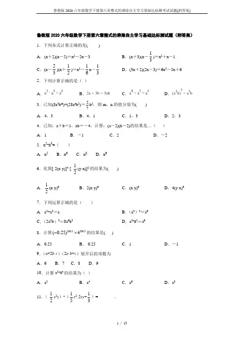
2020年鲁教版(五四制)六年级下册数学第六章 整式的乘除单元测试题及答案
- 格式:docx
- 大小:51.35 KB
- 文档页数:5
六年级数学下册第六章整式的乘除综合测评考试时间:90分钟;命题人:数学教研组考生注意:1、本卷分第I 卷(选择题)和第Ⅱ卷(非选择题)两部分,满分100分,考试时间90分钟2、答卷前,考生务必用0.5毫米黑色签字笔将自己的姓名、班级填写在试卷规定位置上3、答案必须写在试卷各个题目指定区域内相应的位置,如需改动,先划掉原来的答案,然后再写上新的答案;不准使用涂改液、胶带纸、修正带,不按以上要求作答的答案无效。
第I 卷(选择题 30分)一、单选题(10小题,每小题3分,共计30分)1、计算()22a b --得( )A .2244a ab b ++B .2244a ab b -+C .2224a ab b ---D .2244a ab b --- 2、()()()()()24816231313131311⨯++++++的计算结果是( )A .3231+B .3231-C .313D .3233、下列运算正确的是( )A .a 12÷a 3=a 4B .(3a 2)3=9a 6C .2a •3a =6a 2D .(a ﹣b )2=a 2﹣ab +b 24、已知am =5,an =2,则a 2m +n 的值等于( )A .50B .27C .12D .255、下列选项的括号内填入a 3,等式成立的是( )A .a 6+( )=a 9B .a 3•( )=a 9C .( )3=a 9D .a 27÷( )=a 96、下列运算正确的是( )A .623x x x ÷=B .339a a a ⋅=C .()3326x x =D .222422a a a -=7、若()()2105x mx x x n +-=-+,则m n 的值为( )A .6-B .8C .16-D .188、下列计算正确的是( )A .235a a a +=B .()3223a b a b =C .238()a a =D .236()a a -=-9、下列计算正确的是( )A .x 2+x 2=x 4B .(2x 2)3=6x 6C .3x 2÷x =3xD .(x ﹣1)2=x 2﹣110、数字0.000000006用科学记数法表示为( )A .8610-⨯B .9610-⨯C .10610-⨯D .11610-⨯第Ⅱ卷(非选择题 70分)二、填空题(5小题,每小题4分,共计20分)1、比较大小:562________289.(填“>,<或=”)2、如图1,将边长为x 的大正方形剪去一个边长为1的小正方形(阴影部分),并将剩余部分沿虚线剪开,得到两个长方形,再将这两个长方形拼成图2所示长方形.这两个图能解释一个等式是______.3、若0(4)1-=a ,则a __.4、比较大小:0.54___________0.45;若正数,x y 满足35x y =,则35x y -___________5、若关于x 的多项式(x +m )(2x ﹣3)展开后不含x 项,则m 的值为 _____.三、解答题(5小题,每小题10分,共计50分)1、化简求值()()()221411x x x +--+,其中 14x =;2、先化简,再求值:()()()()224a b a b a b a a b ++-+--,其中2a =,12b =-. 3、计算:(a ﹣2b )(a +2b )﹣(a ﹣2b )2+8b 2.4、己知x ,y 满足()2230x y -+-=.先化简,再求值:()()()()()22222x y x y x y y y x y ⎡⎤-+--++÷-⎣⎦. 5、请阅读下列材料:我们可以通过以下方法求代数式2813x x ++的最小值.()2222281324441343x x x x x ++=+⋅⋅+-+=+-∵()240x +≥∴当x =-4时,2813x x ++有最小值-3请根据上述方法,解答下列问题:(1)()22222610233310x x x x x a b ++=+⋅⋅+-+=++,则a =______,b =______;(2)求证:无论x 取何值,代数式25x ++的值都是正数:(3)若代数式2227x kx -+的最小值为4,求k 的值.-参考答案-一、单选题1、A【解析】【分析】变形后根据完全平方公式计算即可.【详解】解:()22a b -- =()2+2a b=2244a ab b ++,故选A .【点睛】本题考查了完全平方公式,熟练掌握完全平方公式(a ±b )2=a 2±2ab +b 2是解答本题的关键.2、D【解析】【分析】原式化为()()()()()()248163131313131311-⨯++++++,根据平方差公式进行求解即可.【详解】解:()()()()()24816231313131311⨯++++++()()()()()()248163131313131311=-⨯++++++ ()()()()()22481631313131311=-+++++ 32311=-+323=故选D .【点睛】本题考查了平方差公式的应用.解题的关键与难点在于应用平方差公式.3、C【解析】【分析】分别根据同底数幂的除法运算法则,积的乘方与幂的乘方运算法则,单项式乘以单项式运算法则以及完全平方公式对各项分别计算出结果再进行判断即可.【详解】解:A 、1239a a a ÷=,原选项计算错误,故不符合题意;B 、()326327a a =,原选项计算错误,故不符合题意;C 、2236a a a ⋅=,原式计算正确,故符合题意;D 、222()2a b a ab b -=-+,原选项计算错误,故不符合题意;故选:C .【点睛】此题主要考查了同底数幂的除法,积的乘方与幂的乘方,单项式乘以单项式以及完全平方公式,熟练掌握相关运算法则是解答此题的关键.4、A【解析】【分析】直接利用同底数幂的乘法运算法则计算得出答案.【详解】解:∵a m=5,a n=2,5、C【解析】【分析】根据同底数幂的乘除,幂的乘方运算法则求解即可.【详解】解:A中639+≠,不符合要求;a a aB中339⋅≠,不符合要求;a a aC中()339=,符合要求;a aD中2739a a a÷≠,不符合要求;故选C.【点睛】本题考查了同底数幂的乘除与幂的乘方.解题的关键在于正确的计算.6、D【解析】【分析】根据幂的运算公式,合并同类项计算判断.【详解】∵624x x x ÷=,∴A 不符合题意;∵336a a a ⋅=,∴B 不符合题意;∵()3328x x =,∴C 不符合题意;∵222422a a a -=,∴D 符合题意;故选D .【点睛】本题考查了幂的运算,整式的加减,熟练掌握幂的运算公式是解题的关键.7、D【解析】【分析】根据多项式乘以多项式展开,根据多项式相等即可求得对应字母的值,进而代入代数式求解即可.【详解】解:()()2555x x n x nx x n -+=+--, ()()2105x mx x x n +-=-+,5nx x mx ∴-=,510n -=-,5n m ∴-=,2n =,解得:3m =-,2n =,3128m n -∴==. 故选:D .【点睛】本题考查了多项式乘以多项式,负整数指数幂,掌握以上知识是解题的关键.8、D【解析】【分析】根据合并同类项、同底数幂的乘法、同底数幂的除法、积的乘方分别计算即可.【详解】解:A 、2a 与3a 不属于同类项,不能合并,故A 不符合题意;B 、2363()a b a b =,故B 不符合题意;C 、236()a a =,故C 不符合题意;D 、236()a a -=-,故D 符合题意.故选:D .【点睛】本题主要考查了合并同类项,幂的乘方与积的乘方,解答的关键是对相应的运算法则的掌握.9、C【解析】利用合并同类项的法则,积的乘方的法则,单项式除以单项式的法则,完全平方公式对各项进行运算即可.【详解】解:A 、x 2+x 2=2x 2,故A 不符合题意;B 、(2x 2)3=8x 6,故B 不符合题意;C 、3x 2÷x =3x ,故C 符合题意;D 、(x -1)2=x 2-2x +1,故D 不符合题意;故选:C .【点睛】本题主要考查整式的混合运算,解答的关键是对相应的运算法则的掌握.10、B【解析】【分析】根据绝对值小于1的数可以用科学记数法表示,一般形式为a ×10-n ,与较大数的科学记数法不同的是其所使用的是负指数幂,指数由原数左边起第一个不为零的数字前面的0的个数所决定,即可求解.【详解】解:0.000000006用科学记数法表示为9610-⨯故选:B【点睛】本题考查用科学记数法表示较小的数,熟练掌握一般形式为10n a -⨯ ,其中110a ≤<,n 为由原数左边起第一个不为零的数字前面的0的个数所决定是解题的关键.1、<【解析】【分析】先化为指数相等的2个数,再比较底数即可求解.【详解】()2856228224==,49< ∴562<289故答案为:<【点睛】本题考查了逆用幂的乘方运算,掌握幂的乘方运算是解题的关键.2、()()2111x x x -=+-【解析】【分析】根据图形可以用代数式表示出图1和图2的面积,由此得出等量关系即可.【详解】解:由图可知,图1的面积为:x 2−12,图2的面积为:(x +1)(x −1),所以x 2−1=(x +1)(x −1).故答案为:x 2−1=(x +1)(x −1).【点睛】本题考查平方差公式的几何背景,解答本题的关键是明确题意,列出相应的代数式.3、4a ≠【解析】【分析】根据零指数幂的意义即可得到结论.【详解】解:()041a -=,40a ∴-≠,4a ∴≠,故答案为:4a ≠.【点睛】本题考查了零指数幂,熟练掌握零指数幂的意义是解题的关键.4、 > <【解析】【分析】 利用分数指数幂把原数变形为0.50.455432,525,再比较大小,利用幂的运算结合333505535125313,33243xy y x y y y y 从而可得第二空的答案.【详解】 解:2150.550.455524442232,5525,525,0.50.445,35x y =,,x y 为正数,3335,x y333505535125313,33243xy y x y y y y350,x y故答案为:>,<【点睛】本题考查的是分数指数幂的含义,幂的运算,代数式的值的比较,熟练的运用幂的运算法则是解本题的关键.5、32##1.5 【解析】【分析】根据多项式乘多项式可进行把含x 的多项式进行展开,然后再根据题意可求解.【详解】解:()()()222323232233x m x x x mx m x m x m +-=-+-=+--,∵展开后不含x 项,∴230m -=,解得:32m =;故答案为32. 【点睛】本题主要考查多项式乘多项式,熟练掌握多项式乘多项式是解题的关键.三、解答题1、45x +,6.【解析】【分析】先利用完全平方公式和平方差公式去括号,然后合并同类项,最后代值计算即可.【详解】解:2(21)4(1)(1)x x x +--+2244144x x x =++-+45x =+ 当14x =时,原式1451564=⨯+=+=. 【点睛】本题主要考查了整式的化简求值,解题的关键在于能够熟练掌握乘法公式.2、28a ab +,-4【解析】【分析】用乘法公式及单项式乘多项式的法则计算,再合并同类项即可化简;再所给的值代入化简后的式子中即可求得值.【详解】原式22222244448a ab b a b a ab a ab =+++--+=+当2a =,12b =-时,原式2128242⎛⎫=+⨯⨯-=- ⎪⎝⎭【点睛】本题是化简求值题,考查了整式的乘法及求代数式的值,熟练运用乘法公式及单项式乘多项式是关键.3、4ab【解析】【分析】根据整式的乘法公式及运算法则化简,合并即可求解.【详解】(a ﹣2b )(a +2b )﹣(a ﹣2b )2+8b 2=a 2-4b 2-a 2+4ab -4b 2+8b 2=4ab .【点睛】此题主要考查整式的乘法运算,解题的关键是熟知其运算法则及运算公式.4、22y x -,2【解析】【分析】先利用平方差公式,完全平方公式单项式乘以多项式法则计算合并同类项,再计算多项式除以单项式,然后根据非负数性质求出字母的值,再代入计算即可.【详解】解:原式()()222224222x y x xy y y xy y ⎡⎤=---+++÷-⎣⎦,()()244222xy y y y x =-÷-=-;又∵()2230x y -+-=,()22030x y -≥-≥,,2=030x y --=,,∴2x =,3y =,∴原式=2223222y x -=⨯-⨯=.【点睛】本题考查条件化简求值,非负数性质,乘法公式,掌握条件化简求值,非负数性质,乘法公式是解题关键.5、 (1)3;1(2)见解析(3)k =【解析】【分析】(1)将2610x x ++配方,然后与22610()x x x a b ++=++比较,即可求出a 、b 的值;(2)先利用完全平方公式配方,再根据偶次方的非负性列式求解;(3)二次项系数为1的二次三项式配方时,常数项为一次项系数一半的平方,故先将代数式提取公因数2,再配方,然后根据2227x kx -+的最小值为4,可得关于k 的方程,求解即可.(1)解:22610(3)1x x x ++=++而22610()x x x a b ++=++所以a =3,b =1故答案为:3;1(2)解:∵25x ++22225x x =++-+(22x =+无论x 取何值,(20x ≥,∴(2022x +≥>∴无论x 取何值,代数式25x ++的值都是正数.(3)解:2227x kx -+22()7x kx =-+2222()()722k k x kx ⎡⎤=-+-+⎢⎥⎣⎦ 222()722k k x =--+ ∵代数式2227x kx -+有最小值4 ∴2742k -+= ∴26k =∴k =【点睛】本题考查了配方法在最值问题与证明题中的应用,明确如何配方并读懂材料中的方法是解题的关键,配方法属于重要的运算方法之一,需熟练掌握.。
2020-2021学年鲁教版数学六年级下册第六章-整式的乘除综合练习一、选择题1.下列运算正确的是()A. 6a−5a=1B. (a2)3=a5C. 3a2+2a3=5a5D. 2a⋅3a2=6a32.把0.00091科学记数表示为()A. 91×10−5B. 0.91×10−3C. 9.1×104D. 9.1×10−43.若x2+mx+16是完全平方式,则m的值等于()A. 8B. −4C. ±8D. ±44.(−13)−1的计算结果是()A. 1B. 3C. 13D. −35.已知5a=4,5b=6,5c=9,则a,b,c之间满足的等量关系是()A. a+b=c+1B. b2=a⋅cC. b=c−aD. 2b=a+c6.给出下列算式①(−3pq)2=6pq,②−2−2=14,③(x3)4×(−x2)3=x18,④a5÷a5=0,⑤(x−y)2=x2−y2,⑥(a+2b)2=a2+ 2ab+4b2,⑦−(a−b)4÷(b−a)3=a−b其中运算正确的有()A. 0个B. 1个C. 2个D. 3个7.已知125x=1000,8y=1000,则2x +2y等于()A. 1B. 2C. 12D. 328.某种产品的原料提价,因而厂家决定对产品进行提价,现有3种方案:①第一次提价m%,第二次提价n%;②第一次提价n%,第二次提价m%;③第一次、第二次提价均为m+n2%.其中m和n是不相等的正数.下列说法正确的是()A. 方案①提价最多B. 方案②提价最多C. 方案③提价最多D. 三种方案提价一样多9.小南身高为163cm,一张纸的厚度为0.09mm,现将这张纸连续对折(假设对折始终能成功),若连续对折n次后,纸的厚度超过了小南的身高,那么n的值最小是()A. 12B. 13C. 14D. 1510.若x2−2(a−3)x+25是完全平方式,那么a的值是()A. −2,8B. 2C. 8D. ±211.如果(a n⋅b m b)3=a9b15,那么()A. m=3,n=4B. m=4,n=4C. m=3,n=3,D. m=4,n=312.计算(2x+3y−4)(2x+ay+b)得到的多项式不含一次项,其中a,b是常数,则a−b的值为()A. 1B. −1C. −7D. 713.为了求1+2+22+23+⋯+22011+22012的值,可令S=1+2+22+23+⋯+22011+22012,则2S=2+22+23+24+⋯+22012+22013,因此2S−S=22013−1,所以1+22+23+⋯+22012=22013−1.仿照以上方法计算1+5+52+53+⋯+52012的值是()A. 52013−1B. 52013+1C. 52013−44D. 52013−14二、填空题14.若a+b=2,a2−b2=6,则a−b=______.15.一种花瓣的花粉颗粒直径约为0.00065米,0.00065用科学记数法表示为______.16.若a2+b2=10,ab=−3,则(a−b)2=________.17.一个矩形的面积为m2+8m,若一边长为m,则其邻边长为______.18.若3x=4,3y=7,则33x−2y的值为______ .19.若(a−1)a+4=1成立,则a=.三、计算题20.计算:(1)5−1÷5−3+(−1)2020−(12)−1+(2021−π)0;(2)[(−2)−3−8−1×(−1)−2]×(−12)−2×(π−2)0.21. 计算:(1)(−13)6÷(−13)3;(2)y 10÷y 3÷y 4;(3)(−ab)5÷(−ab)3;(4)(x −y)5÷(y −x)2.22. 先化简,再求值:(2x +y)(2x −y)−(x −2y)2+y(−4x +5y +1),其中x =2,y =2008.23. 若(x 2+px −13)(x 2−3x +q)的积中不含x 项与x 3项(1)求p 、q 的值;(2)求代数式(−2p 2q)2+(3pq)0+p 2019q 2020的值24. 已知a 是大于1的实数,且有a 3+1a 3=p ,a 3−1a 3=q 成立.(1)若p +q =4,求p −q 的值;(2)若q 2=22n +122n −2(n ≥1,且n 是整数). (i)用含n 的式子表示;(ii)比较p 与(a 3+14)的大小,并说明理由.答案1.【答案】D2.【答案】D3.【答案】C4.【答案】D5.【答案】D6.【答案】B7.【答案】B8.【答案】C9.【答案】D10.【答案】A11.【答案】D12.【答案】B13.【答案】D14.【答案】315.【答案】6.5×10−416.【答案】1617.【答案】m +818.【答案】644919.【答案】−4或2或020.【答案】解:(1)原式=25.(2)原式=−1.22.【答案】解:原式=4x 2−y 2−x 2+4xy −4y 2−4xy +5y 2+y =3x 2+y∵x =2,y =2008,∴原式=3×22+2008=202023.【答案】解:(1)(x 2+px −13)(x 2−3x +q) =x 4−3x 3+qx 2+px 3−3px 2+pqx −13x 2+x −13q =x 4+(p −3)x 3+(q −3p −13)x 2+(pq +1)x −13q ∵(x 2+px −13)(x 2−3x +q)的积中不含x 项与x 3项∴{pq +1=0p −3=0∴{p =3q =−13(2)∵p =3,q =−13(−2p 2q)2+(3pq)0+p 2019q 2020的值 =4p 4q 2+1+(pq)2019⋅q=4×81×19+1−1×(−13)=37+13=3713∴代数式(−2p 2q)2+(3pq)0+p 2019q 2020的值为3713.24.【答案】解:(1)∵a 3+1a 3=p①,a 3−1a 3=q②,∴①+②得,2a 3=p +q =4, ∴a 3=2;①−②得,p −q =2a 3=1.(2)(i)∵q 2=22n +122n −2(n ≥1,且n 是整数),∴q 2=(2n −12n )2,∴q =2n −12n ,(ii)由(1)中①+②得2a 3=p +q ,a 3=12(p +q),①−②得2a 3=p −q ,1a 3=12(p −q), ∴p 2−q 2=4,p 2=q 2+4=(2n +12n )2,∴p =2n +12n ,∴a 3+1a 3=2n +12n ③,a 3−1a 3=2n −12n ④,∴③+④得2a 3=2×2n , ∴a 3=2n ,∴p −(a 3+14)=2n +12n −2n −14=12n −14,当n =1时,p >a 3+14;当n =2时,p =a 3+14;当n ≥3时,p <a 3+14.。
六年级数学下册第六章《整式的乘除》单元测试卷一、选择题(共10小题,每小题3分,共30分) 1.下列运算正确的是( )A. 954a a a =+ B. 33333a a a a =⋅⋅ C. 954632a a a =⨯ D. ()743a a =-=⎪⎭⎫ ⎝⎛-⨯⎪⎭⎫ ⎝⎛-20122012532135.2( ) A. 1- B. 1 C. 0 D. 19973.设()()A b a b a +-=+223535,则A=( )A. 30ab B. 60ab C. 15ab D. 12ab 4.已知,3,5=-=+xy y x 则=+22y x ( ) A. 25. B 25- C 19 D 、19-5.已知,5,3==bax x 则=-ba x23( ) A 、2527 B 、109C 、53D 、52 6. .如图,甲、乙、丙、丁四位同学给出了四 种表示该长方形面积的多项式: ①(2a +b )(m +n ); ②2a (m +n )+b (m +n ); ③m (2a +b )+n (2a +b ); ④2am +2an +bm +bn ,你认为其中正确的有A 、①② B 、③④ C 、①②③ D 、①②③④ ( ) 7.如(x+m)与(x+3)的乘积中不含x 的一次项,则m 的值为( ) A 、 –3B 、3C 、0D 、18.已知.(a+b)2=9,ab= -112 ,则a²+b 2的值等于( )A 、84B 、78C 、12D 、6 9.计算(a -b )(a+b )(a 2+b 2)(a 4-b 4)的结果是( ) A .a 8+2a 4b 4+b 8 B .a 8-2a 4b 4+b 8 C .a 8+b 8 D .a 8-b 8 10.已知m m Q m P 158,11572-=-=(m 为任意实数),则P 、Q 的大小关系为( ) A 、Q P > B 、Q P = C 、Q P < D 、不能确定二、填空题(共6小题,每小题4分,共24分)11.设12142++mx x 是一个完全平方式,则m =_______。
六年级数学下册第六章整式的乘除专题测试考试时间:90分钟;命题人:数学教研组考生注意:1、本卷分第I 卷(选择题)和第Ⅱ卷(非选择题)两部分,满分100分,考试时间90分钟2、答卷前,考生务必用0.5毫米黑色签字笔将自己的姓名、班级填写在试卷规定位置上3、答案必须写在试卷各个题目指定区域内相应的位置,如需改动,先划掉原来的答案,然后再写上新的答案;不准使用涂改液、胶带纸、修正带,不按以上要求作答的答案无效。
第I 卷(选择题 30分)一、单选题(10小题,每小题3分,共计30分)1、下列运算正确的是( )A .()2510a a =B .1644x x x ÷=C .235235a a a +=D .3332b b b ⋅=2、下列计算正确的是( )A .x 10÷x 2=x 5B .(x 3)2÷(x 2)3=xC .(15x 2y ﹣10xy 2)÷5xy =3x ﹣2yD .(12x 3﹣6x 2+3x )÷3x =4x 2﹣2x3、若mx +6y 与x ﹣3y 的乘积中不含有xy 项,则m 的值为( )A .0B .2C .3D .64、下列计算正确的是( )A .235a a a +=B .()3223a b a b =C .238()a a =D .236()a a -=-5、如果22m m -=,那么代数式2(2)(2)m m m ++-的值为( )A .8-B .6-C .6D .86、下列运算正确的是( )A .a 12÷a 3=a 4B .(3a 2)3=9a 6C .2a •3a =6a 2D .(a ﹣b )2=a 2﹣ab +b 27、下面是某同学在一次测验中的计算摘录325a b ab +=,33345-=-m n mn m n ,()325326x x x ⋅-=-,()532a a =,32()()a a a -÷-=-,()031a -=,其中正确的个数有( ) A .1个 B .2个 C .3个 D .4个8、()()()()()24816231313131311⨯++++++的计算结果是( )A .3231+B .3231-C .313D .3239、下列计算正确的是( ).A .325a a a +=B .32a a a ÷=C .()32639a a =D .236a a a ⋅=10、下列计算中,正确的是( )A .()30.10.0001-=B .()02 6.218π-= C .()010521-⨯= D .()120212021-= 第Ⅱ卷(非选择题 70分)二、填空题(5小题,每小题4分,共计20分)1、计算:a 2⋅a 4=______.2232xy ⎛⎫- ⎪⎝⎭=_____. 2、若(2x +y ﹣5)0=1无意义,且3x +2y =10,则x =_____,y =_____.3、已知2m n +=,mn 2=-,则()()33m n --=_____.4、已知249y my -+是完全平方式,则m 的值为______.5、人类进入5G 时代,科技竞争日趋激烈.据报道,我国已经能大面积生产14纳米的芯片,14纳米即为0.00000014米,将其用科学记数法表示为______米.三、解答题(5小题,每小题10分,共计50分)1、某中学有一块长30m ,宽20m 的长方形空地,计划在这块空地上划分出部分区域种花,小明同学设计方案如图,设花带的宽度为x 米.(1)请用含x 的式子表示空白部分长方形的面积;(要化简)(2)当花带宽2米时,空白部分长方形面积能超过400m 2吗?请说明理由.2、先化简,再求值:()()()()224a b a b a b a a b ++-+--,其中2a =,12b =-. 3、已知a +b =5,ab =﹣2.求下列代数式的值:(1)a 2+b 2;(2)2a 2﹣3ab +2b 2.4、如图1,从边长为a 的大正方形中剪去一个边长为b 的小正方形,把剩下的阴影部分拼成如图2所示的长方形.(1)上述操作能验证的公式是________;(2)请应用这个公式完成下列各题:①已知22424a b -=,26a b +=,则2a b -=________; ②计算:2222111111112342022⎛⎫⎛⎫⎛⎫⎛⎫---- ⎪⎪⎪ ⎪⎝⎭⎝⎭⎝⎭⎝⎭. 5、计算:24332()()a a a ⋅-÷.-参考答案-一、单选题1、A【解析】【分析】根据幂的乘方,同底幂相除,合并同类项,同底数幂相乘逐项判断即可求解.【详解】解:A 、()2510a a =,故本选项正确,符合题意; B 、16412x x x ÷=,故本选项错误,不符合题意;C 、22a 和33a 不是同类项,不能合并,故本选项错误,不符合题意;D 、336b b b ⋅=,故本选项错误,不符合题意;故选:A【点睛】本题主要考查了幂的乘方,同底幂相除,合并同类项,同底数幂相乘,熟练掌握相关运算法则是解题的关键.2、C【解析】【分析】根据整式的除法,幂的乘方与积的乘方,同底数幂的除法运算法则进行计算即可.【详解】解:A.x10÷x2=x8,故A不符合题意;B.(x3)2÷(x2)3=1,故B不符合题意;C.(15x2y﹣10xy2)÷5xy=3x﹣2y,故C符合题意;D.(12x3﹣6x2+3x)÷3x=4x2﹣2x+1,故D不符合题意;故选:C.【点睛】本题考查了整式的除法,幂的乘方与积的乘方,同底数幂的除法,熟练掌握它们的运算法则是解题的关键.3、B【解析】【分析】先运用多项式的乘法法则,进行乘法运算,再合并同类项,因积中不含xy项,所以xy项的系数为0,得到关于m的方程,解方程可得m的值.【详解】解:∵(mx +6y )×(x -3y )=mx 2-(3m ﹣6)xy ﹣18y 2,且积中不含xy 项,∴3m ﹣6=0,解得:m =2.故选择B .【点睛】本题主要考查多项式乘多项式的法则,解一元一次方程,根据不含某一项就是让这一项的系数等于0列式是解题的关键.4、D【解析】【分析】根据合并同类项、同底数幂的乘法、同底数幂的除法、积的乘方分别计算即可.【详解】解:A 、2a 与3a 不属于同类项,不能合并,故A 不符合题意;B 、2363()a b a b =,故B 不符合题意;C 、236()a a =,故C 不符合题意;D 、236()a a -=-,故D 符合题意.故选:D .【点睛】本题主要考查了合并同类项,幂的乘方与积的乘方,解答的关键是对相应的运算法则的掌握.5、D【解析】【分析】先将原式根据单项式乘以多项式法则及完全平方公式法则去括号,合并同类项,再将式子的值代入计算求出答案.【详解】解:∵2(2)(2)m m m ++-=22244m m m m ++-+=2224m m -+=()224m m -+∵22m m -=,∴原式=224⨯+=8,故选:D .【点睛】此题考查了已知式子的值求代数式的值,正确掌握整式的混合运算法则是解题的关键.6、C【解析】【分析】分别根据同底数幂的除法运算法则,积的乘方与幂的乘方运算法则,单项式乘以单项式运算法则以及完全平方公式对各项分别计算出结果再进行判断即可.【详解】解:A 、1239a a a ÷=,原选项计算错误,故不符合题意;B 、()326327a a =,原选项计算错误,故不符合题意;C 、2236a a a ⋅=,原式计算正确,故符合题意;D 、222()2a b a ab b -=-+,原选项计算错误,故不符合题意;故选:C .【点睛】此题主要考查了同底数幂的除法,积的乘方与幂的乘方,单项式乘以单项式以及完全平方公式,熟练掌握相关运算法则是解答此题的关键.7、A【解析】【分析】由合并同类项的定义、单项式乘法法则,单项式除法法则,幂的乘方的运算法则计算后再判定即可.【详解】32a b +中的两项不是同类项,不能合并,故325a b ab +=错误;3345m n mn -中的两项不是同类项,不能合并,故33345-=-m n mn m n 错误;()325326x x x ⋅-=-,故正确;()236a a =,故()532a a =错误; 32()()a a a -÷-=,故32()()a a a -÷-=-错误;当a ≠3时,()031a -=,错误.综上所述,()325326x x x ⋅-=-计算正确. 故选:错误.【点睛】本题考查了合并同类项的定义、单项式乘法法则,单项式除法法则,幂的乘方的运算法则等.同类项的定义:所含字母相同,并且相同字母的指数也分别相等的项叫做同类项.单项式乘(除)单项式,把它们的系数、同底数幂分别向乘(除),对于只在一个单项式里含有的字母,则连同它的指数作为积的一个因式.幂的乘方,底数不变,指数相乘,即()m n mn a a =(m ,n 都是正整数).8、D【解析】【分析】原式化为()()()()()()248163131313131311-⨯++++++,根据平方差公式进行求解即可.【详解】解:()()()()()24816231313131311⨯++++++()()()()()()248163131313131311=-⨯++++++ ()()()()()22481631313131311=-+++++ 32311=-+323=故选D .【点睛】本题考查了平方差公式的应用.解题的关键与难点在于应用平方差公式.9、B【解析】【分析】分别利用合并同类项、同底数幂相除、积的乘方与幂的乘方、同底数幂相乘逐一分析即可.【详解】 A. 32a a ,不是同类项,不能合并 ,不正确,故选项A 不符合题意;B. 32a a a ÷=计算正确,故选项B 符合题意;C. ()32663279a a a =≠,计算不正确,故选项C 不符合题意;D.2356a a a a ⋅=≠,计算不正确,故选项D 不符合题意.故选B .【点睛】本题考查整式的运算,掌握合并同类项、同底数幂相乘、积的乘方与幂的乘方、同底数幂相除的法则是解题的关键.10、B【解析】【分析】根据零指数幂,负指数幂的运算法则计算各个选项后判断.【详解】解:A. ()30.11000-=,故选项A 计算错误,不符合题意; B. ()02 6.218π-=,故选项B 计算正确,符合题意;C. 10520-⨯=,原式不存在,故不符合题意;D. ()1120212021-=,故选项D 计算错误,不符合题意; 故选:B【点睛】本题主要考查了零指数幂,负指数幂运算.负指数为正指数的倒数;任何非0数的0次幂等于1.二、填空题1、 a 6 2494x y【解析】【分析】根据同底数幂的乘法法则和积的乘方法则计算.【详解】解:a 2·a 4=a 6.2232xy ⎛⎫- ⎪⎝⎭=2494x y . 故答案为:a 6;2494x y 【点睛】本题考查了幂的运算,熟练掌握幂的运算法则是解答本题的关键.同底数的幂相乘,底数不变,指数相加;积的乘方,等于把积的每一个因式分别乘方,再把所得的幂相乘.2、 0 5【解析】【分析】根据题意直接利用零指数幂的性质得出2x +y ﹣5=0,进而得出关于x ,y 的方程组求出即可.【详解】解:∵(2x +y ﹣5)0=1无意义,且3x +2y =10,∴2503210x y x y +-=⎧⎨+⎩=, 解得:05x y =⎧⎨=⎩. 故答案为:0,5.【点睛】本题主要考查零指数幂的性质以及二元一次方程组的解法,正确解二元一次方程组是解题的关键. 3、1【解析】【分析】根据多项式乘以多项式的法则将原式展开,然后条件即可求出原式的值.【详解】解:当m +n =2,mn =-2,(3−m )(3−n )=9+mn -3(m +n )=9-2-6=1.故答案为:1.【点睛】本题考查了多项式乘以多项式,解题的关键是熟练运用整式的运算法则,本题属于基础题型. 4、12±【解析】【分析】根据完全平方式的特点“两数的平方和加(或减)这两个数的积的2倍”即可求出m 的值.【详解】解:∵249y my -+是完全平方式,∴-m =±2×2×3=±12,∴m =±12.故答案为:12±【点睛】本题考查完全平方式的定义,熟知完全平方式的特点是解题关键,注意本题有两个答案,不要漏解. 5、81.410-⨯【解析】【分析】绝对值小于1的正数也可以利用科学记数法表示,一般形式为a ×10−n ,与较大数的科学记数法不同的是其所使用的是负整数指数幂,指数n 由原数左边起第一个不为零的数字前面的0的个数所决定.【详解】解:0.00000014=1.4×10−8,故答案为:1.4×10−8.【点睛】本题考查用科学记数法表示较小的数,一般形式为a ×10−n ,其中1≤|a |<10,n 为由原数左边起第一个不为零的数字前面的0的个数所决定.三、解答题1、 (1)22(270600)m x x -+(2)超过,理由见解析【解析】【分析】(1)空白部分长方形的两条边长分别是(30-2x )m ,(20-x )m .得空白部分长方形的面积;(2)通过有理数的混合运算得结果与400进行比较.(1)空白部分长方形的两条边长分别是(30-2x )m ,(20-x )m .空白部分长方形的面积:(30-2x )(20-x )=(2x 2-70x +600) m 2.(2)超过.∵2×22-70×2+600=468(m 2),∵468>400,∴空白部分长方形面积能超过400 m 2.【点睛】本题考查有代数式表示实际问题,掌握用代数式表示长方形的边长,读懂题意列出代数式是解决此题关键.2、28a ab +,-4【解析】【分析】用乘法公式及单项式乘多项式的法则计算,再合并同类项即可化简;再所给的值代入化简后的式子中即可求得值.【详解】原式22222244448a ab b a b a ab a ab =+++--+=+当2a =,12b =-时,原式2128242⎛⎫=+⨯⨯-=- ⎪⎝⎭【点睛】本题是化简求值题,考查了整式的乘法及求代数式的值,熟练运用乘法公式及单项式乘多项式是关键.3、 (1)29;(2)64【解析】【分析】(1)利用已知得出(a +b )2=25,进而化简求出即可;(2)利用(1)中所求,进而求出即可.(1)解:(1)∵a +b =5,ab =﹣2,∴(a +b )2=25,则a 2+b 2+2×(﹣2)=25,故a 2+b 2=29;(2)(2)2a 2﹣3ab +2b 2=2(a 2+b 2)﹣3ab=2×29﹣3×(﹣2)=64.【点睛】本题考查了完全平方公式的应用,解题的关键是正确利用完全平方公式求出.4、 (1)22()()a b a b a b -=+-; (2)①4,②20234044【解析】【分析】(1)根据阴影部分面积等于大正方形的面积减去小正方形的面积,即可求解;(2)(1)①利用平方差公式,即可求解; ②利用平方差公式,原式可变形为111111111111111122334420222022⎛⎫⎛⎫⎛⎫⎛⎫⎛⎫⎛⎫⎛⎫⎛⎫-+-+-+-+ ⎪⎪⎪⎪⎪⎪ ⎪⎪⎝⎭⎝⎭⎝⎭⎝⎭⎝⎭⎝⎭⎝⎭⎝⎭,即可求解.(1)解:根据题意得:能验证的公式是22()()a b a b a b -=+-;(2)解:①∵22424a b -=,∴(2)(2)24a b a b +-=.又∵26a b +=,∴6(2)24a b -=,即24a b -=; ②原式111111111111111122334420222022⎛⎫⎛⎫⎛⎫⎛⎫⎛⎫⎛⎫⎛⎫⎛⎫=-+-+-+-+ ⎪⎪⎪⎪⎪⎪ ⎪⎪⎝⎭⎝⎭⎝⎭⎝⎭⎝⎭⎝⎭⎝⎭⎝⎭1324352021202322334420222022=⨯⨯⨯⨯⨯⨯⨯⨯ 1202322022=⨯ 20234044=. 【点睛】本题主要考查了平方差公式与几何图形,多项式的因式分解——平方差公式的应用,熟练掌握平方差公式22()()a b a b a b -=+-是解题的关键.5、8a【解析】【分析】先算幂的乘方,再算同底数幂的乘法,最后算同底数幂的除法即可.【详解】解:()()32243a a a ⋅-÷ ()2126a a a =⋅-÷146=-÷a a8a=-.【点睛】本题主要考查同底数幂的乘法,幂的乘方,同底数幂的除法,解答的关键是掌握幂的运算法则.。
六年级数学下册第六章《整式的乘除》单元测试卷一、选择题(共 10 小题,每小题 3 分,共 30 分) 1.下列运算正确的是( ) A. a 4 + a 5 = a 9B. a 3 ⋅ a 3 ⋅a 3 = 3a 3C. 2a 4 ⨯ 3a 5 = 6a 9D. (- a 3)4= a 7⎛- 5 ⎫2012 ⨯⎛- 2 3⎫20122. ⎝ ⎪ 13 ⎭ ⎪ ⎝ 5 ⎭= ( ) A. -1B. 1C. 0D. 19973.设(5a + 3b )2= (5a - 3b )2+ A ,则 A=( )A. 30 ab B. 60 ab C. 15 ab D. 12 ab 4.已知 x + y = -5, xy = 3, 则 x 2 + y 2 = () A. 25.B - 25C 19D 、 - 19 5.已知 x a = 3, x b = 5, 则 x 3a -2b = ( ) A 、 2725B 、 910C 、 35D 、526. .如图,甲、乙、丙、丁四位同学给出了四种表示该长方形面积的多项式: m ①(2a +b )(m +n );②2a (m +n )+b (m +n );n ③m (2a +b )+n (2a +b ); ④2am +2an +bm +bn ,你认为其中正确的有 A 、①②B 、③④C 、①②③D 、①②③④ ()7. 如(x+m)与(x+3)的乘积中不含 x 的一次项,则 m 的值为()A 、 –3B 、3C 、0D 、118.已知.(a+b)2=9,ab= -12,则 a²+b 2 的值等于( ) A 、84B 、78C 、12D 、69.计算(a -b )(a+b )(a 2+b 2)(a 4-b 4)的结果是( )A .a 8+2a 4b 4+b 8B .a 8-2a 4b 4+b 8C .a 8+b 8D .a 8-b 87m - 1, Q = m 2 - 15 8 15m (m 为任意实数),则 P 、Q 的大小关系为()A 、 P > QB 、 P = QC 、 P < QD 、不能确定二、填空题(共 6 小题,每小题 4 分,共 24 分)10. 已知 P =⎛1 ⎫ 11. 设4x2 + mx + 121 是一个完全平方式,则m =。
第六章整式的乘除综合测评(满分:100分)、选择题(每小题3分,共30分)1. PM2.5是指大气中直径小于或等于2.5 (0.000 002 5 m)的颗粒物,含有大量有毒、有害物质,也称可入肺颗粒物.数据0.000 002 5用科学记数法可表示为()A. 2.5 1 )0-6B. -2.5 106C. 2.5 俅-7D. 2.510-52X102,则该正方体的体积为C. 6 108D. 9 106B. (2x5) 2=2x10D.(6M04) +(-3M04) =05.下列计算正确的是6.若a2-2a-2=0,贝U ( a-1) 2的值为()7.利用图1所示的两个图形的面积关系,可以验证的乘法公式是(8.如图2,在一个长为3m+n,宽为m+3n的长方形地面上,四个角各有一个边长n的正方形草坪,其中阴影部分为花坛,则花坛的面积为()9.计算(- 5 )2018x (-0.8 )2017的结果是()4A. 1B. -1 C .-- D. -55 410.已知a+b=3, ab=-4,有下列结论:①(a-b)2=25;② a2+b2=17;③ a2+b2+3ab=5;a2+b2-ab=-3,其中正确的有()A.①②③④B.仅①②③C.仅②③④D.仅①③④二、填空题(每小题3分,共18分)11.若(m-2)0无意义,则m的值为.12.【导学号47896876]计算(2M03) 2X106勺000=.13.如果单项式-」x3y a+b与6x2a-b y2是同类项,则这两个单项式的积为.22.若一个正方体的棱长为A. 6 106B. 8 1063.下列计算正确的是A. a3&2=a62 1C. -3 2=—94.若(-8x m y3) + (nx2y) =-16x3y2,则m, n的值分别为A.6,B.6, 2C.5,D.5, 2A.(x-1) (x+2) =x2-x-2C. (x+1) (x+2) =x2+2x+2B.(x-1) (x-2) =x2-2x+2D. (x+1) (x-2) =x2-x-2A. 1B. 2C. 3D.4A.(a+b) (a-b) =a2-b2C. (a-b) 2=a2-2ab+b2B.a2-b2= ( a+b) (a-b)D. (a+b) 2=a2+2ab+b2A.3m2+10mn+n2C. 3m2+10mn+7n2B.3m2+10mn-n2D. 3m2+10mn-7n214 .已知梯形的上底长为 2m+n,高为2m,面积为10m ,6mn,则梯形的下底长为a c15 .【导学号47896974】规定一种新运算 b d 16 .若 2x=5, 2y=3,则 4x-2yX (-32) 2=.三、解答题(共52分)17 .(每小题3分,共6分)用整式的乘法公式计算: (1) 10012-2000;-2 21(2) 50 ± >49 -3 3.18.(每小题4分,共8分)计算: (1) ( m+1 ) ( m-5 ) -m ( m-6 ); (2)( x-y+1 ) ( x+y-1 ) -6x 2y 3-^3x 2y 2.19. (8 分)先化简,再求值:[(2x-y) 2+ (x+y) (x-y) -x (2y-x) ]+(-2x),其中 x=-1 , y=-2.20. (8分)用一节数学课上,刘老师请同学心里想一个非零的有理数, 然后把这个数按照卜面的程序进行计算后,刘老师立刻说出计算结果.I-4x 2y8x 6=ac -fed,贝U -2x 3-x21. (10分)边长分别为a, b 的两块正方形地砖按图 一条直线上,连接 BD, BF, DF,求阴影部分的面积 3所示放置,其中点 D, C, E 在同售出逵个 数与耶I 却的平方心里 想的a (aw 。
鲁教版2020六年级数学下册第六章整式的乘除自主学习基础达标测试题(附答案) 1.下列各式计算正确的是( )A .(x +2)(x -5)=x 2-2x -3B .(x +3)(x -13)=x 2+x -1C .(x -23)(x +12)=x 2-16x -13D .(3x +2)(2x -3)=6x 2-5x +62.下列计算正确的是( )A .B .C .D .3.已知(8a 3b m )÷(28a n b 2)=27b 2,则m ,n 的值分别为( ) A .4,3 B .4,1 C .1,3 D .2,34.已知:a +b =1,ab =-4,计算:(a -2)(b -2)的结果是…( )A .1B .-1C .2D .-25.x 2•x 3=( )A .x 5B .x 6C .x 8D .x 96.化简[-2(x-y)]4·[-12(y-x)]2的结果为( ) A .12(x-y)6 B .2(x-y)6 C .(x-y)6 D .4(y-x)6 7.下列运算正确的是( )A .a 2÷a 3=aB .(a 3)3=a 6C .(2a 2b )3=8a 6b 3D .a 3•a 2=a 68.计算20152015(0.25)4-⨯的结果是( )A .0.25B .-0.25C .1D .-1 9.(a +2b -c )(2a -b +c )展开后的项数为A .6B .7C .8D .910.计算a 2•a 4的结果为( )A .a 2B .a 4C .a 6D .a 8 11.(-12x 2y )•(15x 2-2xy +13)= ______ .12.20170+2|1﹣sin30°|﹣(13)﹣1+16=________. 13.(1)()24--=______;(2)02019-=______.14.34()()b a b a --=__________;15.(-x 3)4+(-2x 6)2=______.16.已知3430m n +-=,则816m n ⨯=____.17.已知2,8==n m a a 则n m a +=_____________ .18.若(x+3)(x ﹣5)=x 2+ax+b ,a=________ .b=________ .19.已知5()m n x x =,则mn (mn-1)的值为______________________.20.若a ﹣b=8,ab=2,则a 2+b 2-4的值为________.21.(9分)计算:. 22.计算:432()( 1.5)3-⨯-.23.先化简,再求值:2a (a +2b )+(a ﹣2b )2,其中a =﹣1,. 24.计算:(x 2+3)(2x 2﹣5)25.阅读理解题:定义:如果一个数的平方等于﹣1,记为i 2=﹣1,这个数i 叫做虚数单位.那么和我们所学的实数对应起来就叫做复数,表示为a+bi (a ,b 为实数),a 叫这个复数的实部,b 叫做这个复数的虚部,它的加,减,乘法运算与整式的加,减,乘法运算类似.例如计算:(2+i )+(3﹣4i )=5﹣3i .(1)填空:i 4= ,i 5= .(2)计算:①(4+i )(4﹣i ); ②(3+i )2;(3)若两个复数相等,则它们的实部和虚部必须分别相等,完成下列问题:已知:(x+y )+3i=(1﹣x )﹣yi ,(x ,y 为实数),求x ,y 的值.(4)试一试:请利用以前学习的有关知识将22i i+-化简成a+bi 的形式. 26.化简(1)()()3232321243a b a b a b ⋅-÷- (2)(32)(1)2(3)a a a a ----(3) (23)(23)x y x y +--+27.计算: 232)3()129(x x x -÷-28.先化简,再求值:)2)(2()1(2-+-+x x x ,其中21-=x参考答案1.C【解析】【分析】利用多项式乘多项式法则即可.【详解】A. (x+2)(x-5)=x2-3x-10,不符合题意;B. (x+3)(x-13)=x2+83x-1,不符合题意;C. (x-23)(x+12)=x2-16x-13,符合题意;D. (3x+2)(2x-3)=6x2-5 x-6,不符合题意,故选C.【点睛】此题考查多项式乘多项式,解题关键在于掌握运算法则.2.C【解析】试题分析:A.,本选项错误;B.2a+3b不能合并,本选项错误;C.,本选项正确;D.,本选项错误.故选C.考点:同底数幂的除法;合并同类项;幂的乘方与积的乘方.3.A【解析】【分析】已知等式左边利用单项式除以单项式法则计算,利用单项式相等的条件求出m与n的值即可.【详解】(8a 3b m )÷(28a n b 2)=27a 3-n b m-2=27b 2, ∴3-n=0,m-2=2,解得:m=4,n=3,故选A.【点睛】本题考查了单项式除以单项式,熟练掌握单项式除以单项式法则是解本题的关键.4.D .【解析】试题解析:∵a+b=1,ab=﹣4,∴原式=ab ﹣2(a+b )+4=﹣4﹣2+4=6,故选D .考点:整式的混合运算—化简求值.5.A【解析】试题分析:同底数幂乘法,底数不变指数相加,即x 2•x 3=x 2+3=x 5,故选A.考点:同底数幂乘法点评:该题考查了同底数幂乘法,熟记同底数幂乘法法则:底数不变,指数相加.6.D【解析】原式()()()()42661=16444x y x y x y y x -⨯-=-=- 故选D.【点睛】 本题考查了积的乘方,单项式乘单项式.解答本题一是要注意一个负数得偶次幂是正数,二是注意底数是相反数因式的变形.7.C【解析】【分析】根据同底数幂的除法、乘法和幂的乘方计算即可.【详解】解:A 、a 2÷a 3=a -1,错误;B、(a3)3=a9,错误;C、(2a2b)3=8a6b3,正确;D、a3•a2=a5,错误;故选:C.【点睛】此题考查同底数幂的除法、乘法和幂的乘方,关键是根据同底数幂的除法、乘法和幂的乘方解答.8.D【解析】解:原式=(﹣0.25×4)2015=(﹣1)2015=﹣1.故选D.9.A【解析】【分析】根据多项式乘以多项式的乘法法则计算后即可得到答案.【详解】∵(a+2b-c)(2a-b+c)=2a2-ab+ac+4ab-2b2+2bc-2ac+bc-c2=2a2+3ab-ac-2b2+3bc-c2,∴共有6项.故选A.【点睛】本题考查了项式与多项式的乘法运算,多项式与多项式相乘,先用一个多项式的每一项分别乘另一个多项式的每一项,再把所得的积相加.10.C【解析】试题分析:原式=a2+4=,故选C.考点:同底数幂的乘法.11.-110x4y+x3y2-16x2y【解析】(-12x 2y )•(15x 2-2xy+13)=(-12x 2y )•15x 2+(-12x 2y )•(-2xy )+(-12x 2y )•13=-110x 4y+x 3y 2-16x 2y. 故答案为:-110x 4y+x 3y 2-16x 2y. 12.3【解析】试题解析:20160+2|1-sin30°|-(13)-1=1+2×|1-12|-3+4 =1+2×12+1=1+1+1=3.【点睛】(1)此题主要考查了实数的运算,要熟练掌握,解答此题的关键是要明确:在进行实数运算时,和有理数运算一样,要从高级到低级,即先算乘方、开方,再算乘除,最后算加减,有括号的要先算括号里面的,同级运算要按照从左到有的顺序进行.另外,有理数的运算律在实数范围内仍然适用.(2)此题还考查了零指数幂的运算,要熟练掌握,解答此题的关键是要明确:①a 0=1(a≠0);②00≠1.(3)此题还考查了特殊角的三角函数值,要牢记30°、45°、60°角的各种三角函数值.(4)此题还考查了负整数指数幂的运算,要熟练掌握,解答此题的关键是要明确:①a -p =1a p(a≠0,p 为正整数);②计算负整数指数幂时,一定要根据负整数指数幂的意义计算;③当底数是分数时,只要把分子、分母颠倒,负指数就可变为正指数.13.1161 【解析】【分析】(1)根据负整数幂计算即可;(2)根据零次幂计算即可.【详解】解:(1)原式=()22114416-⎛⎫-== ⎪-⎝⎭;(2)原式=020191-=-.【点睛】本题是对负整数幂及零次幂的考查,熟练掌握负整数幂及零次幂是解决本题的关键. 14.7()b a -【解析】()()()()34347b a b a b a b a +--=-=-. 点睛:同底数幂乘法:m n m n a a a +=n ,可以推广把a 看做一个整体.然后利用公式计算. 15.5x 12【解析】【分析】根据幂的乘方与合并同类项的法则进行计算即可.【详解】原式=x 12+4x 12=5x 12,故答案为5x 12.【点睛】本题考查了幂的乘方与积的乘方,解题的关键是熟练的掌握幂的乘方与合并同类项的法则. 16.8【解析】【分析】根据幂的乘方与同底数幂的乘法的逆运算即可解答.【详解】解:∵3430m n +-=∴343m n +=,∴816m n ⨯=(23)m (2⨯4)n =23m+4n=23=8.故答案为:8.本题考查幂的乘方与同底数幂的乘法,解题关键是熟练掌握幂的运算性质.17.16.【解析】试题分析:逆用同底数幂的乘法法则,8216m n m n a a a +=⋅=⨯=.故答案为:16.考点:同底数幂的乘法法则.18.﹣2 ﹣15【解析】【分析】根据多项式的乘法法则计算出(x +3)(x ﹣5)的结果并合并同类项,然后和右边比较,根据对应项相等求解即可.【详解】∵(x +3)(x ﹣5)=x 2+3x -5x -15=x 2-2x -15,∴a =-2,b =-15.故答案为:-2,-15.【点睛】本题考查了多项式与多项式的乘法运算,多项式与多项式相乘,先用一个多项式的每一项分别乘另一个多项式的每一项,再把所得的积相加.19.20【解析】∵5()m n mn x x x ==,∴5mn =,∴(1)5420mn mn -=⨯=.故答案为20.20.64【解析】分析:根据完全平方公式把a 2+b 2-4变形为(a -b )2+2ab -4,然后把a ﹣b =8,ab =2代详解:a 2+b 2-4=(a -b )2+2ab -4=82+2×2-4=64.故答案为:64.点睛:此题考查了完全平方公式的应用,熟练掌握完全平方公式是解本题的关键. 21.4【解析】试题分析:首先根据幂的计算法则、绝对值的计算法则以及二次根式的计算法则求出各式的值,然后进行求和计算.试题解析:原式=3-2+4-1=4考点:实数的计算22.23-. 【解析】【分析】 先把原式变形为3322()( 1.5)33⎛⎫-⨯-⨯-⎪⎝⎭,然后逆用积的乘方法则计算即可. 【详解】 解:432()( 1.5)3-⨯- 3322()( 1.5)33⎛⎫=-⨯-⨯- ⎪⎝⎭ 3232[]323⎛⎫⎛⎫⎛⎫=-⨯-⨯- ⎪ ⎪ ⎪⎝⎭⎝⎭⎝⎭ 23=-. 【点睛】本题考查了积的乘方运算的的逆运算,熟练掌握积的乘方运算法则是解答本题的关键,特别注意运算过程中指数的变化规律,灵活运用法则的逆运算进行计算,培养学生的逆向思维意识.鲁教版2020六年级数学下册第六章整式的乘除自主学习基础达标测考试试题(附答案)11 / 1323.15.【解析】试题分析:直接利用多项式乘法运算法则去括号,进而合并同类项,再将已知数据代入求出答案.试题解析:原式=2a 2+4ab+a 2﹣4ab+4b 2=3a 2+4b 2,当a=1,原式=3×(﹣1)2+4×2=15.24.2x 4+x 2﹣15【解析】【分析】根据多项式乘多项式的运算法则计算即可.【详解】解:(x 2+3)(2x 2﹣5)=2x 4﹣5x 2+6x 2﹣15 =2x 4+x 2﹣15【点睛】本题考查了多项式与多项式的乘法运算,多项式与多项式相乘,先用一个多项式的每一项分别乘另一个多项式的每一项,再把所得的积相加.25..(1) 1 I (2) 17 8+6i (3)x=3 y=-1 (4)21-3i【解析】分析:(1)根据i 2=-1,结合i 4=(i 2)2,i 5=i×i 4,即可计算; (2)根据平方差公式对(4+i)(4-i)化简可得16-i 2,再将i 2=-1代入即可求解,根据完全平方公式对(3+i )2化简得9+6i+i 2,再将i 2=-1代入即可求解;(3)根据两个复数相等,则其对应的实部与实部相等,虚部与虚部相等,可列出方程组,求得x ,y 的值.详解:(1) i 4=(i 2)2=(-1)2= 1; i 5=i×i 4=i×1=i; (2) ①(4+i )(4﹣i )=16-i 2= 17 ; ②(3+i )2=9+6i+i 2=8+6i;(3) ∵(x+y )+3i=(1﹣x )﹣yi ,∴13x y x y +=-⎧⎨-=⎩,∴x=2, y=-3 (4)()()()()22221-2223i i i i i i i +++==--+. 点睛:本题考查了定义新运算的知识,关键是掌握平方差公式,完全平方公式,解答此类问题的步骤为:(1)阅读理解,发现信息;(2)提炼信息,发现规律;(3)运用规律,联想迁移;(4)类比推理,解答问题.26.(1)5423a b ;(2)a 2+a+1;(3)4x 2-y 2+6y-9. 【解析】【分析】(1)先算乘方,然后按从左到右的顺序依次计算即可;(2)先算乘法,再去括号合并同类项即可;(3)先利用平方差公式计算,再利用完全平方公式计算.【详解】解:(1)原式=()()2363321843a b a ba b ⋅-÷- =()8632843a b a b-÷- =5423a b ; (2)原式=(3a 2-3a-2a+1)-(2a 2-6a)=3a 2-3a-2a+1-2a 2+6a=a 2+a+1;(3)原式=[2x+(y-3)]⋅[2x-(y-3)]=(2x)2-(y-3)2=4x 2-(y 2-6x+9)=4x 2-y 2+6y-9.【点睛】本题考查了整式的混合运算,熟练掌握运算顺序及乘法公式是解答本题的关键. 混合运算的顺序是先算乘方,再算乘除,最后算加减;同级运算,按从左到右的顺序计算;如果有括号,先算括号里面的,并按小括号、中括号、大括号的顺序进行;有时也可以根据运算定律改变运算的顺序.鲁教版2020六年级数学下册第六章整式的乘除自主学习基础达标测考试试题(附答案)13 / 13 27.1-43x . 【解析】试题分析:将多项式中每一个单项式去除以单项式,将所得的商进行相加.试题解析:原式=2329)129(x x x ÷-=x 341-考点:多项式除以单项式.28.2x+5;4.【解析】试题分析:首先根据完全平方公式和平方差公式将括号去掉,然后进行合并同类项得出化简的结果,然后将x 的值代入化简后的式子得出答案.试题解析:)2)(2()1(2-+-+x x x =)4(1222--++x x x =41222+-++x x x =52+x 当21-=x 时 原式=)21(2-⨯+5=-1+5=4 考点:多项式的计算。
第6章单元基础练习1.计算下列各式,结果是x 8的是( )A .x 2·x 4B .(x 2)6C .x 4+x 4D .x 4·x 42.计算(a ﹣b )2n ·(a ﹣b )3﹣2n ·(a ﹣b )3的结果是( ) A .(a ﹣b )4n +b B .(a ﹣b )6 C .a 6﹣b 6 D .以上都不对 3.计算(x 3)2的结果是( )A .x 5B .x 6C .x 8D .x 94.下面的计算(1)(ab 2)2=ab 4(2)(3)(-3a 3)2= -9a6(4)(-x 3y )3= -x 6y 3错误的有( )个 A .1 B .2 C .3 D .45.下列运算中,正确的是( )A .(a +3)(a -3)=a 2-3B .(3b +2)(3b -2)=3b 2-4C .(3m -2n )(-2n -3m )=4n 2-9m 2D .(x +2)(x -3)=x 2-6 6.在下列多项式的乘法中,可以用平方差公式计算的是( ) A .(x +1)(1+x ) B .(12a +b )(b -12a )C .(-a +b )(a -b )D .(x 2-y )(x +y 2)7.对于任意的正整数n ,能整除代数式(3n +1)(3n -1)-(3-n )(3+n )的整数是( )A .3B .6C .10D .98.下列各式中,能够成立的等式是( )A .B .C .D .9.下列式子:① ②③ ④ 中正确的是( )A .①B .①②C .①②③D .④ 10. ( )A .B .C .D .11.若 ,则M 为( ).A .B .C .D . 12.下列运算中,结果正确的是( ).A .a ·a =a 2B .a 2+a 2=a 4C .(a 3)2=a 5D .a 3÷a 3=a13.下列各式运算结果为8x 的是( ).A .x 4·x 4B .(x 4)4C .x 16÷x 2D .x 4 +x 43339)3(d c cd =329614.下列计算正确的是( ).A .x n +2÷x n -1=x n +1B .(a 4n ÷a 2n )÷a n =a nC .x 5÷x 5=0D .x 10÷(x 5÷x 3)=x 2 15.计算2x 3÷x 2的结果是( ).A .xB .2xC .2x 5D .2x 616.下列计算中错误的有()5210)1(a a a =÷ 55)2(a a a a =÷ 235)())(3(a a a -=-÷- 33)4(0=A.1个B.2个C.3个D.4个 17.计算()()2232a a -÷的结果正确的是()A.2a -B.2aC.-aD.a18.下列计算,结果正确的是 ( )A .x 2÷x =x 2B .a 3÷a 3=a 3-3=0C .(-x )5÷x 3=(-x )2= x 2D .(-a )3÷a 2=-a19.下列各式中,不能成立的是 ( )A .x 2m ÷x m ÷ x 2=x m -2B .x m +n ÷y n =x mC .(-a 2)3÷(-a 3)2 =-1D .(a 2b )4÷(ba 2)3=a 2b20.(33÷3×9)0等于 ( )A .1B .0C .12D .无意义21.如果(x -3)0=1,则x 的取值范围是( )A .x >3B .x <3C .x ≠3D .x =322.下列计算正确的是( )A .c ·c 3=c 4B .(a 5)2=a 7C .(a 2b ) 3=a 6bD .(-2a 2)2÷(-4a 4)=123.下列计算正确的是( )A .2x 3·3x 2=6x 6B .x 3+x 3=x 6C .x 10÷x 5=x 2D .x 4÷x 5y =x -1y -124.计算x 2y 3÷(xy )2的结果是( )A .xyB .xC .yD .xy 225.21a 8÷7a 2=( )A .7a 4;B .3a 6;C .3a 10;D .3a 16.26.x 9y 3÷x 6y 2=( )A .x 3y ;B .x 3y 3;C .x 3y 2;D .x 3.27.28a 4b 2÷7a 3b =( )A .4ab 2;B .4a 4b ;C .4a 4b 2;D .4a b .28.下列整式除法正确的是( )A .(3x 2y 3+6x 2y 2)÷3xy 2=xy +2xy ;B .(5a 2b 4-25a 3)÷(-5b 4)=-a 2+5a 3b 4;C .(2x 2-5x -3)÷(x -3)=2x +1;D .(a +b )4(a -b )÷2(a +b )(a 2-b 2)=2(a +b )2×(a -b ).29.6m 3÷(-2m 2)的结果等于( )A .-3mB .3mC .-2mD .2m30.(6x 4+5x 2-3x )÷(-3x )的结果是( )A .-2x 3+5x 2-3xB .-2x 3-5x 2+3xC .35213x x -+- D .2523x x --31.化简4a 6÷(-a 3)的结果是( )A .-4a 2B .4a 2C .-4a 3D .4a 3第6章单元基础练习答案1.D2.B3.B 4.D 5.C 6.B 7.C8.D9.D 10.A 11.C 12.A13.A14.B 15.B 16 C 17.B 18.D 19.B 20.A 21.C 22.A23.D24.C 25.B 2 6.A 27.D 28.C 29.A.30 C.31 C.。
鲁教版六年级数学下册 第六章整式的乘除单元综合测试题4(附答案)1.下列计算正确的是( )A .(﹣a 3)2=a 5B .﹣3a 2b +3ba 2=0C .a 2×a 3≡a 6D .(﹣3a 2b )3=a 6b 3 2.计算:(13)﹣1的值为( ) A .13 B .﹣3 C .1-3 D .33.下列运算正确的是( )A .x 2•x 3=x 5B .(x 2)3=x 5C .x 6÷x 2=x 3D .x 2+x 3=x 5 4.下列等式正确的是( )A .3412a a a •=B .347a a a --÷=C .0(2)1-=-D .437(2)8a a = 5.若(x+2)(x ﹣a )中不含x 项,那么a 的值为( )A .0B .2C .﹣2D .46.下列运算中,可以运用平方差公式的是( )A .()()22a a +--B .22b b a a ⎛⎫⎛⎫+- ⎪⎪⎝⎭⎝⎭C .()()a b a b -+-D .()()22a b a b -+ 7.用科学记数法表示﹣0.0000069为( )A .﹣69×10﹣5B .﹣690×10﹣4C .﹣6.9×10﹣6D .0.69×10﹣58.下列计算正确的是 ( )A .a m ·a 2=a 2mB .x 3·x 2·x =a 5C .a 4·a 4=2a 4D .(a +b )2n +1·(b +a )2n -1=(a +b )4n9.化简4232()a a a ⋅+的结果正确的是( )A .86a a +B .96a a +C .26aD .2(1)4(1)4x x +-++10.下列各式中能用平方差公式计算的是( )A .()(252)5x x +--B .()(1)1m m --C .()()a b a b -+-D .()()x y x y ---11.22-=_________.12.若-2x a y·(-3x 3y b )=6x 4y 5,则a =________,b =________.13.计算(12)﹣1+(23)0=_____ 14.如图所示的正方形和长方形卡片各有若干张,若要拼成一个长为(2a +b),宽为(a +b)的长方形,则需要A 类卡片____张,B 类卡片____张,C 类卡片____张.15.计算:(﹣2ab 2)3÷4a 2b 2=_____. 16.(1)(-a) 5·(-a) 4=______; (2)(-a) 4·a·(_______)=-a 10.17.计算:x 3•x 2=_____.18.计算:(x ﹣4)(x +3)=_____.19.PM2.5是指大气中直径小于或等于0.0000025m 的颗粒物,将0.0000025用科学计数法表示为________________.20.非洲猪瘟病毒,在低温暗室内存在血液中之病毒可生存六年,室温中可活数周,加热被病毒感染的血液55℃30分钟或60℃10分钟,病毒将被破坏,许多脂溶剂和消毒剂可以将其破坏.该病毒粒子的直径约为0.000000175米,用科学计数法表示数据0.00000175=_____; 21.先化简,再求值:(1)已知12a b =-=-,,求()222164232a ab a ab b ⎛⎫+-+- ⎪⎝⎭的值;(2)已知22328x xy xy y -=--=-,,求22243x xy y +-的值。
鲁教版2020六年级数学下册第六章整式的乘除自主学习基础达标测试题4(附答案) 1.下列计算正确的是( )A .a 2•a 3=a 6B .a 6÷a 3=a 2C .(﹣2a 2)3=﹣8a 6D .4a 3﹣3a 2=12.下列计算正确的是( )A .5510a a a +=B .()3412a a =C .6424a a a ⨯=D .440a a a -= 3.下列计算正确的是( )A =B .(a +b )2=a 2+b 2C .x 6÷x 2=x 3D .2x 2·3x 4=6x 6 4.如果M 2+m+16是一个多项式的完全平方式,那么含字母x 的单项式M 等于( ) A .4x B .4x ± C .8x D .8x ±5.每到四月,许多地方杨絮、柳絮如雪花般漫天飞舞,人们不堪其扰,据测定,杨絮纤维的直径约为0.0000105m ,该数值用科学记数法表示为( )A .51.0510⨯B .51.0510-⨯C .50.10510-⨯D .410.510-⨯6.若x ﹣1x =3,则241x x +=( ) A .11 B .7 C .111 D .177.如果x 2-(m -1)x +1是一个完全平方式,则m 的值为( )A .-1B .1C .-1或3D .1或38.下列运算正确的是( )A .5x - 3x = 2B .(x -1)2 = x 2 -1C .(-2x 2 )3= -6x 6D .x 6 ÷ x 2 = x 49.下列计算中,正确的是( )A .336x x x ⋅=B .336x x x +=C .()336x x =D .33x x x ÷= 10.下列各式中,运算正确的是( )A .a 3+a 2=a 5B .3a 2﹣a 2=3C .(a 2)3=a 5D .a 3÷a=a 2 11.写出一个运算结果是a 6的算式____.12.(5+x 2)(5-x 2)等于_______;13.若x+y=6,xy=5,则x 2+y 2=________.14.已知(a -4)(a -2)=3,则(a -4)2+(a -2)2的值为__________.15.计算:(12)2017×(﹣4)1009=_____. 16.若4x =5,4y =3,则4x+y =________若a x =2则a 3x =______________ .17.如果2x a =,3y a =,则x y a +=______ .18.医学研究发现一种新病毒的直径约为0.000043毫米,这个数0.000043用科学记数法表为______________.19.每到四月,许多地方杨絮、柳絮如雪花般漫天飞舞,人们不堪其扰,据测定,杨絮纤维的直径约为0.0000105m ,该数值用科学记数法表示为_______m .20.(若关于x 的二次三项式214x ax ++是完全平方式,则a 的值是________. 21.2a ·(a +1)- a (3a - 2)+2a 2 (a 2-1)22.计算:(3)(1)(3)x x x ++-.23.若x 3 =8a 3b 6,求x 的值24.(1)计算:2152045(53)(53)5-+--+.(2)计算:2(3)(3)(2)a b a b a b ---+-25.计算:(1); (2) (-3a)2+(2a+1)(a-2).26.已知:644×83=2x ,求x .27.若x m =10,x n =5,则x m-n 为多少?28.计算:(1)m 3·m 2+m 7÷(-m 2)+(m 2)3; (2)(x 2-2xy )·9x 2-(9xy 3-12x 4y 2)÷3xy .参考答案1.C【解析】【分析】各项计算得到结果,即可作出判断.【详解】A 选项:原式=a 5,不符合题意;B 选项:原式=a 3,不符合题意;C 选项:原式=-8a 6,符合题意;D 选项:原式不能合并,不符合题意,故选:C .【点睛】考查了整式的混合运算,熟练掌握运算法则是解本题的关键.2.B【解析】分析:根据合并同类项的法则判断A 、D 选项,幂的乘方法则判断B 选项,同底数幂乘法法则判断C 选项.详解:A 选项:5552a a a +=,故不正确;B 选项:()3412a a =,故是正确的;C 选项:6410a a a ⨯=,故不正确;D 选项:44a a -=0,故不正确.故选B.点睛:主要考查了幂的乘方、同底数幂的乘法和合并同类项运算,正确掌握运算法则是解题关键.3.D【解析】分析:利用二次根式的加减法、完全平方公式、同底数幂的除法、单项式乘以单项式法则进行计算后即可确定答案.详解:A .不是同类二次根式,因此不能进行运算,故本答案错误;B .(a +b )2=a 2+b 2+2ab ,故本答案错误;C .x 6÷x 2=x 4,故本答案错误;D .2x 2·3x 4=6x 6,故本答案正确.故选D .点睛:本题考查了二次根式的加减法、完全平方公式、同底数幂的除法、单项式乘以单项式.属于基本运算,要求学生必须掌握.4.D【解析】试题解析: 222164x M x M ++=++Q ,∴M =±2⋅x ⋅4=±8x .故选D.5.B【解析】【分析】绝对值小于1的正数也可以利用科学记数法表示,一般形式为a×10-n ,与较大数的科学记数法不同的是其所使用的是负指数幂,指数由原数左边起第一个不为零的数字前面的0的个数所决定.【详解】0.0000105=1.05×10-5,故选B .【点睛】本题考查用科学记数法表示较小的数,一般形式为a×10-n ,其中1≤|a|<10,n 为由原数左边起第一个不为零的数字前面的0的个数所决定.6.C【解析】分析:先由x ﹣1x =3两边同时平方变形为22111x x +=,进而变形为42111x x +=,从而得解. 详解:∵x ﹣1x=3,∴22112?9x x x x ++=, ∴22111x x+=, ∴42111x x+=, ∴241111x x =+, 故选C.点睛:此题要运用完全平方公式进行变形.根据a 2+b 2=(a+b)2-2ab 把原式变为22111x x +=,再通分,最后再取倒数.易错点是忘记加上两数积的2倍.7.C【解析】∵x 2-(m -1)+1是一个完全平方式,∴-(m -1) x =±2 x ,∴-(m -1) =±2,解之得m =-1或m =3.故选C.点睛:本题考查了完全平方公式:a 2±2ab +b 2,其特点是首平方,尾平方,首尾积的两倍在中央,这里首末两项是x 和1的平方,那么中间项为加上或减去x 和1的乘积的2倍.8.D【解析】分析:根据合并同类项、完全平方公式、积的乘方、同底数幂的除法,逐项计算分析即可.详解:A. 5x - 3x = 2x ,故不正确;B. (x -1)2 = x 2 -2x +1,故不正确;C. (-2x 2 )3= -8x 6 ,故不正确;D. x 6 ÷ x 2 = x 4,故正确;故选D.点睛:本题考查了整式的有关运算,熟练掌握各种运算法则是解答本题的关键.9.A【解析】分析:根据同底数幂的乘法,合并同类项,幂的乘方,同底数幂的除法逐项计算即可. 详解: A. ∵ 336x x x ⋅= ,故正确;B. ∵3332x x x += ,故不正确;C. ∵ ()339x x = ,故不正确;D. ∵ 331x x ÷=,故不正确;故选A.点睛:考查了整式的运算,熟练掌握底数幂的乘法,合并同类项,幂的乘方,同底数幂的除法是解答本题的关键.10.D【解析】Aa 3+a 2≠a 5,本选项错误;B.3a 2﹣a 2=2a 2,本选项错误;C.(a 2)3=a 6,本选项错误;D.a 3÷a=a 2,本选项正确,故选D .11.a 2•a 4(答案不唯一)【解析】试题解析:246.a a a ⋅=故答案为:24.a a ⋅答案不唯一.12.25-x 4【解析】根据平方差公式可得:(5-x 2)(5-x 2)=25-x 4.13.26【解析】∵x+y=6,xy=5,∴x 2+y 2=(x+y )2-2xy=62-2×5=36-10=26.故答案是:26.14.10【解析】【分析】试题分析:把(a ﹣4)和(a ﹣2)看成一个整体,利用完全平方公式求解.(a ﹣4)2+(a ﹣2)2=(a ﹣4)2+(a ﹣2)2-2(a ﹣4)(a ﹣2)+2(a ﹣4)(a ﹣2)=[(a ﹣4)-(a ﹣2)]2+2(a ﹣4)(a ﹣2)=(-2)2+2×3=10故答案为10【点睛】本题考查了完全平方公式:(a±b )2=a 2±2ab+b 2求解,整体思想的运用使运算更加简便. 15.-2【解析】()20171009142⎛⎫⨯- ⎪⎝⎭=201720181(22⎛⎫⨯- ⎪⎝⎭)=-22017122⎛⎫⨯⨯ ⎪⎝⎭=-2.故答案为-2.16.15 8【解析】【分析】(1)运用公式a m ∙a n =a m+n , ;4x+y =4x ×4y ,再化简;(2)根据(a m )n =a mn , a 3x =(a x )3=23.再化简可得结果.【详解】(1)4x+y =4x ×4y =5×3=15 (2)a 3x =(a x )3=23=8.故正确答案为: 15 , 8.【点睛】此题考核知识点:同底数幂乘法、幂的乘方.解题的关键:灵活运用同底数幂乘法、幂的乘方公式,逆用公式可易得结果.17.6【解析】【分析】同底数幂相乘,底数不变,指数相加.【详解】解:236x y x y a a a +=⨯=⨯=,故答案为:6.本题考查了同底数幂的乘法.18.4.3× 10-5【解析】解:0.000043=54.310-⨯.故答案为54.310-⨯.19.1.05×10-5【解析】【分析】根据科学计数法的表示方法即可求解.【详解】0.0000105=1.05×10-5,故填1.05×10-5. 【点睛】此题主要考查科学计数法的表示,解题的关键是熟知科学计数法的表示方法.20.±1【解析】试题分析:中间一项为加上或减去x 和12积的2倍,故a =±1,解得a =±1,故答案为±1. 点睛:本题考查了完全平方式的应用,两数的平方和,再加上或减去它们积的2倍,就构成了一个完全平方式.关键是注意积的2倍的符号,避免漏解.21.2a 4 -3a 2+4a【解析】试题分析:先由单项式乘多项式法则与同底数幂的乘法法则计算,再合并同类项即可.试题解析:解:2a ·(a +1)- a (3a -2)+2a 2 (a 2-1) =2a 2+2a - 3a 2+2a +2a 4 -2a 2=2a 4 -3a 2+4a .点睛:本题主要考查了单项式乘以多项式的运算法则和和合并同类项,熟练掌握运算法则是解题的关键.22.3299x x x +--【解析】试题分析:本题考查了多项式乘多项式及平方差公式.() 3x +与()3x -可用平方差公式相乘,然后再根据多项式的乘法法则把得到的结果与()1x +相乘即可. 解:原式=()()()331x x x +-+=()()291x x -+=3299x x x +--.23.2ab 2【解析】试题分析:根据积的乘方法则可完成此题.试题解析:8a 3b 6=(2ab 2)3 ,∵x 3 =8a 3b 6,∴x 的值为2ab 224.(1) 6512-;(2) 2134b ab -.【解析】试题分析:(1)前三项化简二次根式,后一项运用平方差公式进行计算,最后进行合并同类二次根式 即可得解;(2)运用平方差公式和完全平方公式分别把括号去掉,再合并同类项即可得出结果. 试题解析:(1)原式=5525354512⨯-++- =525354512-++-=6512-;(2)原式=-(a 2-9b 2)+a 2-4ab+4b 2=-a 2+9b 2+a 2-4ab+4b 2=2134b ab -.25.(1); (2)【解析】【分析】(1)根据单项式与多项式相乘的运算法则:单项式与多项式相乘,就是用单项式去乘多项式的每一项,再把所得的积相加.(2)先利用积的乘方和多项式与多项式相乘法则计算,再算加法即可.【详解】解:(1)2a (a-3b )=2a 2-6ab ;(2)(-3a)2+(2a+1)(a-2)=9a²+2a²-4a+a-2=. 【点睛】本题主要考查单项式乘多项式、多项式乘多项式的法则.注意不要漏项,漏字母,有同类项的合并同类项.26.33【解析】试题分析:根据幂的乘方和积的乘方关系进行运算即可.试题解析:()()4343632493364822222,⨯=⨯=⨯=Q436482,x ⨯=Q3322,33.x x ∴=∴=27.2【解析】试题分析:由题可知x m =10,x n =5,再根据同底数幂的除法法则可完成题. 试题解析:∵x m =10,x n =5,x m -n = x m ÷x n ,∴x m-n = x m ÷x n =10÷5=2.28.(1) m 6;(2) 9x 4-14x 3y -3y 2【解析】试题分析:(1)原式先利用单项式乘单项式、单项式除以单项式以及幂的乘方计算,再合并即可;(2)原式利用单项式乘以多项式,多项式除以单项式法则计算,去括号合并即可得到结果.试题解析:(1)原式= m 5-m 5+m 6= m 6;(2)原式=9x 4-18x 3y-3y 2+4x 3y=9x 4-14x 3y -3y 2.。
鲁教版2020六年级数学下册第六章整式的乘除自主学习基础达标测考试试题1(附答案) 鲁教版2020六年级数学下册第六章整式的乘除自主学习基础达标测试题1(附答案) 1.下列运算正确的是( )A .325()a a =B .325a a a +=C .351a a ÷=D .322()a a a a ⋅÷= 2.在算式(x +m)(x -n)的积中不含x 的一次项,则m ,n 一定满足( )A .互为倒数B .互为相反数C .相等D .mn =03.下列运算正确的是( ).A .2a a a +=B .20.33/a m s =C .32a a a ÷=D .352()a a = 4.下列算式运算结果正确的是( )A .B .C .D . 5.已知5m a =,2n a =,则m n a +的值等于( )A .7B .8C .10D .256.计算8a 3÷(-2a )的结果是( )A .4aB .-4aC .4a 2D .-4a 27.已知多项式x 分解因式为1x ≤-,则b 、c 的值为( )A .b=2,c=-3B .b=-2,c=3C .b=-2,c=-3D .b=-4,c=-3 8.已知x m = 3,x n = 5,则x 2m -n =( )A .95, B .65, C .35, D .3.259.计算()()3?3x x +-正确的是( )A .29x +B .2xC .29x -D .26x -10.下列计算正确的是( )A .(x+7)(x ﹣8)=x 2+x ﹣56B .(x+2)2=x 2+4C .(7﹣2x )(8+x )=56﹣2x 2D .(3x+4y )(3x ﹣4y )=9x 2﹣16y 211.-52×(-5) 2×5-4=_____________.12.若,,则的值为_________________.13.下图是一个长方形,请你仔细观察图形,写出图中所表示的整式的乘法关系式为__________.14.如图,现有若干张卡片,分别是正方形卡片A 、B 和长方形卡片C ,卡片大小如图所示.如果要拼一个长为(4a +b ),宽为(a +2b )的大长方形,则需要C 类卡片________张.15.若39.m a a a =, 则m =________.16.右图中四边形均为长方形,根据图形,写出一个正确的等式:_____________.17..若x 3m =2,则x 9m =_____.18.(a m -1) n ÷a mn =___________.19.-3(a-b)2·[2(a-b)3]·[23(a-b)]=________. 20.(x 2)-3·(x 3)-1÷x=____________.21.计算:(1)(a+b )×(a 2-ab+b 2) (2) (a +b -c )(a +b +c )(3)[(x +2y )2-(x -2y )2]÷4y .22.先化简再求值.22(2)(2)()2(2)x y x y x y x y ⎡⎤+-++-÷-⎣⎦,其中2x =-,12y =. 23.2202211(2)()()[(2)]22----+---+--; 24.化简:2()()()m n m n m n mn -+-+-鲁教版2020六年级数学下册第六章整式的乘除自主学习基础达标测考试试题1(附答案)如图②所示的正方形.(1)正方形②的面积可以表示为________________或 ___________________,由此可得等式:_____________________________________.(2)请你选用图①中的相应的卡片若干张,拼成一个长方形,用来验证等式:2252(2)(2)a ab ab a b a b ++=++,并仿照图②标上每张卡片的代号.26.先化简,再求值(a-2)a-(a+6)(a-2),其中a=-2.27.计算: 32223(3)a b a b a b ab ÷+⋅-参考答案 1.D【解析】试题分析:根据幂的乘方,底数不变,指数相乘,可得()236a a =,故A 不正确; 根据整式的运算,可知a 3与a 2不是同类项,不能计算,故B 不正确;根据同底数幂的除法和负整指数幂的的性质,可知35a a ÷=35221a a a --==,故C 不正确; 根据同底数幂相乘和同底数幂相除,可知()322a a a a ⋅÷=,故D 正确.故选:D.2.C【解析】因为(x +m)(x -n)=x 2+(m-n)x-mn ,所以m-n=0,则m=n.故选C.3.C【解析】A. 2a a a += ,此选项错误;B. 23a a a ⋅=,此选项错误;C. 32a a a ÷=,此选项正确;D. ()326a a =,此选项错误;故选C .4.B【解析】试题分析:A 、(2x 5)2=4x 10,故A 错误; B 、(﹣3)﹣2==,故B 正确;C 、(a+1)2=a 2+2a+1,故C 错误;D 、a ﹣(a ﹣b )=a ﹣a+b=b ,故D 错误;故选B .考点:1.幂的乘方与积的乘方;2.整式的加减;3.完全平方公式;4.负整数指数幂. 5.C【解析】5m a Q =,2n a =,5210m n m n a a a +∴=⨯=⨯= ,故选C.6.D【解析】试题解析:原式=-4a2,故选D.考点:整式的除法.7.C【解析】直接利用多项式乘法去括号,再得出a、b的值. 解:∵x2+bx+c=(x-3)(x+1)=x2-2x-3,∴b=-2,c=-3.故选C.8.A【解析】原式=(x m)2÷x n=29355÷=,故选A.点睛:本题考查了幂的乘方以及同底数幂的除法法则,把原式转化成(x m)2÷x n 的形式是关键.9.C【解析】试题解析:(x+3)•(x-3)=x2-9.故选C.10.D【解析】A、C利用多项式乘多项式法则计算得到结果,B利用完全平方公式展开得到结果,D利用平方差公式化简得到结果,即可做出判断.解:A、(x-7)(x-8)=x2-8x+7x-56=x2-x-56,本选项错误;B、(x+10)2=x2+20x+100,本选项错误;C、(7-2x)(8-x)=56+7x-16x-2x2=56-9x-2x2,本选项错误;D、(3a+4b)(3a-4b)=9a2-16b2,本选项正确.“点睛”此题考查了多项式乘多项式,平方差公式,以及完全平方公式,熟练掌握运算法则是解本题的关键.11.-1【解析】试题分析:根据乘方的意义和同底数幂相乘,以及负整指数幂的性质,计算为:-52×(-5) 2×5-4=-52×5 2×5-4==-1.12.【解析】因,所以.13.(a+b)(a+2b)=a2+3ab+2b2【解析】由图可知长方形的面积为:(a+b)(a+2b)=a2+2ab+ab+2b2= a2+3ab+2b2,故答案为:(a+b)(a+2b)=a2+3ab+2b214.9【解析】试题解析:(a+2b)(4a+b)=4a2+9ab+2b2.则需要C类卡片9张.【点睛】本题考查了多项式乘多项式的运算,需要熟练掌握运算法则并灵活运用,利用各个面积之和等于总的面积也比较关键.15.6【解析】396+=⇒=m m16.m(a+b+c)=ma+mb+mc(答案不唯一).【解析】试题分析:从两方面计算该图形的面积即可求出该等式本题解析:从整体来计算矩形的面积:m(a+b+c),从部分来计算矩形的面积:ma+mb+mc,所以m(a+b+c)=ma+mb+mc故答案为m(a+b+c)=ma+mb+mc17.8【解析】由x3m=2,则x9m=(x3m)3=(2)3=8.故答案为8.18.1na 【解析】 试题分析:根据幂的乘方和同底数幂相除,可得(a m -1) n ÷a mn =mn n mn a a -÷=n a -=1n a . 19.-4(a-b)6【解析】 原式()()()()23623243a b a b a b a b =-⨯⨯⨯-⋅-⋅-=-- . 【点睛】本题考查了单项式的乘法.单项式与单项式的乘法法则是,把它们的系数相乘,字母部分的同底数的幂分别相乘,对于只在一个单项式里含有的字母,连同它的指数作为积的一个因式.20.101x【解析】 试题分析:根据幂的乘方和同底数幂的乘法除法以及负整数指数1(0)p p aa a -=≠,直接可计算为:(x 2)-3·(x 3)-1÷x=x -6·x -3÷x=x -10=101x . 21.(1)a 3+b 3 ; (2)a 2+2ab +b 2-c 2; (3) 2x.【解析】试题分析:(1)根据立方和公式进行计算,(2)先利用平方差进行因式分解,然后再利用乘法公式展开计算,(3)先利用平方差进行展开计算,然后再利用整式的除法进行计算.试题解析:(1)(a+b )×(a 2-ab+b 2)= a 3+b 3 , (2)(a +b -c )(a +b +c ) =(a+b )2-c 2= a 2+2ab +b 2-c 2,(3) [(x +2y )2-(x -2y )2]÷4y ,=8xy ÷4y,=2x .22.1-2x ,1 【解析】试题分析:原式中括号中利用完全平方公式及平方差公式化简去括,号合并后再利用多项式除以单项式法则计算得到最简结果,把x 与y 的值代入计算即可求出值.原式=[4x 2+4xy +y 2-(2x 2+2xy +xy +y 2)-2x 2]÷(-2y ) =(4x 2+4xy +y 2-2x 2-2xy -xy -y 2--2x 2)÷(-2y )=xy ÷(-2y ) =1-2x 当x =-2,y =12时, 原式=1--212⨯=() 23.5316【解析】【分析】利用指数幂的运算性质就即可得出.【详解】原式=11+41416-+ =5316【点睛】考核知识点:0指数幂,负指数幂运算.掌握法则是关键.24.223n mn --【解析】()()()2m n m n m n mn -+-+-222222222(2)223m n m mn n mnm n m mn n mn n mn=--++-=-----=--25.2()a b + 222a ab b ++ 222()2a b a ab b +=++【解析】分析:等式右边(2a+b )•(a+2b )可理解为要做一个几何图形它的长和宽分别是(2a+b )、(a+2b ),而左边代表的是分别要用的几个不同小图形的个数.正方形②的面积可以表示为()2a b +或 222a ab b ++,由此可得等式:()2222.a b a ab b +=++请你选用图①中的相应的卡片若干张,拼成一个长方形,用来验证等式: ()()225222a ab ab a b a b ++=++,并仿照图②标上每张卡片的代号.26.24.【解析】试题分析:原式第一项利用单项式乘以多项式法则计算,第二项利用多项式乘以多项式法则计算,去括号合并得到最简结果,把a 的值代入计算即可求出值.试题解析:原式=a 2-2a-a 2-4a+12=612a -+当a=-2时,原式=-2×(-6)+12=24.27.22a b【解析】试题分析:根据单项式除以单项式、单项式和多项式相乘计算,再合并同类项即可. 试题解析:原式=222233ab a b ab +-=22a b。
六年级数学下册第六章整式的乘除同步测试考试时间:90分钟;命题人:数学教研组考生注意:1、本卷分第I 卷(选择题)和第Ⅱ卷(非选择题)两部分,满分100分,考试时间90分钟2、答卷前,考生务必用0.5毫米黑色签字笔将自己的姓名、班级填写在试卷规定位置上3、答案必须写在试卷各个题目指定区域内相应的位置,如需改动,先划掉原来的答案,然后再写上新的答案;不准使用涂改液、胶带纸、修正带,不按以上要求作答的答案无效。
第I 卷(选择题 30分)一、单选题(10小题,每小题3分,共计30分)1、可乐中含有大量的咖啡因,世界卫生组织建议青少年每天咖啡因的摄入量不能超过0.000085kg .则数0.000085用科学记数法表示为( )A .8.5×10﹣5B .0.85×10﹣4C .8.5×105D .85×10﹣62、下列计算中,正确的是( )A .()30.10.0001-=B .()02 6.218π-= C .()010521-⨯= D .()120212021-= 3、若()()2224x ax x ++-的结果中不含x 项,则a 的值为( )A .0B .2C .12D .-24、下列计算正确的是( ).A .235()x x =B .236x x x ⋅=C .3332x x x += D .33x x x ÷= 5、下列计算正确的是( )A .235x x xB .()22xy xy =C .()325x x =D .623x x x ÷=6、计算()42a a -÷,正确结果是( )A .316aB .316a -C .42a -D .32-a7、最小刻度为0.2nm (91nm 10m -=)的钻石标尺,可以测量的距离小到不足头发丝直径的十万分之一,这也是目前世界上刻度最小的标尺,用科学记数法表示这一最小刻度为( )A .9210m -⨯B .11210m -⨯C .9210m -⨯D .10210m -⨯8、计算23()x 的结果( )A .6xB .5xC .6x -D .5x -9、若mx +6y 与x ﹣3y 的乘积中不含有xy 项,则m 的值为( )A .0B .2C .3D .610、下列运算正确的是( )A .236a a a ⋅=B .235a a a +=C .()236a a =D .623a a a ÷=第Ⅱ卷(非选择题 70分)二、填空题(5小题,每小题4分,共计20分)1、若关于x 的二次三项式22(1)4x k x -++是完全平方式,则k =____.2、如图,两个正方形的边长分别为a ,b .若a +b =5,ab =5,则图中阴影部分的面积为_____.3、当我们利用两种不同的方法计算同一图形的面积时,可以得到一个等式.例如:由图1可得等式:22(2)()32a b a b a ab b ++=++.(1)由图2可得等式:________;(2)利用(1)中所得到的结论,解决下面的问题:已知21()()()4b c a b c a -=--且0a ≠,则b c a +=_______.4、比较大小[(﹣2)3]2___(﹣22)3.(填“>”,“<”或“=”)5、化简:11+21x x x = ________.三、解答题(5小题,每小题10分,共计50分)1、先化简,再求值:()()25121x x x +-+-(),其中15x =-. 2、计算:()()()1211x x x x +-+++3、数学课上,王老师准备了若干个如图1的三种纸片,A 种纸片是边长为a 的正方形,B 种纸片是边长为b 的正方形,C 种纸片是长为b ,宽为a 的长方形.并用A 种纸片一张,B 种纸片一张,C 种纸片两张拼成如图2的大正方形.(1)请用两种不同的方法求图2大正方形的面积:方法1: ;方法2: ;(2)观察图2,请你写出代数式:(a +b )2,a 2+b 2,ab 之间的等量关系 ;(3)根据(2)题中的等量关系,解决如下问题:①已知:a +b =5,(a ﹣b )2=13,求ab 的值;②已知(2021﹣a )2+(a ﹣2020)2=5,求(2021﹣a )(a ﹣2020)的值.4、计算:(1)()2243632314a a a a ⋅+-; (2)()()()2232321x x x -+--.5、计算:a •a 7﹣(﹣3a 4)2+a 10÷a 2.-参考答案-一、单选题1、A【解析】【分析】科学记数法是一种记数的方法,把一个数表示成a 与10的n 次幂相乘的形式(1≤|a |<10,n 为整数),这种记数法叫做科学记数法,由此用科学记数法表示即可.【详解】解:数0.000085用科学记数法表示为8.5×10﹣5A 、故选项正确,符合题意;B 、故选项错误,不符合题意;C 、故选项错误,不符合题意;D 、故选项错误,不符合题意.故选:A .【点睛】此题考查了科学记数法的问题,解题的关键是掌握科学记数法的定义以及表示方法.2、B【解析】【分析】根据零指数幂,负指数幂的运算法则计算各个选项后判断.【详解】解:A. ()30.11000-=,故选项A 计算错误,不符合题意; B. ()02 6.218π-=,故选项B 计算正确,符合题意;C. 10520-⨯=,原式不存在,故不符合题意;D. ()1120212021-=,故选项D 计算错误,不符合题意; 故选:B【点睛】本题主要考查了零指数幂,负指数幂运算.负指数为正指数的倒数;任何非0数的0次幂等于1.3、B【解析】【分析】先根据多项式乘以多项式法则展开,合并同类项,由题可得含x 的平方的项的系数为0,求出a 即可.【详解】解:(x2+ax+2)(2x-4)=2x3+2ax2+4x-4x2-4ax-8=2x3+(-4+2a)x2+(-4a+4)x-8,∵(x2+ax+2)(2x-4)的结果中不含x2项,∴-4+2a=0,解得:a=2.故选:B.【点睛】本题考查了多项式乘以多项式,能熟练地运用法则进行化简是解此题的关键.4、C【解析】【分析】将各式分别计算求解即可.【详解】解:A中()3265=≠,错误,故不符合要求;x x xB中2356⋅=≠,错误,故不符合要求;x x x xC中333x x x+=,正确,故符合要求;2D中331÷=≠,错误,故不符合要求;x x x故选C.【点睛】本题考查了幂的乘方,同底数幂的乘法与除法,整式的加法等知识.解题的关键在于正确的运算.5、A【分析】根据整式的乘除运算法则逐个运算即可.【详解】解:选项A :235x x x ,故选项A 正确;选项B :()222=xy x y ,故选项B 错误; 选项C :()326x x =,故选项C 错误; 选项D :624x x x ÷=,故选项D 错误;故选:A .【点睛】本题考查了同底数幂的乘、除法,幂的乘方及积的乘方等,属于基础题,计算过程中细心即可.6、D【解析】【分析】根据单项式除以单项式的运算法则进行计算后即可确定正确的选项.【详解】解:原式=()4322a a a -÷=-,故选:D .【点睛】本题考查了整式的除法,了解整式除法的运算法则是解答本题的关键,难度较小.7、D【分析】绝对值小于1的正数也可以利用科学记数法表示,一般形式为a ×10-n ,与较大数的科学记数法不同的是其所使用的是负指数幂,指数由原数左边起第一个不为零的数字前面的0的个数所决定.【详解】解:用科学记数法表示这一最小刻度为2×10-10m ,故选:D .【点睛】本题考查了用科学记数法表示较小的数,一般形式为a ×10-n ,其中1≤|a |<10,n 为由原数左边起第一个不为零的数字前面的0的个数所决定.8、A【解析】【分析】利用幂的乘方计算即可求解.【详解】解:23236()x x x ⨯==.故选:A .【点睛】本题考查了幂的乘方,掌握(am )n =amn 是解决本题的关键.9、B【解析】【分析】先运用多项式的乘法法则,进行乘法运算,再合并同类项,因积中不含xy 项,所以xy 项的系数为0,得到关于m 的方程,解方程可得m 的值.【详解】解:∵(mx +6y )×(x -3y )=mx 2-(3m ﹣6)xy ﹣18y 2,且积中不含xy 项,∴3m ﹣6=0,解得:m =2.故选择B .【点睛】本题主要考查多项式乘多项式的法则,解一元一次方程,根据不含某一项就是让这一项的系数等于0列式是解题的关键.10、C【解析】【分析】根据同底数幂的乘法法则、合并同类项法则、幂的乘方法则及同底数幂除法法则依次计算判断.【详解】解:A. 235a a a ⋅=,故该项不符合题意;B. a 2与a 3不是同类项,不能合并,故该项不符合题意;C. ()236a a =,故该项符合题意; D. 624a a a ÷=,故该项不符合题意;故选:C .【点睛】此题考查了整式的计算,正确掌握同底数幂的乘法法则、合并同类项法则、幂的乘方法则及同底数幂除法法则是解题的关键.二、填空题1、﹣3或1##1或-3【解析】【分析】根据222x +这个基础,结合安全平方公式有和、差两种形式,配齐交叉项,根据恒等变形的性质,建立等式求解即可.【详解】解:∵二次三项式22(1)4x k x -++是完全平方式,∴22(1)4x k x -++=22(2)44x x x -=-+或22(1)4x k x -++=22(2)44x x x +=++,∴2(1)4k -+=或2(1)4k -+=-,解得k =﹣3或k =1,故答案为:﹣3或1.【点睛】本题考查了完全平方公式的应用,正确理解完全平方公式有和与差两种形式是解题的关键.2、2.5##52##122【解析】【分析】 先利用阴影部分的面积等于大的正方形的面积的一半减去三个三角形的面积得到阴影面积为:221122a ab b -+,再利用完全平方公式的变形求解面积即可. 【详解】 解: 两个正方形的边长分别为a ,b ,221111=2222S a b b a b b a b 阴影2222111111222222a b ab b ab b 221122a ab b a +b =5,ab =5, 22211=2422S a ab b a b ab 阴影2115455 2.522故答案为:2.5【点睛】本题考查的是完全平方公式在几何图形中的应用,利用完全平方公式的变形求解代数式的值,掌握“()()224a b a b ab -=+-”是解本题的关键. 3、 2222()222a b c a b c ab bc ac ++=+++++ 2【解析】【分析】(1)方法一:直接利用正方形的面积公式可求出图形的面积;方法二:利用图形的面积等于9部分的面积之和,根据方法一和方法二的结果相等建立等式即可得;(2)先将已知等式利用完全平方公式、整式的乘法法则变形为2221110442a b c ac ab bc ++--+=,再利用(1)的结论可得211()022a b c --=,从而可得2a b c =+,由此即可得出答案. 【详解】解:(1)方法一:图形的面积为2()a b c ++, 方法二:图形的面积为222222a b c ab bc ac +++++,则由图2可得等式为2222()222a b c a b c ab bc ac ++=+++++,故答案为:2222()222a b c a b c ab bc ac ++=+++++;(2)21()()()4b c a b c a -=--, 222111424b bc c ac a bc ab -+=--+, 2221110442a b c ac ab bc ++--+=, 利用(1)的结论得:222211111()22442a b c a b c ac ab bc --=++--+, 211()022a b c ∴--=, 11022a b c ∴--=,即2a b c =+, 0a ≠,2b c a+∴=, 故答案为:2.【点睛】本题考查了完全平方公式与图形面积、整式乘法的应用,熟练掌握完全平方公式和整式的运算法则是解题关键.4、>【解析】【分析】利用幂的乘方和积的乘方先计算[(-2)3]2与(-22)3,再比较大小得结论.【详解】解:∵[(-2)3]2=(-2)3×2=(-2)6=26,(-22)3=-26,又∵26>-26,∴[(-2)3]2>(-22)3.故答案为:>.【点睛】本题考查了幂的乘方和积的乘方,掌握幂的乘方和积的乘方法则是解决本题的关键.5、221x x++【解析】【分析】先利用平方差公式,单项式乘以多项式进行整式的乘法运算,再合并同类项即可.【详解】解:11+21x x x2122x x221x x=++故答案为:221x x++【点睛】本题考查的是利用平方差公式进行计算,单项式乘以多项式,掌握“利用平方差公式进行简便运算”是解本题的关键.三、解答题1、5x2-4,19 5 -【解析】【分析】利用多项式乘多项式以及乘法公式对原式进行化简,再代入x的值求原式的值.【详解】解:()()25121x x x +-+-() =x 2+5x -x -5+4x 2-4x +1=5x 2-4, 当15x =-时,原式=5×2119455⎛⎫--=- ⎪⎝⎭. 【点睛】本题考查了整式的化简求值,解题的关键是掌握乘法公式的运用.2、221x -【解析】【分析】先进行多项式乘以多项式及单项式乘以多项式,然后合并同类项化简即可得.【详解】解:()()()1211x x x x +-+++,22221x x x x x =-+-+++,221x =-.【点睛】题目主要考查整式的乘法,包括多项式乘以多项式及单项式乘以多项式,熟练掌握运算法则是解题关键.3、 (1)2()a b +;222a b ab ++(2)222()2;a b a b ab +=++ab ;②-2(3)①3【解析】【分析】(1)方法1,由大正方形的边长为(a+b),直接求面积;方法2,大正方形是由2个长方形,2个小正方形拼成,分别求出各个小长方形、正方形的面积再求和即可;(2)由(1)直接可得关系式;(3)①由(a-b)2=a2+b2-2ab=13,(a+b)2=a2+b2+2ab=25,两式子直接作差即可求解;②设2021-a=x,a-2020=y,可得x+y=1,再由已知可得x2+y2=5,先求出xy=-2,再求(2021-a)(a-2020)=-2即可.(1)方法一:∵大正方形的边长为(a+b),∴S=(a+b)2;方法二:大正方形是由2个长方形,2个小正方形拼成,∴S=b2+ab+ab+a2=a2+b2+2ab;故答案为:(a+b)2,a2+b2+2ab;(2)由(1)可得(a+b)2=a2+b2+2ab;故答案为:(a+b)2=a2+b2+2ab;(3)①∵(a-b)2=a2+b2-2ab=13①,(a+b)2=a2+b2+2ab=25②,由①-②得,-4ab=-12,解得:ab=3;②设2021-a =x ,a -2020=y ,∴x +y =1,∵(2021-a )2+(a -2020)2=5,∴x 2+y 2=5,∵(x +y )2=x 2+2xy +y 2=1,∴2xy =1-(x 2+y 2)=1-5=-4,解得:xy =-2,∴(2021-a )(a -2020)=-2.【点睛】本题考查完全平方公式的几何背景,熟练掌握正方形、长方形面积的求法,灵活应用完全平方公式的变形是解题的关键.4、 (1)6a(2)410x -【解析】【分析】(1)先计算单项式乘单项式,积的乘方,再合并同类项即可;(2)利用平方差公式与完全平方公式计算,在合并同类项即可.(1)解:()2243632314a a a a ⋅+-, 6666914a a a =+-,6a =;(2)解:()()()2-+--,x x x23232122=--+-,49441x x x=-.410x【点睛】本题考查单项式乘单项式,积的乘方混合运算,乘法公式的混合计算,掌握单项式乘单项式,积的乘方混合运算,熟记乘法公式是解题关键.5、﹣7a8【解析】【分析】根据同底数幂的乘除法,积的乘方运算法则,幂的乘方运算,最后合并同类项即可【详解】解:a•a7﹣(﹣3a4)2+a10÷a2=a8﹣9a8+a8=﹣7a8.【点睛】本题考查了同底数幂的乘除法,积的乘方运算法则,幂的乘方运算,掌握幂的运算是解题的关键.。
六年级数学下册第六章整式的乘除章节测评考试时间:90分钟;命题人:数学教研组考生注意:1、本卷分第I 卷(选择题)和第Ⅱ卷(非选择题)两部分,满分100分,考试时间90分钟2、答卷前,考生务必用0.5毫米黑色签字笔将自己的姓名、班级填写在试卷规定位置上3、答案必须写在试卷各个题目指定区域内相应的位置,如需改动,先划掉原来的答案,然后再写上新的答案;不准使用涂改液、胶带纸、修正带,不按以上要求作答的答案无效。
第I 卷(选择题 30分)一、单选题(10小题,每小题3分,共计30分)1、下列计算中,正确的是( )A .()30.10.0001-=B .()02 6.218π-= C .()010521-⨯= D .()120212021-= 2、计算()42a a -÷,正确结果是( )A .316aB .316a -C .42a -D .32-a3、已知29x kx ++是完全平方式,则k 的值为( )A .-6B .±3C .±6D .34、若三角形的底边为2n ,高为2n ﹣1,则此三角形的面积为( )A .4n 2+2nB .4n 2﹣1C .2n 2﹣nD .2n 2﹣2n5、下列运算正确的是( )A .235x x xB .235x x x +=C .23x x x +=D .()325x x =6、纳米(nm )是非常小的长度单位,1nm 0.000000001m =.1nm 用科学记数法表示为( )A .7110m -⨯B .8110m -⨯C .91m 10-⨯D .10110m -⨯7、下列计算结果正确的是( )A .a +a 2=a 3B .2a 6÷a 2=2a 3C .2a 2•3a 3=6a 6D .(2a 3)2=4a 68、已知229x mx ++是完全平方式,则m 的值为( )A .6B .6±C .3D .3±9、下列计算正确的是 ()A .24822a a a ⋅=B .()211a a a +=+C .()327a a a ⋅=D .()3339a a -=- 10、下列计算正确的是( )A .(a +2)(a ﹣2)=a 2﹣2B .(﹣3a ﹣2)(3a ﹣2)=9a 2﹣4C .(a +2)2=a 2+2a +4D .(a ﹣8)(a ﹣1)=a 2﹣9a +8第Ⅱ卷(非选择题 70分)二、填空题(5小题,每小题4分,共计20分)1、计算:0|2|(3)π---=______.2、计算:()()2021201920201236⎛⎫-⨯-⨯-= ⎪⎝⎭______.3、我们要“远离毒品,珍惜生命”,科学研究发现某种毒品的分子直径是0.000000056米,则数字0.000000056用科学计数法表示为_________.4、若32m x y 与23n x y -是同类项,则()3223m n x y x y ⋅-=____.5、如图,两个正方形的边长分别为a ,b .若a +b =5,ab =5,则图中阴影部分的面积为_____.三、解答题(5小题,每小题10分,共计50分)1、计算:()()()()22224x y x y x y x x y -++-+-.2、计算:2(3)()()a b a b a b +-+-.3、计解:41596055⨯.4、先化简,再求值:[]26()()2()(29)()x y x y x y x y x y +--++-++,其中133x y ==-,.5、计算:(a ﹣2b )(a +2b )﹣(a ﹣2b )2+8b 2.-参考答案-一、单选题1、B【解析】【分析】根据零指数幂,负指数幂的运算法则计算各个选项后判断.【详解】解:A. ()30.11000-=,故选项A 计算错误,不符合题意; B. ()02 6.218π-=,故选项B 计算正确,符合题意;C. 10520-⨯=,原式不存在,故不符合题意;D. ()1120212021-=,故选项D 计算错误,不符合题意; 故选:B【点睛】本题主要考查了零指数幂,负指数幂运算.负指数为正指数的倒数;任何非0数的0次幂等于1.2、D【解析】【分析】根据单项式除以单项式的运算法则进行计算后即可确定正确的选项.【详解】解:原式=()4322a a a -÷=-,故选:D .【点睛】本题考查了整式的除法,了解整式除法的运算法则是解答本题的关键,难度较小.3、C【解析】【分析】根据完全平方式的特点:两数的平方和,加上或减去这两个数的乘积的2倍,即可确定k 的值.【详解】∵22293x kx x kx ++=++∴236k =±⨯=±故选:C本题考查了完全平方式,掌握完全平方式的特点是关键.注意不要忽略了k的负值.4、C【解析】【分析】根据三角形面积公式列式,然后利用单项式乘多项式的运算法则进行计算.【详解】解:三角形面积为1×2n(2n−1)=2n2-n,2故选:C.【点睛】×底×高,掌握单项式乘多项式的运算法则是本题考查单项式乘多项式的运算,理解三角形面积=12解题关键.5、A【解析】【分析】根据同底数幂的乘法、合并同类项法则及幂的乘方进行计算,再求出答案即可.【详解】解:A.235x x x,故本选项符合题意;B.x2与x3不是同类项,不能合并,故本选项不符合题意;C.x2与x不是同类项,不能合并,故本选项不符合题意;D.()326=,故本选项不符合题意;x x【点睛】本题考查了同底数幂的乘法、合并同类项法则及幂的乘方等知识点,能熟记相应的运算法则和性质是解答此题的关键.6、C【解析】【分析】根据科学记数法的特点即可求解.【详解】解:91nm 0.000000001=110m -=⨯.故选:C【点睛】本题考查了用科学记数法表示绝对值小于1的数,绝对值小于1的数用科学记数法可以写为10n a -⨯的形式,其中1≤|a |<10,n 为正整数,n 的值为从第一个不为0的数向左数所有0的个数,熟知科学记数法的形式并准确确定a 、n 的值是解题关键.7、D【解析】【分析】根据合并同类项,同底数幂的除法,单项式乘以单项式,积的乘方法则逐项分析即可.【详解】解:A. a 与a 2不是同类项,不能合并,故不正确;B. 2a 6÷a 2=2a 4,故不正确;C. 2a 2•3a 3=6a 5,故不正确;D. (2a 3)2=4a 6,正确;故选D.【点睛】本题考查了合并同类项,同底数幂的除法,单项式乘以单项式,积的乘方运算,熟练掌握运算法则是解答本题的关键.8、D【解析】【分析】根据完全平方公式的特点即可求解.【详解】解:已知229x mx ++是完全平方式,3m ∴=或3m =-,故选:D .【点睛】本题考查了完全平方公式,注意符合条件的答案有两个,以防漏掉.9、C【解析】【分析】根据幂的乘方、积的乘方、单项式乘单项式、单项式乘多项式等知识,即可完成.【详解】A 、62422a a a ⋅=,故计算错误;B 、2(1)a a a a +=+,故计算错误;C 、2367()a a a a a ==,故计算正确;D 、33()327a a =--,故计算错误.故选:C【点睛】本题考查了幂的运算及整式的乘法,熟练掌握它们的运算法则是关键,但在单项式乘多项式中,千万不要漏乘.10、D【解析】【分析】直接利用平方差公式以及完全平方公式、多项式乘多项式分别计算,进而判断得出答案.【详解】解:A .(a +2)(a ﹣2)=a 2﹣4,故此选项不合题意;B .(﹣3a ﹣2)(3a ﹣2)=4﹣9a 2,故此选项不合题意;C .(a +2)2=a 2+4a +4,故此选项不合题意;D .(a ﹣8)(a ﹣1)=a 2﹣9a +8,故此选项符合题意.故选:D .【点睛】此题主要考查了乘法公式和多项式相乘,正确运用乘法公式计算是解题关键.二、填空题1、1【解析】【分析】化简绝对值,进行0指数幂运算,然后进行减法运算即可【详解】解:原式=2-1=1故答案为:1.【点睛】本题考查了绝对值的化简,零指数幂,有理数的加减,熟练掌握零指数幂,准确进行绝对值的化简是解题的关键.2、112【解析】【分析】根据同底数幂相乘的逆运算将()20212020136⎛⎫-⨯- ⎪⎝⎭写成()201920192113(3)()66⎛⎫-⨯-⨯-⨯- ⎪⎝⎭, 再根据积的乘方逆运算及乘法法则解答.【详解】解:原式=()()20192019201921123(3)()66⎛⎫-⨯-⨯-⨯-⨯- ⎪⎝⎭ =()()201921123(3)()66⎡⎤⎛⎫-⨯-⨯-⨯-⨯- ⎪⎢⎥⎝⎭⎣⎦ =11(3)36-⨯-⨯=112. 故答案为:112.【点睛】此题考查了有理数的乘法计算,正确掌握同底数幂乘法法则的逆运算及积的乘方逆运算及乘法法则是解题的关键.3、5.6⨯10-8【解析】【分析】科学记数法的表现形式为10n a ⨯的形式,其中110a ≤<,n 为整数,确定n 的值时,要看把原数变成a 时,小数点移动了多少位,n 的绝对值与小数点移动的位数相同,当原数绝对值大于等于10时,n 是正数,当原数绝对值小于1时n 是负数;由此进行求解即可得到答案.【详解】解:数字0.000000056用科学记数法表示为85.610-⨯;故答案为85.610-⨯.【点睛】本题主要考查科学记数法,熟练掌握科学记数法是解题的关键.4、646x y -【解析】【分析】由同类项的定义可得n =3,m =2,由单项式乘法法则计算即可得()3264236m n x y x y x y ⋅-=-.【详解】∵由32m x y 与23n x y -是同类项∴n =3,m =2则()3232642366m n n m x y x y x y x y ++⋅-=-=-故答案为:646x y -【点睛】本题考查了同类项的定义以及单项式乘单项式的法则,这类题主要是根据同类项的定义:所含字母相同,并且相同字母的指数也分别相等的项叫做同类项.并建立方程(组)来解决问题,注意字母的顺序可能有变化.单项式乘单项式,把它们的系数、同底数幂分别向乘,对于只在一个单项式里含有的字母,则连同它的指数作为积的一个因事.5、2.5##52##122【解析】【分析】 先利用阴影部分的面积等于大的正方形的面积的一半减去三个三角形的面积得到阴影面积为:221122a ab b -+,再利用完全平方公式的变形求解面积即可. 【详解】 解: 两个正方形的边长分别为a ,b ,221111=2222S a b b a b b a b 阴影 2222111111222222a b ab b ab b 221122a ab b a +b =5,ab =5, 22211=2422S a ab b a b ab 阴影2115455 2.522故答案为:2.5【点睛】本题考查的是完全平方公式在几何图形中的应用,利用完全平方公式的变形求解代数式的值,掌握“()()224a b a b ab -=+-”是解本题的关键.三、解答题1、238-x xy【解析】【分析】根据完全平方公式、平方差公式及单项式与多项式的乘法法则逐个运算,最后合并同类项即可.【详解】解:原式22222=4444-++-+-x xy y x y x xy 2=38-x xy .【点睛】本题考查了完全平方公式、平方差公式及多项式的乘法法则,属于基础题,计算过程中细心即可. 2、22862a ab b ++【解析】【分析】根据完全平方公式及平方差公式,然后再合并同类项即可.【详解】解:原式222296()=++--a ab b a b222296+=++-a ab b a b 22862a ab b =++.【点睛】本题考查了完全平方公式及平方差公式,属于基础题,计算过程中细心即可.3、24359925【解析】【分析】 把原式化为11(60)(60)55-⨯+,然后根据平方差公式计算即可.【详解】 解:原式11(60)(60)55=-⨯+22160()5=- 1360025=- 24359925=. 【点睛】此题考查的是平方差公式,掌握平方差公式的公式结构是解决此题关键.4、﹣xy ﹣y 2,﹣8【解析】【分析】根据平方差公式,完全平方公式,多项式乘以多项式运算法则化简题目中的式子,然后将x 、y 的值代入化简后的式子即可解答本题.【详解】解:[]26()()2()(29)()x y x y x y x y x y +--++-++, =2222226()4(2)2299x y x xy y x xy xy y --++--++,=222222664842299x y x xy y x xy xy y ------++,=﹣xy ﹣y 2, 当133x y ==-,时,原式=()133-⨯--(﹣3)2=﹣8. 【点睛】本题考查整式的混合运算-化简求值,解答本题的关键是熟记乘法公式整式的化简求值的方法. 5、4ab【解析】【分析】根据整式的乘法公式及运算法则化简,合并即可求解.【详解】(a ﹣2b )(a +2b )﹣(a ﹣2b )2+8b 2=a 2-4b 2-a 2+4ab -4b 2+8b 2=4ab .【点睛】此题主要考查整式的乘法运算,解题的关键是熟知其运算法则及运算公式.。
鲁教版(五四制)六年级下册单元评价检测第六章(45分钟 100分)一、选择题(每小题4分,共28分)1.下列计算正确的是( )(A)2a+3b=5ab(B)(x+2)2=x 2+4 (C)(ab 3)2=ab 6(D)(-1)0=1 2.计算:2-2=( ) (A)14 (B)2 (C)14- (D)43.下列运算不正确的是( )(A)a 5+a 5=2a 5(B)(-3b 2c 3)2=-9b 4c 6 (C)2a 2·a -1=2a (D)(2a 3-a 2)÷a 2=2a-14.若关于x 的积(x-m)(x+6)中常数项为12,则m 的值为( )(A)2(B)-2 (C)6 (D)-6 5.(112-)2 013×(23)2 013等于( )(A)1 (B)-1 (C)94- (D)49- 6.若x 2+mx-15=(x+3)(x+n),则m 的值为( )(A)-5 (B)5 (C)-2 (D)27.现规定一种运算:a*b=ab+a-b,其中a,b 为实数,则a*b+(b-a)*b 等于( )(A)a 2-b (B)b 2-b (C)b 2 (D)b 2-a二、填空题(每小题5分,共25分)8.微电子技术的不断进步,使半导体材料的精细加工尺寸大幅度缩小.某种电子元件的面积大约为0.000 000 53平方毫米,用科学记数法表示为________平方毫米.9.已知(9n)2=38,则n=________.10.要使(ax2-3x)(x2-2x-1)的展开式中不含x3项,则a=________.11.已知(x-ay)(x+ay)=x2-16y2,那么a=________.12.如图,第(1)个图有2个相同的小正方形,第(2)个图有6个相同的小正方形,第(3)个图有12个相同的小正方形,第(4)个图有20个相同的小正方形,……,按此规律,那么第(n)个图有________个相同的小正方形.三、解答题(共47分)13.(10分)计算:(1)(-2x+5)(-5-2x)-(x-1)2.(2)[-6a3x4-(3a2x3)2]÷(-3ax2).14.(12分)先化简,再求值:3(2a-b)2-3a(4a-3b)+(2a+b)(2a-b)-b(a+b),其中a=1,b=2.15.(12分)在一次联欢会上,节目主持人让大家做一个猜数的游戏,游戏的规则是:主持人让观众每人在心里想好一个除0以外的数,然后按以下顺序计算:(1)把这个数加上2后平方.(2)然后再减去4.(3)再除以原来所想的那个数,得到一个商.最后把你所得到的商是多少告诉主持人,主持人便立即知道你原来所想的数是多少,你能解释其中的奥妙吗?16.(13分)新知识一般有两类:第一类是不依赖于其他知识的新知识,如“数”“字母表示数”这样的初始性的知识;第二类是在某些旧知识的基础上进行联系、推广等方式产生的知识,大多数知识是这样的知识.(1)多项式乘以多项式的法则,是第几类知识?(2)在多项式乘以多项式之前,你已拥有的有关知识是哪些?(写出三条即可)(3)请你用已拥有的有关知识,通过数和形两个方面说明多项式乘以多项式的法则是如何获得的?(用(a+b)(c+d)来说明)答案解析1.【解析】选D.选项A 不是同类项,不能合并;选项B 中乘法公式应用错误;选项C 应为a 2b 6,错误;选项D 正确.2.【解析】选A.2-2=212=14. 3.【解析】选B.(-3b 2c 3)2=-9b 4c 6.4.【解析】选B.(x-m)(x+6)=x 2+6x-mx-6m=x 2+(6-m)x-6m,得-6m=12,m=-2.5.【解析】选B.原式=(32-)2 013×(23)2 013=(32-×23)2 013=-1.6.【解析】选C.因为(x+3)(x+n)=x 2+(3+n)x+3n,所以3n=-15,n=-5;3+n=m,即m=3-5=-2.7.【解析】选B.a*b+(b-a)*b=ab+a-b+(b-a)b+(b-a)-b=ab+a-b+b 2-ab+b-a-b=b 2-b.8.【解析】0.000 000 53=5.3×10-7答案:5.3×10-79.【解析】因为(9n )2=92n =(32)2n =34n ,所以4n=8,n=2.答案:210.【解析】原式=ax 4-2ax 3-ax 2-3x 3+6x 2+3x=ax 4-(2a+3)x 3-(a-6)x 2+3x,因为展开式中不含x3项,所以2a+3=0,a=3-.2答案:3-211.【解析】因为(x-ay)(x+ay)=x2-a2y2,所以a2=16,a=±4.答案:±412.【解析】第(1)个图有2个相同的小正方形,而2=1×2;第(2)个图有6个相同的小正方形,而6=2×3;第(3)个图有12个相同的小正方形,而12=3×4;第(4)个图有20个相同的小正方形,而20=4×5;……所以第(n)个图有(n2+n)个相同的小正方形.答案:(n2+n)13.【解析】(1)(-2x+5)(-5-2x)-(x-1)2=(-2x+5)(-2x-5)-(x-1)2=4x2-25-(x2-2x+1)=4x2-25-x2+2x-1=3x2+2x-26.(2)[-6a3x4-(3a2x3)2]÷(-3ax2)=(-6a3x4-9a4x6)÷(-3ax2)=-6a3x4÷(-3ax2)-9a4x6÷(-3ax2)=2a2x2+3a3x4.14.【解析】3(2a-b)2-3a(4a-3b)+(2a+b)(2a-b)-b(a+b)=3(4a2-4ab+b2)-(12a2-9ab)+(4a2-b2)-(ab+b2)=12a2-12ab+3b2-12a2+9ab+4a2-b2-ab-b2=4 a2-4ab+b2,当a=1,b=2时,原式=4×12-4×1×2+22=0.15.【解析】设这个数为x,据题意得,[(x+2)2-4]÷x=(x2+4x+4-4)÷4=x+4.如果把这个商告诉主持人,主持人只需减去4就知道这个数是多少. 16.【解析】(1)是第二类知识.(2)单项式乘以多项式(分配律)、字母表示数、数可以表示线段的长或图形的面积等.(3)用数来说明:(a+b)(c+d)=(a+b)c+(a+b)d=ac+bc+ad+bd.用形来说明:如图,边长分别为a+b和c+d的矩形,分割前后的面积相等,即(a+b)(c+d)=ac+bc+ad+bd.。
鲁教版(五四制)六年级数学下册第六章《整式的乘除》单元测试题(含答案)1.下列运算正确的是()A。
a2a3=a6B。
a2a=aC。
a23=a62.若am=2,an=3,ap=5,则a2m+n-p的值是()A。
2.4B。
2C。
13.计算(2a2)3的结果是()A。
2a6B。
6a6C。
8a64.若(x m)(x1)的计算结果中不含x的一次项,则m的值是()A。
1B。
-1C。
25.若长方形面积是2a2﹣2ab+6a,一边长为2a,则这个长方形的周长是()A。
6a﹣2b+6B。
2a﹣2b+6C。
6a﹣2b6.若x2-kxy+9y2是一个完全平方式,则k值为()A。
3B。
6C。
±67.计算(a2)3+a2·a3-a2÷a-3的结果是() A。
2a5-aB。
2a5-1/aC。
a58.下列能用平方差公式计算的是()A。
(a+b)(a-b)B。
(a+b)2C。
(a-b)29.下列各式运算结果为x8的是()A。
___B。
(x4)4C。
x16÷x210.已知x y3,则2x2y的值是()A。
6B。
-6C。
1/811.雾霾天气时,宽空气中漂浮着大量的粉尘颗粒,若某各粉尘颗粒直径约为0.xxxxxxx米,则0.xxxxxxx用科学计数法表示为()A。
6.510 5B。
6.510 6C。
6.510712.若(2x3y)(mx ny)9y24x2,则m,n值为() A。
m2,n 3B。
m2,n 3C。
m2,n 3(1)1解:(1)1答案:(1) 4x;(2) 1/2;(3) 7/8;(4) 25/81.使用乘法公式计算:$(\pi-3)+(-2)(2)=\pi-7$2.化简求值:$(2x+y)^2-(2x-y)(x+y)-2(x-2y)(x+2y)$,其中$x=y=-2$。
代入得:$(2(-2)+(-2))^2-(2(-2)-(-2))(-2+(-2))-2((-2)-2(-2))((-2)+2(-2))=-3$3.计算:$23\div(-2a)$4.化简:$(2x-y)(2x+y)-3x(x-y)^2=4x^2-y^2-3x^3+6x^2y-3xy^2$5.空缺,无法回答6.空缺,无法回答7.空缺,无法回答8.求$a^2+b^2$,已知$a+b=7$,$ab=12$。
第六章整式的乘除检测
(满分:100分)
一、选择题(每小题3分,共30分)
1. 计算-8x6÷2x2的结果是()
A. 4x4
B.-4x4
C. 4x3
D. -4x3
2. 水是由氢、氧两种元素组成的,一亿个氢原子的质量为0.000 000 000 1674 ug,则数据0.000 000 000 167 4用科学记数法可以表示为
()
A. 1.674×10-11
B. -1.674×1010
C. 1.674×10-10
D. 1.674×10-9
3.下列能用平方差公式计算的是()
A.(a+b)(-a-b)
B.(2a+b)(a-2b)
C.(a-b)(-a-b)
D.(a-b)(a-b)
4. 下列计算正确的是()
A. 2a2+a2=3a4
B. a2•a3=a6
C. a6÷a3=a2
D.(-2a2)3=-8a6
5.球的表面积公式为S=4πR2,R为球的半径.已知一颗恒星的半径大约是3×104 km,则该恒星的表面积为(π≈3)()
A. 1.08×1010 km2
B. 1.08×106 km2
C. 7.2×109 km2
D. 7.2×106 km2
6.若a+b=-1,ab=-5,则a2+b2的值为()
A. -9
B. 11
C. 23
D. 27
7. 若(x+3)(x-4)=x2+mx-n,则m+n的值是()
A. -11
B. -12
C. 13
D. 11
8.若4a2-kab+9b2是完全平方式,则常数k的值为()
A.6B.12C.±12D.±6
9.下列计算错误的是()
A.(-x+y)2=x2-2xy+y2
B. (y-3x)(-3x-y)=y2-9x2
C. –ab(a2b5-ab3+b)=-a3b6+a2b4-ab2
D. (2x2y-3xy2)÷1
xy=4x-6y
2
10.若m2-n2=-4,则代数式(m+n)2(m-n)2的值为()
A. 8
B. -8
C. 16
D. -16
二、填空题(每小题3分,共18分)
1)-1的结果是__________.
11.计算20-(-
2
12.利用平方差公式计算105×95时,第一步可将原式变形为
______________.
13. 若一个正方形的边长增加了3 cm,面积相应增加27 cm2,
则原正方形的边长为_____cm.
14. 通过计算图形的面积,可以得出一些整式的乘法.如图1所示,用整式的乘法可以表示为__________________.
15. 定义一种新运算:a※b=(a+1)(b-1),化简(2x)※(x-2)的结果为________.
16. 若3m=2,5m=3,则152m=__________.
三、解答题(共52分)
17.(每小题4分,共8分)计算:
(1)a2•(-2a3)2÷(-a2)3;
(2)(-15x4y3z-10x3y4+20x2y5)÷(-5x2y3).
18.(6分)先化简,再求值:(2x-y)2-(x-y)(2x-y),其中x=2-1,y=2.
19.(8分)地球表面平均1cm2上的空气质量约为1kg,地球的表面积大约是5×108km2,地球的质量约为6×1024kg.
(1)地球表面全部空气的质量约为多少千克?
(2)地球质量大约是其表面全部空气质量的多少倍?(结果用科学记数法表示)
20.(8分)先化简下列方框中的式子,然后再找出相等的式子,并用等式表
示出来.
21.(10分)如图2,一张长方形的照片的一边AB=2x+y ,另一边BC=2x-y ,现在需要将这张照片四周镶边,镶边的宽度都是y ,求镶边部分的面积(用含x ,y 的代数式表示).
22.(每小题6分,共12分)计算:
(1)已知2×42n ×8n =16×42,求n 的值.
(2)已知(a 3m )2÷a 2m =3,求(a 3m •a 5m )÷3-2的值.
附加题(共20分,不计入总分)
23.(8分)观察下列各式所蕴含的规律,完成以下问题:
①1×3=22-1;②3×5=42-1;③5×7=62-1;④7×9=82-1;⑤9×11=102-1;…
(1)猜想:99×101=_________;
(2)根据你发现的规律,写出第n (n 为正整数)个等式,并说明理由.
24. (12分)如图3,正方形ABCD 的边长为a ,正方形CEFG 的边长为b ,阴影部分①是长方形,阴影部分②是正方形,已知BE=3,S 四边形ABCD +S 四边形CEFG =5.
(1)求阴影部分①的面积;
(2)求阴影部分②的面积.
参考答案
一、1. B 2. C 3. C 4. D 5. A 6. B 7. D 8. C 9. B 10. C 二、11. 3 12.(100+5)(100-5) 13. 3
14. 2a (a+2b )=2a 2+4ab 15.2x 2-5x-3 16.36
三、17.解:(1)原式=a 2•(4a 6)÷(-a 6)=4a 8÷(-a 6)=-4a 2.
(2)原式=(-15x 4y 3z )÷(-5x 2y 3)-(10x 3y 4)÷(-5x 2y 3)+(20x 2y 5)÷(-5x 2y 3)=3x 2z+2xy-4y 2.
18. 解:原式=4x 2-4xy+y 2-2x 2+3xy-y 2=2x 2-xy.
当x=2-1=21
,y=2时,原式=2×(21)2-21×2=21-1=-21. 19. 解:(1)地球表面全部空气的质量约为5×108×1010×1=5×1018(kg ).
(2)6×1024÷(5×1018)=1.2×106.
所以地球质量大约是其表面全部空气质量的1.2×106倍. 20. 解:(a-2b )2+8ab=a 2-4ab+4b 2+8ab=a 2+4ab+4b 2;
2(a+2b )(a-2b )=2(a 2-4b 2)=2a 2-8b 2;
(a+2b )2-(a-2b )2=(a 2+4ab+4b 2)-(a 2-4ab+4b 2)=8ab ; (-a-2b )2=a 2+4ab+4b 2.
所以(a-2b )2+8ab=(-a-2b )2.
21. 解:(2x+y+2y )(2x-y+2y )-(2x+y )(2x-y )
=(2x+3y )(2x+y )-(2x+y )(2x-y )
=4x2+8xy+3y2-4x2+y2
=4y2+8xy.
所以镶边部分的面积为4y2+8xy.
22.解:(1)因为2×42n×8n=2×(22)2n×(23)n=2×24n×23n=27n+1,16×42=24×(22)2=24×24=28,且2×42n×8n=16×42,所以27n+1=28,所以7n+1=8,解得n=1.
(2)因为(a3m)2÷a2m=a6m÷a2m=a6m-2m=a4m=3,所以(a3m•a5m)÷3-2=a8m÷3-2=
1=32×9=81.
(a4m)2÷
9
附加题
23.解:(1)1002-1
(2)(2n-1)(2n+1)=4n2-1,理由如下:
(2n-1)(2n+1)=(2n)2-12=4n2-1.
24.解:(1)因为正方形ABCD的边长为a,正方形CEFG的边长为b,且S四边形ABCD+
S四边形CEFG=5,所以a2+b2=5 .
因为BE=3,所以a+b=3.所以(a+b)2=32,即a2+b2+2ab=9,所以2ab=4,解得ab=2.
因为阴影部分①的面积等于BC·CG=ab,所以阴影部分①的面积为2.
(2)因为(a-b)2=(a+b)2-4ab,(a+b)2=32,ab=2,
所以(a-b)2=9-4×2=1.
因为正方形DMNG 的面积=DG2=(CD-CG)2=(a-b)2=1,所以阴影部分②的面积为1.。