分别为8和4(偶排列);选项(C)的行标、列标排列都不是标准次序,调整相乘元素的次序,使行标排列为标准次序,则列标排列的逆序数为6(偶排列);选项(D)的列标排列为标准次序,行标排列的逆序数分别为7(奇排列),故选项(D)正确。
线代试题1、______________,,4321=+=⎪⎪⎭⎫ ⎝⎛=X X A AX A2、_______________________1,001013002501000=⎪⎪⎪⎪⎪⎭⎫⎝⎛-=-A A3、___________________1,001520310=⎪⎪⎪⎭⎫⎝⎛=-A A4、设,,0||,03I AA A A I T=<=+ 其中 I 为单位矩阵,求 A 的伴随矩阵 A* 的一个特征值。
5、设 A ,B 为同阶可逆方阵,证明**)*(A B AB =; 若A*=⎪⎪⎭⎫ ⎝⎛--1001,B*=⎪⎪⎭⎫⎝⎛--0110则 ______________________)*(=AB6、若A 是正定矩阵,求证 A* 也是正定矩阵.7、,43242111⎪⎪⎪⎭⎫⎝⎛----=x A ,00020002⎪⎪⎪⎭⎫⎝⎛=y B 设A 相似于 B , 1)求常数 y x ,; 2)求可逆矩阵P ,使得B AP P =-1. 8、已知 ⎪⎪⎪⎭⎫⎝⎛=122212221A , ⎪⎪⎪⎭⎫⎝⎛-=k B 00050001, 且A 与 B 相似,则.______=k 9、设⎪⎪⎪⎪⎪⎭⎫⎝⎛=10001000021001x A 有特征值 ,3=λ 求实数x 的值,并求可逆矩阵P 和对角矩阵 B 使得B AP P T =.10、向量组 )1,0,2,1(1-=α,)0,3,1,2(2=α,)1,,0,3(3λα=线性无关,则常数λ应满足条件____________.11、若向量321,,ααα线性无关, 求证 2132αα+,324αα+,135αα+ 也线性无关.12、方程组的 ⎪⎩⎪⎨⎧=+=-=-+0005443321x x x x x x x 的一个基础解系为________________________.13、线性方程组 ⎪⎪⎩⎪⎪⎨⎧=+=+=+=+414343232121a x x a x x a x x a x x 有解的充要条件是________________.14、设方程组 ⎪⎩⎪⎨⎧=++=++=++4234321321321x bx x x bx x x x ax 问b a ,为何值时,方程组无解,有唯一解,有无穷多解?在有无穷多解时,求出全部解.15、设实对称矩阵⎪⎪⎪⎭⎫⎝⎛--=211121112A , 求一正交矩阵 P ,使得AP P AP P T =-1为对角矩阵.16、(特征值与实对称矩阵)设m n A ⨯为实矩阵,求证 TAA n A r ⇔=)(为正定矩阵.17、证明:1、相似矩阵有相同的特征根; 2、若实对称矩阵A 和B 相似,则存在正交矩阵P ,使得B AP P =-1.六、设 E E A A E A =++-)2)((2, E 为单位矩阵,求证 E A + 可逆. 七、(10分) 设 n ααα,,,21 是线性相关的n 维列向量组,),,,,(21n A ααα =A是 A 的伴随矩阵,*A 的 (1,1) 元 011≠A ,求线性齐次方程组 0*=X A 的通解.八、(18分) 设 321,,ααα 是线性无关的3维列向量组,A 为3阶矩阵,32112αααα-+=A ,3222ααα+=A ,32332ααα+=A ,1) 若 B A ),,(),,(321321αααααα=,求矩阵 B ; 2) 求 B 的特征值与特征向量; 3)求 A 的特征值; 4)求可逆矩阵 P 和对角阵 D ,使得 D AP P =-1.2010年上半年期末试题: 一、填空题:(1)若12 z 1 0y 13 x =1,则 11 1 7 1 101-z 1-y 1-x = .(2)设三阶行列式A =) , ,( γβα=3,(其中γβα , ,为三维列向量). 则 B =) , ,( αγγββα+++= .(3)设三阶方阵A 的逆矩阵为 1A -=⎪⎪⎪⎭⎫⎝⎛ 2 0 0 2- 2 0 2 0 1 ,则 (A *)1-= .(4)设n 阶方阵A 的各行元素之和为0,且A 的秩为 n -1,则线性方程组Ax=0的通解为.(5)已知三阶矩阵A 的特征值1λ=0,2λ=1,3λ=-1,对应的特征向量分别为321 , ,ξξξ,设矩阵P=(123,,ξξξ), 则P 1-AP= .(6)设A=⎪⎪⎪⎭⎫⎝⎛- 1 1 3 2 x 2 0 0 2与B=⎪⎪⎪⎭⎫⎝⎛--2 0 0 0 2 0 0 0 1相似 . 则x= .(7) 已知三阶矩阵A 有三个特征值1λ=-2,2λ=1,3λ=2, 又B=3A -32A .则B 的所有特征值为.(8)设二次型 f(321,,x x x ) =()2332211x a x a x a ++,则此二次型的矩阵是 .(9)二次型 f(21,x x )=222121cx x bx ax ++ 正定的充要条件是 .(10)在线性空间 P 2[x] 中,求从基底 1, x -2, (x -2)2 到基底 1, x , x 2 的过渡矩阵.二.(10分)求向量组 1α=(1, 2, -1, -2)T , 2α=(2, 5, -6, -5)T , 3α=(3, 1, 1, 1)T ,4α=(-1, 2, -7, -3)T 的一个极大无关组, 并将其余向量表示成它们的线性组合.三.(10分) 设三阶实对称矩阵A 的秩为2,1λ=2λ=6是A 的二重特征值,若1α=( 1, 1, 0)T , 2α=(2, 1, 1)T , 3α=(-1, 2, -3)T 都是A 的属于特征值6的特征向量.求A 的另一个特征值和对应的特征向量.四. (10分)(1)求一个正交变换,将二次型 f(321,,x x x ) =2(313221x x x x x x ++) 化为标准型. (2)设A 为n 阶实对称矩阵,试证明:存在N>0,对任意 c> N ,A + cE 为正定矩阵五.(10分)设两个线性方程组分别为:(I) ⎩⎨⎧=+-=++0 02431321x x x x x x ; (II) ⎩⎨⎧=-+=-++-0 0623214321x x x x x x x .(1)分别求这两个线性方程组(I )和(II )的解空间S 1, S 2的基和维数;(2)求这两个解空间的交S 1∩S 2与 和S 1+S 2的基与维数.六.(10分) 设数域K=R ,线性变换T 在在基 321,,εεε下的矩阵是A= ⎪⎪⎪⎭⎫⎝⎛122212221 ,求T 的特征值和特征向量.七.(10分) 设欧氏空间 P 2[x] 中的内积定义为 (f,g)=⎰-11)()(dx x g x f ,(1)求基 1, x , x 2的度量矩阵A ;(2)利用矩阵A 计算 f(x)=1- x + x 2 与 g(x)= 1-4 x -5x 2的内积.。
2012《线性代数》期中考试试卷及答案详解一、单项选择题 (每小题4分,共20分) 1. 下列各式中,哪个是5阶行列式det (a ij )的项( B )(A) 5541342312a a a a a (B) 2451421533a a a a a (C) 4124335215a a a a a (D) 5433451122a a a a a解 根据n 阶行列式的定义,行列式的算式中,每一项都是不同行、不同列的n 个数的乘积,并且带有符号:(1) 若行标排列是标准排列,则该项的符号取决于列标排列的逆序数的奇偶性;(2) 若列标排列是标准排列,则符号取决于行标排列的逆序数的奇偶性;(3) 若行标、列标排列都不是标准排列,则符号取决于行标排列与列标排列的逆序数之和的奇偶性(或者,交换一般项中的元素,使行标成为标准排列,再根据列标排列的逆序数判断).题中每个选项都是5阶行列式不同行、不同列的5个数的乘积,因此,需进一步判断各项是否带有正确的符号.选项(A)错误。
其行标排列是标准排列,列标排列的逆序数为t (23415)=3, 故,列标排列为奇排列,(或者,由于将列标排列23415变成标准排列12345需要进行奇数次对换,也可得23415为奇排列)。
所以选项(A)缺少“-”.选项(B)正确。
其行标和列标排列都不是标准排列,方法一:行标排列和列标排列的逆序数之和t (31452)+t (35214)=4+6=10,得符号为“+”;方法二,交换相乘的元素,使行标成为标准排列,得a 15a 24a 33a 42a 51,此时列标排列54321为偶排列,故取“+”.同理,选项(C)和(D)错误,都应带“-”.2. 已知n 阶行列式D =1,将D 逆时针旋转90o ,得行列式D ~,则D ~的值为( C )(A) 1 (B) -1 (C) (-1)n (n -1)/2 (D) (-1)n /2解 将D 逆时针旋转90o ,相当于对D 先作转置(这不会改变行列式的值),再作上下翻转[即交换n (n -1)/2次相邻行的位置,每次交换都改变行列式的符号],因此,应选(C).参见“行列式的性质”布置的思考题,或者教材习题一第7题的解答.3. n 阶行列式D n =0的必要条件是( D )(A) 有一行(列)元素全为零 (B) 有两行(列)元素对应成比例 (C) 各列元素之和皆为零(D) 以D n 为系数行列式的齐次线性方程组有非零解解 选项(A)(B)(C)都是D n =0的充分条件(但不是必要条件). 只有选项(D)为充分必要条件.4. 已知A , B 均为n 阶方阵,E 是n 阶单位矩阵,则下列命题中正确的是( D ) (A) 若AB ,则A B(B) 若(A -E )(B -E )=O ,则A =E 或B =E (C) A 2-B 2=( A +B )( A -B ) (D) A 2-E =( A +E )( A -E )解 答案为(D).选项(A)错误,反例:⎪⎪⎭⎫ ⎝⎛=1001A , ⎪⎪⎭⎫⎝⎛=1112B 选项(B)错误。
线性代数试卷及答案3套线性代数A卷一、填空题(共6小题,满分18分)1.设α=(1,0,-1,2),β=(0,1,0,1),令A=αTβ,则A4 = .2.设矩阵且BA=B+E,则B-1= .3.设α1,α2是2维的列向量,令A=(2α1+α2,α1-α2),B=(α1,α2),若|A|=-6, 则|B|= .4.设A为n阶方阵,且A2=A,则R(A)+ R(A- E) = .5.设α1=(1,1,1),α2=(a,0,b),α3=(1,2,3)线性相关,则a与b应满足的关系式为.6. 设α+2β=(2,1,t,-1),2α-β=(-1,2,0,1),且α与β正交,则t= .二、单项选择题(共6小题,满分18分)1. 设A为n阶方阵,且AA T= E,|A|<0,则A+ E为[ ].(A) 非奇异矩阵,(B) 奇异矩阵,(C)正交矩阵,(D)正定矩阵.2.设A是4×3矩阵,且R(A)=2,若则R(AB)为[ ].(A) 2,(B) 3,(C)4,(D) 0.3. 设A为n阶可逆矩阵,k≠0为常数,则(k A)*为[ ].(A) k A*,(B) k n-1 A*,(C) k n A*,(D) k n A.4. 设向量组α1,α2,α3线性无关,则下面向量组线性相关的是[ ].(A) α1-α2,α2-α3,α3-α1,(B) α1+α2,α2+α3,α3+α1,(C)α1-2α2,α2-2α3,α3-2α1,(D) α1+2α2,α2+2α3,α3+2α1.5.设矩阵A n×m,B m×n,且n<m,若AB=E,则下面结论正确的是[ ].(A) A的行向量组线性相关,(B) A的列向量组线性无关,(C) 线性方程组Bx=0仅有零解,(D) 线性方程组Bx=0必有非零解.6.设3阶方阵A与B相似,且A的特征值为,则tr(B-1- E)为[ ].(A) 2,(B) 3,(C)4,(D) 6.三、解答题(共6小题,满分42分)1.设A为4阶方阵,A*是A的伴随矩阵,且|A|=0,而A*≠O.α1,α2,α3是线性方程组Ax=b的三个解向量,其中,求线性方程组Ax=b的通解.2.设向量组,问a为何值时,向量组α1,α2,α3,α4线性相关,并求此时的极大无关组.3.求一组非零向量α1,α2与已知向量α3=(1,1,1)T正交,并把它们化成R3的一个标准正交基.4.设矩阵,且A*相似于B,其中A*是A的伴随矩阵,求x,y.5.设二次型,其中二次型的矩阵A的特征值之和为1,特征值之积为-12,求a,b.6.设V是二阶实对称矩阵全体的集合,对于通常矩阵的加法与数乘运算所构成的实数域R上的线性空间.且是V的一个基,试证也是V的一个基.并求V中的向量在该组基下的坐标.四、(本题满分11分)已知齐次线性方程组(Ⅰ)(Ⅱ)同解,求a,b,c的值.五、(本题满分11分)设矩阵3阶实对称矩阵A的各行元素之和为3,且R(A)=1.①求A的特征值与特征向量;②求正交矩阵P和对角矩阵Λ,使P-1AP=Λ;③求A及.线性代数B卷一、填空题(共6小题,每小题3分,满分18分)1.设4阶矩阵A的行列式|A| =3,则行列式.2.设A为3阶正交矩阵,且A T= -A*,其中A*是A的伴随矩阵,则|A| = .3.设α1,α2是n(n3)元齐次线性方程组Ax=0的基础解系,则R(A)= .4.设线性空间R2的两个基A:α1=(1,0)T,α2=(1,1)T;B:β1=(1,1)T,β2=(-1,1)T,则A组基到B组基的过渡矩阵为.5.设3阶矩阵A的特征值为1、3、5,则A的迹tr A= .6.若二次型f(x1,x2,x3)=x12+4x22+2x32+2tx1x2+2x1x3正定,则t满足.二、单项选择题(共6小题,每小题3分,满分18分)1.设A为m×n矩阵.B为n×m矩阵,则[ ].(A)当时,必有|AB|≠0;(B)当时,必有|AB|=0;(C)当时,必有|AB|≠0;(D)当时,必有|AB|=0.2.设α1,α2,α3是齐次线性方程组Ax=0的基础解系,则该方程组的基础解系还可为[ ].(A)α1-α2,α2-α3,α3-α1;(B)与α1,α2,α3等秩的一个向量组;(C)α1,α1+α2,α1+α2+α3;(D)与α1,α2,α3等价的一个向量组.3.设A为n阶非奇异阵(n2),A*是A的伴随阵,则[ ].(A) (A*)*= |A|n -2A;(B) (A*)*=|A|n+2A;(C) (A*)*= |A|n -1A; (D) (A*)*=|A|n+1A.4.设A为m×n矩阵,C为n阶可逆矩阵,R(A)=r,矩阵B=AC 的秩为r1,则[ ].(A) r >r1; (B) r<r1;< p="">(C) r与r1关系依赖与矩阵C; (D) r=r1.5.设A,B为n阶矩阵,若[ ],则A与B合同.(A) 存在n阶可逆矩阵P、Q,且PAQ=B;(B) 存在n阶可逆矩阵P,且P-1AP= B;(C) 存在n阶正交矩阵Q,且Q-1AQ= B;(D) 存在n阶方阵C、U,且CAU= B.6.n阶方阵A具有n个不同的特征值是A与对角阵相似的[ ].(A) 充分必要条件;(B) 充分而非必要条件;(C) 必要而非充分条件;(D) 既非充分也非必要条件.三、解答题(共5小题,每小题9分,满分45分)1. 计算4阶行列式.2.设向量组α1=(1,0,2,1)T,α2=(1,2,0,1)T,α3=(2,1,3,0)T,α4=(2,5,-1,4)T.(1) 判断向量组的线性相关性;(2) 求它的秩和一个极大无关组;(3) 把不在极大无关组中的向量用这个极大无关组线性表示.3. 设向量α1=(1,2,1)T和α2=(1,1,2)T都是方阵A的属于特征值λ=2的特征向量,又向量β=α1+2α2,求A2β.4.设3阶方阵A、B满足AB= 2A+B,其中求A.5. 已知线性空间R[x]3={a0+a1x+a2x2| a0,a1,a2 R},(1) 证明1,1+x,(1+x)2是R[x]3的一个基;(2) 求由基1,x,x2到基1,1+x,(1+x)2的过渡矩阵.四、(本题满分9分)设线性方程组(Ⅰ)与(Ⅱ)x1+3x2+3x3=a-3有公共解,求a的值和所有的公共解.五、(本题满分10分)设实二次型f(x1,x2,x3)=x T Ax的秩为2,且α1=(1,0,0)T 是(A-2E)x=0的解,α2=(0,-1,1)T是(A-6E)x=0的解.(1)求矩阵A的特征值与特征向量;(2)用正交变换将该二次型化成标准形,并写出所用的正交变换和所化的标准形;(3)写出该二次型.线性代数C卷一、填空题(共6小题,每小题3分,满分18分)1.设A为3阶方阵,|A|=1,则| -2A|=__________.2.设A是n阶方阵,x1,x2均为线性方程组Ax=b的解,且x1≠x2,则|A|=____ ____ .3.设A为n阶可逆阵,且A2=|A|E,则A*= . 4.若n阶方阵A 与单位阵E相似,则A= .5.设4阶方阵A,R(A)=2,则R(A*)= .6. 若二次型是正定的,则t应满足.二、单项选择题(共6小题,每小题3分,满分18分)1. 设A为实对称矩阵,Ax1=λ1x1,Ax2=λ2x2,且λ1≠λ2,则(x1,x2) =[ ].(A) 1;(B) -1;(C) 0;(D) 2. 2.设A、B均为n阶可逆阵,则[ ].(A) ((AB)2)-1=(B2)-1(A2)-1;(B) 存在可逆阵P、Q,使PAQ=B;(C) 存在可逆阵P, 使A=P-1BP;(D) 存在可逆阵P,使P T AP=B.,则3.设A为m×n矩阵,C为n阶可逆矩阵,R(A)=r,矩阵B=AC的秩为r1 [ ].(A)r>r1;(B)r< p="">4.设α1,α2,α3是齐次线性方程组Ax=0的基础解系,则该方程组的基础解系还可为 [ ].(A)α1,α1+α2,α1+α2+α3;(B) 与α1,α2,α3等价的一个向量组;(C) α1-α2,α2-α3,α3-α1;(D) 与α1,α2,α3等秩的一个向组.5.向量组α1,α2,…,αs线性无关的充要条件是[ ].(A) α1,α2,…,αs都不是零向量;(B) α1,α2,…,αs中任意两个向量都线性无关;(C) α1,α2,…,αs中任一向量都不能用其余向量线性表出;(D) α1,α2,…,αs中任意s-1个向量都线性无关.6. 如果[ ],则A与B相似.(A) |A|=|B|; (B) R(A)=R(B);(C) A与B有相同的特征多项式;(D) n阶矩阵A与B有相同的特征值且n个特征值各不相同.三、解答题(共5小题,每小题9分,满分45分)1.计算行列式.2.设3阶方阵A、B满足AB= 2A+B,其中求A.3. 设向量组α1=(1,0,2,1)T,α2=(1,2,0,1)T,α3=(2,1,3,0)T,α4=(2,5,-1,4)T.(1) 判断向量组的线性相关性;(2) 求它的秩和一个极大无关组;(3) 把不在极大无关组中的向量用极大无关组线性表示.4.设矩阵,求(1)A2;(2)A n.5. 已知是矩阵的一个特征向量.(1) 试确定参数a,b及特征向量ξ所对应的特征值;(2) 问A能否相似于对角阵?说明理由.四、(本题满分9分)设3维向量组试问:(1) 当λ取何值时,β可由α1,α2,α3线性表示,且表示法唯一;(2) 当λ取何值时,β可由α1,α2,α3线性表示,但表示法不唯一;(3) 当λ取何值时,β不能由α1,α2,α3线性表示.五、(本题满分10分)设实二次型f(x1,x2,x3)=x T Ax的秩为2,且α1=(1,0,0)T 是(A-2E)x=0的解,α2=(0,-1,1)T是(A-6E)x=0的解.(1)求矩阵A的特征值与特征向量;(2)用正交变换将该二次型化成标准形,并写出所用的正交变换和所化的标准形;(3)写出该二次型.<></r1;<>。
南京信息工程大学 试卷答案2018-2019学年 第二学期 线性代数 课程期中试卷一、填空题 (每题3分,共15分)1. 计算22012329281955-=--- .答:-7.2. 若1023145xx 的代数余子式121A =-,则代数余子式21A = .答:2.3. 设A 为54⨯矩阵, R()3=A ,10002300456078910⎛⎫ ⎪⎪= ⎪⎪⎝⎭B ,则R()=AB _______________.答:3.4. 设矩阵A 满足24+-=A A E O ,其中E 为单位矩阵,则()1--=A E .答:22+A E. 5. 设A 为三阶矩阵,*A 为其伴随矩阵,且2=-A ,则()1*1312-⎛⎫+= ⎪⎝⎭A A . 答:108.二、选择题(每题3分,共15分)1. 设D 是n 阶行列式,则下列各式中正确的是( B ). (A) 101,2,,nkj kj k a A j n ===∑,;(B) 11,2,,nkj kj k a A D j n ===∑,; (C) 121nk k k a A D ==∑; (D) 101,2,,nik ik k a A i n ===∑,.2. 设A 是3阶矩阵,将A 的第1列加到第2列得B ,再把B 的第2行的()1-倍加到第1行得C ,记110010001⎛⎫⎪= ⎪ ⎪⎝⎭P ,则 ( A )(A) 1-=C P AP ; (B) 1-=C PAP ; (C) T =C P AP ; (D) T =C PAP . 3. 下述命题不正确的是( D )(A) R()min{,}m n m n ⨯≤A ; (B) 若AB ,则R()R()=A B ;(C) 若,P Q 可逆,则R()R()=PAQ A ;(D) 若矩阵A 有某个k 阶子式不为0,则R()A >k .4. 非齐次线性方程组Ax b =中未知数个数为n ,方程个数为m ,系数矩阵A 的秩为r ,则( A )(A) =r m 时,方程组Ax b =有解; (B) =r n 时,方程组Ax b =有唯一解; (C) =m n 时,方程组Ax b =有唯一解; (D) <r n 时,方程组Ax b =有无穷多解. 5. 已知A 是n 阶的对称矩阵,B 是n 阶的反对称矩阵,则矩阵2A B +是( A ) (A) 对称矩阵; (B) 反对称矩阵;(C) 可逆矩阵; (D) 对角矩阵.三、计算下列各题(每题6分 ,共18分)1.计算行列式111100100100a a a a,其中0≠a ;解:34213111111100130003100000100000-⎛⎫-=-=- ⎪⎝⎭ia a aa a c c a a a a a a a a aa.2.行列式1357246813301111=-D ,求11121314242+-+A A A A .解:11121314242+-+A A A A 2421246813301111-=-111111112468024601330024124210241=-=-=------3. 已知0010000112003400A ⎛⎫⎪⎪= ⎪⎪⎝⎭,求2A ,4A .解:21200340000120034⎛⎫⎪⎪= ⎪⎪⎝⎭A ,……………………..……………………………………………..3分47100015220000710001522A ⎛⎫ ⎪⎪= ⎪ ⎪⎝⎭. …………………..……………………………………………….6分 四、设1202P ⎛⎫=⎪⎝⎭,1002Λ⎛⎫=⎪⎝⎭,AP P Λ=,求100A .(10分) 解: 因为20P =≠,所以P 可逆,且1221012P --⎛⎫= ⎪⎝⎭, ………………………….3分又因为AP P Λ=,故1A P ΛP -=,因而1001001A P ΛP -=. ……………………….5分10010010010011001210221121020201202AP ΛP --⎛⎫--⎛⎫⎛⎫⎛⎫=== ⎪ ⎪⎪⎪⎝⎭⎝⎭⎝⎭⎝⎭……………………10分 五、已知2=+AB A B ,其中423110123⎛⎫⎪= ⎪ ⎪-⎝⎭A ,求B .(10分)解:因为2=+AB A B , 则()2A E B A -=,所以()12B A E A -=-,………….3分又因为2234231003861101100102961211230012129--⎛⎫⎛⎫ ⎪ ⎪-−−−−→-- ⎪ ⎪ ⎪ ⎪---⎝⎭⎝⎭初等行变换,………7分所以()138622962129B A E A ---⎛⎫⎪=-=-- ⎪ ⎪-⎝⎭. …………………………………………..10分六、设21837230753258010320A ⎛⎫⎪--⎪= ⎪-⎪⎝⎭,求A 的秩,并求A 的一个最高阶非零子式. (12分)解:因为218371032010320230752307503635325803258002420103202183701217⎛⎫⎛⎫⎛⎫⎪⎪ ⎪-------⎪⎪⎪−−→−−→ ⎪ ⎪ ⎪----⎪⎪ ⎪-⎝⎭⎝⎭⎝⎭ 103201032001217012100000140000100001600000⎛⎫⎛⎫⎪⎪-- ⎪ ⎪−−→−−→⎪ ⎪⎪⎪⎝⎭⎝⎭, ……………………………….8分所以()R 3A =,A 的一个最高阶非零子式为2172351--. …………………………….12分七、当λ取何值时,非齐次线性方程组123123123(3)2,(1), 3(1)(3)3λλλλλλλλ+++=⎧⎪+-+=⎨⎪++++=⎩x x x x x x x x x (1)有唯一解(2)无解;(3)有无穷多个解?在无穷多解时,求解.(12分)解:因为()()312111313λλλλλλλλ+-=-++ …………………………….4分(1) 当0λ≠且1λ≠时,方程组有唯一解;(2) 当0λ=时,方程组无解; ……………………………8分(3) 当1λ=时,其通解为123112310x x k x -⎛⎫⎛⎫⎛⎫ ⎪ ⎪ ⎪=+- ⎪ ⎪ ⎪ ⎪ ⎪ ⎪⎝⎭⎝⎭⎝⎭,其中k ∈R .…………………………….12分八、设T =-A E αα,其中E 是n 阶单位矩阵,α是1n ⨯阶非零矩阵,T α是α的转置,证明:2=A A 的充要条件是T 1=αα. (8分)证明: ()()()()2TTTTT2A E E E =--=-+αααααααααα()()T T T T T 22E E =-+=--αααααααααα,………………………………..4分必要性:当2=A A 时,即()2T T T 2A E E =--=-αααααα,故T 1=αα……………….6分充分性:当T 1=αα时,则()2T T T 2A E E =--=-αααααα………………….………….8分注:有的题目有多种解法,以上解答和评分标准仅供参考.。