高中数学试题及答案解析
- 格式:doc
- 大小:266.00 KB
- 文档页数:8
高中集合试题及答案解析一、选择题1. 集合A={1, 2, 3},集合B={3, 4, 5},求A∩B的值。
A. {1, 2}B. {3}C. {4, 5}D. 空集答案:B解析:根据集合交集的定义,A∩B是指既属于集合A又属于集合B的所有元素组成的集合。
在本题中,只有3同时属于集合A和集合B,因此A∩B={3}。
2. 如果集合A={x|x<5},集合B={x|x>3},求A∪B的值。
A. {x|x<3}B. {x|x<5}C. {x|x>=3}D. {x|x>=5}答案:C解析:集合并集的定义是将两个集合中所有的元素合并在一起,不重复计算。
在本题中,集合A包含所有小于5的数,集合B包含所有大于3的数。
因此,A∪B包含所有大于等于3的数,即{x|x>=3}。
二、填空题3. 若集合M={x|x²-5x+6=0},请写出集合M的所有元素。
答案:{2, 3}解析:首先解方程x²-5x+6=0,通过因式分解得到(x-2)(x-3)=0,因此x=2或x=3。
所以集合M的元素为2和3。
4. 已知集合N={x|-2≤x≤2},求集合N的补集。
答案:{x|x<-2或x>2}解析:集合N的补集是指所有不属于N的元素组成的集合。
根据N的定义,它的补集是所有小于-2或大于2的实数。
三、解答题5. 集合P={x|0<x<10},集合Q={x|x是偶数},求P∩Q,并说明其性质。
答案:P∩Q={2, 4, 6, 8}解析:集合P包含所有0到10之间的实数,而集合Q包含所有偶数。
因此,P∩Q包含所有既是0到10之间又是偶数的实数,即{2, 4, 6, 8}。
这个集合是有限集,且每个元素都是正偶数。
6. 已知集合R={x|x²-4=0},求R的子集个数。
答案:4解析:集合R的元素可以通过解方程x²-4=0得到,即x=±2。
高中数学集合测试题(含答案和解析)一、单选题1.已知集合{}2|280{|1]M x x x N y y =--<=≥-,,则M N ⋂=( )A .[-1,4)B .[-1,2)C .(-2,-1)D .∅2.设集合{}1,0,1,2A =-,{}2230B x x x =+-<,则A B 的子集个数为( )A .2B .4C .8D .163.已知2{|1}A x x ==,1|B x x a ⎧⎫==⎨⎬⎩⎭,若B A ⊆,则a 的值为( )A .1或-1B .0或1或-1C .1-D .14.已知集合{}15A x N x ∈≤≤,{}05B x x =<<,则A B ⋃=( ) A .{}2,3,4 B .{}1,2,3,4 C .{}15x x ≤≤D .{}05x x <≤5.设集合{}220A x x x =--≤,124x B x ⎧⎫⎪⎪⎛⎫=<⎨⎬ ⎪⎝⎭⎪⎪⎩⎭,则()A B ⋃=R( )A .112x x ⎧⎫-<≤-⎨⎬⎩⎭B .{}1x x <-C .12x x ⎧⎫>-⎨⎬⎩⎭D .{}1x x ≥-6.设集合{}{}(,)|20(,)|35A x y x y B x y x y =-==+=,,则A B =( ) A .{1,2} B .{1,2}xyC .(1,2)D .{(1,2)}7.已知集合{}23A x x =∈<Z ,32B x a x a ⎧⎫=<<+⎨⎬⎩⎭,若A B 有2个元素,则实数a 的取值范围是( ) A .3,12⎛⎫-- ⎪⎝⎭B .3,02⎛⎫- ⎪⎝⎭C .()3,01,2⎛⎫-⋃+∞ ⎪⎝⎭D .31,1,022⎛⎫⎛⎫--⋃- ⎪ ⎪⎝⎭⎝⎭8.已知集合{}{}22540,7100A x x x B x x x =-+<=-+<,则A B ⋃=( )A .()1,2B .()1,5C .()2,4D .()4,5 9.已知集合{}2{63},3100S x x T x x x =∈-<<=--<Z∣∣,则S T ( ) A .{23}x x -<<∣ B .{1,0,1,2}- C .{52}xx -<<∣ D .{2,1,0,1,2}--10.已知集合{},,A a b c =的所有非空真子集的元素之和等于12,则a b c ++的值为( ) A .1B .2C .3D .411.已知集合(){}30A x x x =-<,{}0,1,2,3B =,则A B =( ) A .{}0,1,2,3B .{}0,1,2C .{}1,2,3D .{}1,212.设集合{}220A x x x =-≤,{}1,2,3B =,{}2,3,4C =,则()A B C =( )A .{}2B .{}2,3C .{}1,2,3,4D .{}0,1,2,3,413.已知集合{}ln 0A x x =>,{}221x B x -=<,则A B =( )A .{}2x x <B .{}1x x <C .{}02x x <<D .{}12x x <<14.设全集{}0,1,2,3,4U =,集合{}1,2,4A =,{}2,3B =,则()U A B ⋂=( ) A .{}2B .{}2,3C .{}0,3D .{}315.已知集合{}1e 1x M x -=>,{}220N x x x =-<,则MN =( )A .()1,+∞B .()2,+∞C .()0,1D .()1,2二、填空题16.如图,四个棱长为1的正方体排成一个正四棱柱,AB 是一条侧棱,()1,2,,8i P i =是上底面上其余的八个点,()1,2,,8i i x AB AP i =⋅=则用集合列举法表示i x 组成的集合______.17.已知全集U =R ,集合{}()3,,0A x x B ∞=≤-=-,则A B =________.18.等差数列{}n a 中15141024a a a a ++=+,513a a =. 若集合{}*122nn n N a a a λ∈<+++∣中仅有2个元素,则实数λ的取值范围是______.19.已知集合(){}2,M x y y x ==∣,(){},0N x y y ==,则M N =______.20.满足条件:{}a {},,,M a b c d ⊆的集合M 的个数为______. 21.已知平面上两个点集()(){}22,|12,R,R M x y x y x y x y =+++∈∈,(){},|11,R,R N x y x a y x y =-+-≤∈∈,若MN ≠∅,则实数a的取值范围为___________..22.已知函数()51f x a x=-+-M ,集合{}9N x x =≥,若M N ⋂=∅,则实数a 的取值范围是_________.23.集合{}31A x x =-<,{}3782B x x x =-≥-,则A B =___________.24.已知函数()214f x x -A 为函数()f x 的定义域,集合B 为函数()f x 的值域,若定义{,A B x x A -=∈且}x B ∉,()()⊕=--A B A B B A ,则A B ⊕=___________.25.如图所示,U 为全集,A U ⊆,B U ⊆,用A 、B 表示图中的阴影部分的集合是______.三、解答题26.已知集合{}|123A x a x a =-≤≤+,{}|14B x x =-≤≤,全集U =R . (1)当1a =时,求()U C A B ⋂;(2)若“x B ∈”是“x A ∈”的必要条件,求实数a 的取值范围.27.在①A B A ⋃=,②A B ⋂≠∅,③B A ⊆R这三个条件中任选一个,补充在下面问题(3)中,若问题中的实数m 存在,求m 的取值范围;若不存在,说明理由. 已知一元二次不等式2320ax x -+>的解集为{1A x x =<或}x b >,关于x 的不等式()20ax am b x bm -++<的解集为B (其中m ∈R ).(1)求a ,b 的值; (2)求集合B ;(3)是否存在实数m ,使得_______.(注:如果选择多个条件分别解答,按第一个解答计分).28.在①A B B ⋃=;②“x A ∈”是 “x B ∈”的充分不必要条件;③A B =∅这三个条件中任选一个,补充到本题第(2)问的横线处,求解下列问题:已知集合{}11A x a x a =-≤≤+,{}2230B x x x =--≤(1)当2a =时,求A B ;(2)若______,求实数a 的取值范围.29.已知集合702x A xx ⎧⎫-=≤⎨⎬+⎩⎭,{}123B x m x m =-≤≤-. (1)当6m =时,求集合A B ;(2)若{}58C x x =<≤,“()x A C ∈⋂”是“x B ∈”的充分条件,求实数m 的取值范围.30.设{}24,21,A a a =--,{}5,1,9B a a =--,已知{}9A B ⋂=,求a 的值.【参考答案】一、单选题 1.A 【解析】 【分析】解一元二次不等式求集合M ,再根据集合的交运算求M N ⋂. 【详解】由题设,{|24}M x x =-<<,而{|1}N y y ≥-, 所以{|14}M N x x ⋂=-≤<. 故选:A 2.B 【解析】 【分析】求出集合B ,可求得集合A B ,确定集合A B 的元素个数,利用集合子集个数公式可求得结果. 【详解】因为{}{}223031B x x x x x =+-<=-<<,所以,{}1,0A B ⋂=-,则集合A B 的元素个数为2,因此,A B 的子集个数为224=. 故选:B. 3.A 【解析】 【分析】A ={-1,1},若B A ⊆,则1a=±1,据此即可求解﹒{}2{|1}1,1A x x ===-,11|B x x a a ⎧⎫⎧⎫===⎨⎬⎨⎬⎩⎭⎩⎭, 若B A ⊆,则1a=1或-1,故a =1或-1. 故选:A . 4.D 【解析】 【分析】理解集合的含义,由并集的概念运算 【详解】{}15A x N x ∈≤≤,{}05B x x =<<,则A B ⋃={}05x x <≤故选:D 5.B 【解析】 【分析】分别化简集合A 与B ,再求A B ,最后求()RA B ⋃【详解】220x x --≤⇒()()120x x +-≤⇒12x -≤≤124x⎛⎫< ⎪⎝⎭222x-⇒<21x ⇒-<12x ⇒>- 即{}|12A x x =-≤≤,1|2B x x ⎧⎫=>-⎨⎬⎩⎭所以{}|1A B x x ⋃=≥- 所以(){}R|1AB x x =<-故选:B6.D 【解析】 【分析】 联立方程求解即可. 【详解】集合A 表示在直线2x -y =0上所有的点,集合B 表示3x +y =5上所有的点,所以联立方程2035x y x y -=⎧⎨+=⎩ ,解得x =1,y =2, ()1,2A B ⋂= ,即A 与B 的交集是点(1,2);故选:D. 7.D 【解析】由题知{}1,0,1A =-,进而根据题意求解即可. 【详解】解:因为{}{}231,0,1A x Z x =∈<=-,32B x a x a ⎧⎫=<<+⎨⎬⎩⎭,若A B 有2个元素,则13012a a <-⎧⎪⎨<+≤⎪⎩或10312a a -≤<⎧⎪⎨+>⎪⎩,解得312a -<<-或102a -<<, 所以,实数a 的取值范围是31,1,022⎛⎫⎛⎫--⋃- ⎪ ⎪⎝⎭⎝⎭.故选:D . 8.B 【解析】 【分析】先求出集合,A B ,再求A B 即可. 【详解】{}{}14,25A x x B x x =<<=<<,故A B ⋃=()1,5.故选:B. 9.B 【解析】 【分析】求解一元二次不等式解得集合T ,再求S T 即可. 【详解】因为{63}S x x =∈-<<Z∣{}5,4,3,2,1,0,1,2=-----, {}23100T x x x =--<∣()(){}|520{|25}x x x x x =-+<=-<<,故S T {}1,0,1,2=-. 故选:B. 10.D 【解析】 【分析】根据真子集的定义进行求解即可. 【详解】因为集合{},,A a b c =的所有非空真子集为:{}{}{}{}{}{},,,,,,,,a b c a b a c b c , 所以有123()124a b c a b a c b c a b c a b c ++++++++=⇒++=⇒++=, 故选:D 11.D 【解析】 【分析】解不等式求得集合A ,由此求得A B . 【详解】因为()30x x -<的解为03x <<, 所以{}03A x x =<<,所以{}1,2A B =. 故选:D 12.C 【解析】 【分析】先求出集合A ,再按照交集并集的运算计算()A B C 即可. 【详解】{}{}22002A x x x x x =-≤=≤≤,{}(){}1,2,1,2,3,4A B A B C ==.故选:C. 13.D 【解析】 【分析】解指数和对数不等式可求得集合,A B ,由交集定义可得结果. 【详解】{}{}ln 01A x x x x =>=>,{}{}{}221202x B x x x x x -=<=-<=<,{}12A B x x ∴⋂=<<.故选:D. 14.D 【解析】 【分析】利用补集和交集的定义可求得结果. 【详解】 由已知可得{}0,3UA =,因此,(){}U 3AB ⋂=,故选:D. 15.D 【解析】 【分析】根据指数函数的性质解出集合M ,再由二次不等式的解法求出集合N ,最后求交集即可. 【详解】解:由1e 1x ->得10e e x ->,又函数e x y =在R 上单调递增,则10x ->,即{}1M x x =>, 又由220x x -<得02x <<,即{}02M x x =<<, 所以{}12M N x x ⋂=<<.故选:D.二、填空题 16.{}1【解析】 【分析】由空间向量的加法得:i i AP AB BP =+,根据向量的垂直和数量积得221AB AB ==,0i AB BP ⋅=计算即可.【详解】由题意得,()2i i i i x AB AP AB AB BP AB AB BP =⋅=⋅+=+⋅又AB ⊥平面286BP P P ,i AB BP ∴⊥,则0i AB BP ⋅=,所以221i i x AB AB BP AB =+⋅==, 则()1,2,,81i i x AB AP i =⋅==,故答案为:{}117.()3,0-【解析】 【分析】先求出{}3A x x =>-,进而求出交集. 【详解】{}3A x x =>-,()3,0A B =-故答案为:()3,0-18.924⎡⎫⎪⎢⎣⎭,【解析】 【分析】设等差数列{}n a 的公差为d ,由题设列出d 与1a 的方程组,解出d 与1a ,从而可得到212322n n n a a a n n ++⋯++=,令23()2n n nf n +=,得出()f n 的单调性,即可求出λ的取值范围. 【详解】解:设等差数列{}n a 的公差为d ,由题设可知:11111141392443a a d a d a d a d a ++++=++⎧⎨+=⎩,解得:14a =,2d =,212(1)4232n n n a a a n n n -+++=+⨯=+, ∴212322n n na a a n n++⋯++=,令23()2n n n f n +=,则22211(1)3(1)34(1)()222n n n n n n n n n f n f n +++++++-+-=-=-, 当2n <时,()()10f n f n +->, 当2n ≥时,()()10f n f n +-<,f ∴(1)f <(2)f >(3)f >(4)>,又f (1)2=,f (2)52=,f (3)94=,f (4)74=, 集合{}*12N |2n n n a a a λ∈<++⋯+中有2个元素,即集合*12N |2n n a a a n λ++⋯+⎧⎫∈<⎨⎬⎩⎭中有2个元素, [2λ∴∈,9)4.故答案为:924⎡⎫⎪⎢⎣⎭,.19.(){}0,0【解析】 【分析】根据题意,得到两集合均为点集,联立20y x y ⎧=⎨=⎩求解,即可得出结果.【详解】因为集合(){}2,M x y y x ==∣表示直线2y x 上所有点的坐标,集合(){},0N x y y ==,表示直线0y =上所有点的坐标,联立20y x y ⎧=⎨=⎩,解得00x y =⎧⎨=⎩则(){}0,0MN =.故答案为:(){}0,0. 20.7 【解析】 【分析】根据{}a {},,,M a b c d ⊆可知,M 中的元素应该是多于一个不多于{},,,a b c d 中的元素个数,由此可求得答案. 【详解】由{}a {},,,M a b c d ⊆可知,M 中的元素个数多于{}a 中的元素个数,不多于{},,,a b c d 中的元素个数 因此M 中的元素来自于b ,c,d 中,即在b ,c,d 中取1元素时,M 有3个;取2个元素时,有3个;取3个元素时,有1个, 故足条件:{}a {},,,M a b c d ⊆的集合M 的个数有7个, 故答案为:7. 21.16,310⎡⎤-+⎣⎦【解析】 【分析】根据抛物线的定义可知集合M 是以原点()0,0为焦点,以直线10x y ++=为准线的抛物线上及其凹口内侧的点集,集合N 是以(),1a 为中心的正方形内部的点,数形结合先求出M N ⋂=∅时实数a 的取值范围,再求其补集即可求解.【详解】由()2212x y x y ++≥+可得()()221002x y x y ++≥-+-,点(),x y 到直线10x y ++=的距离大于等于点(),x y 到点()0,0的距离,所以点(),x y 的轨迹是以原点()0,0为焦点,以直线10x y ++=为准线的抛物线上及其凹口内侧的部分,即集合M 是以原点()0,0为焦点,以直线10x y ++=为准线的抛物线上及其凹口内侧的点集,由1x y +≤可得:001x y x y ≥⎧⎪≥⎨⎪+≤⎩或001x y x y <⎧⎪>⎨⎪-+≤⎩或001x y x y >⎧⎪<⎨⎪-≤⎩或001x y x y <⎧⎪<⎨⎪--≤⎩,作出其表示的平面区域如图所示:将该图象向上平移一个单位可得11x y +-≤的图象如图:将其向左或右平移a 个单位可得11x a y -+-≤的表示的平面区域,作出()2212x y x y ++=+对应的抛物线如图:将1y =代入()2212x y x y ++=+2420x x --=,解得:26x = 所以26116a <=M N ⋂=∅,将2y =代入()2212x y x y ++=+2610x x --=,解得:310x =, 当310a >时,M N ⋂=∅, 综上所述:当16310a ≤16,310a ⎡⎤∈⎣⎦时,M N ≠∅,故答案为:16,310⎡⎤⎣⎦. 22.(,8]-∞【解析】【分析】根据集合交集的性质,结合子集的性质进行求解即可.【详解】∵{}9,N x x M N =≥⋂=∅,∵{}9M x x ⊆<,∵{}1M x x a =<+,∴19a +≤,解得8a ≤,∴实数a 的取值范围是(,8]-∞. 故答案为:(,8]-∞23.{}34x x ≤<【解析】【分析】 求出{}24A x x =<<与{}3B x x =≥,进而求出A B .【详解】31x -<,解得:24x <<,故{}24A x x =<<,3782x x -≥-解得:3x ≥,故{}3B x x =≥,所以A B ={}34x x ≤< 故答案为:{}34x x ≤<24.11,0,122⎡⎫⎛⎤-⎪ ⎢⎥⎣⎭⎝⎦【解析】【分析】根据()f x =.【详解】要使函数()f x =2140-≥x ,解得1122x -≤≤,所以11,22A ⎡⎤=-⎢⎥⎣⎦,函数()f x =[]0,1B =, {,A B x x A -=∈且}x B ∉102x x ⎧⎫=-≤<⎨⎬⎩⎭,{,B A x x B -=∈且}x A ∉112x x ⎧⎫=<≤⎨⎬⎩⎭. ()()⊕=--A B A B B A 102x x ⎧⎫=-≤<⎨⎬⎩⎭112x x ⎧⎫⋃<≤=⎨⎬⎩⎭11,0,122⎡⎫⎛⎤-⎪ ⎢⎥⎣⎭⎝⎦. 故答案为:11,0,122⎡⎫⎛⎤-⎪ ⎢⎥⎣⎭⎝⎦. 25.A B ⋂##B A ⋂【解析】 【分析】根据集合的运算法则求解.【详解】阴影部分是集合A 与集合B 的补集的公共部分,因此表示为:A B ⋂.故答案为:A B ⋂.三、解答题26.(1){}()10U C A B x x ⋂=-≤<(2)4a 或102a ≤≤【解析】【分析】(1)根据补集与交集的运算性质运算即可得出答案.(2)若“x B ∈”是“x A ∈”的必要条件等价于A B ⊆.讨论A 是否为空集,即可求出实数a 的取值范围.(1)当1a =时,集合{}|05A x x =≤≤,{|0U C A x x =<或}5x >,{}()|10U C A B x x ⋂=-≤<.(2)若“x B ∈”是“x A ∈”的必要条件,则A B ⊆,①当A =∅时,123,4a a a ->+<-∴;②A ≠∅,则4a ≥-且11,234a a -≥-+≤,102a ∴≤≤. 综上所述,4a 或102a ≤≤. 27.(1)1、2;(2)当2m <时,(),2B m =;当2m =时,B =∅;当2m >时,()2,B m =;(3)若选①:2m ≥;若选②:1m <或2m >;若选③:12m ≤≤.【解析】【分析】(1)由题可知x =1是方程2320ax x -+=的解,由此即可求出a ,从而求出b ;(2)根据a 、b 的值即可分类讨论求解不等式,从而得到B ;(3)若选①,则B ⊆A ,分类讨论m 的范围即可;若选②,则根据题意分类讨论即可;若选③,则先求出A R ,分类讨论即可.(1)由一元二次不等式2320ax x -+>的解集为{1A x x =<或}x b >,得0a >,且方程2320ax x -+=的两根为1、b , ∴0,31,21,a b ab a ⎧⎪>⎪⎪=+⎨⎪⎪=⨯⎪⎩ 解得1,2.a b =⎧⎨=⎩ (2)由(1)可知()20ax am b x bm -++<即为()2220x m x m -++<,即()()20x m x --<.m <2时,2m x <<;m =2时,不等式无解;m >2时,2x m <<.综上,当2m <时,(),2B m =;当2m =时,B =∅;当2m >时,()2,B m =.(3)由(1)知{1A x x =<或}2x >,若选①:A B A ⋃=,则B A ⊆,当2m <时,(),2B m =,不满足;当2m =时,B =∅,满足;当2m >时,()2,B m =,满足;∴选①,则实数m 的取值范围是2m ≥;若选②:A B ⋂≠∅,当2m <时,(),2B m =,则1m <;当2m =时,B =∅,不满足;当2m >时,()2,B m =,满足;∴选②,则实数m 的取值范围是1m <或2m >;若选③:B A ⊆R ,A R []1,2=,当2m <时,(),2B m =,则m ≥1,∴12m ≤<;当2m =时,B =∅,满足;当2m >时,()2,B m =,不满足.∴选③,则实数m 的取值范围是12m ≤≤.28.(1){}|13A B x x ⋃=-≤≤(2)条件选择见解析,()(),24,-∞-+∞【解析】【分析】(1)化简集合A 与B 之后求二者的并集(2)先判断集合A 与B 的关系,再求a 的取值范围(1)当2a =时,集合{}|13A x x =≤≤,{}|13B x x =-≤≤,所以{}|13A B x x ⋃=-≤≤;(2)若选择①A ∪B =B ,则A B ⊆,因为{}|11A x a x a =-≤≤+,所以A ≠∅,又{}|13B x x =-≤≤, 所以1113a a -≥-⎧⎨+≤⎩,解得02a ≤≤, 所以实数a 的取值范围是[]0,2.若选择②,“x A ∈“是“x B ∈”的充分不必要条件,则A B ,因为{}|11A x a x a =-≤≤+,所以A ≠∅, 又{}|13B x x =-≤≤,所以1113a a -≥-⎧⎨+≤⎩,解得02a ≤≤,所以实数a 的取值范围是[]0,2.若选择③,A B =∅,因为{}|11A x a x a =-≤≤+,{}|13B x x =-≤≤,所以13a ->或11a +<-,解得4a >或2a <-,所以实数a 的取值范围是()(),24,-∞-+∞. 29.(1){|29}x x -<≤(2)56m ≤≤【解析】【分析】(1)先化简集合A ,由6m =解得集合B ,然后利用并集运算求解.(2)根据“()x A C ∈⋂”是“x B ∈”的充分条件,转化为A B ⊆求解.(1) 由702x x -≤+得:27x -<≤,即27{|}A x x =-<≤, 当6m =时,{|59}B x x =≤≤,所以{|29}A B x x ⋃=-<≤.(2) 因为{}58C x x =<≤,所以{}57A C x x ⋂=<≤,由“A C ”是“x B ∈”的充分条件,则()A C B ⋂⊆,则2312237556156m m m m m m m m -≥-≥⎧⎧⎪⎪-≥⇒≥⇒≤≤⎨⎨⎪⎪-≤≤⎩⎩, 实数m 的取值范围是56m ≤≤.30.-3【解析】【分析】根据{}9A B ⋂=,分219a -=和29a =,讨论求解.【详解】解:因为{}24,21,A a a =--,{}5,1,9B a a =--,且{}9A B ⋂=,所以当219a -=时,解得5a =,此时{}{}4,9,25,0,4,9A B =-=-,不符合题意; 当29a =时,解得3a =或3a =-,若3a =,则{}{}4,52,9,9,,2B A =--=-,不成立;若3a =-,则{}{}4,7,9,8,4,9A B =--=-,成立;所以a 的值为-3.。
高一数学高中数学北师大版试题答案及解析1.扇形的半径是一个圆的半径的3倍,且,则扇形的圆心角为。
【答案】【解析】设圆的半径为r,则扇形的半径为3r,根据,则.2.已知点与两个定点的距离之比为,则点的轨迹的面积为()A.2B.C.D.【答案】C【解析】由题意得,设点,则,即,整理得,所以点的轨迹表示以为圆心,半径为的圆,所以面积为,故选C.【考点】轨迹方程的求法.3.已知棱长等于2的正四面体的四个顶点在同一个球面上,则球的半径长为,球的表面积为.【答案】;6π【解析】将正四面体补成正方体,再将正方体放在一个球体中,利用它们之间的关系求解.解:如图,将正四面体补形成一个正方体,∵正四面体为2,∴正方体的棱长是,又∵球的直径是正方体的对角线,设球半径是R,∴2R=∴R=,球的表面积为6π.故填:;6π.点评:巧妙构造正方体,利用正方体的外接球的直径为正方体的对角线,从而将问题巧妙转化.若已知正四面体V﹣ABC的棱长为a,求外接球的半径,我们可以构造出一个球的内接正方体,再应用对角线长等于球的直径可求得.4.电子手表厂生产某批电子手表正品率为,次品率为,现对该批电子手表进行测试,设第X次首次测到正品,则P(1≤X≤2013)等于()A.B.C.D.【答案】B【解析】先求出P(X=0),即第0次首次测到正品,即全是次品的概率,从而可得结论.解:由题意,P(X=0)=∴P(1≤X≤2013)=1﹣P(X=0)=故选B.点评:本题考查n次独立重复实验中恰好发生k次的概率,考查学生的计算能力,属于中档题.5. 100件产品,其中有30件次品,每次取出1件检验放回,连检两次,恰一次为次品的概率为()A.0.42B.0.3C.0.7D.0.21【答案】A【解析】设恰一次为次品为事件A,根据100件产品,其中有30件次品,每次取出1件检验放回,连检两次,可求基本事件的个数,从而可求恰一次为次品的概率.解:由题意,设恰有一次取出次品为事件A,则P(A)===0.42故选A.点评:本题考查的重点是概率知识的运用,解题的关键是确定基本事件的个数,应注意每次取出1件检验放回,属于基础题.6.已知f(x),g(x)都是定义在R上的函数,g(x)≠0,f′(x)g(x)>f(x)g′(x),且f(x)=a x•g(x)(a>0,且a≠1),.,若数列的前n项和大于62,则n的最小值为()A.6B.7C.8D.9【答案】A【解析】由f′(x)g(x)>f(x)g′(x)可得单调递增,从而可得a>1,结合,可求a.利用等比数列的求和公式可求,从而可求解:∵f′(x)g(x)>f(x)g′(x)∴f′(x)g(x)﹣f(x)g′(x)>0,∴从而可得单调递增,从而可得a>1∵,∴a=2故=2+22+…+2n=∴2n+1>64,即n+1>6,n>5,n∈N*∴n=6故选:A点评:本题主要考查了利用导数的符合判断指数函数的单调性,等比数列的求和公式的求解,解题的关键是根据已知构造函数单调递增.7.已知曲线y=x2的一条切线的斜率为,则切点的横坐标为()A.4B.3C.2D.【答案】C【解析】根据切点处的导数即为切线的斜率建立等式关系,解出方程,问题得解.解:设切点的横坐标为t==,解得t=2,y′|x=t故选C.点评:本题考查了导数的几何意义,切点处的导数即为切线的斜率,属于基础题.8.已知y=f(x)=ln|x|,则下列各命题中,正确的命题是()A.x>0时,f′(x)=,x<0时,f′(x)=﹣B.x>0时,f′(x)=,x<0时,f′(x)无意义C.x≠0时,都有f′(x)=D.∵x=0时f(x)无意义,∴对y=ln|x|不能求导【答案】C【解析】利用绝对值的意义将函数中的绝对值去掉转换为分段函数;利用基本的初等函数的导数公式及复合函数的求导法则:外函数的导数与内函数的导数的乘积,分别对两段求导数,两段的导数合起来是f(x)的导数.解:根据题意,f(x)=,分两种情况讨论:(1)x>0时,f(x)=lnx⇒f'(x)=(lnx)'=.(2)x<0时f(x)=ln(﹣x)⇒f'(x)=[ln(﹣x)]'=(这里应用定义求导.)故选C点评:本题考查绝对值的意义、考查分段函数的导数的求法、考查基本初等函数的导数公式及简单的复合函数的求导法则.9.已知,则f′()=()A.﹣1+B.﹣1C.1D.0【答案】B【解析】本题先对已知函数进行求导,再将代入导函数解之即可.解:故选B.点评:本题主要考查了导数的运算,以及求函数值,解题的关键是正确求解导函数,属于基础题.10.空间中,与向量同向共线的单位向量为()A.B.或C.D.或【答案】C【解析】利用与同向共线的单位向量向量即可得出.解:∵,∴与同向共线的单位向量向量,故选:C.点评:本题考查了与同向共线的单位向量向量,属于基础题.11.函数f(x)=xsinx+cosx的导数是()A.xcosx+sinx B.xcosx C.xcosx﹣sinx D.cosx﹣sinx【答案】B【解析】利用和及积的导数运算法则及基本初等函数的导数公式求出函数的导数.解:∵f(x)=xsinx+cosx∴f′(x)=(xsinx+cosx)′=(xsinx)′+(cosx)′=x′sinx+x(sinx)′﹣sinx=sinx+xcosx﹣sinx=xcosx故选B点评:本题考查导数的运算法则、基本初等函数的导数公式.属于基础试题12.的导数是()A.B.C.D.【答案】A【解析】利用导数的四则运算法则,按规则认真求导即可解:y′===故选A点评:本题考查了导数的除法运算法则,解题时认真计算即可,属基础题13.设函数f(x)在点x可导,则=()A.f′(x0)B.f′(x)C.2f′(x)D.不存在【答案】C【解析】利用导数的定义,把增量转化为2h,问题得以解决.解:==2f′(x).故选C.点评:本题以函数为载体,考查导数的定义,关键是理解导数的定义,从而得解.14.已知点O为坐标原点,点A在x轴上,正△OAB的面积为,其斜二测画法的直观图为△O′A′B′,则点B′到边O′A′的距离为.【答案】2【解析】画出斜二测画法的直观图为△O′A′B′,求出正△OAB的边长,B′D′的长,然后求出点B′到边O′A′的距离.解:正△OAB的面积为,边长为2,O′A′=2D′为O′A′的中点,B′D′=所以点B′到边O′A′的距离:cos45°=故答案为:点评:本题考查斜二测法画直观图,点、线、面间的距离计算,考查计算能力,记住结论平面图形和直观图形面积之比为2.15.一个平面图形的水平放置的斜二测直观图是一个等腰梯形,直观图的底角为45°,两腰和上底边长均为1,则这个平面图形的面积为.【答案】2+【解析】根据斜二测化法规则画出原平面图形,可知水平放置的图形为直角梯形,求出上底,高,下底,利用梯形面积公式求解即可.解:水平放置的图形为一直角梯形,由题意可知上底为1,高为2,下底为1+,S=(1++1)×2=2+.故答案为:2+.点评:本题考查水平放置的平面图形的直观图斜二测画法,由已知斜二测直观图根据斜二测化法规则,正确画出原平面图形是解题的关键.16.如图是某一问题的算法程序框图,它反映的算法功能是.【答案】计算|x|的值.【解析】从赋值框输入的变量x的值开始,逐渐分析写出程序运行的每一步,便可得到程序框图表示的算法的功能.解:框图首先输入变量x的值,判断x≥0,执行输出x;否则,输出x的相反数:﹣x.算法结束.故此算法执行的是计算|x|的值.故答案为:计算|x|的值.点评:本题考查了程序框图中的选择结构,选择结构是先判断后执行,满足条件时执行一个分支,不满足条件执行另一个分支,此题是基础题.17.执行程序框图,输出的T= .【答案】30.【解析】本题首先分析程序中各变量、各语句的作用,再根据流程图所示的顺序,可知:该程序的作用是利用循环计算并输出变量T的值,模拟程序的运行,运行过程中各变量的值进行分析,不难得到输出结果.解:按照程序框图依次执行为S=5,n=2,T=2;S=10,n=4,T=2+4=6;S=15,n=6,T=6+6=12;S=20,n=8,T=12+8=20;S=25,n=10,T=20+10=30>S,输出T=30.故答案为:30.点评:本题主要考查了循环结构的程序框图,一般都可以反复的进行运算直到满足条件结束,本题中涉及到三个变量,注意每个变量的运行结果和执行情况.18.变量y是变量x的函数,则()A.变量x,y之间具有依赖关系B.变量x是变量y的函数C.当x每取一个值时,变量y可以有两个值与之对应D.当y每取一个值时,变量x有唯一的值与之对应【答案】A【解析】根据函数的定义去判断.解:变量y是变量x的函数,所以变量x,y之间具有依赖关系.故A正确.故选A.点评:本题主要考查函数的定义,比较基础.19.下列等式中的变量x,y不具有函数关系的是()A.y=x﹣1B.y=C.y=3x2+D.y2=x2【答案】D【解析】一般地,给定非空数集A,B,按照某个对应法则f,使得A中任一元素x,都有B中唯一确定的y与之对应,那么从集合A到集合B的这个对应,叫做从集合A到集合B的一个函数.记做y=f(x).分别利用函数的定义去判断,其中D中x对应y的取值不唯一.解:根据函数的定义可知A,B,C满足函数的定义.在D中当x=1时,y=±1;当y=2时,x=±2,不符合函数的定义.故选D.点评:本题考查函数的定义,函数的定义要求对于A中的任何一个元素在集合B中都有唯一的元素对应.否则不能构成函数.20.用列举法表示集合{x|x2-2x+1=0}为 ()A.{1,1}B.{1}C.{x=1}D.{x2-2x+1=0}【答案】B【解析】集合{x|x2-2x+1=0}实质是方程x2-2x+1=0的解集,此方程有两相等实根,为1,故可表示为{1}.故选B.【考点】集合的表示方法点评:列举法是把集合中的所有元素一一写出的方法。
高中数学集合测试题(附答案和解析)一、单选题1.已知全集{}1,2,3,4,5U =,集合{}3,4,5A =,{}2,3,4B =,则()U AB =( )A .{}1,3,5B .{}1,2,5C .{}1,5D .{}2,5 2.设集合{}22M x Z x =∈-<,则集合M 的真子集个数为( )A .16B .15C .8D .7 3.如图,已知集合{A =1-,0,1,2},{|128}x B x N +=∈<≤,则图中的阴影部分表示的集合为( )A .{1,2}B .{1-,0,3}C .{1-,3}D .{0,1,2} 4.已知集合{}1,2,3A =,{}20B x x =-<,则A B =( )A .{}1B .{}1,2C .{}0,1,2D .{}1,2,3 5.设集合{}|3,A x x x R =<∈,{}1,2,3B =,则A B =( )A .{}1B .{}1,2,3C .{}1,2D .{}1,0,1-6.已知集合{}20A x x =-≤≤,{}21B x x =>,则A B ⋃=( ) A .[)2,1--B .[]()2,01,-⋃+∞C .(](),01,-∞⋃+∞D .[)2,1-7.已知集合{}21A x x =<,{}e 2x B x =<,则A B =( ) A .()1,1- B .()1,ln 2- C .()0,ln 2 D .()ln 2,1 8.已知集合(){}30A x x x =-<,{}0,1,2,3B =,则A B ( )A .{}0,1,2,3B .{}0,1,2C .{}1,2,3D .{}1,2 9.已知集合11A x x x ⎧⎫-=<⎨⎬+⎩⎭,{}log 4x y x =-,则A B =( ) A .{}41xx -<<∣ B .{}14x x -<< C .{}14x x << D .{}1x x ≥-10.已知集合{}21A x x =-<<,{}03B x x =≤≤,则A B ⋃=( )A .{}01x x ≤<B .{}23x x -<≤C .{}13x x <≤D .{}01x x <<11.已知集合1144A x x ⎧⎫=-<⎨⎬⎩⎭,12B x a x ⎧⎫=<<⎨⎬⎩⎭,若B A ⊆,则实数a 的取值范围是( )A .10,2⎛⎫ ⎪⎝⎭B .10,2⎛⎤ ⎥⎝⎦C .[)0,∞+D .[)1,+∞12.已知集合{}22280,03x A x x x B x x -⎧⎫=--≤=≤⎨⎬+⎩⎭,则A B ⋃=( ) A .{}42x x -≤≤B .{42x x -≤≤且3}x ≠-C .{}34x x -≤≤ D .{34}x x -<≤ 13.已知全集{}0,1,2,3,4,5U A B ==,(){}1,2,4U AB =,B =( ) A .{}0B .{}3,5C .{}0,3,5D .{}1,2,4 14.已知集合{|13}A x x =-<<,1,{}1,2B =-,则A B =( ) A .{}1,2B .{}1,1,2-C .{}0,1,2D .{}1,0,1,2,3- 15.下面给出的四类对象中,构成集合的是( ) A .某班视力较好的同学B .长寿的人C .π的近似值D .倒数等于它本身的数二、填空题16.已知(){}22,1,01M x y x y y =+=<≤,(){},,N x y y x b b R ==+∈,如果M N ≠∅,那么b 的取值范围是______.17.集合*83A x N N x ⎧⎫=∈∈⎨⎬-⎩⎭,用列举法可以表示为A =_________. 18.已知集合(){}(){},24,,5A x y x y B x y x y =-==+=∣∣,则A B 中元素个数为__________.19.某班有学生45人,参加了数学小组的学生有31人,参加了英语小组的学生有26人.已知该班每个学生都至少参加了这两个小组中的一个小组,则该班学生中既参加了数学小组,又参加了英语小组的学生有___________人.20.若集合{}2210A x x x =-+=,{}210B x x =-=,则A ______B .(用符号“⊂”“=”或“⊃”连接)21.若集合{}3cos23,x A x x x R π==∈,{}21,B y y y R ==∈,则A B ⋂=_______. 22.设α:()124R m x m m +≤≤+∈;β:13x ≤≤.若β是α的充分条件,则实数m 的取值范围为______.23.某学校开设校本课程,高一(2110)班确定了数学类、英语类、历史类三个类别校本课程供班上的40名学生选择参加,且40名学生全部参与选择.其中只选数学类的有8人,只选英语类的有8人,只选历史类的有8人,既选数学类又选英语类的有7人,既选数学类又选历史类的有11人,既选英语类又选历史类的有8人,则三类课程都选择参加的有___________人.24.若全集{}0,1,2,3,4U =,{}0,1,2,3A =,{}2,3,4B =,则A B ⋃=______.25.判断下列命题的真假:(1)集合{}1,2,3是集合{}1,2,3的真子集;( )(2){}1是集合{}1,2,3的元素;( )(3)2是集合{}1,2,3的子集;( )(4)满足{}{}00,1,2,3A 的集合A 的个数是322-个.( )三、解答题26.已知{}28200P x x x =--≤,非空集合{}11S x m x m =-≤≤+.若x P ∈是x S ∈的必要不充分条件,求实数m 的取值范围.27.已知集合{}26A x x =-≤≤,{}11,0B x m x m m =-≤≤+>.(1)若A B A ⋃=,求实数m 的取值范围;(2)若x A ∈是x B ∈的充分条件,求m 的取值范围.28.已知函数2()327mx n h x x +=+为奇函数,||1)3x m k x ﹣()=( ,其中R m n ∈、 . (1)若函数h (x )的图象过点A (1,1),求实数m 和n 的值;(2)若m =3,试判断函数11()+()()f x h x k x =在[3x ∈+∞,)上的单调性并证明; (3)设函数()()(),39,3h x x g x k x x ⎧≥⎪=⎨<⎪⎩,若对每一个不小于3的实数1x ,都恰有一个小于3的实数2x ,使得12g x g x ()=() 成立,求实数m 的取值范围.29.已知集合{}3A x a x a =≤≤+,{1B x x =<-或5}x >.(1)若A B =∅,求a 的取值范围;(2)若A B A =,求a 的取值范围.30.已知U =R ,{}2=160A x x -<,{}2=3180B x x x -++>,求A B ,A B .【参考答案】一、单选题1.B【解析】【分析】根据给定条件,利用交集、补集的定义直接计算作答.【详解】集合{}3,4,5A =,{}2,3,4B =,则{3,4}A B =,而全集{}1,2,3,4,5U =,所以(){1,2,5}U A B ⋂=. 故选:B2.D【解析】【分析】求出集合M 中的元素,再由子集的定义求解.【详解】由题意{|04}{1,2,3}M x Z x =∈<<=,因此其真子集个数为3217-=.故选:D .3.B【解析】【分析】由题知{}1,2,3B =,进而得{}1,2A B =,再求阴影部分表示的集合即可.【详解】解:解不等式128x <≤得03x <≤,所以{}1,2,3B =,因为{A =1-,0,1,2},所以{}1,2A B =所以,图中的阴影部分表示的集合为{}1,0,3-.故选:B4.A【解析】【分析】根据集合交集的概念及运算,即可求解.【详解】 由题意,集合{}{}202B x x x x =-<=<,又由{}1,2,3A =,根据集合交集的概念及运算,可得{}1A B ⋂=.故选:A.5.C【解析】【分析】求出集合A 的解集,取交集运算即可.【详解】因为{}|33A x x =-<<,{}1,2,3B =,所以{}1,2A B =.故选:C.6.C【解析】【分析】解不等式求得集合B ,由此求得A B .【详解】()()21,110x x x >+->,解得1x <-或1x >,所以()(),11,B =-∞-⋃+∞,所以(](),01,A B ⋃=-∞⋃+∞.故选:C7.B【解析】【分析】由已知,分别求解出集合A 、集合B 的范围,然后直接求解交集即可.【详解】 由已知,集合{}21A x x =<,即集合{}11A x x =-<<, 集合{}2x B x e =<,即集合{}ln 2B x x =<, 因为11ln ln 21ln e e-=<<=,所以A B ={}1ln 2x x -<<.故选:B.8.D【解析】【分析】先化简集合A ,继而求出A B .【详解】解:(){}{}30=03A x x x x x =-<<<,{}0,1,2,3B =,则A B ={}1,2.故选:D.9.B【解析】【分析】先求出集合A ,B ,再求两集合的交集即可【详解】 解:由11x x -<+得2101x x x ++>+, 因为210x x ++>恒成立,所以1x >-,即{}1A x x =>-.由函数2log y =4x <,即{}4B x x =<. 所以{}14A B x x ⋂=-<<.故选:B10.B【解析】【分析】根据集合的并集计算即可.【详解】{}21A x x =-<<,{}03B x x =≤≤{}|23A B x x ∴=-<≤,故选:B11.C【解析】【分析】解不等式求得集合A ,对a 进行分类讨论,根据B 是A 的子集列不等式,从而求得a 的取值范围. 【详解】1111111,,0,0,4444422x x x A ⎛⎫-<-<-<<<= ⎪⎝⎭,当12a ≥时,B =∅,满足B A ⊆. 当12a <时,由于B A ⊆,所以102a ≤<. 综上所述,a 的取值范围是[)0,∞+.故选:C12.D【解析】【分析】分别解一元二次不等式以及分式不等式得集合A ,B ,再进行并集运算即可.【详解】 因为{}{}228024A x x x x x =--≤=-≤≤,{}20323x B x x x x -⎧⎫=≤=-<≤⎨⎬+⎩⎭, 所以{}34A B x x ⋃=-<≤,故选:D.13.C【解析】【分析】根据条件可得1,2,4∈U B ,则1,2,4B ∉,结合条件即可得答案. 【详解】因为(){}1,2,4U A B =,所以1,2,4∈U B ,则1,2,4B ∉,又{}0,1,2,3,4,5U A B ==,所以0,3,5B ∈,即{}0,3,5B =.故选:C14.A【解析】【分析】根据交集运算求A B【详解】{|13}A x x =-<<,1,{}1,2B =-,{1,2}A B ∴=,故选:A15.D【解析】【分析】根据集合的定义分析判断即可.【详解】对于A ,视力较好不是一个明确的定义,故不能构成集合;对于B ,长寿也不是一个明确的定义,故不能构成集合;对于C ,π 的近似值没有明确近似到小数点后面几位,不是明确的定义,故不能构成集合;对于D ,倒数等于自身的数很明确,只有1和-1,故可以构成集合;故选:D.二、填空题16.(1,2⎤-⎦【解析】【分析】数形结合,进行求解.【详解】M 是以原点为圆心,1为半径的圆位于x 轴上方部分上的点,N 为直线y x b =+上的点,如图,当直线过点()1,0时,此时11b =-,当直线与半圆相切时,此时圆心到直线距离111bd ==+,解得:22b =±,因为直线与y 轴交点在y 轴正半轴,故22b =,由图可知:b 的取值范围是(1,2⎤-⎦.故答案为:(2-17.{1,2}##{2,1}【解析】【分析】根据集合元素属性特征进行求解即可.【详解】因为83N x *∈-,所以31,2,4,8-=x ,可得2,1,1,5=--x ,因为x N ∈,所以1,2x =,集合{1,2}A =.故答案为:{1,2}18.1【分析】利用交集的定义直接求解.【详解】∵集合(){},24A x y x y =-=∣,(){},5B x y x y =+=∣, ∴()(){}24,3,25x y A B x y x y ⎧⎫-=⎧⎪⎪⋂==⎨⎨⎬+=⎩⎪⎪⎩⎭, ∴A B 中元素个数为1.故答案为:1.19.12【解析】【分析】设该班学生中既参加了数学小组,又参加了英语小组的学生有x 人,列方程求解即可.【详解】设该班学生中既参加了数学小组,又参加了英语小组的学生有x 人,则31264512x =+-=. 故答案为:12.20.⊂【解析】【分析】先化简集合A 、B ,再去判断集合A 、B 间的关系即可解决.【详解】{}{}22101A x x x =-+==,{}{}2101,1B x x =-==-,则A B ⊂ 故答案为:⊂21.{}1【解析】【分析】易知{}1,1B =-,分别验证1,1-和集合A 的关系即可得结果.【详解】 因为{}{}21,1,1B y y y R ==∈=-,13cos 23π=,()13cos 23π--≠,即1A ∈,1A -∉, 所以{}1A B ⋂=,故答案为:{}1.22.102m -≤≤【解析】【分析】根据给定条件可得β所对集合包含于α所对集合,再利用集合的包含关系列式作答.令α所对集合为:{|124(R)}x m x m m +≤≤+∈,β所对集合为:{|13}x x ≤≤, 因β是α的充分条件,则必有{|13}{|124(R)}x x x m x m m ≤≤⊆+≤≤+∈,于是得11243m m +≤⎧⎨+≥⎩,解得102m -≤≤, 所以实数m 的取值范围为102m -≤≤. 故答案为:102m -≤≤ 23.5【解析】【分析】设三类课程都选择参加的学生有x 人,由题意得()()()83711840x x x x ⨯+-+-+-+=,解方程可求得结果【详解】设三类课程都选择参加的学生有x 人,由题意得()()()83711840x x x x ⨯+-+-+-+=,解得5x =.故答案为:524.{}0,1,4【解析】【分析】根据集合的运算法则计算.【详解】 由已知{4}A =,{0,1}B =,所以{0,1,4}A B =.故答案为:{0,1,4}.25. 假 假 假 真【解析】【分析】(1)利用真子集的定义即可判断.(2)由集合与集合的关系即可判断真假.(3)由元素与集合的关系即可判断真假.(4)由真子集的定义即可找到满足条件集合A 的个数.【详解】(1)因为{}1,2,3的真子集有{}{}{}{}{}{},1,2,3,1,2,1,3,2,3∅,所以{}1,2,3不是{}1,2,3真子集,命题为假命题.(2){}1是集合,因此不是{}1,2,3的元素,命题为假命题.(3)因为2是元素,因此不是{}1,2,3的子集,命题为假命题.(4)若{}0A ,所以集合A 中至少含有两个元素且其中一个必须为0,又因为{}0,1,2,3A ,所以集合A 可以从1,2,3中再选取一个元素、或者两个元素,所以满足条件的集合A 把∅和{}0,1,2,3去掉,所以满足条件集合A 的个数为322-个,命题为真命题. 故答案为:假;假;假;真三、解答题26.[]0,3.【解析】【分析】先解出集合P ,由x P ∈是x S ∈的必要不充分条件得出S P ,又S 为非空集合,解不等式求出m 的取值范围即可.【详解】由28200x x --≤,得210x -≤≤,∴{}210P x x =-≤≤.∵S 为非空集合,∴11m m -≤+,解得0m ≥. 又∵x P ∈是x S ∈的必要不充分条件,则S P , ∴12,110,m m -≥-⎧⎨+≤⎩且不能同时取等,解得3m ≤. 综上,m 的取值范围是[]0,3.27.(1)(0,3](2)[5,)+∞【解析】【分析】(1)根据A B A ⋃=,由B A 求解;(2)根据x A ∈是x B ∈的充分条件,由A B 求解.(1) 解:因为{}26A x x =-≤≤,{}11,0B x m x m m =-≤≤+>,且 A B A ⋃=,所以B A ,则01216m m m >⎧⎪-≥-⎨⎪+≤⎩, 解得03m <≤,所以实数m 的取值范围是(0,3];(2)因为x A ∈是x B ∈的充分条件,所以A B ,则01216m m m >⎧⎪-≤-⎨⎪+≥⎩, 解得5m ≥,所以m 的取值范围是 [5,)+∞.28.(1)30,0m n ==(2)单调递增,证明见解析(3)(0,6)【解析】【分析】(1)运用奇函数的定义可得0n =,再由()h x 图象经过点(1,1),解方程可得m ; (2)39()3x f x x x-=++在[3,)∞+递增.运用单调性的定义,结合因式分解和指数函数的单调性,即可得证;(3)求得当3x 时,2()()273273mx m g x h x x x x ===++;当3x <时,||1()9()9()3x m g x k x -==⋅;分别讨论0m ,03m <<,3m ,运用基本不等式和函数的单调性,求得m 的范围.(1) 函数2()327mx n h x x +=+为奇函数, 可得()()h x h x -=-,即22327327mx n mx n x x -++=-++,则0n =, 由()h x 的图象过(1,1)A ,可得h (1)1=,即130m n +=, 解得30m =,故30,0m n ==;(2)3m =,可得39()3x f x x x -=++,[3,)x ∈+∞,()f x 在[3,)+∞ 上递增.证明:设123x x <,则123312121299()()33x x f x f x x x x x ---=++--- 12331221129()33x x x x x x x x ---=-⋅+-, 由123x x <,可得210x x ->,129x x >,1233330x x ---<,则12())0(f x f x -<,即12()()f x f x <,可得()f x 在[3,)∞+递增;(3)当3x 时,2()()273273mx m g x h x x x x===++;当3x <时,||1()9()9()3x m g x k x -==⋅.①0m 时,13x ∀时,1111()()0273m g x h x x x ==+;23x ∀<时,2||221()9()9)30(x m g x k x -==>⋅不满足条件,舍去;②当03m <<时,13x ∀≥时,1111()()(0273mg x h x x x ==∈+,]18m , 23x ∀<时,2||0x m -≥,2||221()9()9()(03x m g x k x -==⋅∈,9], 由题意可得(0,](018m ⊆,9],可得918m ,即162m ; 综上可得03m <<; ③当3m 时,13x ∀≥时,1111()()(0273mg x h x x x ==∈+,]18m , 23x ∀<时,2||30x m m ->-,2||221()9()9()(03x m g x k x -==⋅∈,319())3m -⋅, 由题意可得(0,](018m ⊆,319())3m -⋅, 可得5318m m -<,可令5()318x x H x -=-,则()H x 在R 上递减,(6)0H =, 故由5318m m -<,可得6m <,即36m <, 综上可得06m <<,所以m 的取值范围是(0,6).【点睛】本题考查函数的奇偶性和单调性的定义和运用,考查分类讨论思想方法和化简整理的运算能力,属于难题.29.(1)[]1,2-(2)()(),45,-∞-+∞【解析】【分析】(1)根据交集的定义,列出关于a 的不等式组即可求解;(2)由题意,A B ⊆,根据集合的包含关系列出关于a 的不等式组即可求解;(1) 解:∵{}3,{1A x a x a B x x =≤≤+=<-或5}x >,且A B =∅, ∴135a a ≥-⎧⎨+≤⎩,解得12a -≤≤, ∴a 的取值范围为[]1,2-;(2) 解:∵{}3,{1A x a x a B x x =≤≤+=<-或5}x >,且A B A =,∴A B ⊆,∴31a +<-或5a >,即4a或5a >, ∴a 的取值范围是()(),45,-∞-+∞.30.{}=34A B x x ⋂-<<,{}=46A B x x ⋃-<<【解析】【分析】先化简集合A 、B ,再去求A B 、A B 即可解决.【详解】{}{}2=16044A x x x x -<=-<< {}{}2=318036B x x x x x -++>=-<< 则{}{}{}=443634A B x x x x x x ⋂-<<⋂-<<=-<< {}{}{}=443646A B x x x x x x ⋃-<<⋃-<<=-<<。
高中数学试题及答案解析导语:本文为高中数学试题及答案解析,旨在帮助学生巩固数学知识,提高解题能力。
以下是一些常见的高中数学试题及其答案解析,希望对你有所帮助。
一、函数与方程1. 题目:已知函数 f(x) = 2x + 3,求 f(4) 的值。
解析:将 x 替换为 4,带入函数 f(x)。
计算得 f(4) = 2 * 4 + 3 = 11。
2. 题目:已知方程 3x + 2y = 10,求解 x 和 y 的值。
解析:将方程转化为解 x 或 y 的形式。
令 x = (10 - 2y) / 3,代入原方程得 3 * ((10 - 2y) / 3) + 2y = 10。
整理得到 y = 2,代入方程求解得 x = 2。
二、平面几何1. 题目:在平面直角坐标系中,点 A(2, 3)、B(5, -1) 和 C(-1, -4) 三点共线吗?解析:计算向量 AB 和向量 BC 的叉积,若结果为零,则说明三点共线。
向量 AB 的坐标表示为 (5 - 2, -1 - 3) = (3, -4);向量 BC 的坐标表示为 (-1 - 5, -4 - (-1)) = (-6, -3)。
计算叉积得 (3 * (-3) - (-4) * (-6)) = 18 - 24 = -6。
由于叉积不为零,因此三点不共线。
2. 题目:已知一个圆的半径为 5cm,求其周长和面积。
解析:圆的周长公式为C = 2πr,其中 r 为半径。
带入半径 5cm,得周长C = 2π * 5 = 10π cm。
圆的面积公式为A = πr²,代入半径 5cm,得面积A = π * 5² = 25π cm²。
三、概率与统计1. 题目:甲、乙、丙三个人参加抽奖活动,每人有1/3的概率中奖。
求至少有两个人中奖的概率。
解析:计算甲、乙、丙三人都不中奖的概率为 (2/3) * (2/3) * (2/3) =8/27。
至少有两人中奖的概率为 1 - 8/27 = 19/27。
高中数学集合测试题(附答案和解析)一、单选题1.已知集合{}1,2,3,4A =,2{|log ,}B y y x x x A ==-∈,则A B =( ) A .{}1,2B .{}1,3C .{}1,2,3D .{}1,3,42.已知集合{A xy =∣,{}0,1,2,3B =,则A B =( ) A .{3} B .{2,3} C .{1,2,3} D .{0,1,2,3}3.已知集合{}1,2,3A =,{}21,B y y x x A ==-∈,则A B =( ) A .{}1,2 B .{}1,2,3 C .{}1,3D .{}1,2,3,54.已知集合{}2|8120A x x x =-+<,{|14}B x Z x =∈<<,则A B =( )A .{1,2}B .{}2,4C .{3}D .∅5.已知集合{}N 15A x x =∈≤≤,{}05B x x =<<,则A B =( ) A .{}2,3,4B .{}1,2,3,4C .{}15x x ≤≤D .{}15x x ≤<6.已知R 为实数集,集合{}{}2340,ln(1)A x x x B x y x =--≤==-,则R A B ⋃=( )A .{}14x x <≤B .{}11x x -≤≤C .{}1x x ≥-D .{}4x x ≤7.已知集合{}{}2230,1A x x x B x x =--<=≤,则R()A B ⋂=( )A .(,1][1,)∞∞--⋃+B .(,1](1,)-∞-⋃+∞C .(]1,1-D .[1,1)- 8.已知集合{}{}|2,|(1)0A x x B x x x =>=->,则A B ⋃=( ) A .(-∞,0) B .()(),01,-∞⋃+∞ C .()(),02,-∞⋃+∞D .(2,+∞)9.设集合(){}ln 2A x y x ==-,{}13B x x =≤≤,则A B ⋃=( ) A .(]2,3 B .[)1,+∞ C .()2,+∞D .(],3-∞10.已知集合{|12}A x x =-<≤,{}2,1,0,2,4B =--,则()R A B ⋂=( ) A .∅B .{}1,2-C .{}2,4-D .{}2,1,4--11.已知函数()2log f x x =,()2g x a x =-,若存在[]12,1,2x x ∈,使得()()12f x g x =,则实数a 的取值范围是( ) A .()(),25,-∞⋃+∞ B .(][),25,-∞⋃+∞ C .()2,5D .[]2,512.已知集合(){},M x y y x ==,(){}22,|1N x y xy =+=,M N A ⋂=,则A 中元素个数为( )个. A .1B .2C .3D .4 13.设全集{}0,1,2,3,4U =,集合{}1,2,4A =,{}2,3B =,则()U A B ⋂=( ) A .{}2B .{}2,3C .{}0,3D .{}314.集合N A x x ⎧⎫=∈⎨⎬⎭⎩31,()}{N log B x x =∈+≤211,S A ⊆,S B ⋂≠∅,则集合S 的个数为( ) A .0B .2C .4D .815.设集合{}260A x x x =--≤,{}20B x x a =+≤,且{}21A B x x ⋂=-≤≤,则=a ( ) A .4-B .2-C .2D .4二、填空题16.如图,四个棱长为1的正方体排成一个正四棱柱,AB 是一条侧棱,()1,2,,8i P i =是上底面上其余的八个点,()1,2,,8i i x AB AP i =⋅=则用集合列举法表示i x 组成的集合______.17.如图,用集合符号表述下列点、直线与平面之间的关系.(1)点C 与平面β:___________; (2)点A 与平面α:___________;(3)直线AB 与平面α:___________; (4)直线CD 与平面α:___________.18.若集合{}{}1,2,3,4,|23A B x x ==≤≤﹐则A B =_________. 19.已知集合{}1,2,3,4,A =,{}1,4,7,10,B =,下有命题:①{} 2,3,5,6,8,9,AB =;②若f 表示对二个数乘以3减去2的运算,则对应:f A B →表示一个函数; ③A 、B 两个集合元素个数相等; ④n A ∀∈,22n n ≥. 其中真命题序号是______.20.已知{}3A x a x a =≤≤+,{}15b x x =-<<,A B =∅,则实数a 的取值范围是______ 21.集合(){},A x y y a x ==,(){},B x y y x a ==+,C AB =,且集合C 为单元素集合,则实数a 的取值范围是________.22.已知[]x 表示不超过x 的最大整数.例如[2.1]2=,[ 1.3]2-=-,[0]0=,若{[]}A y y x x ==-∣,{0}∣=≤≤B y y m ,yA 是yB ∈的充分不必要条件,则m 的取值范围是______.23.已知集合{1,2,3}A =,则满足A B A ⋃=的非空集合B 有_________个.24.已知集合{}1,0,1A =-,{}220B x x x =-=,则A B ⋃=______.25.写出集合{1,1}-的所有子集______.三、解答题26.(1)已知全集{}|510,Z U x x x =-≤≤∈,集合M ={|07,Z x x x ≤≤∈},N ={|24,Z x x x -<∈≤},求()U N M (分别用描述法和列举法表示结果);(2)已知全集{}0,1,2,3,4,5,6,7,8,9,10U A B =⋃=,若集合{}2,4,6,8UA B =,求集合B ;(3)已知集合2{|210,R,R}P x ax ax a x =++=∈∈,当集合P 只有一个元素时,求实数a 的值,并求出这个元素.27.函数()()sin 22sin cos 1a x f x a x x +=+-.(1)若1a =,,02x π⎡⎫∈-⎪⎢⎣⎭,求函数()f x 的值域;(2)当,02x ⎡⎤∈-⎢⎥⎣⎦π,且()f x 有意义时,①若(){}0y y f x ∈=,求正数a 的取值范围; ②当12a <<时,求()f x 的最小值N .28.已知集合2111x A x x +⎧⎫=<⎨⎬-⎩⎭,{(1)(2)0}B x x x m =-+<. (1)当1m =时,求A B ;(2)已知“x A ∈”是“x B ∈”的必要条件,求实数m 的取值范围.29.已知集合{|lg(3)A x y x ==-,2{|9200}B x x x =-+≤,{|121}C x a x a =+≤<-.若()C A B ⊆,求实数a 的取值范围.30.已知U =R ,{}2=160A x x -<,{}2=3180B x x x -++>,求A B ,A B .【参考答案】一、单选题 1.A 【解析】 【分析】根据对数的运算求出集合B ,再根据交集的定义可求出结果. 【详解】当1x =时,21log 11y =-=, 当2x =时,22log 21y =-=, 当3x =时,23log 3y =-, 当4x =时,24log 42y =-=, 所以2{1,2,log 3}B =, 所以A B ={1,2}. 故选:A 2.C 【解析】 【分析】先由y =A ,再根据集合交集的原则即可求解.【详解】对于集合A ,10x -≥,即1≥x ,则{}1A x x =≥, 所以{}1,2,3A B =, 故选:C 3.C 【解析】 【分析】根据题意求出集合B ,在和集合A 取交集即可. 【详解】因为集合{}1,2,3A =,{}21,B y y x x A ==-∈, 所以{}1,3,5B =,所以{}1,3A B =, 故选:C. 4.C 【解析】 【分析】解出不等式28120x x -+<,然后可得答案. 【详解】因为{}{}2|8120|26A x x x x x =-+<=<<,{}{}142,3B x Z x =∈<<=所以{}3⋂=A B , 故选:C 5.B 【解析】 【分析】由集合的交运算求A B 即可. 【详解】由题设,集合{}1,2,3,4,5A =,{}05B x x =<<, 所以{}1,2,3,4A B ⋂=. 故选:B 6.D 【解析】 【分析】首先解一元二次不等式求出集合A ,再根据对数型函数的定义域求出集合B ,最后根据补集、并集的定义计算可得; 【详解】解:由2340x x --≤,即410x x ,解得14x -≤≤,即{}{}234014A x x x x x =--≤=-≤≤,又(){}{}ln 11B x y x x x ==-=,所以{}|1R B x x =≤,所以{}4R A B x x ⋃=≤; 故选:D 7.B 【解析】 【分析】解一元二次不等式求集合A 、解绝对值不等式求集合B ,再应用集合的交补运算求R()A B .【详解】由题设,{|13},{|11}A x x B x x =-<<=-≤≤, 所以1{|1}A B x x =-<≤,则R(){|1A B x x ⋂=≤-或1}x >.故选:B 8.B 【解析】 【分析】首先解一元二次不等式求出集合B ,再根据并集的定义计算可得; 【详解】解:由(1)0x x ->,解得1x >或0x <,所以{}|(1)0{|1B x x x x x =->=>或0}x <,又{}|2A x x =>,所以()(),01,A B ⋃=-∞⋃+∞;故选:B 9.B 【解析】 【分析】根据对数型函数的性质,结合集合并集的定义进行求解即可. 【详解】因为(2,)A =+∞,{}13B x x =≤≤, 所以A B ⋃=[)1,+∞, 故选:B 10.D 【解析】 【分析】 利用补集定义求出A R,利用交集定义能求出()A B R .【详解】解:集合{|12}A x x =-<≤,{}2,1,0,2,4B =--, 则R{|1A x x =≤-或2}x >,(){}R 2,1,4A B ∴⋂=--. 故选:D 11.D【分析】根据条件求出两个函数在[1,2]上的值域,结合若存在[]12,1,2x x ∈,使得12()()f x g x =,等价为两个集合有公共元素,然后根据集合关系进行求解即可. 【详解】当12x ≤≤时,22log 1()log 2f x ≤≤,即0()1f x ≤≤,则()f x 的值域为[0,1], 当12x ≤≤时,4()2a g x a -≤≤-,则()g x 的值域为[4,2]a a --, 因为存在[]12,1,2x x ∈,使得12()()f x g x =, 则[4,2][0,1]a a --≠∅ 若[4,2][0,1]a a --=∅, 则14a <-或02a >-, 得5a >或2a <,则当[4,2][0,1]a a --≠∅时,25a ≤≤, 即实数a 的取值范围是[2,5],A ,B ,C 错,D 对. 故选:D . 12.B 【解析】 【分析】联立方程,解方程组,考察方程组的解的组数,即为集合A 的元素个数; 【详解】联立方程得221y x x y =⎧⎨+=⎩,解得x y ⎧=⎪⎪⎨⎪=⎪⎩x y ⎧=⎪⎪⎨⎪=⎪⎩所以集合M 与N 的交集A 中的元素个数为2个; 故选:B. 13.D 【解析】 【分析】利用补集和交集的定义可求得结果. 【详解】 由已知可得{}0,3UA =,因此,(){}U 3AB ⋂=,故选:D. 14.C 【解析】 【分析】根据分式不等式和对数不等式求出集合A 和B ,利用交集的定义 和集合的包含关系即可求解.由x31,得03x <≤, 所以}{N,,A x x ⎧⎫=∈=⎨⎬⎭⎩31123. 由()log x +≤211,得11x -<≤. 所以()}{}{N log ,B x x =∈+≤=21101.由S A ⊆,S B ⋂≠∅,知S 中必含有元素1,可以有元素2,3.所以S 只有{}1,{}12,,{}13,,{}123,,,即集合S 的个数共4个. 故选:C. 15.B 【解析】 【分析】先求出集合,A B ,再根据交集的结果求出a 即可. 【详解】由已知可得{}23A x x =-≤≤,2a B x x ⎧⎫=≤-⎨⎬⎩⎭又∵{}21A B x x ⋂=-≤≤,∴12a-=, ∴2a =-. 故选:B .二、填空题 16.{}1【解析】 【分析】由空间向量的加法得:i i AP AB BP =+,根据向量的垂直和数量积得221AB AB ==,0i AB BP ⋅=计算即可.【详解】由题意得,()2i i i i x AB AP AB AB BP AB AB BP =⋅=⋅+=+⋅又AB ⊥平面286BP P P ,i AB BP ∴⊥,则0i AB BP ⋅=,所以221i i x AB AB BP AB =+⋅==, 则()1,2,,81i i x AB AP i =⋅==,故答案为:{}117. C β∉ A α AB B α⋂= CD α⊂【分析】根据元素与集合,集合与集合之间的关系,由图可写出答案 【详解】(1)C 为元素,平面β为集合,所以,由图可得C β∉.(2)A 为元素,平面α为集合,所以,由图可得A α.(3)直线AB 为集合,平面α为集合,所以,由图可得AB B α⋂=. (4)直线CD 为集合,平面α为集合,所以,CD α⊂.故答案为:①C β∉;②A α;③AB B α⋂=;④CD α⊂; 18.{2,3}##{3,2} 【解析】 【分析】 由交集的运算求解 【详解】{}{}1,2,3,4,|23A B x x ==≤≤,则{2,3}A B =故答案为:{2,3} 19.①②③ 【解析】 【分析】①由补集定义直接判断;②按照函数定义进行判断;③元素一一对应即可判断;④3n =时,不成立. 【详解】因为{}{}**,32,A n n N B n n k k N =∈==-∈,故②正确,又{ 31AB n n k ==-或}*3,n k k N =∈,故①正确;A 、B 两个集合元素一一对应,元素个数相等,故③正确;当3n =时,3223<,故④错误. 故答案为:①②③. 20.4a ≤-或5a ≥ 【解析】 【分析】由3a a <+可得A ≠∅,根据题意可得到端点的大小关系,得到不等式,从而可得答案. 【详解】由题意 3a a <+,则A ≠∅要使得A B =∅,则31a +≤-或5a ≥ 解得4a ≤-或5a ≥ 故答案为:4a ≤-或5a ≥21.[1,1]-【解析】 【分析】由题意可得集合A ,B 表示的曲线有一个交点,可得a x x a =+有一个根,当0a =时,符合题意,当0a ≠时,1x x a =+,分别作出y x =与1xy a=+的图象,根图象求解即可 【详解】因为C A B =,且集合C 为单元素集合, 所以集合A ,B 表示的曲线有一个交点, 所以a x x a =+有一个根 当0a =时,符合题意, 当0a ≠时,1x x a =+,分别作出y x =与1xy a=+的图象, 由图象可知11a ≥或11a≤-时,两函数图象只有一个交点, 解得01a <≤或10a -≤<, 综上,实数a 的取值范围是[1,1]-, 故答案为:[1,1]-22.[)1,+∞【解析】 【分析】由题可得{[]}[0,1)A yy x x ==-=∣,然后利用充分不必要条件的定义及集合的包含关系即求. 【详解】∵[]x 表示不超过x 的最大整数,∴[]x x ≤,[]01x x ≤-<,即{[]}[0,1)A yy x x ==-=∣, 又y A 是y B ∈的充分不必要条件,{0}∣=≤≤B y y m ,∴A B ,故m 1≥,即m 的取值范围是[)1,+∞. 故答案为:[)1,+∞.23.7 【解析】 【分析】由A B A ⋃=可得B A ⊆,所以求出集合B 的所有非空子集即可 【详解】因为A B A ⋃=,所以B A ⊆, 因为{1,2,3}A =,所以非空集合{}1B =,{}2,{}3,{}1,2,{}1,3,{}2,3,{}1,2,3, 所以非空集合B 有7个, 故答案为:724.{1,0,1,2}-【解析】 【分析】根据给定条件求出集合B ,再利用并集的定义直接计算作答. 【详解】解方程220x x -=得:0x =或2x =,则{}0,2B =,而{}1,0,1A =-, 所以{1,0,1,2}A B =-. 故答案为:{1,0,1,2}- 25.∅,{}1-,{1},{1,1}- 【解析】 【分析】利用子集的定义写出所有子集即可. 【详解】由子集的定义,得集合{1,1}-的所有子集有:∅,{}1-,{1},{1,1}-.故答案为:∅,{}1-,{1},{1,1}-.三、解答题26.(1){}|47,Z x x x ≤≤∈,{}4,5,6,7;(2){}0,1,3,5,7,9,10;(3)1a =,元素为1-. 【解析】 【分析】(1)根据补集和交集的定义直接计算作答. (2)利用补集的定义直接计算作答. (3)利用元素与集合的关系推理计算作答. 【详解】(1)由{}|510,Z U x x x =-≤≤∈,N ={|24,Z x x x -<∈≤}, 得:{|52U N x x =-≤<-或410,Z}x x ≤≤∈,而{|07,Z}M x x x =≤≤∈, 所以{}()|47,Z U N M x x x =≤≤∈{}4,5,6,7=.(2)由{}0,1,2,3,4,5,6,7,8,9,10U A B =⋃=,{}2,4,6,8UA B =,得{2,4,6,8}UB =,所以{}()0,1,3,5,7,9,10U U B B ==. (3)当0a =时,P =∅,不符合题意,当0a ≠时,因集合P 只有一个元素,则方程2210ax ax ++=有等根,2440a a ∆=-=, 此时1a =,集合P 中的元素为1-, 所以1a =,这个元素是1-.27.(1)(,2-∞-(2)①2a ≥;②)21N a=【解析】 【分析】(1)当1a =时,求得()sin 22sin cos 1x f x x x +=+-,令[)sin cos 1,1t x x =+∈-,令[)12,0m t =-∈-,()()22h m f x m m==++,利用双勾函数的单调性可得出函数()h m 在[)2,0-上的值域,即可得解;(2)①分析可知210a a --≤≤,可得出2a ≥,分1a =、1a ≠两种情况讨论,化简函数()221at ap t at +-=-的函数解析式或求出函数()f x 的最小值,综合可得出正实数a 的取值范围;②令[]11,1n at a a =-∈---,则1n t a +=,可得出()()21122a a p t n n a n ϕ⎡⎤+-=++=⎢⎥⎣⎦,分析可得出101a a --<<-<法可求得N . (1)解:当1a =时,()sin 22sin cos 1x f x x x +=+-,因为,02x π⎡⎫∈-⎪⎢⎣⎭,则,444x πππ⎡⎫+∈-⎪⎢⎣⎭,令[)sin cos 1,14t x x x π⎛⎫=+=+∈- ⎪⎝⎭,则212sin cos 1sin 2t x x x =+=+,可得2sin 21x t =-, 设()()211t g t f x t +==-,其中11t -≤<,令1m t =-,则()22111221m t m t m m+++==++-,令()22h m m m=++,其中20m -≤<,下面证明函数()h m 在2,⎡-⎣上单调递增,在()上单调递减,任取1m 、[)22,0m ∈-且12m m <,则()()1212122222h m h m m m m m ⎛⎫⎛⎫-=++-++ ⎪ ⎪⎝⎭⎝⎭()()()()12121212121222m m m m m m m m m m m m ---=--=,当122m m -≤<<122m m >,此时()()12h m h m <,当120m m <<,则1202m m <<,此时()()12h m h m >, 所以,函数()h m在2,⎡-⎣上单调递增,在()上单调递减,则()(max 2h m h ==-因此,函数()f x 在,02π⎡⎫-⎪⎢⎣⎭上的值域为(,2-∞-. (2)解:因为,02x ⎡⎤∈-⎢⎥⎣⎦π,则,444x πππ⎡⎤+∈-⎢⎥⎣⎦,令[]sin cos 1,14t x x x π⎛⎫=+=+∈- ⎪⎝⎭,设()()222211a a t at a a f x p t at at -⎛⎫+ ⎪+-⎝⎭===--, ①若(){}0y y f x ∈=,必有210aa--≤≤,因为0a >,则2a ≥,当1a =时,即当1a =()110p t t t a =+==,可得1t =,合乎题意;当1a≠2a ≥且1a ≠()min 0p t =,合乎题意. 综上所述,2a ≥;②令[]11,1n at a a =-∈---,则1n t a+=, 则()()22121122n a a a a a a p t n n n a n ϕ⎡⎤+-⎛⎫+⎢⎥ ⎪⎝⎭⎡⎤+-⎢⎥⎣⎦==++=⎢⎥⎣⎦, 令()()20qs x x q x=++>,下面证明函数()s x在(上单调递减,在)+∞上为增函数,任取1x、(2x ∈且12x x <,则120x x -<,120x x q <<, 所以,()()()()()()121212121212121212220q x x x x x x q q qs x s x x x x x x x x x x x ---⎛⎫⎛⎫-=++-++=--=> ⎪ ⎪⎝⎭⎝⎭,所以,()()12s x s x >,故函数()s x在(上单调递减, 同理可证函数()s x在)+∞上为增函数,在(,-∞上为增函数,在()上为减函数,因为12a <<,则()()2212121,2a a a +-=--+∈,且()()22121220a a a a a +---=->10a >->, 又()22212120a a a a +----=-<,1a ∴--<,101a a ∴--<<-由双勾函数的单调性可知,函数()n ϕ在1,a ⎡--⎣上为增函数,在()上为减函数,在(]0,1a -上为减函数, 当[)1,0x a ∈--时,()((max 120n aϕϕ==-<, ()2101a a ϕ-=>-,()((22111a a a ϕϕ⎡⎤---=+⎢⎥⎣⎦- (())())()21142214210111a a a a a a a a a a +------=≥=>---,由双勾函数性质可得()()min 21f x a ϕ=-=,综上所述())min 21f x N a==.【点睛】关键点点睛:在求解本题第二问第2小问中,要通过不断地换元,将问题转化为双勾函数的最值,结合比较法可得出结果. 28.(1){21}x x -<<; (2)[2,4]∈-m . 【解析】 【分析】(1)当1m =时,解分式不等式化简集合A ,解一元二次不等式化简集合B ,再利用并集的定义计算作答.(2)由给定条件可得B A ⊆,再借助集合包含关系列式计算作答. (1) 由2111x x +<-,得201x x +<-,解得21x -<<,则{21}A x x =-<<, 当1m =时,()()1{1210}12B x x x x x ⎧⎫=-+<=-<<⎨⎬⎩⎭,所以{21}A B x x ⋃=-<<. (2)因为“x A ∈”是“x B ∈”的必要条件,则B A ⊆, 当12m ->,即2m <-时,{1}2mB x x =<<-,B A ⊄,不符合题意,当12m-=,即2m =-时,B =∅,符合题意, 当12m -<,即2m >-时,12m B x x ⎧⎫=-<<⎨⎬⎩⎭,则212m -≤-<,解得24m -<≤,综上得:24m -≤≤,所以实数m 的取值范围[2,4]∈-m .29.(,3]-∞【解析】 【分析】求函数定义域得93,2A ⎛⎤= ⎥⎝⎦,解不等式得[4,5]B =,进而得(3,5]A B =,再结合题意,分C =∅和C ≠∅两种情况求解即可.【详解】解:由30920x x ->⎧⎨-≥⎩,解得932x <≤,所以93,2A ⎛⎤= ⎥⎝⎦,因为()()2920450x x x x -+=--≤,解得45x ≤≤,所以[4,5]B =所以(3,5]A B = 因为()C A B ⊆,所以,当C =∅时,121a a +≥-,解得2a ≤C ≠∅时,可得12113215a a a a +<-⎧⎪+>⎨⎪-≤⎩,解得:23a <≤综上可得:实数a 的取值范围是(,3]-∞ 30.{}=34A B x x ⋂-<<,{}=46A B x x ⋃-<< 【解析】 【分析】先化简集合A 、B ,再去求A B 、A B 即可解决. 【详解】{}{}2=16044A x x x x -<=-<<{}{}2=318036B x xx x x -++>=-<<则{}{}{}=443634A B x x x x x x ⋂-<<⋂-<<=-<<{}{}{}=443646A B x x x x x x ⋃-<<⋃-<<=-<<。
高中数学优质试题及答案试题一:函数与方程1. 已知函数\( f(x) = x^2 - 4x + 3 \),求\( f(x) \)的零点。
2. 判断函数\( g(x) = \frac{1}{x} \)在\( x > 0 \)时的单调性。
3. 已知方程\( x^2 + 2x + 1 = 0 \),求其根并判断根的性质。
试题二:几何与代数1. 已知三角形ABC的边长分别为\( a = 5 \),\( b = 7 \),\( c = 8 \),求其面积。
2. 已知圆的半径为\( r = 4 \),求圆的周长和面积。
3. 已知点A(1,2)和点B(4,6),求直线AB的斜率和方程。
试题三:概率与统计1. 一个袋子里有5个红球和3个蓝球,随机抽取2个球,求抽到至少一个红球的概率。
2. 某工厂生产的零件,合格率为90%,求生产100个零件中,至少有85个合格的概率。
3. 已知一组数据的平均数为50,中位数为48,标准差为10,求这组数据的方差。
试题四:数列与级数1. 已知等差数列的前三项分别为2, 5, 8,求其第10项。
2. 求等比数列\( a_n = 3^n \)的前n项和。
3. 判断数列\( b_n = \frac{1}{n} \)是否收敛,并求其极限。
试题五:解析几何1. 已知椭圆\( \frac{x^2}{a^2} + \frac{y^2}{b^2} = 1 \),其中\( a = 3 \),\( b = 2 \),求椭圆的焦点坐标。
2. 已知双曲线\( \frac{x^2}{a^2} - \frac{y^2}{b^2} = 1 \),其中\( a = 2 \),\( b = 1 \),求其渐近线方程。
3. 已知抛物线\( y^2 = 4px \),求其焦点和准线方程。
答案:试题一:1. 零点为\( x = 1 \)和\( x = 3 \)。
2. 函数\( g(x) \)在\( x > 0 \)时单调递减。
高中生数学试题及答案解析一、选择题1. 若函数\( f(x) = 3x^2 - 5x + 2 \),求\( f(-1) \)的值。
A. -6B. -4C. -2D. 0答案:B解析:将\( x = -1 \)代入函数\( f(x) \)中,得到\( f(-1) = 3(-1)^2 - 5(-1) + 2 = 3 + 5 + 2 = 10 \)。
计算错误,正确答案应为\( 10 \),但题目选项中没有10,可能是题目或选项设置有误。
2. 已知\( \sin(\alpha) = \frac{3}{5} \),且\( \alpha \)为锐角,求\( \cos(\alpha) \)的值。
A. \( \frac{4}{5} \)B. \( \frac{3}{4} \)C. \( \frac{1}{2} \)D. \( \frac{3}{5} \)答案:A解析:根据勾股定理,\( \sin^2(\alpha) + \cos^2(\alpha) = 1 \)。
已知\( \sin(\alpha) = \frac{3}{5} \),代入公式得\( \cos^2(\alpha) = 1 - \left(\frac{3}{5}\right)^2 =\frac{16}{25} \)。
由于\( \alpha \)为锐角,\( \cos(\alpha) \)为正,所以\( \cos(\alpha) = \frac{4}{5} \)。
二、填空题1. 计算\( (x - 2)^2 \)展开后的结果。
__________。
答案:\( x^2 - 4x + 4 \)。
解析:根据完全平方公式,\( (x - 2)^2 = x^2 - 2 \cdot 2 \cdot x + 2^2 = x^2 - 4x + 4 \)。
2. 若\( a \),\( b \),\( c \)为三角形的三边长,且满足\( a^2 + b^2 = c^2 \),则该三角形是__________。
山东高中数学卷子试题及答案解析一、选择题(每题5分,共20分)1. 下列函数中,为奇函数的是()。
A. y = x^2B. y = |x|C. y = x^3D. y = sin(x)答案:C解析:奇函数的定义是f(-x) = -f(x)。
对于选项A,y = x^2是偶函数,因为(-x)^2 = x^2;选项B,y = |x|也是偶函数,因为|-x| =|x|;选项D,y = sin(x)是奇函数,因为sin(-x) = -sin(x)。
只有选项C,y = x^3满足奇函数的定义,因为(-x)^3 = -x^3。
2. 已知数列{an}是等差数列,且a1 = 1,d = 2,则a5的值为()。
A. 9B. 11C. 13D. 15答案:A解析:等差数列的通项公式为an = a1 + (n-1)d。
将已知条件代入公式,得到a5 = 1 + (5-1)*2 = 1 + 4*2 = 9。
3. 圆的方程为x^2 + y^2 - 6x - 8y + 25 = 0,圆心坐标为()。
A. (3, 4)B. (-3, -4)C. (3, -4)D. (-3, 4)答案:A解析:将圆的方程化为标准形式(x-a)^2 + (y-b)^2 = r^2,其中(a, b)为圆心坐标。
对比系数可得 a = 3,b = 4,因此圆心坐标为(3, 4)。
4. 函数f(x) = x^2 - 4x + 3的零点个数为()。
A. 0B. 1C. 2D. 3答案:C解析:函数f(x) = x^2 - 4x + 3的判别式Δ = b^2 - 4ac = (-4)^2 - 4*1*3 = 16 - 12 = 4 > 0,说明函数有两个不同的实数零点。
二、填空题(每题5分,共20分)5. 已知函数f(x) = 2x - 1,若f(a) = 5,则a的值为______。
答案:3解析:将f(a) = 5代入函数表达式,得到2a - 1 = 5,解得a = 3。
一、选择题1.函数 f ( x ) =x|x+a|+b 是奇函数的充要条件是( )A . ab=0B . a+b=0C . a=bD . a 2+b 2 =01 x 1(x 0)12.设函数 f (x)2若f ( f (a))则实数 a ( )1,( x 0)2xA.4B.-2C.4或1 D.4或 -223.已知集合 A { y | yln( x 2 1), x R} ,则 C R A()A.B.(,0]C.( ,0)D.[0, )4.已知集合 M{ x |x1 1} ,集合 N { x | 2x 3 0} ,则 (C R M )N ( )x 1A . (3,1) B . (3,1] C .[3,1) D . [3,1]22225.设 a log 2.8 3.1,b log e, c log e ,则()A . a c bB . c a bC . b a cD . b c a6.函数 f ( x)1 x log2 x 的零点所在区间是()A .(1,1)B. (1 ,1)C. (1,2) D. (2,3)4 22A( 1 , 1) ,则它在 A 点处的切线方程为7.若幂函数f (x) 的图象经过点4 2( A ) 4 x 4y 1 0( B ) 4x 4 y 1 0( C ) 2x y 0( D ) 2x y 08. y= ( 1) x - 3x 在区间 [-1,1] 上的最大值等于()51416A.3B.C.5D.339.已知幂函数 f ( x)x m 的图象经过点( 4, 2),则 f (16)( )A. 22B.4C.4 2D.810.设 f ( x) 是定义在 R 上的奇函数,当 x0时 f( x)2x 2x ,则 f (1) = ()A.—3B. — 1C.1D.311.已知125 ()log 2 5 a,log 2 7b, 则 log 2 7A . a3b B . 3a b C . a 3D .3abb12.设集合 M22 x3 0,Nx 2 x2 ,则 MC R N 等于(x x)A .1,1B. ( 1,0) C . 1,3 D. (0,1)13.若 x log 3 4 1 ,则 4x 4 x()A. 1B. 2C. 8D.1033二、填空题14.若 f (x)3x sinx ,则满足不等式 f (2m1)f (3 m)0 的m的取值范围为.115. lg 4 lg 254 2 (4.16.已知函数 f ( x) ( 1) x , x 4log 2 3) 的值为2,则 f (2f ( x 1), x 417.函数 f ( x) sin( x) 的图象为 C , 有如下结论 : ①图象 C5 3 关于直线 x对称 ;②图象C 关于点 (4, 56,0) 对称 ; ③函数 f ( x) 在区间 [ ] 内是增函数。
绝密★启用前2023年普通高等学校招生全国统一考试(新高考全国Ⅱ卷)数学本试卷共4页,22小题,满分150分。
考试用时120分钟。
注意事项:1.答题前,请务必将自己的姓名、准考证号用黑色字迹的签字笔或钢笔分别填写。
在试题卷和答题卡上。
用2B铅笔将试卷类型(A)填涂在答题卡相应位置上。
将条形码横贴在答题卡右上角“条形码粘贴处”。
2.作答选择题时,选出每小题答案后,用2B铅笔把答题卡上对应题目选项的答案信息点涂黑:如需改动,用橡皮擦干净后,再选涂其他答案,答案不能答在试卷上。
3.非选择题必须用黑色字迹钢笔或签字笔作答,答案必须写在答题卡各题目指定区域内相应位置上:如需改动,先划掉原来的答案,然后再写上新的答案:不准使用铅笔和涂改液。
不按以上要求作答的答案无效。
4.考生必须保持答题卡的整洁。
考试结束后,将试卷和答题卡一并交回。
一、选择题:本大题共8小题, 每小题5分, 共40分. 在每小题给出的四个选项中, 只有一项是符合题目要求的。
1.在复平面内, 1+3i3-i对应的点位于()A.第一象限B.第二象限C.第三象限D.第四象限【答案】A【解析】1+3i3-i=6+8i,故对应的点在第一象限,选A。
2.设集合A={0,-a},B={1,a-2,2a-2}, 若A⊆B, 则a=()A.2B.1C.23D.-1【答案】B【解析】若a-2=0,则a=2,此时A=0,-2},B=1,0,2},不满足题意;若2a-2=0,则a =1,此时A={0,-1},B={1,-1,0},满足题意。
选B。
3.某学校为了解学生参加体育运动的情况, 用比例分配的分层随机抽样方法作抽样调查, 拟从初中部和高中部两层共抽取60名学生, 已知该校初中部和高中部分别有400名和200名学生, 则不同的抽样结果共有()A.C45400⋅C15200种 B.C20400⋅C40200种 C.C30400⋅C30200种 D.C40400⋅C20200种【答案】D【解析】根据按比例分配的分层抽样可知初中部抽40人,高中部抽20人,选D。
2023年新高考全国Ⅱ卷数学试题一、单选题二、多选题9.已知圆锥的顶点为P ,底面圆心为O ,AB 为底面直径,120APB ∠=︒和2PA =,点C 在底面圆周上,且二面角.OMN 为等腰三角形既有极大值也有极小值,则(28b ac +>信号的传输相互独立.发送0时,的概率为1-三、填空题.已知向量a ,b 满足3a b -=和2a b a b +=-,则b =______与():1C x -“ABC 面积为)ϕ,如图A ,2的两个交点,若6四、解答题.记ABC 的内角,已知ABC 的面积为60,E为⊥;BC DA满足EF DA=,求二面角.已知双曲线C的中心为坐标原点,左焦点为的方程;(2)记C 的左、右顶点分别为1A 和2A ,过点()4,0-的直线与C 的左支交于M ,N 两点,M 在第二象限,直线1MA 与2NA 交于点P .证明:点P 在定直线上.22.(1)证明:当01x <<时sin x x x x 2-<<;(2)已知函数()()2cos ln 1f x ax x =--,若0x =是()f x 的极大值点,求a 的取值范围。
2023年新高考全国Ⅱ卷数学试题答案解析1.(2023·新高考Ⅱ卷·1·★)在复平面内,(13i)(3i)+-对应的点位于( ) (A )第一象限 (B )第二象限 (C )第三象限 (D )第四象限 答案:A解析:2(13i)(3i)3i 9i 3i 68i +-=-+-=+,所以该复数对应的点为(6,8),位于第一象限. 2.(2023·新高考Ⅱ卷·2·★)设集合{0,}A a =-和{1,2,22}B a a =--,若A B ⊆,则a =( )(A )2 (B )1 (C )23(D )1-答案:B解析:观察发现集合A 中有元素0,故只需考虑B 中的哪个元素是0。
高中的数学经典试题及答案高中数学经典试题及答案一、选择题1. 已知函数\( f(x) = 2x^2 - 3x + 1 \),求导数\( f'(x) \)。
A. \( 4x - 3 \)B. \( 2x - 3 \)C. \( 4x^2 - 3 \)D. \( 4x + 1 \)答案:B2. 一个圆的半径为5,求其面积。
A. 25πB. 50πC. 75πD. 100π答案:B3. 若\( \sin(\alpha + \beta) = \sin \alpha \cos \beta + \cos \alpha \sin \beta \),求\( \sin(30^\circ + 45^\circ) \)。
A. \( \frac{\sqrt{2}}{2} \)B. \( \frac{\sqrt{3}}{2} \)C. \( \frac{\sqrt{6} + \sqrt{2}}{4} \)D. \( \frac{\sqrt{6} - \sqrt{2}}{4} \)答案:C二、填空题4. 已知等差数列的首项为3,公差为2,求第5项。
_______答案:115. 若\( \cos \theta = \frac{3}{5} \),且\( \theta \)在第一象限,求\( \sin \theta \)。
_______答案:\( \frac{4}{5} \)三、解答题6. 证明:若\( a^2 + b^2 = c^2 \),则\( a, b, c \)构成直角三角形的三边。
证明:根据勾股定理的逆定理,若三角形的三边满足\( a^2 + b^2 =c^2 \),则该三角形为直角三角形。
设三角形ABC的三边分别为a, b, c,且满足\( a^2 + b^2 = c^2 \)。
在三角形ABC中,根据余弦定理,有\( c^2 = a^2 + b^2 - 2ab\cos C \)。
由于\( a^2 + b^2 = c^2 \),我们可以得出\( \cos C = 0 \),即角C为90度,故三角形ABC为直角三角形。
高中数学集合测试题(含答案和解析)一、单选题1.已知集合{}{}22,1,0,2,3,4,|340A B x x x =--=--<,则A B =( )A .{}1,0,2,3,4-B .{}0,2,3,4C .{}0,2,3D .{}2,32.已知集合{}0,1,2,3,4A =,集合{}R 326xB x =∈<,则A B =( )A .{}0,1,2B .{}0,1,2,3C .{}0,1,2,3,4D .{}1,2,33.设集合{}1A x x =>,{}2B x x =≤,则A B =( ) A .∅B .{}12x x <≤C .{}12x x x ≤>或D .R4.若集合{}220A x x x =--<,{}21B x x =<,则A B =( )A .AB .BC .()1,0-D .()0,25.设集合{}0,1S =,{}0,3T =,则S T ⋃=( ) A .{}0 B .{}1,3 C .{}0,1,3D .{}0,1,0,36.已知R 为实数集,集合{}{}2340,ln(1)A x x x B x y x =--≤==-,则R A B ⋃=( )A .{}14x x <≤B .{}11x x -≤≤C .{}1x x ≥-D .{}4x x ≤7.已知集合{}{}234014P x x x Q x N x =--<=∈≤≤,,则=P Q ( )A .{1,2,3,4}B .{1,2,3}C .{1,2}D .{2,3,4}8.设全集U =R ,已知集合2|4A x x x >={},|B x y =={,则()UA B ⋂=( )A .[0,4]B .(,4]-∞C .(,0)-∞D .[0,)+∞9.设集合1|05x A x x -⎧⎫=>⎨⎬-⎩⎭,{}|13B x x =-≤≤,则()A B =R ( ) A .{}|35x x ≤< B .{}|15x x ≤< C .{}|15x x -≤<D .{}|13x x ≤≤10.已知集合{}1A x x =≤,B ={}02x x <<,则A B =( ) A .(]0,1B .[)1,2C .()0,1D .()0,211.已知集合50{|}A x x =<<-,{}41B x x =-≤≤,则A B ⋃=( ) A .AB .BC .(5,1]-D .[4,0)-12.已知集合{}13A x x =≤≤,集合{}24B x x =≤≤,则A B =( ) A .{}23x x ≤≤B .{}34x x <≤C .{}12x x <≤D .{|1x x <或}2x ≥13.若集合{}{}22,3,|560,A B x x x ==-+=则A B =( )A .{2,3}B .∅C .2D .2,314.设集合{}123A =,,,{}2|0B x R x x =∈-=,则A B ⋃=( ) A .{}1B .{}01,C .{}123,,D .{}0123,,,15.已知集合1|2,[,4]2xA xB a a ⎧⎫=>=+⎨⎬⎩⎭,若(]1,2A B =-,则=a ( )A .2B .1-C .2-D .5-二、填空题16.网络流行词“新四大发明’’是指移动支付、高铁、网购与共享单车.某中学为了解本校学生中“新四大发明”的普及情况,随机调查了100名学生,其中使用过移动支付或共享单车的学生共90名,使用过移动支付的学生共有80名,使用过共享单车的学生且使用过移动支付的学生共有60名,则该校使用共享单车的学生人数与该校学生总数比值的估计值为___________.17.设集合{}13A x x =<<,{}B x x a =<,若A B ⊆,则a 的取值范围是_________. 18.集合A ={2|x x -ax +2=0}的子集有两个,则实数a =______. 19.已知集合{}2,1,2A =-,{}1,B a a =+,且B A ⊆,则实数a 的值是___________.20.设全集{}0,1,2U =,集合{}0,1A =,在UA______21.方程组13x y x y -=⎧⎨+=⎩的解集..为_____. 22.已知集合A 与B 的关系如下图,则图中所示的阴影部分用集合表示为________.(要求用集合A 与B 的符号关系表示)23.已知集合(){}2,2A x y y xx ==-,()(){},21B x y y x ==+,则AB =___________.24.(1)已知集合{}2230A x x x =--=,{}20B x ax =-=,且B A ⊆,则实数a 的值为______.(2)若不等式23208kx kx +-<对一切实数x 都成立,则k 的取值范围为______.25.当x A ∈时,若有1x A -∉且1x A +∉,则称x 是集合A 的一个“孤元”,由A 的所有孤元组成的集合称为A 的“孤星集”,若集合{}1,2,3M =的孤星集是M ',集合{}1,3,4P =的孤星集是P ',则M P ''⋂=______.三、解答题26.已知集合A ={x |24x >},B ={x ||x -a |<2},其中a >0且a ≠1. (1)当a =2时,求A ∪B 及A ∩B ;(2)若集合C ={x |log ax <0}且C ⊆B ,求a 的取值范围.27.已知全集U R =,集合{|A x =213x -<,123}3x x -≤-,{|13}B x x =-≤≤.(1)求A ,A B ⋃,UB(2)如图①,阴影部分表示集合M ,求M . (3)如图②,阴影部分表示集合N ,求N .28.已知函数()()4log 526f x x x =--()g x x α=(α为常数),且()g x 的图象经过点(8,22P .(1)求()f x 的定义域和()g x 的解析式;(2)记()f x 的定义域为集合A ,()g x 的值域为集合B ,求()A B ⋂R .29.集合{}{}3621A x x B x m x m =<≤=≤≤+,. (1)若2m =,求,A B A B ;(2)若x B ∈是x A ∈的必要条件,求实数m 的取值范围.30.设集合{}4U x x =≤,{}12A x x =-≤≤,{}13B x x =≤≤.求:(1)A B ; (2)()U A B ; (3)()()U U A B ⋂.【参考答案】一、单选题 1.C 【解析】 【分析】先求出集合B ,再求两集合的交集即可 【详解】由2340x x --<,得(1)(4)0x x +-<,解得14x -<<, 所以{}14B x x =-<<, 因为{}2,1,0,2,3,4A =--, 所以A B ={}0,2,3, 故选:C 2.A 【解析】 【分析】根据指数函数的单调性,结合集合交集的定义进行求解即可. 【详解】由333262log 26log 273xx <⇒<<<=,因此A B ={}0,1,2, 故选:A 3.B 【解析】 【分析】根据交集的定义计算可得; 【详解】解:因为{}1A x x =>,{}2B x x =≤,所以{}12A B x x ⋂=<≤; 故选:B 4.B 【解析】 【分析】由题知{}12A x x =-<<,{}11B x x =-<<,再求交集即可. 【详解】解:解不等式220x x --<得12x -<<,故{}12A x x =-<<, 解不等式21x <得11x -<<,故{}11B x x =-<<, 所以A B ={}11x x B -<<=. 故选:B 5.C 【解析】 【分析】 由并集的概念运算 【详解】 S T ⋃={}0,1,3故选:C 6.D 【解析】 【分析】首先解一元二次不等式求出集合A ,再根据对数型函数的定义域求出集合B ,最后根据补集、并集的定义计算可得; 【详解】解:由2340x x --≤,即410x x ,解得14x -≤≤,即{}{}234014A x x x x x =--≤=-≤≤,又(){}{}ln 11B x y x x x ==-=,所以{}|1RB x x =≤,所以{}4R A B x x ⋃=≤;故选:D 7.B 【解析】 【分析】解不等式得到14{|}P x x =-<<,根据题意得到{1,2,3,4}Q =,再由集合交集的概念得到结果. 【详解】由集合{}234|0P x x x =--<,解不等式得到:14{|}P x x =-<<,又因为{1,2,3,4}Q =,根据集合交集的概念得到:{}1,2,3P Q ⋂=.8.D 【解析】 【分析】化简集合,A B ,先求出A B ,再求出其补集即可得解. 【详解】2|4A x x x >={}{|0x x =<或4}x >,|B x y ={{|4}x x =≤,所以{|0}A B x x =<, 所以()UA B ⋂={|0}x x ≥,即()UA B ⋂[0,)=+∞.故选:D9.D 【解析】 【分析】求解分式不等式的解集,再由补集的定义求解出A R,再由交集的定义去求解得答案.【详解】1015x x x ->⇒<-或5x >,所以{}15A x x =≤≤R , 所以得(){}13A B x x ⋂=≤≤R . 故选:D 10.A 【解析】 【分析】根据集合的交集概念即可计算. 【详解】∵{}1A x x =≤,B ={}02x x <<,∴A B =(]0,1. 故选:A ﹒ 11.C 【解析】 【分析】根据集合并集的概念及运算,正确运算,即可求解. 【详解】由题意,集合50{|}A x x =<<-,{}41B x x =-≤≤,根据集合并集的概念及运算,可得{|51}(5,1]A B x x =-<≤=-. 故选:C. 12.A 【解析】 【分析】由交集运算直接求出两集合的交集即可.由集合{}13A x x =≤≤,集合{}24B x x =≤≤ 则{}|23A B x x =≤≤ 故选:A 13.A 【解析】 【分析】依据交集定义去求A B 即可. 【详解】{}{}2|560=2,3B x x x =-+=则{}{}{}2,32,32,3A B ⋂=⋂=, 故选:A . 14.D 【解析】 【分析】先求出集合B ,再由并集运算得出答案. 【详解】由{}2|0B x R x x =∈-=可得{}0,1B =则{}0,1,2,3A B ⋃= 故选:D 15.C 【解析】 【分析】求出集合A 的解集,由(]1,2A B =-,列出满足题意的关系式求解即可得答案. 【详解】解:因为{}{}11|2|22|1(1,)2x x A x x x x -⎧⎫=>=>=>-=-+∞⎨⎬⎩⎭,[,4]B a a =+,又(1,2]A B ⋂=-,所以421a a +=⎧⎨≤-⎩,即2a =-,故选:C.二、填空题16.710##0.7 【解析】 【分析】利用韦恩图,根据题中的信息得出样本中使用共享单车和移动支付的学生人数,将人数除以100可得出所求结果. 【详解】根据题意,将使用过移动支付、共享单车的人数用如图所示的韦恩图表示,所以该校使用共享单车的学生人数与该校学生总数比值的估计值为6010710010+=. 故答案为:710. 17.[)3,+∞【解析】 【分析】根据A B ⊆列出不等式即可求解. 【详解】因为{}13A x x =<<,{}B x x a =<,A B ⊆,故只需3a ≥即可满足题意. 故答案为:[)3,+∞.18.22±【解析】 【分析】根据题意可得集合A 中仅有一个元素,则方程220x ax -+=只有一个解,从而有0∆=,即可得出答案. 【详解】解:因为A ={2|x x -ax +2=0}的子集有两个, 所以集合A 中仅有一个元素, 所以方程220x ax -+=只有一个解, 所以280a ∆=-=,解得22a =± 故答案为:22± 19.1 【解析】 【分析】由子集定义分类讨论即可. 【详解】因为B A ⊆,所以a A ∈1a A ∈, 当2a =-1a 无意义,不满足题意;当1a =12=,满足题意; 当2a =11=,不满足题意. 综上,实数a 的值1. 故答案为:120.{2}【解析】 【分析】利用集合的补运算求UA 即可.【详解】由{}0,1,2U =,{}0,1A =,则{2}UA =.故答案为:{2}.21.{(2,1)}【解析】 【分析】利用加减消元法求得方程组的解集. 【详解】依题意13x y x y -=⎧⎨+=⎩,两式相加得24,21x x y ==⇒=, 所以方程组的解集为{(2,1)}. 故答案为:{(2,1)}22.()A BAB ⋃【解析】 【分析】由集合的交并补运算求解即可. 【详解】设全集为A B ,则阴影部分表示集合A 与B 交集的补集,即()A BAB ⋃故答案为:()A BAB ⋃23.()1,1,2,62⎧⎫⎛⎫-⎨⎬ ⎪⎝⎭⎩⎭【解析】 【分析】解方程组直接求解即可 【详解】由()2221y x x y x ⎧=-⎪⎨=+⎪⎩得121x y ⎧=-⎪⎨⎪=⎩或26x y =⎧⎨=⎩,∴()1,1,2,62A B ⎧⎫⎛⎫⋂=-⎨⎬ ⎪⎝⎭⎩⎭.故答案为:()1,1,2,62⎧⎫⎛⎫-⎨⎬ ⎪⎝⎭⎩⎭24. 2a =-或23a =或0 30k -<≤ 【解析】 【分析】(1)分情况讨论,0,a B ==∅满足题意;当0a ≠时,{}220B x ax a ⎧⎫=-==⎨⎬⎩⎭,因为B A ⊆,故得到21a =-或23a=,解出即可;(2)分情况讨论,当0k =时,满足题意;当0k ≠时,只需要满足23Δ808k k k <⎧⎪⎨⎛⎫=-⨯-< ⎪⎪⎝⎭⎩解不等式组即可. 【详解】已知集合{}{}22301,3A x x x =--==-,{}20B x ax =-=当0,a B ==∅,满足B A ⊆; 当0a ≠时,{}220B x ax a ⎧⎫=-==⎨⎬⎩⎭,因为B A ⊆,故得到21a =-或23a= 解得2a =-或23a =; 不等式23208kx kx +-<对一切实数x 都成立,当0k =时,满足题意;当0k ≠时,只需要满足203Δ808k k k <⎧⎪⎨⎛⎫=-⨯-< ⎪⎪⎝⎭⎩解得30k -<< 综上结果为:30k -<≤. 故答案为:2a =-或23a =或0;30k -<≤ 25.∅【解析】 【分析】根据集合的新定义求解出集合M '和P ',再求解交集可得出答案. 【详解】根据“孤星集”的定义,1,112,2A A ∈+=∈ 所以1不是集合M '的元素同理2,3也都不是集合M '的元素M ∴'=∅,同理可得 {}1P '=所以M P '⋂'=∅.故答案为:∅.三、解答题26.(1)A ∪B ={x |x >0},A ∩B ={x |2<x <4};(2){a |1<a ≤2},【解析】【分析】(1)化简集合A ,B ,利用并集及交集的概念运算即得;(2)分a >1,0<a <1讨论,利用条件列出不等式即得.(1)∵A ={x |2x >4}={x |x >2},B ={x ||x -a |<2}={x |a -2<x <a +2},∴当a =2时,B ={x |0<x <4},所以A ∪B ={x | x >0},A ∩B ={x |2<x <4};(2)当a >1时,C ={x |log ax <0}={x |0<x <1},因为C ⊆B ,所以2021a a -≤⎧⎨+≥⎩,解得-1≤ a ≤2, 因为a >1,此时1<a ≤2,当0<a <1时,C ={x |log ax <0}={x |x >1},此时不满足C ⊆B ,综上,a 的取值范围为{a |1<a ≤2}.27.(1)3{|2}2A x x =≤<,{|13}AB x x ⋃=-≤≤,U B {|1x x =<-或3}x >; (2)3{|12M x x =-≤<或23}x ≤≤; (3){|1M x x =<-或3}x >.【解析】【分析】(1)求解不等式组解得集合A ,再根据集合的并运算和补运算即可求得结果; (2)根据阴影部分可知M =()B A B ⋂,根据已知集合求解即可; (3)根据阴影部分可知M =()U A B ,根据已知集合求解即可. (1){|A x =213x -<,1323}{|2}32x x x x -≤-=≤<, {|13}A B x x ⋃=-≤≤,U B {|1x x =<-或3}x >.(2)因为3{|2}2A B x x ⋂=≤< 根据题意可得M =()B A B ⋂3{|12x x =-≤<或23}x ≤≤. (3) 因为{|13}A B x x ⋃=-≤≤,根据题意可得M =()U A B {|1x x =<-或3}x >. 28.(1)()3,5;()12g x x =;(2)][)0,35,∞⎡⋃+⎣.【解析】【分析】(1)根据f (x )解析式即可求其定义域,根据()g x x α=过P 求出α即可求出g (x )解析式; (2)根据幂函数的性质求g (x )值域即B ,根据集合的补集和交集的运算方法求解即可.(1)5052603x x x x ⎧-><⎧⇒⎨⎨->>⎩⎩, ∴f (x )定义域为()3,5;∵()g x x α=过(P ,则()3132218222g x x ααα==⇒=⇒=; (2)()3,5A =,[)0,B ∞=+,][(),35,A ∞∞=-⋃+R ,()][)0,35,A B ∞⎡⋂=⋃+⎣R .29.(1){}35A B x x ⋂=<≤,{|26}x x AB ≤≤=; (2)5,32⎡⎤⎢⎥⎣⎦【解析】【分析】(1)将m 的值代入集合B ,然后根据交集与并集的定义即可求解;(2)由题意,可得A B ⊆,根据集合的包含关系列不等式组求解即可得答案.(1)解:当2m =时,{|25}B x x =≤≤,又{}36A x x =<≤, 所以{}35A B x x ⋂=<≤,{|26}x x AB ≤≤=;(2)解:因为x B ∈是x A ∈的必要条件,所以A B ⊆,即(3,6][,21]m m ⊆+,所以有3216m m ≤⎧⎨+≥⎩,解得532≤≤m , 所以实数m 的取值范围为5,32⎡⎤⎢⎥⎣⎦. 30.(1){|12}A B x x =≤≤;(2)(){|1U B x A x ⋃=<-或14}x ≤≤;(3)()(){|1U U x B x A ⋂=<-或34}x <≤.【解析】【分析】(1)由集合的交集运算可求得答案; (2)先算出U A ,再求()U A B ⋃; (3)先求U B ,再求()()U U A B ⋂. (1)解:∵{|12}A x x =-≤≤,{|13}B x x =≤≤, ∴{|12}A B x x =≤≤;(2)解:{|4}U x x =≤,{}12A x x =-≤≤,所以{|1U A x x =<-或24}x <≤. 又∵{|13}B x x =≤≤,∴(){|1U B x A x ⋃=<-或14}x ≤≤.(3)∵{|4}U x x =≤,{|13}B x x =≤≤,∴{|1U B x x =<或34}x <≤, ∴()(){|1U U x B x A ⋂=<-或34}x <≤.。
高中数学集合测试题(含答案和解析)一、单选题1.已知集合{}2|4A x x =≤,{}2|log 1B x x =≥,则A B ⋃=( ) A .[]22-,B .{}2C .[)2+∞,D .[)2+-∞,2.已知集合{A x y =∣,{}0,1,2,3B =,则A B =( ) A .{3} B .{2,3} C .{1,2,3} D .{0,1,2,3}3.已知{}{||2},0A x Z xB x x N x =∈<=∈>∣∣∣,则A B =( ) A .{1} B .{0,1}C .{0,1,2}D .∅4.若集合{A y y ==,{}3log 2B x x =≤,则A B =( )A .(]0,9B .[)4,9C .[]4,6D .[]0,9 5.已知集合{}24A x N x =∈≤,{}1,B a =,B A ⊆,则实数a 的取值集合为( ) A .{}0,1,2 B .{}1,2 C .{}0,2 D .{}2 6.已知集合{}22A x x =-≤,{}1,2,3,4,5B =,则A B =( )A .{}1,2,3,4B .{}2,3,4,5C .{}1,2,3D .{}2,3,4 7.已知集合{1,1},{0,1}A B =-=,设集合{,,}C z z x y x A y B ==+∈∈∣,则下列结论中正确的是( )A .A C ⋂=∅B .AC A ⋃= C .B C B =D .A B C = 8.已知集合{}1,2,3A =,{}20B x x =-<,则A B =( )A .{}1B .{}1,2C .{}0,1,2D .{}1,2,39.已知集合{}2,3,4A =,{}28120B x Z x x =∈-+<,则A B 中元素的个数是( ) A .4B .5C .6D .7 10.已知集合2{|30}A x x x =-≥,集合{1234}B =,,,,则A B =( ) A .{01234},,,, B .{123},, C .[0,4] D .[1,3] 11.已知集合{}24A x x =≤,{}2,B y y x x ==∈R ,则A B =( ) A .[0,2] B .[0,4] C .[2,2]- D .∅ 12.已知集合{}1A x x =≤,B ={}02x x <<,则A B =( )A .(]0,1B .[)1,2C .()0,1D .()0,2 13.已知集合()(){}{}1460,7524||A x x x B x x =+--≤=-≤-≤,则A B ⋃=( ) A .1|12x x ⎧⎫⎨⎬⎩⎭≤≤ B .{}|26x x -≤≤C .1|52x x ⎧≤≤⎫⎨⎬⎩⎭D .{}|14x x ≤≤14.设全集{}{}{}10,2,3,5,0,3,5,9U n N n A B =∈≤==,则()U A B =( ) A .{2,6} B .{0,9} C .{1,9} D .∅15.设(){}2log 1A x y x ==+,{}24B x x =≥,则()R A B =( )A .()1,2-B .[)1,2-C .()2,+∞D .()1,-+∞二、填空题16.设集合A 为空间中两条异面直线所成角的取值范围,集合B 为空间中直线与平面所成角的取值范围,集合C 为二面角的平面角的取值范围,则集合A 、B 、C 的真包含关系是___________.17.集合{}{}23,12,1A B m m ==+,,且A B =,则实数m =________.18.将集合{220s t A t s =-≤<且,}s t Z ∈中所有的元素从小到大排列得到的数列记为{}n a ,则50a =___________(填数值).19.若集合(){}2381x A x ==,集合(){}23log 1B x x ==,则A B =_________. 20.已知{}12A x x =-<≤,{}20B x x =-≤<,A B =________________.21.若集合{}2210A x x x =-+=,{}210B x x =-=,则A ______B .(用符号“⊂”“=”或“⊃”连接)22.已知集合{}2280A x x x =--<,非空集合{}23B x x m =-<<+,若x B ∈是x A ∈成立的一个充分而不必要条件,则实数m 的取值范围是___________.23.已知集合{}1,2A =,{}21,B x =-.若{}1A B ⋂=,则x =___________. 24.已知集合{}1,2,4,8A =,集合B ={x x 是6的正因数},则A B ⋃=__________. 25.若集合A ={x ∈R|ax 2+ax +1=0}中只有一个元素,则a =________.三、解答题26.设全集U =R ,集合{}14A x x =-<≤,{}2log 1B x x =>(1)求()U A B ;(2)若集合{}123C x a x a =-<<+,满足B C B ⋃=,求实数a 的取值范围.27.已知p :|m -1|>a (a >0),q :方程22152x y m m +=--表示双曲线. (1)若q 是真命题,求m 的取值范围;(2)若p 是q 的充分不必要条件,求a 的取值范围28.已知集合{}3A x a x a =≤≤+,{1B x x =<-或5}x >.(1)若A B =∅,求a 的取值范围;(2)若A B A =,求a 的取值范围.29.已知集合{}2560A xx x =--≤∣,集合{}26510B x x x =-+>∣,集合09x m C x x m -⎧⎫=≤⎨⎬--⎩⎭∣. (1)求A B ;(2)若A C C =,求实数m 的值取范围.30.(1)已知全集U =R ,集合{}2A x x =≤,{}2|60B x x x =--<,求()U A B ⋂. (2)已知0a >,0b >,且21a b +=,若不等式21m a b+≥恒成立,求实数m 的最大值.【参考答案】一、单选题1.D【解析】【分析】先化简集合A 、B ,再去求A B【详解】{}{}2|4|22A x x x x =≤=-≤≤,{}{}2|log 1|2B x x x x =≥=≥ 则{}{}{}|22|2|2x x x B x A x x -≤≤⋃≥==≥-⋃故选:D2.C【解析】【分析】先由y =A ,再根据集合交集的原则即可求解.【详解】对于集合A ,10x -≥,即1≥x ,则{}1A x x =≥,所以{}1,2,3A B =,故选:C3.A【解析】【分析】首先列举表示集合A ,再求A B .【详解】由条件可知{}1,0,1A =-,{}0B x x N x =∈>,所以{}1A B ⋂=.故选:A4.A【解析】【分析】先解出集合A 、B,再求A B .【详解】因为{{}0A y y y y ===≥,{}{}3log 209B x x x x =≤=<≤,所以{}09A B x x ⋂=<≤.故选:A .5.C【解析】【分析】化简集合A ,根据B A ⊆求实数a 的可能取值,由此可得结果.【详解】 因为集合{}24A x N x =∈≤化简可得{0,1,2}A = 又{}1,B a =,B A ⊆,所以0a =或2a =,故实数a 的取值集合为{0,2},故选:C.6.A【解析】【分析】首先解绝对值不等式求出集合A ,再根据交集的定义计算可得;【详解】 解:由22x -≤,即222x -≤-≤,解得04x ≤≤,所以{}[]220,4A x x =-≤=, 又{}1,2,3,4,5B =,所以{}1,2,3,4A B =.故选:A7.C【解析】【分析】由题意得{1,0,1,2}C =-,再由交集和并集运算求解即可.【详解】由题意可知,{1,0,1,2}C =-,{1,1}A C ⋂=-,{}1,0,1,2A C C ⋃=-=,{0,1},{1,0,1}B C B A B C ⋂==⋃=-≠.故选:C8.A【解析】【分析】根据集合交集的概念及运算,即可求解.【详解】 由题意,集合{}{}202B x x x x =-<=<,又由{}1,2,3A =,根据集合交集的概念及运算,可得{}1A B ⋂=.故选:A.9.A【解析】【分析】求出集合B ,再根据并集的定义即可求出答案.【详解】{}()(){}{}{}28120260263,4,5B x Z x x x Z x x x Z x =∈-+<=∈--<=∈<<=, 所以{}2,3,4,5A B ⋃=.所以A B 中元素的个数是4.故选:A.10.B【解析】【分析】先求得{|03}A x x =≤≤,再根据交集的运算可求解.【详解】由已知{|03}A x x =≤≤,所以{}1,2,3A B =.故选:B .11.A【解析】【分析】解不等式得集合A ,求二次函数值域得集合B ,然后由集合的交集运算可得.【详解】由24x ≤解得22x -≤≤,即{}22A x x =-≤≤,易知20y x =≥,即{|0}B y y =≥则{|02}A B x x =≤≤.故选:A12.A【解析】【分析】根据集合的交集概念即可计算.【详解】 ∵{}1A x x =≤,B ={}02x x <<,∴A B =(]0,1.故选:A ﹒13.B【解析】【分析】化简集合A 和B ,根据集合并集定义,即可求得答案.【详解】()(){}140|6A x x x =+--≤{}{}2=|310=|(5)(02)0x x x x x x ---+≤≤∴{}|25A x x =-≤≤{}{}|=75241221|B x x x x =-≤-≤-≤-≤-∴1|62x x B ⎧⎫=≤⎨⎩≤⎬⎭∴{}{}1|25|6=|262A B x x x x x x ⎧⎫-≤⎨⎬⋃=≤≤⋃≤-≤⎩≤⎭故选:B.14.B【解析】【分析】根据集合的交运算和补运算求解即可.因为{}{}100,1,2,3,4,5,6,7,8,9,10U n N n =∈≤=,{2,3,5}A ,则{0,1,4,6,7,8,9,10},{0,3,5,9}U A B ==,故(){0,9}U A B =. 故选:B .15.A【解析】【分析】 根据函数定义域的求解,以及简单二次不等式的求解,解得集合,A B ,再根据集合的补运算和交运算,即可求得结果.【详解】 因为(){}2log 1A x y x ==+{}{}|101x x x x =+>=-,{}24B x x =≥{|2x x =≤-或2}x ≥,故B R {|22}x x =-<<,则()R A B ={}()|121,2x x -<<=-.故选:A.二、填空题16.A B C ##C B A【解析】【分析】根据空间中两条异面直线所成角的范围求出A ,根据空间中直线与平面所成角的取值范围求出B ,根据二面角的平面角的取值范围求出C ,根据A 、B 、C 角的范围即可判断它们的包含关系.【详解】集合A 为空间中两条异面直线所成角的取值范围,π(0,]2A ∴=, 集合B 为空间中直线与平面所成角的取值范围,π[0,]2B ∴=, 集合C 为直角坐标平面上直线的倾斜角的取值范围,[0,π]C ∴=,∴集合A 、B 、C 的真包含关系为:A B C .故答案为:A B C .17.1或3-##3-或1【解析】由题意可得223m m +=,求出m ,【详解】因为{}{}23,12,1A B m m ==+,,且A B =,所以223m m +=,由223m m +=,得2230m m +-=,解得1m =或3-故答案为:1或3-18.992【解析】【分析】列举数列的前几项,观察特征,可得出50a .【详解】由题意得10212032313012345622,22,22,22,22,22,,a a a a a a =-=-=-=-=-=-观察规律可得22s t -中,以2s 为被减数的项共有s 个,因为123945++++=,所以50a 是1022t -中的第5项,所以1055022992a =-=.故答案为:992.19.{1,2,33} 【解析】【分析】求解集合,根据集合的并集运算即可.【详解】(){}{}23812x A x ===,(){}231log 13,3B x x ⎧⎫===⎨⎬⎩⎭,则A B ={1,2,33}. 故答案为:{1,2,33}. 20.{}10x x -<<【解析】【分析】由交集运算求解即可.【详解】A B ={}{}{}122010x x x x x x -<≤⋂-≤<=-<< 故答案为:{}10x x -<<21.⊂【解析】【分析】先化简集合A 、B ,再去判断集合A 、B 间的关系即可解决.{}{}22101A x x x =-+==,{}{}2101,1B x x =-==-,则A B ⊂ 故答案为:⊂22.()5,1-【解析】【分析】根据逻辑条件关系与集合间的关系、一元二次不等式的解法即可求解.【详解】 由题意得,{}{}228024A x x x x x =--<=-<<,由x B ∈是x A ∈成立的一个充分而不必要条件,得B A , 即2334m m -<+⎧⎨+<⎩解得,51m -<<, 故答案为:()5,1-.23.±1【解析】【分析】根据给定条件可得1B ∈,由此列式计算作答.【详解】因集合{}1,2A =,{}21,B x =-,且{}1A B ⋂=,于是得1B ∈,即21x =,解得1x =±,所以1x =±.故答案为:±124.{1,2,3,4,6,8}【解析】【分析】先化简集合B ,再求两集合的并集.【详解】因为B ={x x 是6的正因数}{1,2,3,6}=,所以{1,2,3,4,6,8}A B =.故答案为:{1,2,3,4,6,8}.25.4【解析】【分析】集合A 只有一个元素,分别讨论当0a =和0a ≠时对应的等价条件即可【详解】解:2{|10}A x R ax ax =∈++=中只有一个元素,∴若0a =,方程等价为10=,等式不成立,不满足条件. 若0a ≠,则方程满足0∆=,即240a a -=,解得4a =或0a =(舍去).故答案为:4三、解答题26.(1)(4,)(,2]+∞-∞;(2)[3,)(,4]+∞-∞-.【解析】【分析】(1)利用对数函数的单调性化简集合B ,根据集合交集和补集的定义进行求解即可; (2)根据集合并集的运算性质进行求解即可.(1) 因为{}{}2log 12B x x x x =>=>,所以(2,4]A B ⋂=,因此()(4,)(,2]U A B =+∞-∞;(2)因为B C B ⋃=,所以C B ⊆,当123a a -≥+时,即4a ≤-时,C =∅,符合C B ⊆; 当123a a -<+时,即4a >-时,要想C B ⊆,只需:123a a -≥⇒≥,因为4a >-,所以3a ≥, 综上所述:实数a 的取值范围为:[3,)(,4]+∞-∞-. 27.(1)(-∞,2)(5⋃,)∞+;(2)[4,)∞+.【解析】【分析】(1)解不等式(5)(2)0m m --<即得解; (2)由题意可得:1p m a >+或1m a <-+,解不等式组12150a a a -+⎧⎪+⎨⎪>⎩即得解. (1)解:由题意可得(5)(2)0m m --<,解得2m <或5m >.故m 的取值范围为(-∞,2)(5⋃,)∞+.(2)解:由题意可得:1p m a >+或1m a <-+. 因为p 是q 的充分不必要条件,所以(-∞,1)(1a a -++⋃,)(+∞-∞,2)(5⋃,)∞+.所以12150a a a -+⎧⎪+⎨⎪>⎩,解得4a . 故a 的取值范围为[4,)∞+.28.(1)[]1,2-(2)()(),45,-∞-+∞ 【解析】【分析】(1)根据交集的定义,列出关于a 的不等式组即可求解; (2)由题意,A B ⊆,根据集合的包含关系列出关于a 的不等式组即可求解;(1) 解:∵{}3,{1A x a x a B x x =≤≤+=<-或5}x >,且A B =∅, ∴135a a ≥-⎧⎨+≤⎩,解得12a -≤≤, ∴a 的取值范围为[]1,2-;(2) 解:∵{}3,{1A x a x a B x x =≤≤+=<-或5}x >,且A B A =, ∴A B ⊆,∴31a +<-或5a >,即4a或5a >, ∴a 的取值范围是()(),45,-∞-+∞.29.(1)1|13x x ⎧-≤<⎨⎩或162x ⎫<≤⎬⎭; (2)(]3,1--.【解析】【分析】(1)根据一元二次不等式的解法求出集合A 、B ,即可求出A B ; (2)由A C C =,可知A C ⊆,得到不等式组,即得.(1)∵{}2560A xx x =--≤∣,{}26510B x x x =-+>∣, {|16}A x x ∴=-≤≤,1|3B x x ⎧=<⎨⎩或12x ⎫>⎬⎭, ∴1|13A B x x ⎧⋂=-≤<⎨⎩或162x ⎫<≤⎬⎭; (2)∵{|16}A x x =-≤≤,0{|9}9x m C x x m x m x m -⎧⎫=≤=≤<+⎨⎬--⎩⎭∣, 由A C C =,得A C ⊆,961m m +>⎧∴⎨≤-⎩,解得31m -<≤-, ∴实数m 的值取范围为(]3,1--.30.(1)()2,3U A B ⋂=;(2)9.【解析】【分析】(1)先求不等式解集,再利用集合的补集、交集运算即可 (2)转化为最值问题,由基本不等式求解【详解】(1)由已知{}()2602,3B x x x =--<=- ()2,U A =+∞,所以()()2,3U A B ⋂=,(2)()2121222559b a a b a b a b a b ⎛⎫+=+⋅+=++≥= ⎪⎝⎭, 且仅当13a b ==时取等号, 不等式21m a b +≥恒成立,则9m ≤,故m 的最大值为9.。
数学高中试题讲解大全及答案一、选择题1. 函数f(x) = x^2 - 4x + 4的顶点坐标是:A. (-1, 5)B. (2, -4)C. (2, 0)D. (0, 4)【解析】首先,我们可以将函数f(x) = x^2 - 4x + 4写成顶点式的形式。
通过完成平方,我们有f(x) = (x - 2)^2。
因此,顶点坐标为(2, 0)。
【答案】C2. 已知集合A = {1, 2, 3},B = {2, 3, 4},求A∪B:A. {1, 2}B. {1, 2, 3}C. {2, 3, 4}D. {1, 2, 3, 4}【解析】集合A和B的并集是指包含A和B中所有元素的集合,不重复计算相同的元素。
因此,A∪B = {1, 2, 3, 4}。
【答案】D二、填空题1. 若直线y = 3x + 5与x轴相交,则交点的横坐标为______。
【解析】当直线与x轴相交时,y的值为0。
将y = 0代入直线方程,解得x = -5/3。
【答案】-5/32. 已知等差数列的首项a1 = 2,公差d = 3,求第10项a10。
【解析】等差数列的通项公式为an = a1 + (n - 1)d。
将n = 10,a1 = 2,d = 3代入公式,得到a10 = 2 + 9 * 3 = 29。
【答案】29三、解答题1. 已知函数f(x) = 2x^3 - 3x^2 + 5,求导数f'(x)。
【解析】根据导数的定义,我们可以分别对x的幂次项求导。
对于2x^3,导数是6x^2;对于-3x^2,导数是-6x;常数项5的导数是0。
因此,f'(x) = 6x^2 - 6x。
【答案】f'(x) = 6x^2 - 6x2. 解不等式:|x - 1| + |x + 2| ≥ 5。
【解析】首先,我们需要考虑绝对值不等式的不同情况。
我们可以将x分为三个区间:x ≤ -2,-2 < x ≤ 1,x > 1。
对于每个区间,去掉绝对值符号,然后解不等式。
全国统一高考数学试卷(新课标Ⅰ)一、选择题:本大题共12小题,每小题5分,在每小题给出的四个选项中,只有一个是符合题目要求的.1.(5分)已知集合A={x|x2﹣2x>0},B={x|﹣<x<},则()A.A∩B=∅B.A∪B=R C.B⊆A D.A⊆B2.(5分)若复数z满足(3﹣4i)z=|4+3i|,则z的虚部为()A.﹣4B.C.4D.3.(5分)为了解某地区中小学生的视力情况,拟从该地区的中小学生中抽取部分学生进行调查,事先已经了解到该地区小学、初中、高中三个学段学生的视力情况有较大差异,而男女生视力情况差异不大.在下面的抽样方法中,最合理的抽样方法是()A.简单的随机抽样B.按性别分层抽样C.按学段分层抽样D.系统抽样4.(5分)已知双曲线C:(a>0,b>0)的离心率为,则C的渐近线方程为()A.y=B.y=C.y=±x D.y=5.(5分)执行程序框图,如果输入的t∈[﹣1,3],则输出的s属于()A.[﹣3,4]B.[﹣5,2]C.[﹣4,3]D.[﹣2,5]6.(5分)如图,有一个水平放置的透明无盖的正方体容器,容器高8cm,将一个球放在容器口,再向容器注水,当球面恰好接触水面时测得水深为6cm,如不计容器的厚度,则球的体积为()A.B.C.D.7.(5分)设等差数列{a n}的前n项和为S n,若S m﹣1=﹣2,S m=0,S m+1=3,则m=()A.3B.4C.5D.68.(5分)某几何体的三视图如图所示,则该几何体的体积为()A.16+8πB.8+8πC.16+16πD.8+16π9.(5分)设m为正整数,(x+y)2m展开式的二项式系数的最大值为a,(x+y)2m+1展开式的二项式系数的最大值为b,若13a=7b,则m=()A.5B.6C.7D.810.(5分)已知椭圆E:的右焦点为F(3,0),过点F的直线交椭圆E 于A、B两点.若AB的中点坐标为(1,﹣1),则E的方程为()A.B.C.D.11.(5分)已知函数f(x)=,若|f(x)|≥ax,则a的取值范围是()A.(﹣∞,0]B.(﹣∞,1]C.[﹣2,1]D.[﹣2,0]12.(5分)设△A n B n C n的三边长分别为a n,b n,c n,△A n B n C n的面积为S n,n=1,2,3…若b1>c1,b1+c1=2a1,a n+1=a n,,,则()A.{S n}为递减数列B.{S n}为递增数列C.{S2n﹣1}为递增数列,{S2n}为递减数列D.{S2n﹣1}为递减数列,{S2n}为递增数列二.填空题:本大题共4小题,每小题5分.13.(5分)已知两个单位向量,的夹角为60°,=t+(1﹣t).若•=0,则t=.14.(5分)若数列{a n}的前n项和为S n=a n+,则数列{a n}的通项公式是a n=.15.(5分)设当x=θ时,函数f(x)=sinx﹣2cosx取得最大值,则cosθ=.16.(5分)若函数f(x)=(1﹣x2)(x2+ax+b)的图象关于直线x=﹣2对称,则f(x)的最大值为.三、解答题:解答应写出文字说明,证明过程或演算步骤.17.(12分)如图,在△ABC中,∠ABC=90°,AB=,BC=1,P为△ABC内一点,∠BPC=90°.(1)若PB=,求PA;(2)若∠APB=150°,求tan∠PBA.18.(12分)如图,三棱柱ABC﹣A1B1C1中,CA=CB,AB=AA1,∠BAA1=60°.(Ⅰ)证明AB⊥A1C;(Ⅱ)若平面ABC⊥平面AA1B1B,AB=CB=2,求直线A1C与平面BB1C1C所成角的正弦值.19.(12分)一批产品需要进行质量检验,检验方案是:先从这批产品中任取4件作检验,这4件产品中优质品的件数记为n.如果n=3,再从这批产品中任取4件作检验,若都为优质品,则这批产品通过检验;如果n=4,再从这批产品中任取1件作检验,若为优质品,则这批产品通过检验;其他情况下,这批产品都不能通过检验.假设这批产品的优质品率为50%,即取出的产品是优质品的概率都为,且各件产品是否为优质品相互独立.(Ⅰ)求这批产品通过检验的概率;(Ⅱ)已知每件产品检验费用为100元,凡抽取的每件产品都需要检验,对这批产品作质量检验所需的费用记为X(单位:元),求X的分布列及数学期望.20.(12分)已知圆M:(x+1)2+y2=1,圆N:(x﹣1)2+y2=9,动圆P与圆M外切并与圆N 内切,圆心P的轨迹为曲线C.(Ⅰ)求C的方程;(Ⅱ)l是与圆P,圆M都相切的一条直线,l与曲线C交于A,B两点,当圆P的半径最长时,求|AB|.21.(12分)已知函数f(x)=x2+ax+b,g(x)=e x(cx+d),若曲线y=f(x)和曲线y=g(x)都过点P(0,2),且在点P处有相同的切线y=4x+2.(Ⅰ)求a,b,c,d的值;(Ⅱ)若x≥﹣2时,f(x)≤kg(x),求k的取值范围.四、请考生在第22、23、24题中任选一道作答,并用2B铅笔将答题卡上所选的题目对应的题号右侧方框涂黑,按所涂题号进行评分;多涂、多答,按所涂的首题进行评分,不涂,按本选考题的首题进行评分.22.(10分)(选修4﹣1:几何证明选讲)如图,直线AB为圆的切线,切点为B,点C在圆上,∠ABC的角平分线BE交圆于点E,DB 垂直BE交圆于D.(Ⅰ)证明:DB=DC;(Ⅱ)设圆的半径为1,BC=,延长CE交AB于点F,求△BCF外接圆的半径.23.已知曲线C1的参数方程为(t为参数),以坐标原点为极点,x轴的正半轴为极轴建立极坐标系,曲线C2的极坐标方程为ρ=2sinθ.(1)把C1的参数方程化为极坐标方程;(2)求C1与C2交点的极坐标(ρ≥0,0≤θ<2π).24.已知函数f(x)=|2x﹣1|+|2x+a|,g(x)=x+3.(Ⅰ)当a=﹣2时,求不等式f(x)<g(x)的解集;(Ⅱ)设a>﹣1,且当x∈[﹣,]时,f(x)≤g(x),求a的取值范围.全国统一高考数学试卷(新课标Ⅰ)参考答案与试题解析一、选择题:本大题共12小题,每小题5分,在每小题给出的四个选项中,只有一个是符合题目要求的.1.(5分)已知集合A={x|x2﹣2x>0},B={x|﹣<x<},则()A.A∩B=∅B.A∪B=R C.B⊆A D.A⊆B【考点】1D:并集及其运算;73:一元二次不等式及其应用.【专题】59:不等式的解法及应用;5J:集合.【分析】根据一元二次不等式的解法,求出集合A,再根据的定义求出A∩B和A∪B.【解答】解:∵集合A={x|x2﹣2x>0}={x|x>2或x<0},∴A∩B={x|2<x<或﹣<x<0},A∪B=R,故选:B.【点评】本题考查一元二次不等式的解法,以及并集的定义,属于基础题.2.(5分)若复数z满足(3﹣4i)z=|4+3i|,则z的虚部为()A.﹣4B.C.4D.【考点】A5:复数的运算.【专题】5N:数系的扩充和复数.【分析】由题意可得z==,再利用两个复数代数形式的乘除法法则化简为+i,由此可得z的虚部.【解答】解:∵复数z满足(3﹣4i)z=|4+3i|,∴z====+i,故z的虚部等于,故选:D.【点评】本题主要考查复数的基本概念,两个复数代数形式的乘除法法则的应用,属于基础题.3.(5分)为了解某地区中小学生的视力情况,拟从该地区的中小学生中抽取部分学生进行调查,事先已经了解到该地区小学、初中、高中三个学段学生的视力情况有较大差异,而男女生视力情况差异不大.在下面的抽样方法中,最合理的抽样方法是()A.简单的随机抽样B.按性别分层抽样C.按学段分层抽样D.系统抽样【考点】B3:分层抽样方法.【专题】21:阅读型.【分析】若总体由差异明显的几部分组成时,经常采用分层抽样的方法进行抽样.【解答】解:我们常用的抽样方法有:简单随机抽样、分层抽样和系统抽样,而事先已经了解到该地区小学、初中、高中三个学段学生的视力情况有较大差异,而男女生视力情况差异不大.了解某地区中小学生的视力情况,按学段分层抽样,这种方式具有代表性,比较合理.故选:C.【点评】本小题考查抽样方法,主要考查抽样方法,属基本题.4.(5分)已知双曲线C:(a>0,b>0)的离心率为,则C的渐近线方程为()A.y=B.y=C.y=±x D.y=【考点】KC:双曲线的性质.【专题】5D:圆锥曲线的定义、性质与方程.【分析】由离心率和abc的关系可得b2=4a2,而渐近线方程为y=±x,代入可得答案.【解答】解:由双曲线C:(a>0,b>0),则离心率e===,即4b2=a2,故渐近线方程为y=±x=x,故选:D.【点评】本题考查双曲线的简单性质,涉及的渐近线方程,属基础题.5.(5分)执行程序框图,如果输入的t∈[﹣1,3],则输出的s属于()A.[﹣3,4]B.[﹣5,2]C.[﹣4,3]D.[﹣2,5]【考点】3B:分段函数的解析式求法及其图象的作法;EF:程序框图.【专题】27:图表型;5K:算法和程序框图.【分析】本题考查的知识点是程序框图,分析程序中各变量、各语句的作用,再根据流程图所示的顺序,可知:该程序的作用是计算一个分段函数的函数值,由条件为t<1我们可得,分段函数的分类标准,由分支结构中是否两条分支上对应的语句行,我们易得函数的解析式.【解答】解:由判断框中的条件为t<1,可得:函数分为两段,即t<1与t≥1,又由满足条件时函数的解析式为:s=3t;不满足条件时,即t≥1时,函数的解析式为:s=4t﹣t2故分段函数的解析式为:s=,如果输入的t∈[﹣1,3],画出此分段函数在t∈[﹣1,3]时的图象,则输出的s属于[﹣3,4].故选:A.【点评】要求条件结构对应的函数解析式,要分如下几个步骤:①分析流程图的结构,分析条件结构是如何嵌套的,以确定函数所分的段数;②根据判断框中的条件,设置分类标准;③根据判断框的“是”与“否”分支对应的操作,分析函数各段的解析式;④对前面的分类进行总结,写出分段函数的解析式.6.(5分)如图,有一个水平放置的透明无盖的正方体容器,容器高8cm,将一个球放在容器口,再向容器注水,当球面恰好接触水面时测得水深为6cm,如不计容器的厚度,则球的体积为()A.B.C.D.【考点】LG:球的体积和表面积.【专题】11:计算题;5F:空间位置关系与距离.【分析】设正方体上底面所在平面截球得小圆M,可得圆心M为正方体上底面正方形的中心.设球的半径为R,根据题意得球心到上底面的距离等于(R﹣2)cm,而圆M的半径为4,由球的截面圆性质建立关于R的方程并解出R=5,用球的体积公式即可算出该球的体积.【解答】解:设正方体上底面所在平面截球得小圆M,则圆心M为正方体上底面正方形的中心.如图.设球的半径为R,根据题意得球心到上底面的距离等于(R﹣2)cm,而圆M的半径为4,由球的截面圆性质,得R2=(R﹣2)2+42,解出R=5,∴根据球的体积公式,该球的体积V===.故选:A.【点评】本题给出球与正方体相切的问题,求球的体积,着重考查了正方体的性质、球的截面圆性质和球的体积公式等知识,属于中档题.7.(5分)设等差数列{a n}的前n项和为S n,若S m﹣1=﹣2,S m=0,S m+1=3,则m=()A.3B.4C.5D.6【考点】83:等差数列的性质;85:等差数列的前n项和.【专题】11:计算题;54:等差数列与等比数列.【分析】由a n与S n的关系可求得a m+1与a m,进而得到公差d,由前n项和公式及S m=0可求得a1,再由通项公式及a m=2可得m值.【解答】解:a m=S m﹣S m﹣1=2,a m+1=S m+1﹣S m=3,﹣a m=1,所以公差d=a m+1S m==0,m﹣1>0,m>1,因此m不能为0,得a1=﹣2,所以a m=﹣2+(m﹣1)•1=2,解得m=5,另解:等差数列{a n}的前n项和为S n,即有数列{}成等差数列,则,,成等差数列,可得2•=+,即有0=+,解得m=5.又一解:由等差数列的求和公式可得(m﹣1)(a1+a m﹣1)=﹣2,m(a1+a m)=0,(m+1)(a1+a m+1)=3,可得a1=﹣a m,﹣2a m+a m+1+a m+1=+=0,解得m=5.故选:C.【点评】本题考查等差数列的通项公式、前n项和公式及通项a n与S n的关系,考查学生的计算能力.8.(5分)某几何体的三视图如图所示,则该几何体的体积为()A.16+8πB.8+8πC.16+16πD.8+16π【考点】L!:由三视图求面积、体积.【专题】16:压轴题;27:图表型.【分析】三视图复原的几何体是一个长方体与半个圆柱的组合体,依据三视图的数据,得出组合体长、宽、高,即可求出几何体的体积.【解答】解:三视图复原的几何体是一个长方体与半个圆柱的组合体,如图,其中长方体长、宽、高分别是:4,2,2,半个圆柱的底面半径为2,母线长为4.∴长方体的体积=4×2×2=16,半个圆柱的体积=×22×π×4=8π所以这个几何体的体积是16+8π;故选:A.【点评】本题考查了几何体的三视图及直观图的画法,三视图与直观图的关系,柱体体积计算公式,空间想象能力9.(5分)设m为正整数,(x+y)2m展开式的二项式系数的最大值为a,(x+y)2m+1展开式的二项式系数的最大值为b,若13a=7b,则m=()A.5B.6C.7D.8【考点】DA:二项式定理.【专题】5P:二项式定理.【分析】根据二项式系数的性质求得a和b,再利用组合数的计算公式,解方程13a=7b求得m的值.【解答】解:∵m为正整数,由(x+y)2m展开式的二项式系数的最大值为a,以及二项式系数的性质可得a=,同理,由(x+y)2m+1展开式的二项式系数的最大值为b,可得b==.再由13a=7b,可得13=7,即13×=7×,即13=7×,即13(m+1)=7(2m+1),解得m=6,故选:B.【点评】本题主要考查二项式系数的性质的应用,组合数的计算公式,属于中档题.10.(5分)已知椭圆E:的右焦点为F(3,0),过点F的直线交椭圆E于A、B两点.若AB的中点坐标为(1,﹣1),则E的方程为()A.B.C.D.【考点】K3:椭圆的标准方程.【专题】5D:圆锥曲线的定义、性质与方程.【分析】设A(x1,y1),B(x2,y2),代入椭圆方程得,利用“点差法”可得.利用中点坐标公式可得x1+x2=2,y1+y2=﹣2,利用斜率计算公式可得==.于是得到,化为a2=2b2,再利用c=3=,即可解得a2,b2.进而得到椭圆的方程.【解答】解:设A(x1,y1),B(x2,y2),代入椭圆方程得,相减得,∴.∵x1+x2=2,y1+y2=﹣2,==.∴,化为a2=2b2,又c=3=,解得a2=18,b2=9.∴椭圆E的方程为.故选:D.【点评】熟练掌握“点差法”和中点坐标公式、斜率的计算公式是解题的关键.11.(5分)已知函数f(x)=,若|f(x)|≥ax,则a的取值范围是()A.(﹣∞,0]B.(﹣∞,1]C.[﹣2,1]D.[﹣2,0]【考点】7E:其他不等式的解法.【专题】16:压轴题;59:不等式的解法及应用.【分析】由函数图象的变换,结合基本初等函数的图象可作出函数y=|f(x)|的图象,和函数y=ax的图象,由导数求切线斜率可得l的斜率,进而数形结合可得a的范围.【解答】解:由题意可作出函数y=|f(x)|的图象,和函数y=ax的图象,由图象可知:函数y=ax的图象为过原点的直线,当直线介于l和x轴之间符合题意,直线l 为曲线的切线,且此时函数y=|f(x)|在第二象限的部分解析式为y=x2﹣2x,求其导数可得y′=2x﹣2,因为x≤0,故y′≤﹣2,故直线l的斜率为﹣2,故只需直线y=ax的斜率a介于﹣2与0之间即可,即a∈[﹣2,0]故选:D.【点评】本题考查其它不等式的解法,数形结合是解决问题的关键,属中档题.12.(5分)设△A n B n C n的三边长分别为a n,b n,c n,△A n B n C n的面积为S n,n=1,2,3…若b1>c1,b1+c1=2a1,a n+1=a n,,,则()A.{S n}为递减数列B.{S n}为递增数列C.{S2n﹣1}为递增数列,{S2n}为递减数列D.{S2n﹣1}为递减数列,{S2n}为递增数列【考点】82:数列的函数特性;8H:数列递推式.【专题】16:压轴题;54:等差数列与等比数列;55:点列、递归数列与数学归纳法.【分析】由a n=a n可知△A n B n C n的边B n C n为定值a1,由b n+1+c n+1﹣2a1=及+1b1+c1=2a1得b n+c n=2a1,则在△A n B n C n中边长B n C n=a1为定值,另两边A n C n、A n B n的长度之和b n+c n=2a1为定值,由此可知顶点A n在以B n、C n为焦点的椭圆上,根据b n+1﹣c n+1=,得b n﹣c n=,可知n→+∞时b n→c n,据此可判断△A n B n C n的边B n C n的高h n随着n的增大而增大,再由三角形面积公式可得到答案.【解答】解:b1=2a1﹣c1且b1>c1,∴2a1﹣c1>c1,∴a1>c1,∴b1﹣a1=2a1﹣c1﹣a1=a1﹣c1>0,∴b1>a1>c1,又b1﹣c1<a1,∴2a1﹣c1﹣c1<a1,∴2c1>a1,∴,由题意,+a n,∴b n+1+c n+1﹣2a n=(b n+c n﹣2a n),∴b n+c n﹣2a n=0,∴b n+c n=2a n=2a1,∴b n+c n=2a1,由此可知顶点A n在以B n、C n为焦点的椭圆上,又由题意,b n﹣c n+1=,∴=a1﹣b n,+1﹣a1=,∴b n﹣a1=,∴b n+1∴,c n=2a1﹣b n=,∴[][]=[﹣]单调递增(可证当n=1时>0)故选:B.【点评】本题主要考查由数列递推式求数列通项、三角形面积海伦公式,综合考查学生分析解决问题的能力,有较高的思维抽象度,是本年度全国高考试题中的“亮点”之一.二.填空题:本大题共4小题,每小题5分.13.(5分)已知两个单位向量,的夹角为60°,=t+(1﹣t).若•=0,则t=2.【考点】9H:平面向量的基本定理;9O:平面向量数量积的性质及其运算.【专题】5A:平面向量及应用.【分析】由于•=0,对式子=t+(1﹣t)两边与作数量积可得=0,经过化简即可得出.【解答】解:∵,,∴=0,∴tcos60°+1﹣t=0,∴1=0,解得t=2.故答案为2.【点评】熟练掌握向量的数量积运算是解题的关键.14.(5分)若数列{a n}的前n项和为S n=a n+,则数列{a n}的通项公式是a n=(﹣2)n﹣1.【考点】88:等比数列的通项公式.【专题】54:等差数列与等比数列.【分析】把n=1代入已知式子可得数列的首项,由n≥2时,a n=S n﹣S n﹣1,可得数列为等比数列,且公比为﹣2,代入等比数列的通项公式分段可得答案.【解答】解:当n=1时,a1=S1=,解得a1=1当n≥2时,a n=S n﹣S n﹣1=()﹣()=,整理可得,即=﹣2,故数列{a n}从第二项开始是以﹣2为首项,﹣2为公比的等比数列,故当n≥2时,a n=(﹣2)n﹣1,经验证当n=1时,上式也适合,故答案为:(﹣2)n﹣1【点评】本题考查等比数列的通项公式,涉及等比数列的判定,属基础题.15.(5分)设当x=θ时,函数f(x)=sinx﹣2cosx取得最大值,则cosθ=﹣.【考点】GP:两角和与差的三角函数;H4:正弦函数的定义域和值域.【专题】16:压轴题;56:三角函数的求值.【分析】f(x)解析式提取,利用两角和与差的正弦函数公式化为一个角的正弦函数,由x=θ时,函数f(x)取得最大值,得到sinθ﹣2cosθ=,与sin2θ+cos2θ=1联立即可求出cosθ的值.【解答】解:f(x)=sinx﹣2cosx=(sinx﹣cosx)=sin(x﹣α)(其中cosα=,sinα=),∵x=θ时,函数f(x)取得最大值,∴sin(θ﹣α)=1,即sinθ﹣2cosθ=,又sin2θ+cos2θ=1,联立得(2cosθ+)2+cos2θ=1,解得cosθ=﹣.故答案为:﹣【点评】此题考查了两角和与差的正弦函数公式,同角三角函数间的基本关系,以及正弦函数的定义域与值域,熟练掌握公式是解本题的关键.16.(5分)若函数f(x)=(1﹣x2)(x2+ax+b)的图象关于直线x=﹣2对称,则f(x)的最大值为16.【考点】57:函数与方程的综合运用;6E:利用导数研究函数的最值.【专题】11:计算题;16:压轴题;51:函数的性质及应用;53:导数的综合应用.【分析】由题意得f(﹣1)=f(﹣3)=0且f(1)=f(﹣5)=0,由此求出a=8且b=15,由此可得f(x)=﹣x4﹣8x3﹣14x2+8x+15.利用导数研究f(x)的单调性,可得f(x)在区间(﹣∞,﹣2﹣)、(﹣2,﹣2+)上是增函数,在区间(﹣2﹣,﹣2)、(﹣2+,+∞)上是减函数,结合f(﹣2﹣)=f(﹣2+)=16,即可得到f(x)的最大值.【解答】解:∵函数f(x)=(1﹣x2)(x2+ax+b)的图象关于直线x=﹣2对称,∴f(﹣1)=f(﹣3)=0且f(1)=f(﹣5)=0,即[1﹣(﹣3)2][(﹣3)2+a•(﹣3)+b]=0且[1﹣(﹣5)2][(﹣5)2+a•(﹣5)+b]=0,解之得,因此,f(x)=(1﹣x2)(x2+8x+15)=﹣x4﹣8x3﹣14x2+8x+15,求导数,得f′(x)=﹣4x3﹣24x2﹣28x+8,令f′(x)=0,得x1=﹣2﹣,x2=﹣2,x3=﹣2+,当x∈(﹣∞,﹣2﹣)时,f′(x)>0;当x∈(﹣2﹣,﹣2)时,f′(x)<0;当x∈(﹣2,﹣2+)时,f′(x)>0;当x∈(﹣2+,+∞)时,f′(x)<0∴f(x)在区间(﹣∞,﹣2﹣)、(﹣2,﹣2+)上是增函数,在区间(﹣2﹣,﹣2)、(﹣2+,+∞)上是减函数.又∵f(﹣2﹣)=f(﹣2+)=16,∴f(x)的最大值为16.故答案为:16.【点评】本题给出多项式函数的图象关于x=﹣2对称,求函数的最大值.着重考查了函数的奇偶性、利用导数研究函数的单调性和函数的最值求法等知识,属于中档题.三、解答题:解答应写出文字说明,证明过程或演算步骤.17.(12分)如图,在△ABC中,∠ABC=90°,AB=,BC=1,P为△ABC内一点,∠BPC=90°.(1)若PB=,求PA;(2)若∠APB=150°,求tan∠PBA.【考点】HP:正弦定理;HR:余弦定理.【专题】58:解三角形.【分析】(I)在Rt△PBC,利用边角关系即可得到∠PBC=60°,得到∠PBA=30°.在△PBA中,利用余弦定理即可求得PA.(II)设∠PBA=α,在Rt△PBC中,可得PB=sinα.在△PBA中,由正弦定理得,即,化简即可求出.【解答】解:(I)在Rt△PBC中,=,∴∠PBC=60°,∴∠PBA=30°.在△PBA中,由余弦定理得PA2=PB2+AB2﹣2PB•ABcos30°==.∴PA=.(II)设∠PBA=α,在Rt△PBC中,PB=BCcos(90°﹣α)=sinα.在△PBA中,由正弦定理得,即,化为.∴.【点评】熟练掌握直角三角形的边角关系、正弦定理和余弦定理是解题的关键.18.(12分)如图,三棱柱ABC﹣A1B1C1中,CA=CB,AB=AA1,∠BAA1=60°.(Ⅰ)证明AB⊥A1C;(Ⅱ)若平面ABC⊥平面AA1B1B,AB=CB=2,求直线A1C与平面BB1C1C所成角的正弦值.【考点】LW:直线与平面垂直;LY:平面与平面垂直;MI:直线与平面所成的角.【专题】5F:空间位置关系与距离;5G:空间角.【分析】(Ⅰ)取AB的中点O,连接OC,OA1,A1B,由已知可证OA1⊥AB,AB⊥平面OA1C,进而可得AB⊥A1C;(Ⅱ)易证OA,OA1,OC两两垂直.以O为坐标原点,的方向为x轴的正向,||为单位长,建立坐标系,可得,,的坐标,设=(x,y,z)为平面BB1C1C的法向量,则,可解得=(,1,﹣1),可求|cos<,>|,即为所求正弦值.【解答】解:(Ⅰ)取AB的中点O,连接OC,OA1,A1B,因为CA=CB,所以OC⊥AB,由于AB=AA1,∠BAA1=60°,所以△AA1B为等边三角形,所以OA1⊥AB,又因为OC∩OA1=O,所以AB⊥平面OA1C,又A1C⊂平面OA1C,故AB⊥A1C;(Ⅱ)由(Ⅰ)知OC⊥AB,OA1⊥AB,又平面ABC⊥平面AA1B1B,交线为AB,所以OC⊥平面AA1B1B,故OA,OA1,OC两两垂直.以O为坐标原点,的方向为x轴的正向,||为单位长,建立如图所示的坐标系,可得A(1,0,0),A1(0,,0),C(0,0,),B(﹣1,0,0),则=(1,0,),=(﹣1,,0),=(0,﹣,),设=(x,y,z)为平面BB1C1C的法向量,则,即,可取y=1,可得=(,1,﹣1),故cos<,>==,又因为直线与法向量的余弦值的绝对值等于直线与平面的正弦值,故直线A1C与平面BB1C1C所成角的正弦值为:.【点评】本题考查直线与平面所成的角,涉及直线与平面垂直的性质和平面与平面垂直的判定,属难题.19.(12分)一批产品需要进行质量检验,检验方案是:先从这批产品中任取4件作检验,这4件产品中优质品的件数记为n.如果n=3,再从这批产品中任取4件作检验,若都为优质品,则这批产品通过检验;如果n=4,再从这批产品中任取1件作检验,若为优质品,则这批产品通过检验;其他情况下,这批产品都不能通过检验.假设这批产品的优质品率为50%,即取出的产品是优质品的概率都为,且各件产品是否为优质品相互独立.(Ⅰ)求这批产品通过检验的概率;(Ⅱ)已知每件产品检验费用为100元,凡抽取的每件产品都需要检验,对这批产品作质量检验所需的费用记为X(单位:元),求X的分布列及数学期望.【考点】CG:离散型随机变量及其分布列;CH:离散型随机变量的期望与方差.【专题】5I:概率与统计.【分析】(Ⅰ)设第一次取出的4件产品中恰有3件优质品为事件A1,第一次取出的4件产品全是优质品为事件A2,第二次取出的4件产品全是优质品为事件B1,第二次取出的1件产品是优质品为事件B2,这批产品通过检验为事件A,依题意有A=(A1B1)∪(A2B2),且A1B1与A2B2互斥,由概率得加法公式和条件概率,代入数据计算可得;(Ⅱ)X可能的取值为400,500,800,分别求其概率,可得分布列,进而可得期望值.【解答】解:(Ⅰ)设第一次取出的4件产品中恰有3件优质品为事件A1,第一次取出的4件产品全是优质品为事件A2,第二次取出的4件产品全是优质品为事件B1,第二次取出的1件产品是优质品为事件B2,这批产品通过检验为事件A,依题意有A=(A1B1)∪(A2B2),且A1B1与A2B2互斥,所以P(A)=P(A1B1)+P(A2B2)=P(A1)P(B1|A1)+P(A2)P(B2|A2)==(Ⅱ)X可能的取值为400,500,800,并且P(X=800)=,P(X=500)=,P(X=400)=1﹣﹣=,故X的分布列如下:X 400 500 800P故EX=400×+500×+800×=506.25【点评】本题考查离散型随机变量及其分布列涉及数学期望的求解,属中档题.20.(12分)已知圆M:(x+1)2+y2=1,圆N:(x﹣1)2+y2=9,动圆P与圆M外切并与圆N 内切,圆心P的轨迹为曲线C.(Ⅰ)求C的方程;(Ⅱ)l是与圆P,圆M都相切的一条直线,l与曲线C交于A,B两点,当圆P的半径最长时,求|AB|.【考点】J3:轨迹方程;J9:直线与圆的位置关系.【专题】5B:直线与圆.【分析】(I)设动圆的半径为R,由已知动圆P与圆M外切并与圆N内切,可得|PM|+|PN|=R+1+(3﹣R)=4,而|NM|=2,由椭圆的定义可知:动点P的轨迹是以M,N为焦点,4为长轴长的椭圆,求出即可;(II)设曲线C上任意一点P(x,y),由于|PM|﹣|PN|=2R﹣2≤4﹣2=2,所以R≤2,当且仅当⊙P的圆心为(2,0)R=2时,其半径最大,其方程为(x﹣2)2+y2=4.分①l的倾斜角为90°,此时l与y轴重合,可得|AB|.②若l的倾斜角不为90°,由于⊙M的半径1≠R,可知l与x轴不平行,设l与x轴的交点为Q,根据,可得Q(﹣4,0),所以可设l:y=k(x+4),与椭圆的方程联立,得到根与系数的关系利用弦长公式即可得出.【解答】解:(I)由圆M:(x+1)2+y2=1,可知圆心M(﹣1,0);圆N:(x﹣1)2+y2=9,圆心N(1,0),半径3.设动圆的半径为R,∵动圆P与圆M外切并与圆N内切,∴|PM|+|PN|=R+1+(3﹣R)=4,而|NM|=2,由椭圆的定义可知:动点P的轨迹是以M,N为焦点,4为长轴长的椭圆,∴a=2,c=1,b2=a2﹣c2=3.∴曲线C的方程为(x≠﹣2).(II)设曲线C上任意一点P(x,y),由于|PM|﹣|PN|=2R﹣2≤3﹣1=2,所以R≤2,当且仅当⊙P的圆心为(2,0)R=2时,其半径最大,其方程为(x﹣2)2+y2=4.①l的倾斜角为90°,则l与y轴重合,可得|AB|=.②若l的倾斜角不为90°,由于⊙M的半径1≠R,可知l与x轴不平行,设l与x轴的交点为Q,则,可得Q(﹣4,0),所以可设l:y=k(x+4),由l于M相切可得:,解得.当时,联立,得到7x2+8x﹣8=0.∴,.∴|AB|===由于对称性可知:当时,也有|AB|=.综上可知:|AB|=或.【点评】本题综合考查了两圆的相切关系、直线与圆相切问题、椭圆的定义及其性质、直线与椭圆相交问题转化为方程联立得到根与系数的关系、弦长公式等基础知识,需要较强的推理能力和计算能力及其分类讨论的思想方法.21.(12分)已知函数f(x)=x2+ax+b,g(x)=e x(cx+d),若曲线y=f(x)和曲线y=g(x)都过点P(0,2),且在点P处有相同的切线y=4x+2.(Ⅰ)求a,b,c,d的值;(Ⅱ)若x≥﹣2时,f(x)≤kg(x),求k的取值范围.【考点】3R:函数恒成立问题;6H:利用导数研究曲线上某点切线方程.【专题】16:压轴题;53:导数的综合应用.【分析】(Ⅰ)对f(x),g(x)进行求导,已知在交点处有相同的切线及曲线y=f(x)和曲线y=g(x)都过点P(0,2),从而解出a,b,c,d的值;(Ⅱ)由(I)得出f(x),g(x)的解析式,再求出F(x)及它的导函数,通过对k的讨论,判断出F(x)的最值,从而判断出f(x)≤kg(x)恒成立,从而求出k的范围.【解答】解:(Ⅰ)由题意知f(0)=2,g(0)=2,f′(0)=4,g′(0)=4,而f′(x)=2x+a,g′(x)=e x(cx+d+c),故b=2,d=2,a=4,d+c=4,从而a=4,b=2,c=2,d=2;(Ⅱ)由(I)知,f(x)=x2+4x+2,g(x)=2e x(x+1)设F(x)=kg(x)﹣f(x)=2ke x(x+1)﹣x2﹣4x﹣2,则F′(x)=2ke x(x+2)﹣2x﹣4=2(x+2)(ke x﹣1),由题设得F(0)≥0,即k≥1,令F′(x)=0,得x1=﹣lnk,x2=﹣2,①若1≤k<e2,则﹣2<x1≤0,从而当x∈(﹣2,x1)时,F′(x)<0,当x∈(x1,+∞)时,F′(x)>0,即F(x)在(﹣2,x1)上减,在(x1,+∞)上是增,故F(x)在[﹣2,+∞)上的最小值为F(x1),而F(x1)=﹣x1(x1+2)≥0,x≥﹣2时F(x)≥0,即f(x)≤kg(x)恒成立.②若k=e2,则F′(x)=2e2(x+2)(e x﹣e﹣2),从而当x∈(﹣2,+∞)时,F′(x)>0,即F(x)在(﹣2,+∞)上是增,而F(﹣2)=0,故当x≥﹣2时,F(x)≥0,即f(x)≤kg(x)恒成立.③若k>e2时,F′(x)>2e2(x+2)(e x﹣e﹣2),而F(﹣2)=﹣2ke﹣2+2<0,所以当x>﹣2时,f(x)≤kg(x)不恒成立,综上,k的取值范围是[1,e2].【点评】此题主要考查利用导数研究曲线上某点切线方程,函数恒成立问题,考查分类讨论思想,解题的关键是能够利用导数工具研究函数的性质,此题是一道中档题.四、请考生在第22、23、24题中任选一道作答,并用2B铅笔将答题卡上所选的题目对应的题号右侧方框涂黑,按所涂题号进行评分;多涂、多答,按所涂的首题进行评分,不涂,按本选考题的首题进行评分.22.(10分)(选修4﹣1:几何证明选讲)如图,直线AB为圆的切线,切点为B,点C在圆上,∠ABC的角平分线BE交圆于点E,DB 垂直BE交圆于D.(Ⅰ)证明:DB=DC;(Ⅱ)设圆的半径为1,BC=,延长CE交AB于点F,求△BCF外接圆的半径.【考点】NC:与圆有关的比例线段.【专题】5B:直线与圆.【分析】(I)连接DE交BC于点G,由弦切角定理可得∠ABE=∠BCE,由已知角平分线可得∠ABE=∠CBE,于是得到∠CBE=∠BCE,BE=CE.由已知DB⊥BE,可知DE为⊙O的直径,Rt △DBE≌Rt△DCE,利用三角形全等的性质即可得到DC=DB.(II)由(I)可知:DG是BC的垂直平分线,即可得到BG=.设DE的中点为O,连接BO,可得∠BOG=60°.从而∠ABE=∠BCE=∠CBE=30°.得到CF⊥BF.进而得到Rt△BCF的外接圆的半径=.【解答】(I)证明:连接DE交BC于点G.由弦切角定理可得∠ABE=∠BCE,而∠ABE=∠CBE,∴∠CBE=∠BCE,BE=CE.又∵DB⊥BE,∴DE为⊙O的直径,∠DCE=90°.∴△DBE≌△DCE,∴DC=DB.(II)由(I)可知:∠CDE=∠BDE,DB=DC.故DG是BC的垂直平分线,∴BG=.设DE的中点为O,连接BO,则∠BOG=60°.从而∠ABE=∠BCE=∠CBE=30°.∴CF⊥BF.∴Rt△BCF的外接圆的半径=.【点评】本题综合考查了圆的性质、弦切角定理、等边三角形的性质、三角形全等、三角形的外接圆的半径等知识,需要较强的推理能力、分析问题和解决问题的能力.23.已知曲线C1的参数方程为(t为参数),以坐标原点为极点,x轴的正半轴为极轴建立极坐标系,曲线C2的极坐标方程为ρ=2sinθ.(1)把C1的参数方程化为极坐标方程;(2)求C1与C2交点的极坐标(ρ≥0,0≤θ<2π).【考点】Q4:简单曲线的极坐标方程;QH:参数方程化成普通方程.【专题】11:计算题;35:转化思想;4R:转化法;5S:坐标系和参数方程.【分析】(1)曲线C1的参数方程消去参数t,得到普通方程,再由,能求出C1的极坐标方程.(2)曲线C2的极坐标方程化为直角坐标方程,与C1的普通方程联立,求出C1与C2交点的直角坐标,由此能求出C1与C2交点的极坐标.【解答】解:(1)将,消去参数t,化为普通方程(x﹣4)2+(y﹣5)2=25,即C1:x2+y2﹣8x﹣10y+16=0,将代入x2+y2﹣8x﹣10y+16=0,得ρ2﹣8ρcosθ﹣10ρsinθ+16=0.∴C1的极坐标方程为ρ2﹣8ρcosθ﹣10ρsinθ+16=0.(2)∵曲线C2的极坐标方程为ρ=2sinθ.。
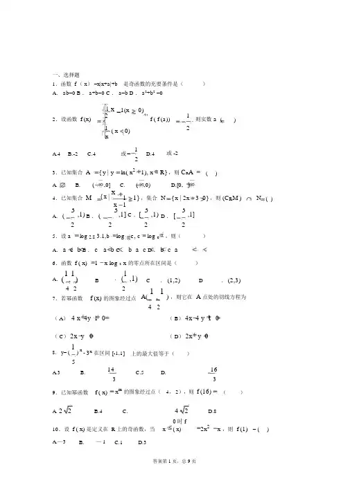
高中数学必修1试题及答案解析
一、选择题
1.设集合{}012345U =,,,,,,{}035M =,
,,{}145N =,,,则()U M C N ⋂=( ) A .{}5 B .{}0,3 C .{}0,2,3,5 D .{}0,1,3,4,5
2、设集合2{650}M x x x =-+=,2{50}N x x x =-=,则M
N 等于 ( ) A.{0} B.{0,5} C.{0,1,5} D .{0,-1,-5}
3、计算:9823log log ⋅= ( )
A 12
B 10
C 8
D 6
4、函数2(01)x y a a a =+>≠且图象一定过点 ( )
A (0,1)
B (0,3)
C (1,0)
D (3,0)
5、“龟兔赛跑”讲述了这样的故事:领先的兔子看着慢慢爬行的乌龟,骄傲起来,睡了一觉,当它醒来时,发现乌龟快到终点了,于是急忙追赶,但为时已晚,乌龟还是先到达了终点…用S 1、S 2分别表示乌龟和兔子所行的路程,t 为时间,则与故事情节相吻合是 ( )
6、函数12
log y x =的定义域是( )
A {x |x >0}
B {x |x ≥1}
C {x |x ≤1}
D {x |0<x ≤1}
7、把函数x
1y -=的图象向左平移1个单位,再向上平移2个单位后,所得函数的解析式应为 ( )
A 1x 3x 2y --=
B 1x 1x 2y ---=
C 1x 1x 2y ++=
D 1
x 3x 2y ++-= 8、设x x e 1e )x (g 1x 1x lg )x (f +=-+=,,则 ( ) A f(x)与g(x)都是奇函数 B f(x)是奇函数,g(x)是偶函数
C f(x)与g(x)都是偶函数
D f(x)是偶函数,g(x)是奇函数
9、使得函数2x 2
1x ln )x (f -+=有零点的一个区间是 ( ) A (0,1) B (1,2) C (2,3) D (3,4)
10、若0.52a =,πlog 3b =,2log 0.5c
=,则( ) A a b c >>
B b a c >>
C c a b >>
D b c a >> 二、填空题 11、函数5()2log (3)f x x =++在区间[-2,2]上的值域是______
12、计算:2391- ⎪⎭⎫ ⎝⎛+3
2
64=______ 13、函数212
log (45)y x x =--的递减区间为______
14、函数1
22x )x (f x -+=的定义域是______ 15.若一次函数b ax x f +=)(有一个零点2,那么函数ax bx x g -=2)(的零点是 .
三、解答题
16. 计算 5log 333
3322log 2log log 859
-+-
17、已知函数⎪⎩
⎪⎨⎧≥<<--≤+=)2(2)21()1(2)(2x x x x x x x f
。
(1)求)4(-f 、)3(f 、[(2)]f f -的值;
(2)若10)(=a f ,求a 的值.
19、已知函数()lg(2),()lg(2),()()().f x x g x x h x f x g x =+=-=+设
(1)求函数()h x 的定义域
(2)判断函数()
h x的奇偶性,并说明理由.
20、已知函数()f x =1
515+-x x 。
(1)写出()f x 的定义域;
(2)判断()f x 的奇偶性;
21.某租赁公司拥有汽车100辆,当每辆车的月租金为3000元时,可全部租出。
当每辆车的月租金每增加50元时,未租出的车将会增加一辆。
租出的车每辆每月需要维护费150元,未租出的车每辆每月需要维护费50元。
(1)当每辆车的月租金定为3600元时,能租出多少辆车?
(2)当每辆车的月租金定为多少元时,租赁公司的月收益最大?最大月收益是多少?
答案
1-5:BCDBB 6-10:DCBCA
11:[2,3] 12:43 13:(5,)+∞ 14:(,2]-∞ 15 :2
1,0- 16:5log 3333332log 2log 329)log 25-
+-解:原试=(-log =33332log 2log 23)3log 23-
+-(5-2log =333log 23log 23-+-+2=-1
17、解:(1)(4)f -=-2,)3(f =6,[(2)]f f -=(0)0f =
(2)当a ≤-1时,a +2=10,得:a =8,不符合;
当-1<a <2时,a 2=10,得:a =10±,不符合;
a ≥2时,2a =10,得a =5, 所以,a =5
18、解:(1)()()()lg(2)lg(2)h x f x g x x x =+=++-
由 20()20
x f x x +>⎧=⎨->⎩ 得22x -<< 所以,()h x 的定义域是(-2,2) ()f x 的定义域关于原点对称
()()()lg(2)lg(2)()()()h x f x g x x x g x f x h x -=-+-=-++=+=()h x ∴为偶函数
19、解:(1)R (2)()f x -=1515+---x x =x x 5151+-=-1
515+-x x =()f x -, 故()f x 为奇函数。
(3)()f x =15215+-+x x =1-152+x , 因为x 5>0,所以,x 5+1>1,即0<1
52+x <2,
即-2<-
152+x <0,即-1<1-1
52+x <1 所以,()f x 的值域为(-1,1)。
20.解:(1)租金增加了600元,所以未出租的车有12辆,一共出租了88辆。
(2)设每辆车的月租金为x 元,(x ≥3000),租赁公司的月收益为y 元。
则:22300030003000(100)50(100)150505050116221000(4050)370505050x x x y x x x x ---=-
-⨯--⨯=-+-=--+ max 4050,30705x y ==当时
bx ax y +=∴2的顶点横坐标的取值范围是)0,2
1(-。