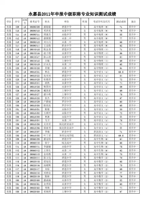
2014年海口市中小学(幼儿园)教师中级职称教育教学能力考试成绩表
- 格式:xls
- 大小:337.00 KB
- 文档页数:54
陕西省中小学教师职称(职务)评审表单位:通镇中心小学姓名:张俊任教学科:语文现任专业技术职务:二级教师申报专业技术职务:一级教师填表时间:2016年 11月 22日陕西省人力资源和社会保障厅制填表说明1、本表用于普通中小学、职业中学、幼儿园、特殊教育学校、工读学校、教学研究机构、教师进修学校和校外教育机构的在职教师申报专业技术职务任职资格时填写。
2、本表主要由单位组织填写,基本情况等栏目也可由专业技术人员本人填写。
3、填写时一律用钢笔或签字笔填表,内容要具体、真实,字迹要工整、清楚。
4、如内容较多,空格不够时,可另加附页。
一、基本情况姓名张俊民族汉族参加工作时间健康状况行政职务曾用名性别女出生年月1982.11籍贯陕西省榆林市佳县政治面貌群众照2004.2 教龄13 学段小学班主任年限13健康任教学科语文片最高学位及授予时间取得学研究生大学本科大学专科年月毕业于学(院)专业(学制年)2011 年7 月毕业于陕西师范大学学(院)汉语言文学专业(学制2 年)2008 年6 月毕业于陕西师范大学学(院)汉语言文学专业(学制 3 年)历情中专况其他现任教师职称(职务)取得教师资格证种类及专业懂何种外语达到何种程度参加何学术团体任何职务任现职以来获县级以上综合奖励情况2003 年 7 月毕业于绥德师范学(院)普师专业(学制 3 年)年月毕业于学(院)专业(学制年)取得二级教师2010.12.20 聘任期限 2011 年 1 月至 2016 年 12 月时间小学教师资格教师资格0 0 3 6 1 8 0 7 2 1 0 0 0 4 7 8语文2证书号码全国职称全国专业技术人员外语考试计算机应用能力考试级别及成绩合格模块数社会兼职普通话推广员时间项目等级名次批准机关2011.12论文《浅谈农村小学班主任工作任重道远》县级一等奖县教研室2012.12论文《浅谈农村小学教育教学中的普通话教学》县级一等奖县教研室2013.3 县“教学能手”县级获奖县教育局2014.122014 年县中青年教师学科能力知识竞赛县级三等奖县教育局2015.9榆林市第三届中小学生爱国影评交流活动市级优秀指导市教育局老师2015.9榆林市“一师一优课一课一名师”评选活动市级三等奖市教育局2015.9论文《浅谈普通话在教学中的作用》国家级一等奖《科学导报》编辑部2015.122015 年县中青年教师学科能力知识竞赛县级三等奖县教育局2016.4 2016 年县中小学幼儿园教师读写技能大赛小学组县级一等奖县教育局2016.4 2016 年县中小学幼儿园教师读写技能大赛普通话县级一等奖县教育局2016.5 2015 年榆林市中青年教师学科能力知识竞赛决赛市级优胜奖市教育局2016.62016 年全县中小学质量检测考试小学语文县级二等奖县教育局2016.7论文《浅谈指导三年级学生写读书笔记》县级二等奖县教研室- 1 -二、个人简历初起止时间学校证明人中以2000.9—— 2003.8绥德师范学校宋永华上学2005.9—— 2008.6陕师大网络学院房喻习经2009.4—— 2011.7陕师大网络学院房喻历起止时间工作单位承担主要工作任务职务工作经历2004.2—— 2011.7 木头峪中心小学语文教学工作班主任工作2011.8—— 2014.7 坑镇中心小学语文教学工作班主任工作语文教研组组长2014.8——至今通镇中学小学语文教学工作班主任工作起止时间进修单位进修内容及成绩进修情况2005.7-8佳县函授站全员培训合格2005.9-2008.6 陕西师范大学汉语言文学所有课程合格2006.4-5佳县函授站信息技术培训所有课程合格2009.4-2011.7 陕西师范大学汉语言文学所有课程合格2010.5 . 28 佳县函授站阳光师训合格2010.11-2011.3国家教育部网络部国培计划所有课程合格2012.10-2013.1国家教育部网络部国培计划所有课程合格2013.8-2014.7 佳县教研室校本研修《高效课堂的基本策略》合格2013 年度佳县函授站公需科目专业科目合格2014.1-2015.7佳县教研室校本研修《朗读教学普通话习惯的养成》合格2014 年度佳县函授站公需科目专业科目合格2015.7-8榆林市继教中心国学素养的提升合格2015 年度佳县函授站公需科目专业科目合格2016 年度佳县函授站公需科目专业科目合格- 2 -三、教学情况1、任现职以来完成课堂教学工作情况起止时间讲授课程名称及其他教学任务2010.8-2011.2 三年级一、二班语文班主任2011.2-2011.7 三年级一、二班语文班主任2011.8-2012.1 四年级一、二班语文班主任2012.2-2012.7 四年级一、二班语文班主任2012.8-2013.1 五年级一、二班语文班主任2013.2-2013.7 五年级一、二班语文班主任2013.8-2014.1 六年级一、二班语文班主任2014.2-2014.7 六年级一、二班语文班主任2014.8-2015.1 一年级一、二班语文班主任2015.2-2015.7 一年级一、二班语文班主任2015.8-2016.1 二年级一、二班语文班主任2016.2-2016.7 二年级一、二班语文班主任学生周学总学备注人数时数时数106 14 280112 14 280113 14 280106 14 280113 14 280113 14 280113 14 280112 14 280112 16 320112 16 320116 16 320116 16 320任现职以来年平均课时 580 学时年平均课时- 3 -2、任现职以来教学工作获奖情况时间批准机关项目等级位次2011.2-2014.7坑镇中心小学“模范教师” “优秀班主任”各七次校级2013.3 县教育局“教学能手”县级2014.8-2016.7通镇中心小学“模范教师” “优秀班主任”各四次校级2014.12 县教育局2014 年中青年教师学科能力知识竞赛县级三等奖2015.9 市教育局榆林市第三届中小学生爱国影评活动市级优秀奖2015.9 市教育局榆林市“一师一优课一课一名师”活动市级三等奖2015.12 县教育局2015 年中青年教师学科能力知识竞赛县级三等奖2016.4 县教育局2016 年县中小学幼儿园教师教学技能大赛小学组县级一等奖2016.4 县教育局2016 年县中小学幼儿园教师教学技能大赛普通话县级一等奖2016.5 市教育局2015 年榆林市中青年教师学科能力知识竞赛决赛市级优胜奖2016.6 县教育局2016 年县中小学质量检测考试小学语文县级二等奖3、任现职以来公开教学情况(示范课,观摩课,讲座等)示范(观摩、讲座)课内容时间年范围评议意见科目课题级2011.4.6 3.1 语文《争吵》全校优2011.9.3 4.1 语文《长城》全校优2012.3.16 4.1 语文《将心比心》全校优2012.10.11 5.1 语文《将相和》全校优2013.5.17 4.1 语文《乡下人家》全县优2013.9.21 6.1 语文《穷人》全校优2014.6.7 6.1 语文《卖火柴的小女孩》全校优2014.10.16 1.1 语文《四季》全校优2015.6.12 1.1 语文《两只鸟蛋》全校优2015.9.16 2.1 语文《花钟》全校优2016.4.21 2.1 语文《小鹿的玫瑰花》全校优- 4 -四、教学能力、水平、效果等教学评价2010- 2011- 2012- 2013- 2014- 2015- 学年度2011 2012 2013 2014 2015 2016 任现职以来教师评议96% 91% 95% 90% 98% 99% 各学年度评议优秀率及考核结果考核结果优秀称职优秀称职优秀优秀1、学生综合评价意见部门负责人签字:年月日2、所在年级组或教研室(组)意见部门负责人签字:年月日3、学校教务部门意见部门负责人签字:年月日- 5 -五、任现职以来完成教育工作情况学年及学期班主任及其它教育工作成绩效果被评为 2 次“优秀班主2011.2-2013.7担任 2014 届一班班主任工作任”2 次“优秀班级体”2013.8-2014.7担任 2014 届一班班主任工作被评为 2 次“模范班主兼语文教研组组长任”一次“优秀班级体”被评为 2 次“优秀班主2014.8-2015.7担任 2019 届一班班主任工作任” 2 次“模范集体”2015.8-2016.7 担任 2019 届一班班主任工作被评为 2 次“优秀班主任”1 次“模范班集体”六、教科研情况1、任现职以来发表、出版的主要论文、著作及编写教材、作品情况时间题目本人撰写报刊或出版社位备总字数级别注部分及字数次《浅谈农村小学班主1900 字2011.12 全部《佳县教育》县级任工作任重道远》《浅谈农村小学教育2400 字2012.12 全部《佳县教育》县级教学中的普通话教学》《浅谈普通话在教学3500 字2015.9 全部《科学导报教育论坛》国家级中的作用》《浅谈知道三年级学县注:论文或著作被其他报刊转载、摘录的,请在备注栏内说明。
陕西省中小学教师职称任职资格
评审表
姓名:
工作单位:
单位类别:
申报学科:
现任职称:
申报职称:
填表时间:年月日
陕西省人力资源和社会保障厅制
填表说明
1.本表用于普通中小学、职业中学、幼儿园、特殊教育学校、工读学校、教学研究机构、教师进修学校和校外教育机构的在职教师申报职称任职资格时填写。
2.单位类别根据本人所在单位性质按“高级中学”、“职业中学”、“初级中学”、“小学”、“幼儿园”、“教学研究机构”、“教师进修学校”选填。
3.本表主要由单位组织填写,基本情况等栏目也可由教师本人填写。
4.填写时一律用钢笔或签字笔填表,内容要具体、真实,字迹要工整、清楚。
5.如内容较多,空格不够时,可另加附页。
- 2 -
- 9-
- 10 -
- 11 -
- 12 -
各种证件复印件粘贴页
2、所有证件复印件要和基本情况栏目填写的相一致,纸张大小要等同于粘贴页。
3、各证件复印件必须有学校单位审核人签字及公章。
- 13 -。
河南省中小学(幼儿园)教师水平评价标准豫人社职称〔2014〕11 号关于印发《河南省中小学(幼儿园)教师水平评价标准》的通知各省辖市人力资源和社会保障局,省直管县(市)人力资源和社会保障局,省直各单位:根据国家关于中小学教师职称制度改革的有关精神,在广泛征求意见的基础上,我们制定了《河南省中小学(幼儿园)教师水平评价标准》,现印发给你们,请按照国家和我省有关要求认真贯彻实施。
2014年8月28日(此件主动公开)河南省中小学(幼儿园)教师水平评价标准第一章总则第一条为了全面贯彻落实党和国家的教育方针,加强中小学(幼儿园)教师队伍建设,科学、客观、公正地评价中小学(幼儿园)教师的教育教学能力水平和工作实绩,调动广大教师教书育人的积极性,促进教育事业发展,根据国家和我省职称改革的有关政策规定,结合中小学(幼儿园)教师队伍实际,制定本评价标准。
第二条中小学(幼儿园)教师专业技术职务分为员级、助理级、中级、副高级和正高级,名称依次为:三级教师、二级教师、一级教师、高级教师和正高级教师。
第三条中小学(幼儿园)高级教师和正高级教师采取讲课答辩和专家评审相结合的方式进行评价。
一、二、三级教师的评价方式由省辖市、省直管县(市)或省直主管部门根据实际情况拟定,并报省人力资源社会保障厅批准后实施。
第四条本评价标准适用于我省普通中小学、幼儿园、职业中学、特殊教育学校、工读学校以及各级教研室、电化教育馆和校外教育机构中从事中小学教育教学、学前教育和教研工作的在职在岗教师。
民办中小学校(幼儿园)教师可参照本评价标准参加职称评审。
第二章申报条件第五条基本条件(一)拥护中国共产党的领导,胸怀祖国,热爱人民,遵守宪法和法律,贯彻党和国家的教育方针,忠诚人民教育事业。
(二)遵守《中小学教师职业道德规范》,具有良好的职业道德和高尚师德,牢固树立爱与责任的意识,爱岗敬业,关爱学生,为人师表,教书育人。
(三)具备相应的教师资格,符合中小学、幼儿园教师或校(园)长专业标准要求,具备相应的专业知识和教育教学能力,在教育教学一线工作,身心健康,切实履行岗位职责和义务。
申报评审材料规范性要求——装订要求送审材料装订要求1、所有申报材料均为两袋,原件一袋,复印件一袋(除申报评审表、一览表外其它材料使用复印件装订成一册,装订成册复印材料不再退回,包括中小学教案),每人提供一张小二寸照片,照片背后标注姓名、单位等信息。
2、材料袋要按规定的统一格式制作材料袋封面。
3、采取A4纸大小装订,要装订整齐,装订册封面和目录要按照统一要求的格式排版打印,页码编写在右下角,且和目录对应。
4、装订册要按照规定的装订目录顺序装订。
按目录分类顺序对个人申报材料相应进行归类,对目录中二级目录以下的材料顺序,申报人员可自行排序。
5、材料袋封面和装订册封面需加盖单位人事(职改)部门公章。
6、在乡镇卫生院和城市社区卫生服务机构中申报卫生系列基层人员副高级专业技术职务任职资格的人员需在《评审表》封皮、申报信息库备注栏、申报材料袋封面“单位(盖章)”位置,标注“卫生技术基层人员”字样。
基层申报人员在申报评审表和证书上加盖“基层专业技术人才”专用章。
7、非公有制企业申报专业技术职务资格的人员需在《评审表》封皮、申报信息库备注栏、申报材料袋封面“单位(盖章)”位置,标注“非公人员”字样。
8、中小学教师申报高、中级专业技术职务资格的人员,须附培养指导青年教师材料(以青年教师获奖证书及经学校验证的辅导青年教师过程性材料为准)。
申报评审材料规范性要求——材料袋封面职称申报人员基本情况表(贴材料袋封面)单位(章)申报评审材料规范性要求——装订册封面××××××(单位)专业技术职务任职资格评审材料(黑体,一号)(装订册封面不能用红色,A4纸)姓名:申报评审材料规范性要求——装订册目录目录申报材料真实性承诺书……………………………………………………………………………页码申报晋升人员量化评分推荐排名表………………………………………………………………页码申报晋升人员量化评分推荐情况表………………………………………………………………页码晋升高级职称说课情况表(中小学教师填报)…………………………………………………页码现任《专业技术职务任职资格评审表》《资格考试合格人员登记表》)复印件………………………页码引进高层次人才申报晋升高级专业技术职务任职资格登记表…………………………………页码专业技术人员破格申报晋升高级专业技术职务任职资格登记表………………………………页码专业技术人员延长退休年龄审批表复印件………………………………………………………页码职务任免文件或工资表单复印件(分流人员填报)……………………………………………页码养老保险费缴纳凭证(记录)复印件(企业及人才代理人员填报)…………………………页码单位局域网申报推荐公示首页和本人页页面的打印截图或照片(由单位提供给个人组卷)…………………………………………………………………………………………………页码学历、资历一、学历学位证书复印件…………………………………………………………………………页码二、现任专业技术职务任职资格证书复印件……………………………………………………页码三、专业考试合格证书复印件……………………………………………………………………页码四、从业资格证书复印件…………………………………………………………………………页码外语、计算机能力(由主管部门会同用人单位,根据工作需要确定是否作为申报评审的必要条件。
2024年教师考核鉴定表自我鉴定范文在这一年里,我遵纪守法,热爱本职工作,团结同事,服从分工安排,坚守工作岗位,圆满地完成了自身的工作任务。
以实际行动,以党的教育理论方针为指导,为人师表,解放思想,开拓进取,创新改进工作方法。
工作中坚持面向全体学生,以人为本,培优转差,师生和谐,共同进步。
注重自身的业务培训和提高,着重修学了《专业技术人员职业道德与创新能力教程》和《教育系统突发公共事件应急管理》,以及有关最新的法律知识,并有机地贯彻到教育教学活动中去,使学生在学习书本知识的同时,增加了自我安全和公共安全意识,心存居安思危、防患于未然和胸怀祖国,面向世界的理念课堂教学方面,我针对当前的较小班规模,采取“激发—愉悦—体验”的做法,例如:(1)互设提问,互相简评,尽最大的可能从一问一答中找出闪光点,以利愉悦、促提高;(2)数学计算方面,在板演练习的同时,掺入互改互评的环节活动,在发现问题的同时也在寻求着解决问题的手段和方法;(3)对个别的后进生,布置作业时实施减轻措施,一般地说,负担轻了,压力就小而信心就足,这样做实际上是留给他们自觉赶超的空间,时机一到,灵感闪烁,就有可能点燃智慧的火花,自然就有所产生飞跃。
通过实施这一理念做法,使学生真正感受到“强中还有强中手”的意味,体会到学习是既紧张,也愉悦,有时还是轻松的。
学习应是师生互动,生生互动,甚至是家长与“我”的互动,进而达到“求之切”、“获之牢”的目的。
在上课之余,本人积极参加体育锻炼,增强身体素质,也热爱劳动,继承和发扬了艰苦奋斗的精神,丰富了业余生活,使自己在各方面都得到了相应的提高。
“宝剑锋从磨砺出,梅花香自苦寒来”,本人坚信通过不断地努力和进取,会让自己成为一名优秀的教师,为社会主义教育事业贡献我毕生的力量。
2024年教师考核鉴定表自我鉴定范文(2)在这一年里,我遵纪守法,热爱本职工作,团结同事,服从分工安排,坚守工作岗位,圆满地完成了自身的工作任务。
教师中级职称评选总结报告在教学工作中,我的努力得到了回报,所任班级成绩突出,受到学校领导的肯定,我会继续努力丰富自己,提高自己,为祖国的教育事业努力奋斗。
光阴似箭,转眼间我已参加工作将近____年了,回首这____年来的教育教学工作,在领导的关心与帮助及个人的勤奋努力下,我在各方面都取得了一定的成绩。
现总结如下:(一)政治思想表现方面我自任现职以来,坚持____教育方针与政策,热爱教育事业,一心扑在教育教学工作上,视教育事业为自己的生命一样重要。
在工作中,我始终坚信:只要持之以恒,锲而不舍地辛勤劳动,就一定能够提高学校教学质量,改变学校社会形象,重塑学校社会舆论,最终把学校打造成为社会信任,家长放心,学生健康、快乐成长的模范学校。
为了这个目标,长期以来,我始终坚持做到:以校为家,爱生如子,兢兢业业,勤勤恳恳地耕耘在自己的岗位上。
(二)文化专业知识水平方面(三)教育教学及教研能力方面1、在教育教学工作中,最重要的是要提高教学质量,而提高教学质量关键是上好课。
因此在教学工作方面,优化教学方法,按常规做好课前、课中、课后的各项工作,认真钻研教材,课堂教学真正体现教师为主导,学生为主体的教学思想,创设情境,诱发学生的认知需求和创新欲望,使学生从情感、思维和行为上主动参与学习。
同时对学生的作业严格要求,培养良好的作业习惯等等。
因此在这样的教学理念下,我所任教的班级在每次期中或期末里都取得了不错的成绩。
2、教研工作上,为了学习各种先进的教学理念和教学技能,尽快地提高自己的业务水平,我不断地听取本校老师的公开课,而且常到外地听课与听讲座。
光听他人上课,自己不去锻炼,那么自己的教学只能提高一点点。
听课不仅学习他人的教学理念,学习他人方法,而且还提高自己的教学水平。
当然作为教师,单听课还是远远不够的。
因而本人也积极地加入教研活动。
自任现职以来在本校开了多节公开课。
(四)班主任工作态度及履行职责方面在任现职期间,我曾经担任过班主任工作。
2024年教师中级职称评审条件示例文章篇一:《2024年教师中级职称评审条件,我知道的那些事儿》我呀,有个超级棒的老师,她叫李老师。
李老师对我们可好了,就像我们的大姐姐一样。
最近呢,我听到大人们在谈论2024年教师中级职称评审条件的事儿,我就特别好奇,这到底是个啥呢?我回家就问我爸爸,我爸爸可是个百事通呢。
爸爸说呀,2024年教师中级职称评审条件肯定和老师的教学水平有很大关系。
那啥叫教学水平呢?我觉得就像厨师做菜一样,如果厨师做的菜大家都爱吃,那这个厨师肯定厨艺高超。
老师也是啊,如果同学们都爱听这个老师讲课,那这个老师的教学水平肯定差不了。
我就想到我们李老师上课的时候,那声音就像百灵鸟一样动听。
她讲的课可有趣了,就像把我们带到了一个奇妙的世界里。
比如说讲数学的时候,那些数字在她嘴里就像有了魔法一样,不再是枯燥的符号。
那这样的教学能力是不是在评审条件里很重要呢?我又跑去问隔壁的王叔叔,王叔叔也是个老师。
王叔叔告诉我,除了教学水平,老师的师德也是很关键的一点。
师德是什么呀?我歪着脑袋想了半天。
王叔叔笑着说,师德就像一个灯塔,给学生们指引正确的方向。
一个有良好师德的老师,就像温暖的阳光,总是在关心着学生。
我突然就明白了,我们李老师就是这样的啊。
有一次,班上的小明同学生病了,李老师可着急了,忙前忙后的,就像照顾自己的孩子一样。
这肯定就是师德的体现呀。
我想,在2024年的评审条件里,师德肯定是不可或缺的。
还有啊,我在学校里听到老师们在讨论继续教育的事儿。
我就想,这继续教育和中级职称评审条件会不会有关联呢?我又去问我妈妈,妈妈说继续教育就像是给老师充电呢。
时代在发展,知识在更新,如果老师不学习新的知识,就像手机没有充电一样,怎么能更好地教我们呢?我想也是哦,我们现在学的东西越来越新奇了,要是老师不学习,那怎么能教我们呢?我记得有一次,李老师给我们讲关于太空的知识,她讲得特别详细,后来我才知道,李老师参加了一个关于太空科学的继续教育课程呢。
2024教师年度考核表个人总结范本光阴似箭,日子如梭。
转眼间一学年的各项工作已接近尾声,为了更好地做好今后的工作,总结经验、吸取教训,本人特就____年的工作小结如下:一、思想品德本人能积极参加政治学习,遵守劳动纪律,团结同道,热爱集体,服从分配,对班级工作认真负责,在工作中努力求真、求实、求新。
以积极热情的心态往完成园里安排的各项工作。
积极参加园内各项活动及年级组教研活动,做好各项工作,积极要求进步。
爱岗敬业,做到耐心、爱心、公平、尊重地对待每一个孩子。
二、本学年取得的成绩教育工作在教学中我深知要进步教学质量,关键就是要上好课。
为了上好课,我备好每一节课。
自己动手制作教学用图和教学用具。
了解幼儿原有的知识技能的质量,他们的爱好、需要、方法、习惯、学习新知识可能碰到的困难,并采取相应的措施。
关注全体幼儿,注重个别教育,使其保持相对稳定性,同时激发幼儿的情感,使幼儿产生愉快的心境,创造良好的课堂气氛。
积极地参加公然课和各种竞赛活动。
多看对业务有帮助的书籍,不断扩宽知识面,为教学内容注进新的活力。
1、在教育教学活动中,为幼儿创设良好的机会与条件,提供充足的操纵材料。
根据班上幼儿的年龄特征,充分调动各种感官感知事物,使之在参加活动的过程中,认知和把握事物的特征与属性。
在一日活动中,留意教给幼儿初浅的、简单的生活知识经验,培养幼儿独立解决题目的能力。
2、在教育教学活动中认真备课,做好课前的物质预备和知识预备工作。
留意将理论贯串于教学实践中,善于总结经验,每月撰写教育随笔,以进步自身能力与写作能力。
3、在教学中要处理好幼儿的主体地位及教师的主导地位,以多种形式引导幼儿有爱好地参与活动,并主动往学习,更好地因材施教,因人施教,认真领会了新《纲要》精神。
4、认真填写周、月计划及各种表格。
5、认真做好特殊儿童的个案记录,做到有分析、有目标、有记录、有反馈。
6、根据制定的活动目标、内容与要求组织好教育教学活动的各环节,保证好幼儿天天的游戏活动及户外活动时间,提供幼儿活动材料,更好地培养幼儿的全面发展能力。