2019华中师范大学公共管理学院硕士研究生拟录取名单
- 格式:docx
- 大小:34.79 KB
- 文档页数:7
019信息管理学院袁芹105119119304833095136农业工程与信息技术00不区分研究方向全日制非定向37377.2775.67 019信息管理学院张文林105119119304834095136农业工程与信息技术00不区分研究方向全日制非定向36077.0374.01 019信息管理学院张颖105119119304841095136农业工程与信息技术00不区分研究方向全日制非定向34986.5376.49 019信息管理学院刘严冰105119119304847095136农业工程与信息技术00不区分研究方向全日制非定向37782.1278.09 019信息管理学院黄徐麟105119119304852095136农业工程与信息技术00不区分研究方向全日制非定向36174.7173.2 019信息管理学院朱杰105119119413607095136农业工程与信息技术00不区分研究方向全日制非定向36576.4874.39 019信息管理学院张姣105119119413608095136农业工程与信息技术00不区分研究方向全日制非定向37786.379.76 019信息管理学院郑仕晟105119119413609095136农业工程与信息技术00不区分研究方向全日制非定向35676.1873.19 019信息管理学院何维105119119413612095136农业工程与信息技术00不区分研究方向全日制非定向37885.5779.59 019信息管理学院杜维新105119119413613095136农业工程与信息技术00不区分研究方向全日制非定向34774.3671.38 019信息管理学院李元璋104879000101611120100管理科学与工程00不区分研究方向全日制非定向39182.7381.82 019信息管理学院张璐105119119304853120100管理科学与工程00不区分研究方向全日制非定向39977.3978.84 019信息管理学院彭雪莹105119119304864120100管理科学与工程00不区分研究方向全日制非定向36575.2573.9 019信息管理学院张倍思105119119304868120100管理科学与工程00不区分研究方向全日制非定向37674.775 019信息管理学院童科博105119119304871120100管理科学与工程00不区分研究方向全日制非定向35083.6575.46 019信息管理学院许小庆105119119304874120100管理科学与工程00不区分研究方向全日制非定向41481.9182.44 019信息管理学院刘旭105119119304899120100管理科学与工程00不区分研究方向全日制非定向36876.5974.8 019信息管理学院谭琳洁105119119304900120100管理科学与工程00不区分研究方向全日制非定向38283.5379.25 019信息管理学院姚月娇105119119304903120100管理科学与工程00不区分研究方向全日制非定向35188.1477.38 019信息管理学院杜娇丹105119119413615120100管理科学与工程00不区分研究方向全日制非定向37376.2975.28 019信息管理学院高晓娜105119119413617120100管理科学与工程00不区分研究方向全日制非定向37477.6575.94 019信息管理学院汤成105119119413622120100管理科学与工程00不区分研究方向全日制非定向37175.7674.82 019信息管理学院姜元培105119119413635120100管理科学与工程00不区分研究方向全日制非定向36182.0176.12 019信息管理学院李冰洁105119119413642120100管理科学与工程00不区分研究方向全日制非定向36475.9174.04 019信息管理学院张流源105119119413649120100管理科学与工程00不区分研究方向全日制非定向39379.0378.77 019信息管理学院董景丽105119119413654120100管理科学与工程00不区分研究方向全日制非定向37374.8974.72 019信息管理学院肖玲105119119413661120100管理科学与工程00不区分研究方向全日制非定向39274.4476.82 019信息管理学院刘曜嘉105339370110299120100管理科学与工程00不区分研究方向全日制非定向40377.5878.18 019信息管理学院朱申俊105339420410361120100管理科学与工程00不区分研究方向全日制非定向39078.8378.66 019信息管理学院刘世颖102699157050002120500图书情报与档案管理01图书馆学全日制非定向36875.174.8 019信息管理学院林晓晴102849211417612120500图书情报与档案管理01图书馆学全日制非定向36574.8774.5 019信息管理学院余俊橙102869420816666120500图书情报与档案管理01图书馆学全日制非定向36883.3881.42 019信息管理学院张小雨105119119304911120500图书情报与档案管理01图书馆学全日制非定向39086.0481.22 019信息管理学院胡皖莹105119119304913120500图书情报与档案管理01图书馆学全日制非定向36686.3278.45 019信息管理学院于果105119119304915120500图书情报与档案管理01图书馆学全日制非定向36485.6577.94 019信息管理学院从光丽105119119413682120500图书情报与档案管理01图书馆学全日制非定向36881.176.59 019信息管理学院李金玲105119119413691120500图书情报与档案管理01图书馆学全日制非定向37783.9878.83 019信息管理学院卓雯斐105119119413692120500图书情报与档案管理01图书馆学全日制非定向36683.6777.39 019信息管理学院明振鑫105119119304924120500图书情报与档案管理02情报学全日制非定向38279.477.6 019信息管理学院陈晓华105119119304925120500图书情报与档案管理02情报学全日制非定向38284.5479.66019信息管理学院弓越105119119304934120500图书情报与档案管理02情报学全日制非定向40380.7280.65 019信息管理学院邵葹甜105119119304936120500图书情报与档案管理02情报学全日制非定向36389.4479.34 019信息管理学院宋若曦105119119304938120500图书情报与档案管理02情报学全日制非定向38387.5880.99 019信息管理学院何树文105119119304941120500图书情报与档案管理02情报学全日制非定向37987.0680.3 019信息管理学院徐彤105119119304946120500图书情报与档案管理02情报学全日制非定向40687.5983.76019信息管理学院王斌清105119119304949120500图书情报与档案管理02情报学全日制非定向29374.6465.02退役大学生士兵计划019信息管理学院代沁泉105119119304954120500图书情报与档案管理02情报学全日制非定向40674.7978.64 019信息管理学院刘星月105119119304959120500图书情报与档案管理02情报学全日制非定向39373.9976.76 019信息管理学院任卫强105119119304964120500图书情报与档案管理02情报学全日制非定向42785.7485.54 019信息管理学院李婷105119119304967120500图书情报与档案管理02情报学全日制非定向38577.6177.24 019信息管理学院龙存钰105119119304969120500图书情报与档案管理02情报学全日制非定向38775.2476.54 019信息管理学院陈健瑶105119119304972120500图书情报与档案管理02情报学全日制非定向39879.9579.74 019信息管理学院余佳琪105119119304973120500图书情报与档案管理02情报学全日制非定向38580.1978.28 019信息管理学院郭诚105119119304974120500图书情报与档案管理02情报学全日制非定向38781.6679.1 019信息管理学院邹晶晶105119119304977120500图书情报与档案管理02情报学全日制非定向39670.775.8 019信息管理学院罗小路105119119304987120500图书情报与档案管理02情报学全日制非定向37387.679.8 019信息管理学院李映萱105119119413700120500图书情报与档案管理02情报学全日制非定向36681.9876.71 019信息管理学院彭媛105119119413704120500图书情报与档案管理02情报学全日制非定向39881.0580.18 019信息管理学院平晓亚105119119413706120500图书情报与档案管理02情报学全日制非定向39981.9980.68 019信息管理学院杜瑾105119119413712120500图书情报与档案管理02情报学全日制非定向37982.0878.31 019信息管理学院王珂莹105119119413713120500图书情报与档案管理02情报学全日制非定向38481.7878.79 019信息管理学院刘继月105119119413727120500图书情报与档案管理02情报学全日制非定向38083.2178.88 019信息管理学院顾佳云105119119413733120500图书情报与档案管理02情报学全日制非定向37477.7475.98019信息管理学院何烘105119119413740120500图书情报与档案管理02情报学全日制非定向31074.0566.82退役大学生士兵计划019信息管理学院卢瑞娜105119119413758120500图书情报与档案管理02情报学全日制非定向37678.7876.63 019信息管理学院崔丽丽105119119413770120500图书情报与档案管理02情报学全日制非定向38779.4678.22 019信息管理学院易亚105119119413771120500图书情报与档案管理02情报学全日制非定向40682.4281.69 019信息管理学院沈瑞玲105119119413782120500图书情报与档案管理02情报学全日制非定向37581.0477.42 019信息管理学院刘明105119119413795120500图书情报与档案管理02情报学全日制非定向38684.7380.21 019信息管理学院何俊雨105119119413796120500图书情报与档案管理02情报学全日制非定向38887.1281.41 019信息管理学院王秋博105119119413799120500图书情报与档案管理02情报学全日制非定向38681.979.08 019信息管理学院杨慧娟105119119413806120500图书情报与档案管理02情报学全日制非定向38880.9878.95 019信息管理学院罗思静105119119304989120500图书情报与档案管理03档案学全日制非定向36883.4177.52 019信息管理学院李昕然105119119413821120500图书情报与档案管理03档案学全日制非定向40173.377.44 019信息管理学院何欣欣105119119413827120500图书情报与档案管理03档案学全日制非定向35978.9874.67 019信息管理学院严舞月105119119413832120500图书情报与档案管理03档案学全日制非定向37179.9476.5019信息管理学院凯吴沙·艾斯卡尔100029517407740125500图书情报00不区分研究方向全日制非定向22979.8879.17019信息管理学院谢蓓100029517420530125500图书情报00不区分研究方向全日制非定向22874.3974.71 019信息管理学院李晓岗102849251408431125500图书情报00不区分研究方向全日制非定向23172.1773.14 019信息管理学院李晓静104869104003561125500图书情报00不区分研究方向全日制非定向22378.477.59 019信息管理学院潘港辉104869104012144125500图书情报00不区分研究方向全日制非定向24073.9775.18 019信息管理学院董文慧104869104012170125500图书情报00不区分研究方向全日制非定向22875.9975.99 019信息管理学院刘亚楠104869104012315125500图书情报00不区分研究方向全日制非定向2277575.13 019信息管理学院高娟105119519304997125500图书情报00不区分研究方向全日制非定向23672.1876.07 019信息管理学院徐言瑾105119519304998125500图书情报00不区分研究方向全日制非定向23178.5477.62 019信息管理学院赵艳105119519305009125500图书情报00不区分研究方向全日制非定向22672.0674.02019信息管理学院汪策105119519305010125500图书情报00不区分研究方向全日制非定向18472.965.96退役大学生士兵计划019信息管理学院任芷芸105119519305034125500图书情报00不区分研究方向全日制非定向24775.579.6 019信息管理学院江晨雨105119519305047125500图书情报00不区分研究方向全日制非定向23580.0679.02 019信息管理学院宗莹萍105119519305048125500图书情报00不区分研究方向全日制非定向24881.4482.18 019信息管理学院姚韩105119519305065125500图书情报00不区分研究方向全日制非定向25372.6679.66 019信息管理学院孙丽洁105119519305067125500图书情报00不区分研究方向全日制非定向23573.6476.46 019信息管理学院蒋瑞丽105119519305074125500图书情报00不区分研究方向全日制非定向24280.280.48 019信息管理学院余非凡105119519305076125500图书情报00不区分研究方向全日制非定向23579.4678.78 019信息管理学院雷黄圆105119519305077125500图书情报00不区分研究方向全日制非定向24376.1879.07 019信息管理学院袁芷洁105119519305079125500图书情报00不区分研究方向全日制非定向22972.9674.98 019信息管理学院韩梦晨105119519305081125500图书情报00不区分研究方向全日制非定向23078.3677.34 019信息管理学院赵昕彤105119519413839125500图书情报00不区分研究方向全日制非定向24277.9479.58 019信息管理学院贾超105119519413844125500图书情报00不区分研究方向全日制非定向23376.3677.14 019信息管理学院白庆宇105119519413845125500图书情报00不区分研究方向全日制非定向24374.8678.54 019信息管理学院苗苑105119519413846125500图书情报00不区分研究方向全日制非定向22782.2278.29 019信息管理学院王湘元105119519413864125500图书情报00不区分研究方向全日制非定向2407176.4 019信息管理学院叶诗颖105119519413868125500图书情报00不区分研究方向全日制非定向24376.179.04 019信息管理学院罗伟成105119519413873125500图书情报00不区分研究方向全日制非定向23076.1676.46 019信息管理学院邱玉群105119519413902125500图书情报00不区分研究方向全日制非定向22876.276.08 019信息管理学院朱瑞105119519413903125500图书情报00不区分研究方向全日制非定向23575.8277.33 019信息管理学院李婧雯105119519413908125500图书情报00不区分研究方向全日制非定向22475.975.16 019信息管理学院马新宇105119519413913125500图书情报00不区分研究方向全日制非定向23774.1477.06 019信息管理学院杨苗苗105119519413920125500图书情报00不区分研究方向全日制非定向23870.4675.78 019信息管理学院齐涵涵105119519413925125500图书情报00不区分研究方向全日制非定向2237373.8019信息管理学院陈丽娇105119519413934125500图书情报00不区分研究方向全日制定向23275.0676.42少数民族高层次骨干人才计划019信息管理学院蒋青莹105119519413938125500图书情报00不区分研究方向全日制非定向20772.0870.23退役大学生士兵计划019信息管理学院雷万禄105119519413939125500图书情报00不区分研究方向全日制非定向23276.9677.18019信息管理学院罗慧玉105119519413955125500图书情报00不区分研究方向全日制非定向22875.7675.9 019信息管理学院沈樱洋105119519413958125500图书情报00不区分研究方向全日制非定向2377979 019信息管理学院金鑫105119519413967125500图书情报00不区分研究方向全日制非定向22673.674.64 019信息管理学院李锐105119519413968125500图书情报00不区分研究方向全日制非定向24579.3680.74 019信息管理学院杜紫娟105119519413970125500图书情报00不区分研究方向全日制非定向23877.4878.59 019信息管理学院马晓阳105119519413975125500图书情报00不区分研究方向全日制非定向22477.9675.98019信息管理学院古丽布斯坦·吐尔洪105119519413984125500图书情报00不区分研究方向全日制定向19975.0869.83少数民族高层次骨干人才计划019信息管理学院孟璇105119519413985125500图书情报00不区分研究方向全日制非定向23382.2879.51。
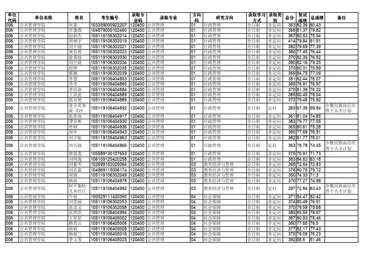
年度报名号姓名考生编号性别报考专业代码报考专业名称专项计划政治理论成绩外国语成绩业务课一成绩业务课二成绩总分2015 420795502 张婧君105115106431115 女120401 行政管理少数民族骨干计划65 57 105 107 3342015 420797336 谭艳红105115106431075 女120401 行政管理64 58 120 121 363 2015 153199386 李彩菊105115106443162 女120401 行政管理69 59 114 121 363 2015 420794394 张钰翊105115106431143 女120401 行政管理64 57 120 123 364 2015 460398386 钟慧颖105115106443261 女120401 行政管理64 59 126 115 364 2015 420798257 姜琳105115106431077 女120401 行政管理65 54 124 125 368 2015 420798697 段亚恒105115106431076 女120401 行政管理59 58 138 113 368 2015 521198341 乐梦婷105115106443266 女120401 行政管理72 58 122 117 369 2015 420796336 彭若冰105115106431124 女120401 行政管理69 71 123 107 370 2015 420799246 代超前105115106431087 男120401 行政管理59 53 125 136 373 2015 420799474 劳钰琳105115106431144 女120401 行政管理70 58 122 123 373 2015 371194177 宋春燕105115106443194 女120401 行政管理72 55 123 126 376 2015 412998954 赵雅静105115106443223 女120401 行政管理62 58 136 120 3762015 420796176 王锐105115106431123 女120401 行政管理少数民族骨干计划70 55 125 128 3782015 420799391 李媛105115106431091 女120401 行政管理68 61 134 115 378 2015 612294733 郭佳兴105115106443269 女120401 行政管理72 62 122 122 378 2015 420799493 胡艺105115106431131 女120401 行政管理71 72 114 121 378 2015 421194423 陈曦105115106443230 女120401 行政管理55 54 136 135 380 2015 340198749 卜方宇105115106443171 男120401 行政管理72 53 125 131 381 2015 420799603 胡红霞105115106431138 女120401 行政管理69 62 118 133 382 2015 421197697 吴萌105115106443232 女120401 行政管理69 72 126 115 382 2015 500798731 姚建廷105115106443262 男120401 行政管理71 57 128 128 384 2015 420799955 蒋栩105115106431111 女120401 行政管理64 57 125 138 384 2015 431599928 肖娅琼105115106443254 女120401 行政管理66 72 121 126 385 2015 420798685 杜祎105115106431080 女120401 行政管理70 61 136 121 388 2015 420798336 宋辰麟105115106431099 女120401 行政管理67 64 124 133 3882015 420795946 杨娥105115106431116 女120401 行政管理64 60 128 137 389 2015 420799768 万专105115106431139 男120401 行政管理69 65 130 125 389 2015 420796805 张涵105115106431096 男120401 行政管理62 56 138 135 391 2015 420799422 胡丹105115106431097 女120401 行政管理70 67 123 131 391 2015 420799693 汪榆淇105115106431132 男120401 行政管理70 54 135 133 392 2015 330187365 俞航105115106443169 男120401 行政管理68 55 131 138 392 2015 420797851 王竹君105115106431065 女120401 行政管理70 69 122 131 392 2015 420798346 余成龙105115106431095 男120401 行政管理69 63 131 133 396 2015 350399752 徐云105115106443181 女120401 行政管理70 67 121 139 397 2015 420796408 李颖105115106431118 女120401 行政管理69 67 133 129 398 2015 420799071 戴琰黎105115106431084 女120401 行政管理74 62 135 135 406 2015 420798277 胡冰105115106431073 女120401 行政管理71 71 136 128 4062015 410497464 周玉琰105115106443273 女120402 社会医学与卫生事业管理52 63 114 126 3552015 420796931 何丹105115106431150 女120403 教育经济与管理63 58 109 121 351 2015 421698141 卢娜105115106443280 女120403 教育经济与管理65 47 110 130 352 2015 420796675 王晓丹105115106431158 女120403 教育经济与管理62 49 118 129 358 2015 420799092 魏妮105115106431151 女120403 教育经济与管理58 62 121 125 366 2015 420797223 龚琪105115106431153 女120403 教育经济与管理67 48 130 124 369 2015 411599696 王新娇105115106443278 女120403 教育经济与管理64 52 119 135 370 2015 420797384 姜婵105115106431147 女120403 教育经济与管理63 55 124 133 375 2015 420797556 蒋程婧105115106431148 女120403 教育经济与管理56 58 132 138 384 2015 420797852 徐坦105115106431146 女120403 教育经济与管理76 59 131 139 405 2015 420799062 周源105115106431152 女120403 教育经济与管理65 66 135 139 4052015 620798541 杨先辉105115106443300 男120404 社会保障少数民族骨干计划58 40 97 102 2972015 411998260 周月105115106443297 女120404 社会保障62 55 112 113 342 2015 360195371 何文婧105115106443289 女120404 社会保障69 54 120 109 352 2015 341299958 李慧慧105115106443287 女120404 社会保障68 52 124 111 355 2015 341399988 刘秀秀105115106443288 女120404 社会保障67 50 112 127 3562015 340599919 李洁105115106443285 女120404 社会保障68 57 109 135 369 2015 420796270 陈鹏欢105115106431167 男120404 社会保障74 63 115 123 375 2015 340599930 王菊105115106443286 女120404 社会保障71 59 121 128 379 2015 420797407 邓张恩105115106431163 男120404 社会保障75 57 121 132 385 2015 140199103 徐倩文105115106443282 女120404 社会保障70 71 121 131 393 2015 411797401 陈兰105115106443304 女120405 土地资源管理67 54 108 121 350 2015 412396618 詹翅105115106443306 男120405 土地资源管理63 48 112 128 351 2015 420796889 陈铭105115106431172 女120405 土地资源管理59 50 117 125 351 2015 120698032 孙士伟105115106443302 男120405 土地资源管理70 46 120 130 366 2015 420797323 赵云飞105115106431169 男120405 土地资源管理73 56 114 130 373 2015 421194921 姜雨105115106443307 女120405 土地资源管理66 59 122 128 375 2015 370394271 魏然105115106443303 男120405 土地资源管理67 46 130 139 382 2015 420799400 简芳园105115106431173 女120405 土地资源管理76 67 133 126 402。
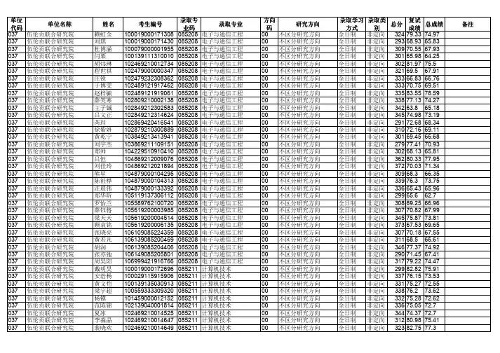
华中师范大学管理学院2012年专业型硕士研究生拟录取名单2012-5-23 11:55:43 华中师范大学考研共济网·[考研一站式]华中师范大学硕士招生相关文章索引·[考研一站式]华中师范大学硕士专业课试题、[订购]考研参考书、专业目录序号院系名称考生编号姓名录取专业代码录取专业外语综合联考总分复试成绩最终成绩奖学金类别报考专业1 管理学院105612500011121杨柳125200公共管理硕士66 1472138578.0D2 管理学院105112506432291周丰125200公共管理硕士67 1472148075.67D3 管理学院105112506432163袁铭虹125200公共管理硕士59 145247973.5D4 管理学院105112506432256张文瑾125200公共管理硕士67 1251928373.5D5 管理学院105112506432024冯颖超125200公共管理硕士58 1361948273.33D6 管理学院105612500011198梁嘉125200公共管理硕士54 14628073.33D7 管理学院105112506432160徐婕125200公共管理硕士54 1341888171.83D8 管理学院105112506432214罗凯125200公共管理硕士59 1201798471.83D9 管理学院105112506432060张焱125200公共管理硕士66 1091758571.67D1 0 管理学院105122210462442杨林华125200公共管理硕士55 125188371.5D1 1 管理学院105112506432058彭琦125200公共管理硕士61 1151768471.33D1 2 管理学院105112506432195陈玥125200公共管理硕士79 1051848171.17D1 3 管理学院105112506432179张义平125200公共管理硕士50 1431937871.17D1 4 管理学院105112506432184袁超125200公共管理硕士53 1421957771.0D1 5 管理学院105112506432190刘耕砚125200公共管理硕士66 1111778371.0D1 6 管理学院105112506432196蔡俊125200公共管理硕士59 1151748471.0D1 7 管理学院105112506432168梅晓枫125200公共管理硕士55 1181738470.83D1 8 管理学院105112506432262白玉辉125200公共管理硕士68 1101788270.67D1 9 管理学院105372430700861陈梅125200公共管理硕士67 1141818170.67D2 0 管理学院105112506432194李菁125200公共管理硕士65 1021678570.33D2 1 管理学院105112506432114肖贺文125200公共管理硕士72 1121847970.17D2 2 管理学院105112506432049程炜125200公共管理硕士51 130 818070.17D2 3 管理学院105112506432162倪芸芸125200公共管理硕士59 1371967570.17D2 4 管理学院105112506432266董真125200公共管理硕士52 1371897770.0D2 5 管理学院105112506432077张娜125200公共管理硕士49 1341837970.0D2 6 管理学院105112506432165何庆125200公共管理硕士63 1221857869.83D2 7 管理学院105112506432287万鸿湄125200公共管理硕士65 1141798069.83D2 8 管理学院105112506432047李美华125200公共管理硕士56 1191758169.67D2 9 管理学院105112506432152周铨125200公共管理硕士67 113187969.5D3 0 管理学院105122210462075肖丽娟125200公共管理硕士58 1291877669.17D3 1 管理学院102132070250804姜冰125200公共管理硕士50 1251758069.17D3 2 管理学院102842250605382董全琼125200公共管理硕士57 1021598569.0D3 3 管理学院102842250605521宋鸽125200公共管理硕士46 1191658369.0D3 4 管理学院105112506432173周茜125200公共管理硕士48 116 648368.83D3 5 管理学院105582241330815曾德连125200公共管理硕士61 1061678268.83D3 6 管理学院105112506432021付璇125200公共管理硕士61 1071688168.5D3 7 管理学院105112506432075杨艳彬125200公共管理硕士51 1341857568.33D3 8 管理学院104862115006223刘晶125200公共管理硕士60 1011618368.33D3 9 管理学院105112506432174郭胜125200公共管理硕士58 1231817668.17D4 0 管理学院105112506432113余晴霞125200公共管理硕士42 1301727968.17D4 1 管理学院105112506432009周净125200公共管理硕士63 1231867468.0D4 2 管理学院105112506432006李琰125200公共管理硕士60 1131737867.83D4 3 管理学院105112506432156毛承125200公共管理硕士67 1001678067.83D4 4 管理学院105112506432263马红梅125200公共管理硕士58 971558467.83D4 5 管理学院100362168003978付鹏125200公共管理硕士59 1141737867.83D4 6 管理学院105112506432273林超125200公共管理硕士55 123 787667.67D4 7 管理学院105112506432116张陆125200公共管理硕士44 1071518567.67D4 8 管理学院105112506432230吴淑游125200公共管理硕士48 1201687967.5D4 9 管理学院105112506432048郑重125200公共管理硕士65 941598267.5D5 0 管理学院105112506432240刘群125200公共管理硕士47 1161638067.17D5 1 管理学院105112506432101陈逸凡125200公共管理硕士47 1151628067.0D5 2 管理学院105372430700869刘鹿容125200公共管理硕士65 1061717767.0D5 3 管理学院104862115006403张莹莹125200公共管理硕士61 1071687867.0D5 4 管理学院105112506432216李蔚琼125200公共管理硕士51 1131647966.83D5 5 管理学院105112506432339韩彬125200公共管理硕士58 1031618066.83D5 6 管理学院105112506432274潘翠芳125200公共管理硕士64 941588166.83D5 7 管理学院103842250520631彭湘郴125200公共管理硕士66 891558266.83D5 8 管理学院105112506432185徐钰樑125200公共管理硕士52 991518366.67D5 9 管理学院103842250520656赖丹花125200公共管理硕士46 1051518366.67D6 0 管理学院105112506432036姚云菁125200公共管理硕士50 1121627966.5D6 1 管理学院105112506432132俞文瑾125200公共管理硕士65 971627966.5D6 2 管理学院105902345602747王勇军125200公共管理硕士43 1101538266.5D6 3 管理学院105112506432289叶慧华125200公共管理硕士47 113167966.17D6 4 管理学院105112506432169赵磊125200公共管理硕士58 981568066.0D6 5 管理学院105122210461963彭丽萍125200公共管理硕士70 1131837166.0D6 6 管理学院100032059016860刘华洋125200公共管理硕士58 1271857065.83D6 7 管理学院105202084503488张晓迪125200公共管理硕士51 1401916865.83D6 8 管理学院104862115006395刘晓登125200公共管理硕士50 1071577965.67D6 9 管理学院105112506432244陈其林125200公共管理硕士58 951538065.5D7 0 管理学院105582241330157刘欣125200公共管理硕士53 1301837065.5D7 1 管理学院105372430700868魏娟125200公共管理硕士63 991627765.5D7 2 管理学院105112506432005朱向红125200公共管理硕士63 951587865.33D7 3 管理学院104862115006356赖子亮125200公共管理硕士65 931587865.33D7 4 管理学院105112506432105朱敏125200公共管理硕士43 1141577865.17D7 5 管理学院105112506432035李敬东125200公共管理硕士51 1141657565.0D7 6 管理学院105112506432092黄俊125200公共管理硕士58 941527964.83D7 7 管理学院105112506432301包雪125200公共管理硕士48 112167664.67D7 8 管理学院105112506432269沈曹凯125200公共管理硕士41 1131547864.67D7 9 管理学院105112506432120张超125200公共管理硕士47 1071547864.67D8 0 管理学院105112506432299许鹏125200公共管理硕士50 1041547864.67D8 1 管理学院103842250520647贺汀兰125200公共管理硕士47 1071547864.67D8 2 管理学院105112506432205金高惠125200公共管理硕士55 1091647464.33D8 3 管理学院105112506432298丁昊125200公共管理硕士59 1041637464.17D8 4 管理学院105112506432034王玥125200公共管理硕士67 961637464.17D8 5 管理学院100562000195424裴晓颖125200公共管理硕士63 991627464.0D8 6 管理学院105612500011479王一玲125200公共管理硕士65 961617463.83D8 7 管理学院105112506432233张衡125200公共管理硕士49 111167463.67D8 8 管理学院105112506431999李斌125200公共管理硕士52 1041567463.0D8 9 管理学院105112506432257贺豪125200公共管理硕士63 1031667062.67D9 0 管理学院105202094504457杨少劼125200公共管理硕士53 1051587262.33D9 1 管理学院105112506432209李静125200公共管理硕士61 89157462.0D9 2 管理学院106512125300507张钰125200公共管理硕士58 971557261.83D9 3 管理学院105202094511492赵秀125200公共管理硕士49 1091587061.33D9 4 管理学院105112506432004邱彬125200公共管理硕士58 981567061.0D9 5 管理学院105112506432037汤华满125200公共管理硕士53 1011547060.67D9 6 管理学院105112506432227周俊芳125200公共管理硕士66 911576860.17D。
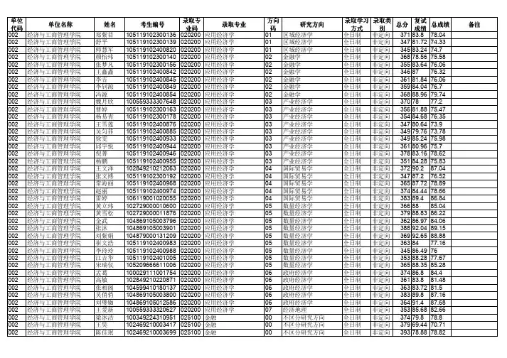
002|公共管理学院(盖章)制表日期:2019-04-18序号考生编号姓名考试方式志愿类别专项计划初试复试最终是否拟录取专业学习方式录取类别备注成绩成绩成绩拟录取1 105749000008379 罗莉莉全国统考第一志愿无专项计划348 80.3 74.95 是(010102)中国哲学全日制非定向就业2 105589113106990 胡婷全国统考校外调剂无专项计划375 87.8 81.4 是(010102)中国哲学全日制非定向就业3 101839211118823 吕文刚全国统考校外调剂无专项计划351 78.4 74.3 是(010102)中国哲学全日制非定向就业4 105749000008299 白雁全国统考第一志愿无专项计划411 91.3 86.75 是(010103)外国哲学全日制非定向就业5 105749000008371 荣思博全国统考第一志愿无专项计划396 90.3 84.75 是(010103)外国哲学全日制非定向就业6 105749000008278 许梦萍全国统考第一志愿无专项计划407 86.3 83.85 是(010103)外国哲学全日制非定向就业7 105749000008275 陈家铭全国统考第一志愿无专项计划382 90.5 83.45 是(010103)外国哲学全日制非定向就业8 105749000008302 张菊萍全国统考第一志愿无专项计划390 86.6 82.3 是(010103)外国哲学全日制非定向就业9 105749000008268 滕景怡全国统考第一志愿无专项计划377 89.0 82.2 是(010103)外国哲学全日制非定向就业10 105749000008307 吴贵佳全国统考第一志愿无专项计划348 80.4 75.0 否(010103)外国哲学全日制候补11 105749000008274 韩光银全国统考第一志愿无专项计划354 77.5 74.15 否(010103)外国哲学全日制12 105749000008312 梁晓全国统考第一志愿无专项计划355 75.9 73.45 否(010103)外国哲学全日制13 105749000008283 韩滨宇全国统考第一志愿无专项计划393 91.07 84.84 是(010108)科学技术哲学全日制非定向就业14 105749000008354 王铎颖全国统考第一志愿无专项计划393 86.36 82.48 是(010108)科学技术哲学全日制非定向就业15 105749000008313 梁铭全国统考第一志愿无专项计划372 87.72 81.06 是(010108)科学技术哲学全日制非定向就业16 105749000008279 李思敏全国统考第一志愿无专项计划348 85.0 77.3 是(010108)科学技术哲学全日制非定向就业17 105749000008358 谭欢欢全国统考第一志愿无专项计划324 86.57 75.69 是(010108)科学技术哲学全日制非定向就业18 105749000008361 林锦柔全国统考第一志愿无专项计划334 78.57 72.69 是(010108)科学技术哲学全日制非定向就业19 105749000008331 陈嘉慧全国统考第一志愿无专项计划298 85.5 72.55 是(010108)科学技术哲学全日制非定向就业20 105749000013078 钟承彬全国统考校内调剂无专项计划375 90.72 82.86 是(010108)科学技术哲学全日制非定向就业21 105589113107185 张首园全国统考校外调剂无专项计划384 85.5 81.15 是(010108)科学技术哲学全日制非定向就业22 105599210016207 张嘉仪全国统考校外调剂无专项计划353 89.43 80.02 是(010108)科学技术哲学全日制非定向就业23 105589113107161 张松全国统考校外调剂无专项计划360 86.57 79.29 是(010108)科学技术哲学全日制非定向就业24 105589310108925 雷家娣全国统考校外调剂无专项计划332 90.15 78.28 是(010108)科学技术哲学全日制非定向就业25 105589113107187 叶国豪全国统考校外调剂无专项计划396 77.29 78.25 是(010108)科学技术哲学全日制非定向就业26 100559333305924 魏峥全国统考校外调剂无专项计划327 90.79 78.1 是(010108)科学技术哲学全日制非定向就业27 105589130107684 李亚美全国统考校外调剂无专项计划387 77.93 77.67 否(010108)科学技术哲学全日制候补28 100309020164187 杨永赞全国统考校外调剂无专项计划334 83.5 75.15 否(010108)科学技术哲学全日制候补29 100029110022173 梁金烨全国统考校外调剂无专项计划352 0.0 35.2 否(010108)科学技术哲学全日制30 105749000012883 张洁铃全国统考第一志愿无专项计划368 88.6 81.1 是(045101)教育管理非全日制定向就业002|公共管理学院(盖章)制表日期:2019-04-18序号考生编号姓名考试方式志愿类别专项计划初试复试最终是否拟录取专业学习方式录取类别备注成绩成绩成绩拟录取31 105749000012870 丘小芳全国统考第一志愿无专项计划349 90.3 80.05 是(045101)教育管理非全日制定向就业32 105749000012891 刘文婧全国统考第一志愿无专项计划368 81.7 77.65 是(045101)教育管理非全日制定向就业33 105749000012905 赖奔全国统考第一志愿无专项计划362 79.75 76.08 是(045101)教育管理非全日制定向就业34 105749000012916 俞月英全国统考第一志愿无专项计划340 81.2 74.6 是(045101)教育管理非全日制定向就业35 105749000012912 潘浩珊全国统考第一志愿无专项计划347 78.2 73.8 是(045101)教育管理非全日制定向就业36 105749000012895 唐蔚雯全国统考第一志愿无专项计划325 78.2 71.6 是(045101)教育管理非全日制定向就业37 105339431517651 肖婷全国统考校外调剂无专项计划339 85.1 76.45 是(045101)教育管理非全日制定向就业38 105909876500520 郭楚琼全国统考校外调剂无专项计划325 78.8 71.9 是(045101)教育管理非全日制定向就业39 105909876502371 刘珊全国统考校外调剂无专项计划333 75.9 71.25 是(045101)教育管理非全日制定向就业40 105379360101529 张贵珍全国统考校外调剂无专项计划348 56.4 63.0 否(045101)教育管理非全日制41 105609004200522 王泳茹全国统考校外调剂无专项计划331 56.1 61.15 否(045101)教育管理非全日制42 107089144071737 刘细谦全国统考校外调剂无专项计划377 0.0 37.7 否(045101)教育管理非全日制43 102849211210954 汪萍丽全国统考校外调剂无专项计划346 0.0 34.6 否(045101)教育管理非全日制44 105909876502508 温振辉全国统考校外调剂无专项计划334 0.0 33.4 否(045101)教育管理非全日制45 105749000013385 刘玉青全国统考校内调剂无专项计划329 0.0 32.9 否(045101)教育管理非全日制46 106109040230522 陈兰全国统考校外调剂无专项计划328 0.0 32.8 否(045101)教育管理非全日制47 105749000022101 欧琳清全国统考第一志愿无专项计划350 78.4 74.2 是(045120)职业技术教育全日制非定向就业48 106109030120001 朱雪瑞全国统考校外调剂无专项计划388 85.5 81.55 是(045120)职业技术教育全日制非定向就业49 105339430212208 金杰荣全国统考校外调剂无专项计划380 84.5 80.25 是(045120)职业技术教育全日制非定向就业50 105619200011084 邓桂萍全国统考校外调剂无专项计划393 81.4 80.0 是(045120)职业技术教育全日制非定向就业51 105749000002919 曾玲睿全国统考校内调剂无专项计划358 85.8 78.7 是(045120)职业技术教育全日制非定向就业52 105749000012563 吴大宝全国统考校内调剂无专项计划380 79.5 77.75 是(045120)职业技术教育全日制非定向就业53 105589370110334 蒋慧子全国统考校外调剂无专项计划372 79.9 77.15 是(045120)职业技术教育全日制非定向就业54 106359305062422 杜丹全国统考校外调剂无专项计划381 78.0 77.1 是(045120)职业技术教育全日制非定向就业55 104039040106139 刘淼全国统考校外调剂无专项计划335 87.1 77.05 是(045120)职业技术教育全日制非定向就业56 105749000012571 胡雅平全国统考校内调剂无专项计划363 80.5 76.55 是(045120)职业技术教育全日制非定向就业57 104599410070046 刘行全国统考校外调剂无专项计划332 86.2 76.3 是(045120)职业技术教育全日制非定向就业58 105619200010983 吕慧玲全国统考校外调剂无专项计划374 77.7 76.25 是(045120)职业技术教育全日制非定向就业59 105749000013045 张关红全国统考校内调剂无专项计划359 80.0 75.9 是(045120)职业技术教育全日制非定向就业60 102699115010036 王晓慧全国统考校外调剂无专项计划345 82.2 75.6 是(045120)职业技术教育全日制非定向就业002|公共管理学院(盖章)制表日期:2019-04-18序号考生编号姓名考试方式志愿类别专项计划初试复试最终是否拟录取专业学习方式录取类别备注成绩成绩成绩拟录取61 105749000012939 刘涛全国统考校内调剂无专项计划371 76.6 75.4 是(045120)职业技术教育全日制非定向就业62 105749000012995 刘容全国统考校内调剂无专项计划368 76.9 75.25 是(045120)职业技术教育全日制非定向就业63 105749000012989 王萌阳全国统考校内调剂无专项计划360 78.4 75.2 是(045120)职业技术教育全日制非定向就业64 100529111105167 刘悦全国统考校外调剂无专项计划358 78.7 75.15 是(045120)职业技术教育全日制非定向就业65 105749000012991 黄诺雅全国统考校内调剂无专项计划364 77.1 74.95 是(045120)职业技术教育全日制非定向就业66 105749000013073 李绮琼全国统考校内调剂无专项计划356 78.5 74.85 是(045120)职业技术教育全日制非定向就业67 105749000013909 雷一缘全国统考校内调剂无专项计划346 78.9 74.05 是(045120)职业技术教育全日制非定向就业68 105749000001993 霍苗全国统考校内调剂无专项计划336 80.5 73.85 是(045120)职业技术教育全日制非定向就业69 105749000012977 张雪全国统考校内调剂无专项计划371 71.6 72.9 是(045120)职业技术教育全日制非定向就业70 105749000012984 陈秋瑾全国统考校内调剂无专项计划365 70.1 71.55 是(045120)职业技术教育全日制非定向就业71 105749000012974 曹阳城全国统考校内调剂无专项计划363 70.3 71.45 是(045120)职业技术教育全日制非定向就业72 105749000001679 郭睿全国统考校内调剂无专项计划338 74.5 71.05 是(045120)职业技术教育全日制非定向就业73 106359308099742 斯婷全国统考校外调剂无专项计划388 63.4 70.5 是(045120)职业技术教育全日制非定向就业74 105749000008940 贺阳全国统考校内调剂无专项计划312 70.4 66.4 是(045120)职业技术教育全日制非定向就业75 105749000001409 罗玮全国统考校内调剂无专项计划338 71.0 69.3 否(045120)职业技术教育全日制非定向就业76 105749000013026 吴旭婷全国统考校内调剂无专项计划363 59.8 66.2 否(045120)职业技术教育全日制77 105589260123217 康云轩全国统考校外调剂无专项计划392 0.0 39.2 否(045120)职业技术教育全日制78 106359305063110 黄琦全国统考校外调剂无专项计划378 0.0 37.8 否(045120)职业技术教育全日制79 106359316154506 罗静全国统考校外调剂无专项计划378 0.0 37.8 否(045120)职业技术教育全日制80 105749000013015 王鹏全国统考校内调剂无专项计划376 0.0 37.6 否(045120)职业技术教育全日制81 105589260123146 吴新宇全国统考校外调剂无专项计划371 0.0 37.1 否(045120)职业技术教育全日制82 105749000013012 宋赛男全国统考校内调剂无专项计划370 0.0 37.0 否(045120)职业技术教育全日制83 104869104012089 李卓瑞全国统考校外调剂无专项计划362 0.0 36.2 否(045120)职业技术教育全日制84 105749000013037 郑立信全国统考校内调剂无专项计划345 0.0 34.5 否(045120)职业技术教育全日制非定向就业85 105749105640010 钱丽仪推荐免试非专项计划89.0 是(120401)行政管理全日制非定向86 105749105640011 凌梓华推荐免试非专项计划88.0 是(120401)行政管理全日制非定向87 105749105740012 萧宇雄推荐免试非专项计划87.0 是(120401)行政管理全日制非定向88 105749000012631 聂婧全国统考第一志愿无专项计划395 84.8 81.9 是(120401)行政管理全日制非定向就业89 105749000012614 黄淑芬全国统考第一志愿无专项计划389 84.9 81.35 是(120401)行政管理全日制非定向就业90 105749000012648 曾沁宜全国统考第一志愿无专项计划387 81.5 79.45 是(120401)行政管理全日制非定向就业002|公共管理学院(盖章)制表日期:2019-04-18序号考生编号姓名考试方式志愿类别专项计划初试复试最终是否拟录取专业学习方式录取类别备注成绩成绩成绩拟录取91 105749000012621 黄子豪全国统考第一志愿无专项计划369 79.5 76.65 是(120401)行政管理全日制非定向就业92 105749000012652 潘诗雅全国统考第一志愿退役大学生计345 83.2 76.1 是(120401)行政管理全日制非定向就业93 105749000012582 罗杰全国统考第一志愿退役大学生计316 79.8 71.5 是(120401)行政管理全日制非定向就业94 105749000012562 曹鑫全国统考第一志愿退役大学生计312 76.6 69.5 是(120401)行政管理全日制非定向就业95 105749105640013 陈佳淳推荐免试非专项计划93.6 是(120403)教育经济与管理全日制非定向96 105749105640014 李殷谊推荐免试非专项计划92.0 是(120403)教育经济与管理全日制非定向97 105749000013062 黄子恩全国统考第一志愿无专项计划404 92.7 86.75 是(120403)教育经济与管理全日制非定向就业98 105749000013054 袁启欣全国统考第一志愿无专项计划391 89.7 83.95 是(120403)教育经济与管理全日制非定向就业99 105749000013068 邓文意全国统考第一志愿无专项计划403 86.4 83.5 是(120403)教育经济与管理全日制非定向就业100 105749000013108 伍媛婷全国统考第一志愿无专项计划396 87.1 83.15 是(120403)教育经济与管理全日制非定向就业101 105749000013069 吴悦超全国统考第一志愿无专项计划405 84.8 82.9 是(120403)教育经济与管理全日制非定向就业102 105749000013091 谢丹丹全国统考第一志愿无专项计划395 85.6 82.3 是(120403)教育经济与管理全日制非定向就业103 105749000012959 黎婷全国统考第一志愿无专项计划383 87.0 81.8 是(120403)教育经济与管理全日制非定向就业104 105749000012960 江凤霞全国统考第一志愿无专项计划391 83.5 80.85 是(120403)教育经济与管理全日制非定向就业105 105749000012982 李文倩全国统考第一志愿无专项计划391 83.5 80.85 是(120403)教育经济与管理全日制非定向就业106 105749000013081 李苏丹全国统考第一志愿无专项计划392 81.3 79.85 是(120403)教育经济与管理全日制非定向就业107 105749000013087 赖心心全国统考第一志愿无专项计划380 83.6 79.8 是(120403)教育经济与管理全日制非定向就业108 105749000013076 黄菲菲全国统考第一志愿无专项计划396 79.5 79.35 是(120403)教育经济与管理全日制非定向就业109 105749000012957 邵文丽全国统考第一志愿无专项计划396 79.1 79.15 是(120403)教育经济与管理全日制非定向就业110 105749000012955 万欣颖全国统考第一志愿无专项计划386 80.6 78.9 是(120403)教育经济与管理全日制非定向就业111 105749000013074 郑小苗全国统考第一志愿无专项计划386 79.8 78.5 是(120403)教育经济与管理全日制非定向就业112 105749000012936 吴迎全国统考第一志愿无专项计划381 79.5 77.85 是(120403)教育经济与管理全日制非定向就业113 105749000012933 温家琪全国统考第一志愿无专项计划390 77.1 77.55 是(120403)教育经济与管理全日制非定向就业114 105749000012986 朱利娜全国统考第一志愿无专项计划388 77.0 77.3 是(120403)教育经济与管理全日制非定向就业115 105749000013063 郭小芸全国统考第一志愿无专项计划387 77.2 77.3 是(120403)教育经济与管理全日制非定向就业116 105749000013003 陈浪浪全国统考第一志愿无专项计划394 75.1 76.95 是(120403)教育经济与管理全日制非定向就业117 105749000013067 黄晓珊全国统考第一志愿无专项计划394 72.4 75.6 是(120403)教育经济与管理全日制非定向就业118 105749000012969 孙悦全国统考第一志愿无专项计划392 68.9 73.65 否(120403)教育经济与管理全日制候补119 105749000012998 吴林柽全国统考第一志愿无专项计划373 70.8 72.7 否(120403)教育经济与管理全日制候补120 105749000013085 贺诗雨全国统考第一志愿无专项计划378 69.0 72.3 否(120403)教育经济与管理全日制002|公共管理学院(盖章)制表日期:2019-04-18序号考生编号姓名考试方式志愿类别专项计划初试复试最终是否拟录取专业学习方式录取类别备注成绩成绩成绩拟录取121 105749000013042 陈妙慧全国统考第一志愿无专项计划373 66.2 70.4 否(120403)教育经济与管理全日制122 105749000013106 钱慧茹全国统考第一志愿无专项计划386 0.0 38.6 否(120403)教育经济与管理全日制123 105749000013048 邓文容全国统考第一志愿无专项计划376 0.0 37.6 否(120403)教育经济与管理全日制124 105749000012966 左巧丽全国统考校内调剂无专项计划377 70.4 72.9 否(120403)教育经济与管理全日制125 105749000012619 林伟坰全国统考第一志愿无专项计划386 81.5 79.35 是(120404)社会保障全日制非定向就业126 105749000012623 方淑颖全国统考第一志愿无专项计划381 81.4 78.8 是(120404)社会保障全日制非定向就业127 105749000012640 梁丽娟全国统考校内调剂无专项计划358 71.6 71.6 是(120404)社会保障全日制非定向就业128 105749000012603 姚星霖全国统考校内调剂无专项计划357 68.8 70.1 是(120404)社会保障全日制非定向就业129 105749000000918 孙田星管理类联考第一志愿无专项计划226 88.8 82.07 是(125200)公共管理非全日制定向就业130 105749000000865 冯桂超管理类联考第一志愿无专项计划226 88.7 82.02 是(125200)公共管理非全日制定向就业131 105749000000666 蔡炜管理类联考第一志愿无专项计划227 87.5 81.58 是(125200)公共管理非全日制定向就业132 105749000001100 张卫管理类联考第一志愿无专项计划219 87.8 80.4 是(125200)公共管理非全日制定向就业133 105749000000470 古丹芳管理类联考第一志愿无专项计划213 87.9 79.45 是(125200)公共管理非全日制定向就业134 105749000000964 李嘉杰管理类联考第一志愿无专项计划232 81.1 79.22 是(125200)公共管理非全日制定向就业135 105749000000499 陈伟森管理类联考第一志愿无专项计划219 84.3 78.65 是(125200)公共管理非全日制定向就业136 105749000000685 周文霞管理类联考第一志愿无专项计划197 91.4 78.53 是(125200)公共管理非全日制定向就业137 105749000001302 苏杰管理类联考第一志愿无专项计划217 84.6 78.47 是(125200)公共管理非全日制定向就业138 105749000001045 陈英敏管理类联考第一志愿无专项计划216 84.7 78.35 是(125200)公共管理非全日制定向就业139 105749000000489 张淑蕊管理类联考第一志愿无专项计划228 79.7 77.85 是(125200)公共管理非全日制定向就业140 105749000001134 吕晓钿管理类联考第一志愿无专项计划205 85.2 76.77 是(125200)公共管理非全日制定向就业141 105749000000424 李诗卉管理类联考第一志愿无专项计划198 87.3 76.65 是(125200)公共管理非全日制定向就业142 105749000001209 杨思敏管理类联考第一志愿无专项计划210 83.2 76.6 是(125200)公共管理非全日制定向就业143 105749000000380 肖琰琼管理类联考第一志愿无专项计划199 86.4 76.37 是(125200)公共管理非全日制定向就业144 105749000000544 羊佩湖管理类联考第一志愿无专项计划192 88.7 76.35 是(125200)公共管理非全日制定向就业145 105749000000796 郭洋洋管理类联考第一志愿无专项计划222 78.4 76.2 是(125200)公共管理非全日制定向就业146 105749000000469 李志坚管理类联考第一志愿无专项计划206 83.5 76.08 是(125200)公共管理非全日制定向就业147 105749000000868 伍慧娟管理类联考第一志愿无专项计划203 84.5 76.08 是(125200)公共管理非全日制定向就业148 105749000001167 凌婷管理类联考第一志愿无专项计划216 79.4 75.7 是(125200)公共管理非全日制定向就业149 105749000001227 彭祥威管理类联考第一志愿无专项计划196 84.8 75.07 是(125200)公共管理非全日制定向就业150 105749000000565 庄粧洁管理类联考第一志愿无专项计划186 88.1 75.05 是(125200)公共管理非全日制定向就业002|公共管理学院(盖章)制表日期:2019-04-18序号考生编号姓名考试方式志愿类别专项计划初试复试最终是否拟录取专业学习方式录取类别备注成绩成绩成绩拟录取151 105749000000820 刘嘉管理类联考第一志愿无专项计划194 85.1 74.88 是(125200)公共管理非全日制定向就业152 105749000001268 林彤彤管理类联考第一志愿无专项计划195 84.6 74.8 是(125200)公共管理非全日制定向就业153 105749000000556 郭明杰管理类联考第一志愿无专项计划193 85.0 74.67 是(125200)公共管理非全日制定向就业154 105749000001107 陈佳琪管理类联考第一志愿无专项计划204 81.1 74.55 是(125200)公共管理非全日制定向就业155 105749000001239 丁炎管理类联考第一志愿无专项计划188 86.3 74.48 是(125200)公共管理非全日制定向就业156 105749000001061 孙晓然管理类联考第一志愿无专项计划200 82.1 74.38 是(125200)公共管理非全日制定向就业157 105749000000618 李想管理类联考第一志愿无专项计划193 84.3 74.32 是(125200)公共管理非全日制定向就业158 105749000000363 叶伟津管理类联考第一志愿无专项计划182 87.5 74.08 是(125200)公共管理非全日制定向就业159 105749000001317 周培青管理类联考第一志愿无专项计划206 79.5 74.08 是(125200)公共管理非全日制定向就业160 105749000000524 王士钊管理类联考第一志愿无专项计划201 80.6 73.8 是(125200)公共管理非全日制定向就业161 105749000001028 艾志萩管理类联考第一志愿无专项计划202 80.1 73.72 是(125200)公共管理非全日制定向就业162 105749000000451 何小蕾管理类联考第一志愿无专项计划197 81.7 73.68 是(125200)公共管理非全日制定向就业163 105749000000538 罗旭管理类联考第一志愿无专项计划184 85.7 73.52 是(125200)公共管理非全日制定向就业164 105749000001001 蔡慧晶管理类联考第一志愿无专项计划198 81.0 73.5 是(125200)公共管理非全日制定向就业165 105749000001312 张恒管理类联考第一志愿无专项计划204 79.0 73.5 是(125200)公共管理非全日制定向就业166 105749000000345 陈出新管理类联考第一志愿无专项计划191 83.3 73.48 是(125200)公共管理非全日制定向就业167 105749000001108 莫晓敏管理类联考第一志愿无专项计划186 84.2 73.1 是(125200)公共管理非全日制定向就业168 105749000000377 梁东明管理类联考第一志愿无专项计划188 83.1 72.88 是(125200)公共管理非全日制定向就业169 105749000001076 陈小兴管理类联考第一志愿无专项计划181 85.4 72.87 是(125200)公共管理非全日制定向就业170 105749000000810 张腾飞管理类联考第一志愿无专项计划185 84.0 72.83 是(125200)公共管理非全日制定向就业171 105749000001035 李美阳管理类联考第一志愿无专项计划192 81.1 72.55 是(125200)公共管理非全日制定向就业172 105749000000586 雷诗敏管理类联考第一志愿无专项计划191 81.3 72.48 是(125200)公共管理非全日制定向就业173 105749000001110 张嘉宁管理类联考第一志愿无专项计划195 79.2 72.1 是(125200)公共管理非全日制定向就业174 105749000000491 赖婉君管理类联考第一志愿无专项计划196 78.5 71.92 是(125200)公共管理非全日制定向就业175 105749000000629 张琳琳管理类联考第一志愿无专项计划181 83.3 71.82 是(125200)公共管理非全日制定向就业176 105749000000808 陈锋管理类联考第一志愿无专项计划191 79.9 71.78 是(125200)公共管理非全日制定向就业177 105749000001086 郭高标管理类联考第一志愿无专项计划180 83.0 71.5 是(125200)公共管理非全日制定向就业178 105749000001303 陈晓虹管理类联考第一志愿无专项计划184 80.4 70.87 是(125200)公共管理非全日制定向就业179 105749000000689 华欣管理类联考第一志愿无专项计划178 81.9 70.62 是(125200)公共管理非全日制定向就业180 105749000000930 梁裕辉管理类联考第一志愿无专项计划177 80.6 69.8 是(125200)公共管理非全日制定向就业002|公共管理学院(盖章)制表日期:2019-04-18序号考生编号姓名考试方式志愿类别专项计划初试复试最终是否拟录取专业学习方式录取类别备注成绩成绩成绩拟录取181 105749000000276 李一甲管理类联考第一志愿无专项计划182 78.8 69.73 是(125200)公共管理非全日制定向就业182 105749000000554 张文珠管理类联考第一志愿无专项计划181 79.1 69.72 是(125200)公共管理非全日制定向就业183 105749000000353 朱秋媚管理类联考第一志愿无专项计划187 77.0 69.67 是(125200)公共管理非全日制定向就业184 105749000000756 邝嘉亮管理类联考第一志愿无专项计划192 75.1 69.55 是(125200)公共管理非全日制定向就业185 105749000001112 茹清管理类联考第一志愿无专项计划182 78.4 69.53 是(125200)公共管理非全日制定向就业186 105749000000817 黎静贤管理类联考第一志愿无专项计划183 77.7 69.35 是(125200)公共管理非全日制定向就业187 105749000001224 李洁岚管理类联考第一志愿无专项计划186 75.9 68.95 是(125200)公共管理非全日制定向就业188 105749000001185 陈伟欣管理类联考第一志愿无专项计划185 75.7 68.68 是(125200)公共管理非全日制定向就业189 105749000001050 林颖舜管理类联考第一志愿无专项计划189 71.0 67.0 是(125200)公共管理非全日制定向就业190 105749000001236 霍杏菁管理类联考第一志愿无专项计划249 87.0 85.0 否(125200)公共管理非全日制定向就业考生放弃191 105749000000436 沈思慧管理类联考第一志愿无专项计划195 85.5 75.25 否(125200)公共管理非全日制定向就业考生放弃192 105749000000282 伍洁敏管理类联考第一志愿无专项计划176 80.6 69.63 否(125200)公共管理非全日制候补193 105749000000633 张漩管理类联考第一志愿无专项计划177 76.2 67.6 否(125200)公共管理非全日制候补194 105749000000745 陈剑栋管理类联考第一志愿无专项计划209 0.0 34.83 否(125200)公共管理非全日制195 105749000000834 骆惕俊管理类联考第一志愿无专项计划200 0.0 33.33 否(125200)公共管理非全日制196 105749000001311 林洁管理类联考第一志愿无专项计划189 0.0 31.5 否(125200)公共管理非全日制197 105749000000309 蔡夏曼管理类联考第一志愿无专项计划187 0.0 31.17 否(125200)公共管理非全日制198 105749000000444 曹蕾管理类联考第一志愿无专项计划187 0.0 31.17 否(125200)公共管理非全日制199 105749000000884 沈荧荧管理类联考第一志愿无专项计划181 0.0 30.17 否(125200)公共管理非全日制200 105749000000289 余金隆管理类联考第一志愿无专项计划209 90.9 80.28 是(125600)工程管理非全日制定向就业201 105749000000604 朱育玲管理类联考第一志愿无专项计划207 89.3 79.15 是(125600)工程管理非全日制定向就业202 105749000000560 罗刚管理类联考第一志愿无专项计划198 88.9 77.45 是(125600)工程管理非全日制定向就业203 105749000000795 张琪管理类联考第一志愿无专项计划213 83.8 77.4 是(125600)工程管理非全日制定向就业204 105749000001135 黄各礼管理类联考第一志愿无专项计划200 86.3 76.48 是(125600)工程管理非全日制定向就业205 105749000001217 郭云钰茹管理类联考第一志愿无专项计划210 82.3 76.15 是(125600)工程管理非全日制定向就业206 105749000001097 王思博管理类联考第一志愿无专项计划170 93.9 75.28 是(125600)工程管理非全日制定向就业207 105749000000471 李锦芝管理类联考第一志愿无专项计划205 81.8 75.07 是(125600)工程管理非全日制定向就业208 105749000000493 邱逸君管理类联考第一志愿无专项计划219 76.9 74.95 是(125600)工程管理非全日制定向就业209 105749000000397 黄晓雯管理类联考第一志愿无专项计划193 85.2 74.77 是(125600)工程管理非全日制定向就业210 105749000000842 袁沃华管理类联考第一志愿无专项计划178 87.9 73.62 是(125600)工程管理非全日制定向就业002|公共管理学院(盖章)制表日期:2019-04-18序号考生编号姓名考试方式志愿类别专项计划初试复试最终是否拟录取专业学习方式录取类别备注成绩成绩成绩拟录取211 105749000000291 周晓薇管理类联考第一志愿无专项计划171 89.2 73.1 是(125600)工程管理非全日制定向就业212 105749000001162 郭斐管理类联考第一志愿无专项计划196 80.7 73.02 是(125600)工程管理非全日制定向就业213 105749000000724 向伟管理类联考第一志愿无专项计划201 78.2 72.6 是(125600)工程管理非全日制定向就业214 105749000000935 赵瑞明管理类联考第一志愿无专项计划178 81.9 70.62 是(125600)工程管理非全日制定向就业215 105749000000506 殷佳旭管理类联考第一志愿无专项计划188 76.6 69.63 是(125600)工程管理非全日制定向就业216 105749000001186 周小军管理类联考第一志愿无专项计划171 81.9 69.45 是(125600)工程管理非全日制定向就业217 105749000000481 佘梓斌管理类联考第一志愿无专项计划179 76.9 68.28 是(125600)工程管理非全日制定向就业218 105749000000559 刘源基管理类联考第一志愿无专项计划187 73.3 67.82 是(125600)工程管理非全日制定向就业219 105749000001164 黄玉姗管理类联考第一志愿无专项计划180 72.1 66.05 是(125600)工程管理非全日制定向就业220 105749000001259 关蔼胜管理类联考第一志愿退役大学生计164 76.1 65.38 是(125600)工程管理非全日制定向就业221 105599250002895 戴碧珊管理类联考校外调剂无专项计划175 90.1 74.22 是(125600)工程管理非全日制定向就业222 105599250002752 黎剑锋管理类联考校外调剂无专项计划177 84.7 71.85 是(125600)工程管理非全日制定向就业223 105619500017509 潘永铿管理类联考校外调剂无专项计划175 84.4 71.37 是(125600)工程管理非全日制定向就业224 105619500020413 沈乔飞管理类联考校外调剂无专项计划176 83.4 71.03 是(125600)工程管理非全日制定向就业225 104869210020902 黄明庆管理类联考校外调剂无专项计划187 75.1 68.72 是(125600)工程管理非全日制定向就业226 105619500017548 黄志伟管理类联考校外调剂无专项计划187 0.0 31.17 否(125600)工程管理非全日制227 105619500017189 邓明毛管理类联考校外调剂无专项计划182 0.0 30.33 否(125600)工程管理非全日制228 105599250002751 罗景文管理类联考校外调剂无专项计划178 0.0 29.67 否(125600)工程管理非全日制229 105599250002820 巫志庆管理类联考校外调剂无专项计划177 0.0 29.5 否(125600)工程管理非全日制学院复试领导小组组长签名:。