最新一元二次不等式基础练习题
- 格式:doc
- 大小:72.50 KB
- 文档页数:2
一元二次不等式练习题含答案Company number:【0089WT-8898YT-W8CCB-BUUT-202108】一元二次不等式练习一、选择题1.设集合S ={x |-5<x <5},T ={x |x 2+4x -21<0},则S ∩T =( )A .{x |-7<x <-5}B .{x |3<x <5}C .{x |-5<x <3}D .{x |-7<x <5}2.已知函数y =ax 2+2x +3的定义域为R ,则实数a 的取值范围是( )A .a >0B .a ≥13C .a ≤13D .0<a ≤133.不等式x +1x -2≥0的解集是( ) A .{x |x ≤-1或x ≥2} B .{x |x ≤-1或x >2}C .{x |-1≤x ≤2}D .{x |-1≤x <2}4.若不等式ax 2+bx -2>0的解集为⎩⎨⎧⎭⎬⎫x |-2<x <-14,则a ,b 的值分别是( ) A .a =-8,b =-10 B .a =-1,b =9C .a =-4,b =-9D .a =-1,b =25.不等式x (x -a +1)>a 的解集是{}x |x <-1或x >a ,则( )A .a ≥1B .a <-1C .a >-1D .a ∈R6.已知函数f (x )=ax 2+bx +c ,不等式f (x )>0的解集为{}x |-3<x <1,则函数y =f (-x )的图象为( )7.在R 上定义运算⊙:a ⊙b =ab +2a +b ,则满足x ⊙(x -2)<0的实数x 的取值范围是( )A .(0,2)B .(-2,1)C .(-∞,-2)∪(1,+∞)D .(-1,2)二、填空题8.若不等式2x 2-3x +a <0的解集为(m,1),则实数m 的值为________.9.若关于x 的不等式ax -b >0的解集是(1,+∞),则关于x 的不等式ax +b x -2>0的解集是________.10.若关于x 的方程9x +(4+a )3x +4=0有解,则实数a 的取值范围是________.三、解答题11.解关于x 的不等式:ax 2-2≥2x -ax (a <0)..12.设函数f (x )=mx 2-mx -1.(1)若对于一切实数x ,f (x )<0恒成立,求m 的取值范围;(2)若对于x ∈[1,3],f (x )<-m +5恒成立,求m 的取值范围.答案1.【解析】 ∵S ={x |-5<x <5},T ={x |-7<x <3},∴S ∩T ={x |-5<x <3}.【答案】 C2.【解析】 函数定义域满足ax 2+2x +3≥0,若其解集为R ,则应⎩⎪⎨⎪⎧ a >0,Δ≤0,即⎩⎪⎨⎪⎧a >0,4-12a ≤0,∴a ≥13. 【答案】 B3.【解析】 x +1x -2≥0⎩⎪⎨⎪⎧ x +1x -2≥0,x -2≠0x >2或x ≤-1. 【答案】 B4.【解析】 依题意,方程ax 2+bx -2=0的两根为-2,-14, ∴⎩⎨⎧ -2-14=-b a ,12=-2a ,即⎩⎪⎨⎪⎧a =-4,b =-9. 【答案】 C5.【解析】 x (x -a +1)>a (x +1)(x -a )>0,∵解集为{}x |x <-1或x >a ,∴a >-1.【答案】 C .6. 【解析】 由题意可知,函数f (x )=ax 2+bx +c 为二次函数,其图象为开口向下的抛物线,与x 轴的交点是(-3,0),(1,0),又y =f (-x )的图象与f (x )的图象关于y 轴对称,故只有B 符合.7.【解析】 ∵a ⊙b =ab +2a +b ,∴x ⊙(x -2)=x (x -2)+2x +x -2=x 2+x -2,原不等式化为x 2+x -2<0-2<x <1.【答案】 B8. 【解析】 ∵方程2x 2-3x +a =0的两根为m,1,∴⎩⎨⎧ m +1=32,1·m =a 2,∴m =12. 【答案】 12 9.【解析】 由于ax >b 的解集为(1,+∞),故有a >0且b a =1.又ax +b x -2>0(ax +b )(x -2)=a (x +1)(x -2)>0(x +1)(x -2)>0,即x <-1或x >2.【答案】 (-∞,-1)∪(2,+∞)10.【解析】 方程9x +(4+a )3x +4=0化为:4+a =-9x +43x =-⎝⎛⎭⎫3x +43x ≤-4, 当且仅当3x =2时取“=”,∴a ≤-8.【答案】 (-∞,-8]11.【解析】 原不等式化为ax 2+(a -2)x -2≥0(x +1)(ax -2)≥0.①若-2<a <0,2a <-1,则2a≤x ≤-1; ②若a =-2,则x =-1;③若a <-2,则-1≤x ≤2a. 综上所述,当-2<a <0时,不等式解集为⎩⎨⎧⎭⎬⎫x |2a ≤x ≤-1; 当a =-2时,不等式解集为{x |x =-1};当a <-2时,不等式解集为⎩⎨⎧⎭⎬⎫x |-1≤x ≤2a . 12.【解析】 (1)要使mx 2-mx -1<0,x ∈R 恒成立.若m =0,-1<0,显然成立;若m ≠0,则应⎩⎪⎨⎪⎧m <0,Δ=m 2+4m <0-4<m <0. 综上得,-4<m ≤0.(2)∵x ∈[1,3],f (x )<-m +5恒成立, 即mx 2-mx -1<-m +5恒成立; 即m (x 2-x +1)<6恒成立,而x 2-x +1>0,∴m <6x 2-x +1. ∵6x 2-x +1=6⎝⎛⎭⎫x -122+34, ∴当x ∈[1,3]时,⎝ ⎛⎭⎪⎫6x 2-x +1min =67, ∴m 的取值范围是m <67.。
一元二次不等式练习题含答案Revised final draft November 26, 2020一元二次不等式练习一、选择题1.设集合S ={x |-5<x <5},T ={x |x 2+4x -21<0},则S ∩T =( )A .{x |-7<x <-5}B .{x |3<x <5}C .{x |-5<x <3}D .{x |-7<x <5}2.已知函数y =ax 2+2x +3的定义域为R ,则实数a 的取值范围是( )A .a >0B .a ≥13C .a ≤13D .0<a ≤133.不等式x +1x -2≥0的解集是( )A .{x |x ≤-1或x ≥2} B.{x |x ≤-1或x >2}C .{x |-1≤x ≤2} D.{x |-1≤x <2}4.若不等式ax 2+bx -2>0的解集为⎩⎨⎧⎭⎬⎫x |-2<x <-14,则a ,b 的值分别是()A .a =-8,b =-10B .a =-1,b =9C .a =-4,b =-9D .a =-1,b =2x|x<-1或x>a,则( ) 5.不等式x(x-a+1)>a的解集是{}A.a≥1 B.a<-1C.a>-1 D.a∈Rx|-3<x<1,则函6.已知函数f(x)=ax2+bx+c,不等式f(x)>0的解集为{}数y=f(-x)的图象为( )7.在R上定义运算⊙:a⊙b=ab+2a+b,则满足x⊙(x-2)<0的实数x的取值范围是( )A.(0,2) B.(-2,1)C.(-∞,-2)∪(1,+∞) D.(-1,2)二、填空题8.若不等式2x2-3x+a<0的解集为(m,1),则实数m的值为________.9.若关于x的不等式ax-b>0的解集是(1,+∞),则关于x的不等式ax+b>0的解集是________.x-210.若关于x的方程9x+(4+a)3x+4=0有解,则实数a的取值范围是________.三、解答题11.解关于x 的不等式:ax 2-2≥2x -ax (a <0)..12.设函数f (x )=mx 2-mx -1.(1)若对于一切实数x ,f (x )<0恒成立,求m 的取值范围;(2)若对于x ∈[1,3],f (x )<-m +5恒成立,求m 的取值范围.答案1.【解析】 ∵S ={x |-5<x <5},T ={x |-7<x <3},∴S ∩T ={x |-5<x <3}.【答案】 C2.【解析】 函数定义域满足ax 2+2x +3≥0,若其解集为R ,则应⎩⎨⎧ a >0,Δ≤0,即⎩⎨⎧ a >0,4-12a ≤0,∴a ≥13.【答案】 B3.【解析】 x +1x -2≥0⎩⎨⎧ x +1x -2≥0,x -2≠0x >2或x ≤-1.【答案】 B4.【解析】 依题意,方程ax 2+bx -2=0的两根为-2,-14, ∴⎩⎨⎧-2-14=-b a ,12=-2a ,即⎩⎨⎧ a =-4,b =-9.【答案】 C 5.【解析】 x (x -a +1)>a (x +1)(x -a )>0,∵解集为{}x |x <-1或x >a ,∴a >-1.【答案】 C.6. 【解析】 由题意可知,函数f (x )=ax 2+bx +c 为二次函数,其图象为开口向下的抛物线,与x 轴的交点是(-3,0),(1,0),又y =f (-x )的图象与f (x )的图象关于y 轴对称,故只有B 符合.7.【解析】 ∵a ⊙b =ab +2a +b ,∴x ⊙(x -2)=x (x -2)+2x +x -2=x 2+x -2,原不等式化为x 2+x -2<0-2<x <1.【答案】 B8. 【解析】 ∵方程2x 2-3x +a =0的两根为m,1,∴⎩⎨⎧m +1=32,1·m =a 2,∴m =12. 【答案】 12 9.【解析】 由于ax >b 的解集为(1,+∞),故有a >0且b a =1.又ax +b x -2>0(ax +b )(x -2)=a (x +1)(x -2)>0(x +1)(x -2)>0,即x <-1或x >2. 【答案】 (-∞,-1)∪(2,+∞)10.【解析】 方程9x +(4+a )3x +4=0化为:4+a =-9x +43x =-⎝⎛⎭⎪⎫3x +43x ≤-4, 当且仅当3x =2时取“=”,∴a ≤-8.【答案】 (-∞,-8]11.【解析】 原不等式化为ax 2+(a -2)x -2≥0(x +1)(ax -2)≥0.①若-2<a <0,2a <-1,则2a≤x ≤-1; ②若a =-2,则x =-1;③若a <-2,则-1≤x ≤2a. 综上所述,当-2<a <0时,不等式解集为⎩⎨⎧⎭⎬⎫x |2a ≤x ≤-1; 当a =-2时,不等式解集为{x |x =-1};当a <-2时,不等式解集为⎩⎨⎧⎭⎬⎫x |-1≤x ≤2a . 12.【解析】 (1)要使mx 2-mx -1<0,x ∈R 恒成立. 若m =0,-1<0,显然成立;若m ≠0,则应⎩⎨⎧ m <0,Δ=m 2+4m <0-4<m <0.综上得,-4<m ≤0.(2)∵x ∈[1,3],f (x )<-m +5恒成立,即mx 2-mx -1<-m +5恒成立;即m (x 2-x +1)<6恒成立,而x 2-x +1>0,∴m <6x 2-x +1.∵6x 2-x +1=6⎝⎛⎭⎪⎫x -122+34, ∴当x ∈[1,3]时,⎝ ⎛⎭⎪⎫6x 2-x +1min =67, ∴m 的取值范围是m <67.。
一元二次不等式练习一、选择题1.设集合S ={x |-5<x <5},T ={x |x 2+4x -21<0},则S ∩T =( )A .{x |-7<x <-5}B .{x |3<x <5}C .{x |-5<x <3}D .{x |-7<x <5}2.已知函数y =ax 2+2x +3的定义域为R ,则实数a 的取值范围是( )A .a >0B .a ≥13C .a ≤13D .0<a ≤133.不等式x +1x -2≥0的解集是( ) A .{x |x ≤-1或x ≥2} B .{x |x ≤-1或x >2}C .{x |-1≤x ≤2}D .{x |-1≤x <2}4.若不等式ax 2+bx -2>0的解集为⎩⎨⎧⎭⎬⎫x |-2<x <-14,则a ,b 的值分别是( ) A .a =-8,b =-10 B .a =-1,b =9C .a =-4,b =-9D .a =-1,b =25.不等式x (x -a +1)>a 的解集是{}x |x <-1或x >a ,则( )A .a ≥1B .a <-1C .a >-1D .a ∈R6.已知函数f (x )=ax 2+bx +c ,不等式f (x )>0的解集为{}x |-3<x <1,则函数y =f (-x )的图象为( )7.在R 上定义运算⊙:a ⊙b =ab +2a +b ,则满足x ⊙(x -2)<0的实数x 的取值范围是( )A .(0,2)B .(-2,1)C .(-∞,-2)∪(1,+∞)D .(-1,2)二、填空题8.若不等式2x2-3x+a<0的解集为(m,1),则实数m的值为________.9.若关于x的不等式ax-b>0的解集是(1,+∞),则关于x的不等式ax+bx-2>0的解集是________.10.若关于x的方程9x+(4+a)3x+4=0有解,则实数a的取值范围是________.三、解答题11.解关于x的不等式:ax2-2≥2x-ax(a<0)..12.设函数f(x)=mx2-mx-1.(1)若对于一切实数x,f(x)<0恒成立,求m的取值范围;(2)若对于x∈[1,3],f(x)<-m+5恒成立,求m的取值范围.答案1.【解析】 ∵S ={x |-5<x <5},T ={x |-7<x <3},∴S ∩T ={x |-5<x <3}.【答案】 C2.【解析】 函数定义域满足ax 2+2x +3≥0,若其解集为R ,则应⎩⎪⎨⎪⎧ a >0,Δ≤0,即⎩⎪⎨⎪⎧a >0,4-12a ≤0,∴a ≥13. 【答案】 B3.【解析】 x +1x -2≥0⇔⎩⎪⎨⎪⎧ (x +1)(x -2)≥0,x -2≠0⇔x >2或x ≤-1. 【答案】 B4.【解析】 依题意,方程ax 2+bx -2=0的两根为-2,-14, ∴⎩⎨⎧ -2-14=-b a ,12=-2a ,即⎩⎪⎨⎪⎧a =-4,b =-9. 【答案】 C5.【解析】 x (x -a +1)>a ⇔(x +1)(x -a )>0,∵解集为{}x |x <-1或x >a ,∴a >-1.【答案】 C .6. 【解析】 由题意可知,函数f (x )=ax 2+bx +c 为二次函数,其图象为开口向下的抛物线,与x 轴的交点是(-3,0),(1,0),又y =f (-x )的图象与f (x )的图象关于y 轴对称,故只有B 符合.7.【解析】 ∵a ⊙b =ab +2a +b ,∴x ⊙(x -2)=x (x -2)+2x +x -2=x 2+x -2,原不等式化为x 2+x -2<0⇔-2<x <1.【答案】 B8. 【解析】 ∵方程2x 2-3x +a =0的两根为m,1,∴⎩⎨⎧ m +1=32,1·m =a 2,∴m =12. 【答案】 129.【解析】 由于ax >b 的解集为(1,+∞),故有a >0且b a =1.又ax +b x -2>0⇔(ax +b )(x -2)=a (x +1)(x -2)>0⇔(x +1)(x -2)>0,即x <-1或x >2.【答案】 (-∞,-1)∪(2,+∞)10.【解析】 方程9x +(4+a )3x +4=0化为:4+a =-9x +43x =-⎝⎛⎭⎫3x +43x ≤-4, 当且仅当3x =2时取“=”,∴a ≤-8.【答案】 (-∞,-8]11.【解析】 原不等式化为ax 2+(a -2)x -2≥0⇔(x +1)(ax -2)≥0.①若-2<a <0,2a <-1,则2a≤x ≤-1;②若a =-2,则x =-1;③若a <-2,则-1≤x ≤2a. 综上所述,当-2<a <0时,不等式解集为⎩⎨⎧⎭⎬⎫x |2a ≤x ≤-1; 当a =-2时,不等式解集为{x |x =-1};当a <-2时,不等式解集为⎩⎨⎧⎭⎬⎫x |-1≤x ≤2a . 12.【解析】 (1)要使mx 2-mx -1<0,x ∈R 恒成立. 若m =0,-1<0,显然成立; 若m ≠0,则应⎩⎪⎨⎪⎧ m <0,Δ=m 2+4m <0⇔-4<m <0.综上得,-4<m ≤0.(2)∵x ∈[1,3],f (x )<-m +5恒成立, 即mx 2-mx -1<-m +5恒成立; 即m (x 2-x +1)<6恒成立,而x 2-x +1>0, ∴m <6x 2-x +1.∵6x 2-x +1=6⎝⎛⎭⎫x -122+34,∴当x ∈[1,3]时,⎝ ⎛⎭⎪⎫6x 2-x +1min =67,∴m 的取值范围是m <67.。
一元二次不等式练习题
一、基础练习题:
1. 解不等式 2x^2 - 3x - 2 > 0。
2. 解不等式x^2 + 5x + 6 ≤ 0。
3. 解不等式 x^2 - 4x + 3 < 0。
4. 解不等式 x^2 + 2x - 3 > 0。
5. 解不等式 3x^2 - 7x + 2 ≥ 0。
6. 解不等式4x^2 + 3x + 1 ≤ 0。
二、综合练习题:
1. 解不等式 x^2 + 4x - 5 > 0 的解集为何?
2. 解不等式 x^2 - 6x + 9 < 0 的解集为何?
3. 解不等式 x^2 + 3x - 10 ≥ 0 的解集为何?
4. 解不等式 2x^2 - 5x + 3 > 0 的解集为何?
5. 解不等式 3x^2 + 2x - 1 ≤ 0 的解集为何?
6. 解不等式 4x^2 + 4x + 1 < 0 的解集为何?
三、挑战练习题:
1. 解不等式 x^2 - 5x + 6 < 0 的解集为何?
2. 解不等式 x^2 - 9x + 18 > 0 的解集为何?
3. 解不等式 x^2 + 2x - 8 ≥ 0 的解集为何?
4. 解不等式 2x^2 - 3x - 2 ≤ 0 的解集为何?
5. 解不等式 3x^2 + 4x - 4 > 0 的解集为何?
6. 解不等式 4x^2 + 5x - 6 < 0 的解集为何?
请按照题目给出的一元二次不等式练习题进行解答,并在每个练习题后面标明解集。
注意使用合适的数学符号和格式,确保解答的清晰明了。
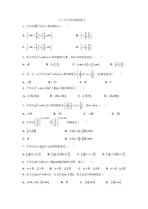
一元二次不等式基础练习1、不等式2654x x +<的解集为( )A .41,,32⎛⎫⎛⎫-∞-+∞ ⎪ ⎪⎝⎭⎝⎭ B .41,32⎛⎫- ⎪⎝⎭C .14,,23⎛⎫⎛⎫-∞-+∞ ⎪ ⎪⎝⎭⎝⎭D .14,23⎛⎫- ⎪⎝⎭2、若不等式210x mx ++>的解集为R ,则m 的取值范围是( )A .RB .()2,2-C .()(),22,-∞-+∞ D .[]2,2- 3、设一元二次不等式210ax bx ++>的解集为113x x ⎧⎫-<<⎨⎬⎩⎭,则ab 的值是( ) A .6- B .5- C .6 D .54、不等式()221200x ax a a --<<的解集是( )A .()3,4a a -B .()4,3a a -C .()3,4-D .()2,6a a5、不等式220ax bx ++>的解集是1123x x ⎧⎫-<<⎨⎬⎩⎭,则a b -=( ) A .14- B .14 C .10- D .106、不等式222693191122x x x x -+++⎛⎫⎛⎫≤ ⎪ ⎪⎝⎭⎝⎭的解集是( ) A .[]1,10- B .()[),110,-∞-+∞ C .R D .(][),110,-∞-+∞7、不等式()()120x x --≥的解集是( ) A .{}12x x ≤≤ B .{}12x x x ≥≤或 C .{}12x x << D .{}12x x x ><或8、不等式()200++<≠ax bx c a 的解集为∅,那么( ) A .0a <,0∆>B .0a <,0∆≤C .0a >,0∆≤D .0a >,0∆≥ 9、设()21f x x bx =++,且()()13f f -=,则()0f x >的解集是( )A .()(),13,-∞-+∞B .RC .{}1x x ≠D .{}1x x =10、若01a <<,则不等式()10a x x a ⎛⎫--> ⎪⎝⎭的解是( ) A .1a x a << B .1x a a<< C .x a <或1x a >D .1x a <或x a > 11、若0a b >>,则()()0a bx ax b --≤的解集是_____________________________.12、不等式20ax bx c ++>的解集为{}23x x <<,则不等式20ax bx c -+>的解集是________________________.13、已知不等式20x px q ++<的解集是{}32x x -<<,则p q +=________.14、已知不等式220ax bx ++>的解集为1123x x ⎧⎫-<<⎨⎬⎩⎭,则a 、b 的值为 . 15、不等式062-2<+k x kx 的解集为R ,则k 的取值范围是________________.16、解下列不等式1. 06522>+-a ax x2. 022≤-+k kx x17、若不等式04)2(2)2(2<--+-x a x a 对R x ∈恒成立,求实数a 的取值范围.。
例题1 题目:解不等式x 2 −4x+3>0。
答案:x<1 或x>3。
例题2 题目:解不等式2x 2 −5x−3≤0。
答案:− 2 1 ≤x≤3。
例题3 题目:解不等式x 2 −6x+9<0。
答案:无解。
例题4 题目:解不等式4x 2 −12x+9≥0。
答案:x= 2 3 。
例题5 题目:解不等式x 2 +2x−3<0。
答案:−3<x<1。
例题6 题目:解不等式x 2 −2x−8>0。
答案:x<−2 或x>4。
例题7 题目:解不等式3x 2 −5x−2≤0。
答案:− 3 1 ≤x≤2。
例题8 题目:解不等式x 2 +4x+4>0。
答案:x =−2。
例题9 题目:解不等式2x 2 +x−3≥0。
答案:x≤− 2 3 或x≥1。
例题10 题目:解不等式−x 2 +4x−4<0。
答案:x =2。
例题11 题目:解不等式x 2 −5x<0。
答案:0<x<5。
例题12 题目:解不等式4x 2 −4x+1>0。
答案:无解(因为不等式左侧是完全平方,始终非负,但等号不成立)。
例题13 题目:解不等式x 2 −3x−10≤0。
答案:−2≤x≤5。
例题14 题目:解不等式2x 2 +7x+3>0。
答案:x<− 2 3 或x>− 2 1 。
例题15 题目:解不等式x 2 −2 2 x+2≤0。
答案:x= 2 。
例题16 题目:解不等式x 2 +x−6<0。
答案:−3<x<2。
例题17 题目:解不等式x 2 −4x−5≥0。
答案:x≤−1 或x≥5。
例题18 题目:解不等式4x 2 −12x−5<0。
答案:需要求解对应的二次方程找到根,然后判断不等式的解集。
例题19 题目:解不等式−2x 2 +5x+3>0。
答案:− 2 1 <x<3。
例题20 题目:解不等式x 2 +6x+8≤0。
一、一元二次不等式及其解法1.形如)0)(0(02≠<>++a c bx ax 其中或的不等式称为关于x 的一元二次不等式.2.一元二次不等式20(0)ax bx c a ++>>与相应的函数2(0)y ax bx c a =++>、相应的方程20(0)ax bx c a ++=>判别式ac b 42-=∆0>∆ 0=∆0<∆ 二次函数c bx ax y ++=2(0>a )的图象()002>=++a c bx ax的解集)0(02>>++a c bx ax 的解集)0(02><++a c bx ax1、把二次项的系数变为正的。
(如果是负,那么在不等式两边都乘以-1,把系数变为正)2、解对应的一元二次方程。
(先看能否因式分解,若不能,再看△,然后求根)3、求解一元二次不等式。
(根据一元二次方程的根及不等式的方向)不等式的解法---穿根法一.方法:先因式分解,再使用穿根法.注意:因式分解后,整理成每个因式中未知数的系数为正. 使用方法:①在数轴上标出化简后各因式的根,使等号成立的根,标为实点,等号不成立的根要标虚点. ②自右向左自上而下穿线,遇偶次重根不穿透,遇奇次重根要穿透(叫奇穿偶不穿). ③数轴上方曲线对应区域使“>”成立, 下方曲线对应区域使“<”成立. 例1:解不等式(1) (x+4)(x+5)2(2-x)3<0 (2)x 2-4x+13x 2-7x+2≤1解:(1) 原不等式等价于(x+4)(x+5)2(x-2)3>0 根据穿根法如图不等式解集为{x ∣x>2或x<-4且x ≠5}.2-4-5(2)变形为(2x-1)(x-1)(3x-1)(x-2)≥0根据穿根法如图不等式解集为 {x |x< 1 3 或 12≤x ≤1或x>2}.巩固练习一、解下列一元二次不等式:1、0652>++x x2、0652≤--x x3、01272<++x x4、0672≥+-x x5、0122<--x x6、0122>-+x x7、01282≥+-x x 8、01242<--x x 9、012532>-+x x10、0121632>-+x x 11、0123732>+-x x 12、071522≤++x x13、0121122≥++x x 14、10732>-x x 15、05622<-+-x x16、02033102≤+-x x 17、0542<+-x x 18、0442>-+-x x19、2230x x --+≥ 20、0262≤+--x x 21、0532>+-x x22、02732<+-x x 23、0162≤-+x x 24、03442>-+x x25、061122<++x x 26、041132>+--x x 27、042≤-x28、031452≤-+x x 29、0127122>-+x x 30、0211122≥--x x31、03282>--x x 32、031082≥-+x x 33、041542<--x x34、02122>--x x 35、021842>-+x x 36、05842<--x x37、0121752≤-+x x 38、0611102>--x x 39、038162>--x x40、038162<-+x x 41、0127102≥--x x 42、02102>-+x x43、0242942≤--x x 44、0182142>--x x 45、08692>-+x x46、0316122>-+x x 47、0942<-x 48、0320122>+-x x49、0142562≤++x x 50、0941202≤+-x x 51、(2)(3)6x x +-<二填空题1、不等式(1)(12)0x x -->的解集是 ;2.不等式2654x x +<的解集为____________.3、不等式2310x x -++>的解集是 ;4、不等式2210x x -+≤的解集是 ;5、不等式245x x -<的解集是 ; 9、已知集合2{|4}M x x =<,2{|230}N x x x =--<,则集合MN = ;10、不等式220mx mx +-<的解集为R ,则实数m 的取值范围为 ;11、不等式9)12(2≤-x 的解集为___________________________。
一元二次不等式练习一、选择题1.设会合 S={x| -5<x<5},T={x| x2+4x- 21<0},则 S∩T=() A.{x| -7<x<-5}B. {x|3< x<5}C.{x| -5<x<3}D.{x| -7<x<5}2.已知函数=2+ 2x+3的定义域为 R,则实数 a 的取值范围是 () y ax111A.a>0 B. a≥C.a≤D. 0<a≤333x+13.不等式x-2≥0的解集是 ()A.{x| x≤-1 或 x≥ 2}B. {x| x≤-1 或 x>2} C.{x| -1≤x≤ 2} D.{x| -1≤x<2}4.若不等式 ax2+ bx- 2>0 的解集为 x| -2<x<-1,则 a, b 的值分别是 () 4A.a=- 8, b=- 10B. a=- 1,b=9C.a=- 4, b=- 9D.a=- 1,b=25.不等式 x(x-a+1)>a 的解集是{x| x<- 1或x>a},则 ()A.a≥ 1 B. a<-1C.a>-1 D.a∈R6.已知函数 f(x)=ax2+bx+c,不等式 f(x)>0 的解集为{x| - 3<x<1},则函数 y=f(-x)的图象为()7.在 R上定义运算⊙:a⊙ b= ab+2a+b,则知足 x⊙(x-2)<0 的实数 x 的取值范围是 () A.(0,2) B.(-2,1)C.(-∞,- 2)∪(1,+∞ )D. (-1,2)二、填空题8.若不等式 2x2- 3x+a<0 的解集为 (m,1),则实数 m 的值为 ________.ax+ b 9.若对于 x 的不等式 ax- b>0 的解集是 (1,+∞),则对于 x 的不等式x-2 >0 的解集是________.10.若对于 x 的方程 9x+ (4+a)3x+4=0 有解,则实数 a 的取值范围是 ________.三、解答题11.解对于 x 的不等式: ax2- 2≥2x-ax(a<0)..12.设函数 f(x)=mx2- mx-1.(1)若对于一确实数x,f(x)<0 恒建立,求 m 的取值范围;(2)若对于 x∈[1,3], f(x)<-m+ 5 恒建立,求 m 的取值范围.答案1.【分析】∵ S={x|-5<x<5},T={x|-7<x<3},∴S∩T={x| - 5<x<3}.【答案】 C2.【分析】函数定义域知足ax2+ 2x+3≥0,若其解集为 R,则应a>0,a>0,1即∴ a≥.Δ≤0,4- 12a≤0,3【答案】B3.【分析】x+1x+1x- 2≥0,x>2 或 x≤- 1. x-2≥0x-2≠0【答案】B4.【分析】依题意,方程ax2+ bx- 2= 0 的两根为- 2,-1,4- 2-1=-b,4a a=- 4,∴即12b=- 9.2=-a,【答案】C5.【分析】x(x- a+ 1)>a(x+ 1)(x- a)>0,∵解集为 {x| x<-1或x>a},∴a>-1.【答案】C.6. 【分析】由题意可知,函数f(x)= ax2+ bx+ c 为二次函数,其图象为张口向下的抛物线,与x 轴的交点是 (- 3,0),(1,0),又 y= f(-x)的图象与 f(x)的图象对于 y 轴对称,故只有 B 切合.7.【分析】∵ a⊙ b= ab+ 2a+ b,∴ x⊙ (x- 2)= x(x- 2)+2x+ x- 2= x2+ x- 2,原不等式化为x2+ x -2<0- 2<x<1.【答案】 B8. 【分析】∵方程 2x2- 3x+ a= 0 的两根为m,1,3,m+1 =2∴ m=1 .∴a,21·m=2【答案】1 29.【分析】b=1.又 ax+ b因为 ax>b 的解集为 (1,+∞),故有 a>0 且a x-2 >0(ax+ b)(x-2)= a(x+1)(x- 2)>0(x+1)(x-2)>0,即 x<- 1 或 x>2.【答案】 (-∞,- 1)∪ (2,+∞)10.【分析】方程 9x+ (4+ a)3x+ 4= 0 化为:9x+ 444+ a=-3x=- 3x+3x≤-4,当且仅当3x=2 时取“=”,∴ a≤- 8.【答案】(-∞,- 8]11.【分析】原不等式化为ax2+ (a- 2)x- 2≥0(x+ 1)(ax- 2)≥0.22①若- 2<a<0,a<-1,则a≤x≤-1;②若 a=- 2,则 x=- 1;2③若 a<- 2,则- 1≤x≤a.综上所述,当-2<a<0 时,不等式解集为2x| a≤x≤-1 ;当 a =- 2 时,不等式解集为 { x| x =- 1};2当 a<-2 时,不等式解集为x| - 1≤x ≤ .a12.【分析】 (1)要使 mx 2- mx - 1<0,x ∈ R 恒建立. 若 m = 0,- 1<0,明显建立;若 m ≠0,则应m<0,- 4<m<0.= m 2+ 4m<0综上得,- 4<m ≤0.(2)∵x ∈ [1,3] , f(x)<- m +5 恒建立, 即 mx 2- mx - 1<-m +5 恒建立;即 m(x 2- x +1)<6 恒建立,而 x 2- x +1>0,∴ m< 6 x 2- x +1.∵ 66 , =x 2- x +1 x - 12+ 32 466∴当 x ∈ [1,3] 时, x 2- x + 1min =7,∴ m 的取值范围是6 .m<7。
一元二次不等式的解法练习题(1)1. 不等式−2x 2+x +3≤0的解集是( )A. B.{x|x ≤−1或x ≥}C.{x|x ≤−或x ≥1}D.2. 不等式x 2−7x <0的解集是( ) A.{x|x <−7或x >0} B.{x|x <0或x >7} C.{x|−7<x <0}D.{x|0<x <7}3. 不等式x 2+2x −3≥0的解集是( ) A.{x|x ≥1} B.{x|x ≤−3} C.{x|−3≤x ≤1} D.{x|x ≤−3或x ≥1}4. 不等式x 2−4x −5>0的解集为( )A.{x|x ≥5或x ≤−1}B.{x|x >5或x <−1}C.{x|−1≤x ≤5}D.{x|−1<x <5}5. 不等式2x 2−x −1>0的解集是( ) A.(−12,1)B.(1,+∞)C.(−∞,1)∪(2,+∞)D.(−∞,−12)∪(1,+∞)6. 不等式组{x 2−2x −3<0log 2x <0 的解集为( )A.(−1, 0)B.(−1, 1)C.(0, 1)D.(1, 3)7. 已知集合A ={x ∈N|−2<x <4},B ={x|12≤2x ≤4},则A ∩B =( ) A.{x|−1≤x ≤2} B.{−1, 0, 1, 2} C.{1, 2} D.{0, 1, 2}8. 下列四个不等式中,解集为⌀的是()A.−x2+x+1≤0B.2x2−3x+4<0C.x2+6x+9≤0D.9. 已知函数f(x)=3x2−6x−1,则()A.函数f(x)有两个不同的零点B.函数f(x)在(−1, +∞)上单调递增C.当a>1时,若f(a x)在x∈[−1, 1]上的最大值为8,则a=3D.当0<a<1时,若f(a x)在x∈[−1, 1]上的最大值为8,则a=1310. 已知集合A={−1,0,2}, B={2,a2},若B⊆A,则实数a的值为________.11. 不等式|x−3|<2的解集为________.12. 不等式3x2−6x−5>4的解集为________.13. 已知不等式kx2−2x+6k<0(k≠0)若不等式的解集为{x|x<−3或x>−2},求实数k的值________.14. 不等式9−x2>0的解集是________.15. 已知集合A={x|x2−3x−10≤0}.(Ⅰ)若B={x|m−6≤x≤2m−1},A⊆B,求实数m的取值范围;(Ⅱ)若B={x|m+1≤x≤2m−1},B⊆A,求实数m的取值范围.16. 已知函数f(x)=ax2+bx−a+2.(1)若关于x的不等式f(x)>0的解集是(−1,3),求实数a的值;(2)若b=2,a>0,解关于x的不等式f(x)>0.17. 某企业生产A,B两种产品,根据市场调查与预测,A产品的利润与投资成正比,其关系如图1;B产品的利润与投资的算术平方根成正比,其关系如图2(利润和投资单(1)分别将A、B两种产品的利润表示为投资的函数关系式;(2)已知该企业已筹集到18万元投资金,并将全部投入A,B两种产品的生产,怎样分配这18万元,才能使该企业获得最大利润?其最大利润约为多少万元?参考答案与试题解析一元二次不等式的解法练习题(1)一、选择题(本题共计 7 小题,每题 5 分,共计35分)1.【答案】B【考点】一元二次不等式的应用【解析】将不等式变形为(x+1)(2x−3)≥0,由一元二次不等式的解法得出答案.【解答】不等式−2x2+x+3≤0,即2x2−x−3≥0,即(x+1)(2x−3)≥0,解得x≤−1或,故不等式−2x2+x+3≤0的解集是{x|x≤−1或x≥}.2.【答案】D【考点】一元二次不等式的应用【解析】不等式化为x(x−7)<0,求出解集即可.【解答】不等式x2−7x<0可化为x(x−7)<0,解得0<x<7,所以不等式的解集是{x|0<x<7}.3.【答案】D【考点】一元二次不等式的解法【解析】将不等式左边因式分解可得:(x+3)(x−1)≥0,从而可解不等式.【解答】解:由题意,不等式可化为:(x+3)(x−1)≥0,∴x≤−3或x≥1.故选D.4.【答案】B【考点】直接解一元二次不等式即可. 【解答】解:∵ x 2−4x −5>0, ∴ (x −5)(x +1)>0, 解得,x <−1或x >5. 故选B . 5.【答案】 D【考点】一元二次不等式的解法 【解析】 此题暂无解析 【解答】 此题暂无解答 6.【答案】 C【考点】其他不等式的解法 【解析】由题意可得,{−1<x <30<x <1 ,解不等式可求.【解答】由题意可得,{−1<x <30<x <1 ,即可得,0<x <1. 7. 【答案】 D【考点】 交集及其运算 【解析】化简集合A 、B ,根据交集的定义写出A ∩B . 【解答】集合A ={x ∈N|−2<x <4}={0, 1, 2, 3}, B ={x|12≤2x ≤4}={x|−1≤x ≤2},则A ∩B ={0, 1, 2}.二、 多选题 (本题共计 2 小题 ,每题 5 分 ,共计10分 ) 8.【答案】 B,D【考点】此题暂无解析【解答】此题暂无解答9.【答案】A,C,D【考点】二次函数的图象二次函数的性质【解析】结合二次函数的零点及单调性及复合函数的单调性与最值的关系分别检验各选项即可判断.【解答】因为二次函数对应的一元二次方程的判别式△=(−6)2−4×3×(−1)=48>0,所以函数f(x)有两个不同的零点,A正确;因为二次函数f(x)图象的对称轴为x=1,且图象开口向上,所以f(x)在(1, +∞)上单调递增,B不正确;令t=a x,则f(a x)=g(t)=3t2−6t−1=3(t−1)2−4.当a>1时,1a ≤t≤a,故g(t)在[1a,a]上先减后增,又a+1a2>1,故最大值为g(a)=3a2−6a−1=8,解得a=3(负值舍去).同理当0<a<1时,a≤t≤1a ,g(t)在[a,1a]上的最大值为g(1a)=3a2−6a−1=8,解得a=13(负值舍去).三、填空题(本题共计 5 小题,每题 5 分,共计25分)10.【答案】【考点】集合的包含关系判断及应用【解析】此题暂无解析【解答】解:已知A={−1,0,2}, B={2,a2},若B⊆A,则a2=0,解得:a=0.故答案为:0.11.【答案】(1, 5)【考点】由题意利用绝对值不等式的基本性质,求得不等式|x−3|<2的解集.【解答】不等式|x−3|<2,即−2<x−3<2,求得1<x<5,12.【答案】{x|x>3或x<−1}【考点】一元二次不等式的解法【解析】先化简不等式,然后根据十字相乘法求出不等式的解集.【解答】解:由题意得,不等式化简为x2−2x−3>0,所以(x−3)(x+1)>0,解得x>3或x<−1,所以不等式的解集为{x|x>3或x<−1}.故答案为:{x|x>3或x<−1}.13.【答案】−2 5【考点】一元二次不等式的解法【解析】(1)由题设条件,根据二次函数与方程的关系,得:k<0,且−3,−2为关于x的方程k x2−2x+6k=0的两个实数根,再由韦达定理能求出k的值.【解答】解:∵不等式kx2−2x+6k<0(k≠0)的解集为{x|x<−3或x>−2},∴−3和−2是方程kx2−2x+6k=0的两个根,∴−3+(−2)=2k,∴k=−25,故答案为:−25.14.【答案】{x|−3<x<3}【考点】一元二次不等式的解法【解析】此题暂无解析【解答】解:不等式9−x2>0变形为x2<9,所以解集为{x|−3<x <3}. 故答案为:{x|−3<x <3}.四、 解答题 (本题共计 3 小题 ,每题 10 分 ,共计30分 ) 15.【答案】集合A ={x|x 2−3x −10≤0}={x|−2≤x ≤5}, (1)∵ A ⊆B ,∴ {m −6≤−22m −1≥5 ,解得:3≤m ≤4,∴ 实数m 的取值范围为:[3, 4]; (2)∵ B ⊆A ,①当B =⌀时,m +1>2m −1,即m <2,②当B ≠⌀时,{m +1≤2m −1m +1≥−22m −1≤5,解得:2≤m ≤3,综上所述,实数m 的取值范围为:(−∞, 3]. 【考点】集合的包含关系判断及应用 【解析】先求出集合A ,再利用集合A 与集合B 的包含关系,列出不等式组,即可求出m 的取值范围,注意对空集的讨论. 【解答】集合A ={x|x 2−3x −10≤0}={x|−2≤x ≤5}, (1)∵ A ⊆B ,∴ {m −6≤−22m −1≥5 ,解得:3≤m ≤4,∴ 实数m 的取值范围为:[3, 4]; (2)∵ B ⊆A ,①当B =⌀时,m +1>2m −1,即m <2,②当B ≠⌀时,{m +1≤2m −1m +1≥−22m −1≤5 ,解得:2≤m ≤3,综上所述,实数m 的取值范围为:(−∞, 3]. 16.【答案】解:(1)∵ f (x )=ax 2+bx −a +2>0的解集为(−1,3), ∴ 方程ax 2+bx −a +2=0的两根为−1和3,且a <0, ∴ {−1+3=−ba ,−1×3=−a +2a ,解得{a =−1,b =2,∴ a 的值为−1.(2)∵ b =2,a >0,∴ 方程f (x )=0的两根为−1和a−2a,∴ 当−1>a−2a即a <1时,x <a−2a或x >−1;当−1=a−2a即a =1时,x ≠−1; 当−1<a−2a即a >1时,x <−1或x >a−2a,∴ 综上,当0<a <1时,原不等式解集为{x|x <a−2a或x >−1};当a =1时,原不等式解集为{x|x ≠−1}; 当a >1时,原不等式解集为{x|x <−1或x >a−2a}.【考点】一元二次不等式的解法 【解析】左侧图片未给出解析 左侧图片未给出解析【解答】解:(1)∵ f (x )=ax 2+bx −a +2>0的解集为(−1,3), ∴ 方程ax 2+bx −a +2=0的两根为−1和3,且a <0, ∴ {−1+3=−ba ,−1×3=−a +2a ,解得{a =−1,b =2,∴ a 的值为−1.(2)∵ b =2,a >0,∴ f (x )=ax 2+2x −a +2=(x +1)(ax −a +2)>0, ∴ 方程f (x )=0的两根为−1和a−2a,∴ 当−1>a−2a即a <1时,x <a−2a或x >−1;当−1=a−2a即a =1时,x ≠−1; 当−1<a−2a即a >1时,x <−1或x >a−2a,∴ 综上,当0<a <1时,原不等式解集为{x|x <a−2a或x >−1};当a =1时,原不等式解集为{x|x ≠−1}; 当a >1时,原不等式解集为{x|x <−1或x >a−2a}.17.f(x)=k1x(x≥0),g(x)=k2√x(x≥0),由图1,得f(1)=14,所以k1=14,则f(x)=14x(x≥0).由图2,得g(4)=4,所以k2=2,则g(x)=2√x(x≥0).(2)设B产品投入x万元,A产品投入(18−x)万元,该企业可获总利润为y万元,则y=14(18−x)+2√x,0≤x≤18.令√x=t,t∈[0, 3√2],则y=14(−t2+8t+18)=−14(t−4)2+172.所以当t=4时,y max=172=8.5,所以x=16,18−x=2.所以当A、B两种产品分别投入2万元、16万元时,可使该企业获得最大利润8.5万元. 【考点】二次函数在闭区间上的最值函数模型的选择与应用【解析】此题暂无解析【解答】解:(1)根据题意可设A,B两种产品的利润与投资的函数关系式分别为:f(x)=k1x(x≥0),g(x)=k2√x(x≥0),由图1,得f(1)=14,所以k1=14,则f(x)=14x(x≥0).由图2,得g(4)=4,所以k2=2,则g(x)=2√x(x≥0).(2)设B产品投入x万元,A产品投入(18−x)万元,该企业可获总利润为y万元,则y=14(18−x)+2√x,0≤x≤18.令√x=t,t∈[0, 3√2],则y=14(−t2+8t+18)=−14(t−4)2+172.所以x=16,18−x=2.所以当A、B两种产品分别投入2万元、16万元时,可使该企业获得最大利润8.5万元.试卷第11页,总11页。
22222222一、十字相乘法练习:1、x +5x+6=(x+2)(x+3)2、x -5x+6=(x-2)(x-3)3、x +7x+12=(x+3)(x+4)4、x -7x+6=(x-1)(x-6)5、x -x-12=(x-4)(x+3)6、x +x-12=(x+4)(x-3)7、x +7x+12=(x+4)(x+3) 8、x -8x+12=222222(x-2)(x-6) 9、x -4x-12=(x+2)(x-6) 10、3x +5x-12=(3x-4)(x+3) 11、3x +16x -12=(3x-2)(x+6)12、3x -37x+12=(3x-1)(x-12) 13、2x +15x +7=(2x+1)(x+7)14、2x -7x-15=(2x+3)(x-5) 22 15、2x +11x+12=(2x+3)(x+4)16、2x +2x-12=2(x-2)(x+3)二、一元二次不等式 2222解一元二次不等式的常见步骤:(1)、化不等式为一般格式:ax +bx+c>0(a>0)或ax +bx+c<0(a>0);(2)、(3)、ax +bx+c>0(a>0)ax +bx+c<0(a>0)65045033200440(21)(5)(3)0x x x x m x x +-<-+<-+<+->-++->2222222练习:1、解下列不等式:10(1)3x -7x>10;x<-1或x>(2)-2x ;R 3(3)x ;空集 (4)10x ;0.8<x<2.5(5)-x ;空集 (6)x x+m +m<0;m<x<m+1(7) ;-5<x<3 (8)(5-x)(3-x)<0x--40x x+32(11)0x 4x x >-<+;x<3或x>5(9)(5+2x)(3-x)<0;x<-2.5或x>3 (10);x<-3或>4 ;x<-4或>22x 230000x (1)0.111ax a a a a a x a a a a --<><=+--<>-<-=-222、(1)解关于的不等式x 时,不等式解为:-a<x<3a时,不等式解为:3a<x<-a时,不等式解为:空集(2)解关于的不等式x 时,不等式解为:-1<x<a时,不等式解为:a<x<-1时,不等式解为:空集230ax bx c ++>22、(1)若不等式的解集是{x -3<x<4},求不等式bx +2ax-c-3b<0的解;-3<x<5(2)已知一元二次不等式ax +bx+2>0的解集为{x|-2<x<1},求a 、b的值.a=b=-2x a 0;........a 0.x a D≤≤≤≤≤224、(1)若不等式ax +ax-5<0,对一切实数都成立,那么的取值范围是( )A.a<0;B.-20a<0;C.-20aD.-20<选 (2)对于任意实数,不等式ax +2ax-(a+2)<0恒成立,则的取值范围是______________________________-1<x 0(3)对任意x k k 2实数,不等式x +x+k>0恒成立,则的取值范围是___________>0.25 ∈≤5、某文具店购进一批新型台灯,若按每盏15元的价格出售,每天可卖出40盏,若售价每提高1元,日销售量将减少2盏,为了使这批台灯每天获得 500元以上的销售收入,应该把价格制定在__________{x N,15x <25}。
一元二次不等式练习一、填空1. 不等式230x x --<的解集是___________________2. 不等式260x x -+<的解集是___________________3. 不等式2690x x -+≤的解集是___________________4. 不等式240x x -+->的解集是___________________5. {}{}223280 60_________M x x x N x x x M N =--≤=-->=已知集合,,则I6. 不等式211xx >-的解集是___________________7. 不等式2x x +≥的解集是___________________8. 不等式98390x x -⋅-≥的解集是___________________9. 不等式2(1)(1)0x x +-≥的解集是___________________10. 不等式()(1)0x a x a --->的解集是___________________11. 不等式22210x ax a -+->的解集是____________________12. 已知不等式220ax bx ++>的解集为1123x x ⎧⎫-<<⎨⎬⎩⎭,则a +____b =二、解答13. 解关于x 的不等式22440x x m -+-≤14. 已知不等式20ax bx c ++>的解集为{}23x x x <>或,求不等式20bx ax c ++>的解集15. 已知不等式2(1)(1)10k x k x -+-+>的解集为R ,则k 的取值范围为16. ()()2(1 3)(1) ()60()(2) ()f x a f x x f x a f x f x a >-+=已知二次函数的二次项系数为,且不等式的解集为,若方程有两个相等的根,求的解析式若的最大值为正数,求的取值范围答案:1. ,2. (,2)(3,)-∞-+∞,3. {}3x x =,4. ∅5. [4,2)(3,7]--,6. (,1)(1,)-∞-+∞,7. [1,)-+∞,8. [2,)+∞9. {}1,1x x x ≥=-或, 10. (,)(1,)a a -∞++∞, 11. (,1)(1,)a a -∞-++∞ 12. 14-13. 当0m >时,解集是[]2,2m m -+;当0m <时,解集是[]2,2m m +-;当0m =时,解集是{}214.615x x ⎧⎫-<<⎨⎬⎩⎭15.[1,5)16.(1)2163()555f x x x =---;(2)20a a <-<<-。
一元二次不等式练习题(打印版)# 一元二次不等式练习题题目1:解一元二次不等式 \( ax^2 + bx + c > 0 \),其中 \( a = 2 \),\( b = -3 \),\( c = 1 \)。
解答:首先,将不等式转化为标准形式 \( 2x^2 - 3x + 1 > 0 \)。
接下来,找到一元二次方程 \( 2x^2 - 3x + 1 = 0 \) 的根。
通过求根公式 \( x = \frac{-b \pm \sqrt{b^2 - 4ac}}{2a} \),我们得到\( x = \frac{3 \pm \sqrt{9 - 8}}{4} \),即 \( x = 1 \) 或\( x = \frac{1}{2} \)。
由于 \( a > 0 \),抛物线开口向上,因此不等式的解集为 \( x < \frac{1}{2} \) 或 \( x > 1 \)。
题目2:求不等式 \( x^2 - 4x + 4 \leq 0 \) 的解集。
解答:首先,我们观察到这是一个完全平方形式,可以写成 \( (x - 2)^2 \leq 0 \)。
由于平方总是非负的,所以 \( (x - 2)^2 \) 只有在 \( x = 2 \) 时等于0。
因此,不等式的解集为 \( \{2\} \)。
题目3:判断不等式 \( 3x^2 - 6x + 2 \geq 0 \) 的解集。
解答:我们先计算判别式 \( \Delta = b^2 - 4ac = (-6)^2 - 4\cdot 3 \cdot 2 = 36 - 24 = 12 \)。
由于 \( \Delta > 0 \),方程 \( 3x^2 - 6x + 2 = 0 \) 有两个实数根。
求根公式给出 \( x =\frac{6 \pm \sqrt{12}}{6} \)。
由于 \( a > 0 \),抛物线开口向上,因此不等式的解集为 \( x \in (-\infty, \frac{3 -\sqrt{3}}{3}) \cup (\frac{3 + \sqrt{3}}{3}, +\infty) \)。
一元二次不等式练习题一、选择题1. 已知一元二次不等式x²-4x+3<0,解集为:A. (-∞,1)∪(3,+∞)B. (-∞,1)∪(3,+∞)C. (1,3)D. (-∞,1)∪(3,+∞)2. 一元二次不等式x²-6x+8<0的解集为:A. (-∞,2)∪(4,+∞)B. (-∞,2)∪(4,+∞)C. (2,4)D. (-∞,4)∪(4,+∞)3. 对于一元二次不等式ax²+bx+c>0,若a<0,则解集为:A. (-∞,-b/2a)∪(-b/2a,+∞)B. (-b/2a,+∞)C. (-∞,-b/2a)D. (-∞,-b/2a)∪(-b/2a,+∞)二、填空题1. 一元二次不等式x²-2x+1≤0的解集是______。
2. 若一元二次不等式ax²+bx+c>0的解集为R(实数集),则a______0。
三、解答题1. 解一元二次不等式x²-5x+6<0,并说明其解集。
2. 已知一元二次不等式x²-4x+4≤0,求出其解集,并判断该不等式是否有实数解。
四、证明题1. 证明:对于任意实数x,不等式(x-1)²≥0总是成立。
2. 证明:如果一元二次不等式ax²+bx+c<0的解集不为空,则a>0。
五、应用题1. 某工厂生产一种产品,其成本函数为C(x)=0.5x²-40x+1000,其中x表示生产量。
求出当生产量在哪个范围内时,成本小于1100元。
2. 某公司计划投资一项新项目,预计该项目的收益函数为R(x)=-2x²+120x-1000,其中x表示投资金额(单位:万元)。
求出该公司投资金额在哪个范围内时,收益大于等于0。
六、综合题1. 已知一元二次不等式ax²+bx+c≤0,其中a>0,b>0,c<0。
求出该不等式的解集,并讨论当a、b、c的值变化时,解集的变化情况。
一元二次不等式练习题一元二次不等式是高中数学中的重要内容,对于我们理解函数、方程和不等式之间的关系有着关键作用。
下面为大家准备了一些一元二次不等式的练习题,让我们一起来巩固和提升这方面的知识。
首先,来看这道题:已知不等式$x^2 5x + 6 > 0$,求其解集。
我们先将左边因式分解,得到$(x 2)(x 3) > 0$。
接下来,我们要找到使得不等式成立的$x$的取值范围。
因为两个因式的乘积大于 0,所以有两种情况:第一种情况,$x 2 > 0$且$x 3 > 0$,即$x > 2$且$x > 3$,所以$x > 3$。
第二种情况,$x 2 < 0$且$x 3 < 0$,即$x < 2$且$x < 3$,所以$x < 2$。
综上,该不等式的解集为$x < 2$或$x > 3$。
再看这道题:求解不等式$2x^2 7x + 3 \leq 0$。
同样先因式分解,$2x^2 7x + 3 =(2x 1)(x 3) \leq 0$。
然后分析:要使乘积小于等于 0 ,则有三种情况:第一种,$2x 1 \geq 0$且$x 3 \leq 0$,即$x \geq \frac{1}{2}$且$x \leq 3$,所以$\frac{1}{2} \leq x \leq 3$。
第二种,$2x 1 \leq 0$且$x 3 \geq 0$,此时$x$无解。
第三种,$2x 1 = 0$或$x 3 = 0$,解得$x =\frac{1}{2}$或$x = 3$。
综上,不等式的解集为$\frac{1}{2} \leq x \leq 3$。
接下来这道题:已知不等式$3x^2 + 5x 2 < 0$,求其解集。
先因式分解:$3x^2 + 5x 2 =(3x 1)(x + 2) < 0$。
要使乘积小于 0 ,则有两种情况:第一种,$3x 1 < 0$且$x + 2 > 0$,解得$-2 < x <\frac{1}{3}$。
第二种,$3x 1 > 0$且$x + 2 < 0$,此时$x$无解。
13.2 一元二次不等式及其解法练习(一)、一元二次不等式的解法1、求解下列不等式(1)、23710x x -≤ (2)、2250x x -+-< (3)、2440x x -+-< (4)205x x -<+2、求下列函数的定义域(1)、y (2)y =3、已知集合{}{}22|160,|430A x x B x x x =-<=-+>,求A B ⋃(二)、检测题一、选择题1、不等式11023x x ⎛⎫⎛⎫--> ⎪⎪⎝⎭⎝⎭的解集为 ( ) A 、11|32x x ⎧⎫<<⎨⎬⎩⎭ B 、1|2x x ⎧⎫>⎨⎬⎩⎭ C 、1|3x x ⎧⎫<⎨⎬⎩⎭ D 、11|32x x x ⎧⎫<>⎨⎬⎩⎭或 2、在下列不等式中,解集为φ的是 ( )A 、22320x x -+>B 、2440x x ++>C 、2440x x --<D 、22320x x -+->3、函数()2log 3y x =+的定义域为 ( )A 、()(),13,-∞-⋃+∞B 、()3,1--C 、(][),13,-∞-⋃+∞D 、(][)3,13,--⋃+∞4、若2230x x -≤,则函数()21f x x x =++ ( ) A 、有最小值34,无最大值 B 、有最小值34,最大值1 C 、有最小值1,最大值194 D 、无最小值,也无最大值2 5、若不等式210x mx ++>的解集为R ,则m 的取值范围是( )A .RB .()2,2-C .()(),22,-∞-+∞D .[]2,2-6、不等式()221200x ax a a --<<的解集是( )A .()3,4a a -B .()4,3a a -C .()3,4-D .()2,6a a7、不等式220ax bx ++>的解集是1123x x ⎧⎫-<<⎨⎬⎩⎭,则a b -=( ) A .14-B .14C .10-D .10 二、填空题8、设()21f x x bx =++,且()()13f f =,则()0f x >的解集为 。
精品文档
一元二次不等式强化
222222222一、十字相乘法练习:
1、x +5x+6=
2、x -5x+6=
3、x +7x+12=
4、x -7x+6=
5、x -x-12=
6、x +x-12=
7、x +7x+12= 8、x -8x+12= 9、x -4x-12= 2222222 10、3x +5x-12= 11、3x +16x-12=
12、3x -37x+12= 13、2x +15x+7=
14、2x -7x-15= 15、2x +11x+12=
16、2x +2x-12=
二、一元二次不等式
22解一元二次不等式时
化为一般格式:ax +bx+c>0(a>0)或ax +bx+c<0(a>0);
65045033200440(21)(5)(3)0x x x x m x x +-<-+<-+<+->-++->2222222练习:
1、解下列不等式:
(1)3x -7x>10; (2)-2x ;
(3)x ; (4)10x ;
(5)-x ; (6)x x+m +m<0;(7) ; (8)(5-x)(3-x)<0;
(9)(5+2x)(3-x)<0; (1x--40x+3
2(11)04x x
>-<+0); ;
2x 230
x (1)0.
ax a a x a --<+--<222、(1)解关于的不等式x
(2)解关于的不等式x
精品文档
230ax bx c ++>22、(1)若不等式的解集是{x -3<x<4},求不等式bx +2ax-c-3b<0的解;
(2)已知一元二次不等式ax +bx+2>0的解集为{x|-2<x<1},求a 、b 的值.
x a 0;........a 0.
x a x ≤≤≤≤224、(1)若不等式ax +ax-5<0,对一切实数都成立,那么的取值范围是( )
A.a<0;
B.-20a<0;
C.-20a
D.-20< (2)对于任意实数,不等式ax +2ax-(a+2)<0恒成立,则的取值范围是 ______________________________
(3)对任意实数,不等式x k 2+x+k>0恒成立,则的取值范围是___________。