(完整版)一元二次不等式练习题含答案
- 格式:doc
- 大小:60.51 KB
- 文档页数:4
一元二次不等式专题练习例1 解不等式:(1)015223>--x x x ;(2)0)2()5)(4(32<-++x x x .例2 解下列分式不等式: (1)22123+-≤-x x (2)12731422<+-+-x x x x例3 解不等式242+<-x x例4 解不等式04125622<-++-x x x x . 例5 解不等式x xx x x <-+-+222322. 例6 设R m ∈,解关于x 的不等式03222<-+mx x m .例7 解关于x 的不等式)0(122>->-a x a ax . 例8 解不等式331042<--x x .例9 解关于x 的不等式0)(322>++-a x a a x . 例10 已知不等式02>++c bx ax 的解集是{})0(><<αβαx x .求不等式02>++a bx cx 的解集.例11 若不等式1122+--<++-x x b x x x a x 的解为)1()31(∞+-∞,, ,求a 、b 的值. 例12不等式022<-+bx ax 的解集为{}21<<-x x ,求a 与b 的值. 例13解关于x 的不等式01)1(2<++-x a ax . 例14 解不等式x x x ->--81032.例1解:(1)原不等式可化为0)3)(52(>-+x x x把方程0)3)(52(=-+x x x 的三个根3,25,0321=-==x x x 顺次标上数轴.然后从右上开始画线顺次经过三个根,其解集如下图的阴影部分.∴原不等式解集为⎭⎬⎫⎩⎨⎧><<-3025x x x 或 (2)原不等式等价于⎩⎨⎧>-<-≠⇔⎩⎨⎧>-+≠+⇔>-++2450)2)(4(050)2()5)(4(32x x x x x x x x x 或 ∴原不等式解集为{}2455>-<<--<x x x x 或或说明:用“穿根法”解不等式时应注意:①各一次项中x 的系数必为正;②对于偶次或奇次重根可转化为不含重根的不等式,也可直接用“穿根法”,但注意“奇穿偶不穿”,其法如下图.分析:当分式不等式化为)0(0)()(≤<或x g x f 时,要注意它的等价变形 ①0)()(0)()(<⋅⇔<x g x f x g x f ②0)()(0)(0)()(0)(0)()(0)()(<⋅=⇔≤⎩⎨⎧≠≤⋅⇔≤x g x f x f x g x f x g x g x f x g x f 或或例2(1)解:原不等式等价于⎩⎨⎧≠-+≥+-+-⇔≥+-+-⇔≤+-++-⇔≤+---+⇔≤+--⇔+≤-0)2)(2(0)2)(2)(1)(6(0)2)(2()1)(6(0)2)(2(650)2)(2()2()2(302232232x x x x x x x x x x x x x x x x x x x x xx x x x用“穿根法”∴原不等式解集为[)[)+∞⋃-⋃--∞,62,1)2,(。
一元二次不等式 习题小练1.不等式-x 2-x +2≥0的解集为( ).A .{x |x ≤2或x ≥1}B .{x |-2<x <1}C .{x |-2≤x ≤1}D .2.已知集合M ={x |0≤x <2},N ={x |x 2-2x -3<0},则M ∩N =( ).A .{x |0≤x <1}B .{x |0≤x <2}C .{x |0≤x ≤1}D .{x |0≤x ≤2}3.若不等式4x 2+(m -1)x +1>0的解集为R ,则实数m 的取值范围是( ).A .m >5或m <-3B .m ≥5或m ≤-3C .-3≤m ≤5D .-3<m <54.函数f (x )lg(x 2-5x +4)的定义域是( ).A .C .[0,4)D .(4,+∞)5.若不等式ax 2+bx +c >0的解集是(-4,1),则不等式b (x 2-1)+a (x +3)+c >0的解集为( ). A .413⎛⎫- ⎪⎝⎭,B .(-∞,-1)∪43⎛⎫+∞ ⎪⎝⎭,C .(-1,4)D .(-∞,-2)∪(1,+∞)6.若关于x 的不等式ax 2-6x +a 2<0的解集为(-∞,m )∪(1,+∞),则m 等于__________. 7.若关于x 的不等式组2142x a x a ⎧->⎨-<⎩,,的解集不是空集,则实数a 的取值范围是__________. 8.已知()2(0)23(0)x x f x x x x ⎧≥⎪=⎨⎪-+<⎩,,则不等式f (x )<f (4)的解集为__________.9.解不等式-4<12-x 2-x -32<-2.10.已知函数y=R.(1)求a的取值范围;(2)若函数的最小值为,解关于x的不等式x2-x-a2-a<0.2参考答案1. 答案:C 解析:不等式-x 2-x +2≥0可化为x 2+x -2≤0,即(x +2)(x -1)≤0,所以-2≤x ≤1,即解集为{x |-2≤x ≤1}.2. 答案:B 解析:由于N ={x |x 2-2x -3<0}={x |-1<x <3},又因为M ={x |0≤x <2},所以M ∩N ={x |0≤x <2}.3. 答案:D 解析:依题意有(m -1)2-16<0,所以m 2-2m -15<0,解得-3<m <5.4. 答案:A 解析:依题意有2230,540,x x x x ⎧-+≥⎨-+>⎩解得03,4 1.x x x ≤≤⎧⎨><⎩或 所以0≤x <1,即函数定义域是[0,1).5. 答案:A 解析:由不等式ax 2+bx +c >0的解集为(-4,1)知a <0,-4和1是方程ax 2+bx +c =0的两根,∴-4+1=b a -,-4×1=c a,即b =3a ,c =-4a .故所求解的不等式即为3a (x 2-1)+a (x +3)-4a >0,即3x 2+x -4<0,解得43-<x <1,故选A. 6. 答案:-3 解析:由已知可得a <0且1和m 是方程ax 2-6x +a 2=0的两根,于是a -6+a 2=0,解得a =-3,代入得-3x 2-6x +9=0,所以方程另一根为-3,即m =-3.7. 答案:-1<a <3 解析:依题意有2142x a x a ⎧>+⎨<+⎩,,要使不等式组的解集不是空集,应有a 2+1<4+2a ,即a 2-2a -3<0,解得-1<a <3.8. 答案:{x |x <4} 解析:f (4)=42=2,不等式即为f (x )<2. 当x ≥0时,由22x <,得0≤x <4;当x <0时,由-x 2+3x <2,得x <1或x >2,因此x <0.综上,有0≤x <4或x <0,即x <4,故f (x )<f (4)的解集为{x |x <4}. 9. 答案:解:原不等式可化为2<12x 2+x +32<4, 所以221342213222x x x x ⎧++<⎪⎪⎨⎪++>⎪⎩,,化简得22250210x x x x ⎧+->⎨+-<⎩,,解得111 1.x x x ⎧<<⎪⎨><⎪⎩,或故不等式的解集是(1,111).10. 答案:解:(1)∵函数y =R ,∴ax 2+2ax +1≥0恒成立.当a =0时,1≥0,不等式恒成立;当a ≠0时,则20440a a a >⎧⎨-≤⎩,,解得0<a ≤1. 综上,0≤a ≤1.(2)∵函数的最小值为2,∴y =ax 2+2ax +1的最小值为12,因此244142a a a -=,解得12a =, 于是不等式可化为x 2-x -34<0, 即4x 2-4x -3<0,解得1322x -<<,故不等式x 2-x -a 2-a <0的解集为1322x x ⎧⎫-<<⎨⎬⎩⎭.。
一元二次不等式练习题含答案Last revision on 21 December 2020一元二次不等式练习一、选择题1.设集合S ={x |-5<x <5},T ={x |x 2+4x -21<0},则S ∩T =( )A .{x |-7<x <-5}B .{x |3<x <5}C .{x |-5<x <3}D .{x |-7<x <5}2.已知函数y =ax 2+2x +3的定义域为R ,则实数a 的取值范围是( )A .a >0B .a ≥13C .a ≤13D .0<a ≤133.不等式x +1x -2≥0的解集是( ) A .{x |x ≤-1或x ≥2} B .{x |x ≤-1或x >2}C .{x |-1≤x ≤2}D .{x |-1≤x <2}4.若不等式ax 2+bx -2>0的解集为⎩⎨⎧⎭⎬⎫x |-2<x <-14,则a ,b 的值分别是( ) A .a =-8,b =-10 B .a =-1,b =9C .a =-4,b =-9D .a =-1,b =25.不等式x (x -a +1)>a 的解集是{}x |x <-1或x >a ,则( )A .a ≥1B .a <-1C .a >-1D .a ∈R6.已知函数f (x )=ax 2+bx +c ,不等式f (x )>0的解集为{}x |-3<x <1,则函数y =f (-x )的图象为( )7.在R 上定义运算⊙:a ⊙b =ab +2a +b ,则满足x ⊙(x -2)<0的实数x 的取值范围是( )A .(0,2)B .(-2,1)C .(-∞,-2)∪(1,+∞)D .(-1,2)二、填空题8.若不等式2x 2-3x +a <0的解集为(m,1),则实数m 的值为________.9.若关于x 的不等式ax -b >0的解集是(1,+∞),则关于x 的不等式ax +b x -2>0的解集是________.10.若关于x 的方程9x +(4+a )3x +4=0有解,则实数a 的取值范围是________.三、解答题11.解关于x 的不等式:ax 2-2≥2x -ax (a <0)..12.设函数f (x )=mx 2-mx -1.(1)若对于一切实数x ,f (x )<0恒成立,求m 的取值范围;(2)若对于x ∈[1,3],f (x )<-m +5恒成立,求m 的取值范围.答案1.【解析】 ∵S ={x |-5<x <5},T ={x |-7<x <3},∴S ∩T ={x |-5<x <3}.【答案】 C2.【解析】 函数定义域满足ax 2+2x +3≥0,若其解集为R ,则应⎩⎪⎨⎪⎧ a >0,Δ≤0,即⎩⎪⎨⎪⎧a >0,4-12a ≤0,∴a ≥13. 【答案】 B3.【解析】 x +1x -2≥0⎩⎪⎨⎪⎧ x +1x -2≥0,x -2≠0x >2或x ≤-1. 【答案】 B4.【解析】 依题意,方程ax 2+bx -2=0的两根为-2,-14, ∴⎩⎨⎧ -2-14=-b a ,12=-2a ,即⎩⎪⎨⎪⎧a =-4,b =-9. 【答案】 C5.【解析】 x (x -a +1)>a (x +1)(x -a )>0,∵解集为{}x |x <-1或x >a ,∴a >-1.【答案】 C .6. 【解析】 由题意可知,函数f (x )=ax 2+bx +c 为二次函数,其图象为开口向下的抛物线,与x 轴的交点是(-3,0),(1,0),又y =f (-x )的图象与f (x )的图象关于y 轴对称,故只有B 符合.7.【解析】 ∵a ⊙b =ab +2a +b ,∴x ⊙(x -2)=x (x -2)+2x +x -2=x 2+x -2,原不等式化为x 2+x -2<0-2<x <1.【答案】 B8. 【解析】 ∵方程2x 2-3x +a =0的两根为m,1,∴⎩⎨⎧ m +1=32,1·m =a 2,∴m =12. 【答案】 12 9.【解析】 由于ax >b 的解集为(1,+∞),故有a >0且b a =1.又ax +b x -2>0(ax +b )(x -2)=a (x +1)(x -2)>0(x +1)(x -2)>0,即x <-1或x >2.【答案】 (-∞,-1)∪(2,+∞)10.【解析】 方程9x +(4+a )3x +4=0化为:4+a =-9x +43x =-⎝⎛⎭⎫3x +43x ≤-4, 当且仅当3x =2时取“=”,∴a ≤-8.【答案】 (-∞,-8]11.【解析】 原不等式化为ax 2+(a -2)x -2≥0(x +1)(ax -2)≥0.①若-2<a <0,2a <-1,则2a≤x ≤-1; ②若a =-2,则x =-1;③若a <-2,则-1≤x ≤2a. 综上所述,当-2<a <0时,不等式解集为⎩⎨⎧⎭⎬⎫x |2a ≤x ≤-1; 当a =-2时,不等式解集为{x |x =-1};当a <-2时,不等式解集为⎩⎨⎧⎭⎬⎫x |-1≤x ≤2a . 12.【解析】 (1)要使mx 2-mx -1<0,x ∈R 恒成立.若m =0,-1<0,显然成立;若m ≠0,则应⎩⎪⎨⎪⎧m <0,Δ=m 2+4m <0-4<m <0. 综上得,-4<m ≤0.(2)∵x ∈[1,3],f (x )<-m +5恒成立, 即mx 2-mx -1<-m +5恒成立; 即m (x 2-x +1)<6恒成立,而x 2-x +1>0,∴m <6x 2-x +1. ∵6x 2-x +1=6⎝⎛⎭⎫x -122+34, ∴当x ∈[1,3]时,⎝ ⎛⎭⎪⎫6x 2-x +1min =67, ∴m 的取值范围是m <67.。
一元二次不等式习题小练1.不等式-x2-x+2≥0的解集为( ).A.{x|x≤2或x≥1}B.{x|-2<x<1}C.{x|-2≤x≤1}D.2.已知集合M={x|0≤x<2},N={x|x2-2x-3<0},则M∩N=( ).A.{x|0≤x<1}B.{x|0≤x<2}C.{x|0≤x≤1}D.{x|0≤x≤2}3.若不等式4x2+(m-1)x+1>0的解集为R,则实数m的取值范围是( ).A.m>5或m<-3B.m≥5或m≤-3C.-3≤m≤5D.-3<m<54.函数f(x)lg(x2-5x+4)的定义域是( ).A.C.[0,4) D.(4,+∞)5.若不等式ax2+bx+c>0的解集是(-4,1),则不等式b(x2-1)+a(x+3)+c>0的解集为( ).A.413⎛⎫- ⎪⎝⎭,B.(-∞,-1)∪43⎛⎫+∞ ⎪⎝⎭,C.(-1,4)D.(-∞,-2)∪(1,+∞)6.若关于x的不等式ax2-6x+a2<0的解集为(-∞,m)∪(1,+∞),则m等于__________.7.若关于x的不等式组2142x ax a⎧->⎨-<⎩,,的解集不是空集,则实数a的取值范围是__________.8.已知()2(0)23(0)x x f x x x x ⎧≥⎪=⎨⎪-+<⎩,,则不等式f (x )<f (4)的解集为__________.9.解不等式-4<12-x 2-x -32<-2. 10.已知函数y R .(1)求a 的取值范围;(2)若函数的最小值为2,解关于x 的不等式x 2-x -a 2-a <0.参考答案1. 答案:C 解析:不等式-x 2-x +2≥0可化为x 2+x -2≤0,即(x +2)(x -1)≤0,所以-2≤x ≤1,即解集为{x |-2≤x ≤1}.2. 答案:B 解析:由于N ={x |x 2-2x -3<0}={x |-1<x <3},又因为M ={x |0≤x <2},所以M ∩N ={x |0≤x <2}.3. 答案:D 解析:依题意有(m -1)2-16<0,所以m 2-2m -15<0,解得-3<m <5. 4. 答案:A 解析:依题意有2230,540,x x x x ⎧-+≥⎨-+>⎩解得03,4 1.x x x ≤≤⎧⎨><⎩或 所以0≤x <1,即函数定义域是[0,1).5. 答案:A 解析:由不等式ax 2+bx +c >0的解集为(-4,1)知a <0,-4和1是方程ax 2+bx +c =0的两根,∴-4+1=b a -,-4×1=c a,即b =3a ,c =-4a .故所求解的不等式即为3a (x 2-1)+a (x +3)-4a >0,即3x 2+x -4<0,解得43-<x <1,故选A.6. 答案:-3 解析:由已知可得a <0且1和m 是方程ax 2-6x +a 2=0的两根,于是a -6+a 2=0,解得a =-3,代入得-3x 2-6x +9=0,所以方程另一根为-3,即m =-3. 7. 答案:-1<a <3 解析:依题意有2142x a x a ⎧>+⎨<+⎩,,要使不等式组的解集不是空集,应有a 2+1<4+2a ,即a 2-2a -3<0,解得-1<a <3.8. 答案:{x |x <4} 解析:f (4)=42=2,不等式即为f (x )<2. 当x ≥0时,由22x <,得0≤x <4;当x <0时,由-x 2+3x <2,得x <1或x >2,因此x <0.综上,有0≤x <4或x <0,即x <4,故f (x )<f (4)的解集为{x |x <4}. 9. 答案:解:原不等式可化为2<12x 2+x +32<4, 所以221342213222x x x x ⎧++<⎪⎪⎨⎪++>⎪⎩,,化简得22250210x x x x ⎧+->⎨+-<⎩,,解得111 1.x x x ⎧<<⎪⎨><⎪⎩,或故不等式的解集是(1,11,1).10. 答案:解:(1)∵函数y =R ,∴ax 2+2ax +1≥0恒成立.当a =0时,1≥0,不等式恒成立;当a ≠0时,则20440a a a >⎧⎨-≤⎩,,解得0<a ≤1. 综上,0≤a ≤1.,∴y =ax 2+2ax +1的最小值为12,因此244142a a a -=,解得12a =, 于是不等式可化为x 2-x -34<0, 即4x 2-4x -3<0,解得1322x -<<,故不等式x 2-x -a 2-a <0的解集为1322x x ⎧⎫-<<⎨⎬⎩⎭.。
解一元二次不等式专项练习及测试(含专练60道)解一元二次不等式专项练及测试 (含专练60道)本文档提供了解一元二次不等式的专项练和测试,共计包含60道题目。
以下是一些题目示例和解答方法,供学生研究和练使用。
例题1解不等式:(x+2)(x-5)>0解答步骤:1. 找出不等式的根,即使不等式等于0的点。
根据本例,根为x=-2和x=5。
2. 根据根的位置,我们可以将数轴分成三个区间:(-∞, -2),(-2, 5),(5, +∞)。
这些区间划分有助于确定解的范围。
3. 在每个区间内选择一个测试点,并代入不等式进行验证。
例如,在(-∞, -2)选择测试点x=-3,代入不等式得到(-3+2)(-3-5)>0,计算结果为5>0,因而该区间内满足条件。
4. 根据测试点的验证结果,可以推断出不等式的解集。
在本例中,解集为(-∞, -2)并(5, +∞)。
例题2解不等式:x^2 - 4x + 3 < 0解答步骤:1. 找出不等式的根,即使不等式等于0的点。
根据本例,根为x=1和x=3。
2. 根据根的位置,我们可以将数轴分成三个区间:(-∞, 1),(1,3),(3, +∞)。
3. 在每个区间内选择一个测试点,并代入不等式进行验证。
例如,在(-∞, 1)选择测试点x=0,代入不等式得到0^2 - 4*0 + 3 < 0,计算结果为3>0,因而该区间内不满足条件。
4. 根据测试点的验证结果,可以推断出不等式的解集。
在本例中,解集为(1,3)。
...继续如此,解答剩余的题目,共计60道题目供学生练。
希望这份文档对您的学习有所帮助!如需进一步帮助或其他题目的解答,请随时向我提问。
一、一元二次不等式及其解法1.形如)0)(0(02≠<>++a c bx ax 其中或的不等式称为关于x 的一元二次不等式.2.一元二次不等式20(0)ax bx c a ++>>与相应的函数2(0)y ax bx c a =++>、相应的方程20(0)ax bx c a ++=>判别式ac b 42-=∆0>∆ 0=∆0<∆ 二次函数c bx ax y ++=2(0>a )的图象()002>=++a c bx ax的解集)0(02>>++a c bx ax 的解集)0(02><++a c bx ax1、把二次项的系数变为正的。
(如果是负,那么在不等式两边都乘以-1,把系数变为正)2、解对应的一元二次方程。
(先看能否因式分解,若不能,再看△,然后求根)3、求解一元二次不等式。
(根据一元二次方程的根及不等式的方向)不等式的解法---穿根法一.方法:先因式分解,再使用穿根法.注意:因式分解后,整理成每个因式中未知数的系数为正. 使用方法:①在数轴上标出化简后各因式的根,使等号成立的根,标为实点,等号不成立的根要标虚点. ②自右向左自上而下穿线,遇偶次重根不穿透,遇奇次重根要穿透(叫奇穿偶不穿). ③数轴上方曲线对应区域使“>”成立, 下方曲线对应区域使“<”成立. 例1:解不等式(1) (x+4)(x+5)2(2-x)3<0 (2)x 2-4x+13x 2-7x+2≤1解:(1) 原不等式等价于(x+4)(x+5)2(x-2)3>0 根据穿根法如图不等式解集为{x ∣x>2或x<-4且x ≠5}.2-4-5(2)变形为(2x-1)(x-1)(3x-1)(x-2)≥0根据穿根法如图不等式解集为 {x |x< 1 3 或 12≤x ≤1或x>2}.巩固练习一、解下列一元二次不等式:1、0652>++x x2、0652≤--x x3、01272<++x x4、0672≥+-x x5、0122<--x x6、0122>-+x x7、01282≥+-x x 8、01242<--x x 9、012532>-+x x10、0121632>-+x x 11、0123732>+-x x 12、071522≤++x x13、0121122≥++x x 14、10732>-x x 15、05622<-+-x x16、02033102≤+-x x 17、0542<+-x x 18、0442>-+-x x19、2230x x --+≥ 20、0262≤+--x x 21、0532>+-x x22、02732<+-x x 23、0162≤-+x x 24、03442>-+x x25、061122<++x x 26、041132>+--x x 27、042≤-x28、031452≤-+x x 29、0127122>-+x x 30、0211122≥--x x31、03282>--x x 32、031082≥-+x x 33、041542<--x x34、02122>--x x 35、021842>-+x x 36、05842<--x x37、0121752≤-+x x 38、0611102>--x x 39、038162>--x x40、038162<-+x x 41、0127102≥--x x 42、02102>-+x x43、0242942≤--x x 44、0182142>--x x 45、08692>-+x x46、0316122>-+x x 47、0942<-x 48、0320122>+-x x49、0142562≤++x x 50、0941202≤+-x x 51、(2)(3)6x x +-<二填空题1、不等式(1)(12)0x x -->的解集是 ;2.不等式2654x x +<的解集为____________.3、不等式2310x x -++>的解集是 ;4、不等式2210x x -+≤的解集是 ;5、不等式245x x -<的解集是 ; 9、已知集合2{|4}M x x =<,2{|230}N x x x =--<,则集合MN = ;10、不等式220mx mx +-<的解集为R ,则实数m 的取值范围为 ;11、不等式9)12(2≤-x 的解集为___________________________。
[基础巩固]1.不等式x -2x -1≥0的解集是( ) A .{x |x ≥2}B .{x |x ≤1或x >2}C .{x |x <1}D .{x |x <1或x ≥2}解析 原不等式可化为⎩⎪⎨⎪⎧(x -2)(x -1)≥0,x -1≠0, ∴x ≥2或x <1,故原不等式的解集为{x |x <1或x ≥2}.答案 D2.若x 2-2ax +2≥0在R 上恒成立,则实数a 的取值范围是( )A .-2<a ≤ 2B .-2<a < 2C .-2≤a < 2D .-2≤a ≤ 2解析 Δ=(-2a )2-4×1×2≤0,∴-2≤a ≤ 2.答案 D3.某产品的总成本y (万元)与产量x (台)之间的函数关系式为y =3000+20x -0.1x 2(0<x <240,x ∈N ),若每台产品的售价为25万元,则生产者不亏本(销售收入不小于总成本)时的最低产量是( )A .100台B .120台C .150台D .180台解析 3000+20x -0.1x 2≤25x ⇔x 2+50x -30 000≥0,解得x ≤-200(舍去)或x ≥150. 答案 C4.不等式1x -1≥-1的解集是________. 解析 1x -1≥-1⇔1x -1+1≥0⇔x x -1≥0⇔⎩⎪⎨⎪⎧x (x -1)≥0,x -1≠0, ∴不等式的解集是{x |x ≤0或x >1}.答案 {x |x ≤0或x >1}5.若不等式x 2-4x +3m <0的解集为空集,则实数m 的取值范围是________.解析 由题意,知x 2-4x +3m ≥0对一切实数x 恒成立,所以Δ=(-4)2-4×3m ≤0,解得m ≥43. 答案 m ≥436.某工厂生产商品M ,若每件定价80元,则每年可销售80万件,税务部门对市场销售的商品要征收附加税.为了既增加国家收入,又有利于市场活跃,必须合理确定征收的税率.据市场调查,若政府对商品M 征收的税率为P %(即每百元征收P 元)时,每年的销售量减少10P 万件.(1)若税务部门对商品M 每年所收税金不少于96万元,求P 的范围;(2)在所收税金不少于96万元的前提下,要让厂家获得最大的销售金额,应如何确定P 值?(3)若仅考虑每年税收金额最高,又应如何确定P 值?解析 税率为P %时,销售量为(80-10P )万件,即f (P )=80(80-10P ),税金为80(80-10P )·P %,其中0<P <8.(1)由⎩⎪⎨⎪⎧80(80-10P )·P %≥96,0<P <8,解得2≤P ≤6. 故P 的范围为2≤P ≤6.(2)设销售金额为S ,则S =80(80-10P )(2≤P ≤6)为减函数,∴当P =2时,厂家获得最大的销售金额为4800万元.(3)∵0<P <8,设税收金额为G ,则G =80(80-10P )·P %=-8(P -4)2+128,∴当P =4时,国家所得税金最高,为128万元.[能力提升]7.(多选)若命题“存在实数x ,使得(a -2)x 2+2(a -2)x -4≥0成立”是假命题,则实数a 可以是( )A .-2B .-1C .1D .2解析 命题“存在实数x ,使得(a -2)x 2+2(a -2)x -4≥0成立”是假命题,则其否定为“∀实数x ,使得(a -2)x 2+2(a -2)x -4<0成立”是真命题,当a =2时,原不等式化为-4<0恒成立;当a ≠2时,则⎩⎪⎨⎪⎧a -2<0Δ=4(a -2)2+16(a -2)<0, 解得-2<a <2.综上,实数a 的取值范围是-2<a ≤2.故选B 、C 、D.答案 BCD8.在如图所示的锐角三角形空地中,欲建一个面积不小于300 m 2的内接矩形花园(阴影部分),则其边长x (单位:m)的取值范围是( )A .{x |15≤x ≤30}B .{x |12≤x ≤25}C .{x |10≤x ≤30}D .{x |20≤x ≤30} 解析 设矩形的另一边长为y m ,则由三角形相似知,x 40=40-y 40, ∴y =40-x ,∵xy ≥300,∴x (40-x )≥300,∴x 2-40x +300≤0,∴10≤x ≤30.答案 C9.若集合A ={x |ax 2-ax +1<0}=∅,则实数a 的值的集合为________.解析 (1)当a =0时,满足题意.(2)当a ≠0时,应满足⎩⎪⎨⎪⎧a >0,Δ≤0, 解得0<a ≤4.综上可知,a 值的集合为{a |0≤a ≤4}.答案 {a |0≤a ≤4}10.关于x 的方程x 2-2(m +2)x +m 2-1=0.(1)m 为何实数时,方程有两正实数根?(2)m 为何实数时,方程有一正实数根、一负实数根?解析 解法一 (1)由已知,得⎩⎪⎨⎪⎧ Δ=b 2-4ac =4(m +2)2-4(m 2-1)≥0,x 1+x 2=2(m +2)>0,x 1x 2=m 2-1>0,解得-54≤m <-1或m >1, 即m 的取值范围是-54≤m <-1或m >1. (2)由已知,得⎩⎪⎨⎪⎧Δ>0,x 1x 2=m 2-1<0, 解得-1<m <1.所以m 的取值范围是-1<m <1.解法二 (1)设y =x 2-2(m +2)x +m 2-1,因为方程有两正实数根,所以函数图象如图甲所示,则应满足⎩⎪⎨⎪⎧ Δ≥0,-b 2a =m +2>0,m 2-1>0,解得m 的取值范围是⎩⎨⎧⎭⎬⎫m |-54≤m <-1,或m >1.甲 乙(2)因为方程有一正实数根、一负实数根,则函数图象如图乙,由题意知,满足f (0)<0⇒m 的取值范围是{m |-1<m <1}.[探索创新]11.某热带风暴中心B 位于海港城市A 南偏东60°的方向,与A 市相距400 km ,该热带风暴中心B 以40 km/h 的速度向正北方向移动,影响范围的半径是350 km.问:从此时起,经多少时间后A 市将受热带风暴影响,大约受影响多长时间?解析 如图,以A 市为原点,正东方向为x 轴建立直角坐标系.∵AB =400,∠BAx =30°,∴台风中心B 的坐标为(2003,-200),x h 后台风中心B 到达点P (2003,40x -200)处.由已知,A 市受台风影响时,有AP ≤350,即(2003)2+(40x -200)2≤3502,整理得16x 2-160x +375≤0,解这个不等式得,3.75≤x ≤6.25,A 市受台风影响的时间为6.25-3.75=2.5(h).故在3.75 h 后,A 市会受到台风的影响,时间长达2.5 h.。
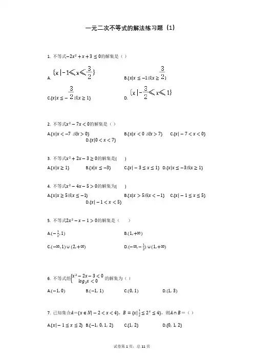
一元二次不等式的解法练习题(1)1. 不等式−2x 2+x +3≤0的解集是( )A. B.{x|x ≤−1或x ≥}C.{x|x ≤−或x ≥1}D.2. 不等式x 2−7x <0的解集是( ) A.{x|x <−7或x >0} B.{x|x <0或x >7} C.{x|−7<x <0}D.{x|0<x <7}3. 不等式x 2+2x −3≥0的解集是( ) A.{x|x ≥1} B.{x|x ≤−3} C.{x|−3≤x ≤1} D.{x|x ≤−3或x ≥1}4. 不等式x 2−4x −5>0的解集为( )A.{x|x ≥5或x ≤−1}B.{x|x >5或x <−1}C.{x|−1≤x ≤5}D.{x|−1<x <5}5. 不等式2x 2−x −1>0的解集是( ) A.(−12,1)B.(1,+∞)C.(−∞,1)∪(2,+∞)D.(−∞,−12)∪(1,+∞)6. 不等式组{x 2−2x −3<0log 2x <0 的解集为( )A.(−1, 0)B.(−1, 1)C.(0, 1)D.(1, 3)7. 已知集合A ={x ∈N|−2<x <4},B ={x|12≤2x ≤4},则A ∩B =( ) A.{x|−1≤x ≤2} B.{−1, 0, 1, 2} C.{1, 2} D.{0, 1, 2}8. 下列四个不等式中,解集为⌀的是()A.−x2+x+1≤0B.2x2−3x+4<0C.x2+6x+9≤0D.9. 已知函数f(x)=3x2−6x−1,则()A.函数f(x)有两个不同的零点B.函数f(x)在(−1, +∞)上单调递增C.当a>1时,若f(a x)在x∈[−1, 1]上的最大值为8,则a=3D.当0<a<1时,若f(a x)在x∈[−1, 1]上的最大值为8,则a=1310. 已知集合A={−1,0,2}, B={2,a2},若B⊆A,则实数a的值为________.11. 不等式|x−3|<2的解集为________.12. 不等式3x2−6x−5>4的解集为________.13. 已知不等式kx2−2x+6k<0(k≠0)若不等式的解集为{x|x<−3或x>−2},求实数k的值________.14. 不等式9−x2>0的解集是________.15. 已知集合A={x|x2−3x−10≤0}.(Ⅰ)若B={x|m−6≤x≤2m−1},A⊆B,求实数m的取值范围;(Ⅱ)若B={x|m+1≤x≤2m−1},B⊆A,求实数m的取值范围.16. 已知函数f(x)=ax2+bx−a+2.(1)若关于x的不等式f(x)>0的解集是(−1,3),求实数a的值;(2)若b=2,a>0,解关于x的不等式f(x)>0.17. 某企业生产A,B两种产品,根据市场调查与预测,A产品的利润与投资成正比,其关系如图1;B产品的利润与投资的算术平方根成正比,其关系如图2(利润和投资单(1)分别将A、B两种产品的利润表示为投资的函数关系式;(2)已知该企业已筹集到18万元投资金,并将全部投入A,B两种产品的生产,怎样分配这18万元,才能使该企业获得最大利润?其最大利润约为多少万元?参考答案与试题解析一元二次不等式的解法练习题(1)一、选择题(本题共计 7 小题,每题 5 分,共计35分)1.【答案】B【考点】一元二次不等式的应用【解析】将不等式变形为(x+1)(2x−3)≥0,由一元二次不等式的解法得出答案.【解答】不等式−2x2+x+3≤0,即2x2−x−3≥0,即(x+1)(2x−3)≥0,解得x≤−1或,故不等式−2x2+x+3≤0的解集是{x|x≤−1或x≥}.2.【答案】D【考点】一元二次不等式的应用【解析】不等式化为x(x−7)<0,求出解集即可.【解答】不等式x2−7x<0可化为x(x−7)<0,解得0<x<7,所以不等式的解集是{x|0<x<7}.3.【答案】D【考点】一元二次不等式的解法【解析】将不等式左边因式分解可得:(x+3)(x−1)≥0,从而可解不等式.【解答】解:由题意,不等式可化为:(x+3)(x−1)≥0,∴x≤−3或x≥1.故选D.4.【答案】B【考点】直接解一元二次不等式即可. 【解答】解:∵ x 2−4x −5>0, ∴ (x −5)(x +1)>0, 解得,x <−1或x >5. 故选B . 5.【答案】 D【考点】一元二次不等式的解法 【解析】 此题暂无解析 【解答】 此题暂无解答 6.【答案】 C【考点】其他不等式的解法 【解析】由题意可得,{−1<x <30<x <1 ,解不等式可求.【解答】由题意可得,{−1<x <30<x <1 ,即可得,0<x <1. 7. 【答案】 D【考点】 交集及其运算 【解析】化简集合A 、B ,根据交集的定义写出A ∩B . 【解答】集合A ={x ∈N|−2<x <4}={0, 1, 2, 3}, B ={x|12≤2x ≤4}={x|−1≤x ≤2},则A ∩B ={0, 1, 2}.二、 多选题 (本题共计 2 小题 ,每题 5 分 ,共计10分 ) 8.【答案】 B,D【考点】此题暂无解析【解答】此题暂无解答9.【答案】A,C,D【考点】二次函数的图象二次函数的性质【解析】结合二次函数的零点及单调性及复合函数的单调性与最值的关系分别检验各选项即可判断.【解答】因为二次函数对应的一元二次方程的判别式△=(−6)2−4×3×(−1)=48>0,所以函数f(x)有两个不同的零点,A正确;因为二次函数f(x)图象的对称轴为x=1,且图象开口向上,所以f(x)在(1, +∞)上单调递增,B不正确;令t=a x,则f(a x)=g(t)=3t2−6t−1=3(t−1)2−4.当a>1时,1a ≤t≤a,故g(t)在[1a,a]上先减后增,又a+1a2>1,故最大值为g(a)=3a2−6a−1=8,解得a=3(负值舍去).同理当0<a<1时,a≤t≤1a ,g(t)在[a,1a]上的最大值为g(1a)=3a2−6a−1=8,解得a=13(负值舍去).三、填空题(本题共计 5 小题,每题 5 分,共计25分)10.【答案】【考点】集合的包含关系判断及应用【解析】此题暂无解析【解答】解:已知A={−1,0,2}, B={2,a2},若B⊆A,则a2=0,解得:a=0.故答案为:0.11.【答案】(1, 5)【考点】由题意利用绝对值不等式的基本性质,求得不等式|x−3|<2的解集.【解答】不等式|x−3|<2,即−2<x−3<2,求得1<x<5,12.【答案】{x|x>3或x<−1}【考点】一元二次不等式的解法【解析】先化简不等式,然后根据十字相乘法求出不等式的解集.【解答】解:由题意得,不等式化简为x2−2x−3>0,所以(x−3)(x+1)>0,解得x>3或x<−1,所以不等式的解集为{x|x>3或x<−1}.故答案为:{x|x>3或x<−1}.13.【答案】−2 5【考点】一元二次不等式的解法【解析】(1)由题设条件,根据二次函数与方程的关系,得:k<0,且−3,−2为关于x的方程k x2−2x+6k=0的两个实数根,再由韦达定理能求出k的值.【解答】解:∵不等式kx2−2x+6k<0(k≠0)的解集为{x|x<−3或x>−2},∴−3和−2是方程kx2−2x+6k=0的两个根,∴−3+(−2)=2k,∴k=−25,故答案为:−25.14.【答案】{x|−3<x<3}【考点】一元二次不等式的解法【解析】此题暂无解析【解答】解:不等式9−x2>0变形为x2<9,所以解集为{x|−3<x <3}. 故答案为:{x|−3<x <3}.四、 解答题 (本题共计 3 小题 ,每题 10 分 ,共计30分 ) 15.【答案】集合A ={x|x 2−3x −10≤0}={x|−2≤x ≤5}, (1)∵ A ⊆B ,∴ {m −6≤−22m −1≥5 ,解得:3≤m ≤4,∴ 实数m 的取值范围为:[3, 4]; (2)∵ B ⊆A ,①当B =⌀时,m +1>2m −1,即m <2,②当B ≠⌀时,{m +1≤2m −1m +1≥−22m −1≤5,解得:2≤m ≤3,综上所述,实数m 的取值范围为:(−∞, 3]. 【考点】集合的包含关系判断及应用 【解析】先求出集合A ,再利用集合A 与集合B 的包含关系,列出不等式组,即可求出m 的取值范围,注意对空集的讨论. 【解答】集合A ={x|x 2−3x −10≤0}={x|−2≤x ≤5}, (1)∵ A ⊆B ,∴ {m −6≤−22m −1≥5 ,解得:3≤m ≤4,∴ 实数m 的取值范围为:[3, 4]; (2)∵ B ⊆A ,①当B =⌀时,m +1>2m −1,即m <2,②当B ≠⌀时,{m +1≤2m −1m +1≥−22m −1≤5 ,解得:2≤m ≤3,综上所述,实数m 的取值范围为:(−∞, 3]. 16.【答案】解:(1)∵ f (x )=ax 2+bx −a +2>0的解集为(−1,3), ∴ 方程ax 2+bx −a +2=0的两根为−1和3,且a <0, ∴ {−1+3=−ba ,−1×3=−a +2a ,解得{a =−1,b =2,∴ a 的值为−1.(2)∵ b =2,a >0,∴ 方程f (x )=0的两根为−1和a−2a,∴ 当−1>a−2a即a <1时,x <a−2a或x >−1;当−1=a−2a即a =1时,x ≠−1; 当−1<a−2a即a >1时,x <−1或x >a−2a,∴ 综上,当0<a <1时,原不等式解集为{x|x <a−2a或x >−1};当a =1时,原不等式解集为{x|x ≠−1}; 当a >1时,原不等式解集为{x|x <−1或x >a−2a}.【考点】一元二次不等式的解法 【解析】左侧图片未给出解析 左侧图片未给出解析【解答】解:(1)∵ f (x )=ax 2+bx −a +2>0的解集为(−1,3), ∴ 方程ax 2+bx −a +2=0的两根为−1和3,且a <0, ∴ {−1+3=−ba ,−1×3=−a +2a ,解得{a =−1,b =2,∴ a 的值为−1.(2)∵ b =2,a >0,∴ f (x )=ax 2+2x −a +2=(x +1)(ax −a +2)>0, ∴ 方程f (x )=0的两根为−1和a−2a,∴ 当−1>a−2a即a <1时,x <a−2a或x >−1;当−1=a−2a即a =1时,x ≠−1; 当−1<a−2a即a >1时,x <−1或x >a−2a,∴ 综上,当0<a <1时,原不等式解集为{x|x <a−2a或x >−1};当a =1时,原不等式解集为{x|x ≠−1}; 当a >1时,原不等式解集为{x|x <−1或x >a−2a}.17.f(x)=k1x(x≥0),g(x)=k2√x(x≥0),由图1,得f(1)=14,所以k1=14,则f(x)=14x(x≥0).由图2,得g(4)=4,所以k2=2,则g(x)=2√x(x≥0).(2)设B产品投入x万元,A产品投入(18−x)万元,该企业可获总利润为y万元,则y=14(18−x)+2√x,0≤x≤18.令√x=t,t∈[0, 3√2],则y=14(−t2+8t+18)=−14(t−4)2+172.所以当t=4时,y max=172=8.5,所以x=16,18−x=2.所以当A、B两种产品分别投入2万元、16万元时,可使该企业获得最大利润8.5万元. 【考点】二次函数在闭区间上的最值函数模型的选择与应用【解析】此题暂无解析【解答】解:(1)根据题意可设A,B两种产品的利润与投资的函数关系式分别为:f(x)=k1x(x≥0),g(x)=k2√x(x≥0),由图1,得f(1)=14,所以k1=14,则f(x)=14x(x≥0).由图2,得g(4)=4,所以k2=2,则g(x)=2√x(x≥0).(2)设B产品投入x万元,A产品投入(18−x)万元,该企业可获总利润为y万元,则y=14(18−x)+2√x,0≤x≤18.令√x=t,t∈[0, 3√2],则y=14(−t2+8t+18)=−14(t−4)2+172.所以x=16,18−x=2.所以当A、B两种产品分别投入2万元、16万元时,可使该企业获得最大利润8.5万元.试卷第11页,总11页。
、249y x x =-+ (2、不等式11023x x æöæö-->ç÷ç÷èøèø的解集为的解集为 ( ) A 、11|32x x ìü<<íýîþ B 、1|2x x ìü>íýîþ C 、1|3x x ìü<íýîþ D 、11|32x x x ìü<>íýîþ或 2、在下列不等式中,解集为f 的是的是 ( )A 、22320x x -+>B 、2440x x ++>C 、2440x x --<D 、22320x x -+-> 3、函数()2223log 3y x x x =--++的定义域为的定义域为 ( )A 、()(),13,-¥-È+¥B 、()3,1--C 、(][),13,-¥-È+¥D 、(][)3,13,--È+¥ 4、若2230x x -£,则函数()21f x x x =++ ( ) A 、有最小值34,最大值1 C 、有最小值1,最大值194 D 、无最小值,也无最大值、无最小值,也无最大值 3.2 一元二次不等式及其解法练习及其解法练习(一)、一元二次、一元二次不等式的解法不等式的解法1、求解下列不等式、求解下列不等式(1)、23710x x -£(2)、2250x x -+-< (3)、2440x x -+-< (4)205x x -<+2、求下列、求下列函数的定义函数的定义域(1))221218y x x =-+-3、已知、已知集合集合{}{}22|160,|430A x x B x x x =-<=-+>,求A B È(二)、检测题、检测题一、选择题一、选择题 1、有、有最小值最小值34,无,无最大值最大值 B5、若不等式210x mx ++>的解集为R ,则m 的取值范围是(的取值范围是( )A .RB .()2,2-C .()(),22,-¥-+¥D .[]2,2- 6、不等式()221200x ax a a --<<的解集是(的解集是( ) A .()3,4a a - B .()4,3a a - C .()3,4- D .()2,6a a7、不等式220ax bx ++>的解集是1123x x ìü-<<íýîþ,则a b -=( )A .14-B .14C .10-D .10 二、填空题二、填空题8、设()21f x x bx =++,且()()13f f =,则()0f x >的解集为的解集为 10、利用()()00x a x a x b x b -<Û--<-,可以求得不等式12x x->的解集为的解集为 。
一元二次不等式解法习题及答案一元二次不等式解法练习1例1 若0<a <1,则不等式(x-a)(x-) <0的解是 [ ] a11A .a <x <C .x >或x <a a a 11B .<x <a D .x <或x >a a a例2 x 2-x -6有意义,则x 的取值范围是.例3 若ax 2+bx -1<0的解集为{x|-1<x <2},则a =________,b =________.例4 不等式3x -12≤9的整数解的个数是A.7 C.5 () B .6 D .4例5 不等式1+x >1的解集为 [ ] 1-xB .{x|x≥1}D .{x|x>1或x =0} A .{x|x>0} C .{x|x>1}例6 与不等式x -3≥0同解的不等式是 [ ] 2-xA .(x-3)(2-x) ≥0B .0<x -2≤1C .2-x ≥0 x -3D .(x-3)(2-x) ≤0例7 不等式ax <1的解为{x|x<1或x >2},则a 的值为 [ ] x -11A .a <21C .a =21 B.a >21 D.a =-23x -7例8 解不等式2≥2.x +2x -3例 9 解关于x 的不等式(x-2)(ax-2) >0.1分析比较a 与的大小后写出答案. a 1、11解∵0<a <1,∴a <,解应当在“两根之间”,得a <x <.a a选A .2、分析求算术根,被开方数必须是非负数.解据题意有,x 2-x -6≥0,即(x-3)(x+2) ≥0,解在“两根之外”,所以x ≥3或x ≤-2.3、分析根据一元二次不等式的解公式可知,-1和2是方程ax 2+bx -1=0的两个根,考虑韦达定理.解根据题意,-1,2应为方程ax 2+bx -1=0的两根,则由韦达定理知⎧b -=(-1) +2=1⎧11⎧a 得a =,b =-.⎧22 ⎧-1=(-1) ×2=-2⎧⎧a4、答案 A5、分析直接去分母需要考虑分母的符号,所以通常是采用移项后通分.1解不等式化为1+x ->0,1-x -x 2x 2通分得>0,即>0,1-x x -1∵x 2>0,∴x -1>0,即x >1.选C .说明:本题也可以通过对分母的符号进行讨论求解.⎧(x -3)(2-x ) ≥0,解法一原不等式的同解不等式组为⎧ x -2≠0.⎧6、故排除A 、C 、D ,选B .x -3解法二≥0化为x =3或(x-3)(2-x) >0即2<x ≤3 2-x两边同减去2得0<x -2≤1.选B .说明:注意“零”.分析可以先将不等式整理为7、(a -1) x +1<0,转化为x -1[(a-1)x +1](x-1) <0,根据其解集为{x|x<1或x >2}11可知a -1<0,即a <1,且-=2,∴a =. a -12答选C .说明:注意本题中化“商”为“积”的技巧.8、解先将原不等式转化为3x -7-2≥0 x 2+2x -3-2x 2-x -12x 2+x +1即2≥0,所以2≤0.x +2x -3x +2x -3 17由于2x 2+x +1=2(x+) 2+>0,48∴不等式进一步转化为同解不等式x 2+2x -3<0,即(x+3)(x-1) <0,解之得-3<x <1.解集为{x|-3<x <1}.说明:解不等式就是逐步转化,将陌生问题化归为熟悉问题.9、分析不等式的解及其结构与a 相关,所以必须分类讨论.解1° 当a =0时,原不等式化为x -2<0其解集为{x|x<2};222° 当a <0时,由于2>,原不等式化为(x-2)(x-) <0,其解a a集为2{x|<x <2}; a223° 当0<a <1时,因2<,原不等式化为(x-2)(x-) >0,其解a a集为2{x|x<2或x >}; a4° 当a =1时,原不等式化为(x-2) 2>0,其解集是{x|x≠2};225° 当a >1时,由于2>,原不等式化为(x-2)(x-) >0,其解a a集是2{x|x<或x >2}. a从而可以写出不等式的解集为:a =0时,{x|x<2};2a <0时,{x|<x <2}; a20<a <1时,{x|x<2或x >; aa =1时,{x|x≠2};2a >1时,{x|x<或x >2}. a说明:讨论时分类要合理,不添不漏.。
一元二次不等式练习题(打印版)# 一元二次不等式练习题题目1:解一元二次不等式 \( ax^2 + bx + c > 0 \),其中 \( a = 2 \),\( b = -3 \),\( c = 1 \)。
解答:首先,将不等式转化为标准形式 \( 2x^2 - 3x + 1 > 0 \)。
接下来,找到一元二次方程 \( 2x^2 - 3x + 1 = 0 \) 的根。
通过求根公式 \( x = \frac{-b \pm \sqrt{b^2 - 4ac}}{2a} \),我们得到\( x = \frac{3 \pm \sqrt{9 - 8}}{4} \),即 \( x = 1 \) 或\( x = \frac{1}{2} \)。
由于 \( a > 0 \),抛物线开口向上,因此不等式的解集为 \( x < \frac{1}{2} \) 或 \( x > 1 \)。
题目2:求不等式 \( x^2 - 4x + 4 \leq 0 \) 的解集。
解答:首先,我们观察到这是一个完全平方形式,可以写成 \( (x - 2)^2 \leq 0 \)。
由于平方总是非负的,所以 \( (x - 2)^2 \) 只有在 \( x = 2 \) 时等于0。
因此,不等式的解集为 \( \{2\} \)。
题目3:判断不等式 \( 3x^2 - 6x + 2 \geq 0 \) 的解集。
解答:我们先计算判别式 \( \Delta = b^2 - 4ac = (-6)^2 - 4\cdot 3 \cdot 2 = 36 - 24 = 12 \)。
由于 \( \Delta > 0 \),方程 \( 3x^2 - 6x + 2 = 0 \) 有两个实数根。
求根公式给出 \( x =\frac{6 \pm \sqrt{12}}{6} \)。
由于 \( a > 0 \),抛物线开口向上,因此不等式的解集为 \( x \in (-\infty, \frac{3 -\sqrt{3}}{3}) \cup (\frac{3 + \sqrt{3}}{3}, +\infty) \)。
一元二次不等式练习、选择题 设集合 S = {x|— 5<x<5} , T = {xx 2 + 4x — 21<0},贝U Sn T =( ) .{x| — 7<x< — 5} B . {x|3<x<5} .{x| — 5<x<3} D . {x|— 7<x<5}已知函数y “ax 2+2x + 3的定义域为R ,贝U 实数a 的取值范围是( )1 1 1a>0 B . a > 3 C . a < 3 D . 0<a < 3x + 13.不等式x —2 A 0的解集是( )A . {x|x < — 1 或 xA 2}B . {xx < — 1 或 x>2}C . {x|— Kx <2}D . {x|— K x<2}等式x(x — a + 1)>a 的解集是{xx<— 1或x>a },则( ) 不a A1 B . a< — 1 — 1 D . a € R a>已知函数f(x) = ax 2+bx +c ,不等式f(x)>0的解集为{x|— 3<x<1},则函数y =f( — x)1. A . C .2.4 .若不等式ax 2+ bx — 2>0的解集为— 2<x< — £ A . C . a = —8, a = — 4,b =— 10 B . a =— 1, b = 9b = — 9 D . a =— 1, b = 2 4,则a , b 的值分别是()5. A . C .6. 图象为(,L/,\1 D7.在R 上定义运算O : aOb = ab +2a + b , () A . (0,2) B . ( — 2,1)C . ( — X,— 2)U (1,+^ )D . (— 1,2)则满足xO(X — 2)<0的实数x 的取值范围是的)二、填空题&若不等式2x2—3x+ a<0的解集为(m,1),贝U实数m的值为ax+ b 9.若关于x的不等式ax—b>0的解集是(1,+^),则关于x的不等式匚二2>0的解集是10.若关于x的方程9x+(4+ a)3x+ 4= 0有解,则实数a的取值范围是三、解答题11.解关于x 的不等式:ax2—2>2x —ax(avO).12.设函数f(x) = mx2—mx— 1.⑴若对于一切实数X, f(x)<0恒成立,求m的取值范围;(2)若对于x€ [1,3] , f(x)<—m+ 5恒成立,求m的取值范围.I a II m=2,1【答案】1bax + bax>b 的解集为(1,+ 8),故有 a>0 且一 =1.又 ->0? (ax + b)(x — 2) = a(x + 1)(x —a x — 22)>0?(X + 1)(x —2)>0 ,【答案】 ( — 8,10. 【解析】 方程9x+ (4 + a)3x+ 4= 0化为:9%+ 4 Q x I 4、4 + a =-亍=—L 抄-4,当且仅当3x= 2时取“=”,••• aW — 8. 【答案】 (一8,— 8]211. 【解析】 原不等式化为 ax + (a — 2)x — 2>0? (x + 1)(ax — 2)>0.2 2① 若一2<a<0,一< — 1,则一W xw — 1;a a② 若 a =— 2,则 x =— 1;2③ 若 a< — 2,则一1W XW-a综上所述,当—2<a<0时,不等式解集为 k|2<xw — 1 };答案1.【解析】 ••• S = {x|— 5<x<5} , T = {x|— 7<x<3},• SnT= {x|— 5<x<3}.2.【解析】 _a>0, a>0,函数定义域满足 ax + 2x + 3 > 0,若其解集为R ,则应5即<[AW0,(4 — 12aw 0,【答案】3.【解析】x ±l > 0? ^+ q x — 2 尸0, ?x>2 或 xw — 1.x —2 x —2工0【答案】4.【解析】O 1依题意,方程ax 2+ bx — 2= 0的两根为—2,— 4,2 a , C即 < =—4,|b =— 9.L 厂【答案】5.【解析】•••解集为{x|x< — 1 或x>a } , • a> — 1.【答案】 C.6.【解析】由题意可知,函数 f(x)= ax 2+ bx + c 为二次函数,其图象为开口向下的抛物线,与轴的交点是(一3,0), (1,0),又y = f(— X)的图象与f(x)的图象关于y 轴对称,故只有 B 符合.7. 【解析】 ■/ aO b = ab + 2a + b,.,. xO (x — 2) = x(x — 2) + 2x + x — 2 = x 2+ x — 2,原不等式化为—2<0? — 2<x<1.【答案】 B8. 【解析】x(x — a + 1)>a? (x + 1)(x — a)>0,•••方程2x 2— 3x + a = 0的两根为 m,1.x 2+ x9.【解析】 由于 即 x< — 1 或 x>2. —1)U (2, + 8 )—2时,不等式解集为{x|x=—1}; 当a< —2时,不等式解集为*1—1w xw 2:12.【解析】(1)要使mx2—mx—1<0, x€ R恒成立. 若m= 0,—1<0 ,显然成立;|m<0,右mM 0,则应{ 2 ? —4<m<0.[A= m + 4m<0综上得,—4<mw 0.⑵•/ x€ [1,3] , f(x)< —m + 5 恒成立,即mx2—mx —1< —m+ 5 恒成立;即m(x2—x+ 1)<6 恒成立,而x2—x+ 1>0 ,• m<x2—x+ 1.6•当x€ [1,3]时,(2_ x+ ■] [in = 7,6••• m的取值范围是m<6.。
一元二次不等式 参考例题(2)1.(1)解不等式121≤-xx (}0,1|{>-≤x x x 或)(2)不等式11<-x ax的解集为}21|{><x x x ,或,求a 的值. (21=a )2.解下列关于x 的不等式:(1)01)1(2<++-x a a x (2))23(0)3)(2(-≠≠<-+-a a x x a x ,且}1|{01,1)3(1)2(}1|{10,1)1(a x ax a a a ax a x a a <<<<->Φ±=<<<<-<时,或当时,当时,或当 }3,2|{3)3(}3,2|{32)2(}32,|{2)1(a x x x a x a x x a x a x x a <<-<><<-<<<-<<-<-<或时,当或时,当或时,当(3)01)1(2<++-x a ax (4)0)2)(2(>--ax x }11|{1)5(1)4(}11|{10)3(}1|{0)2(}1,1|{0)1(<<>Φ=<<<<>=><<x ax a a ax x a x x a x ax x a 时,当时,当时,当时,当或时,当}2,2|{,1)5(}2|{,1)4(}2,2|{,10)3(}2|{,0)2(}22|{,0)1(><>≠=><<<<=<<<x ax x a x x a ax x x a x x a x ax a 或时当时当或时当时当时当(5)012<++x ax (6))(11R a a x x∈-<-Φ≥-+-<<---<<-<=--->-+-<<时,当时,当时,当或时,当41)4(}24112411|{410)3(}1|{0)2(}2411,2411|{0)1(a a a x a a x a x x a aax a a x x a }1,1|{0)3(}1|{0)2(}11|{0)1(a a x x x a x x a x aa x a -><<<=<<->或时,当时,当时,当3.(1)若不等式04)2(2)2(2<--+-x a x a 对R x ∈恒成立,求实数a 的取值范围.(22≤<-a )(2)若不等式13642222<++++x x m mx x 的解集为R ,求实数m 的取值范围.(31<<m )4.(1)已知}0)1(|{},023|{22≤++-=≤+-=a x a x x B x x x A ,①若A B ,求实数a 的取值范围.;(2>a )②若A B ⊆,求实数a 的取值范围.;(21≤≤a )③若B A 为仅含有一个元素的集合,求a 的值.(1≤a )(2)已知}031|{≤--=x x x A ,B B A a x a x x B =≤++-= 且},0)1(|{2,求实数a 的取值范围. (31<≤a )(3) 关于x 的不等式2)1(|2)1(|22-≤+-a a x 与0)13(2)1(32≤+++-a x a x 的解集依次为A 与B , 若B A ⊆,求实数a 的取值范围. (31,1≤≤-=a a 或)(4)设全集R U =,集合}3|12||{},01|{<+=≥+-=x x B x ax x A ,若R B A = , 求实数a 的取值范围. (12≤≤-a )(5)已知全集R U =,}034|{},082|{},06|{2222<+-=>-+=<--=a ax x x C x x x B x x x A ,若C B A ⊆)( ,求实数a 的取值范围.( 21≤≤a )。
一元二次不等式测试题及答案一.选择题1.假如不等式ax 2+bx+c<0(a ≠0)的解集为空集,那么( ) A .a<0,Δ>0 B .a<0,Δ≤0 C .a>0,Δ≤0 D .a>0,Δ≥0 2.不等式(x+2)(1-x)>0的解集是( )A .{x|x<-2或x>1}B .{x|x<-1或x>2}C .{x|-2<x<1}D .{x|-1<x<2} 3.设f(x)=x 2+bx+1,且f(-1)=f(3),则f(x)>0的解集是( ) A .),3()1,(+∞⋃--∞ B .RC .{x|x≠1}D .{x|x=1}4.不等式(x+5)(3-2x)≥6的解集为( ) A.{x|x ≤-1或x≥29} B. {x|-1≤x≤29} C.{x|x ≥1或x≤-29}D. {x|-29≤x≤1}5.设一元二次不等式ax 2+bx+1>0的解集为{x|-1≤x≤31},则ab 的值是( )A.-6 B.-5 C.6 D.56.已知M={x|x2-2x -3>0},N={x |x2+ax+b ≤0},若M ∪N =R,M∩N=(3,]4,则a+b =( )A.7 B.-1 C.1 D.-77.已知聚集M ={x| x 2-3x -28≤0}, N={ x 2-x -6>0},则M ∩N 为( )A.{x|-4≤x<-2或3<x≤7} B .{x|-4<x≤-2或3≤x<7}C .{x|x≤-2或x>3}D .{x|x<-2或x≥3} 8.已知聚集M ={x|3x0x 1≥(-)},N ={y|y=3x2+1,x∈R},则M ∩N =()A.ÆB. {x|x≥1} C.{x|x>1} D.{x| x≥1或x<0}二.填空题9.有三个关于x 的方程:,已知个中至少有一个方程有实根,则实数a 的取值规模为10.若二次函数y=ax 2+bx+c(x ∈R)的部分对应值如下表:x -3 -2 -1 0 1 2 3 4 y 6 0 -4 -6 -6 -4 0 6则不等式ax 2+bx+c>0的解集是.11.若聚集A={x∈R|x2-4x+3<0},B={x∈R|(x-2)(x-5)<0},则A∩B=_______________________________.12.关于x 的方程x 2+ax+a 2-1=0有一正根和一负根,则a 的取值规模是.三.解答题:13.①不等式(a 2-1)x 2-(a-1)x-1 <0的解集为R,求a 的取值规模.②若a2-417a+1<0的解集为A,求使不等式x 2+ax+1>2x+a 在A a ∈时恒成立的x 的取值规模.114.①已知不等式02>++c bx ax 的解集为)3,2(,求不等式02<++a bx cx 的解集.②不等式ax 2+bx+c >0的解集为{x|α<x <β},个中0>β>α,求不等式cx 2+bx+a <0的解集. 115.已知A=,B=.(1)若B A,求a 的取值规模;(2)若A∩B 是单元素聚集,求a 取值规模. 参考答案: 一.选择题:1.C 解析:只能是启齿朝上,最多与x 轴一个交点情形∴a>0,Δ≤0; 2.C 解析:所给不等式即(x+2)(x-1)<0∴-2<x<13.C 解析:由f(-1)=f(3)知b=-2,∴f(x)=x 2-2x+1 ∴f(x)>0的解集是{x|x≠1} 4.D5.C 解析:设f(x)= ax 2+bx+1,则f(-1)=f(31)=0∴a=-3,b=-2∴ab=6.6.D 解析:A =(-∞,-1)∪(3,+∞)依题意可得,B =[1,4]∴a=-3,b=-4∴a+b =-77.A8.C 解析:M ={x │x>1或x ≤0},N ={x │x ≥1}∴M ∩N ={x │x>1} 二.填空题: 9.a≤-2,或a≥410.(-∞,-2)∪(3,+∞)解析:两个根为2,-3,由函数值变更可知a>0∴ax 2+bx+c>0的解集是(-∞,-2)∪(3,+∞). 11.{x │2<x<3}12.3-1<a<1解析:令f(x)= x 2+ax+a 2-1,由题意得f(0)<0即a 2-1<0∴-1<a<1.13.①当a 2-1=0时a=1,有x ∈R.当a 2-1≠ 0时,△=(a-1)2+4(a 2-1)=5a 2-2a-3<0a 2-1<0;即—<a<1时有x∈R. 综上所述:-<a≤1②.解析:由a 2-417a+1<0得a ∈(41,4),由x 2+ax+1>2x+a 得x<1-a 或x>1∴x ≤-3或x>1. 14①.(-3,-2)②解集为),1()1,(+∞∂⋃-∞β.15.解不等式得A=[1,2];而B={≤0}.(1)若B A,如图1,得a 的取值规模是1≤a<2.(2)若A∩B 是单元素聚集,如图2,A∩B 只能是聚集{1} ∴a 的取值规模是a≤1.。
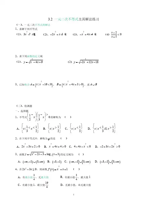
13.2 一元二次不等式及其解法练习(一)、一元二次不等式的解法1、求解下列不等式(1)、23710x x -≤ (2)、2250x x -+-< (3)、2440x x -+-< (4)205x x -<+2、求下列函数的定义域(1)、y (2)y =3、已知集合{}{}22|160,|430A x x B x x x =-<=-+>,求A B ⋃(二)、检测题一、选择题1、不等式11023x x ⎛⎫⎛⎫--> ⎪⎪⎝⎭⎝⎭的解集为 ( ) A 、11|32x x ⎧⎫<<⎨⎬⎩⎭ B 、1|2x x ⎧⎫>⎨⎬⎩⎭ C 、1|3x x ⎧⎫<⎨⎬⎩⎭ D 、11|32x x x ⎧⎫<>⎨⎬⎩⎭或 2、在下列不等式中,解集为φ的是 ( )A 、22320x x -+>B 、2440x x ++>C 、2440x x --<D 、22320x x -+->3、函数()2log 3y x =+的定义域为 ( )A 、()(),13,-∞-⋃+∞B 、()3,1--C 、(][),13,-∞-⋃+∞D 、(][)3,13,--⋃+∞4、若2230x x -≤,则函数()21f x x x =++ ( ) A 、有最小值34,无最大值 B 、有最小值34,最大值1 C 、有最小值1,最大值194 D 、无最小值,也无最大值2 5、若不等式210x mx ++>的解集为R ,则m 的取值范围是( )A .RB .()2,2-C .()(),22,-∞-+∞D .[]2,2-6、不等式()221200x ax a a --<<的解集是( )A .()3,4a a -B .()4,3a a -C .()3,4-D .()2,6a a7、不等式220ax bx ++>的解集是1123x x ⎧⎫-<<⎨⎬⎩⎭,则a b -=( ) A .14-B .14C .10-D .10 二、填空题8、设()21f x x bx =++,且()()13f f =,则()0f x >的解集为 。
一元二次不等式练习一、选择题1 .设集合 S= {x| — 5<x<5} , T = {x|x2 + 4x— 21<0},贝U S n T =( )A . {x| — 7<x< — 5}B . {x|3<x<5}C . {x| — 5<x<3}D . {x| — 7<x<5}2 .已知函数y = :ax2 + 2x + 3的定义域为R,贝U实数a的取值范围是()1 1 1A . a>0 B. a> C . a< D . 0<a<_3 3 3x + 13 .不等式 > 0的解集是()x — 2A . {x|x < — 1 或 x > 2}B . {x|x < — 1 或 x>2}C . {x|— 1 < x < 2}D .{x|— 1< x<2}I'114 .若不等式ax2 + bx — 2>0的解集为x| — 2<x< —-:贝U a,b的值分别是(A . a =一 8, b =一 10B . a =一 1, b= 9C . a = — 4,b = — 9D . a=— 1,b = 25 .不等式x(x— a+ 1)>a的解集是{x|x< — 1 或 x>a} ,则()A . a 》1B . a< — 1C . a>—1 D. a駅6 .已知函数f(x) = ax2 + bx + c,不等式f(x)>0的解集为{x| — 3<x<1},则函数y = f( — x)的图象为()7 •在R上定义运算。
:a O b = ab + 2a+ b,则满足x O(x — 2)<0的实数x的取值范围是()A • (0,2)B • ( — 2,1)C . (— ^,—2) L(1 ,+x)D . (—1,2)二、填空题8 .若不等式2x2— 3x+ a<0的解集为(m,1),贝U实数m的值为_________ .ax + b9 .若关于x的不等式ax — b>0的解集是(1, +^),贝U关于x的不等式 >0的解集x — 2是________ .10 .若关于x的方程9x + (4 + a)3x + 4 = 0有解,则实数a的取值范围是_________ .三、解答题11 .解关于 x 的不等式:ax2— 2 >2x— ax(a<0).12 •设函数 f(x)= mx 2 — mx — 1.( 1 )若对于一切实数 x ,f(x)<0 恒成立,求 m 的取值范围;⑵若对于x q i,3], f(x)< — m + 5恒成立,求m 的取值范围.■-S = {x |— 5<x <5}, T = {x |— 7<x <3},答案1.【解析】•'S A T = {x | — 5<x <3}.【答案】 Ca>0,[a>0,2. 【解析】 函数定义域满足ax 2+ 2x + 3>0,若其解集为R ,则应即[A< 0,| 4 — 12a < 0,【答案】 BX + 1f (x + 1 ]X — 2 尸 0,3. 【解析】> 0?? x >2或x < — 1.X — 2x — 2 丰 0【答案】 B14. 【解析】 依题意,方程ax 2+ bx — 2 = 0的两根为—2,—-,4r 1 b —2 —4=—a , a =— 4,•••即1 2 b =— 9.;=-一,2a【答案】 C5. 【解析】 x (x — a + 1)>a ? (x + 1)(x — a )>0 ,•• •解集为{x |x < —1 或 x >a } ,・a >— 1.【答案】 C.6.【解析】由题意可知,函数 f (x )= ax 2+ bx + c 为二次函数,其图象为开口向下的抛物线,与轴的交点是(一3,0), (1,0),又y = f (— x )的图象与f (x )的图象关于y 轴对称,故只有 B 符合.7. 【解析】 ’.a O b = ab + 2a + b,/x O (x — 2) = x (x —2) + 2x + x — 2 = x 2+ x — 2,原不等式化为—2<0 ?— 2<x <1.【答案】 B8.【解析】T 方程2x 2 — 3x + a = 0的两根为m,1 ,3m + 1 = 一,2a1m=;,【答案】1「a 》—.x 2 + xb ax + b9.【解析】由于 ax >b 的解集为(1 , + m ),故有 a >0 且一 =1.又 >0? (ax + b )(x —2) = a (x + 1)(xa x — 2—2)>0 ? (x + 1)(x — 2)>0,即 x <— 1 或 x >2.【答案】(—g,— 1) q 2,+ g )10.【解析】 方程9x+ (4 + a )3x+ 4 = 0化为:当且仅当3x= 2时取“ =”,「a < — 8.【答案】(一g,— 8]11.【解析】原不等式化为 ax 2+ (a — 2)x — 2 >0? (x + 1)(ax — 2) > 0.2 2①若一2<a <0,— 1,^y —wx < — 1 ;aa② 若 a =— 2,则 x =— 1;2③ 若 a < — 2,则—1 w x w .ar \2综上所述,当—2<a <0时,不等式解集为丿x 「w x w — 1 ;>;• aJ 当a = — 2时,不等式解集为{x |x =— 1};2当a < — 2时,不等式解集为」x |— 1 w x w12.【解析】(1)要使mx 2— mx — 1<0 , x 駅恒成立.若m = 0,— 1<0,显然成立;m <0 ,若m 丰0,则应?— 4<m <0.△= m 2+ 4m <0综上得,—4<m w 0.(2) -.x q 1,3], f (x )< — m + 5 恒成立,即 mx 2— mx — 1< — m + 5 恒成立;即 m (x 2— x + 1)<6 恒成立,而 x 2— x + 1>0 ,69x + 44 + a =——3x 43x + — W —4 , 、3xJ•'m< x 2— x +16x 2 — x +11x —一 2+ .2丿•••当x q 1,3]时,nin =7'•'m的取值范围是m<—.7精品资料。
一元二次不等式测试题及答案一、选择题1.如果不等式ax 2+bx+c<0(a ≠0)的解集为空集,那么〔 〕 A .a<0,Δ>0 B .a<0,Δ≤0 C .a>0,Δ≤0 D .a>0,Δ≥0 2.不等式〔x+2〕(1-x)>0的解集是〔 〕A .{x|x<-2或x>1}B .{x|x<-1或x>2}C .{x|-2<x<1}D .{x|-1<x<2}3.设f(x)=x 2+bx+1,且f(-1)=f(3),那么f(x)>0的解集是〔 〕 A .),3()1,(+∞⋃--∞ B .RC .{x|x≠1}D .{x|x=1} 4.不等式(x+5)(3-2x)≥6的解集为〔 〕A.{x|x ≤-1或x≥29} B. {x|-1≤x≤29} C.{x|x ≥1或x≤-29} D. {x|-29≤x≤1} 5.设一元二次不等式ax 2+bx+1>0的解集为{x|-1≤x≤31},那么ab 的值是〔 〕A.-6 B.-5 C.6D.56.M={x|x2-2x -3>0},N={x |x2+ax+b ≤0},假设M ∪N =R ,M∩N=(3,]4,那么a+b =〔 〕A.7 B.-1 C.1D.-77.集合M ={x| x 2-3x -28≤0}, N={ x 2-x -6>0},那么M ∩N 为〔 〕 A.{x|-4≤x<-2或3<x≤7} B .{x|-4<x≤-2或3≤x<7}C .{x|x≤-2或x>3}D .{x|x<-2或x≥3} 8.集合M ={x|3x 0x 1≥(-)},N ={y|y=3x2+1,x∈R},那么M ∩N =〔 〕A.Æ B. {x|x≥1} C.{x|x>1} D.{x| x≥1或x<0}二.填空题9、有三个关于x 的方程:,其中至少有一个方程有实根,那么实数a 的取值范围为 10.假设二次函数y=ax 2+bx+c(x ∈R)的局部对应值如下表:x -3 -2 -1 0 1 2 3 4 y 6-4-6-6-46那么不等式ax 2+bx+c>0的解集是 。
一元二次不等式练习
一、选择题
1.设集合S ={x |-5<x <5},T ={x |x 2+4x -21<0},则S ∩T =( )
A .{x |-7<x <-5}
B .{x |3<x <5}
C .{x |-5<x <3}
D .{x |-7<x <5}
2.已知函数y =ax 2+2x +3的定义域为R ,则实数a 的取值范围是( )
A .a >0
B .a ≥13
C .a ≤13
D .0<a ≤13
3.不等式x +1x -2
≥0的解集是( ) A .{x |x ≤-1或x ≥2} B .{x |x ≤-1或x >2}
C .{x |-1≤x ≤2}
D .{x |-1≤x <2}
4.若不等式ax 2+bx -2>0的解集为⎩⎨⎧⎭
⎬⎫x |-2<x <-14,则a ,b 的值分别是( ) A .a =-8,b =-10 B .a =-1,b =9
C .a =-4,b =-9
D .a =-1,b =2
5.不等式x (x -a +1)>a 的解集是{}x |x <-1或x >a ,则( )
A .a ≥1
B .a <-1
C .a >-1
D .a ∈R
6.已知函数f (x )=ax 2+bx +c ,不等式f (x )>0的解集为{}x |-3<x <1,则函数y =f (-x )的图象为( )
7.在R 上定义运算⊙:a ⊙b =ab +2a +b ,则满足x ⊙(x -2)<0的实数x 的取值范围是
( )
A .(0,2)
B .(-2,1)
C .(-∞,-2)∪(1,+∞)
D .(-1,2)
二、填空题
8.若不等式2x2-3x+a<0的解集为(m,1),则实数m的值为________.
9.若关于x的不等式ax-b>0的解集是(1,+∞),则关于x的不等式ax+b
x-2
>0的解集是
________.
10.若关于x的方程9x+(4+a)3x+4=0有解,则实数a的取值范围是________.
三、解答题
11.解关于x的不等式:ax2-2≥2x-ax(a<0).
.
12.设函数f(x)=mx2-mx-1.
(1)若对于一切实数x,f(x)<0恒成立,求m的取值范围;
(2)若对于x∈[1,3],f(x)<-m+5恒成立,求m的取值范围.
答案
1.【解析】 ∵S ={x |-5<x <5},T ={x |-7<x <3},
∴S ∩T ={x |-5<x <3}.
【答案】 C
2.【解析】 函数定义域满足ax 2+2x +3≥0,若其解集为R ,则应⎩⎪⎨⎪⎧ a >0,Δ≤0,即⎩⎪⎨⎪⎧
a >0,4-12a ≤0,∴a ≥13. 【答案】 B
3.【解析】 x +1x -2≥0⇔⎩⎪⎨⎪⎧ (x +1)(x -2)≥0,
x -2≠0
⇔x >2或x ≤-1. 【答案】 B
4.【解析】 依题意,方程ax 2+bx -2=0的两根为-2,-14
, ∴⎩⎨⎧ -2-14=-b a ,12=-2a ,即⎩⎪⎨⎪⎧
a =-4,
b =-9. 【答案】 C
5.【解析】 x (x -a +1)>a ⇔(x +1)(x -a )>0,
∵解集为{}
x |x <-1或x >a ,∴a >-1.
【答案】 C .6. 【解析】 由题意可知,函数f (x )=ax 2+bx +c 为二次函数,其图象为开口向下的抛物线,与x 轴的交点是(-3,0),(1,0),又y =f (-x )的图象与f (x )的图象关于y 轴对称,故只有B 符合.
7.【解析】 ∵a ⊙b =ab +2a +b ,∴x ⊙(x -2)=x (x -2)+2x +x -2=x 2+x -2,原不等式化为x 2+x -2<0⇔-2<x <1.
【答案】 B
8. 【解析】 ∵方程2x 2-3x +a =0的两根为m,1,
∴⎩⎨⎧ m +1=32,1·m =a 2,∴m =12
. 【答案】 12
9.【解析】 由于ax >b 的解集为(1,+∞),故有a >0且b a =1.又ax +b x -2
>0⇔(ax +b )(x -2)=a (x +1)(x -2)>0⇔(x +1)(x -2)>0,即x <-1或x >2.
【答案】 (-∞,-1)∪(2,+∞)
10.【解析】 方程9x +(4+a )3x +4=0化为:
4+a =-9x +43x =-⎝⎛⎭⎫3x +43x ≤-4, 当且仅当3x =2时取“=”,∴a ≤-8.
【答案】 (-∞,-8]
11.【解析】 原不等式化为ax 2+(a -2)x -2≥0⇔(x +1)(ax -2)≥0.
①若-2<a <0,2a <-1,则2a
≤x ≤-1;
②若a =-2,则x =-1;
③若a <-2,则-1≤x ≤2a
. 综上所述,当-2<a <0时,不等式解集为⎩⎨⎧⎭
⎬⎫x |2a ≤x ≤-1; 当a =-2时,不等式解集为{x |x =-1};
当a <-2时,不等式解集为⎩⎨⎧⎭
⎬⎫x |-1≤x ≤2a . 12.【解析】 (1)要使mx 2-mx -1<0,x ∈R 恒成立. 若m =0,-1<0,显然成立; 若m ≠0,则应⎩⎪⎨⎪⎧ m <0,
Δ=m 2+4m <0⇔-4<m <0.
综上得,-4<m ≤0.
(2)∵x ∈[1,3],f (x )<-m +5恒成立, 即mx 2-mx -1<-m +5恒成立; 即m (x 2-x +1)<6恒成立,而x 2-x +1>0, ∴m <6
x 2-x +1.
∵6x 2-x +1=6
⎝⎛⎭⎫x -122+34
,
∴当x ∈[1,3]时,⎝ ⎛⎭⎪⎫6x 2-x +1min =67,
∴m 的取值范围是m <67.。